Movatterモバイル変換


[0]ホーム

URL:


CN110471425B - Improved fuzzy artificial potential field unmanned ship obstacle avoidance method based on sonar - Google Patents

Improved fuzzy artificial potential field unmanned ship obstacle avoidance method based on sonar
Download PDF

Info

Publication number
CN110471425B
CN110471425BCN201910817350.XACN201910817350ACN110471425BCN 110471425 BCN110471425 BCN 110471425BCN 201910817350 ACN201910817350 ACN 201910817350ACN 110471425 BCN110471425 BCN 110471425B
Authority
CN
China
Prior art keywords
unmanned ship
potential field
sonar
fuzzy
obstacle
Prior art date
Legal status (The legal status is an assumption and is not a legal conclusion. Google has not performed a legal analysis and makes no representation as to the accuracy of the status listed.)
Expired - Fee Related
Application number
CN201910817350.XA
Other languages
Chinese (zh)
Other versions
CN110471425A (en
Inventor
赵红
王逸婷
郭晨
姚玉斌
罗鹏
Current Assignee (The listed assignees may be inaccurate. Google has not performed a legal analysis and makes no representation or warranty as to the accuracy of the list.)
Dalian Maritime University
Original Assignee
Dalian Maritime University
Priority date (The priority date is an assumption and is not a legal conclusion. Google has not performed a legal analysis and makes no representation as to the accuracy of the date listed.)
Filing date
Publication date
Application filed by Dalian Maritime UniversityfiledCriticalDalian Maritime University
Priority to CN201910817350.XApriorityCriticalpatent/CN110471425B/en
Publication of CN110471425ApublicationCriticalpatent/CN110471425A/en
Application grantedgrantedCritical
Publication of CN110471425BpublicationCriticalpatent/CN110471425B/en
Expired - Fee Relatedlegal-statusCriticalCurrent
Anticipated expirationlegal-statusCritical

Links

Images

Classifications

Landscapes

Abstract

Translated fromChinese

本发明提供一种基于声呐的改进型模糊人工势场无人船避障方法,属于无人水下航行器技术领域,为解决现有无人水下航行器采用传统人工势场避障方法存在的目标不可达问题和局部极小值问题。本发明方法,包括:对地面站上位机的数据进行初始化;采用声呐测距模块获取无人船周围障碍物位置信息;基于改进型人工势场算法,计算计算合势场最小的航向角;在改进型人工势场的基础上采用由三角形隶属函数构造的二维模糊控制模块,确定无人船的下一步的位置。效果为本发明具有简单实用、应用广泛的特点。使用TriTech微型机械扫描声呐探测障碍物使其具有低成本低功耗的优点,使用人工势场法作为基础使其原理简单易懂,结合模糊控制后使无人船航向角变化趋势平滑。

Figure 201910817350

The invention provides an improved fuzzy artificial potential field obstacle avoidance method for unmanned ships based on sonar, which belongs to the technical field of unmanned underwater vehicles. The target unreachability problem and the local minima problem. The method of the invention includes: initializing the data of the upper computer of the ground station; using the sonar ranging module to obtain the position information of the obstacles around the unmanned ship; calculating the minimum heading angle of the combined potential field based on the improved artificial potential field algorithm; On the basis of the improved artificial potential field, a two-dimensional fuzzy control module constructed by triangular membership function is used to determine the next position of the unmanned ship. The effect is that the present invention has the characteristics of simplicity, practicality and wide application. The use of TriTech micro-mechanical scanning sonar to detect obstacles has the advantages of low cost and low power consumption. The artificial potential field method is used as the basis to make the principle simple and easy to understand. Combined with fuzzy control, the change trend of the heading angle of the unmanned ship is smoothed.

Figure 201910817350

Description

Improved fuzzy artificial potential field unmanned ship obstacle avoidance method based on sonar
Technical Field
The invention relates to the technical field of unmanned underwater vehicles, in particular to an improved fuzzy artificial potential field unmanned ship obstacle avoidance method based on sonar.
Background
The traditional artificial potential field obstacle avoidance method adopted by the unmanned surface vessel comprises the following steps: an artificial potential field comprising a gravitational field and a repulsive field is constructed in the sea surface environment of the unmanned ship sailing on the water surface, the gravitational field is provided by a sailing target point, the repulsive field is provided by a sea surface obstacle, and the gravitational field and the repulsive field act on the unmanned ship to form a resultant force so as to guide the target course of the unmanned ship to move towards the target point. Due to the characteristics of simple principle, small calculated amount, good real-time performance and the like, the artificial potential field method is widely applied to path planning and dynamic obstacle avoidance of unmanned boats on the water surface at present. However, the problem of local minimum value and the problem of unreachable target exist in the conventional artificial potential field, so that the unmanned ship cannot meet the obstacle avoidance requirement and reach the target point, and the course angle change curve of the unmanned ship under the guidance of the conventional artificial potential field method is too large in oscillation and does not meet the actual engineering requirement, so that the conventional artificial potential field method cannot meet the higher requirement of having accurate obstacle avoidance and smooth path for the unmanned ship at the same time.
An unmanned surface ship is an offshore intelligent traffic device capable of autonomous navigation and automatic control, and has the capabilities of accurately sensing external information, monitoring the running condition of the device in real time, making a corresponding correct decision and strictly executing all commands to cope with all sudden situations and stably navigate in a dangerous, complex and wide sea, and the most direct embodiment is that sea surface obstacles can be avoided in time. Therefore, the primary problem faced by unmanned surface vessels is real-time path planning and obstacle avoidance. The traditional artificial potential field abstracts the relationship among a target point, an obstacle and a moving particle into an artificial potential field. The attraction field formed by the target point generates attraction force on the motion particles, the repulsion field formed by the obstacle generates repulsion force on the motion particles, the sum of the vectors of the attraction field and the repulsion field is a resultant force, the motion particles are guided to avoid the obstacle, and the destination is reached according to a certain motion track. However, when the obstacle is located between the current position of the unmanned ship and a connecting line of a target point, or the unmanned ship is influenced by repulsive forces of a plurality of obstacles, so that the repulsive force and the attractive force are equal and opposite in direction, the unmanned ship sinks into a local minimum value point, and cannot judge how to move next step, so that the unmanned ship stops at the point or wanders continuously, namely the unmanned ship sinks into the local minimum value point; when the unmanned ship is closer to the target point, the attractive force of the target point is smaller and smaller according to the formula of the attractive force and the repulsive force of the traditional artificial potential field, so that if the unmanned ship approaches an obstacle when the unmanned ship is closer to the target point, the repulsive force is far larger than the attractive force of the target point, and the unmanned ship cannot reach the destination, namely the target cannot be reached.
Disclosure of Invention
According to the technical problem, an improved fuzzy artificial potential field unmanned ship obstacle avoidance method based on sonar is provided. According to the invention, TriTech micro-mechanical scanning sonar is selected as the obstacle detection equipment to realize rapid and accurate sensing of the obstacle distribution situation around the unmanned ship. And inputting the position relation among the obstacle, the target point and the unmanned ship into a computer, and calculating the course angle of the unmanned ship in the next step by the improved artificial potential field method to guide the unmanned ship to avoid the obstacle to move to the target point.
The invention adopts a negative reciprocal attraction potential field function and an exponential repulsion potential field function, and uses a method for directly calculating the potential field strength to replace the traditional manual potential field analysis resultant force, uses TriTech micro-machinery to scan a sonar to collect the resultant field of each point in front of the ship, and combines fuzzy logic control to obtain course angle output with small variation amplitude, so that the unmanned ship can rapidly jump out local minimum points in a sea area with unknown obstacle distribution condition, smoothen the course angle variation trend and optimize the obstacle avoidance path.
The technical means adopted by the invention are as follows:
an improved fuzzy artificial potential field unmanned ship obstacle avoidance method based on sonar comprises the following steps:
s1, initializing data of the ground station upper computer;
s2, acquiring obstacle position information around the unmanned ship by using a sonar ranging module;
s3, based on the improved artificial potential field algorithm, calculating the minimum heading angle psi of the potential fieldmin
S4, based on the improved artificial potential field algorithm, calculating the current heading angle of the unmanned ship and the heading angle psi with the minimum potential field in the step S3minThe included angle psi betweenfuzzy
S5, calculating the absolute value of the sum of the strength of the repulsive potential field and the strength of the gravitational potential field borne by the current position of the unmanned ship based on the improved artificial potential field algorithm, and further calculating the ratio U of the absolute value to the larger value of the absolute values of the strength of the repulsive potential field and the strength of the gravitational potential fieldfuzzy
S6, calculating the included angle psi obtained in the step S4fuzzyAnd the ratio U calculated in step S5fuzzyRespectively serving as a first input variable and a second input variable of a two-dimensional fuzzy control module, fuzzifying the difference theta between the next-step moving course angle of the unmanned ship and the current course angle serving as an output quantity of the two-dimensional fuzzy control module, and calculating in matlab according to a fuzzy control rule to obtain the output quantity theta;
s7, adding the output quantity of the two-dimensional fuzzy control module and the current course angle to obtain the next course angle psi of the unmanned shiprI.e. psir=θ+ψ;
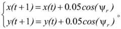
S8, according to the next heading angle psi of the unmanned shiprDetermining the next step position of the unmanned ship as
Figure BDA0002186684150000031
Furthermore, the sonar ranging module adopts TriTech miniature machinery to scan the sonar, sets up the bow at unmanned boats and ships, is supplied power by unmanned boats and ships's power module.
Further, the TriTech micro-mechanical scanning sonar can emit sound waves at the frequency of 700kHz within the range of 360 degrees, the vertical width of the sound waves is 35 degrees, and the horizontal width of the sound waves is 3 degrees.
Further, the sonar ranging module in step S2 acquires obstacle position information around the unmanned ship, specifically:
s21, setting the motion direction of the unmanned ship to be 0 degree, and enabling a TriTech micro-mechanical scanning sonar to scan and emit sound waves and then receive the reflected sound waves; the scanning coverage angle range is between-50 degrees and 50 degrees in front of the ship, and the sonar scanning distance range is 0.3m to 75 m;
and S22, transmitting and receiving the sound wave again according to the step conversion angle of 10 degrees to obtain the position information and the potential field information of each target point in a certain range in front of the unmanned ship.
Further, the angle range of scanning coverage of the TriTech micro-mechanical scanning sonar is between-50 degrees and 50 degrees in front of the ship, and the distance range of scanning is 0.3m to 75 m.
Further, the heading angle ψ at which the total potential field is minimum is calculated in the step S3minThe specific process is as follows:
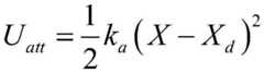
s31, assuming that the unmanned ship is at the point P of an unknown sea area, the spatial coordinate position is [ x, y ]]Driving to a target point D with a spatial coordinate position of [ x ]d,yd]N obstacles are distributed in the sea area, and the space coordinate positions of the obstacles are [ x ] respectively1,y1]...[xn,yn]The gravitational potential field function U suffered by the unmanned ship at the momentattThe expression of (a) is:
Figure BDA0002186684150000032
in the formula, kaIs the gravity coefficient, X is the current position [ X, y ] of the unmanned ship],XdAs target point position [ xd,yd];
S32, when no obstacle exists around the current position of the sonar installed on the unmanned ship, the unmanned ship sails to the target point along the connecting line direction between the current position and the target point, and the course angle is defined as psid
S33, analyzing and calculating the resultant field strength of each estimation point in the influence range of the repulsion force of the obstacle in front of the ship if the current position of a sonar installed on the unmanned ship is in the influence range of the repulsion force of any obstacle;
s34, obtaining the heading angle psi at the estimation point with the minimum potential field by the potential field intensity of each estimation pointmin
Further, the specific steps of analyzing and calculating the resultant field strength of each estimation point at the influence range of the ship front obstacle repulsive force in step S33 are as follows:
s331, defining the number of the estimation points in the step S33 as a, the position as M (i), and the coordinate as [ x [ ([ x ])i,yi](i∈[1,a]) Each estimated point represents a heading angle of psiM(i)
S332, an attractive force potential field equation of the target point to the unmanned ship is as follows:
Figure BDA0002186684150000041
s333, the repulsive force potential field equation of the barrier to the unmanned ship is as follows:
Figure BDA0002186684150000042
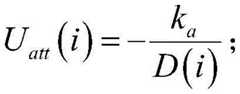
s334, combining step S332 and step S333, it is found that the resultant field intensity at m (i) is:
Figure BDA0002186684150000043
further, in the step S6:
first input variable psifuzzy=ψ-ψminThe universe of argument is [ - π/3, π/3]The fuzzy set is A ═{NB,NM,NS,ZO,PS,PM,PB};
Second input variable
Figure BDA0002186684150000044
Its domain of discourse is [0,1]The fuzzy set is B ═ { NB, NM, NS, ZO, PS, PM, PB };
and the output quantity theta has the argument range of [ -pi/24, pi/24 ], and the fuzzy set is C ═ NB, NM, NS, ZO, PS, PM and PB }.
Further, the fuzzy control rule in step S6 is constructed in the form of if a and B then C.
Compared with the prior art, the invention has the following advantages:
1. the invention uses TriTech micro-mechanical scanning sonar as the obstacle detection equipment, has better measurement precision, small volume, low power consumption and strong corrosion resistance, can adapt to the special working environment of the unmanned ship, can be carried on the unmanned ship to realize high-precision scanning detection work, helps the unmanned ship to finish accurate perception of surrounding obstacles, and provides hardware equipment support for dynamic obstacle avoidance of the unmanned ship.
2. The unmanned ship obstacle avoidance method is based on the artificial potential field method, but the traditional method for analyzing the potential force by the artificial potential field is abandoned, and the method for directly analyzing the potential field function is adopted, so that the calculation is simpler.
3. According to the invention, the fuzzy control module is adopted to carry out secondary processing on data in the manual potential field method calculation process, so that a target course angle curve is greatly smooth, the variation amplitude is greatly reduced, the actual engineering requirements are better met, and the obstacle avoidance success rate is higher when facing a sea area with complex obstacle distribution conditions.
4. The invention uses the attraction potential field function in the form of negative reciprocal and the repulsion potential field function which contains the relative position information of the unmanned ship and the target point and is in the form of index, and can efficiently solve the problems of unreachable target and local minimum value existing in the traditional artificial potential field method.
5. According to the invention, the TriTech micro-machine is used for scanning sonar to monitor sea condition information around the unmanned ship, the detection radius is large, the area within the radius range of 0.3-75 m can be covered, the unmanned ship can be sensed in advance at a position far away from an obstacle, and the unmanned ship can drive away from the obstacle earlier, so that collision events such as reef touch and the like can be avoided.
6. The TriTech micro-mechanical scanning sonar is powered by the unmanned ship power module without additional power supply, so that the system is smaller in size and lighter in weight.
Based on the reason, the invention can be widely popularized in the fields of unmanned underwater vehicles and the like.
Drawings
In order to more clearly illustrate the embodiments of the present invention or the technical solutions in the prior art, the drawings needed to be used in the description of the embodiments or the prior art will be briefly introduced below, and it is obvious that the drawings in the following description are some embodiments of the present invention, and for those skilled in the art, other drawings can be obtained according to these drawings without creative efforts.
FIG. 1 is a process flow diagram of the method of the present invention.
Fig. 2 is a schematic view of a sonar scanning process provided by an embodiment of the present invention.
Fig. 3 is a schematic diagram of potential field analysis at various points according to an embodiment of the present invention.
Fig. 4 is a fuzzy control rule provided by the embodiment of the present invention.
Fig. 5 shows the improved unmanned ship track and heading angle (jump out of local minimum) provided by the embodiment of the invention.
FIG. 6 shows the track and heading angle (local minimum of penetration) of an unmodified unmanned ship provided by an embodiment of the invention.
Fig. 7 shows the improved unmanned ship track and heading angle (target reachable) according to the embodiment of the invention.
Fig. 8 shows the track and heading angle (target unreachable) of an unmodified unmanned ship provided by an embodiment of the invention.
Fig. 9 shows the improved unmanned ship track and course angle (complex obstacle distribution reaching the target point) provided by the embodiment of the invention.
Fig. 10 shows the track and heading angle of an unmodified unmanned ship (complex obstacle distribution cannot reach the target point) provided by the embodiment of the invention.
Detailed Description
It should be noted that the embodiments and features of the embodiments may be combined with each other without conflict. The present invention will be described in detail below with reference to the embodiments with reference to the attached drawings.
In order to make the objects, technical solutions and advantages of the embodiments of the present invention clearer, the technical solutions in the embodiments of the present invention will be clearly and completely described below with reference to the drawings in the embodiments of the present invention, and it is obvious that the described embodiments are only a part of the embodiments of the present invention, and not all of the embodiments. The following description of at least one exemplary embodiment is merely illustrative in nature and is in no way intended to limit the invention, its application, or uses. All other embodiments, which can be derived by a person skilled in the art from the embodiments given herein without making any creative effort, shall fall within the protection scope of the present invention.
It is noted that the terminology used herein is for the purpose of describing particular embodiments only and is not intended to be limiting of exemplary embodiments according to the invention. As used herein, the singular forms "a", "an" and "the" are intended to include the plural forms as well, and it should be understood that when the terms "comprises" and/or "comprising" are used in this specification, they specify the presence of stated features, steps, operations, devices, components, and/or combinations thereof, unless the context clearly indicates otherwise.
The invention provides an obstacle avoidance method based on an artificial potential field for an unmanned ship. During navigation in vast at a great at a, at a great at a, at a great at a, at a great at a. If no good path planning and obstacle avoidance method exists, the unmanned ship drives to the obstacles, such as driving to reefs and the like, unnecessary loss is caused to the unmanned ship and important and expensive equipment carried by the unmanned ship. Therefore, the real-time path planning in the driving process has great significance for enabling the unmanned ship to move in the ideal sailing direction.
As shown in FIG. 1, the invention provides an improved fuzzy artificial potential field unmanned ship obstacle avoidance method based on sonar, which comprises the following steps:
s1, initializing data of the ground station upper computer;
s2, acquiring obstacle position information around the unmanned ship by using a sonar ranging module; sonar range finding module adopt TriTech miniature machine to scan the sonar, set up the bow at unmanned boats and ships, supplied power by unmanned boats and ships's power module. The TriTech micro-mechanical scanning sonar can emit sound waves within the range of 360 degrees at the frequency of 700kHz, the vertical width of the sound waves is 35 degrees, and the horizontal width is 3 degrees.
Sonar ranging module in step S2 obtains unmanned ship surrounding obstacle position information, as shown in fig. 2, the sonar scanning process specifically is:
s21, setting the motion direction of the unmanned ship to be 0 degree, and enabling a TriTech micro-mechanical scanning sonar to scan and emit sound waves and then receive the reflected sound waves; the scanning coverage angle range is between-50 degrees and 50 degrees in front of the ship, and the sonar scanning distance range is 0.3m to 75 m;
and S22, transmitting and receiving the sound wave again according to the step conversion angle of 10 degrees to obtain the position information and the potential field information of each target point in a certain range in front of the unmanned ship.
S3, based on the improved artificial potential field algorithm, calculating the minimum heading angle psi of the potential fieldmin(ii) a In this embodiment, 11 points at a radius of 3 meters are selected as evaluation points. Then:
the heading angle ψ at which the potential field is minimum is calculated in step S3minThe specific process is as follows:
s31, assuming that the unmanned ship is at the point P of an unknown sea area, the spatial coordinate position is [ x, y ]]Driving to a target point D with a spatial coordinate position of [ x ]d,yd]N obstacles are distributed in the sea area, and the space coordinate positions of the obstacles are [ x ] respectively1,y1]...[xn,yn]The gravitational potential field function U suffered by the unmanned ship at the momentattThe expression of (a) is:
Figure BDA0002186684150000081
in the formula, kaIs the gravity coefficient, X is the current position [ X, y ] of the unmanned ship],XdAs target point position [ xd,yd];
S32, when no obstacle exists around the current position of the sonar installed on the unmanned ship, the unmanned ship sails to the target point along the connecting line direction between the current position and the target point, and the course angle is defined as psid
S33, analyzing and calculating the resultant field strength of each estimation point in the influence range of the repulsion force of the obstacle in front of the ship if the current position of a sonar installed on the unmanned ship is in the influence range of the repulsion force of any obstacle;
the specific steps of analyzing and calculating the resultant field strength of each estimation point at the influence range of the repulsion force of the obstacle in front of the ship in step S33 are as follows:
s331, as shown in FIG. 3, the number of the estimation points in the above step S33 is defined as 11, the position is defined as M (i), and the coordinate is defined as [ x [ (])i,yi](i∈[1,11]) Each estimated point represents a heading angle of psiM(i)
S332, an attractive force potential field equation of the target point to the unmanned ship is as follows:
Figure BDA0002186684150000082
s333, the repulsive force potential field equation of the barrier to the unmanned ship is as follows:
Figure BDA0002186684150000083
s334, combining step S332 and step S333, it is found that the resultant field intensity at m (i) is:
Figure BDA0002186684150000084
s34, obtaining the heading angle psi at the estimation point with the minimum potential field by the potential field intensity of each estimation pointmin
S4, based on the improved artificial potential field algorithm, calculating the current heading angle of the unmanned ship and the heading angle psi with the minimum potential field in the step S3minThe included angle psi betweenfuzzy
S5, calculating the absolute value of the sum of the strength of the repulsive potential field and the strength of the gravitational potential field borne by the current position of the unmanned ship based on the improved artificial potential field algorithm, and further calculating the ratio U of the absolute value to the larger value of the absolute values of the strength of the repulsive potential field and the strength of the gravitational potential fieldfuzzy
S6, in order to make the change of the course angle smoother, the invention adds a fuzzy control algorithm on the basis of the improved artificial potential field, and the invention adopts a two-dimensional fuzzy control module constructed by a triangular membership function; the angle ψ calculated in step S4fuzzyAnd the ratio U calculated in step S5fuzzyRespectively serving as a first input variable and a second input variable of a two-dimensional fuzzy control module, fuzzifying the difference theta between the next-step moving course angle of the unmanned ship and the current course angle serving as an output quantity of the two-dimensional fuzzy control module, and calculating in matlab according to a fuzzy control rule to obtain the output quantity theta;
first input variable psifuzzy=ψ-ψminThe universe of argument is [ - π/3, π/3]The fuzzy set is a ═ { NB, NM, NS, ZO, PS, PM, PB };
second input variable
Figure BDA0002186684150000091
Its domain of discourse is [0,1]The fuzzy set is B ═ { NB, NM, NS, ZO, PS, PM, PB };
and the output quantity theta has the argument range of [ -pi/24, pi/24 ], and the fuzzy set is C ═ NB, NM, NS, ZO, PS, PM and PB }.
S7, adding the output quantity of the two-dimensional fuzzy control module and the current course angle to obtain the next course angle psi of the unmanned shiprI.e. psir=θ+ψ;
S8, according to the next heading angle psi of the unmanned shiprDetermining the next step position of the unmanned ship as
Figure BDA0002186684150000092
In a preferred embodiment of the present invention, the fuzzy control rule in step S6 is constructed in the form of if a and B then C. The specific fuzzy rule is shown in fig. 4.
Aiming at the problems of unreachable targets and local minimum values when an unmanned ship carries out obstacle avoidance by using a traditional artificial potential field method in an unknown sea area, the invention provides an improved artificial potential field method using a mechanical scanning sonar and fuzzy logic control, which uses a negative reciprocal form attraction potential field function and an exponential form repulsion potential field function containing relative position information of the unmanned ship and a target point, and improves two defect problems of the traditional artificial potential field by analyzing and processing the resultant potential field strength of 11 point positions in front of the ship, and simultaneously can reduce the course angle and the corner angle of the unmanned ship, smoothen a navigation path and enable the unmanned ship to better meet the actual engineering requirements. As shown in fig. 5-10, simulation results show that, when the above method is applied to real-time obstacle avoidance, the unmanned ship can avoid the problem that the target cannot be reached, jump out local minimum points in time, and rapidly and smoothly avoid the obstacle from reaching the target area in a complex obstacle distribution environment.
In conclusion, the unmanned ship obstacle avoidance method has the characteristics of simplicity, practicability and wide application. TriTech miniature machinery is used for scanning sonar to detect obstacles, so that the unmanned ship has the advantages of low cost and low power consumption, an artificial potential field method is used as a basis to enable the principle to be simple and easy to understand, and the course angle change trend of the unmanned ship is smooth after fuzzy control is combined.
Finally, it should be noted that: the above examples are only intended to illustrate the technical solution of the present invention, but not to limit it; although the present invention has been described in detail with reference to the foregoing embodiments, it will be understood by those of ordinary skill in the art that: the technical solutions described in the foregoing embodiments may still be modified, or some or all of the technical features may be equivalently replaced; and the modifications or the substitutions do not make the essence of the corresponding technical solutions depart from the scope of the technical solutions of the embodiments of the present invention.

Claims (6)

1. An improved fuzzy artificial potential field unmanned ship obstacle avoidance method based on sonar is characterized by comprising the following steps:
s1, initializing data of the ground station upper computer;
s2, acquiring obstacle position information around the unmanned ship by using a sonar ranging module;
s3, based on the improved artificial potential field algorithm, calculating the minimum heading angle psi of the potential fieldmin
The heading angle ψ at which the potential field is minimum is calculated in the step S3minThe specific process is as follows:
s31, assuming that the unmanned ship is at the point P of an unknown sea area, the spatial coordinate position is [ x, y ]]Driving to a target point D with a spatial coordinate position of [ x ]d,yd]N obstacles are distributed in the sea area, and the space coordinate positions of the obstacles are [ x ] respectively1,y1]...[xn,yn]The gravitational potential field function U suffered by the unmanned ship at the momentattThe expression of (a) is:
Figure FDA0003502227770000011
in the formula, kaIs the gravity coefficient, X is the current position [ X, y ] of the unmanned ship],XdAs target point position [ xd,yd];
S32, when no obstacle exists around the current position of the sonar installed on the unmanned ship, the unmanned ship sails to the target point along the connecting line direction between the current position and the target point, and the course angle is defined as psid
S33, analyzing and calculating the resultant field strength of each estimation point in the influence range of the repulsion force of the obstacle in front of the ship if the current position of a sonar installed on the unmanned ship is in the influence range of the repulsion force of any obstacle;
the specific steps of analyzing and calculating the resultant field strength of each estimation point at the influence range of the repulsion of the obstacle in front of the ship in the step S33 are as follows:
s331, defining the number of the estimation points in the step S33 as a, the position as M (i), and the coordinate as [ x [ ([ x ])i,yi](i∈[1,a]) Each estimated point represents a heading angle of psiM(i)
S332, an attractive force potential field equation of the target point to the unmanned ship is as follows:
Figure FDA0003502227770000012
s333, the repulsive force potential field equation of the barrier to the unmanned ship is as follows:
Figure FDA0003502227770000013
s334, combining step S332 and step S333, it is found that the resultant field intensity at m (i) is:
Figure FDA0003502227770000021
s34, obtaining the heading angle psi at the estimation point with the minimum potential field by the potential field intensity of each estimation pointmin
S4, based on the improved artificial potential field algorithm, calculating the current heading angle of the unmanned ship and the heading angle psi with the minimum potential field in the step S3minThe included angle psi betweenfuzzy
S5, calculating the absolute value of the sum of the strength of the repulsive potential field and the strength of the gravitational potential field borne by the current position of the unmanned ship based on the improved artificial potential field algorithm, and further calculating the ratio U of the absolute value to the larger value of the absolute values of the strength of the repulsive potential field and the strength of the gravitational potential fieldfuzzy
S6, calculating the included angle psi obtained in the step S4fuzzyAnd the ratio U calculated in step S5fuzzyRespectively serving as a first input variable and a second input variable of a two-dimensional fuzzy control module, fuzzifying the difference theta between the next-step moving course angle of the unmanned ship and the current course angle serving as an output quantity of the two-dimensional fuzzy control module, and calculating in matlab according to a fuzzy control rule to obtain the output quantity theta;
s7, adding the output quantity of the two-dimensional fuzzy control module and the current course angle to obtain the next course angle psi of the unmanned shiprI.e. psir=θ+ψ;
S8, according to the next heading angle psi of the unmanned shiprDetermining the next step position of the unmanned ship as
Figure FDA0003502227770000022
2. The improved fuzzy artificial potential field unmanned ship obstacle avoidance method based on the sonar according to claim 1, characterized in that the sonar ranging module adopts TriTech micro-machinery to scan the sonar, is arranged at the bow of the unmanned ship, and is powered by the power module of the unmanned ship.
3. The improved fuzzy artificial potential field unmanned ship obstacle avoidance method based on sonar according to claim 2, wherein the TriTech micro-mechanical scanning sonar can emit sound waves within 360 degrees at a frequency of 700kHz, the vertical width of the sound waves is 35 degrees, and the horizontal width is 3 degrees.
4. The improved fuzzy artificial potential field unmanned ship obstacle avoidance method based on sonar according to claim 1, wherein the sonar ranging module in step S2 acquires obstacle position information around the unmanned ship, specifically:
s21, setting the motion direction of the unmanned ship to be 0 degree, and enabling a TriTech micro-mechanical scanning sonar to scan and emit sound waves and then receive the reflected sound waves; the scanning coverage angle range is between-50 degrees and 50 degrees in front of the ship, and the sonar scanning distance range is 0.3m to 75 m;
and S22, transmitting and receiving the sound wave again according to the step conversion angle of 10 degrees to obtain the position information and the potential field information of each target point in a certain range in front of the unmanned ship.
5. The sonar-based improved fuzzy artificial potential field unmanned ship obstacle avoidance method according to claim 1, wherein in step S6:
first input variable psifuzzy=ψ-ψminThe universe of argument is [ - π/3, π/3]The fuzzy set is a ═ { NB, NM, NS, ZO, PS, PM, PB };
second input variable
Figure FDA0003502227770000031
Its domain of discourse is [0,1]The fuzzy set is B ═ { NB, NM, NS, ZO, PS, PM, PB };
and the output quantity theta has the argument range of [ -pi/24, pi/24 ], and the fuzzy set is C ═ NB, NM, NS, ZO, PS, PM and PB }.
6. The sonar-based improved fuzzy artificial potential field unmanned ship obstacle avoidance method according to claim 1, wherein the fuzzy control rule in step S6 is constructed in a form of if a and B then C.
CN201910817350.XA2019-08-302019-08-30Improved fuzzy artificial potential field unmanned ship obstacle avoidance method based on sonarExpired - Fee RelatedCN110471425B (en)

Priority Applications (1)

Application NumberPriority DateFiling DateTitle
CN201910817350.XACN110471425B (en)2019-08-302019-08-30Improved fuzzy artificial potential field unmanned ship obstacle avoidance method based on sonar

Applications Claiming Priority (1)

Application NumberPriority DateFiling DateTitle
CN201910817350.XACN110471425B (en)2019-08-302019-08-30Improved fuzzy artificial potential field unmanned ship obstacle avoidance method based on sonar

Publications (2)

Publication NumberPublication Date
CN110471425A CN110471425A (en)2019-11-19
CN110471425Btrue CN110471425B (en)2022-03-29

Family

ID=68514333

Family Applications (1)

Application NumberTitlePriority DateFiling Date
CN201910817350.XAExpired - Fee RelatedCN110471425B (en)2019-08-302019-08-30Improved fuzzy artificial potential field unmanned ship obstacle avoidance method based on sonar

Country Status (1)

CountryLink
CN (1)CN110471425B (en)

Families Citing this family (3)

* Cited by examiner, † Cited by third party
Publication numberPriority datePublication dateAssigneeTitle
CN112835349B (en)*2019-11-222022-01-11中国科学院沈阳自动化研究所 A Path Planning Method for Autonomous Underwater Robot Based on Fuzzy Logic
CN111830978A (en)*2020-07-072020-10-27大连海事大学 An obstacle avoidance path planning and control method and system for an underactuated unmanned boat
CN115220444B (en)*2022-06-282025-02-11中国科学院自动化研究所 An obstacle avoidance control method for underwater robots based on fuzzy artificial potential field technology

Citations (3)

* Cited by examiner, † Cited by third party
Publication numberPriority datePublication dateAssigneeTitle
CN105629974A (en)*2016-02-042016-06-01重庆大学Robot path planning method and system based on improved artificial potential field method
CN108614561A (en)*2018-05-312018-10-02重庆大学A kind of Artificial Potential Field barrier-avoiding method suitable for omnidirectional's wheel mobile robot
CN109945873A (en)*2019-04-042019-06-28东南大学 A hybrid path planning method for motion control of indoor mobile robots

Family Cites Families (1)

* Cited by examiner, † Cited by third party
Publication numberPriority datePublication dateAssigneeTitle
JP5398488B2 (en)*2009-11-202014-01-29村田機械株式会社 Autonomous mobile object and its control method

Patent Citations (3)

* Cited by examiner, † Cited by third party
Publication numberPriority datePublication dateAssigneeTitle
CN105629974A (en)*2016-02-042016-06-01重庆大学Robot path planning method and system based on improved artificial potential field method
CN108614561A (en)*2018-05-312018-10-02重庆大学A kind of Artificial Potential Field barrier-avoiding method suitable for omnidirectional's wheel mobile robot
CN109945873A (en)*2019-04-042019-06-28东南大学 A hybrid path planning method for motion control of indoor mobile robots

Non-Patent Citations (8)

* Cited by examiner, † Cited by third party
Title
Collision Avoidance for Cooperative UAVs With Optimized Artificial Potential Field Algorithm;Sun Jiayi,等;《IEEE Access》;20170531;第5卷;全文*
Intelligent Vehicle Path Planning Based on Improved Artificial Potential Field Algorithm;Xinping. Gu,等;《2019 International Conference on High Performance Big Data and Intelligent Systems (HPBD&IS)》;20190613;全文*
基于双红外视觉的UUV水面避碰方法研究;李昀澄;《中国优秀博硕士学位论文全文数据库(硕士)工程科技II辑》;20180615(第6期);全文*
基于声呐和机器视觉技术的水下机器人避障与目标跟踪研究;林奕雪;《中国优秀博硕士学位论文全文数据库(硕士)信息科技辑》;20190515(第5期);第I138-1378页*
基于多传感信息融合的移动机器人SLAM应用与算法研究;仇恒坦;《中国优秀博硕士学位论文全文数据库(硕士)工程科技II辑》;20180215(第2期);全文*
基于改进栅格法和人工势场法的无人艇路径规划研究;陈呈;《中国优秀博硕士学位论文全文数据库(硕士)工程科技II辑》;20190315(第3期);全文*
基于模糊改进人工势场法的机器人避障方法研究;游文洋,等;《传感器与微系统》;20160131;第35卷(第1期);第14-18页*
模糊改进的人工势场法机器人局部路径规划;黄开启,等;《组合机床与自动化加工技术》;20190820(第8期);全文*

Also Published As

Publication numberPublication date
CN110471425A (en)2019-11-19

Similar Documents

PublicationPublication DateTitle
Wang et al.Roboat: An autonomous surface vehicle for urban waterways
Mousazadeh et al.Developing a navigation, guidance and obstacle avoidance algorithm for an Unmanned Surface Vehicle (USV) by algorithms fusion
CN105022270B (en)Ship automatic Collision Avoidance method based on velocity coordinate system
CN105589464B (en) A UUV Dynamic Obstacle Avoidance Method Based on Velocity Obstacle Method
CN105629974B (en)A kind of robot path planning method and system based on modified Artificial Potential Field Method
CN110471425B (en)Improved fuzzy artificial potential field unmanned ship obstacle avoidance method based on sonar
CN111830978A (en) An obstacle avoidance path planning and control method and system for an underactuated unmanned boat
US8989948B2 (en)Systems and methods for automated vessel navigation using sea state prediction
CN108469828A (en)A kind of AUV Route planners improving artificial potential field optimization algorithm
CN108664020A (en)A kind of unmanned boat dynamic obstacle avoidance algorithm based on Speed Obstacles method and dynamic window method
CN105807769B (en)UAV navigation IVFH collision prevention methods
Lan et al.Improved RRT algorithms to solve path planning of multi-glider in time-varying ocean currents
Cai et al.Long-range UWB positioning-based automatic docking trajectory design for unmanned surface vehicle
CN108829134A (en)A kind of real-time automatic obstacle avoiding method of deepwater robot
CN113778099A (en)Unmanned ship path planning method based on NDT algorithm and Hybrid A algorithm
Blaich et al.Probabilistic collision avoidance for vessels
US12091137B1 (en)Intelligent assistance system and method for berthing and unberthing based on multi-tugboat collaboration
CN109916400B (en) An Obstacle Avoidance Method for Unmanned Vehicle Based on the Combination of Gradient Descent Algorithm and VO Method
CN111881580A (en) A motion planning method for unmanned ships to avoid obstacles
Noguchi et al.Tracking omnidirectional surfaces using a low-cost autonomous underwater vehicle
Vivekanandan et al.Autonomous underwater docking using flow state estimation and model predictive control
Sans-Muntadas et al.Spiral path planning for docking of underactuated vehicles with limited FOV
Zhang et al.Multi-UUV path planning based on improved artificial potential field method
CN120178923A (en) Underwater thruster intelligent obstacle avoidance system and control method thereof
Zhang et al.Path planning of USV in confined waters based on improved A∗ and DWA fusion algorithm

Legal Events

DateCodeTitleDescription
PB01Publication
PB01Publication
SE01Entry into force of request for substantive examination
SE01Entry into force of request for substantive examination
GR01Patent grant
GR01Patent grant
CF01Termination of patent right due to non-payment of annual fee
CF01Termination of patent right due to non-payment of annual fee

Granted publication date:20220329


[8]ページ先頭

©2009-2025 Movatter.jp