

技术领域technical field
本发明属于信号处理技术领域,具体涉及一种基于调频步进信号的高速目标相推测速方法。The invention belongs to the technical field of signal processing, and in particular relates to a high-speed target phase estimation method based on a frequency modulation step signal.
背景技术Background technique
随着雷达技术发展的日新月异,人们对雷达精确测量提出了更高的要求。如微动提取作为目标探测与识别的研究热点,其关键问题在于平动补偿不够精确、微动幅度小、各散射点难以区分等因素造成的微动特征信息不明显,使得微动提取难度很大。突破该瓶颈最有效的办法是提高雷达对精细运动的刻画能力,即提高雷达精确测速能力。传统的包络测距精度有限,同时传统的测速方法主要通过增加积累时间来获得高精度的速度测量值,这种方法是以牺牲数据率为代价的,不能适用于对数据率要求较高的场景。相推测速作为一项新兴的技术,通过提取目标回波的相位信息,分析相邻帧回波的相位变化,即可实现高精度速度估计。With the rapid development of radar technology, people put forward higher requirements for radar accurate measurement. For example, fretting extraction is a research hotspot of target detection and identification. The key problems are that the translation compensation is not accurate enough, the fretting amplitude is small, and the fretting points are difficult to distinguish. The fretting feature information is not obvious, which makes the fretting extraction difficult. big. The most effective way to break through this bottleneck is to improve the radar's ability to describe fine movements, that is, to improve the radar's ability to accurately measure speed. The traditional envelope ranging has limited accuracy, and the traditional speed measurement method mainly obtains high-precision speed measurement values by increasing the accumulation time. This method is at the expense of the data rate, and cannot be applied to high data rate requirements. Scenes. As an emerging technology, phase estimation velocity can achieve high-precision velocity estimation by extracting the phase information of target echoes and analyzing the phase changes of echoes in adjacent frames.
频率步进信号是一种瞬时窄带、合成宽带信号,具有良好的距离和多普勒分辨性能,且易于工程实现。但由于频率步进雷达需要利用多个子脉冲来完成信号的相参积累使得它对目标运动比较敏感,目标的径向运动会使频率步进信号脉冲压缩所得的高分辨距离像产生耦合时移和波形发散。对于高速运动目标,还需要考虑包络走动和脉内多普勒调制等影响。目前,范花玉(H.Fan,“A high precision method of phase derived velocityMeasurement and its application in motion compensation of ISAR imaging.”IEEETrans.Geosci.Remote Sens.,vol.56,no.1,pp.60-77,Jan.2018.)给出了比较全面的相推测量的处理方法,但是,该方法是基于低速模型实现的,不适用于高速目标。郭立勇(L.Guo,“A Novel High Accuracy Phase-derived Velocity Measurement Method for FastMoving Space Target,”IEEE Geosci.Remote Sens.Lett.,to be published.DOI:10.1109/LGRS.2018.2879491.)介绍了基于线性调频信号的高速目标相推测速处理方法,但是该方法仅适用于采用去斜处理的线性调频信号,而不适用于频率步进信号。The frequency-stepped signal is an instantaneous narrowband, synthetic wideband signal with good range and Doppler resolution, and is easy to implement in engineering. However, since the frequency stepping radar needs to use multiple sub-pulses to complete the coherent accumulation of the signal, it is more sensitive to the target movement. diverge. For high-speed moving targets, the effects of envelope movement and intrapulse Doppler modulation also need to be considered. Currently, Fan Huayu (H.Fan,“A high precision method of phase derived velocityMeasurement and its application in motion compensation of ISAR imaging.”IEEETrans.Geosci.Remote Sens.,vol.56,no.1,pp.60-77, Jan. 2018.) gave a more comprehensive processing method of phase inference measurement, however, this method is based on the low-speed model and is not suitable for high-speed targets. Liyong Guo (L. Guo, "A Novel High Accuracy Phase-derived Velocity Measurement Method for FastMoving Space Target," IEEE Geosci. Remote Sens. Lett., to be published. DOI: 10.1109/LGRS.2018.2879491.) introduced the chirp-based The high-speed target phase estimation of the signal is a fast processing method, but this method is only suitable for chirp signals with de-slope processing, not for frequency-stepped signals.
发明内容SUMMARY OF THE INVENTION
本发明的目的是为了克服已有技术的缺陷,为了解决高速目标精确测速的问题,提出一种基于调频步进信号的高速目标相推测速方法。The purpose of the present invention is to overcome the defects of the prior art and to solve the problem of accurate speed measurement of high-speed targets, and to propose a high-speed target phase estimation method based on frequency-modulated step signals.
本发明方法是通过下述技术方案实现的:The inventive method is achieved through the following technical solutions:
一种基于调频步进信号的高速目标相推测速方法,具体过程为:A high-speed target phase estimation method based on FM step signal, the specific process is as follows:
步骤一,建立基于调频步进信号的高速目标回波模型,在建立所述模型的过程中考虑脉内时间调制对目标回波时延的影响;Step 1, establishing a high-speed target echo model based on a frequency-modulated stepping signal, and considering the influence of intrapulse time modulation on the target echo delay in the process of establishing the model;
步骤二,对回波模型进行单个脉冲的匹配脉压处理,在脉压处理时,对频谱相位中存在的二次相位项进行补偿;In step 2, the matching pulse pressure processing of a single pulse is performed on the echo model, and during the pulse pressure processing, the secondary phase term existing in the spectral phase is compensated;
步骤三,对脉压处理后的结果进行相参合成处理,得到一维高分辨距离像;Step 3, performing coherent synthesis processing on the result after pulse pressure processing to obtain a one-dimensional high-resolution range image;
步骤四,基于所述一维高分辨距离像,实现相推测速。Step 4: Based on the one-dimensional high-resolution range image, phase estimation speed is realized.
进一步地,本发明所述目标回波时延为tr:Further, the target echo delay in the present invention is tr :
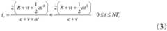
其中,R为目标距离,v为目标速度,a为目标加速度,Tr为脉冲重复周期,N为跳频数,t'表示快时间轴,t'∈(0,Tr),c表示光速。Among them, R is the target distance, v is the target speed, a is the target acceleration, Tr is the pulse repetition period, N is the frequency hopping number, t' represents the fast time axis, t'∈(0,Tr ), and c represents the speed of light.
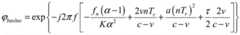
进一步地,本发明步骤二中补偿的二次相位项为:Further, the quadratic phase term compensated in step 2 of the present invention is:
其中,K表示调频率,f表示频率。Among them, K represents the modulation frequency, and f represents the frequency.
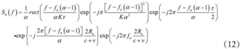
进一步地,本发明在步骤三得到一维高分辨距离像时,进行包络走动补偿,所述包络走动补偿项为:Further, the present invention performs envelope movement compensation when obtaining a one-dimensional high-resolution range image in step 3, and the envelope movement compensation term is:
其中,fn=(f0+nΔf),f0为载频,Δf为频率跳变间隔,τ表示脉冲宽度,v表示粗测速度。Among them, fn =(f0 +nΔf), f0 is the carrier frequency, Δf is the frequency hopping interval, τ represents the pulse width, and v represents the rough measurement speed.
进一步地,本发明在步骤三还包括对一维高分辨距离像脉压后的二次相位项进行补偿,具体过程为:Further, in step 3, the present invention further includes compensating the quadratic phase term after the pulse pressure of the one-dimensional high-resolution range image, and the specific process is as follows:
当粗测目标的速度和加速度满足下式时,利用当前粗测的速度和加速度进行二次相位项的补偿;When the speed and acceleration of the rough measurement target satisfy the following formula, the current coarse measurement speed and acceleration are used to compensate the quadratic phase term;
其中,in,
有益效果:Beneficial effects:
第一,由于高速(>100m/s)目标运动速度大,回波不易于积累,存在脉内多普勒调制等问题,本发明建立了考虑脉内多普勒调制的高速目标回波模型,推导了考虑加速度的相推测速模型,可适用于径向运动包含加速度和加加速度的高速目标,满足工程应用需求。First, because the high-speed (>100m/s) target moves at a large speed, the echo is not easy to accumulate, and there are problems such as intra-pulse Doppler modulation. The present invention establishes a high-speed target echo model considering the intra-pulse Doppler modulation. A phase estimation velocity model considering acceleration is deduced, which can be applied to high-speed targets whose radial motion includes acceleration and jerk to meet the needs of engineering applications.
第二,本发明所设置二次相位补偿可以实现单个脉冲匹配脉压的有效处理,改善非线性相位项对于脉压带来的影响。Second, the secondary phase compensation set in the present invention can realize the effective processing of single pulse matching pulse pressure, and improve the influence of nonlinear phase term on pulse pressure.
第三,本发明所进行包络走动补偿可以更好的实现相参脉压过程,有效的积累回波能量,补偿由于目标高速运动带来的脉冲散焦的问题。Third, the envelope movement compensation performed by the present invention can better realize the coherent pulse pressure process, effectively accumulate the echo energy, and compensate for the problem of pulse defocus caused by the high-speed motion of the target.
第四,本发明所一维高分辨距离像脉压前的二次相位项进行补偿可以实现相参脉压处理,防止目标高速运动引起的波形发散,信噪比降低等问题。Fourth, the present invention compensates the quadratic phase term before the pulse pressure of the one-dimensional high-resolution range image, which can realize the coherent pulse pressure processing, and prevent problems such as waveform divergence and signal-to-noise ratio reduction caused by the high-speed motion of the target.
第五,本发明可获得相位量级的测速精度,且数据率高,运算量小。Fifth, the present invention can obtain the velocity measurement accuracy of the phase level, and has a high data rate and a small amount of computation.
附图说明Description of drawings
图1为相推测速结果;Figure 1 is the phase estimation speed result;
图2为相推测速误差。Figure 2 shows the phase estimation speed error.
具体实施方式Detailed ways
为使本发明实施例的目的、技术方案和优点更加清楚,下面将结合本发明实施例中的附图,对本发明实施例中的技术方案进行清楚、完整的描述。To make the purposes, technical solutions, and advantages of the embodiments of the present invention clearer, the following will clearly and completely describe the technical solutions in the embodiments of the present invention with reference to the accompanying drawings in the embodiments of the present invention.
本发明实施例提供一种基于调频步进信号的高速目标相推测速方法,The embodiment of the present invention provides a high-speed target phase estimation method based on a frequency modulation step signal,
首先建立基于雷达发射调频步进信号的高速目标回波模型;然后对单个脉冲进行匹配脉压处理,分析目标高速运动对回波产生的脉内调制影响,主要体现在速度引起的包络走动,高阶相位项等;之后分析了包络走动及高阶相位项补偿的可行性,并在此基础上实现了目标的相参合成一维高分辨成像处理;最后通过分析相邻帧回波的包络时延和峰值点相位变化,利用包络测速结果解相推测速模糊,即可获得高速目标的高精度相推测速结果。First, establish a high-speed target echo model based on the FM stepping signal transmitted by the radar; then, perform matching pulse pressure processing on a single pulse, and analyze the influence of the target's high-speed motion on the intra-pulse modulation of the echo, which is mainly reflected in the envelope movement caused by the speed. High-order phase term, etc.; after that, the feasibility of envelope walking and high-order phase term compensation is analyzed, and on this basis, the target coherent synthesis one-dimensional high-resolution imaging processing is realized; finally, by analyzing the echoes of adjacent frames The envelope delay and the phase change of the peak point can be obtained by using the envelope velocity measurement results to resolve the phase estimation velocity blur, and the high-precision phase estimation velocity results of the high-speed target can be obtained.
该方法的具体包括如下步骤:The method specifically includes the following steps:
步骤一、基于雷达发射调频步进信号的高速目标回波建模。Step 1: Model the high-speed target echo based on the radar transmitting FM step signal.
本步骤通过分析高速目标的回波时延,建立基于调频步进信号的雷达回波模型。后续的相关处理都是在此模型的基础上进行。In this step, a radar echo model based on FM stepped signal is established by analyzing the echo delay of the high-speed target. Subsequent related processing is carried out on the basis of this model.
需要说明的是,对于由多个脉冲合成获得的更大带宽信号,这些信号都可以认为是步进频体制类型的信号。例如简单步进频信号,脉内相位编码脉间频率步进信号,调频步进信号等。在单个脉冲的匹配脉压处理后,这些步进频体制的信号均可以等效为相同的信号模型。所以本发明所提的方法适用于这一类信号。此处,只是以调频步进信号为例,介绍相关的相推处理方法。It should be noted that, for signals with larger bandwidths obtained by synthesizing multiple pulses, these signals can be regarded as signals of the stepped frequency system type. For example, simple step frequency signal, intrapulse phase encoding interpulse frequency step signal, frequency modulation step signal, etc. After the matching pulse pressure of a single pulse is processed, the signals of these stepped frequency systems can all be equivalent to the same signal model. Therefore, the method proposed in the present invention is suitable for this type of signal. Here, only the frequency modulation step signal is taken as an example to introduce the related phase inference processing method.
雷达发射的调频步进信号可以表示为:The FM stepped signal emitted by the radar can be expressed as:
其中,Tr为脉冲重复周期,τ为脉冲宽度,f0为载频,Δf为频率跳变间隔,N为跳频数,K为调频率。Among them, Tr is the pulse repetition period,τ is the pulse width, f0 is the carrier frequency, Δf is the frequency hopping interval, N is the frequency hopping number, and K is the modulation frequency.
假设目标距离为R,速度为v,且定义目标远离雷达为正,加速度为a。相推测速仅在相邻帧之间进行,一般来说,一帧数据时间很短,可以假定目标在一帧时间内近似做匀加速运动。在这个前提下,该方法同样适用于做变加速运动的目标。Suppose the target distance is R, the velocity is v, and the target is defined as being away from the radar as positive, and the acceleration is a. Phase estimation is only performed between adjacent frames. Generally speaking, the data time of one frame is very short, and it can be assumed that the target moves approximately uniformly in one frame time. Under this premise, the method is also applicable to the target of variable acceleration motion.
此时目标回波时延为:At this time, the target echo delay is:
将时间表示成慢时间与快时间,即Expressing time as slow time and fast time, i.e.
t=t'+nTr n=0:N-1t'∈(0,Tr)t=t'+nTr n=0:N-1t'∈(0,Tr )
(4) (4)
目标加速度一般不大于100m/s2,因此可以忽略加速度对脉内的影响,仅考虑加速度对脉间的影响。此时回波时延可以表示为:The target acceleration is generally not greater than 100m/s2 , so the influence of the acceleration on the pulse can be ignored, and only the effect of the acceleration on the pulse can be considered. At this time, the echo delay can be expressed as:
进一步整理,令:To further organize, let:
回波信号为:The echo signal is:
与本振混频后的基带信号为:The baseband signal after mixing with the local oscillator is:
其中:in:
fn=(f0+nΔf)fn =(f0 +nΔf)
(10) (10)
对上述基带信号(式(8))进行AD采样后,就可以进行后续单个脉冲匹配脉压处理。After AD sampling is performed on the above-mentioned baseband signal (equation (8)), subsequent single pulse matching pulse pressure processing can be performed.
步骤二:单个脉冲的匹配脉压处理Step 2: Matching pulse pressure processing of a single pulse
本步骤实现对回波信号单个脉冲的匹配脉压处理。本步骤是后续IFFT相参处理的基础。对于高速目标来说,回波中存在目标高速运动引起的调制以及对回波包络的伸缩变换等,因此需要在处理中考虑这些影响。This step realizes the matching pulse pressure processing of the single pulse of the echo signal. This step is the basis for the subsequent IFFT coherent processing. For a high-speed target, there are modulations caused by the high-speed motion of the target and the scaling and transformation of the echo envelope in the echo, so these effects need to be considered in the processing.
由傅里叶变换的尺度性质:The scale property by the Fourier transform:
可以求得回波信号的频谱为:The spectrum of the echo signal can be obtained as:
在频域实现匹配滤波处理:Implement matched filtering processing in the frequency domain:
Sout=Sn(f)·Sref*(f) (13)Sout =Sn (f) · Sref* (f) (13)
匹配滤波的后的结果在频域可以表示为:The result of matched filtering can be expressed in the frequency domain as:
由式(14)可以看出,频谱相位中存在二次相位项,会导致时域波形的发散,需要对其进行补偿,补偿的二次相位项为:It can be seen from equation (14) that there is a quadratic phase term in the spectral phase, which will lead to the divergence of the time domain waveform, which needs to be compensated. The compensated quadratic phase term is:
经过补偿后,匹配脉压后的时域输出结果为:After compensation, the time domain output result after matching the pulse pressure is:
其中,sinc为辛格函数,且where sinc is the Singer function, and
由式(16)可以看出,与传统的脉冲压缩结果相比,由于目标高速运动对雷达回波的脉内调制作用,其脉冲压缩结果存在包络的尺度伸缩效应;此外,脉冲压缩结果还存在快时间维度的多普勒调制的影响。It can be seen from equation (16) that compared with the traditional pulse compression results, due to the intrapulse modulation effect of the target's high-speed motion on the radar echo, the pulse compression results have a scale expansion effect of the envelope; in addition, the pulse compression results also There is the effect of Doppler modulation of the fast time dimension.
步骤三:相参合成一维高分辨成像Step 3: Coherent synthesis of one-dimensional high-resolution imaging
本步骤拟采用IFFT相参处理合成一维高分辨距离像。IFFT相参合成是频率步进体制信号常用的处理方法。在步骤二完成单脉冲脉压处理的基础上,对不同的脉冲进行IFFT相参合成处理,可以获得一维高分辨距离像。在此基础上,对目标进行步骤四相推测速处理,获得高精度的速度信息。This step intends to use IFFT coherent processing to synthesize a one-dimensional high-resolution range image. IFFT coherent synthesis is a common processing method for frequency-stepped signals. On the basis of completing the single-pulse pulse pressure processing in step 2, IFFT coherent synthesis processing is performed on different pulses, and a one-dimensional high-resolution range image can be obtained. On this basis, the four-phase estimation speed processing is performed on the target to obtain high-precision speed information.
由于目标的高速运动,同一帧信号的不同脉冲的峰值点位置是不同的。即不同脉冲的峰值点可能会相差好几个距离分辨单元。这会影响后续的IFFT相参合成处理,导致一维高分辨距离像出现散焦。因此,拟从频域对包络走动现象进行补偿。Due to the high-speed motion of the target, the peak positions of different pulses of the same frame signal are different. That is, the peak points of different pulses may differ by several distance resolution units. This will affect the subsequent IFFT coherent synthesis process, resulting in defocusing of the one-dimensional high-resolution range image. Therefore, it is proposed to compensate the envelope walking phenomenon from the frequency domain.
包络走动补偿项应为:The envelope walk compensation term should be:
包络补偿后的结果应保证,所有脉冲回波的峰值走动不超过半个距离分辨单元。对带宽为30MHz,一帧时间为20ms的雷达来说,当加速度为100m/s2时(目标加速度一般小于100m/s2),包络走动补偿要求的速度精度近似为124m/s。由于速度补偿精度要求比较低,因此可以采用雷达系统提供的目标参考速度或者采用传统的包络测速方法获得的粗测速结果。The results after envelope compensation should ensure that the peaks of all pulse echoes do not move by more than half a distance resolution unit. For a radar with a bandwidth of 30MHz and a frame time of 20ms, when the acceleration is 100m/s2 (the target acceleration is generally less than 100m/s2 ), the velocity accuracy required by the envelope motion compensation is approximately 124m/s. Due to the relatively low accuracy requirements of speed compensation, the target reference speed provided by the radar system or the rough speed measurement result obtained by the traditional envelope speed measurement method can be used.
补偿后的一维高分辨成像结果为:The compensated one-dimensional high-resolution imaging results are:
忽略包络的影响,分析式(19)峰值点处的相位项,按照关于n的常数项相位,一次相位项,二次相位项、三次相位项分别进行整理:Ignoring the influence of the envelope, analyze the phase term at the peak point of Equation (19), and organize them according to the phase of the constant term about n, the first-order phase term, the second-order phase term, and the third-order phase term:
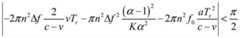
上式中关于n的二次相位项和三次相位项会影响相参处理,导致波形发散。一般来说,当相位变化的最大值小于π/2时,其对脉压结果的影响可以忽略,即需满足:The quadratic phase term and the cubic phase term for n in the above equation will affect the coherent processing and cause the waveform to diverge. Generally speaking, when the maximum value of the phase change is less than π/2, its influence on the pulse pressure result can be ignored, that is, it needs to satisfy:
对于N=20,Δf=30MHz,Tr=1000μs,.f0=3GHz.的S波段雷达来说,对三阶相位项,按照式(22)计算可得:|a|<312.5m/s2,因加速度一般小于100m/s2,则三阶相位项满足式(22),无需对其进行补偿。对二阶相位项,需要对加速度和速度同时补偿。如果不考虑加速度,仅对速度补偿,按照式(21)计算可得:|v|<3.12m/s;如果不考虑速度,仅对加速度补偿,按照式(21)计算可得:|a|<62.5m/s2;当速度补偿精度为1m/s时,加速度补偿精度为42.5m/s2;当加速度补偿精度为10m/s2时,加速度补偿精度为2.62m/s。补偿的速度值可以采用雷达系统提供的参考速度或者采用传统的包络测速方法获得的粗测速结果。在获得多帧数据的粗测速结果之后,可以基于多帧速度的平滑滤波结果实现加速度估计。For the S-band radar with N=20, Δf=30MHz, Tr =1000μs, .f0 =3GHz., the third-order phase term can be calculated according to formula (22): |a|<312.5m/s2. Since the acceleration is generally less than 100m/s2 , the third-order phase term satisfies the equation (22), and no compensation is required. For the second-order phase term, both acceleration and velocity need to be compensated. If acceleration is not considered, only velocity compensation can be calculated according to formula (21): |v|<3.12m/s; if velocity is not considered, only acceleration compensation can be calculated according to formula (21): |a| <62.5m/s2 ; when the speed compensation accuracy is 1m/s, the acceleration compensation accuracy is 42.5m/s2 ; when the acceleration compensation accuracy is 10m/s2 , the acceleration compensation accuracy is 2.62m/s. The compensated speed value can be the reference speed provided by the radar system or the rough speed measurement result obtained by the traditional envelope speed measurement method. After the coarse velocity measurement results of the multi-frame data are obtained, acceleration estimation can be realized based on the smooth filtering results of the multi-frame velocity.
对二阶相位项补偿后,经IFFT相参处理的高分辨距离像为:After compensating the second-order phase term, the high-resolution range image coherently processed by IFFT is:
其中,in,
提取式(23)峰值点处的时延值和相位值,时延值为:Extracting the delay value and phase value at the peak point of equation (23), the delay value is:
相位值为:The phase value is:
对上式中最后一个与k有关的相位项进行补偿。补偿后的相位项为:Compensate for the last k-related phase term in the above equation. The compensated phase term is:
步骤四:高精度测速处理Step 4: High-precision speed measurement processing
在步骤三获得一维高分辨距离像的基础上,通过分析相邻帧回波的包络时延增量相对时间的变化率,得到目标的包络粗测速结果;通过对多帧粗测速结果进行平滑滤波,并在此基础上实现目标加速度和距离的粗估计;结合相邻帧回波峰值点相位的变化,利用目标速度、加速度和距离的粗估计结果解相位模糊,实现相推测速处理。On the basis of obtaining a one-dimensional high-resolution range image in step 3, by analyzing the relative time change rate of the envelope delay increment of the echo of adjacent frames, the rough envelope velocity measurement result of the target is obtained; Smooth filtering is performed, and a rough estimation of target acceleration and distance is realized on this basis; combined with the phase changes of the echo peak points of adjacent frames, the phase blurring is solved by using the rough estimation results of target speed, acceleration and distance, and phase estimation speed processing is realized. .
令R1和R2表示相邻帧目标的距离,v1和v2表示对应的速度。则:Let R1 and R2 denote the distances of adjacent frame targets, and v1 and v2 denote the corresponding velocities. but:
v2=v1+aNTr (29)v2 =v1 +aNTr (29)
进行包络粗测速时,对其精度要求不是很高,因此可以假设目标在相邻帧内加速度为0,即:R2=R1+v1NTr,v2=v1。对具备特显点的回波,可以按下述方法直接处理。对不具备特显点的回波,可以参考文献[1],采用基于距离像互相关的相推测速处理。对具备特显点的回波,通过波形分析法,提取相邻帧一维高分辨距离像峰值点处的时延值。由式(25)可得:When performing a rough envelope velocity measurement, the accuracy requirement is not very high, so it can be assumed that the acceleration of the target is 0 in adjacent frames, namely: R2 =R1 +v1 NTr , v2 =v1 . The echoes with distinctive features can be directly processed according to the following methods. For the echoes that do not have distinctive points, you can refer to [1], and use the phase estimation speed processing based on the cross-correlation of the range image. For the echoes with distinctive points, the time delay value at the peak point of the one-dimensional high-resolution range image of adjacent frames is extracted by the waveform analysis method. From formula (25), we can get:
将相邻帧回波进行相减,可得:Subtract the echoes of adjacent frames to get:
依据上式,可知目标的包络测速结果为:According to the above formula, it can be known that the envelope velocity measurement result of the target is:
在获得多帧包络测速结果之后,可以对其进行平滑滤波处理,并在此基础上得到目标加速度的粗估计结果;根据式(30),可以进一步得到目标距离的粗估计结果。After obtaining the multi-frame envelope velocity measurement results, it can be smoothed and filtered, and on this basis, the rough estimation result of the target acceleration can be obtained; according to formula (30), the rough estimation result of the target distance can be further obtained.
分析相邻帧一维高分辨距离像峰值点处的相位值:Analyze the phase value at the peak point of the one-dimensional high-resolution range image of adjacent frames:
拟采用包络测速结果解相位模糊,同时可参考文献[1]所提方法实现低信噪比条件下的相位解模糊处理。It is proposed to use the envelope velocity measurement results to de-ambiguate the phase, and the method proposed in the reference [1] can be used to realize the phase de-blurring under the condition of low signal-to-noise ratio.
最终,联立式(28)、式(29)、式(34)、式(35),即可求得目标的相推测速结果。Finally, by combining Equation (28), Equation (29), Equation (34), and Equation (35), the target phase estimation speed result can be obtained.
自此,就完成了基于调频步进信号的高速目标相推测速处理,获得了高精度的相推测速结果。Since then, the high-speed target phase estimation speed processing based on the FM step signal has been completed, and a high-precision phase estimation speed result has been obtained.
为验证本发明提供方法的正确性,进行了仿真验证。仿真参数如表1所示,其中雷达工作在S波段。假设目标沿着雷达径向做匀加速运动。目标初始距离为80km,初始速度为4000m/s,加速度为10m/s2。处理200帧回波数据。其中IFFT相参合成后的信噪比为25dB。In order to verify the correctness of the method provided by the present invention, simulation verification is carried out. The simulation parameters are shown in Table 1, where the radar works in the S-band. It is assumed that the target moves with uniform acceleration along the radial direction of the radar. The initial distance of the target is 80km, the initial speed is 4000m/s, and the acceleration is 10m/s2 . Process 200 frames of echo data. The signal-to-noise ratio after IFFT coherent synthesis is 25dB.
目标的相推测速结果及其速度真值如图1所示,图1右下角为局部放大图。相推测速误差如图2所示,统计可得相推测速均方根误差为0.0226m/s,相推测速的理论精度为0.0204m/s,可知相推测速的仿真结果与理论精度相符,验证了所提方法的高精度测速性能。The phase estimation speed result of the target and its true speed value are shown in Figure 1, and the lower right corner of Figure 1 is a partial enlarged view. The phase estimation velocity error is shown in Figure 2. According to statistics, the root mean square error of the phase estimation velocity is 0.0226m/s, and the theoretical accuracy of the phase estimation velocity is 0.0204m/s. It can be seen that the simulation results of the phase estimation velocity are consistent with the theoretical accuracy. The high-precision speed measurement performance of the proposed method is verified.
表1雷达参数表Table 1 Radar parameter table
综上所述,以上仅为本发明的较佳实施例而已,并非用于限定本发明的保护范围。凡在本发明的精神和原则之内,所作的任何修改、等同替换、改进等,均应包含在本发明的保护范围之内。To sum up, the above are only preferred embodiments of the present invention, and are not intended to limit the protection scope of the present invention. Any modification, equivalent replacement, improvement, etc. made within the spirit and principle of the present invention shall be included within the protection scope of the present invention.
| Application Number | Priority Date | Filing Date | Title |
|---|---|---|---|
| CN201910612746.0ACN110441763B (en) | 2019-07-09 | 2019-07-09 | High-speed target phase velocity estimation method based on frequency modulation stepping signals |
| Application Number | Priority Date | Filing Date | Title |
|---|---|---|---|
| CN201910612746.0ACN110441763B (en) | 2019-07-09 | 2019-07-09 | High-speed target phase velocity estimation method based on frequency modulation stepping signals |
| Publication Number | Publication Date |
|---|---|
| CN110441763A CN110441763A (en) | 2019-11-12 |
| CN110441763Btrue CN110441763B (en) | 2021-11-26 |
| Application Number | Title | Priority Date | Filing Date |
|---|---|---|---|
| CN201910612746.0AActiveCN110441763B (en) | 2019-07-09 | 2019-07-09 | High-speed target phase velocity estimation method based on frequency modulation stepping signals |
| Country | Link |
|---|---|
| CN (1) | CN110441763B (en) |
| Publication number | Priority date | Publication date | Assignee | Title |
|---|---|---|---|---|
| CN112014833B (en)* | 2020-09-04 | 2023-11-14 | 上海无线电设备研究所 | High-speed target time-frequency domain detection method |
| CN116299445A (en)* | 2022-12-22 | 2023-06-23 | 北京理工大学 | A Broadband Imaging Method for High Speed Target Synthesis Based on Echo Model Inversion |
| Publication number | Priority date | Publication date | Assignee | Title |
|---|---|---|---|---|
| CN104007435A (en)* | 2014-04-24 | 2014-08-27 | 北京航空航天大学 | Accurate speed measuring method based on medium-frequency adjacent echo phase difference |
| US9229102B1 (en)* | 2009-12-18 | 2016-01-05 | L-3 Communications Security And Detection Systems, Inc. | Detection of movable objects |
| Publication number | Priority date | Publication date | Assignee | Title |
|---|---|---|---|---|
| US9229102B1 (en)* | 2009-12-18 | 2016-01-05 | L-3 Communications Security And Detection Systems, Inc. | Detection of movable objects |
| CN104007435A (en)* | 2014-04-24 | 2014-08-27 | 北京航空航天大学 | Accurate speed measuring method based on medium-frequency adjacent echo phase difference |
| Title |
|---|
| A Novel High-Accuracy Phase-Derived Velocity Measurement Method for Wideband LFM Radar;Liyong Guo等;《IEEE GEOSCIENCE AND REMOTE SENSING LETTERS》;20190430;第16卷(第4期);第529-533页* |
| SAR/ISAR运动目标检测及成像新技术研究;刘亚波;《中国博士学位论文全文数据库 信息科技辑》;20111215(第12期);正文第70-79页* |
| 频率步进雷达信号处理与波形生成技术研究;陈静超;《中国优秀硕士学位论文全文数据库 信息科技辑》;20150715(第7期);正文第7-17、61页* |
| Publication number | Publication date |
|---|---|
| CN110441763A (en) | 2019-11-12 |
| Publication | Publication Date | Title |
|---|---|---|
| CN101825707B (en) | Monopulse angular measurement method based on Keystone transformation and coherent integration | |
| CN105301590B (en) | Maneuvering target frequency modulation stepping inverse synthetic aperture imaging method | |
| CN103616679B (en) | Based on difference beam modulation and the PD radar range finding angle-measuring method of wave form analysis | |
| CN109521436A (en) | A kind of moving object dynamic distance measurement method based on double light path CW with frequency modulation | |
| CN103293521B (en) | Method for detecting water depth of offshore sea by X-band radar | |
| KR101092567B1 (en) | FMC radar and distance velocity detection method of moving object using same | |
| CN103630888A (en) | High-precision real-time microwave velocity and distance measuring device based on symmetrical triangle LFMCW (Linear Frequency Modulation Continuous Wave) radar | |
| CN104898119B (en) | A kind of moving target parameter estimation method based on correlation function | |
| CN106154265B (en) | It is a kind of that oblique radar ISAR envelope alignment method is gone based on frequency domain displacement | |
| CN110441763B (en) | High-speed target phase velocity estimation method based on frequency modulation stepping signals | |
| CN110850384A (en) | Method for generating broadband deskew echo based on sweep frequency data | |
| CN111750972A (en) | A target vibration measurement method suitable for dual-frequency continuous laser radar | |
| CN109613507B (en) | A detection method for radar echoes of high-order maneuvering targets | |
| CN114325700A (en) | Satellite-borne multi-channel SAR moving target imaging method | |
| CN101788671A (en) | Multicycle modulation method applied to laser ranging device using chirp amplitude modulation based on heterodyne detection | |
| CN117075067A (en) | Radar-based moving object detection method, radar-based moving object detection system, electronic equipment and medium | |
| CN117784129A (en) | Moving target radial velocity estimation and repositioning method for terahertz circumference SAR | |
| Li et al. | A high-accuracy phase-derived velocity measurement method for high-speed spatial targets based on stepped-frequency chirp signals | |
| CN110441749B (en) | Frequency stepping radar target motion parameter estimation method | |
| CN110967677B (en) | Time-frequency domain hierarchical multi-target distinguishing and measuring method | |
| WO2011021262A1 (en) | Radar device | |
| Xu et al. | A novel motion compensation approach based on symmetric triangle wave interferometry for UAV SAR imagery | |
| CN116430354B (en) | FMCW laser radar target information resolving method and system | |
| CN117554944A (en) | Method and system for forming high-resolution high-precision distance spectrum of millimeter wave radar | |
| CN116299445A (en) | A Broadband Imaging Method for High Speed Target Synthesis Based on Echo Model Inversion |
| Date | Code | Title | Description |
|---|---|---|---|
| PB01 | Publication | ||
| PB01 | Publication | ||
| SE01 | Entry into force of request for substantive examination | ||
| SE01 | Entry into force of request for substantive examination | ||
| GR01 | Patent grant | ||
| GR01 | Patent grant |