

技术领域technical field
本发明涉及热交换能效评价技术领域,尤其涉及一种板式热交换器能效指标EEI的简化计算方法。The invention relates to the technical field of heat exchange energy efficiency evaluation, in particular to a simplified calculation method for the energy efficiency index EEI of a plate heat exchanger.
背景技术Background technique
热交换器类型众多、工况参数千变万化。专利CN 104036115B公开了热交换器的一种能效定量评价方法,提出了板式热交换器的能效指标值EEI及其定量评价方法,为确定热交换器的能效及其等级提供了一种科学的实现方法,写入了标准NB/T 47004.1-2017板式热交换器第1部分:可拆卸板式热交换器。但是,该方法直接使用标准工况下测试得到的总传热系数k和冷、热流体流动压降Δpc、Δph计算能效评价指标EEI,本文称之为标准工况测试数据直接求解能效评价指标EEI。该方法装置上涉及到热源、冷源、测试仪器、试验测试和数据处理设备等,求解计算能效评价指标EEI则需要流体温度、压力、流速等工况参数,流体密度、导热系数等物性参数,以及热交换器结构参数和传热流动拟合系数等,并且需要先后求解换热量Q、总传热系数k等中间过程,可见,上述整个求解过程复杂,步骤繁多,代价高,周期长。另外,通过此标准工况测试数据直接求解能效评价指标EEI还存在以下三个问题:There are many types of heat exchangers, and the working parameters are ever-changing. Patent CN 104036115B discloses a quantitative evaluation method of energy efficiency of heat exchangers, and proposes the energy efficiency index value EEI of plate heat exchangers and its quantitative evaluation method, providing a scientific realization for determining the energy efficiency of heat exchangers and their grades The method is written in the standard NB/T 47004.1-2017 Plate Heat Exchangers Part 1: Removable Plate Heat Exchangers. However, this method directly uses the total heat transfer coefficient k and the flow pressure drops of cold and hot fluids Δpc and Δph obtained under standard working conditions to calculate the energy efficiency evaluation index EEI, which is called standard working condition test data to directly solve energy efficiency evaluation in this paper Indicator EEI. The method device involves heat source, cold source, test instrument, test test and data processing equipment, etc. To solve and calculate the energy efficiency evaluation index EEI, it needs working condition parameters such as fluid temperature, pressure, flow rate, and physical parameters such as fluid density and thermal conductivity. As well as heat exchanger structural parameters and heat transfer flow fitting coefficients, etc., and intermediate processes such as heat transfer Q and total heat transfer coefficient k need to be solved successively. It can be seen that the above-mentioned entire solution process is complicated, with many steps, high cost and long period. In addition, there are still three problems in directly solving the energy efficiency evaluation index EEI through the test data of this standard working condition:
1.对于传感器和调节装置精度要求过于苛刻,导致难以达到测试标准工况。标准工况是指热流体定性温度为50℃,冷流体定性温度为30℃,冷流体、热流体板间流速为0.5m/s。由于测试仪器的精度和流动传热的动态平衡过程,实际测试结果只能是接近标准工况而难以完全达到,降低了板式热交换器能效指标值(EEI)的精度和可信性。1. The accuracy requirements for sensors and adjustment devices are too strict, making it difficult to meet the test standard conditions. The standard working condition means that the qualitative temperature of the hot fluid is 50°C, the qualitative temperature of the cold fluid is 30°C, and the flow velocity between the cold fluid and the hot fluid plate is 0.5m/s. Due to the accuracy of the test instrument and the dynamic balance process of flow heat transfer, the actual test results can only be close to the standard working conditions and are difficult to fully achieve, which reduces the accuracy and reliability of the energy efficiency index (EEI) of the plate heat exchanger.
2.板式热交换器仅有设计工况或使用工况下总传热系数k和冷、热流体流动压降Δpc、Δph的测试数据,但没有标准工况下总传热系数k和冷、热流体流动压降Δpc、Δph的测试数据。2. The plate heat exchanger only has the test data of the total heat transfer coefficient k and the flow pressure drop Δpc and Δph of the cold and hot fluid under the design condition or the use condition, but there is no total heat transfer coefficient k and Δp h under the standard condition. Test data of cold and hot fluid flow pressure drop Δpc , Δph .
3.部分老旧板型的板式热交换器仅有总传热系数k的关联式和冷、热流体流动压降Δpc、Δph的关联式,无设计工况或使用工况以及标准工况下包括温度、压力和流速等测试数据。3. Some old plate type plate heat exchangers only have the correlation formula of the total heat transfer coefficient k and the correlation formula of the pressure drop of cold and hot fluid flow Δpc and Δph , and there are no design conditions or use conditions and standard conditions. In this case, test data such as temperature, pressure and flow rate are included.
发明内容Contents of the invention
本发明提出一种板式热交换器能效指标EEI的简化计算方法,用以解决现有技术热交换器能效指标在计算过程中计算繁琐,精度低和老旧热交换器的相关测量数据缺失而无法计算的问题。The present invention proposes a simplified calculation method for the energy efficiency index EEI of a plate heat exchanger, which is used to solve the cumbersome calculation of the energy efficiency index of the prior art heat exchanger during the calculation process, the low accuracy and the lack of relevant measurement data of the old heat exchanger. calculation problem.
为了解决上述技术问题,本发明提供了一种板式热交换器能效指标EEI的简化计算方法,包括以下步骤:In order to solve the above technical problems, the present invention provides a simplified calculation method for the energy efficiency index EEI of a plate heat exchanger, comprising the following steps:
S1:在所述板式热交换器内分别通入冷、热两种流体,测试包含标准工况或与标准工况在设定误差在内的多组工况下的换热量和压降值,并将其分别拟合为关于冷、热流体下的雷诺数和普朗特数的第一关联式以及雷诺数与压降数的第二关联式,分别获得冷、热流体下的第一关联式和第二关联式的拟合系数,其中冷流体的温度小于热流体的温度;S1: Pass two kinds of fluids, cold and hot, into the plate heat exchanger respectively, and test the heat transfer and pressure drop values under multiple working conditions including standard working conditions or setting errors with standard working conditions , and fit them to the first correlation between Reynolds number and Prandtl number under cold and hot fluids and the second correlation between Reynolds number and pressure drop number, respectively, to obtain the first correlation between cold and hot fluids Fit coefficients of the correlation and the second correlation, where the temperature of the cold fluid is less than the temperature of the hot fluid;
S2:将标准工况下的工况参数和物性参数代入能效指标EEI定义式,获得仅关于结构参数和拟合系数的能效指标EEI简化表达式;S2: Substitute the working condition parameters and physical property parameters under standard working conditions into the definition formula of energy efficiency index EEI, and obtain the simplified expression of energy efficiency index EEI only about structural parameters and fitting coefficients;
S3:将热交换器的结构参数和所述拟合系数代入所述能效指标EEI简化表达式中,即可直接得到能效指标EEI值。S3: Substituting the structural parameters of the heat exchanger and the fitting coefficient into the simplified expression of the energy efficiency index EEI, the value of the energy efficiency index EEI can be obtained directly.
进一步地,所述S2步骤中,所述工况参数包括冷、热流体的温度、流速和压力梯度的权重系数,所述物性参数包括冷、热流体的密度、黏性系数和普朗特数。Further, in the S2 step, the working condition parameters include the temperature of the cold and hot fluids, the flow velocity and the weight coefficient of the pressure gradient, and the physical parameters include the density, viscosity coefficient and Prandtl number of the cold and hot fluids .
进一步地,所述S3步骤中,所述热交换器的结构参数包括工质流动长度、水力直径、传热元件导热系数和传热元件壁厚,其中所述传热元件为分隔冷、热流体的换热板片。Further, in the S3 step, the structural parameters of the heat exchanger include working fluid flow length, hydraulic diameter, heat transfer element thermal conductivity and heat transfer element wall thickness, wherein the heat transfer element is a separate cold and hot fluid heat exchange plates.
进一步地,所述S1步骤中,冷、热流体的温度不变,流速变化,产生多组所述工况,分别测量所述换热量和所述压降值。Further, in the S1 step, the temperatures of the cold and hot fluids are kept constant, and the flow rates are changed to generate multiple sets of working conditions, and the heat transfer and the pressure drop are measured respectively.
进一步地,所述S1步骤中,冷、热流体下所述第一关联式分别为:Further, in the S1 step, the first correlation formulas under the cold and hot fluids are respectively:
冷、热流体下所述第二关联式分别为:The second correlation formula described under the cold and hot fluids is respectively:
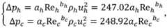
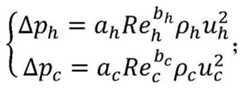
其中,Nuh为热流体的努谢尔特数,Reh为热流体的雷诺数,Ch、nh为热流体下第一关联式的拟合系数,Prh为热流体的普朗特数,ρh为热流体密度,uh为热流体流速,Nuc为冷流体的努谢尔特数,Rec为冷流体的雷诺数,Cc、nc为冷流体下第一关联式的拟合系数,Prc为冷流体的普朗特数,ρc为冷流体密度,uc为冷流体流速,Δph为热流体流动压降,ah、bh为热流体下第二关联式的拟合系数,Δpc为冷流体流动压降,ac、bc为冷流体下第二关联式的拟合系数。Among them, Nuh is the Nusselt number of the thermal fluid, Reh is the Reynolds number of the thermal fluid, Ch and nh are the fitting coefficients of the first correlation equation under the thermal fluid, Prh is the Prandtl number of the thermal fluid ρh is the density of the hot fluid, uh is the flow rate of the hot fluid, Nuc is the Nusselt number of the cold fluid, Rec is the Reynolds number of the cold fluid, and Cc andnc are the first correlation formulas for the cold fluid , Prc is the Prandtl number of the cold fluid, ρc is the density of the cold fluid, uc is the flow velocity of the cold fluid, Δph is the flow pressure drop of the hot fluid, ah and bh are the second The fitting coefficient of the correlation formula, Δpc is the flow pressure drop of the cold fluid, ac and bc are the fitting coefficients of the second correlation formula under the cold fluid.
进一步地,所述S2步骤中,所述能效指标EEI定义式为:Further, in the step S2, the definition formula of the energy efficiency index EEI is:
其中,k为总传热系数,ωh为热流体压力梯度的权重系数,Δph为热流体流动压降,lh为热流体工质流动长度,ωc为冷流体压力梯度的权重系数,Δpc为冷流体流动压降,lc为冷流体工质流动长度。Among them, k is the total heat transfer coefficient, ωh is the weight coefficient of the hot fluid pressure gradient, Δph is the flow pressure drop of the hot fluid, lh is the flow length of the hot fluid working medium, and ωc is the weight coefficient of the cold fluid pressure gradient, Δpc is the flow pressure drop of the cold fluid, and lc is the flow length of the cold fluid working medium.
进一步地,所述总传热系数k的计算公式为:Further, the formula for calculating the total heat transfer coefficient k is:
其中,hh为热流体的对流传热系数,hc为冷流体的对流传热系数,δp为传热元件壁厚,λp为传热元件的导热系数。Among them, hh is the convective heat transfer coefficient of the hot fluid, hc is the convective heat transfer coefficient of the cold fluid, δp is the wall thickness of the heat transfer element, and λp is the thermal conductivity of the heat transfer element.
进一步地,所述S2步骤中,所述EEI简化表达式为:Further, in the S2 step, the simplified expression of the EEI is:
进一步地,冷、热流体中雷诺数的计算公式分别为:Further, the calculation formulas of Reynolds numbers in cold and hot fluids are respectively:
所述冷、热流体的对流传热系数的计算公式为:The calculation formula of the convective heat transfer coefficient of the cold and hot fluids is:
其中,dh为热流体水力直径,dc为冷流体水力直径,λh为静止热流体的导热系数,μh为热流体的黏性系数,λc为静止冷流体的导热系数,μc为冷流体的黏性系数。Among them, dh is the hydraulic diameter of the hot fluid, dc is the hydraulic diameter of the cold fluid, λh is the thermal conductivity of the hot fluid at rest, μh is the viscosity coefficient of the hot fluid, λc is the thermal conductivity of the cold fluid at rest, μc is the viscosity coefficient of the cold fluid.
进一步地,所述冷、热流体中ωh=ωc=0.5,lh=lc,dh=dc,Further, in the cold and hot fluids, ωh =ωc =0.5, lh =lc , dh =dc ,
其中,dh为热流体水力直径,dc为冷流体水力直径。Among them, dh is the hydraulic diameter of the hot fluid, and dc is the hydraulic diameter of the cold fluid.
综上所述,将标准测试工况下的工况参数和以水为介质的物性参数代入能效指标EEI定义式,获得仅关于结构参数和拟合系数的能效指标EEI简化表达式,能够省略先后求解换热量Q、总传热系数k等中间过程。这种计算方法不仅大大简化了计算过程和繁琐程度,而且解决了偏离标准工况的精度问题和老旧板式热交换器的能效(EEI)计算问题。To sum up, by substituting the working condition parameters under the standard test conditions and the physical parameters with water as the medium into the definition formula of the energy efficiency index EEI, the simplified expression of the energy efficiency index EEI only about the structural parameters and fitting coefficients can be omitted. Solve intermediate processes such as heat transfer Q and total heat transfer coefficient k. This calculation method not only greatly simplifies the calculation process and complexity, but also solves the accuracy problem of deviation from standard working conditions and the energy efficiency (EEI) calculation problem of old plate heat exchangers.
附图说明Description of drawings
图1为本发明实施例中板式热交换器能效指标EEI的简化计算方法的流程图;Fig. 1 is the flowchart of the simplified calculation method of the energy efficiency index EEI of the plate heat exchanger in the embodiment of the present invention;
图2为本发明实施例中热交换器中冷、热流体与传热元件之间的结构示意图;Fig. 2 is a schematic diagram of the structure between the cold and hot fluids and the heat transfer elements in the heat exchanger in the embodiment of the present invention;
图2中,1-传热元件,2-冷流体,3-热流体。In Fig. 2, 1 - heat transfer element, 2 - cold fluid, 3 - hot fluid.
具体实施方式Detailed ways
以下结合附图和具体实施例对本发明提出的一种板式热交换器能效指标EEI的简化计算方法作进一步详细说明。根据下面说明和权利要求书,本发明的优点和特征将更清楚。需说明的是,附图均采用非常简化的形式且均使用非精准的比例,仅用以方便、明晰地辅助说明本发明实施例的目的。A simplified calculation method for the energy efficiency index EEI of a plate heat exchanger proposed by the present invention will be further described in detail below in conjunction with the accompanying drawings and specific embodiments. Advantages and features of the present invention will be apparent from the following description and claims. It should be noted that all the drawings are in a very simplified form and use imprecise scales, and are only used to facilitate and clearly assist the purpose of illustrating the embodiments of the present invention.
在本发明的描述中,需要理解的是,术语“中心”、“上”、“下”、“左”、“右”等指示的方位或者位置关系为基于附图所示的方位或位置关系,仅是为了便于描述本发明和简化描述,而不是指示或暗示所指的装置或元件必须具有特定的方位、以特定的方位构造和操作,因此不能理解为对本发明的限制。In the description of the present invention, it should be understood that the orientation or positional relationship indicated by the terms "center", "upper", "lower", "left", "right" etc. is based on the orientation or positional relationship shown in the drawings , is only for the convenience of describing the present invention and simplifying the description, but does not indicate or imply that the referred device or element must have a specific orientation, be constructed and operated in a specific orientation, and thus should not be construed as limiting the present invention.
如图1所示,本发明的实施例提供一种板式热交换器能效指标EEI的简化计算方法,包括以下步骤:As shown in Figure 1, an embodiment of the present invention provides a simplified calculation method for the energy efficiency index EEI of a plate heat exchanger, including the following steps:
S1:在所述板式热交换器内分别通入冷、热两种流体,测试包含标准工况或与标准工况在设定误差在内的多组工况下的换热量和压降值,并将其分别拟合为关于冷、热流体下的雷诺数和普朗特数的第一关联式以及雷诺数与压降数的第二关联式,分别获得冷、热流体下的第一关联式和第二关联式的拟合系数,其中冷流体的温度小于热流体的温度;S1: Pass two kinds of fluids, cold and hot, into the plate heat exchanger respectively, and test the heat transfer and pressure drop values under multiple working conditions including standard working conditions or setting errors with standard working conditions , and fit them to the first correlation between Reynolds number and Prandtl number under cold and hot fluids and the second correlation between Reynolds number and pressure drop number, respectively, to obtain the first correlation between cold and hot fluids Fit coefficients of the correlation and the second correlation, where the temperature of the cold fluid is less than the temperature of the hot fluid;
S2:将标准工况下的工况参数和物性参数代入能效指标EEI定义式,获得仅关于结构参数和拟合系数的能效指标EEI简化表达式;S2: Substitute the working condition parameters and physical property parameters under standard working conditions into the definition formula of energy efficiency index EEI, and obtain the simplified expression of energy efficiency index EEI only about structural parameters and fitting coefficients;
S3:将热交换器的结构参数和所述拟合系数代入所述能效指标EEI简化表达式中,即可直接得到能效指标EEI值。S3: Substituting the structural parameters of the heat exchanger and the fitting coefficient into the simplified expression of the energy efficiency index EEI, the value of the energy efficiency index EEI can be obtained directly.
需要了解是,所述S1步骤中,所述工况参数包括冷、热流体的温度、流速和压力梯度的权重系数,所述物性参数包括冷、热流体的密度、黏性系数和普朗特数;所述S3步骤中,所述热交换器结构参数包括工质流动长度、水力直径、传热元件导热系数和传热元件壁厚,其中所述传热元件为分隔冷、热流体的换热板片。It should be understood that, in the S1 step, the working condition parameters include the temperature of the cold and hot fluids, the flow rate and the weight coefficient of the pressure gradient, and the physical parameters include the density of the cold and hot fluids, the viscosity coefficient and the Prandtl number; in the S3 step, the structural parameters of the heat exchanger include working fluid flow length, hydraulic diameter, heat transfer element thermal conductivity and heat transfer element wall thickness, wherein the heat transfer element is a heat exchanger separating cold and hot fluids Hot plates.
参阅图2,其为本实施例的热交换器中冷、热流体与传热元件之间的结构示意图。冷流体2和热流体3被传热元件1分隔开来,通过传热元件1进行换热,较优地,冷流体2和热流体3的流动方向相反,加强其换热效果。在所述S2步骤中,为了获取在不同工况下,冷、热流体的多组换热量和压降值,测量过程中保持冷、热流体的温度不变,使冷、热流体的流速变化。Referring to FIG. 2 , it is a schematic diagram of the structure between the cold and hot fluids and the heat transfer elements in the heat exchanger of this embodiment. The cold fluid 2 and the
进一步地,所述S2步骤中,冷、热流体下所述第一关联式分别为:Further, in the S2 step, the first correlation formulas under the cold and hot fluids are respectively:
冷、热流体下所述第二关联式分别为:The second correlation formula described under the cold and hot fluids is respectively:
其中,Nuh为热流体的努谢尔特数,Reh为热流体的雷诺数,Ch、nh为热流体传热系数拟合关系式系数,Prh为热流体的普朗特数,ρh为热流体密度,uh为热流体流速,Nuc为冷流体的努谢尔特数,Rec为冷流体的雷诺数,Cc、nc为冷流体传热系数拟合关系式系数,Prc为冷流体的普朗特数,ρc为冷流体密度,uc为冷流体流速,Δph为热流体流动压降,ah、bh为热流体流动阻力拟合关系式系数,Δpc为冷流体流动压降,ac、bc为冷流体流动阻力拟合关系式系数。Among them, Nuh is the Nusselt number of the thermal fluid, Reh is the Reynolds number of the thermal fluid, Ch and nh are the heat transfer coefficient fitting relational coefficients of the thermal fluid, and Prh is the Prandtl number of the thermal fluid , ρh is the density of the hot fluid, uh is the flow rate of the hot fluid, Nuc is the Nusselt number of the cold fluid, Rec is the Reynolds number of the cold fluid, Cc , nc are the fitting relationship of the heat transfer coefficient of the cold fluid Prc is the Prandtl number of the cold fluid, ρc is the density of the cold fluid, uc is the flow velocity of the cold fluid, Δph is the flow pressure drop of the hot fluid, ah and bh are the fitting relationship of the flow resistance of the hot fluid Δpc is the flow pressure drop of the cold fluid, and ac and bc are the coefficients of the fitting relational expression for the flow resistance of the cold fluid.
优选地,在所述S1步骤中,所述能效指标EEI定义式为:Preferably, in the S1 step, the definition formula of the energy efficiency index EEI is:
其中,k为总传热系数,ωh为热流体压力梯度的权重系数,Δph为热流体流动压降,lh为热流体工质流动长度,ωc为冷流体压力梯度的权重系数,Δpc为冷流体流动压降,lc为冷流体工质流动长度。Among them, k is the total heat transfer coefficient, ωh is the weight coefficient of the hot fluid pressure gradient, Δph is the flow pressure drop of the hot fluid, lh is the flow length of the hot fluid working medium, and ωc is the weight coefficient of the cold fluid pressure gradient, Δpc is the flow pressure drop of the cold fluid, and lc is the flow length of the cold fluid working medium.
同时,所述总传热系数k的计算公式为:Meanwhile, the calculation formula of the total heat transfer coefficient k is:
其中,hh为热流体的对流传热系数,hc为冷流体的对流传热系数,δp为传热元件壁厚,λp为传热元件的导热系数。Among them, hh is the convective heat transfer coefficient of the hot fluid, hc is the convective heat transfer coefficient of the cold fluid, δp is the wall thickness of the heat transfer element, and λp is the thermal conductivity of the heat transfer element.
当本实施例的板式热交换器在计算其能效指标时,冷、热流体均采用纯净水,具体的计算过程可以总结为下。When calculating the energy efficiency index of the plate heat exchanger in this embodiment, pure water is used as the cold and hot fluids, and the specific calculation process can be summarized as follows.
首先分别拟合出第一关联式和第二关联式:Firstly fit the first correlation and the second correlation respectively:
第一关联式first correlation
第二关联式second correlation
接着,将标准工况下冷、热流体参数代入到雷诺数定义式中,其中,标准工况下,热流体的温度为50℃,冷流体的温度为30℃,冷流体、热流体板间流速为uh=uc=0.5m/s,热流体的粘性系数μh=5.4654×10-4Pa·s,冷流体的粘性系数μc=7.9722×10-4Pa·s:Next, the cold and hot fluid parameters under standard working conditions are substituted into the Reynolds number definition formula, where, under standard working conditions, the temperature of the hot fluid is 50°C, the temperature of the cold fluid is 30°C, and the temperature between the cold fluid and hot fluid plates The flow velocity is uh = uc = 0.5m/s, the viscosity coefficient of hot fluid μh = 5.4654×10-4 Pa·s, the viscosity coefficient of cold fluid μc = 7.9722×10-4 Pa·s:
然后,根据第一关联式、努塞尔特数定义式和雷诺数定义式,获取标准工况下冷、热流体的对流传热系数与水力直径之间的关系式,其中,标准工况下,热流体的普朗特数Prh=3.54,静止热流体的导热系数λh=0.648W/m*K,冷流体的普朗特数Prh=5.42,静止冷流体的导热系数λc=0.618W/m*K:Then, according to the first correlation, the Nusselt number definition formula and the Reynolds number definition formula, the relationship between the convective heat transfer coefficient and the hydraulic diameter of the cold and hot fluids under the standard working condition is obtained, where, under the standard working condition , the Prandtl number of hot fluid Prh =3.54, the thermal conductivity of static hot fluid λh =0.648W/m*K, the Prandtl number of cold fluid Prh =5.42, the thermal conductivity of static cold fluid λc = 0.618W/m*K:
其中,dh为热流体水力直径,dc为冷流体水力直径,λh为静止热流体的导热系数,μh为热流体的黏性系数,λc为静止冷流体的导热系数,μc为冷流体的黏性系数。Among them, dh is the hydraulic diameter of the hot fluid, dc is the hydraulic diameter of the cold fluid, λh is the thermal conductivity of the hot fluid at rest, μh is the viscosity coefficient of the hot fluid, λc is the thermal conductivity of the cold fluid at rest, μc is the viscosity coefficient of the cold fluid.
接着,计算标准工况下总传热系数k:Next, calculate the total heat transfer coefficient k under standard conditions:
之后,根据所述第二关联式和雷诺数定义式,获取标准工况下的冷、热流体的流动压降:Afterwards, according to the second correlation and the Reynolds number definition formula, the flow pressure drops of the cold and hot fluids under standard working conditions are obtained:
利用EEI简化表达式,获取能效指标EEI值:Use EEI to simplify the expression to obtain the energy efficiency index EEI value:
由于,本实施例采用板式热交换器,热侧与冷侧结构相同,一般为逆流单流程,有ωh=ωc=0.5,lh=lc,dh=dc,因此可以得出EEI的关系式:Since this embodiment adopts a plate heat exchanger, the structure of the hot side and the cold side are the same, and generally it is a countercurrent single flow, with ωh = ωc = 0.5, lh = lc , dh = dc , so it can be drawn The relational formula of EEI:
可以看出,EEI为热交换机的结构参数δp、λp、lh、lc、dh、dc和传热流动拟合系数Ch、Cc、ah、bh、ac、bc的函数。It can be seen that EEI is the structural parameters of the heat exchanger δp , λp , lh , lc , dh , dc and the heat transfer flow fitting coefficients Ch , Cc , ah , bh , ac , function ofbc .
例如对于某型号的板式热交换器,结构采用逆流单流程,其中ωh=ωc=0.5,lh=lc=1.237m,dh=dc=0.00055m,板片使用不锈钢,λp=14.4W/(m·℃),δp=0.0005mm。For example, for a certain type of plate heat exchanger, the structure adopts countercurrent single flow, where ωh = ωc = 0.5, lh = lc = 1.237m, dh = dc = 0.00055m, the plates are made of stainless steel, λp =14.4W/(m·°C), δp =0.0005mm.
先将测试的传热量和流动阻力数据拟合成为关于雷诺数的幂函数关联式:Firstly, the measured heat transfer and flow resistance data are fitted into a power function correlation about the Reynolds number:
可以得出Ch=0.2318,nh=0.7296,ah=1262.93,bh=1262.93,Cc=0.2318,nc=0.7296,ac=35641.53,bc=-0.56,It can be obtained that Ch =0.2318, nh =0.7296, ah =1262.93, bh =1262.93, Cc =0.2318, nc =0.7296, ac =35641.53, bc =-0.56,
将上述参数代入EEI的关系式,Substituting the above parameters into the relational expression of EEI,
按照TSG R0010-2019《热交换器能效测试与评价规则》、NB/T47004.1-2017《板式热交换器第1部分:可拆卸板式热交换器》,该型号板式热交换器的能效等级为一级。According to TSG R0010-2019 "Heat Exchanger Energy Efficiency Test and Evaluation Rules", NB/T47004.1-2017 "Plate Heat Exchanger Part 1: Removable Plate Heat Exchanger", the energy efficiency level of this type of plate heat exchanger is level one.
由此可见,本发明消除了温度、压力、流速等工况参数和介质物性参数,并且省略了求解热交换器综合换热系数和热侧、冷侧压降等中间步骤与过程,得到仅关于结构参数δp、λp、lh、lc、dh、dc和传热流动拟合系数Ch、Cc、ah、bh、ac、bc的EEI计算表达式,简化了计算过程和繁琐程度,还解决了偏离标准工况的精度问题和老旧板式热交换器的能效(EEI)计算问题。It can be seen that the present invention eliminates working condition parameters such as temperature, pressure, and flow velocity and medium physical property parameters, and omits intermediate steps and processes such as solving the comprehensive heat transfer coefficient of the heat exchanger and the pressure drop on the hot side and the cold side, and obtains only about EEI calculation expressions of structural parameters δp , λp , lh , lc , dh , dc and heat transfer flow fitting coefficients Ch , Cc , ah , bh , ac , bc, simplified The calculation process and cumbersomeness are simplified, and the accuracy problem of deviation from the standard working condition and the energy efficiency (EEI) calculation problem of the old plate heat exchanger are solved.
在本说明书的描述中,参考术语“一个实施例”、“一些实施例”、“示例”或“具体示例”等的描述意指结合该实施例或示例描述的具体特征、结构、材料或者特点包含于本发明的至少一个实施例或示例中。在本说明书中,对上述术语的示意性表述不必须针对的是相同的实施例或示例。而且描述的具体特征、结构、材料或者特点可以在任何的一个或多个实施例中以合适的方式结合。此外,本领域的技术人员可以将本说明书中描述的不同实施例或示例进行接合和组合。In the description of this specification, description with reference to the terms "one embodiment", "some embodiments", "example" or "specific example" means that a specific feature, structure, material or characteristic described in connection with the embodiment or example Included in at least one embodiment or example of the invention. In this specification, the schematic representations of the above terms are not necessarily directed to the same embodiment or example. Furthermore, the particular features, structures, materials or characteristics described may be combined in any suitable manner in any one or more embodiments. In addition, those skilled in the art can combine and combine different embodiments or examples described in this specification.
最后所应说明的是,以上实施例仅用以说明本发明的技术方案而非限制,尽管参照较佳实施例对本发明进行了详细说明,本领域的普通技术人员应当理解,可以对本发明的技术方案进行修改或者等同替换,而不脱离本发明技术方案的精神和范围。Finally, it should be noted that the above embodiments are only used to illustrate the technical solutions of the present invention without limitation. Although the present invention has been described in detail with reference to the preferred embodiments, those of ordinary skill in the art should understand that the technical solutions of the present invention can be The scheme shall be modified or equivalently replaced without departing from the spirit and scope of the technical scheme of the present invention.
| Application Number | Priority Date | Filing Date | Title |
|---|---|---|---|
| CN201910769600.7ACN110489706B (en) | 2019-08-20 | 2019-08-20 | Simplified calculation method for energy efficiency index EEI of plate heat exchanger |
| Application Number | Priority Date | Filing Date | Title |
|---|---|---|---|
| CN201910769600.7ACN110489706B (en) | 2019-08-20 | 2019-08-20 | Simplified calculation method for energy efficiency index EEI of plate heat exchanger |
| Publication Number | Publication Date |
|---|---|
| CN110489706A CN110489706A (en) | 2019-11-22 |
| CN110489706Btrue CN110489706B (en) | 2023-04-07 |
| Application Number | Title | Priority Date | Filing Date |
|---|---|---|---|
| CN201910769600.7AActiveCN110489706B (en) | 2019-08-20 | 2019-08-20 | Simplified calculation method for energy efficiency index EEI of plate heat exchanger |
| Country | Link |
|---|---|
| CN (1) | CN110489706B (en) |
| Publication number | Priority date | Publication date | Assignee | Title |
|---|---|---|---|---|
| CN112539946B (en)* | 2020-11-23 | 2021-10-01 | 西安交通大学 | Quantitative evaluation method for energy efficiency of tubular air preheater |
| CN113390661B (en)* | 2021-06-08 | 2022-04-12 | 西安交通大学 | An energy efficiency test and evaluation method of a plate heat exchanger unit for heating |
| CN116893074B (en)* | 2023-08-30 | 2023-11-24 | 福建福清核电有限公司 | Method and device for evaluating heat exchanger operation parameters |
| Publication number | Priority date | Publication date | Assignee | Title |
|---|---|---|---|---|
| CN104036115B (en)* | 2014-05-07 | 2015-08-26 | 兰州冠宇传热与节能工程技术研究有限公司 | A kind of efficiency method for quantitatively evaluating of heat exchanger |
| Publication number | Publication date |
|---|---|
| CN110489706A (en) | 2019-11-22 |
| Publication | Publication Date | Title |
|---|---|---|
| CN110489706B (en) | Simplified calculation method for energy efficiency index EEI of plate heat exchanger | |
| Kays et al. | Heat-transfer and flow-friction characteristics of some compact heat-exchanger surfaces: Part 1—test system and procedure | |
| EP3944125A1 (en) | Method and system for manufacturing a heat exchanger for supercritical pressure fluid | |
| Ghajar et al. | Experimental investigation of friction factor in the transition region for water flow in minitubes and microtubes | |
| CN106024079B (en) | Passive residual heat removal circulation performance test system and test method | |
| Van Zyl et al. | Single-phase convective heat transfer and pressure drop coefficients in concentric annuli | |
| CN101825502B (en) | Calculation method of outlet water and drain temperature of steam turbine heater with drain cooler | |
| CN102121910B (en) | Performance test device for micro heat exchanger | |
| CN113108842A (en) | Heat exchanger multi-parameter association monitoring and early warning method and system | |
| CN109192342B (en) | A kind of critical heat flux density approximate measure method for low flow velocity CHF experiment | |
| CN109142434A (en) | A kind of transient state body heat source measurement method of thermal coefficient, thermal diffusivity | |
| Chato | Natural convection flows in parallel-channel systems | |
| CN108917891A (en) | A kind of high-temp liquid flow standard device | |
| CN205404462U (en) | Visual measuring device of separated heat pipe | |
| CN101294857A (en) | A heat flow meter and its measuring method | |
| Barrow | Fluid flow and heat transfer in an annulus with a heated core tube | |
| CN102788813B (en) | Measurement method for amount of saved energy of enhanced heat-transferring shell-and-tube exchanger | |
| Wu et al. | Development of gas meter based on MEMS thermal flow sensor | |
| CN117272832A (en) | Post-dryout heat transfer zone simulation method based on neural network | |
| CN115290693B (en) | An improved method for measuring the external convection heat transfer coefficient of microtubules based on duplex mass | |
| CN113791115B (en) | Heat transfer performance test method and device for plate heat exchanger | |
| CN208984179U (en) | A high temperature liquid flow standard device | |
| CN115659824A (en) | Integral identification method for constant-pressure specific heat capacity of variable-property working medium | |
| CN112212928A (en) | Downhole full borehole thermal flow measurement device | |
| CN102033077B (en) | Method for testing contact thermal resistance of GH4169/K417 alloy |
| Date | Code | Title | Description |
|---|---|---|---|
| PB01 | Publication | ||
| PB01 | Publication | ||
| SE01 | Entry into force of request for substantive examination | ||
| SE01 | Entry into force of request for substantive examination | ||
| GR01 | Patent grant | ||
| GR01 | Patent grant |