




技术领域technical field
本发明涉及气象数据监测管理技术领域,尤其涉及一种基于各尺度特征的冰雹预警方法。The invention relates to the technical field of meteorological data monitoring and management, in particular to a hail early warning method based on features of various scales.
背景技术Background technique
气象灾害不仅影响农业生产、人民生活,而且还危及人民的生命财产安全。国内外的学者对冰雹的研究已经很多,但在短临预报上,冰雹仍是一种难以准确预报的灾害性天气。做好冰雹的短期、临近预报及监测预警,及时开展防雹人影作业,减少冰雹造成的经济损失仍是当下气象工作者面临的一大难题。为了更好地开展防雹工作,寻找行之有效的科学人工防雹预警方法;通过分析降雹日各尺度特征和雷达回波特征,总结归纳典型特征,提炼冰雹识别指标是预测冰雹非常重要的手段之一。Meteorological disasters not only affect agricultural production and people's lives, but also endanger people's lives and property. Scholars at home and abroad have done a lot of research on hail, but in terms of short-term forecast, hail is still a kind of disastrous weather that is difficult to predict accurately. Doing a good job in short-term and nowcasting, monitoring and early warning of hail, timely carrying out hail suppression operations, and reducing economic losses caused by hail are still a major problem facing meteorological workers. In order to better carry out hail prevention work, find an effective scientific artificial hail prevention early warning method; through the analysis of the characteristics of various scales and radar echo characteristics of the hailstorm day, summarize the typical characteristics, and refine the hail identification index is a very important means of predicting hail one.
现今,多个地区针对冰雹做了许多研究也得到了一些成果,其研究主要注重于对冰雹的气候特征、结构特征、识别算法分析。对于冰雹的预警方法主要依靠雷达回波,利用各尺度特征所提炼出的诊断量结合回波特征的预警方法较少;对于诊断量的分析多是统计发展变化特征,少数结合各尺度相关诊断量特征得出阈值用于预报预警。Nowadays, many studies on hail have been done in many regions and some results have been obtained. The research mainly focuses on the analysis of the climate characteristics, structural characteristics and identification algorithms of hail. The early warning methods for hail mainly rely on radar echoes, and there are few early warning methods that combine the diagnostic quantities extracted from the features of each scale with the echo features; the analysis of the diagnostic quantities is mostly statistical development and change characteristics, and a few of them combine the diagnostic quantities related to each scale. The feature derived threshold is used for forecasting and early warning.
有科研工作者将螺旋度和其他诊断量结合,分析诊断强对流的发生发展,例如能量螺旋度,就是将螺旋度与反映能量作用的对流有效位能结合起来进行应用,反映动力和能量对强对流天气发展的共同效应,对强风暴及其类型的预报有指示意义。有科研工作者分析了螺旋度作为一个动力学参数与热力场的关系,得到可以把地面相对螺旋度视为地转风或实际风引起的温度平流的一个量度的结论等。这些对研究暴雨灾害性天气和进行业务预报有着极为重要的作用。但降雹主要有三个基本条件:水汽条件、动力条件、不稳定条件。螺旋度只是一个作用比较显著的动力学诊断量,将其与水汽条件、能量条件相结合,对强对流发生发展的指示作用可能会更加明显。Some scientific researchers combine the helicity with other diagnostic quantities to analyze and diagnose the occurrence and development of strong convection. For example, the energy helicity is to combine the helicity with the effective potential energy of convection reflecting the effect of energy, and to reflect the impact of power and energy on strong convection. The common effect of convective weather development is indicative for the forecast of severe storms and their types. Some researchers analyzed the relationship between the helicity as a dynamic parameter and the thermal field, and obtained the conclusion that the relative helicity of the ground can be regarded as a measurement of the geostrophic wind or the temperature advection caused by the actual wind. These are extremely important for the study of rainstorm disastrous weather and for operational forecasting. However, there are three basic conditions for hail: water vapor conditions, dynamic conditions, and unstable conditions. Helicity is only a significant diagnostic quantity for dynamics. Combining it with water vapor conditions and energy conditions, it may be more obvious to indicate the occurrence and development of strong convection.
同时,现有的对冰雹的研究中,多是依靠常规气象资料得到冰雹等强对流天气发生的潜在趋势。也有根据卫星资料反映的大气运动状况来判别冰雹的发生发展,但反演技术和时效性很难提前预报冰雹的发生。已有的冰雹预警方法研究中,多普勒雷达是冰雹探测和预警的重要工具,多普勒天气雷达具备了比较强的监测能力和时效性,许多专家学者利用其归纳了冰雹天气的回波特征、移动路径。但多普勒天气雷达多用于有冰雹生成的预报预警,对于冰雹生成前的潜势预警还需结合各尺度特征分析。对于多普勒天气雷达的利用,不能局限于回波的典型特征等定性分析。At the same time, in the existing research on hail, most of them rely on conventional meteorological data to obtain the potential trend of strong convective weather such as hail. It is also possible to judge the occurrence and development of hailstones based on the atmospheric movement conditions reflected by satellite data, but it is difficult to predict the occurrence of hailstones in advance due to inversion technology and timeliness. In the existing research on hail early warning methods, Doppler radar is an important tool for hail detection and early warning. Doppler weather radar has relatively strong monitoring ability and timeliness. Many experts and scholars have used it to summarize the echo of hail weather. features, paths of movement. However, Doppler weather radar is mostly used for forecasting and early warning of hail formation, and the potential early warning before hail formation needs to be analyzed in combination with the characteristics of each scale. For the use of Doppler weather radar, it cannot be limited to qualitative analysis such as the typical characteristics of the echo.
发明内容Contents of the invention
本发明的目的就在于为了解决上述问题而提供一种基于各尺度特征的冰雹预警方法。The purpose of the present invention is to provide a hail early warning method based on the characteristics of each scale in order to solve the above problems.
为了实现上述目的,本发明提供一种基于各尺度特征的冰雹预测方法,包括以下步骤:In order to achieve the above object, the present invention provides a kind of hail prediction method based on each scale feature, comprising the following steps:
S1,对环流形势进行潜势分析:确定是否存在小槽,若存在小槽,则确定预测区是否存在能够触发对流的地面触发系统和能够发展对流的高空维持系统,若存在则提出对流潜势;S1. Potential analysis of the circulation situation: determine whether there is a small trough, if there is a small trough, determine whether there is a ground trigger system that can trigger convection and an upper-altitude maintenance system that can develop convection in the prediction area, and if there is, propose a convective potential ;
S2,若预测区存在对流潜势,则利用诊断分析模块分析θse500-700、水汽垂直螺旋度、热力切变平流参数、湿位涡和水汽能量垂直螺旋度,以诊断预测区是否存在水汽条件、动力抬升和不稳定条件共同促进强对流发展,若存在则提出强对流潜势;S2. If there is a convective potential in the prediction area, use the diagnostic analysis module to analyze θse500-700 , water vapor vertical helicity, thermal shear advection parameters, wet potential vortex, and water vapor energy vertical helicity to diagnose whether there is water vapor in the prediction area , dynamic uplift and unstable conditions jointly promote the development of strong convection, and if there is a strong convective potential;
S3,若预测区存在强对流潜势,通过SI指数、BLI指数、温度露点差和垂直风切变来判断预测区的冰雹发生潜势;S3, if there is a strong convective potential in the forecast area, judge the hail potential in the forecast area by SI index, BLI index, temperature dew point difference and vertical wind shear;
S4,若预测地区存在冰雹发生潜势,则进一步对其进行回波分析:将0℃层高度诊断量代入45dBZ回波顶高与0℃层高度的线性方程中得45dBZ回波顶高阈值,若实际回波顶高度大于等于45dBZ回波顶高阈值则可提出冰雹预警;S4, if there is a hail potential in the predicted area, further echo analysis is carried out: substituting the diagnostic value of the 0°C layer height into the linear equation of the 45dBZ echo top height and the 0°C layer height to obtain the 45dBZ echo top height threshold, If the actual echo top height is greater than or equal to the 45dBZ echo top height threshold, a hail warning can be issued;
在回波分析过程中出现强对流回波特征时可直接提出冰雹预警。When strong convective echo features appear in the echo analysis process, hail warning can be raised directly.
本发明的有益效果在于:The beneficial effects of the present invention are:
1、本发明涉及的基于各尺度特征的冰雹预测方法,多方面多尺度的考虑了冰雹的发生发展特征,利用多种数据,采用潜势分析、诊断分析等多种方式更全面的描述了其特征,以更准确预警冰雹;1. The hail prediction method based on the characteristics of various scales involved in the present invention considers the occurrence and development characteristics of hail in various aspects and scales, uses various data, and uses various methods such as potential analysis and diagnostic analysis to describe its hail more comprehensively. features to more accurately warn of hailstorms;
2、S2、S3步骤中通过各尺度特征分析提取出来的各物理量阈值在特殊环流形势下可直接用于诊断分析中,将主观的形式分析变得客观化,量化的阈值范围减少了不同人之间的主观误差,更加方便、简洁、准确;2. In steps S2 and S3, the physical quantity thresholds extracted through the feature analysis of each scale can be directly used in diagnostic analysis under the special circulation situation, making the subjective formal analysis objective, and the quantitative threshold range reduces the difference between different people. The subjective error between them is more convenient, concise and accurate;
3、S4步骤不仅利用根据典型回波特征预警的传统方式来确定冰雹发生的可能性,还利用45dBZ回波顶高与0℃层高度之间的关系,以45dBZ回波顶高阈值进行诊断分析,回波特征与阈值相结合的手段判定冰雹发生的可能性相较于普通的形势分析,更加简便快捷。3. Step S4 not only uses the traditional method of early warning based on typical echo characteristics to determine the possibility of hail, but also uses the relationship between the 45dBZ echo top height and the 0°C layer height to conduct diagnostic analysis with the 45dBZ echo top height threshold Compared with ordinary situation analysis, it is easier and faster to judge the possibility of hail occurrence by combining echo characteristics and threshold value.
附图说明Description of drawings
附图是用来提供对本发明的进一步理解,并且构成说明书的一部分,与下面的具体实施方式一起用于解释本发明,但并不构成对本发明的限制。在附图中:The accompanying drawings are used to provide a further understanding of the present invention, and constitute a part of the description, together with the following specific embodiments, are used to explain the present invention, but do not constitute a limitation to the present invention. In the attached picture:
图1是本发明所述的基于各尺度特征的冰雹预警方法的流程图;Fig. 1 is the flowchart of the hail early warning method based on each scale feature of the present invention;
图2是具体实施方式中所述案例天气分析图;Fig. 2 is the case weather analysis diagram described in the specific embodiment;
图3是具体实施方式中所述案例的θse、水汽垂直螺旋度、热力切变平流参数、湿位涡分量MPV1、MPV2分布图;Fig. 3 is a distribution diagram of θse , water vapor vertical helicity, thermal shear advection parameters, and wet potential vorticity components MPV1 and MPV2 of the case described in the specific embodiment;
图4是具体实施方式中所述案例水汽能量垂直螺旋度在700hPa分布情况;Fig. 4 is the case water vapor energy vertical helicity distribution situation at 700hPa in the specific embodiment;
图5是具体实施方式中所述案例反射率及其剖面图、径向速度及其剖面图。Fig. 5 is the reflectance and its cross-sectional view, the radial velocity and its cross-sectional view of the example described in the detailed description.
具体实施方式Detailed ways
以下结合附图对本发明的具体实施方式进行详细说明。应当理解的是,此处所描述的具体实施方式仅用于说明和解释本发明,并不用于限制本发明。Specific embodiments of the present invention will be described in detail below in conjunction with the accompanying drawings. It should be understood that the specific embodiments described here are only used to illustrate and explain the present invention, and are not intended to limit the present invention.
如图1所示,本发明涉及的基于各尺度特征的冰雹预测方法,包括以下步骤:As shown in Figure 1, the hail prediction method based on each scale feature that the present invention relates to comprises the following steps:
S1,对环流形势进行潜势分析:确定是否存在小槽,若存在小槽,则确定预测区是否存在能够触发对流的地面触发系统和能够发展对流的高空维持系统,若存在则提出对流潜势。S1. Potential analysis of the circulation situation: determine whether there is a small trough, if there is a small trough, determine whether there is a ground trigger system that can trigger convection and an upper-altitude maintenance system that can develop convection in the prediction area, and if there is, propose a convective potential .
该步骤主要注重于分析其触发机制与维持机制,观察预测区是否存在地面干线、地面辐合线、锋面等地面触发系统,高空是否存在切变、急流、低槽等维持系统相互作用维持对流的深厚发展。This step mainly focuses on the analysis of its trigger mechanism and maintenance mechanism, and observes whether there are ground trigger systems such as ground trunk lines, ground convergence lines, and fronts in the forecast area, and whether there are shear, jet streams, and low troughs at high altitudes that maintain systems that interact to maintain convection. deep development.
如图2所示,案例天气分析图示出200hPa、500hPa、700hPa天气分析和T-logp图,实线为槽线,黄色区域为干区,双实线为切变线,橙色箭头为高空急流,红色箭头为低空急流,蓝色区域为湿区。案例存在地面干线与地面辐合线、切变、急流、低槽。提出案例具有对流潜势。As shown in Figure 2, the case weather analysis map shows 200hPa, 500hPa, 700hPa weather analysis and T-logp diagram, the solid line is the trough line, the yellow area is the dry area, the double solid line is the shear line, and the orange arrow is the high-altitude jet , the red arrow is the low-level jet stream, and the blue area is the wet area. Cases include ground trunk lines and ground convergence lines, shears, jet streams, and low troughs. The case presented has convective potential.
S2,若预测区存在对流潜势,则利用诊断分析模块分析θse500-700、水汽垂直螺旋度、热力切变平流参数、湿位涡和水汽能量垂直螺旋度,以诊断预测区是否存在有利的水汽条件、动力抬升条件和不稳定条件共同促进强对流发展,若存在则提出强对流潜势。S2. If there is a convective potential in the prediction area, use the diagnostic analysis module to analyze θse500-700 , water vapor vertical helicity, thermal shear advection parameters, wet potential vortex, and water vapor energy vertical helicity to diagnose whether there is a favorable Water vapor conditions, dynamic uplift conditions and unstable conditions jointly promote the development of strong convection, and if they exist, strong convective potential is proposed.
通过θse500-700、水汽垂直螺旋度、热力切变平流参数来分别判断预测区是否存在有利于强对流发生的不稳定条件、水汽条件和动力抬升条件,通过湿位涡、水汽能量垂直螺旋度来判断不稳定条件、水汽条件和动力抬升条件是否共同促进强对流发生。Through θse500-700 , water vapor vertical helicity, and thermal shear advection parameters, it is judged whether there are unstable conditions, water vapor conditions, and dynamic uplift conditions that are conducive to strong convection in the prediction area, and wet potential vorticity, water vapor energy vertical helicity To judge whether unstable conditions, water vapor conditions and dynamic uplift conditions jointly promote the occurrence of strong convection.
预测区不稳定条件存在的判断:θse500-700实际值位于-10~0℃之间。Judgment on the existence of unstable conditions in the prediction area: the actual value of θse500-700 is between -10°C and 0°C.
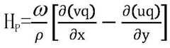
预测区水汽条件的判断:水汽垂直螺旋度>0,水汽垂直螺旋度是垂直螺旋度与水汽相关物理量比湿结合得到的诊断量,确定预测区存在有利于强对流发生的水汽条件。Judgment of water vapor conditions in the prediction area: the vertical helicity of water vapor is >0, and the vertical helicity of water vapor is a diagnostic quantity obtained by combining the vertical helicity and the relative humidity of water vapor. It is determined that there are water vapor conditions in the prediction area that are conducive to strong convection.
水汽垂直螺旋度更好地体现水汽的向上输送,对强降水发生发展的指示作用将会更加明显。分析计算对流过程中冰雹发生6小时前,预测区域水汽垂直螺旋度大于零,且预测区域处于高值区域时提出其处于有利的水汽条件下,促进对流发展。The vertical helicity of water vapor can better reflect the upward transport of water vapor, and the indication effect on the occurrence and development of heavy precipitation will be more obvious. In the analysis and calculation of the convection process, the vertical helicity of water vapor in the predicted area is greater than zero 6 hours before the hail occurs, and the predicted area is in a high-value area, and it is proposed that it is under favorable water vapor conditions to promote the development of convection.
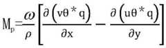
上式中,Hp为水汽垂直螺旋度,ω是等压坐标系中垂直方向的速度,ρ是密度,q是比湿、v是风速。In the above formula, Hp is the vertical helicity of water vapor, ω is the velocity in the vertical direction in the isobaric coordinate system, ρ is the density, q is the specific humidity, and v is the wind speed.
预测区动力抬升条件存在的判断:热力切变平流参数>0,且预测区正值大值区域位于对流层中下层。Judgment of the existence of dynamic uplift conditions in the prediction area: thermal shear advection parameter > 0, and the area with large positive values in the prediction area is located in the middle and lower layers of the troposphere.
热力切变平流参数把水平风场的垂直切变、广义位温的水平梯度、水平散度、广义位温的垂直梯度等动力因素和热力因素有机地结合起来,可以综合地表征雹暴过程中降雹地上空风场垂直切变和低层辐合、高层辐散的动力学结构特征。其异常值为正值,当诊断区域热力切变平流参数>0,且预测区正值高值区域位于对流层中下层时,判定其处于有利的动力抬升条件下。Thermal shear advection parameters organically combine dynamic and thermal factors such as the vertical shear of the horizontal wind field, the horizontal gradient of the generalized potential temperature, the horizontal divergence, and the vertical gradient of the generalized potential temperature, and can comprehensively characterize the hailstorm process. Dynamic structure characteristics of vertical shear of wind field over hailstorm and low-level convergence and high-level divergence. Its abnormal value is positive. When the thermal shear advection parameter in the diagnosis area is >0, and the high-value positive value area in the prediction area is located in the middle and lower troposphere, it is determined that it is under favorable dynamic uplift conditions.
上式中,J为热力切变平流参数,u、v分别为等压坐标系中X方向、Y方向的速度分量,θ*为广义位温。In the above formula, J is the thermal shear advection parameter, u and v are the velocity components in the X direction and Y direction in the isobaric coordinate system, respectively, and θ* is the generalized potential temperature.
不稳定条件、水汽条件和动力抬升条件共同促进强对流发生的判断:当预测区对流层中低层湿位涡MPV1<0、MPV2>0,预测区是对流不稳定区与正湿斜压区的交叉区域;Unstable conditions, water vapor conditions, and dynamic uplift conditions jointly promote the judgment of strong convection: when the wet potential vorticity MPV1<0 and MPV2>0 in the middle and lower troposphere in the predicted area, the predicted area is the intersection of the convectively unstable area and the baroclinic baroclinic area area;
当水汽能量垂直螺旋度在预测区为负值,预测区上空负值中心位于对流层中低层时,水汽能量垂直螺旋度为垂直螺旋度与水汽相关物理量比湿、能量相关物理量广义位温结合得到的诊断量。When the vertical helicity of water vapor energy is negative in the prediction area and the center of the negative value above the prediction area is located in the middle and lower layers of the troposphere, the vertical helicity of water vapor energy is obtained by combining the vertical helicity with the specific humidity of water vapor-related physical quantities and the generalized potential temperature of energy-related physical quantities diagnostic volume.
当具备了有利的热动力、水汽条件后,可利用水汽能量垂直螺旋度、湿位涡全面反映大气的热动力属性和水汽的作用。湿位涡的变化可反映对称不稳定的加强与减弱,对强对流天气的发生具有明显的指示意义。当预测区域对流层中低层为对流不稳定区(MPV1<0);对流层高层为弱稳定区。预测区位于正的湿斜压区(MPV2>0)与对流不稳定区重合的对应区域,有利于不稳定能量的释放、对流的发展。当水汽能量垂直螺旋度在诊断区为负值,且诊断区上空负值中心位于对流层中低层时,说明诊断区有利的水汽、动力、不稳定条件共同作用下促进强对流发展。When there are favorable thermodynamic and water vapor conditions, the vertical helicity and wet potential vorticity of water vapor energy can be used to fully reflect the thermodynamic properties of the atmosphere and the role of water vapor. The change of wet potential vorticity can reflect the strengthening and weakening of symmetric instability, which has obvious indication significance for the occurrence of strong convective weather. When the lower troposphere is predicted to be a region of convective instability (MPV1<0), the upper troposphere is a region of weak stability. The prediction area is located in the corresponding area where the positive wet baroclinic area (MPV2>0) coincides with the convective instability area, which is conducive to the release of unstable energy and the development of convection. When the vertical helicity of water vapor energy is negative in the diagnostic area, and the center of the negative value above the diagnostic area is located in the middle and lower layers of the troposphere, it means that the favorable water vapor, power, and instability conditions in the diagnostic area promote the development of strong convection.
上式中,MPV为湿位涡,ζ为垂直涡度,f为地转参数,θse为假相当位温。In the above formula, MPV is wet potential vorticity, ζ is vertical vorticity, f is geostrophic parameter, θse is false equivalent potential temperature.
上式中,Mp为水汽能量垂直螺旋度,q为比湿、θ*为广义位温。In the above formula, Mp is the vertical helicity of water vapor energy, q is the specific humidity, and θ* is the generalized potential temperature.
如图3所示,具体地,将具有对流潜势的案例进行诊断分析,运用θse500-700描述其不稳定条件。分析计算对流过程中冰雹发生12小时、6小时前θse500-700了解层结的稳定性,12小时前至6小时前,θse500-700趋于变为负值,负值中心逐渐包含诊断区域。6小时前通过对比诊断区域θse500-700实际值是否小于0℃,判断不稳定条件。案例中θse500-700为负值,-5℃处于阈值范围内,故案例处于不稳定条件下。As shown in Fig. 3, specifically, the case with convective potential is diagnosed and analyzed using θse500-700 to describe its unstable condition. Analyzing and calculating
案例中水汽垂直螺旋度为0.1-0.2×104·kg·m-2·s-6>0,且处于高值区域,因此判定其处于有利的水汽条件下。In the case, the vertical helicity of water vapor is 0.1-0.2×104 ·kg·m-2 ·s-6 >0, and it is in the high value area, so it is determined that it is under favorable water vapor conditions.
案例中热力切变平流参数J>0,预测区域上空皆为正值,诊断区域正值中心位于600hPa偏北位置,说明其处于有利的动力抬升条件下。In the case, the thermal shear advection parameter J>0, all positive values over the predicted area, and the positive value center of the diagnostic area is located north of 600hPa, indicating that it is under favorable dynamic uplift conditions.
案例中湿位涡在预测区域上空直至450hPa皆是MPV1<0;400hPa以上对流层高层为弱稳定区。MPV1负值中心值为1.5PVU,位于600hPa左右。预测区域上空位于正的湿斜压区(MPV2>0),有利于不稳定能量的释放、对流的发展。如图4所示,整个预测地区处于水汽能量垂直螺旋度的负值区,预测区位于负值中心区域,有利于水汽、动力、不稳定条件共同作用下促进强对流发展。In the case, the wet potential vortex is MPV1<0 above the predicted region up to 450hPa; the upper troposphere above 400hPa is a weakly stable region. The central value of MPV1 negative value is 1.5PVU, which is located at about 600hPa. The air above the predicted area is located in a positive wet baroclinic zone (MPV2>0), which is conducive to the release of unstable energy and the development of convection. As shown in Figure 4, the entire predicted area is in the negative value area of the vertical helicity of water vapor energy, and the predicted area is located in the negative value center area, which is conducive to the development of strong convection under the combined effects of water vapor, power, and instability.
S3,若预测区存在强对流潜势,通过SI指数、BLI指数、温度露点差和垂直风切变来判断预测区的冰雹发生潜势。S3, if there is a strong convective potential in the forecast area, the potential for hailstone occurrence in the forecast area is judged by SI index, BLI index, temperature dew point difference and vertical wind shear.
利用冰雹天气下SI指数、BLI指数、温度露点差和垂直风切变特征进行统计分析得出针对冰雹的诊断量阈值对预测区进行冰雹潜势判断。预测区冰雹发生潜势的判断:SI≤-0.02℃、BLI≤0、温度露点差(T-Td)700hPa≤5℃、垂直风切变V300hPa-V700hPa≥12m/s。Using the SI index, BLI index, temperature dew point difference and vertical wind shear characteristics in hail weather for statistical analysis, the diagnostic quantity threshold for hail is obtained to judge the hail potential in the prediction area. Judgment of hail potential in the prediction area: SI≤-0.02℃, BLI≤0, temperature dew point difference (TTd )700hPa ≤5℃, vertical wind shear V300hPa -V700hPa ≥12m/s.
在SI≤-0.02℃、BLI≤0、温度露点差(T-Td)700hPa≤5℃、垂直风切变V300hPa-V700hPa≥12m/s时,提出加强回波观测,准备冰雹预警。When SI≤-0.02℃, BLI≤0, temperature dew point difference (TTd )700hPa ≤5℃, and vertical wind shear V300hPa -V700hPa ≥12m/s, it is proposed to strengthen echo observation and prepare for hail warning.
案例中BLI=0≤0、温度露点差(T-Td)700hPa=1≤5℃、垂直风切变V300hPa-V700hPa=13m/s≥12m/s,提出加强回波观测,准备冰雹预警。In the case, BLI=0≤0, temperature dew point difference (TTd )700hPa =1≤5℃, vertical wind shear V300hPa- V700hPa =13m/s≥12m/s, it is proposed to strengthen echo observation and prepare for hail warning.
S4,若预测地区存在冰雹发生潜势,则进一步对其进行回波分析:将0℃层高度诊断量代入45dBZ回波顶高与0℃层高度的线性方程中得45dBZ回波顶高阈值,若实际回波顶高度大于等于45dBZ回波顶高阈值则可提出冰雹预警;S4, if there is a hail potential in the predicted area, further echo analysis is carried out: substituting the diagnostic value of the 0°C layer height into the linear equation of the 45dBZ echo top height and the 0°C layer height to obtain the 45dBZ echo top height threshold, If the actual echo top height is greater than or equal to the 45dBZ echo top height threshold, a hail warning can be issued;
在回波分析过程中出现强对流回波特征时可直接提出冰雹预警。When strong convective echo features appear in the echo analysis process, hail warning can be raised directly.
0℃层高度和45dBZ回波顶高的线性关系如下:The linear relationship between the 0°C layer height and the 45dBZ echo top height is as follows:
H0≥2500m,Y=2090.723+1.161X;H0 ≥2500m, Y=2090.723+1.161X;
H0<2500m,Y=5621.526+1.821X;H0 <2500m, Y=5621.526+1.821X;
式中,H0为0℃层高度,X为0℃层高度诊断量,Y为45dBZ回波顶高阈值。In the formula, H0 is the 0°C layer height, X is the diagnostic value of the 0°C layer height, and Y is the 45dBZ echo top threshold.
根据统计得出的回波特征,根据0℃层高度是否超过2500m,将0℃层高度诊断量带入45dBZ回波顶高与0℃层高度线性方程中,通过诊断是否达到相关阈值来判断冰雹发生的可能性。According to the echo characteristics obtained by statistics, according to whether the height of the 0°C layer exceeds 2500m, the diagnostic value of the 0°C layer height is brought into the linear equation of the top height of the 45dBZ echo and the height of the 0°C layer, and the hail is judged by diagnosing whether it reaches the relevant threshold possibility of occurrence.
根据雹云的发展和6分钟的时间间隔可能会错过雹云强烈发展阶段;选取了降雹前一小时至降雹前一时次雷达数据,分析强回波顶高与0℃层高度之间的关系。既保证了能捕捉到冰雹发展的成熟阶段,又做到了在降雹前就能提出预报预警,为防雹作业提供了时间。According to the development of the hail cloud and the time interval of 6 minutes, the strong development stage of the hail cloud may be missed; the radar data from one hour before the hailstorm to one hour before the hailstorm were selected to analyze the relationship between the height of the strong echo top and the height of the 0℃ layer. It not only ensures that the mature stage of hailstone development can be caught, but also can provide forecast and early warning before hailstorm, which provides time for hail prevention operations.
根据0℃层高度有一定的季节变化,雷达的回波高度和中心强度会根据0℃层高度的变化产生一定变化。考虑了0℃层的变化后得出的强回波顶高与0℃层高度之间的关系,不仅描述了两者之间的关系,而且提高了对两者复杂关系描述的准确性。据统计可知在0℃层高度高于和低于2500m时,强回波顶高度与0℃层高度之差有明显差异。因此在分析强回波顶高与0℃层高度之间的线性关系考虑了0℃层高度的季节变化,以2500m为限分析高于低于其的两种情况下的关系。According to the seasonal variation of the height of the 0°C layer, the echo height and central intensity of the radar will change according to the change of the height of the 0°C layer. The relationship between the height of the strong echo top and the height of the 0°C layer is obtained after considering the change of the 0°C layer, which not only describes the relationship between the two, but also improves the accuracy of describing the complex relationship between the two. According to statistics, when the height of the 0°C layer is higher than and lower than 2500m, the difference between the height of the strong echo top and the height of the 0°C layer is significantly different. Therefore, in the analysis of the linear relationship between the height of the strong echo top and the height of the 0°C layer, the seasonal variation of the height of the 0°C layer was considered, and the relationship between the two cases above and below was analyzed with a limit of 2500m.
雹云的发展阶段至成熟阶段其回波强度范围可从35dBZ-60dBZ。本发明根据案例分析了35dBZ-60dBZ回波顶高度与0℃层高度的相关性,得出45dBZ的回波顶高度与0℃层高度具有更强的相关性,0℃层高度随着45dBZ的回波顶高度变化的可能性更大。因此选取了45dBZ的回波顶高度与0℃层高度之间的线性关系来作为冰雹判据。From the development stage to the mature stage of the hail cloud, the echo intensity can range from 35dBZ-60dBZ. The present invention analyzes the correlation between the height of the 35dBZ-60dBZ echo top and the height of the 0°C layer according to the case, and draws that the height of the echo top of 45dBZ has a stronger correlation with the height of the 0°C layer. Echo crest heights are more likely to vary. Therefore, the linear relationship between the height of the echo top at 45dBZ and the height of the 0°C layer is selected as the hail criterion.
进一步将有可能发生雹暴的案例,利用其反射率、径向速度特征分析短时内出现雹暴的可能性。当观测到强对流回波特征:三体散射长钉、“V”型缺口,径向速度图中出现中气旋等的时候,可直接提出预警。Further, there will be cases where hailstorms may occur, and the possibility of hailstorms in a short period of time will be analyzed by using their reflectivity and radial velocity characteristics. When the characteristics of strong convective echoes are observed: three-body scattering spikes, "V"-shaped gaps, and mesocyclones appear in the radial velocity diagram, etc., an early warning can be issued directly.
案例中H0=1232.6代入X,实际H45dBZ>Y;如图5所示,反射率剖面图中可看出有弱回波区,径向速度图中无明显典型特征。因此本次案例可提出冰雹预警。In the case, H0 =1232.6 is substituted into X, and the actual H45dBZ >Y; as shown in Figure 5, it can be seen that there is a weak echo area in the reflectivity profile, and there is no obvious typical feature in the radial velocity diagram. Therefore, a hail warning can be raised in this case.
本发明结合了各尺度的特征,考虑了能体现冰雹发生发展的多方面数据,提取相关诊断量得出具有代表性的物理量阈值。本发明主要根据环流形势与相关物理量、回波特征与阈值相结合的手段判定冰雹发生的可能性来预报预警。The invention combines the characteristics of each scale, considers various data that can reflect the occurrence and development of hail, and extracts relevant diagnostic quantities to obtain a representative physical quantity threshold. The present invention mainly judges the possibility of hail occurrence by means of combining the circulation situation with relevant physical quantities, echo characteristics and thresholds to forecast and warn.
以上结合附图详细描述了本发明的优选实施方式,但是,本发明并不限于上述实施方式中的具体细节,在本发明的技术构思范围内,可以对本发明的技术方案进行多种简单变型,这些简单变型均属于本发明的保护范围。The preferred embodiment of the present invention has been described in detail above in conjunction with the accompanying drawings, but the present invention is not limited to the specific details of the above embodiment, within the scope of the technical concept of the present invention, various simple modifications can be made to the technical solution of the present invention, These simple modifications all belong to the protection scope of the present invention.
另外需要说明的是,在上述具体实施方式中所描述的各个具体技术特征,在不矛盾的情况下,可以通过任何合适的方式进行组合,为了避免不必要的重复,本发明对各种可能的组合方式不再另行说明。In addition, it should be noted that the various specific technical features described in the above specific embodiments can be combined in any suitable way if there is no contradiction. The combination method will not be described separately.
此外,本发明的各种不同的实施方式之间也可以进行任意组合,只要其不违背本发明的思想,其同样应当视为本发明所公开的内容。In addition, various combinations of different embodiments of the present invention can also be combined arbitrarily, as long as they do not violate the idea of the present invention, they should also be regarded as the disclosed content of the present invention.
| Application Number | Priority Date | Filing Date | Title |
|---|---|---|---|
| CN201910811255.9ACN110488298B (en) | 2019-08-30 | 2019-08-30 | Hail early warning method based on various scale features |
| Application Number | Priority Date | Filing Date | Title |
|---|---|---|---|
| CN201910811255.9ACN110488298B (en) | 2019-08-30 | 2019-08-30 | Hail early warning method based on various scale features |
| Publication Number | Publication Date |
|---|---|
| CN110488298A CN110488298A (en) | 2019-11-22 |
| CN110488298Btrue CN110488298B (en) | 2022-11-11 |
| Application Number | Title | Priority Date | Filing Date |
|---|---|---|---|
| CN201910811255.9AActiveCN110488298B (en) | 2019-08-30 | 2019-08-30 | Hail early warning method based on various scale features |
| Country | Link |
|---|---|
| CN (1) | CN110488298B (en) |
| Publication number | Priority date | Publication date | Assignee | Title |
|---|---|---|---|---|
| CN112766581B (en)* | 2021-01-25 | 2023-05-30 | 福建省气象科学研究所 | Method for automatically identifying and forecasting artificial hail suppression operation potential by computer |
| CN114384610B (en)* | 2021-12-28 | 2024-02-20 | 中国人民解放军94201部队 | Hail short-term fall prediction method, hail short-term fall prediction device, electronic equipment and storage medium |
| CN114648181B (en)* | 2022-05-24 | 2022-11-18 | 国能大渡河大数据服务有限公司 | Rainfall forecast correction method and system based on machine learning |
| CN119723853B (en)* | 2025-02-26 | 2025-05-09 | 贵州省山地气象科学研究所 | Hail potential prediction and approaching early warning method in FAST region |
| CN120372990B (en)* | 2025-06-27 | 2025-08-22 | 南京气象科技创新研究院 | A bow echo-associated convection early warning method |
| Publication number | Priority date | Publication date | Assignee | Title |
|---|---|---|---|---|
| US7558674B1 (en)* | 2006-04-24 | 2009-07-07 | Wsi, Corporation | Weather severity and characterization system |
| CN100520444C (en)* | 2006-09-26 | 2009-07-29 | 南京大桥机器有限公司 | Portable X wave range Doppler weather radar signal processing method and device thereof |
| CN104049285A (en)* | 2014-07-01 | 2014-09-17 | 南京大学 | Method for forecasting tornado potentiality of China region |
| KR20170046797A (en)* | 2014-09-10 | 2017-05-02 | 애큐웨더 아이엔씨. | Customizable weather analysis system for user-specified weather conditions |
| US10935693B2 (en)* | 2015-03-18 | 2021-03-02 | Honeywell International Inc. | Prediction of ice crystal presence in a volume of airspace |
| CN105260603A (en)* | 2015-10-14 | 2016-01-20 | 成都信息工程大学 | Climatic event risk evaluation method and system |
| CN105182450B (en)* | 2015-10-15 | 2018-01-02 | 成都信息工程大学 | A kind of strong convective weather nowcasting warning system |
| CN105354241A (en)* | 2015-10-15 | 2016-02-24 | 西藏自治区气象台 | Highland severe convection weather short-term nowcasting and pre-warning system |
| CN108020840B (en)* | 2017-11-20 | 2021-08-13 | 天津大学 | An early identification method of hail cloud based on Doppler weather radar data |
| CN109116358B (en)* | 2018-08-09 | 2022-11-22 | 成都信息工程大学 | Hail identification and fall area forecast method based on new generation weather radar |
| Publication number | Publication date |
|---|---|
| CN110488298A (en) | 2019-11-22 |
| Publication | Publication Date | Title |
|---|---|---|
| CN110488298B (en) | Hail early warning method based on various scale features | |
| Balderrama et al. | Peak factor estimation in hurricane surface winds | |
| DeHart et al. | Quadrant distribution of tropical cyclone inner-core kinematics in relation to environmental shear | |
| Cohen et al. | Discrimination of mesoscale convective system environments using sounding observations | |
| Vanderwende et al. | Observing and simulating the summertime low-level jet in central Iowa | |
| Jewell et al. | Evaluation of Alberta hail growth model using severe hail proximity soundings from the United States | |
| Thompson et al. | Convective modes for significant severe thunderstorms in the contiguous United States. Part II: Supercell and QLCS tornado environments | |
| CN105182450B (en) | A kind of strong convective weather nowcasting warning system | |
| CN109816252B (en) | Tailing pond comprehensive risk quantitative early warning method and device | |
| CN108416468B (en) | Flood advanced early warning and forecasting method | |
| CN106950614A (en) | A kind of region automatic weather station hour rainfall data method of quality control | |
| CN107526083B (en) | A kind of strong convection wind scale prediction technique based on weather radar data | |
| Chubb et al. | Estimation of wind-induced losses from a precipitation gauge network in the Australian Snowy Mountains | |
| CN106971510A (en) | A kind of double mode mountain torrents pre-alarming control system and method | |
| CN107239899A (en) | Sensitivity analysis method of the network load to meteorologic factor under a kind of typhoon weather | |
| CN109740195A (en) | A Probability Distribution Model of Extreme Typhoon Wind Speed Based on Meteorological Station Observation Data and Evaluation Method of Design Typhoon Wind Speed | |
| Bi et al. | Multi-hazard joint probability distribution model for wind speed, wind direction and rain intensity | |
| CN118033584A (en) | Assimilation method and system for inversion of water vapor based on radar reflectivity factor | |
| CN104991260A (en) | Semiconductor laser ceilometer-based cloud height automatic inversion method | |
| CN117034049A (en) | Multi-source data climate change composite trend characteristic and intensity diagnosis cluster analysis method | |
| CN114384610B (en) | Hail short-term fall prediction method, hail short-term fall prediction device, electronic equipment and storage medium | |
| CN115932859A (en) | Phase state identification method and system of ice-coated water particles in power grid based on millimeter-wave cloud radar | |
| CN119559770A (en) | A water level monitoring and management method based on multi-source information fusion | |
| CN118330645B (en) | Double-polarization radar double-parameter hydrogel inversion method and system based on mode micro-physical constraint | |
| CN112766581A (en) | Method for automatically identifying and forecasting artificial hail suppression operation potential by computer |
| Date | Code | Title | Description |
|---|---|---|---|
| PB01 | Publication | ||
| PB01 | Publication | ||
| SE01 | Entry into force of request for substantive examination | ||
| SE01 | Entry into force of request for substantive examination | ||
| GR01 | Patent grant | ||
| GR01 | Patent grant | ||
| TR01 | Transfer of patent right | Effective date of registration:20240923 Address after:230000 B-1015, wo Yuan Garden, 81 Ganquan Road, Shushan District, Hefei, Anhui. Patentee after:HEFEI MINGLONG ELECTRONIC TECHNOLOGY Co.,Ltd. Country or region after:China Address before:610000 No. 24 Xuefu Road Section, Southwest Airport Economic Development Zone, Chengdu City, Sichuan Province Patentee before:CHENGDU University OF INFORMATION TECHNOLOGY Country or region before:China | |
| TR01 | Transfer of patent right |