Movatterモバイル変換


[0]ホーム

URL:


CN110400002B - A Multi-Star Imaging Mission Planning Method - Google Patents

A Multi-Star Imaging Mission Planning Method
Download PDF

Info

Publication number
CN110400002B
CN110400002BCN201910540739.4ACN201910540739ACN110400002BCN 110400002 BCN110400002 BCN 110400002BCN 201910540739 ACN201910540739 ACN 201910540739ACN 110400002 BCN110400002 BCN 110400002B
Authority
CN
China
Prior art keywords
task
clustering
node
satellite
point target
Prior art date
Legal status (The legal status is an assumption and is not a legal conclusion. Google has not performed a legal analysis and makes no representation as to the accuracy of the status listed.)
Active
Application number
CN201910540739.4A
Other languages
Chinese (zh)
Other versions
CN110400002A (en
Inventor
龙军
钱哲曼
陈仕隆
韩笑冬
徐楠
杨凯飞
Current Assignee (The listed assignees may be inaccurate. Google has not performed a legal analysis and makes no representation or warranty as to the accuracy of the list.)
Central South University
China Academy of Space Technology CAST
Original Assignee
Central South University
China Academy of Space Technology CAST
Priority date (The priority date is an assumption and is not a legal conclusion. Google has not performed a legal analysis and makes no representation as to the accuracy of the date listed.)
Filing date
Publication date
Application filed by Central South University, China Academy of Space Technology CASTfiledCriticalCentral South University
Priority to CN201910540739.4ApriorityCriticalpatent/CN110400002B/en
Publication of CN110400002ApublicationCriticalpatent/CN110400002A/en
Application grantedgrantedCritical
Publication of CN110400002BpublicationCriticalpatent/CN110400002B/en
Activelegal-statusCriticalCurrent
Anticipated expirationlegal-statusCritical

Links

Images

Classifications

Landscapes

Abstract

Translated fromChinese

本发明公开了一种多星成像任务规划方法,包括:建立任务模型,将所有点目标任务均使用任务模型表示;以轨道圈次为基准,以轨道圈次内的任务作为聚类图模型的节点,并基于聚类约束条件构建聚类图模型中各节点之间的无向边,得到成像任务聚类图模型;基于启发式规则将满足聚类约束条件的点目标任务聚合为聚类任务,并基于中位数定理计算聚类任务的侧摆角;构建并利用任务规划的约束条件和目标函数,构建与成像任务聚类图模型所对应的任务规划有向无环图模型;基于任务规划有向无环图模型,并采用最大最小蚁群算法进行任务规划,得到多星成像任务规划方案。在不同的数据规模下,本发明能够获得满意的任务规划结果且具有良好的稳定性。

Figure 201910540739

The invention discloses a multi-satellite imaging mission planning method, which comprises the following steps: establishing a mission model, and using the mission model to represent all point target missions; Then, based on the clustering constraints, the undirected edges between the nodes in the clustering graph model are constructed to obtain the imaging task clustering graph model; the point target tasks that satisfy the clustering constraints are aggregated into clustering tasks based on heuristic rules. , and calculate the roll angle of clustering tasks based on the median theorem; construct and use the constraints and objective functions of task planning to construct a directed acyclic graph model of task planning corresponding to the clustering graph model of imaging tasks; The directed acyclic graph model is planned, and the maximum and minimum ant colony algorithm is used for mission planning, and the multi-satellite imaging mission planning scheme is obtained. Under different data scales, the present invention can obtain satisfactory mission planning results and has good stability.

Figure 201910540739

Description

Multi-satellite imaging task planning method
Technical Field
The invention relates to the field of imaging satellite task planning, in particular to a multi-satellite imaging task planning method.
Background
The imaging satellite is a platform provided with an imaging instrument, flies around the earth in a specific orbit, and images and photographs a ground target according to the requirements of users; the method has the characteristics of long continuous imaging time, wide coverage range, no restriction of national boundaries and the like, is widely applied to the fields of surveying and mapping, military reconnaissance, environmental protection, national and soil census and the like, and obtains high attention of all countries in the world. The increase in user imaging requirements has resulted in the scheduling of imaging observations for only a subset of the task set during the task planning cycle, failing to meet as much of the user's requirements as possible. To address the problem of imaging satellite starvation, more satellites are launched for earth observation, but the scarce imaging satellite resources remain unusually valuable in the presence of a large number of user imaging needs.
Disclosure of Invention
Based on the problem of short supply and short demand of the current imaging satellite, the invention provides a multi-satellite imaging task planning method, which seeks a reasonable and scientific planning scheme between the limited imaging satellite resources and a large amount of user imaging demands, and is beneficial to fully utilizing the satellite resources and realizing the maximization of the user demand satisfaction.
In order to achieve the technical purpose, the invention adopts the following technical scheme:
a multi-satellite imaging task planning method comprises the following steps:
step 1, establishing a task model, and expressing all point target tasks by using the task model;
step 2, constructing all point target tasks into an imaging task clustering graph model;
constructing a clustering graph model by taking a single orbit circle of a satellite as a reference; respectively taking point target tasks in the track cycle as 1 node of a corresponding track cycle part in a clustering graph model, and constructing a non-directional edge between each node in the clustering graph model based on a clustering constraint condition to obtain an imaging task clustering graph model;
step 3, aggregating point target tasks which meet the clustering constraint condition and can be observed in the same imaging strip by the satellite into clustering tasks in an imaging task clustering graph model;
step 4, constructing constraint conditions and an objective function of the task planning; constructing a task planning directed acyclic graph model corresponding to the imaging task clustering graph model obtained in thestep 3 by using constraint conditions and objective functions of task planning;
step 5, based on the task planning directed acyclic graph model, adopting a maximum and minimum ant colony algorithm to carry out task planning;
step 5.1, setting ant colonies at the initial node of each track turn of the task planning directed acyclic graph model;
step 5.2, respectively planning each track circle of the directed acyclic graph model aiming at the task, taking the initial node of the current track circle as the initial position of the movement of the ant individuals, taking the terminal node of the current track circle as the terminal position of the movement of the ant individuals, and taking heuristic information and pheromone concentration as the movement rule of the ant individuals, so that all ant individuals in the ant colony move from the initial position to the terminal position, and obtaining the movement paths of all ant individuals in the ant colony;
the heuristic information between two adjacent nodes is constructed by the number of tasks between the two adjacent nodes, the size of the attitude maneuver angle and the longitude difference;
step 5.3, selecting the moving path selected by the most ants from all the moving paths of each track circle as the optimal moving path of the current iteration cycle of the current track circle;
step 5.4, updating the optimal moving path from each track circle to the current iteration cycle;
step 5.5, updating the pheromone concentration of the directed acyclic graph model of the mission planning by utilizing heuristic information, and returning to the step 5.2 to enter the next iteration cycle;
and 5.6, when the iteration ending condition is reached, taking the optimal moving path of each orbit circle as a final multi-star imaging task planning scheme.
The method aggregates the point target tasks meeting the clustering constraint condition into clustering tasks, thereby effectively utilizing limited imaging satellite resources to complete a plurality of imaging tasks; and then, performing task planning on the clustered tasks by adopting a maximum-minimum ant colony algorithm, and introducing the number of tasks, attitude maneuver angles and longitude differences into the maximum-minimum ant colony algorithm to construct heuristic information and update pheromone concentration, so that the reasonability of ant path selection can be ensured, and a better task planning scheme can be ensured.
Further, the task model established instep 1 is MetaTask, and is expressed as: MetaTask { IDSet, TimeWindowMap, Lat, Lon, Priority };
the IDSet is a set of a plurality of single target task numbers; if the IDSet only contains one number, the task MetaTask is a point target task; if the IDSet contains a plurality of numbers, the task is a clustering task; the TimeWindowMap is a map set which takes the number SatelliteID of the satellite as a key and takes a visible time window list between the satellite and the task as a value; lat represents the latitude of the MetaTask; lon denotes the longitude of the MetaTask for the task; priority represents the Priority of the task MetaTask;
the Satellite model in the task model is Satellite, and is expressed as:
Satellite{SatelliteID,AllocatedTasks<MetaTask>,Eccentricity,SemiMajorAxis,Inclination,TrueAnomaly,AscNodeRAAN,Perigee,ConeAngle,AttitudeStabilizationTime,AttitudeSpeed};
wherein: satellite id represents the number of the satellite, allocatedttasks represents the set of missions with which there is a window of visibility, Eccentricity represents the Eccentricity of the satellite orbit, semimajor axis of the satellite orbit, Inclination represents the Inclination of the satellite orbit, truean represents the true periorbital angle of the satellite, AscNodeRAAN represents the ascension of the satellite orbit, perfect represents the periorbital amplitude of the satellite orbit, ConeAngle represents the field angle of view of the satellite remote sensor, attetudinalsistantiationtime represents the satellite remote sensor attitude stabilization time, attetude speed represents the satellite remote sensor attitude maneuver angular velocity;
the visible time window model in the task model is TimeWindow, which is expressed as:
TimeWindow{ID,StartTime,EndTime,RollAngle_S,RollAngle_E};
wherein: ID represents the number of the visible time window, StartTime represents the start time of the visible time window, EndTime represents the end time of the visible time window, RollAngle _ S represents the roll angle corresponding to the start time of the visible time window, and RollAngle _ E represents the roll angle corresponding to the end time of the visible time window.
Further, the calculation method of the yaw angle of the clustering task T is as follows:
calculating the intersection of the roll angle value ranges of all point target tasks in the clustering task T, taking the obtained intersection as the roll angle value range delta theta, and obtaining the optimal roll angle set B of each point target task in the clustering task T;
sorting the optimal yaw angles in the optimal yaw angle set B according to the magnitude sequence to obtain a set B 'and calculating a median M of the set B';
judging the relation between the median M and the roll angle value range delta theta of the clustering task T: if the median M is within the roll angle value range Delta theta of the clustering task T, taking the median M as the roll angle of the clustering task T; if the median M is larger than the upper bound of the roll angle value range Delta theta of the clustering task T, taking the upper bound of the roll angle value range of the clustering task T as the roll angle of the clustering task T; and if the median M is smaller than the lower bound of the roll angle value range delta theta of the clustering task T, taking the lower bound of the roll angle value range of the clustering task T as the roll angle of the clustering task T.
The clustering task side swing angle calculation method based on the median principle reduces the loss of imaging quality of the clustering task. For each point target task in the clustering task, an optimal yaw angle is provided, namely, the imaging satellite remote sensor is turned to a position opposite to the point target task, and the observation effect on the point target task is optimal at the position of the optimal yaw angle; the larger the difference value between the yaw angle of the satellite remote sensor and the optimal yaw angle of the point target task is, the poorer the observation effect of the point target task is. Therefore, under the condition of considering the imaging quality, the problem of solving the optimal yaw angle of the clustering task can be converted into the following steps: and taking a yaw angle in the yaw angle value range of the clustering task, so that the sum of absolute values obtained by subtracting the yaw angle from the optimal yaw angle of each point target task is minimum. According to the median principle, the point with the minimum sum of the distances from the point to the point n on the numerical axis is the median of the point n, so that the invention can use the median of the optimal yaw angle of each point target task in the clustering task as the yaw angle of the clustering task based on the median principle, and can reduce the loss of imaging quality of the clustering task caused by the pitch angle value.
Further, the clustering constraints include: yaw angle constraints, maximum on-time constraints, and idle time constraints,
the yaw angle constraint means that if a plurality of points are on the target task t1、t2、t3……、tkCan be clustered into a clustering task T, then the corresponding yaw angle delta theta1、△θ2、△θ3……、△θkThe requirements are as follows:
Figure BDA0002102489020000031
the maximum starting time constraint means that if a plurality of point target tasks can be clustered into a clustering task T, any two point target tasks Tl、tkAll the requirements are as follows:
max(tek,tel)-min(tsk,tsl)≤MaxDuration;
in the formula, tsk、tekRespectively representing point target tasks tkVisible time window of [ ts ]k,tek]Start time and end time of tsl、telRespectively representing point target tasks tlVisible time window of [ ts ]l,tel]MaxDuration represents the longest time limit for the remote sensor to perform one imaging observation when it is turned on;
the idle time constraint means that if two points target task tl、tkCan be clustered into a clustering task T, and needs to satisfy the following conditions:
Figure BDA0002102489020000041
WTkl=max(tel-tek,0);
in the formula, WTklIndicating remote sensor target task t at two pointslAnd tkThe imaging idle time in between is set to zero,
Figure BDA0002102489020000042
indicating remote sensor target task t at two pointslAnd tkTime of posture adjustment between, DminRepresenting the attitude stabilization time of the remote sensor; rolll、RollkRespectively representing two point target tasks tlAnd tkThe yaw angle v in the same track circle represents the attitude maneuvering speed of the remote sensor;
when a plurality of point target tasks simultaneously satisfy 3 constraint conditions of yaw angle constraint, maximum startup time constraint and idle time constraint, the plurality of point target tasks satisfy clustering constraint conditions and can be aggregated into a clustering task T;
when two point target tasks do not meet space time constraint, but meet yaw angle constraint and maximum boot time constraint, and a plurality of point target tasks meeting clustering conditions exist between the two tasks, the two point target tasks meet transitive clustering conditions and can be aggregated into a clustering task T.
Further, the specific process ofstep 2 is:
step 2.1, acquiring a point target task set G of a satellite with a visible time window in the ith orbital circle;
step 2.2, adjusting the value range of the yaw angle of the point target task;
step 2.3, taking each point target task as 1 node respectively, judging whether any two point target tasks in the point target task set G meet the clustering constraint condition, and if so, constructing a non-directional edge between two nodes corresponding to the two point target tasks;
step 2.4, finding out all connected graphs contained in the point target task set G to obtain an initial task clustering model CGM;
step 2.5, judging whether any two point target tasks without undirected edges in each connected graph in the initial task clustering model CGM meet transitive clustering conditions, and if so, constructing undirected edges between two nodes corresponding to the two point target tasks;
step 2.6, making i equal to i +1, and returning to the step 2.1; until an imaging task clustering graph model including all track circle parts is obtained.
Further, the specific process ofstep 3 is:
step 3.1, acquiring a connected graph G in a task clustering graph model CGM of the ith orbit circle of the satellite S, setting P as a node set contained in the connected graph G, and initializing a clustering result set ClusterRes;
step 3.2, if P is empty, turning to step 3.9; otherwise, selecting the node P1 with the maximum degree from the node set P; if the node with the maximum degree is not unique, randomly selecting a node, and adding all neighbor nodes of the node p1 into a first set p1_ neighbor; the degree of a node refers to the number of undirected edges connected with the node, and a neighbor node of the node refers to a node which is connected with the node by the undirected edges;
step 3.3, if the first set p1_ neighbor is empty, go to step 3.8; otherwise, selecting a node with the most common neighbors with the node p1 from the first set p1_ Neigh, and adding the node into the second set p1_ MaxCommNeigh;
step 3.4, if the second set p1_ MaxCommNeigh contains only nodes, let p2 be p1_ MaxCommNeigh [0], go tostep 7; if the node contained in the second set p1_ MaxCommNeigh is not unique, go to step 3.5;
step 3.5, selecting nodes with least irrelevant edges with the node p1 from the second set p1_ MaxCommNeigh, and adding a third set p1_ MinUnRelatedEdge; if the node included in the third set p1_ minunrated edge is unique, let p2 be p1_ minunrated edge [0], go to step 3.7; if the node contained in the third set p1_ MinUnRelatedEdge is not unique, go to step 3.6;
step 3.6, selecting the node with the maximum priority from the third set p1_ MinUnRelatedEdge, and if the node with the maximum priority is not unique, selecting the node with the minimum undirected edge weight formed by the node p1 and juxtaposing the node with the minimum undirected edge weight asp 2;
the edge weight value of the non-directional edge refers to imaging idle time between nodes at two ends of the non-directional edge;
step 3.7, deleting irrelevant edges of the edges (P1, P2), merging the nodes P1 and P2 into a new node P1, deleting the node P2 from the node set P, updating the first set P1_ Neigh, and turning to step 3.3;
step 3.8, adding the node p1 into the clustering result ClusterRes, and turning to the step 3.2;
step 3.9, outputting a clustering result ClusterRes, and ending;
wherein, the model of the clustering result ClusterRes is MSITCR < SatelliteID, ClusterResList < ClusterTask > >, which is a key value pair set taking satellite number SatelliteID as a key and clustering task list ClusterResList as a value; the clustering task model is ClusterTask { OrbitID, MetaTaskIDSet, TW { StartTime, EndTime }, RollAngle };
in the clustering task model, the OrbitID is the number of the satellite orbit circle, which indicates the corresponding clustering task belongs to which orbit circle of the satellite; MetaTaskIDSet is a set of point target task numbers forming the clustering task, TW corresponds to a visible time window of the clustering task and a satellite with the number of SatelliteID in the OrbitID orbit turns, StartTime is a start time, EndTime is an end time, and RollAngle is a yaw angle corresponding to the clustering task.
Further, the constraints of the mission planning are as follows:
Figure BDA0002102489020000061
sjk+durj+tranjmk+STi≤smk
Figure BDA0002102489020000062
in the formula, yjkRepresenting a task tjWhether or not to arrange at satellite SiImaging observation is carried out on the kth orbit circle, yjk1 denotes arrangement, yjk0 means no schedule; kiRepresenting a satellite SiTotal number of turns flown around the earth during the mission planning period; sjkRepresenting a task tjAt the k-th orbit circle observation starting time of the satellite, tj∈Tik;TikRepresenting a satellite SiAt the kth orbital turn there is a set of candidate tasks with a time window,
Figure BDA0002102489020000063
n2is and satellite SiThe number of candidate tasks with time window at kth orbit turn and Tik∈Ti;TiRepresenting a satellite SiThe assigned candidate imaging tasks are aggregated,
Figure BDA0002102489020000064
n1as a satellite SiThe number of candidate imaging tasks assigned is
Figure BDA0002102489020000065
smkRepresenting a task tmAt the k-th orbit circle observation starting time of the satellite, tm∈Tik;durjRepresenting a task tjThe observation duration of (c); tranjmkRepresenting the attitude conversion time required between a task j and a task m which are successively executed in the kth orbit circle of the satellite; ST (ST)iRepresenting a satellite SiThe posture stabilization time; EO (ethylene oxide)iRepresenting a satellite SiThe energy consumption rate of the imaging remote sensor when imaging observation is carried out; x is the number ofjhRepresenting a task thWhether or not it can be scheduled at task tjPost-imaging observation, xjhX represents 1 canjh0 means not capable; ES (ES)iRepresenting a satellite SiRate of energy consumption in performing an attitude maneuver; anglejhkRepresenting tasks t performed successively in the k-th orbital turn of the satellitejAnd thThe attitude maneuver angle therebetween; v. ofiRepresenting a satellite SiTo carry outThe speed of the gestural maneuver; eiRepresenting a satellite SiMaximum value of energy consumption within one track turn;
the objective function of the mission plan is:
Figure BDA0002102489020000066
Figure BDA0002102489020000067
where N represents the number of imaging observation events for the mission planning scenario.
Further, in step 5.2, the movement rule using heuristic information and pheromone concentration as ant individuals is as follows: ant individual ant _ k current node is task tiThen calculate its selection task
Figure BDA0002102489020000071
As the probability of the next node, and then selecting the task with the highest probability as the next node, wherein the probability ptjThe calculation formula of (2) is as follows:
Figure BDA0002102489020000072
in the formula (I), the compound is shown in the specification,
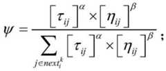
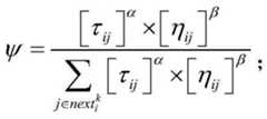
Figure BDA0002102489020000073
represents the set of all nodes, τ, that an ant individual ant _ k can reach from the current node iijIndicating the concentration value, η, of the pheromone on the path from node i to node jijRepresenting heuristic information values corresponding to paths from node i to node j, alpha and beta representing pheromone concentrations and weights of the heuristic information, respectively, q0Is a constant value, q is a random number greater than 0 and less than 1;
the heuristic information etaijThe calculation method comprises the following steps:
Figure BDA0002102489020000074
in the formula, TCijIndicates the number of clustering tasks, angle, contained in the path from node i to node jijAbs (Lon) represents the magnitude of the satellite attitude maneuver angle from node i to node jj-Loni) Represents an absolute value of a longitude difference between node i and node j;
the intermediate quantity psi is calculated by:
Figure BDA0002102489020000075
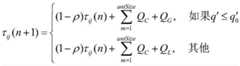
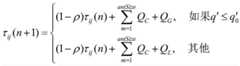
pheromone concentration tauijThe iteration updating method comprises the following steps:
Figure BDA0002102489020000076
wherein antSize represents the number of individual ants in the ant colony, QCSum of heuristic information, Q, representing the path of movement of a single ant individual over the current iteration cycleLSum of heuristic information, Q, representing optimal movement path of all ant individuals of the ant colony in the current iteration cycleGSum of heuristic information representing optimal movement path of all ant individuals of the ant colony up to the current iteration cycle, q'0Is a fixed constant value and q' is a random number greater than 0 and less than 1.
The moving rules of the ant individuals and the pheromone concentration updating strategy are introduced with a random mechanism, so that the possibility of further searching the solution space by the ants can be ensured, the defect that the maximum and minimum ant colony algorithm is easy to fall into local optimum is overcome, and a better task planning scheme is ensured to be obtained.
Further, the limiting interval of the pheromone concentration is [ tau ]minmax]And when the calculated pheromone concentration exceeds the limit interval, correcting according to the following formula:
Figure BDA0002102489020000081
the method can avoid premature convergence of the maximum and minimum ant colony algorithm to the local optimal solution, thereby ensuring that a better task planning scheme is obtained.
Further, the point target task refers to an imaging task performed by a satellite remote sensor on a ground target.
Advantageous effects
The invention provides a multi-satellite imaging task planning method, which designs an imaging task clustering algorithm based on heuristic rules and reduces the uncertainty of task clustering results; a clustering task yaw angle calculation method based on the median principle is designed, and the loss of imaging quality of clustering tasks is reduced. Designing a multi-star imaging task planning algorithm for locally updating a task planning scheme based on a maximum ant colony algorithm and a minimum ant colony algorithm; heuristic information of the number of tasks, attitude maneuver angles and longitude differences introduced in the construction process of the task planning scheme ensures the reasonability of the ants in the moving process; the random mechanism introduced in the algorithm effectively avoids the defect that the ant colony algorithm is easy to fall into local optimum. The imaging task clustering and imaging task planning scheme is successfully updated locally, and the functions of increasing the task satisfaction degree and reducing the algorithm running time are achieved. Under different data scales, the multi-satellite imaging task planning algorithm provided by the invention can obtain satisfactory task planning results and has good stability.
Drawings
FIG. 1 is a schematic side-sway diagram of a remote sensor;
FIG. 2 is a flow chart of a clustering task yaw angle calculation method of the present invention;
FIG. 3 is a schematic diagram of the task, satellite, time window relationship of the present invention;
FIG. 4 is a schematic diagram of a task cluster map model of the present invention;
FIG. 5 is a schematic diagram of a mission planning directed acyclic graph model of the present invention;
FIG. 6 is a flowchart of a multi-star imaging task planning algorithm of the present invention;
FIG. 7 is a schematic diagram of a local update of the mission planning scenario of the present invention.
Detailed Description
The following describes embodiments of the present invention in detail, which are developed based on the technical solutions of the present invention, and give detailed implementation manners and specific operation procedures to further explain the technical solutions of the present invention.
The invention provides a multi-satellite imaging task planning method, which comprises an imaging task clustering method and a task planning method; imaging task clustering, namely converting the imaging task clustering problem into a graph theory group division problem by constructing an imaging task clustering graph model, and designing an imaging task clustering algorithm based on heuristic rules to be responsible for aggregating point target imaging tasks which can be observed by an imaged satellite in the same imaging strip into clustering tasks; and task planning, namely, converting a task planning problem into a problem that a maximum path including the number of imaging tasks is included in a solution graph by constructing a task planning directed acyclic graph model, designing a multi-star task planning algorithm for locally updating a task planning scheme based on a maximum ant colony algorithm and a minimum ant colony algorithm, and planning a task clustering result to complete a key problem of imaging task time window selection.
First, clustering of imaging tasks
1. Clustering constraints
Because the imaging satellite resources are limited, in order to effectively utilize the limited imaging satellite resources, the invention aggregates the point target tasks which meet the specific clustering constraint condition and can be observed in the same imaging strip by the same imaging satellite into the clustering task. In the present invention, the point target task is referred to as an imaging task.
In the invention, the clustering constraint conditions comprise a yaw angle constraint and a time constraint;
the side swing angle is an included angle formed among the ground imaging target, the satellite remote sensor and a satellite down-satellite point after the satellite remote sensor performs attitude maneuver by pointing to the ground target;
the satellite subsatellite point is a projection point of a satellite on the ground;
as shown in fig. 1, σ denotes the field angle of the satellite S;
Figure BDA0002102489020000091
representing satellite pair tasks tiThe observation angle during observation is recorded
Figure BDA0002102489020000092
Performing a task t for a satelliteiThe yaw angle of (1); the imaging effect is the best when the imaging remote sensor is aligned to the ground target, and the observation angle of the imaging remote sensor is determined at the moment
Figure BDA0002102489020000093
Is recorded as a satellite pair task tiOptimum observation angle theta in performing observationi
As long as the ground point target task tiFor any yaw angle within the coverage of the remote sensor
Figure BDA0002102489020000094
The remote sensor can carry out imaging observation on the remote sensor;
in general, in consideration of the quality of an observed image, the roll angle range needs to be corrected, and the roll angle range after correction is set as follows:
Figure BDA0002102489020000095
the side swing angle constraint means: if several observation tasks t1、t2、t3……、tkCan be clustered, must have
Figure BDA0002102489020000101
Figure BDA0002102489020000102
This is true.
The time constraints include a maximum on time constraint and an imaging idle time constraint;
the time length of one imaging observation when the imaging remote sensor is started is limited and is set as MaxDeration, and the maximum starting time constraint refers to: if point target observation task t1、t2、t3……、tkClustering can be performed to form a clustering task T, and the following formula (2) is necessarily established:
max(tek,tel)-min(tsk,tsl) MaxSource formula (2) is less than or equal to;
the imaging idle time refers to the time consumed on an invalid observation area between two point target tasks in the process that the imaging remote sensor performs imaging observation on two continuous point target tasks on the ground;
set point target task tiAnd tkThe corresponding yaw angles in the same track circle are alli、RollkThen imaging the remote sensor at two point targets tiAnd tkThe posture adjustment time between is:
Figure BDA0002102489020000103
wherein: v (°/s) represents the remote sensor attitude maneuver speed;
set satellite pair task tk、tlThe visible time windows in the same orbit are [ ts ]k,tek]、[tsl,tel]And is set to tsk<tslThen task tkAnd tlThe imaging idle time in between is:
WTkl=max(tel-tek0) formula (4);
the imaging idle time constraint refers to: setting the attitude stabilization time of the imaging remote sensor as DminThen two point target tasks tiAnd tkIf clustering is possible within the same orbit turn, equation (5) must hold:
Figure BDA0002102489020000104
furthermore, perhaps two point target tasks tiAnd tjThe imaging idle time constraint is not satisfied, but the yaw angle constraint and the maximum starting time constraint are satisfied, and a plurality of tasks satisfying the clustering constraint exist between the two tasks, namely transitive clustering is satisfied, and the point target task t can still be obtainediAnd tjAnd aggregating the data into a clustering task.
2. Relational modeling
An imaging task, which may be a point target task or a clustering task obtained through aggregation, may have a plurality of time windows with a plurality of imaging satellites in a plurality of orbit rounds, and a relationship between the three is shown in fig. 3, and a following model is established according to the relationship between the three:
(1) the visible time window model TimeWindow is expressed as:
TimeWindow{ID,StartTime,EndTime,RollAngle_S,RollAngle_E}
wherein: ID represents the number of the visible time window, StartTime represents the start time of the visible time window, EndTime represents the end time of the visible time window, RollAngle _ S represents the roll angle corresponding to the start time of the visible time window, and RollAngle _ E represents the roll angle corresponding to the end time of the visible time window.
(2) The task model MetaTask, expressed as:
MetaTask{IDSet,TimeWindowMap,Lat,Lon,Priority};
wherein: IDSet is a collection of a plurality of single target task numbers; if the IDSet only contains one number, the task MetaTask is a point target task; if the IDSet contains a plurality of numbers, the task is a clustering task; the TimeWindowMap is a map set which takes the number SatelliteID of the satellite as a key and takes a visible time window list between the satellite and the task as a value; lat represents the latitude of the MetaTask; lon denotes the longitude of the MetaTask for the task; priority indicates the Priority of the task MetaTask.
(3) The Satellite model is Satellite, and is expressed as:
Satellite{SatelliteID,AllocatedTasks<MetaTask>,Eccentricity,SemiMajorAxis,Inclination,TrueAnomaly,AscNodeRAAN,Perigee,ConeAngle,AttitudeStabilizationTime,AttitudeSpeed};
wherein: SatelliteID denotes the number of the satellite, allocatedttasks denotes the set of missions with which there is a window of visibility, Eccentricity denotes the Eccentricity of the satellite orbit, semimajor axis of the satellite orbit, Inclination denotes the Inclination of the satellite orbit, truean denotes the true periorbital angle of the satellite orbit, AscNodeRAAN denotes the ascension of the satellite orbit, perfect denotes the periorbital amplitude of the satellite orbit, ConeAngle denotes the field angle of view of the satellite remote sensor, attetudinalsistantiationtime denotes the satellite remote sensor attitude stabilization time, attetude speed denotes the satellite remote sensor attitude maneuver angular velocity.
3. Task clustering graph model construction
And expressing the point target tasks by using the task model, then aggregating the point target tasks which can be observed in the same imaging strip by the satellite by using a clustering constraint condition into clustering tasks in the imaging task clustering graph model, and expressing the clustering tasks by using the task model. The process of aggregating the clustering tasks in the imaging task clustering graph model comprises the following steps:
the invention takes a point target task as a node in a clustering graph model, and takes a single orbit circle of a satellite as a reference to construct a clustering graph model List < G, V >, CGM for short, and CGM is a connected graph set consisting of a plurality of connected graphs. G represents a connected graph, V represents a node set (namely a vertex in the graph theory) of the connected graph G, and undirected edges between nodes are constructed step by step through a clustering constraint condition;
the specific construction steps of the imaging task clustering graph model are as follows:
a1, acquiring a point target task set G of a satellite in an ith orbital circle with a time window;
step A2, adjusting the value range of the yaw angle of the point target task;
step A3, taking each point target task as 1 node respectively, judging whether any two point target tasks in the point target task set G meet the clustering constraint condition, and if so, constructing a non-directional edge between two nodes corresponding to the two point target tasks;
step A4, finding out all connected graphs contained in the point target task set G to obtain an initial task clustering model CGM;
step A5, judging whether transitive clustering conditions are met or not for any two point target tasks without undirected edges in each connected graph in the initial task clustering model CGM, and if yes, constructing undirected edges between two nodes corresponding to the two point target tasks;
step a6, if i is equal to i +1, return to step a 1; until an imaging task clustering graph model including all track circle parts is obtained.
As shown in fig. 4 as an example, the construction of the task clustering graph model is further described: in fig. 4(a), the height of the small rectangle represents the field angle range of the imaging remote sensor, and tasks {1,2,3}, tasks {5,6,7,8,9}, tasks {11,12}, tasks {7,9,10}, and tasks {8,11} can be aggregated into one clustering task; wherein, the tasks {1,3}, the tasks {5,7}, the tasks {5,8}, the tasks {5,9}, the tasks {6,8}, the tasks {6,9}, the tasks {7,9}, the tasks {10,9} do not meet the imaging idle time constraint, but meet transitive clustering, thus can also be clustered; and other tasks cannot be clustered due to the fact that the clustering constraint conditions are not met. If a plurality of point target tasks can be clustered, any two point target tasks are connected by an undirected edge. By combining the above, a task clustering graph model shown in fig. 4(b) is constructed, and the point target task clustering problem is converted into a cluster division problem.
4. Imaging task clustering algorithm based on heuristic rule
The imaging task clustering method provided by the invention comprises the following steps:
step B1, acquiring a connected graph G in the task clustering graph model CGM of the ith orbit circle of the satellite S, setting P as a node set contained in the connected graph G, and initializing a clustering result set ClusterRes;
step B2, if the node set P is empty, go to step B9; otherwise, the slave nodeSelecting the node P with the maximum degree of selection from the set P1(ii) a If the node with the maximum degree is not unique, randomly selecting a node, and combining the nodes p1All neighboring nodes join the first set p1A Neigh; the degree of a node refers to the number of undirected edges connected with the node, and a neighbor node of the node refers to a node which is connected with the node by the undirected edges;
step B3, if the first set p1If Neigh is empty, go to step B8; otherwise, from the first set p1Selecting and node p from Neigh1The node with the most common neighbors and added to the second set p1_ MaxCommNeigh;
in step B4, if the node contained in the second set p1_ MaxCommNeigh is unique, let p be2=p1_MaxCommNeigh[0]Turning to step 7; if the second set p1_ MaxCommNeigh contains nodes that are not unique, go to step B5;
step B5, selecting a node p from the second set p1_ MaxCommNeigh1Nodes with the least number of irrelevant edges and adding a third set p1_ MinUnRelatedEdge; if the node contained in the third set p1_ MinUnRelatedEdge is unique, let p be2=p1_MinUnRelatedEdge[0]Go to step B7; if the node contained in the third set p1_ MinUnRelatedEdge is not unique, go to step B6;
the irrelevant edges are understood as: if edge e1 has one vertex of edge e2 as the vertex, but the other vertex is not a common neighbor of e2, then e1 is said to be an unrelated edge toe 2.
Step B6, selecting the node with the maximum priority from the third set p1_ MinUnRelatedEdge, if the node with the maximum priority is not unique, selecting the node with the minimum undirected edge weight composed of the node p1, and juxtaposing the node with the minimum undirected edge weight asp 2;
step B7, deleting edges (p)1,p2) Of the node p1、p2Merge into a new node p1Deleting the node P from the node set P2Update the first set p1Neigh, go to step B3;
step B8, node p1Adding the obtained product into a clustering result ClusterRes, and turning to the step B2;
and step B9, outputting the clustering result ClusterRes and ending.
Wherein, the model of the clustering result ClusterRes is MSITCR < SatelliteID, ClusterResList < ClusterTask > >, which is a key value pair set taking satellite number SatelliteID as a key and clustering task list ClusterResList as a value; the clustering task model is ClusterTask { OrbitID, MetaTaskIDSet, TW { StartTime, EndTime }, RollAngle };
in the clustering task model, the OrbitID is the number of the satellite orbit circle, which indicates the corresponding clustering task belongs to which orbit circle of the satellite; MetaTaskIDSet is a set of point target task numbers forming the clustering task, TW corresponds to a time window of the clustering task and a satellite with the number of SatelliteID in the OrbitID orbit turns, StartTime is a start time, EndTime is an end time, and RollAngle is a yaw angle corresponding to the clustering task.
The calculation method of the yaw angle of the clustering task obtained by clustering the target tasks of each point is shown in fig. 2, and if the obtained median is in the yaw angle value range of the clustering task, the magnitude of the yaw angle of the clustering task is equal to the median; if the median is larger than the upper bound of the value range of the yaw angle of the clustering task, the size of the yaw angle of the clustering task is equal to the upper bound of the value range of the yaw angle; otherwise, the size of the yaw angle of the clustering task is equal to the lower bound of the range of the yaw angle.
Second, task planning
After the first part of imaging tasks are clustered, a plurality of point target tasks meeting clustering constraint conditions are aggregated into clustering tasks, the clustering tasks are uniformly represented by using the task model, and then a problem model is constructed for the clustered tasks (including the aggregated tasks and the unaggregated point target tasks) to generate a task planning scheme.
The problem model comprises a task planning optimization target model and a task planning directed acyclic graph model;
the task planning scheme is as follows: a set of two adjacent imaging tasks capable of successively performing observation imaging tasks; each imaging task in the task planning scheme comprises imaging observation starting and stopping time and satellite remote sensor side swing angle information; in addition, the task planning scheme further comprises two evaluation indexes of task completion degree and satellite attitude maneuver angle sum.
1. Constructing problem models
Parameters in the mission planning optimization objective model are defined as follows:
Figure BDA0002102489020000131
Figure BDA0002102489020000141
according to the task planning target and the task planning model parameters, the invention designs the following task planning model:
constraint conditions are as follows:
Figure BDA0002102489020000142
sjk+durj+tranjmk+STi≤smkformula (7);
Figure BDA0002102489020000143
task planning objective function:
Figure BDA0002102489020000144
formula (6) represents the imaging task execution uniqueness constraint, i.e. any one imaging task is executed at most once; equation (7) is a satellite continuous observation time constraint, for two satellites S can be arrangediImaging task t for successive observation in the kth orbitj、tmThis constraint needs to be satisfied; formula (II)(8) Is an energy constraint condition representing the satellite SiThe energy consumption within a certain track turn cannot exceed the upper limit of the energy consumption; equation (9) is an optimization objective function of the imaging task planning problem, which represents the maximized task completion number;
and for two different task planning schemes, if the task satisfaction degrees of the two different task planning schemes are equal, the task planning scheme with smaller attitude maneuver angle sum is preferentially selected. Mathematically expressed as follows:
Figure BDA0002102489020000151
n in the formula (10) represents the imaging observation activity times of the mission planning scheme;
the invention constructs a directed acyclic graph model of the task planning as shown in figure 5 for the multi-star imaging task planning problem, each sub-graph Gi in figure 5 corresponds to one track circle, white represents that the task only has one time window, black represents that the task has a plurality of time windows for the purpose of beauty, and figure 5 only shows part of directed edges pointing from S nodes to non-E nodes in each sub-graph Gi;
2. multi-star imaging task planning algorithm based on maximum and minimum ant colony algorithm
In combination with a directed acyclic graph model for task planning, the invention designs a multi-satellite imaging task planning algorithm (Max-Min Ant Colony Optimization-Local Update, MM-ACO-LU) based on a maximum and minimum Ant Colony algorithm, converts the multi-satellite imaging task planning problem into an optimal path problem which satisfies a target Optimization function in a solution graph, and the flow of the algorithm is shown in FIG. 6;
the MM-ACO-LU algorithm comprises three modules, namely a mission planning scheme construction module, a mission planning scheme local updating module and an pheromone updating module;
the task planning scheme is responsible for constructing paths from a node S to a node E in each sub-graph of the directed acyclic graph model, and all the paths form a final task planning result;
the construction of the mission planning scheme is done by moving ant positions, assuming ant _ k is currently presentThe position is task tiThen ant _ k selects the task
Figure BDA0002102489020000152
The rule as the next position is as follows:
Figure BDA0002102489020000153
in the case of the rule described above,
Figure BDA0002102489020000154
represents the set of all nodes, τ, reachable from the position i where ant _ k is currently locatedijIndicating the concentration value, η, of the pheromone on the path from node i to node jijRepresenting heuristic information values corresponding to paths from node i to node j, alpha and beta representing pheromone concentrations and weights of the heuristic information, respectively, q0Is a fixed constant value and q is a random number greater than 0 and less than 1.
According to the invention, a randomness mechanism is introduced into the movement rules of the ant individuals, so that the possibility of further searching the solution space by the ants can be ensured, the defect that the ant colony algorithm is easy to fall into a local optimal movement path is overcome, and an optimal task planning scheme can be obtained.
The meaning of formula (11) is: assuming that the current position of ant _ k is i, generating a random number q, and if q is less than or equal to q0Then [ tau ] willij]α×[ηij]βIs used as ant _ k to select task tjProbability of being used as next node, otherwise selecting task t by using psi as ant kjProbability of being the next node; finally the ant is selected from
Figure BDA0002102489020000161
Selecting p from the settjThe node with the maximum value is used as the next node;
the heuristic information etaijThe calculation method of (2) is as follows:
Figure BDA0002102489020000162
in the formula (12), TCijRepresenting the number of imaging tasks, angle, contained in the node i to node j pathijAbs (Lon) represents the magnitude of the satellite attitude maneuver angle from node i to node jj-Loni) Representing the absolute value of the difference between the longitudes of node i and node j.
According to the invention, heuristic information is constructed by introducing the task quantity, attitude maneuver angle and longitude difference between two adjacent nodes, so that the reasonability of selecting the next mobile node in the task planning directed acyclic graph model by the ant individual is ensured.
In equation (11), the calculation method of ψ is as follows:
Figure BDA0002102489020000163
the task planning scheme local updating is responsible for updating the task planning scheme generated in the task planning scheme constructing step, and only a path with the length of two between two adjacent tasks is searched, as shown in fig. 7, the task planning scheme which is more in line with the objective optimization function can be obtained by performing the task planning scheme local updating, so that the operation time of the task planning scheme is reduced.
The invention provides a task planning scheme local updating method based on a task quantity priority rule, which comprises the following steps:
step C1, let schedule be track circle O1The mission planning scheme of (i) ═ 0, t1 ═ schedule.
Step C2, if i is equal to the number of tasks contained in schedule, go to step C7, otherwise, go to step C3;
step C3, let next be t1 at track turn O1Set of successor nodes not scheduled for imaging observation, t2 ═ schedule.
Step C4, if j is j +1, if j is smaller than the size of the next set, go to step 5, otherwise, go to step C2;
step C5, if t3 is next, get (j), if t3 is equal to t2 and t3 meets the constraint of formula (8) after being added to the schedule, adding t3 to the (i +1) th position of the schedule, turning to step C6, otherwise, turning to step C4;
step C6, i is i +1, t1 is schedule.get (i), t2 is schedule.get (i +1), go to step C2;
and C7, ending.
The pheromone updating is responsible for updating the pheromone concentration on all paths of the directed acyclic graph after all ants finish the construction of the mission planning scheme, and the pheromone updating method fully utilizes global information and local information, and is as follows:
Figure BDA0002102489020000171
wherein antSize represents the number of individual ants in the ant colony, QCSum of heuristic information, Q, representing the path of movement of a single ant individual over the current iteration cycleLSum of heuristic information, Q, representing optimal movement path of all ant individuals of the ant colony in the current iteration cycleGThe sum of heuristic information of the optimal moving path of all ant individuals in the ant colony to the current iteration cycle is represented; q's'0Is a fixed constant value, q' is a random number greater than 0 and less than 1;
QCthe calculation method of (c) is as follows:
Figure BDA0002102489020000172
QGthe calculation method of (c) is as follows:
Figure BDA0002102489020000173
QLthe calculation method of (c) is as follows:
Figure BDA0002102489020000174
SLrepresents the optimal moving path obtained by the current iteration cycle, SCRepresents the moving path, S, obtained by the current iteration cycle of the antGRepresents the optimal path of movement, Q, obtained so farGThe sum of heuristic information of the optimal moving path of all ant individuals in the ant colony to the current iteration cycle is represented; etaallRepresenting the sum of the heuristic information on all paths, and the function f () is used to calculate the sum of the heuristic information of the corresponding path.
According to the method, a randomness mechanism is introduced into the pheromone updating strategy, so that the possibility of further searching the solution space by ants can be ensured, the defect that an ant colony algorithm is easy to fall into a local optimal moving path is overcome, and an optimal task planning scheme can be obtained.
To avoid premature convergence of the MM-ACO-LU algorithm to a locally optimal solution, the pheromones on the path are limited to [ tau ] during the pheromone update processminmax]Namely:
Figure BDA0002102489020000181
the above embodiments are preferred embodiments of the present application, and those skilled in the art can make various changes or modifications without departing from the general concept of the present application, and such changes or modifications should fall within the scope of the claims of the present application.

Claims (8)

Translated fromChinese
1.一种多星成像任务规划方法,其特征在于,包括以下步骤:1. a multi-star imaging mission planning method, is characterized in that, comprises the following steps:步骤1,建立任务模型,将所有点目标任务均使用任务模型表示;所述点目标任务是指卫星遥感器对地面目标执行的成像任务;Step 1, establish a task model, and use the task model to represent all point target tasks; the point target task refers to the imaging task performed by the satellite remote sensor on the ground target;步骤2,将所有点目标任务构建成成像任务聚类图模型;Step 2, building all point target tasks into an imaging task cluster graph model;以卫星单个轨道圈次为基准进行构建聚类图模型;以在轨道圈次内的点目标任务分别作为聚类图模型中相应轨道圈次部分的1个节点,并基于聚类约束条件构建聚类图模型中各节点之间的无向边,得到成像任务聚类图模型;The clustering graph model is constructed on the basis of a single orbital circle of the satellite; the point target task within the orbital circle is taken as a node of the corresponding orbital circle in the clustering graph model, and the clustering graph is constructed based on the clustering constraints. The undirected edges between nodes in the class graph model are used to obtain the imaging task cluster graph model;步骤3,将满足聚类约束条件且能被卫星在同一个成像条带中完成观测的点目标任务,在成像任务聚类图模型中聚合为聚类任务;In step 3, the point target tasks that satisfy the clustering constraints and can be observed by satellites in the same imaging strip are aggregated into clustering tasks in the imaging task clustering graph model;步骤4,构建任务规划的约束条件和目标函数;利用任务规划的约束条件和目标函数,构建与步骤3得到的成像任务聚类图模型所对应的任务规划有向无环图模型;Step 4, constructing the constraints and objective functions of the mission planning; using the constraints and objective functions of the mission planning to construct a directed acyclic graph model of the mission planning corresponding to the imaging task clustering graph model obtained in step 3;步骤5,基于任务规划有向无环图模型,并采用最大最小蚁群算法进行任务规划;Step 5, based on the task planning directed acyclic graph model, and using the maximum and minimum ant colony algorithm for task planning;步骤5.1,在任务规划有向无环图模型的每个轨道圈次的起始节点,均设置蚁群;Step 5.1, set up ant colonies at the starting node of each orbital circle of the task planning DAG model;步骤5.2,分别针对任务规划有向无环图模型的每个轨道圈次,以当前轨道圈次的起始节点作为蚂蚁个体移动的起始位置,以当前轨道圈次的终止节点作为蚂蚁个体移动的终止位置,并利用启发式信息和信息素浓度作为蚂蚁个体的移动规则,使蚁群中的所有蚂蚁个体从起始位置移动至终止位置,获得蚁群所有蚂蚁个体的移动路径;Step 5.2: Plan each orbital circle of the DAG model for the task respectively, take the starting node of the current orbital circle as the starting position of the individual ant's movement, and take the ending node of the current orbital circle as the individual moving of the ant and using the heuristic information and pheromone concentration as the movement rules of the ant individuals to make all the ant individuals in the ant colony move from the starting position to the end position, and obtain the moving path of all the ant individuals in the ant colony;其中,相邻两个节点之间的启发式信息,由相邻两个节点之间的任务数量、姿态机动角度的大小和经度差构建得到;Among them, the heuristic information between two adjacent nodes is constructed by the number of tasks between the two adjacent nodes, the size of the attitude maneuver angle and the difference in longitude;在步骤5.2中所述利用启发式信息和信息素浓度作为蚂蚁个体的移动规则为:蚂蚁个体ant_k当前节点为任务ti时,计算其选择任务
Figure FDA0003253037740000011
作为下一节点的概率,然后选择概率最大的任务作为下一节点,其中概率
Figure FDA0003253037740000014
的计算公式为:In step 5.2, the heuristic information and pheromone concentration are used as the moving rule of the ant individual: when the current node of the ant individualant_k is the task ti, calculate its selection task
Figure FDA0003253037740000011
as the probability of the next node, then select the task with the highest probability as the next node, where the probability
Figure FDA0003253037740000014
The calculation formula is:
Figure FDA0003253037740000012
Figure FDA0003253037740000012
式中,
Figure FDA0003253037740000013
表示蚂蚁个体ant_k从当前节点i能够达到的所有节点的集合,τij表示从节点i到节点j路径上的信息素浓度值,ηij表示从节点i到节点j路径所对应的启发式信息值,α和β分别表示信息素浓度和启发式信息的权重,q0为常量值,q是一个大于0小于1的随机数;
In the formula,
Figure FDA0003253037740000013
Represents the set of all nodes that the ant individual ant_k can reach from the current node i, τij represents the pheromone concentration value on the path from node i to node j, ηij represents the heuristic information value corresponding to the path from node i to node j , α and β represent the weight of pheromone concentration and heuristic information, respectively, q0 is a constant value, q is a random number greater than 0 and less than 1;
所述启发式信息ηij的计算方法为:The calculation method of the heuristic informationηij is:
Figure FDA0003253037740000021
Figure FDA0003253037740000021
式中,TCij表示节点i到节点j路径所包含的聚类任务的数量,angleij表示从节点i到节点j卫星姿态机动角度的大小,Math.abs(Lonj-Loni)表示节点i与节点j的经度差的绝对值;In the formula, TCij represents the number of clustering tasks included in the path from node i to node j, angleij represents the size of the satellite attitude maneuver angle from node i to node j, Math.abs(Lonj -Loni ) represents node i the absolute value of the difference with the longitude of node j;中间量ψ的计算方法为:The calculation method of the intermediate quantity ψ is:
Figure FDA0003253037740000022
Figure FDA0003253037740000022
信息素浓度τij的迭代更新方法为:The iterative update method of pheromone concentration τij is:
Figure FDA0003253037740000023
Figure FDA0003253037740000023
式中,antSize表示蚁群中蚂蚁个体的数量,QC表示单只蚂蚁个体在当前迭代周期的移动路径的启发式信息的总和,QL表示蚁群所有蚂蚁个体在当前迭代周期的最优移动路径的启发式信息的总和,QG表示蚁群所有蚂蚁个体到目前迭代周期为止的最优移动路径的启发式信息的总和,q′0是一个固定的常量值,q′是一个大于0小于1的随机数;In the formula,antSize represents the number of ant individuals in the ant colony, QC represents the sum of the heuristic information of the movement path of a single ant individual in the current iteration cycle, andQL represents the optimal movement of all ant individuals in the ant colony in the current iteration cycle. The sum of the heuristic information of the path, QG represents the sum of the heuristic information of the optimal moving path of all ant individuals in the ant colony until the current iteration cycle, q'0 is a fixed constant value, q' is a value greater than 0 and less than 1 random number;步骤5.3,从每个轨道圈次的所有移动路径中选择被最多蚂蚁选择的移动路径,作为当前轨道圈次当次迭代周期的最优移动路径;Step 5.3, select the moving path selected by the most ants from all the moving paths of each orbital circle, as the optimal moving path of the current orbital circle in the current iteration period;步骤5.4,更新每个轨道圈次到目前迭代周期为止的最优移动路径;Step 5.4, update the optimal moving path from each orbital circle to the current iteration cycle;步骤5.5,利用启发式信息更新任务规划有向无环图模型的信息素浓度,返回步骤5.2进入下一个迭代周期;Step 5.5, use the heuristic information to update the pheromone concentration of the task planning DAG model, and return to step 5.2 to enter the next iteration cycle;步骤5.6,当达到迭代结束条件时,将每个轨道圈次的最优移动路径作为最终的多星成像任务规划方案。Step 5.6, when the iteration end condition is reached, the optimal moving path of each orbital circle is used as the final multi-satellite imaging mission planning scheme.2.根据权利要求1所述的方法,其特征在于,步骤1中建立的任务模型为MetaTask,表述为:MetaTask{IDSet,TimeWindowMap,Lat,Lon,Priority};2. method according to claim 1, is characterized in that, the task model established in step 1 is MetaTask, is expressed as: MetaTask{IDSet, TimeWindowMap, Lat, Lon, Priority};其中,IDSet是若干单目标任务编号的集合;如果IDSet只包含一个编号,则该任务MetaTask是一个点目标任务;如果IDSet包含多个编号,则该任务是一个聚类任务;Among them, IDSet is a collection of several single-target task numbers; if IDSet contains only one number, the task MetaTask is a point target task; if IDSet contains multiple numbers, the task is a clustering task;TimeWindowMap是一个以卫星的编号SatelliteID为键,以卫星与任务之间的可见时间窗列表为值的map集合;Lat表示该任务MetaTask的纬度;Lon表示该任务MetaTask的经度;Priority表示该任务MetaTask的优先级;TimeWindowMap is a map set with the satellite number SatelliteID as the key and the visible time window list between the satellite and the task as the value; Lat indicates the latitude of the task MetaTask; Lon indicates the longitude of the task MetaTask; Priority indicates the task MetaTask. priority;任务模型中的卫星模型为Satellite,表述为:The satellite model in the mission model is Satellite, which is expressed as:Satellite{SatelliteID,AllocatedTasks<MetaTask>,Eccentricity,SemiMajorAxis,Inclination,TrueAnomaly,AscNodeRAAN,Perigee,ConeAngle,AttitudeStabilizationTime,AttitudeSpeed};Satellite{SatelliteID,AllocatedTasks<MetaTask>,Eccentricity,SemiMajorAxis,Inclination,TrueAnomaly,AscNodeRAAN,Perigee,ConeAngle,AttitudeStabilizationTime,AttitudeSpeed};其中:SatelliteID表示卫星的编号,AllocatedTasks表示与该卫星存在可见时间窗的任务集合,Eccentricity表示卫星轨道的离心率,SemiMajorAxis表示卫星轨道的半长轴,Inclination表示卫星轨道的倾角,TrueAnomaly表示卫星轨道的真近点角,AscNodeRAAN表示卫星轨道的升交点赤经,Perigee表示卫星轨道的近地点幅角,ConeAngle表示卫星遥感器的视场角,AttitudeStabilizationTime表示卫星遥感器姿态稳定时间,AttitudeSpeed表示卫星遥感器姿态机动角速度;Among them: SatelliteID indicates the number of the satellite, AllocatedTasks indicates the task set that has a visible time window with the satellite, Eccentricity indicates the eccentricity of the satellite orbit, SemiMajorAxis indicates the semi-major axis of the satellite orbit, Inclination indicates the inclination of the satellite orbit, and TrueAnomaly indicates the satellite orbit. True anomaly, AscNodeRAAN represents the ascending node right ascension of the satellite orbit, Perigee represents the argument of perigee of the satellite orbit, ConeAngle represents the field of view angle of the satellite remote sensor, AttitudeStabilizationTime represents the attitude stabilization time of the satellite remote sensor, AttitudeSpeed represents the attitude maneuver of the satellite remote sensor angular velocity;任务模型中的可见时间窗模型为TimeWindow,表述为:The visible time window model in the task model is TimeWindow, which is expressed as:TimeWindow{ID,StartTime,EndTime,RollAngle_S,RollAngle_E};TimeWindow{ID,StartTime,EndTime,RollAngle_S,RollAngle_E};其中:ID表示可见时间窗的编号,StartTime表示该可见时间窗的开始时间,EndTime表示该可见时间窗的结束时间,RollAngle_S表示该可见时间窗口起始时间所对应的侧摆角,RollAngle_E表示该可见时间窗口结束时间所对应的侧摆角。Among them: ID indicates the number of the visible time window, StartTime indicates the start time of the visible time window, EndTime indicates the end time of the visible time window, RollAngle_S indicates the roll angle corresponding to the start time of the visible time window, and RollAngle_E indicates the visible time window. The roll angle corresponding to the end time of the time window.3.根据权利要求2所述的方法,其特征在于,聚类任务T的侧摆角的计算方法为:3. method according to claim 2, is characterized in that, the calculation method of the roll angle of clustering task T is:计算聚类任务T中所有点目标任务的侧摆角取值范围的交集,将得到的交集作为的侧摆角取值范围Δθ,获取聚类任务T中各点目标任务的最佳侧摆角集合B;Calculate the intersection of the roll angle value ranges of all point target tasks in the clustering task T, take the obtained intersection as the roll angle value range Δθ, and obtain the optimal roll angle of each point target task in the clustering task T set B;对最佳侧摆角集合B中的最佳侧摆角按大小顺序排序,得到集合B′并计算集合B′的中位数M;Sort the optimal sway angles in the optimal sway angle set B in order of magnitude to obtain the set B' and calculate the median M of the set B';判断中位数M与聚类任务T的侧摆角取值范围Δθ的关系:如果中位数M在聚类任务T的侧摆角取值范围Δθ内,则将中位数M作为聚类任务T的侧摆角;如果中位数M大于聚类任务T的侧摆角取值范围Δθ的上界,则将聚类任务T的侧摆角取值范围的上界作为聚类任务T的侧摆角;如果中位数M小于聚类任务T的侧摆角取值范围Δθ的下界,则将聚类任务T的侧摆角取值范围的下界作为聚类任务T的侧摆角。Determine the relationship between the median M and the value range Δθ of the roll angle of the clustering task T: if the median M is within the range Δθ of the roll angle of the clustering task T, the median M is used as the cluster The roll angle of the task T; if the median M is greater than the upper bound of the roll angle value range Δθ of the clustering task T, the upper bound of the roll angle value range of the clustering task T is taken as the clustering task T If the median M is less than the lower bound of the value range Δθ of the roll angle of the clustering task T, the lower bound of the value range of the roll angle of the clustering task T is taken as the roll angle of the clustering task T .4.根据权利要求2所述的方法,其特征在于,所述聚类约束条件包括:侧摆角约束、最大开机时间约束和空闲时间约束,4. The method according to claim 2, wherein the clustering constraints include: a roll angle constraint, a maximum boot time constraint, and an idle time constraint,所述侧摆角约束是指,如果若干个点目标任务t1、t2、t3……、tk能够聚类为聚类任务T,则相应的侧摆角Δθ1、Δθ2、Δθ3……、Δθk需满足:The roll angleconstraint means that if several point target tasks t1 ,t2 , t3 , .3 ……, Δθk needs to satisfy:
Figure FDA0003253037740000041
Figure FDA0003253037740000041
所述最大开机时间约束是指,如果若干个点目标任务能够聚类为聚类任务T,则其中任意两个点目标任务tl、tk均需满足:The maximum startup time constraint means that if several point target tasks can be clustered into clustering tasks T, then any two point target tasks tl and tk must satisfy:max(tek,tel)-min(tsk,tsl)≤MaxDuration;max(tek ,tel) -min(tsk ,tsl )≤MaxDuration;式中,tsk、tek分别表示点目标任务tk的可见时间窗[tsk,tek]的起始时间和结束时间,tsl、tel分别表示点目标任务tl的可见时间窗[tsl,tel]的起始时间和结束时间,MaxDuration表示遥感器开机执行一次成像观测的最长时间限制;In the formula, tsk , tek represent the start time and end time of the visible time window [tsk , tek ] of the point target task tk respectively, tsl , tel respectively represent the visible time window of the point target task tl [tsl , tel ] start time and end time,MaxDuration represents the maximum time limit for the remote sensor to perform one imaging observation when powered on;所述空闲时间约束是指,如果两个点目标任务tl、tk能够聚类为聚类任务T,需满足:The idle time constraint means that if two point target tasks tl and tk can be clustered into a clustering task T, the following conditions must be satisfied:
Figure FDA0003253037740000042
WTkl=max(tel-tek,0);
Figure FDA0003253037740000042
WTkl =max(tel-tek ,0);
式中,WTkl表示遥感器在两个点目标任务tl和tk之间的成像空闲时间,
Figure FDA0003253037740000043
表示遥感器在两个点目标任务tl和tk之间的姿态调整时间,Dmin表示遥感器的姿态稳定时间;Rolll、Rollk分别表示两个点目标任务tl和tk在同一轨道圈次内的侧摆角,v表示遥感器姿态机动速度;
where WTkl represents the imaging idle time of the remote sensor between two point target tasks tl and tk ,
Figure FDA0003253037740000043
Represents the attitude adjustment time of the remote sensor between the two point target tasks tl and tk , Dmin represents the attitude stabilization time of the remote sensor; Rolll and Rollk represent the two point target tasks tl and tk in the same The roll angle within the orbital circle, v represents the attitude maneuvering speed of the remote sensor;
当若干个点目标任务同时满足侧摆角约束、最大开机时间约束和空闲时间约束这3个约束条件时,则该若干个点目标任务满足聚类约束条件,可以聚合为聚类任务T;When several point target tasks satisfy the three constraints of the roll angle constraint, the maximum startup time constraint and the idle time constraint at the same time, then the several point target tasks satisfy the clustering constraints and can be aggregated into a clustering task T;当两个点目标任务不满足空间时间约束,但是满足侧摆角约束和最大开机时间约束、且在这两个任务之间存在满足聚类条件的多个点目标任务,则该两个点目标任务满足传递性聚类条件,可以聚合为聚类任务T。When the two point target tasks do not satisfy the space and time constraints, but satisfy the roll angle constraints and the maximum startup time constraints, and there are multiple point target tasks that satisfy the clustering conditions between the two tasks, then the two point target tasks Tasks satisfy transitive clustering conditions and can be aggregated into clustering tasks T.
5.根据权利要求4所述的方法,其特征在于,步骤2的具体过程为:5. method according to claim 4, is characterized in that, the concrete process of step 2 is:步骤2.1,获取卫星在第i个轨道圈次存在可见时间窗的点目标任务集G;Step 2.1, obtain the point target task set G where the satellite has a visible time window in the ith orbital circle;步骤2.2,对点目标任务的侧摆角的取值范围进行调整;Step 2.2, adjust the value range of the yaw angle of the point target task;步骤2.3,以每个点目标任务分别作为1个节点,判断点目标任务集G中的任意两个点目标任务是否满足聚类约束条件,若满足则在该两个点目标任务相应的两个节点之间构建无向边;Step 2.3, with each point target task as a node, determine whether any two point target tasks in the point target task set G satisfy the clustering constraints, and if so, the corresponding two point target tasks in the two point target tasks. Build undirected edges between nodes;步骤2.4,找出点目标任务集G中包含的所有连通图,得到初始任务聚类模型CGM;Step 2.4, find out all the connected graphs contained in the point target task set G, and obtain the initial task clustering model CGM;步骤2.5,对初始任务聚类模型CGM中的每一个连通图中的任意两个不存在无向边的点目标任务,判断是否满足传递性聚类条件,若满足则在该两个点目标任务相应的两个节点之间构建无向边;Step 2.5, for any two point target tasks without undirected edges in each connected graph in the initial task clustering model CGM, determine whether the transitive clustering condition is satisfied, and if so, the two point target tasks are Build an undirected edge between the corresponding two nodes;步骤2.6,令i=i+1,返回步骤2.1;直到得到包括所有轨道圈次部分的成像任务聚类图模型。Step 2.6, let i=i+1, and return to step 2.1; until the imaging task cluster graph model including all orbital circle parts is obtained.6.根据权利要求5所述的方法,其特征在于,步骤3的具体过程为:6. method according to claim 5, is characterized in that, the concrete process of step 3 is:步骤3.1,获取卫星S第i个轨道圈次的任务聚类图模型CGM中的一个连通图G,令P为连通图G中所包含的节点集合,初始化聚类结果集合ClusterRes;Step 3.1, obtain a connected graph G in the task clustering graph model CGM of the ith orbital circle of satellite S, let P be the node set included in the connected graph G, and initialize the clustering result set ClusterRes;步骤3.2,若P为空,转步骤3.9;否则,从节点集合P中选取度最大的节点p1;若度最大的节点不唯一,随机选择一个节点,并将节点p1所有的邻居节点加入到第一集合p1_Neigh;其中,节点的度是指与该节点相连的无向边的数量,节点的邻居节点是指与该节点之间具有无向边连接的节点;Step 3.2, if P is empty, go to step 3.9; otherwise, select the node p1 with the largest degree from the node set P; if the node with the largest degree is not unique, randomly select a node, and add all the neighbor nodes of the node p1 To the first set p1 _Neigh; wherein, the degree of a node refers to the number of undirected edges connected to the node, and the neighbor nodes of a node refer to nodes that have undirected edge connections with the node;步骤3.3,若第一集合p1_Neigh为空,转步骤3.8;否则,从第一集合p1_Neigh中选取与节点p1具有最多公共邻居的节点,并加入到第二集合p1_MaxCommNeigh;Step 3.3, if the first set p1 _Neigh is empty, go to step 3.8; otherwise, select the node with the most common neighbors with the node p1 from the first set p1 _Neigh, and add it to the second set p1_MaxCommNeigh;步骤3.4,若第二集合p1_MaxCommNeigh包含的节点唯一,令p2=p1_MaxCommNeigh[0],转步骤3.7;若第二集合p1_MaxCommNeigh包含的节点不唯一,转步骤3.5;Step 3.4, if the node included in the second set p1_MaxCommNeigh is unique, let p2 =p1_MaxCommNeigh[0], go to step 3.7; if the node included in the second set p1_MaxCommNeigh is not unique, go to step 3.5;步骤3.5,从第二集合p1_MaxCommNeigh中选取与节点p1具有最少无关边的节点,并加入第三集合p1_MinUnRelatedEdge;若第三集合p1_MinUnRelatedEdge中包含的节点唯一,令p2=p1_MinUnRelatedEdge[0],转步骤3.7;若第三集合p1_MinUnRelatedEdge中包含的节点不唯一,转步骤3.6;无关边为:若边e1以边e2的一个顶点为顶点,但另一个顶点不是e2的公共邻居,则称e1为e2的无关边;Step 3.5, from the second set p1_MaxCommNeigh, select the node with the least irrelevant edge with the node p1 , and add it to the third set p1_MinUnRelatedEdge; if the node contained in the third set p1_MinUnRelatedEdge is unique, let p2 =p1_MinUnRelatedEdge[0], go to step 3.7; If the nodes contained in the third set p1_MinUnRelatedEdge are not unique, go to step 3.6; the irrelevant edge is: if edge e1 takes one vertex of edge e2 as a vertex, but the other vertex is not a common neighbor of e2, then e1 is called e2’s no border;步骤3.6,从第三集合p1_MinUnRelatedEdge中选取优先级最大的节点,若优先级最大的节点不唯一,则选取与节点p1组成的无向边中边权值最小的节点,并置为p2;Step 3.6, select the node with the highest priority from the third set p1_MinUnRelatedEdge, if the node with the highest priority is not unique, select the node with the smallest edge weight in the undirected edge composed of the node p1, and set it as p2;其中,无向边的边权值是指,无向边两端的节点之间的成像空闲时间;Among them, the edge weight of the undirected edge refers to the imaging idle time between nodes at both ends of the undirected edge;步骤3.7,删除边(p1,p2)的无关边,将节点p1、p2合并为新的节点p1,从节点集合P中删除节点p2,更新第一集合p1_Neigh,转步骤3.3;Step 3.7, delete the irrelevant edge of the edge (p1 , p2 ), merge the nodes p1 and p2 into a new node p1 , delete the node p2 from the node set P, update the first set p1 _Neigh, turn Step 3.3;步骤3.8,将节点p1加入到聚类结果ClusterRes中,转步骤3.2;Step 3.8, add node p1 to the clustering result ClusterRes, go to step 3.2;步骤3.9,输出聚类结果ClusterRes,结束;Step 3.9, output the clustering result ClusterRes, end;其中,聚类结果ClusterRes的模型为MSITCR<SatelliteID,ClusterResList<ClusterTask>>,是一个以卫星编号SatelliteID为键、以聚类任务列表ClusterResList为值的键值对集合;且聚类任务的模型为ClusterTask{OrbitID,MetaTaskIDSet,TW{StartTime,EndTime},RollAngle};Among them, the model of the clustering result ClusterRes is MSITCR<SatelliteID,ClusterResList<ClusterTask>>, which is a key-value pair set with the satellite number SatelliteID as the key and the clustering task list ClusterResList as the value; and the model of the clustering task is ClusterTask {OrbitID,MetaTaskIDSet,TW{StartTime,EndTime},RollAngle};聚类任务的模型中,OrbitID是卫星轨道圈次的编号,表明相应的聚类任务是属于卫星哪个轨道圈次;MetaTaskIDSet是组成该聚类任务的点目标任务编号的集合,TW对应着聚类任务与编号为SatelliteID的卫星在第OrbitID个轨道圈次内的可见时间窗,StartTime是开始时间,EndTime是结束时间,RollAngle是聚类任务所对应的侧摆角。In the clustering task model, OrbitID is the number of the satellite orbit circle, indicating which orbital circle the corresponding clustering task belongs to; MetaTaskIDSet is the set of point target task numbers that make up the clustering task, and TW corresponds to the clustering task. The visible time window of the mission and the satellite numbered SatelliteID within the OrbitID-th orbital lap, StartTime is the start time, EndTime is the end time, and RollAngle is the roll angle corresponding to the clustering task.7.根据权利要求2所述的方法,其特征在于,所述任务规划的约束条件为:7. The method according to claim 2, wherein the constraints of the mission planning are:
Figure FDA0003253037740000061
Figure FDA0003253037740000061
sjk+durj+tranjmk+STi≤smksjk +durj +tranjmk +STi ≤smk ,
Figure FDA0003253037740000062
Figure FDA0003253037740000062
式中,yjk表示任务tj是否安排在卫星Si第k个轨道圈次进行成像观测,yjk=1表示安排,yjk=0表示不安排;Ki表示卫星Si在任务规划周期内绕地球飞行的总圈数;sjk表示任务tj在所属卫星第k个轨道圈次观测开始时间,tj∈Tik;Tik表示卫星Si在第k个轨道圈次有时间窗口的候选任务集合,
Figure FDA0003253037740000063
n2为与卫星Si在第k个轨道圈次有时间窗口的候选任务数量,且有Tik∈Ti;Ti表示卫星Si所分配到的候选成像任务聚合,
Figure FDA0003253037740000064
n1为卫星Si所分配到的候选成像任务数量,有
Figure FDA0003253037740000065
n0为卫星的数量;smk表示任务tm在所属卫星第k个轨道圈次观测开始时间,tm∈Tik;durj表示任务tj的观测持续时长;tranjmk表示在所属卫星第k个轨道圈次内相继执行的任务j与任务m之间所需的姿态转换时间;STi表示卫星Si姿态稳定时间;EOi表示卫星Si在进行成像观测时,成像遥感器的能量消耗速率;xjh表示任务th是否能够被安排在任务tj后执行成像观测,xjh=1表示能够,xjh=0表示不能够;ESi表示卫星Si在进行姿态机动时的能量消耗速率;anglejhk表示在卫星第k个轨道圈次相继执行的任务tj与th之间的姿态机动角度;vi表示卫星Si进行姿态机动的速度;Ei表示卫星Si在一个轨道圈次内能量消耗的最大值;
In the formula, yjk represents whether the mission tj is scheduled to perform imaging observation in the k-th orbital circle of the satellite Si , yjk =1 represents scheduling, yjk =0 represents not scheduling; Ki represents that the satellite Si is in the mission planning cycle The total number of circles flying around the earth; sjk represents the start time of the mission tj in the kth orbital circle of the satellite to which it belongs, tj ∈ Tik ; Tik means that the satellite Si has a time window in the kth orbit circle The candidate task set of ,
Figure FDA0003253037740000063
n2 is the number of candidate tasks that have a time window with the satellite Si in the kth orbital lap, and has Tiik Ti; Tirepresents the aggregation of candidate imaging tasks assigned by the satellite Si,
Figure FDA0003253037740000064
n1 is the number of candidate imaging tasks assigned by the satellite Si, there are
Figure FDA0003253037740000065
n0 is the number of satellites; smk represents the start time of the mission tm in the kth orbital circle of the satellite to which it belongs, tm ∈ Tik ;durj represents the observation duration of the task tj ; The attitude transition time required between mission j and mission m performed successively in k orbital circles; STi represents the attitude stabilization time of the satellite Si ; EOi represents the energy of the imaging remote sensor during the imaging observation of the satellite Si Consumption rate; xjh indicates whether the taskth can be scheduled to perform imaging observation after tasktj , xjh =1 indicates that it is possible, xjh =0 indicates that it is not possible; ESi indicates the energy of the satellite Si during attitude maneuvering consumption rate; anglejhk represents the attitude maneuver angle between missionstj and th performed successively in the kth orbital circle of the satellite; virepresents the speed of the satellite Si performing the attitude maneuver; Ei represents the satellite Si in a The maximum value of energy consumption in an orbital lap;
所述任务规划的目标函数为:The objective function of the mission planning is:
Figure FDA0003253037740000066
Figure FDA0003253037740000066
Figure FDA0003253037740000067
Figure FDA0003253037740000067
式中,N表示任务规划方案的成像观测活动次数。In the formula, N represents the number of imaging observation activities in the mission planning scheme.
8.根据权利要求1所述的方法,其特征在于,所述信息素浓度的限制区间为[τminmax],当计算得到的信息素浓度超出限制区间时,按以下公式进行修正:8. The method according to claim 1, wherein the limit interval of the pheromone concentration is [τminmax ], and when the calculated pheromone concentration exceeds the limit interval, it is corrected according to the following formula:
Figure FDA0003253037740000071
Figure FDA0003253037740000071
CN201910540739.4A2019-06-212019-06-21 A Multi-Star Imaging Mission Planning MethodActiveCN110400002B (en)

Priority Applications (1)

Application NumberPriority DateFiling DateTitle
CN201910540739.4ACN110400002B (en)2019-06-212019-06-21 A Multi-Star Imaging Mission Planning Method

Applications Claiming Priority (1)

Application NumberPriority DateFiling DateTitle
CN201910540739.4ACN110400002B (en)2019-06-212019-06-21 A Multi-Star Imaging Mission Planning Method

Publications (2)

Publication NumberPublication Date
CN110400002A CN110400002A (en)2019-11-01
CN110400002Btrue CN110400002B (en)2021-10-22

Family

ID=68323303

Family Applications (1)

Application NumberTitlePriority DateFiling Date
CN201910540739.4AActiveCN110400002B (en)2019-06-212019-06-21 A Multi-Star Imaging Mission Planning Method

Country Status (1)

CountryLink
CN (1)CN110400002B (en)

Families Citing this family (17)

* Cited by examiner, † Cited by third party
Publication numberPriority datePublication dateAssigneeTitle
CN111913788B (en)*2020-06-192022-09-30合肥工业大学 Task scheduling method and system for imaging satellites
CN111947646B (en)*2020-08-122022-02-08上海卫星工程研究所Satellite-borne general description method and system of multi-satellite multi-mode maneuvering imaging model
CN112082532B (en)*2020-08-192022-04-26长光卫星技术股份有限公司Analysis method for multi-satellite-to-multi-demand planning imaging
CN112036459B (en)*2020-08-242023-12-22中南大学Satellite task merging method, device and storage medium based on k-means clustering algorithm
CN112085378B (en)*2020-09-042023-02-03中国平安财产保险股份有限公司Resource allocation method, device, computer equipment and storage medium
CN112257906B (en)*2020-09-302022-08-12北京控制工程研究所 A state management-based driving method for autonomous mission planning of imaging satellites
CN112529317B (en)*2020-12-172024-06-18中国科学院空天信息创新研究院 Satellite imaging mission planning method, device, electronic equipment and storage medium
CN113486491B (en)*2021-05-212023-12-12北京控制工程研究所Satellite autonomous mission planning constraint condition self-perfecting method and system
CN113222468B (en)*2021-06-022022-04-08中国电子科技集团公司第五十四研究所 A Resource Scheduling Method for Imaging Satellites Based on Deep Reinforcement Learning
CN113688560B (en)*2021-07-132023-09-29中南大学 Orbital maneuver optimization method for multi-satellite single reconnaissance targets
CN114064268B (en)*2021-10-262025-02-11杭州哈行网络科技有限公司 A message processing method, device and equipment
CN114880779B (en)*2022-05-182025-06-06中国西安卫星测控中心 A method for designing a common path on the orbital plane for multi-target observation of satellite clusters in synchronous orbit
CN115909083B (en)*2022-10-312023-08-08中国科学院软件研究所 Satellite Earth Observation Discrete Points of Interest Clustering Planning Method and Device
CN116205466B (en)*2023-03-312024-02-13中南大学 A scheduling method, device and terminal equipment for observation satellites
CN116362409B (en)*2023-04-142024-04-02华东师范大学 A method and system for discovering and tracking shared mobile service trends
CN117818907B (en)*2023-12-142024-12-27中国空间技术研究院 Agile imaging satellite multi-target observation planning method, equipment and medium
CN119199919A (en)*2024-08-122024-12-27中科星图测控技术股份有限公司 A method for quickly completing satellite payload detection of surface targets

Citations (3)

* Cited by examiner, † Cited by third party
Publication numberPriority datePublication dateAssigneeTitle
CN101894367A (en)*2010-05-262010-11-24中国人民解放军国防科学技术大学 Target Clustering Method for Imaging Satellite Observation Scheduling
CN108416493A (en)*2018-01-292018-08-17南京航空航天大学A kind of quick imaging satellite mission planning method considering drift angle constraint
CN109002966A (en)*2018-06-252018-12-14湖南国科轩宇信息科技有限公司A kind of more star mission planning methods based on K mean cluster

Family Cites Families (1)

* Cited by examiner, † Cited by third party
Publication numberPriority datePublication dateAssigneeTitle
US20120029812A1 (en)*2010-07-292012-02-02King Abdul Aziz City For Science And TechnologyMethod and system for automatically planning and scheduling a remote sensing satellite mission

Patent Citations (3)

* Cited by examiner, † Cited by third party
Publication numberPriority datePublication dateAssigneeTitle
CN101894367A (en)*2010-05-262010-11-24中国人民解放军国防科学技术大学 Target Clustering Method for Imaging Satellite Observation Scheduling
CN108416493A (en)*2018-01-292018-08-17南京航空航天大学A kind of quick imaging satellite mission planning method considering drift angle constraint
CN109002966A (en)*2018-06-252018-12-14湖南国科轩宇信息科技有限公司A kind of more star mission planning methods based on K mean cluster

Non-Patent Citations (2)

* Cited by examiner, † Cited by third party
Title
"Task Allocation of Multi-Target Observation for Microsatellite Cluster";huan li et al.;《IEEE》;20180812;全文*
"基于团划分的成像侦察任务聚类方法研究";许语拉等;《运筹与管理》;20100831;第19卷(第4期);全文*

Also Published As

Publication numberPublication date
CN110400002A (en)2019-11-01

Similar Documents

PublicationPublication DateTitle
CN110400002B (en) A Multi-Star Imaging Mission Planning Method
CN116307535B (en)Multi-star collaborative imaging task planning method based on improved differential evolution algorithm
CN109933842B (en) A single-satellite mission planning method for moving target based on constraint satisfaction genetic algorithm
CN111950873B (en)Satellite real-time guiding task planning method and system based on deep reinforcement learning
CN115481779B (en) A satellite resource scheduling optimization method based on federated reinforcement learning
CN107025363A (en)A kind of adaptive big neighborhood search method of Agile satellite scheduling
CN113487221B (en)Space-sky heterogeneous earth observation resource cooperative scheduling method for dynamic target observation
CN106648852A (en)Multi-satellite mission scheduling method and device based on double ant colonies
CN109948852B (en)Same-orbit multi-point target imaging task planning method for agile satellite
CN113568426B (en)Satellite cluster collaborative planning method based on multiple satellites and multiple loads
CN108416493A (en)A kind of quick imaging satellite mission planning method considering drift angle constraint
CN107290961A (en)A kind of on-line scheduling method for quick satellite
CN111897640B (en)Satellite imaging task planning method and system for regional imaging
CN113051815A (en)Agile imaging satellite task planning method based on independent pointer network
Zhao et al.Agile satellite mission planning via task clustering and double-layer tabu algorithm
CN112580537B (en)Deep reinforcement learning method for multi-unmanned aerial vehicle system to continuously cover specific area
WonUBAT: On jointly optimizing UAV trajectories and placement of battery swap stations
CN113408063A (en)Multi-satellite multi-reconnaissance target-oriented track maneuver optimization method
CN115688568A (en) Scheduling method for multi-satellite regional imaging tasks of ultra-agile satellites
CN118567233A (en) An autonomous drone transportation system based on solar power generation
Wu et al.Multiregion mission planning by satellite swarm using simulated annealing and neighborhood search
CN119759521B (en)Optical imaging satellite task scheduling method based on hybrid heuristic model evolution algorithm
CN115081225A (en) A Generalized Remote Sensing Task Planning Method Based on Combinatorial Optimization of Multi-Order Decision-Making Mechanisms
Luo et al.Path planning for Multi-USV target coverage in complex environments
CN117271146B (en) Multi-satellite imaging mission planning method based on knowledge transfer in complex heterogeneous scenarios

Legal Events

DateCodeTitleDescription
PB01Publication
PB01Publication
SE01Entry into force of request for substantive examination
SE01Entry into force of request for substantive examination
GR01Patent grant
GR01Patent grant

[8]ページ先頭

©2009-2025 Movatter.jp