Movatterモバイル変換


[0]ホーム

URL:


CN110377002B - An adaptive in-vehicle CAN bus safety control method and system - Google Patents

An adaptive in-vehicle CAN bus safety control method and system
Download PDF

Info

Publication number
CN110377002B
CN110377002BCN201910493594.7ACN201910493594ACN110377002BCN 110377002 BCN110377002 BCN 110377002BCN 201910493594 ACN201910493594 ACN 201910493594ACN 110377002 BCN110377002 BCN 110377002B
Authority
CN
China
Prior art keywords
ecu
message
key
security
bus
Prior art date
Legal status (The legal status is an assumption and is not a legal conclusion. Google has not performed a legal analysis and makes no representation as to the accuracy of the status listed.)
Active
Application number
CN201910493594.7A
Other languages
Chinese (zh)
Other versions
CN110377002A (en
Inventor
李兴华
陈颖
钟成
张会林
姜奇
翁健
马建峰
Current Assignee (The listed assignees may be inaccurate. Google has not performed a legal analysis and makes no representation or warranty as to the accuracy of the list.)
Xidian University
Jinan University
Original Assignee
Xidian University
Jinan University
Priority date (The priority date is an assumption and is not a legal conclusion. Google has not performed a legal analysis and makes no representation as to the accuracy of the date listed.)
Filing date
Publication date
Application filed by Xidian University, Jinan UniversityfiledCriticalXidian University
Priority to CN201910493594.7ApriorityCriticalpatent/CN110377002B/en
Publication of CN110377002ApublicationCriticalpatent/CN110377002A/en
Application grantedgrantedCritical
Publication of CN110377002BpublicationCriticalpatent/CN110377002B/en
Activelegal-statusCriticalCurrent
Anticipated expirationlegal-statusCritical

Links

Images

Classifications

Landscapes

Abstract

Translated fromChinese

本发明属于网联汽车信息处理技术领域,公开了一种自适应的车内CAN总线安全控制方法及系统,通过对报文特点和车内网络环境的分析,选择若干影响因素,进行自适应的选取安全策略,在满足报文的安全需求的同时,根据动态的车内网络环境自适应地调整安全策略;将车内ECU节点的通信频率抽象为无向图,以通信频率作为图的边权重,采用马尔可夫聚类的方法根据ECU之间通信频率将其划分为层次化的域结构,并使用树形域密钥结构对节点进行密钥管理,同时结合自适应安全策略选取方法,进行差异化的安全策略及相应的通信协议选取。本发明所需开销有限,适用于计算能力受限的ECU节点和高实时性需求的CAN总线网络。

Figure 201910493594

The invention belongs to the technical field of network-connected automobile information processing, and discloses an adaptive in-vehicle CAN bus safety control method and system. Select the security policy, and adjust the security policy adaptively according to the dynamic in-vehicle network environment while meeting the security requirements of the message; abstract the communication frequency of the in-vehicle ECU nodes into an undirected graph, and use the communication frequency as the edge weight of the graph , using the Markov clustering method to divide the ECUs into hierarchical domain structures according to the communication frequency between them, and use the tree-shaped domain key structure to manage the nodes' keys. At the same time, combined with the adaptive security policy selection method, Differentiated security policy and corresponding communication protocol selection. The overhead required by the invention is limited, and it is suitable for ECU nodes with limited computing power and CAN bus networks with high real-time requirements.

Figure 201910493594

Description

Self-adaptive in-vehicle CAN bus safety control method and system
Technical Field
The invention belongs to the technical field of networked automobile information processing, and particularly relates to a self-adaptive in-vehicle CAN bus safety control method and system.
Background
Currently, the closest prior art:
the safety problem of the internet automobile is increasingly prominent while the development of important technologies such as intelligent transportation and smart cities is promoted. As a core bus network of an internet-connected automobile, a CAN bus is mainly responsible for transmission of sensor information and control instructions, and a research focus is placed on safety protection of the CAN bus.
With the rapid development of mobile internet and industrial intelligence, the automobile industry is continuously transformed into intelligence and networking, and gradually moves into the internet of vehicles era. Especially, 5G communication technology and unmanned technology are mature day by day, so that unmanned driving gradually replaces traditional driver driving and becomes a future development trend. The safety requirements of the unmanned technology are more important and urgent while bringing new changes to traffic systems and urban life. In recent years, the attack events of the intelligent networked automobile are frequent, and the driving safety problem of the networked automobile, especially unmanned automobile, is widely concerned.
As a core bus Network of an intelligent networked automobile, a Controller Area Network (CAN) bus is responsible for transmission of sensor information and Control instructions, and an Electronic Control Unit (ECU) is used as a basic Control Unit in the automobile to complete corresponding action instructions according to message information on the CAN bus. However, with the improvement of the interconnection degree between the intelligent networked automobile and the external network, an attacker CAN invade the CAN bus network in the automobile through an On-Board Diagnostics (OBD), a Bluetooth, a cellular network and the like, eavesdrop the bus message, analyze the actual significance of the message through reverse engineering technologies such as a fuzzy test and the like, replay and forge the message, control important ECU nodes and threaten driving safety. Therefore, how to realize the secure transmission of the message on the CAN bus becomes a key problem to be solved urgently.
The current CAN bus safety scheme CAN be divided into two types of bus abnormity detection and bus message authentication and encryption. The abnormal detection scheme of the CAN bus has false alarm rate and belongs to passive defense; the CAN bus message authentication encryption scheme based on cryptography CAN provide protection before attack occurs, and belongs to active defense. The following two problems still remain:
(1) in the existing scheme, a single safety mechanism is difficult to give consideration to both safety and network performance, and because the safety requirements of messages have difference and the network environment in a vehicle is dynamically changeable, if a fixed safety mechanism is adopted, a large amount of bus resources are occupied, unnecessary calculation and storage overhead and communication time delay are increased, and the network performance is reduced. The difference of the message security requirements refers to that the messages such as sensor parameter information are possibly intercepted to reveal driving security related information, so that the confidentiality requirements are higher; and the authentication requirement of the control instruction in the vehicle is higher for preventing an attacker from forging and modifying. The dynamic network environment means that under the condition that the bus load in the vehicle is large, in order to ensure stable communication, a safety scheme which does not increase the bus load is adopted as much as possible; and when the intrusion detection system in the vehicle finds the abnormality, a scheme with higher safety is selected to improve the safety level.
(2) Because the calculation and storage capacity of the ECU node in the vehicle is limited, the traditional key management scheme is difficult to be directly applied to the network in the vehicle, and the existing scheme consumes a large amount of calculation time and storage overhead at present and is not suitable for the high-real-time CAN bus and the ECU node with limited storage capacity.
In summary, the problems of the prior art are as follows:
(1) the existing scheme does not consider the difference of message safety requirements and the dynamic property of the network environment in the vehicle, and is difficult to consider the safety and the network performance;
(2) the existing CAN bus authentication encryption scheme lacks an efficient key management scheme and is not suitable for ECU nodes with limited computing and storing capacities.
The difficulty of solving the technical problems is as follows:
(1) since the maximum load of the data frame of the CAN bus is only 8 bytes, MAC with enough length cannot be provided
(2) The particularity of the network environment in the vehicle and the real-time requirement of the CAN bus are high
(3) In-vehicle ECU node has limited calculation and storage capacity
The significance of solving the technical problems is as follows:
with the rapid development of mobile internet and industrial intelligence, the traditional automobile industry is continuously transformed into intelligence and networking, and gradually enters the intelligent automobile networking era. The internet automobile has the advantages that while important technologies such as intelligent transportation and smart cities are promoted to develop, safety problems of the internet automobile are increasingly prominent, and network attack incidents are continuously emerging. As a core bus network of the intelligent networked automobile, a CAN bus is responsible for transmission of in-automobile sensor information and control instructions, and the safety protection of the in-automobile sensor information and the control instructions becomes the key point for people to research the intelligent networked automobile. Therefore, how to realize the safe transmission of the message on the CAN bus becomes a key problem to be solved urgently. Under the background, the patent provides a self-adaptive lightweight CAN bus safety mechanism to realize the safe transmission of CAN bus messages.
Disclosure of Invention
Aiming at the problems in the prior art, the invention provides a self-adaptive in-vehicle CAN bus safety control method and a self-adaptive in-vehicle CAN bus safety control system.
The invention is realized in this way, a self-adaptive in-vehicle CAN bus safety control method, which comprises the following steps:
selecting a plurality of influence factors through analyzing the characteristics of the message and the in-vehicle network environment, and adaptively selecting a security strategy by utilizing an analytic hierarchy process and a fuzzy decision idea, so that the security requirement of the message is met, and the security strategy is adaptively adjusted according to the dynamic in-vehicle network environment;
communication frequency of ECU nodes in the vehicle is abstracted into an undirected graph, the communication frequency is used as edge weight of the graph, the communication frequency is divided into a hierarchical domain structure according to the communication frequency between the ECUs by adopting a Markov clustering method, a tree domain key structure is used for carrying out key management on the nodes, and meanwhile, a differentiated security strategy and a corresponding communication protocol are selected by combining a self-adaptive security strategy selection method, so that the security control of the CAN bus in the vehicle is realized.
Further, the CAN bus security policy selection method based on fuzzy decision comprises the following steps:
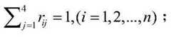
step one, determining a factor set: selecting factors related to message security requirements and dynamic in-vehicle network environments and influencing the determination of security strategies, and constructing a factor set U; the value ranges of the message factors and the network environment factors are both (0, 1)]In the method, the message factor and the network environment factor are sequentially expressed as u1,u2,...,u7And added to the factor set U, U ═ U1,u2,...,u7};
Step two, determining a strategy set:
policy set P represents a set of optional policies, denoted P ═ P1,P2,P3,P4,P5,P6In which P is1Representing a clear broadcast transmission, P2Representing transmission of ciphertext, P3HMAC authentication, P, representing plaintext transmission and employing truncation4HMAC authentication, P, representing clear text transmission and using 64bits5HMAC authentication, P, representing ciphertext transmission and employing truncation6Representing ciphertext transmission and adopting HMAC authentication of 64 bits;
step three, selecting a differentiated security strategy based on fuzzy decision: firstly, determining the weight of an influence factor by adopting an analytic hierarchy process, then determining a membership function of a security strategy to a comment set, constructing a fuzzy evaluation matrix, carrying out fuzzy comprehensive evaluation on the strategy, and finally selecting a more reasonable security strategy for output.
Further, the influence factors selected in the step one further include:
(1) demand for confidentiality
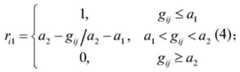
Figure BDA0002087813600000031
Due to the fact that the oil temperature related to driving safety and the messages of the vehicle speed sensor parameters are intercepted and cracked by an attacker, important information of the driving safety or information of user privacy and the like are exposed; dividing confidentiality requirements into four grades from high to low through expert rating
Figure BDA0002087813600000032
Indicating message msgiNeed for confidentialityAsk for, order
Figure BDA0002087813600000033
When in use
Figure BDA0002087813600000034
When the message is received, the confidentiality requirement of the message is the highest;
(2) requirement for authentication
Figure BDA0002087813600000035
Am (A) to
Figure BDA0002087813600000036
Indicating message msgiIn which the authentication is required, wherein
Figure BDA0002087813600000037
The expert or the manufacturer analyzes the message content, the receiving and sending ECU and the like, and the authentication requirements of the message are divided into four grades from high to low; order to
Figure BDA0002087813600000038
When the message is received, the authentication requirement of the message is the highest;
(3) real-time requirements
Figure BDA0002087813600000039
Is provided with
Figure BDA00020878136000000310
Indicating message msgiIn real time, wherein
Figure BDA00020878136000000311
Setting a real-time requirement level according to a message ID, wherein the message ID is a hexadecimal number of 11bits, and an initial bit is y, then
Figure BDA00020878136000000312
The value of (A) is as shown in formula (1); when in use
Figure BDA00020878136000000313
Representing real time messagesThe sexual demand is highest;
Figure BDA00020878136000000314
(4) length class of message
Figure BDA00020878136000000315
Indicating message msgiLength class of (d); the length of the message is l bits
Figure BDA00020878136000000316
Is represented by the formula (2), wherein
Figure BDA00020878136000000317
Indicating that the message length grade is highest;
Figure BDA00020878136000000318
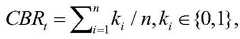
(5) bus load ratio Bt: the gateway ECU monitors the bus load rate in a certain time period T and counts the time length T of the bus load rate in the time period T being more than 50 percent1In proportion to the total duration t (t ≠ 0) by the bus load ratio BtIs represented by Bt=t1/t,Bt∈(0,1]The closer the value is to 1, the higher the bus duty ratio in the time period;
(6) channel busy-idle ratio CBRt: defining channel busy-to-idle ratio CBRtTo monitor the proportion of the time when the channel is busy in the time T,
Figure BDA00020878136000000319
CBRt∈(0,1]n is the number of channel detections,ki1 when the channel is busy and 0 when the channel is idle; when CBR is usedtThe larger the value of (A), the more busy the channel is;
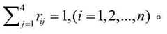
(7) current network security state level St: let StIn-vehicle network fed back by in-vehicle intrusion detection system in current time period TA security level; the IDS feeds back the current network security state to the gateway ECU, wherein StThe current network state is sequentially represented by four levels from high to low, where s is (n-k)/n, k is 0,1,2,3, and n is 4; when S istWhen the network security state level is 1, the network security state level is the highest.
Further, the third step further comprises:
1) determining the weight of each influence factor of the factor set based on an AHP method:
establishing a hierarchical model of a CAN bus security mechanism, wherein a factor set U ═ U1,U2},U1Representing a set of message factors, U2Is a network environment factor set;
comparing every two factors of the same layer, and performing importance evaluation by experts or manufacturers to determine the relative importance degree of the factors; from top to bottom, a contrast matrix M is establishedu=(mij)n×n,mijIs greater than 0; wherein m isijRepresenting factor uiAnd factor ujN is the number of factors, as shown in formula (3):
Figure BDA0002087813600000041
Mufor a consistent matrix, satisfy: m isji=1/mijAnd is
Figure BDA0002087813600000042
After determining the contrast matrix, determining the factor weight; if criteria layer weight
Figure BDA0002087813600000043
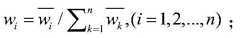
Sub-criteria layer pair factor U1,U2Are respectively weighted as W1And W2Then, according to the weighting method, the final weight of all factors is α ═ W1·α1,W2·α2];
2) Determining a membership function, and constructing a fuzzy evaluation matrix R:
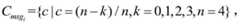
security policy pair by expert or manufacturer by analyzing various factorsFor each factor, a policy score level matrix G ═ (G) is constructedij)6×4Wherein g isijIndicating that the strategy P takes different values when the factors take respectivelyiScore of (a); to pair
Figure BDA0002087813600000044
Constructing a strategy scoring matrix G1Wherein g isijTo represent
Figure BDA0002087813600000045
When {0.25,0.5,0.75,1} is taken in sequence, each strategy PiThe score condition of (1);
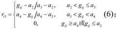
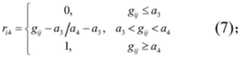
determining a membership function of the security policy to each element of a comment set, setting the comment set as a set consisting of all evaluation results, and using V as { V ═ V }1,v2,...,vmDenotes, m is the total number of evaluation results; selecting V as poor, good and good; by degree of membership rijTo express a policy PiAt factor uiFor comment set element v under influence ofjOf wherein r isij∈[0,1];rijThe closer to 1, the more P is indicatediFor vjThe higher the degree of membership. The invention selects a reduced half trapezoid distribution membership function, wherein j ═ {1,2,3,4} respectively represents vjThe possible four values { poor, good }, then the corresponding rijIn order of ri1,ri2,ri3,ri4In the formula a1<a2<a3<a4,gijThe score representing the strategy is derived from a strategy scoring matrix G;
Figure BDA0002087813600000046
Figure BDA0002087813600000047
Figure BDA0002087813600000048
Figure BDA0002087813600000049
after acquiring the parameter information of a certain message and the network environment parameters in the time period, the gateway ECU sequentially acquires a strategy set P according to the strategy scoring matrix G of each factori(i ═ 1, 2.. 6) corresponding fraction gijSubstituting the function into membership function to form fuzzy evaluation matrix R of each security policy in turn, wherein
Figure BDA0002087813600000051
3) Carrying out fuzzy comprehensive evaluation on the strategy:
according to equation (8), P is calculatediFor vjDegree of membership of (B) ═ B1,b2,...,bm) Strategy PiThe fuzzy evaluation result vector of (1); wherein b isiRepresents PiFor vjComprehensively considering the influence of each factor to determine PiFor comment set vjDegree of membership of; sequentially calculating each security policy pair comment set vjDegree of membership of;
Figure BDA0002087813600000052
4) selecting a security strategy according to a maximum membership principle:
in obtaining PiFuzzy evaluation vector B ofi=(bi1,bi2,bi3,bi4) Then, determining a strategy P according to the maximum membership ruleiThe evaluation result of (2) when
Figure BDA0002087813600000053
When is, PiOverall belonging to the r-th grade; determining P in sequencei(i ═ 1,2,. 6); selecting a strategy in the highest evaluation from all strategies; if the policy under the highest level evaluation isIf the number of the strategies is more than two, the strategy with higher membership degree is selected as the output of the fuzzy decision; and the gateway ECU broadcasts the selected security strategy of the message to the bus, and the sending and receiving ECU related to the message updates the strategy of the message in the next time period T.
Further, the method for determining the factor weight in the step 1) comprises the following steps:
inputting: contrast matrix Mu=(mij)n×n
And (3) outputting: a weight vector;
i) will matrix MuNormalizing by columns to obtain a matrix Mu'=(m'ij)n×nWherein
Figure BDA0002087813600000054
ii) combining the matrix Mu' summing by rows to obtain vectors
Figure BDA0002087813600000055
Wherein
Figure BDA0002087813600000056
iii) relative amount
Figure BDA0002087813600000057
Normalizing to obtain a characteristic vector W ═ W1,w2,...,wn]TWherein
Figure BDA0002087813600000058
iv) finding the maximum root of features
Figure BDA0002087813600000059
v) consistency check, calculating consistency index CI and consistency ratio CR against random consistency index RI, where CI is ═ lambda [ (. lambda. ]max-n)/(n-1), CR ═ CI/RI. When CR is more than or equal to 0.1, M is requireduReassigning the elements in the step (a), continuously adjusting the elements and jumping to the step (i);
vi) normalizing the vector W to obtain the layer weight α ═ α12,...,αn]TWherein
Figure BDA00020878136000000510
Further, in the present invention,
the ECU domain-division key management and security protocol selection method comprises the following steps: firstly, dividing domains for ECU nodes according to the communication frequency of the ECU based on the idea of MCL clustering to reduce the communication overhead of the nodes between domains;
then, a tree domain key structure based on a logic key tree is established and key distribution is completed;
and finally, designing a differentiated security policy and a communication protocol thereof by combining a self-adaptive security policy selection method.
Further, the ECU domain based on MCL clustering includes:
inputting: an ECU communication frequency weighted undirected graph is provided, and n is the total number of nodes;
and (3) outputting: a result set of ECU domains;
1) establishing an adjacency matrix C (C) by the ECU node communication graph G (V, E)ij)n×nWherein c isijIs an ECUiAnd ECUjFrequency of communication between CFij
2) The diagonal elements of the matrix C are increased by 1, i.e. when i equals j,Cij1 is ═ 1; the communication frequency is normalized by columns, and a probability matrix C ═ C 'of the communication frequency is calculated'ij)n×nWherein
Figure BDA0002087813600000061
3) Selecting a parameter e, multiplying the matrix C 'by the power, namely C ═ C')e
4) Selecting a parameter r, multiplying each element in the matrix C 'by the power of r, and normalizing according to columns to obtain a matrix C ═ C'ij)n×nWherein
Figure BDA0002087813600000062
5) IterationStep 3), step 4) until the matrix C ″ ═ C ″, is performed "ij)n×nConverging;
6) outputting a clustering result set of ECU nodes;
and circulating the steps, taking the output of each round as the input of the next round, namely, constructing a new graph G by using the ECU node clustering result set of the ith outputi(Vi,Ei) And each set is used as a vertex in the graph, the sum of the communication frequencies of the ECU of the whole set and the ECU nodes of the other sets is used as the weight of an edge, MCL clustering is carried out again until a cluster is finally formed, and the tree-shaped logic structure of the ECU node domains is established according to the clustering result set each time.
Further, the domain key distribution and management method based on LKH comprises the following steps:
according to the domain division result set of the ECU, an LKH tree-shaped domain-based key structure is established, and the unique 8-bit binary number identifier is used for the ECU and is expressed as the ECUi(ii) a Establishing a tree-shaped domain key logic structure based on LKH, wherein leaf nodes represent ECU, virtual nodes represent domains, and brother nodes of the same parent node belong to the same domain; each ECU saves all keys on the path from the leaf node to the root node;
Figure BDA0002087813600000063
the key number of the domain is represented, wherein i and j respectively represent ID of a starting node and an ending node in the domain if the key numbers are sequenced according to the ECU ID, and s represents the layer number of the key tree;
after a tree domain key logic structure is established, a gateway ECU distributes keys; pre-shared secret key of ECU node and gateway ECU of domain n
Figure BDA0002087813600000064
And the downloading of the key is through a secure channel; the gateway ECU is used as a control node and stores all keys; the process of loading the pre-shared key is only carried out when the automobile leaves a factory and a certain ECU is replaced; when the vehicle is started, the gateway ECU distributes keys according to a fixed sequence according to the logic structure of the tree domain keys; ECU (electronic control Unit)i∈YnWherein Y isnRepresents a domain n;
the method comprises the following specific steps.
(1) Gateway ECU selects two random number seeds
Figure BDA0002087813600000065
For generating YnIs given to the session key EK within the domainnAnd an authentication key AKn(ii) a By YnEncryption key pre-shared by internal ECU and gateway ECU
Figure BDA0002087813600000066
The encrypted random number seed is broadcasted, as in (9) (10);
Figure BDA0002087813600000067
Figure BDA0002087813600000068
(2)Ynafter receiving the message, the node uses the corresponding key to decrypt to obtain
Figure BDA0002087813600000069
And respectively calculate YnSession key EK ofnAnd authentication key AKnAs shown in formulas (11) (12); where KDF () represents a one-way hash function for key derivation;
Figure BDA00020878136000000610
Figure BDA0002087813600000071
(3) to verify whether the secret key EK is successfully sharednAnd AKnThe gateway ECU uses the EK generated in step (1)nAnd AKnSeparately encrypted CTRnAnd broadcasting; wherein, CTRnStored by gateway ECU for key distribution and YnThe associated counter is as in equation (13) (1)4);
Figure BDA0002087813600000072
Figure BDA0002087813600000073
(4)YnThe inner node receives the message and decrypts the message by using the corresponding key generated in the step (2) to obtain the CTRnValue and self-stored counter value CTR'nComparing, if equal, considering that the corresponding key is successfully shared; otherwise, the ECU node needs to send an error frame to the gateway ECU indicating that the key is not successfully shared.
The gateway ECU distributes the session keys EK in sequence by taking the domain as a unitnAnd authentication key AKn(ii) a And when the vehicle is ignited and within a certain time period T, the gateway ECU distributes the key according to the domain again, and updates the session key and the authentication key.
Further, the method for selecting the differentiated safety protocol comprises the following steps:
let the policy set be P ═ P1,P2,P3,P4,P5,P6In which P is1Representing a clear broadcast transmission, P2Representing transmission of ciphertext, P3HMAC authentication, P, representing plaintext transmission and employing truncation4HMAC authentication, P, representing clear text transmission and using 64bits5HMAC authentication, P, representing ciphertext transmission and employing truncation6Representing ciphertext transmission and using 64bits of HMAC authentication. ECU (electronic control Unit)iTo ECUjSends a message, and the ECUi,ECUj∈Yn
(1) Policy P1Plaintext broadcast transmission: broadcasting the plaintext of the original message without any processing;
(2) policy P2Ciphertext transmission: ECU (electronic control Unit)iUpdating message counters
Figure BDA0002087813600000074
And selecting the corresponding passwordKey EKnEncrypted plaintext M and
Figure BDA0002087813600000075
the ciphertext C is then obtained and sent to the bus, where
Figure BDA0002087813600000076
ECUjDetermining corresponding security policy according to the message ID, and selecting corresponding key EK according to the sender IDnObtain plaintext M after decryption and
Figure BDA0002087813600000077
will be provided with
Figure BDA0002087813600000078
With self-stored counters
Figure BDA0002087813600000079
And (6) carrying out comparison. If it is
Figure BDA00020878136000000710
Then update
Figure BDA00020878136000000711
Then receiving the message, otherwise discarding;
(3) policy P3Indicating HMAC authentication with truncation: ECU (electronic control Unit)jIt is necessary to verify whether the message is modified and actually originated from the ECUiAuthenticating using the HMAC; setting the length of the original message as l bits, strategy P3Selecting front (64-l) bits for generating the HMAC; provided with an ECUi,ECUj∈Yn,ECUiUpdating a counter
Figure BDA00020878136000000712
Using authentication key AKnGenerating
Figure BDA00020878136000000713
(64-l) bits taken, with M and
Figure BDA00020878136000000714
sent to the bus together;
ECUjdetermining corresponding security policy and authentication key AKnThen, calculate
Figure BDA00020878136000000715
Comparing with the received HMAC, if the received HMAC is consistent, comparing
Figure BDA00020878136000000716
Stored with oneself
Figure BDA00020878136000000717
If it is
Figure BDA00020878136000000718
Updating
Figure BDA00020878136000000719
Then receiving the message, otherwise discarding the message;
(4) policy P4HMAC authentication using 64bits, authentication process and P3The consistency is achieved; the difference is that the generated HMAC takes the first 64bits and sends the messages to the CAN bus in a single message;
(5) policy P5Ciphertext is transmitted and authentication is performed by adopting truncated HMAC: ECU (electronic control Unit)iUpdating message counters
Figure BDA00020878136000000720
Selects corresponding key EKnEncrypting messages, i.e.
Figure BDA00020878136000000721
And generate HMAC, i.e.
Figure BDA00020878136000000722
Setting the length of the original message as l bits, strategy P5The first (64-l) bits to generate HMAC are selected. Sending the ciphertext C and the truncated HMAC to the bus together;
ECUjin determining a security policy and corresponding key EKnAnd AKnAfter that, EK is usednAfter decryption, M and
Figure BDA0002087813600000081
and generate HMAC', i.e.
Figure BDA0002087813600000082
Comparing with the received HMAC, if the received HMAC is consistent with the received HMAC, comparing
Figure BDA0002087813600000083
And
Figure BDA0002087813600000084
if it is
Figure BDA0002087813600000085
Updating
Figure BDA0002087813600000086
Then receiving the message, otherwise discarding;
(6) policy P6Ciphertext is transmitted and HMAC authentication with 64bits is adopted: HMAC generation and encryption and decryption process and P5Consistently, the only difference is that the generated HMAC is sent in a single message.
Another object of the present invention is to provide an adaptive in-vehicle CAN bus safety control system implementing the adaptive in-vehicle CAN bus safety control method.
In summary, the advantages and positive effects of the invention are:
the invention provides a self-adaptive in-vehicle CAN bus safety mechanism, which firstly comprehensively considers message requirements and in-vehicle network factors and realizes a self-adaptive selection safety strategy based on the idea of fuzzy decision. And then dividing the ECU into a hierarchical domain structure according to the communication frequency between the ECUs for key distribution, and designing a differentiated security strategy and a corresponding communication protocol. Finally, the feasibility and the safety of the scheme are verified through theoretical analysis, and the fact that the scheme is limited in required overhead is proved through experiments, so that the method is suitable for the ECU node with limited computing capacity and the CAN bus network with high real-time requirement.
Aiming at the problem that the existing scheme is difficult to be suitable for differentiated message security requirements and dynamic in-vehicle network environments, a security strategy selection scheme based on fuzzy decision is provided. By analyzing the characteristics of the message and the in-vehicle network environment, a plurality of influence factors are selected in a targeted manner, and the security strategy is selected in a self-adaptive manner by utilizing an analytic hierarchy process and a fuzzy decision idea, so that the security requirement of the message is met, and the security strategy is adjusted in a self-adaptive manner according to the dynamic in-vehicle network environment.
Aiming at the problem that an effective key management scheme is lacked in the authentication and encryption of the CAN bus at present, the communication frequency of ECU nodes in a vehicle is abstracted into an undirected graph, the communication frequency is taken as the edge weight of the graph, a Markov Cluster (MCL) method is adopted to divide the ECU nodes into a hierarchical domain structure according to the communication frequency between the ECUs, and the tree domain key structure is used for carrying out key management on the nodes, so that the communication overhead caused by node cross-domain communication is reduced. Meanwhile, a differential security policy and a corresponding communication protocol are designed by combining a self-adaptive security policy selection scheme.
For the scheme provided by the invention, comprehensive theoretical analysis is firstly carried out on the aspects of feasibility, safety and the like. And then, the effectiveness of the adaptive fuzzy decision is verified through experiments, and the performance analysis is carried out on the ECU domain division and the key management scheme. Compared with the existing scheme, the result shows that the invention requires less storage and calculation overhead, and is suitable for the ECU nodes with limited calculation capability and the CAN bus network with high real-time requirement.
Drawings
Fig. 1 is a flowchart of a method for controlling security of an adaptive CAN bus according to an embodiment of the present invention.
Fig. 2 is a hierarchical model diagram of a CAN bus security mechanism provided in an embodiment of the present invention.
Fig. 3 is a structure diagram of an LKH-based tree domain key according to an embodiment of the present invention.
FIG. 4 shows a security policy P provided by an embodiment of the present invention2Is performed.
FIG. 5 isThe embodiment of the invention provides a security policy P3Is performed.
FIG. 6 shows a security policy P provided by an embodiment of the present invention5Is performed.
Fig. 7 is a diagram of applying the present invention to a CAN extended frame according to an embodiment of the present invention.
Fig. 8 is a ratio chart for changing bus load ratio according to various security policies provided by the embodiment of the present invention.
In the figure: (a) under the condition that the channel busy-idle ratio and the network security state are not changed, the bus load ratio is 0.25. (b) Under the condition that the channel busy-idle ratio and the network security state are not changed, the bus load ratio is 1, which is a schematic diagram.
Fig. 9 is a ratio situation diagram for each security policy of changing the channel busy-idle ratio according to the embodiment of the present invention.
In the figure: (a) it means that under the condition that the bus load ratio and the network safety state are not changed, when the channel busy-idle ratio is increased, the strategy P4,P6The proportion of all messages in the whole bus network is 37.77%. (b) It means that under the condition that the bus load ratio and the network safety state are not changed, when the channel busy-idle ratio is increased, the strategy P4,P6The proportion of all messages in the whole bus network is 4.46%.
Fig. 10 is a comparison chart of various security policies for changing the security state of the network according to the embodiment of the present invention.
In the figure, (a), under the condition that the bus load ratio and the channel busy-idle ratio are not changed, if the network security level is reduced, the network security level in the vehicle needs to be improved, and the message is authenticated or encrypted. According to the scheme provided by the invention, the security policy P of encrypted transmission2,P5,P6Is 70.86%. (b) Under the condition that the bus load ratio and the channel busy-idle ratio are not changed, if the network security level is reduced, the network security level in the vehicle needs to be improved, and the message is authenticated or encrypted. According to the scheme provided by the invention, the security policy P of encrypted transmission2,P5,P6The ratio of (a) to (b) is 95.44%.
Fig. 11 is a time chart of key distribution provided by the embodiment of the present invention.
FIG. 12 is a graph of ECU node communication response times under different security policies provided by an embodiment of the present invention.
FIG. 13 is a graph comparing the present invention with LeiA and Woo, provided by an embodiment of the present invention.
Detailed Description
In order to make the objects, technical solutions and advantages of the present invention more apparent, the present invention is further described in detail with reference to the following embodiments. It should be understood that the specific embodiments described herein are merely illustrative of the invention and are not intended to limit the invention.
The existing scheme does not consider the difference of message safety requirements and the dynamic property of the network environment in the vehicle, and is difficult to consider the safety and the network performance; the existing CAN bus authentication encryption scheme lacks an efficient key management scheme and is not suitable for ECU nodes with limited computing and storing capacities.
To solve the above problems, the present invention will be described in detail below with reference to the related operations.
The CAN bus mainly transmits messages such as control instructions and sensor parameter information, a plurality of ECU nodes connected with the bus compete to send the messages to the bus, and the control right of the bus is determined according to the priority of the messages. The priority depends on the message identifier, i.e. the message ID. And the ECU node with the high message sending priority sends a message to the bus, and the other nodes wait for the bus to be free and compete again. The way of bit-by-bit arbitration and plaintext broadcasting improves the real-time performance of data communication, but because the bus message does not contain the addresses of a sender and a receiver, only Cyclic Redundancy Check (CRC) is adopted to detect errors in the transmission process, and no security mechanisms such as encryption or authentication are provided, so that the possibility of an attacker invading the bus in the vehicle is provided. With the increasing interconnection degree between the ECU node in the vehicle and the external network, researchers propose various CAN bus message authentication, encryption and key management schemes of the ECU node in order to realize the safe transmission of the CAN bus message.
(1) Authentication of CAN bus messages
Implementing message authentication refers to the receiving ECU being able to verify the authenticity of the source of the message and the integrity of the content. Groza et al propose the use of a TESLA (time Efficient Stream losslence authentication) like broadcast authentication protocol. The sending ECU selects a Message Authentication Code (MAC) corresponding to a Message generated by a key k only known by the sending ECU and sends the MAC to a bus. And later, the key k is sent to the bus, and the receiving ECU receives the key k and then verifies the message according to the corresponding k. The authenticity of the source of the message is ensured by delaying the public key, but the scheme cannot realize instant message processing, inevitably brings authentication delay, and is difficult to apply to a CAN bus with high real-time performance and ECU nodes with time key. Nilsson et al propose a delayed authentication approach by combining MACs, dividing the generated MAC into four parts and transmitting using CRC fields of four messages for subsequent transmission. Such schemes, while not adding additional bus load, introduce authentication delays. And the CRC field is occupied, so that the errors of the message in the transmission process cannot be checked. Woo et al propose to truncate the MAC for authentication to 32bits, occupy the extended identifier and CRC field to send, thereby achieving message authentication without adding extra bus load. But a MAC of 32bits has difficulty in providing sufficient security. Radu et al propose a LeiA scheme for transmitting a generated MAC as a separate packet in order to ensure sufficient security. But this solution doubles at least the bus load, increasing the communication overhead. Kurachi et al propose a can protocol with authentication of other nodes in the network by a central monitoring node. Once unauthorized message transmission is found, the central monitoring node transmits error frames of higher priority in real time to prevent transmission of illegal messages. But this approach requires modification of the CAN controller. And if the monitor node is compromised or removed, the overall network security may also be compromised. In the prior art, by utilizing the physical layer characteristics of a CAN bus, such as a CAN + protocol, extra bits are inserted between sampling points of a CAN bus interface for transmitting authentication information, but the method needs a controller node with a higher sampling rate, needs to replace a CAN transceiver and a corresponding ECU node from a hardware level, and increases the cost of manufacturers.
(2) Encryption of CAN bus messages
The sending ECU uses the key to encrypt the message data field, which can only be decrypted by the receiving node that owns the key. However, the computation capability of the ECU node is limited, and the CAN bus has a high real-time requirement, and the encryption algorithm with high overhead is not suitable. The LCAP scheme encrypts the authentication information along with the data field using astream cipher RC 4. Jukl et al propose to adopt tiny encryption algorithm in CAN bus, and the experiment proves that the scheme has small time delay and feasibility. In addition, Woo et al propose a differentiation idea, that is, in the CAN-FD bus, whether a message needs to be encrypted and authenticated is determined according to the security level of the ECU node, only the message sent by the ECU with the higher security level is encrypted for transmission, and the rest of the message is broadcasted in plaintext. The differentiation mode ensures the safe communication of the important ECU nodes, but the ECU nodes are only considered, so that the fine-grained safety protection cannot be provided, and the scheme is difficult to apply in a specific scene.
(3) Key management for ECU nodes
Herrewege et al propose a CANAuth protocol, which associates an authentication key with a message identifier, that is, each message ID corresponds to one authentication key, and the maximum number of keys required to be stored by each node is 211This is a not trivial challenge for ECU nodes with limited storage capacity. Groza et al propose the LiBra-CAN protocol. The ECU nodes are divided into a plurality of groups of the same size, each ECU node can belong to a plurality of groups, and authentication keys for generating the MAC are shared in each group. This approach may provide sufficient security in the case of a small number of malicious nodes within the group. However, the number of keys in the scheme is in an exponential relation with the number of nodes, and each ECU node needs to store a large number of keys. Lin et al propose a HMAC-based CAN bus message authentication scheme that prevents replay and counterfeit message attacks by ECU nodes sharing authentication keys and a synchronization message counter pairwise, but this scheme also requires the ECU nodes to store a large number of keys, which results in a large amount of computation and communication overhead.
The present invention is further described below with reference to specific embodiments.
As shown in fig. 1. The invention provides a self-adaptive CAN bus security control method, which comprises a security strategy selection method based on fuzzy decision and an ECU domain key management and security protocol.
The safety strategy selection method based on fuzzy decision comprises the following steps: factors such as differentiated message requirements and dynamic in-vehicle network environment are comprehensively considered, and a more reasonable security strategy is selected in a self-adaptive manner by using the idea of fuzzy decision making;
the ECU domain-division key management and security protocol control method comprises the following steps: and dividing the ECU nodes into domains according to the communication frequency and establishing a tree domain key structure. On the basis, a self-adaptive decision process is combined to design a differentiated security policy and a communication protocol thereof.
In the embodiment of the invention, the CAN bus security policy selection method based on fuzzy decision comprises the following steps:
A) determination of a set of factors
The method selects factors related to message security requirements and dynamic in-vehicle network environment and possibly influencing the decision of a security strategy, and constructs a factor set U. The selected influencing factors are as follows:
(1) demand for confidentiality
Figure BDA0002087813600000111
If such messages of sensor parameters such as oil temperature and vehicle speed related to driving safety are eavesdropped and cracked by an attacker, important information of driving safety or information such as user privacy may be exposed. The confidentiality requirement can be divided into four grades from high to low through expert rating, and the method is used for solving the problem that the confidentiality requirement is required to be classified into four grades from high to low
Figure BDA0002087813600000112
Indicating message msgiThe confidentiality of
Figure BDA0002087813600000113
When in use
Figure BDA0002087813600000114
And then, the message is described to have the highest confidentiality requirement.
(2) Requirement for authentication
Figure BDA0002087813600000115
Authentication means that the receiving ECU can verify the integrity of the message content and the authenticity of the source. Is provided with
Figure BDA0002087813600000116
Indicating message msgiIn which the authentication is required, wherein
Figure BDA0002087813600000117
The message content, the transmitting and receiving ECU and the like are analyzed by experts or manufacturers, and the authentication requirements of the message are divided into four grades from high to low. Order to
Figure BDA0002087813600000118
And then, the authentication requirement of the message is the highest. The invention adopts a message authentication code HMAC based on the hash to carry out message authentication.
(3) Real-time requirements
Figure BDA0002087813600000119
Is provided with
Figure BDA00020878136000001110
Indicating message msgiIn real time, wherein
Figure BDA00020878136000001111
The real-time property refers to the priority of the message. The CAN bus determines the priority of the message according to the message ID during arbitration, the explicit level "0" covers the implicit level "1", and the ECU with the high priority preempts the bus. It CAN be concluded that the manufacturer sets the priority of certain messages higher in order to send them to the bus in time when designing the CAN bus communication matrix. Therefore, the real-time requirement level is set according to the message ID, the message ID is a hexadecimal number of 11bits, and the initial bit is y, then
Figure BDA00020878136000001112
The value of (A) is as shown in formula (1). When in use
Figure BDA00020878136000001113
The real-time requirement of the message is the highest.
Figure BDA00020878136000001114
(4) Length class of message
Figure BDA00020878136000001115
Is provided with
Figure BDA00020878136000001116
Indicating message msgiLength scale of (2). When the security policy is selected, the length of the message can be referred to, and the MAC with a certain length is intercepted and transmitted together with the original message. The length of the message is set to be l bits,
Figure BDA00020878136000001117
is represented by the formula (2), wherein
Figure BDA00020878136000001118
Indicating the highest level of message length.
Figure BDA00020878136000001119
(5) Bus load ratio (B)t): the bus load rate is the percentage of bus bandwidth occupied by bus transmission data within 1s, and represents the condition that the bus resource is used in the time period. The gateway ECU monitors the bus load rate in a certain time period T and counts the time length T of the bus load rate in the time period being more than 50 percent1In proportion to the total duration t (t ≠ 0) by the bus load ratio BtIs represented by, i.e. Bt=t1/t,Bt∈(0,1]The closer the value is to 1, the higher the bus duty ratio in the time period.
(6) Channel busy to idle ratio (CBR)t): the channel busy-to-idle ratio is used to indicate the congestion level of the channel. Waiting for low priority messages the more busy the channel isThe longer the time. Defining channel busy-to-idle ratio (CBR)t) For monitoring the proportion of time during which the channel is detected as busy, i.e. for monitoring time T
Figure BDA0002087813600000121
n is the number of channel detections, kiThe channel is 1 when busy and 0 when idle. When CBR is usedtThe larger the value of (b), the more busy the channel is.
(7) Current network security status level (S)t): let StAnd the network security level fed back by an Intrusion Detection System (IDS) in the current time period T. At present, various in-vehicle CAN bus intrusion detection schemes are proposed by scholars, such as based on message information entropy[7]And data frame frequency[9-10]And the like. Setting IDS to feed the current network security state back to gateway ECU, wherein StEach of the four levels of the current network state from high to low is sequentially represented by { s | s ═ n-k)/n, k ═ 0,1,2,3, and n ═ 4 }. When S istWhen the network security state level is 1, the network security state level is the highest.
In summary, the value ranges of the message factors and the network environment factors are both (0, 1)]In the above formula, the above factors are sequentially represented as u1,u2,...,u7And added to the factor set U, i.e., U ═ U { (U) }1,u2,...,u7}. With the development of the car networking technology, factors influencing the safety strategy can be added into the strategy set U, and the specific application condition is met.
B) Determination of a set of policies
In the present CAN bus authentication scheme proposed by researchers, the transmission modes of MAC are mainly divided into two types, namely, independent message transmission and transmission together with an original message: transmitting a 64bits MAC in a single message provides higher security but doubles the bus load. If the MAC address is transmitted together with the original message, although the bus load is not increased, the MAC with the limited length reduces the safety. The invention summarizes and provides six security strategies commonly used in the CAN bus in the vehicle according to the security requirements of the message. Let policy set P denote the set of optional policies provided by the present invention, denoted as P ═ P{P1,P2,P3,P4,P5,P6In which P is1Representing a clear broadcast transmission, P2Representing transmission of ciphertext, P3HMAC authentication, P, representing plaintext transmission and employing truncation4HMAC authentication, P, representing clear text transmission and using 64bits5HMAC authentication, P, representing ciphertext transmission and employing truncation6Representing ciphertext transmission and using 64bits of HMAC authentication. And a new security policy can be added into the policy set in practical application so as to meet the personalized security requirement.
C) Differential security policy selection based on fuzzy decision:
because the requirement of the message has certain ambiguity, for example, the high and low of confidentiality requirements have no obvious boundary, and the message has certain subjectivity; meanwhile, the transmission strategy which is reasonable is essentially a balance between the security and the network performance, and the concept of the transmission strategy also has certain ambiguity. The present invention therefore employs fuzzy decision making[26]The method comprises the steps of designing a self-adaptive security strategy selection scheme, assuming that a gateway ECU has enough computing capacity, obtaining message requirements and in-vehicle network parameters in a certain time period T, and firstly adopting an analytic hierarchy process[27](Analytic Hierarchy Process, AHP) determining the weight of the influence factor, then determining the membership function of the security strategy to the comment set, constructing a fuzzy evaluation matrix, carrying out fuzzy comprehensive evaluation on the strategy, and finally selecting a more reasonable security strategy for output. The steps are as follows.
(1) AHP method based weight determination of each influence factor of factor set
First, a hierarchical model of the CAN bus security mechanism is established, as shown in fig. 2. Wherein the factor set U ═ U1,U2},U1Representing a set of message factors, U2Is a set of network environment factors.
By comparing the factors of the same layer pairwise, the relative importance degree of the factors is determined by evaluating the importance degree by an expert or a manufacturer. From top to bottom, a contrast matrix M is establishedu=(mij)n×n,mijIs greater than 0. Wherein m isijRepresenting factor uiAnd factor ujN is the number of factors, as shown in formula (3):
Figure BDA0002087813600000122
here, M is requireduIs a consistent matrix, namely: m isji=1/mijAnd is
Figure BDA0002087813600000123
This is because the assignment of weights to be satisfied is logically consistent. After determining the contrast matrix, the factor weights are determined as inalgorithm 1.
Figure BDA0002087813600000124
Figure BDA0002087813600000131
And finally, determining the weight of each factor of the sub-criterion layer relative to the target layer. If criteria layer weight
Figure BDA0002087813600000132
Sub-criteria layer pair factor U1,U2Are respectively weighted as W1And W2Then, according to the weighting method, the final weight of all factors is α ═ W1·α1,W2·α2]。
(2) Determining membership function and constructing fuzzy evaluation matrix R
Firstly, an expert or a manufacturer constructs a strategy grading grade matrix G (G) for each factor by analyzing the influence of each factor on the safety strategyij)6×4Wherein g isijIndicating that the strategy P takes different values when the factors take respectivelyiIs scored. Such as a pair
Figure BDA0002087813600000133
Constructing a strategy scoring matrix G1Wherein g isijTo represent
Figure BDA0002087813600000134
When {0.25,0.5,0.75,1} is taken in sequence, each strategy PiThe score condition of (1).
And then determining the membership function of the security strategy to each element of the comment set. Let the comment set be a set of all the evaluation results, with V ═ V1,v2,...,vmDenotes, m is the total number of evaluation results. The invention selects V ═ poor, good }. By degree of membership rijTo express a policy PiAt factor uiFor comment set element v under influence ofjOf wherein r isij∈[0,1]。rijThe closer to 1, the more P is indicatediFor vjThe higher the degree of membership. The invention selects a function of distribution membership degree of reduced hemitrapezoid, the expression is as formula (4-7), wherein j ═ {1,2,3,4} respectively represents vjThe possible four values { poor, good }, then the corresponding rijIn order of ri1,ri2,ri3,ri4In the formula a1<a2<a3<a4,gijThe score representing the policy is derived from the policy score matrix G.
Figure BDA0002087813600000135
Figure BDA0002087813600000136
After acquiring the parameter information of a certain message and the network environment parameters in the time period, the gateway ECU sequentially acquires a strategy set P according to the strategy scoring matrix G of each factori(i ═ 1, 2.. 6) corresponding fraction gijSubstituting the function into membership function to form fuzzy evaluation matrix R of each security policy in turn, wherein
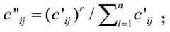
Figure BDA0002087813600000137
(3) Fuzzy comprehensive evaluation of strategy
From equation (8), P is calculated as a wholeiFor vjDegree of membership of (B) ═ B1,b2,...,bm) I.e. strategy PiThe fuzzy evaluation result vector of (1). Wherein b isiRepresents PiFor vjI.e. determining P by comprehensively considering the influence of various factorsiFor comment set vjDegree of membership. Sequentially calculating each security policy pair comment set vjDegree of membership.
Figure BDA0002087813600000141
(4) Selecting a security policy according to a maximum membership rule
In obtaining PiFuzzy evaluation vector B ofi=(bi1,bi2,bi3,bi4) Then, determining a strategy P according to the maximum membership ruleiThe result of evaluation of (1), i.e. when
Figure BDA0002087813600000142
When is, PiOverall belonging to the r-th rank. Determining P in sequencei(i ═ 1,2,. 6) generally favors evaluation of the results. And selecting the strategy with the highest evaluation from all the strategies. And if the strategies under the highest evaluation level are multiple, selecting the strategy with higher membership degree as the output of the fuzzy decision. And the gateway ECU broadcasts the selected security strategy of the message to the bus, and the sending and receiving ECU related to the message updates the strategy of the message in the next time period T.
In the embodiment of the invention, the ECU domain-division key management and security protocol control method comprises the following steps:
the invention provides a high-efficiency ECU domain division and key management scheme. Firstly, in order to reduce the communication overhead of inter-domain nodes, the invention divides the domain of the ECU nodes according to the communication frequency of the ECU based on the thought of MCL clustering, then establishes a tree domain Key structure based on a Logic Key Hierarchy (LKH) and completes the Key distribution. And finally, designing a differentiated security policy and a communication protocol thereof by combining a self-adaptive security policy selection method.
As a preferred embodiment of the present invention, the ECU domain division based on MCL clustering includes:
how to design a reasonable and efficient ECU domain division rule is a problem to be solved by the subsection. The present invention first constructs a communication graph G (V, E) of ECU nodes, with the vertex V representing ECUs, the edge E representing communications between ECUs, and the weights on the edge representing the frequency of communications between nodes. Defining a communication frequency CFijAs ECU in unit time TiAnd ECUjThe number of communications therebetween. It should be noted that an ECU interfacing with an external network, such as an OBD, is more likely to be an entrance for an attacker to intrude into the in-vehicle CAN bus. Therefore, for ECUs that have an interface with an external network, a single ECU should be divided into one domain. The specific steps are shown inalgorithm 2.
Figure BDA0002087813600000143
The algorithm is circulated, the output of each round is used as the input of the next round, namely, a new graph G is constructed by the ECU node clustering result set of the ith outputi(Vi,Ei) And each set is used as a vertex in the graph, the sum of the communication frequencies of the ECU of the whole set and the ECU nodes of the other sets is used as the weight of an edge, MCL clustering is carried out again until a cluster is finally formed, and the tree-shaped logic structure of the ECU node domains is established according to the clustering result set each time.
As a preferred embodiment of the present invention, the domain key distribution and management based on LKH includes:
because the CAN bus network in the vehicle has higher real-time requirement, the communication time delay is required to be minimized. In addition, the calculation capacity of the ECU nodes is limited, and in order to reduce the communication overhead brought by cross-domain communication as much as possible, the method establishes the LKH-based tree-shaped domain key structure according to the domain division result set of the ECU. First, since the number of ECUs is currently around 50 to 100, the ECUs are identified by a unique 8-bit binary number, denoted as an ECUi(ii) a Next, a base is establishedTree domain key logic structure in LKH. The leaf nodes represent ECUs, the virtual nodes represent domains, and sibling nodes of the same parent node belong to the same domain. Each ECU needs to hold all keys on the path from the leaf node to the root node. Is provided with
Figure BDA0002087813600000151
And the key number of the domain is represented, wherein i and j respectively represent the ID of a starting node and an ending node in the domain if the key numbers are sorted according to the ECU ID, and s represents the layer number of the key tree. As shown in fig. 3. ECU (electronic control Unit)iNeeds to store the intra-domain key of thedomain 2
Figure BDA0002087813600000152
And intra-domain key ofdomain 3
Figure BDA0002087813600000153
After the tree domain key logic structure is established, the gateway ECU distributes keys. Suppose that the ECU node of domain n pre-shares a secret key with the gateway ECU
Figure BDA0002087813600000154
And the downloading of the key is over a secure channel. The gateway ECU acts as a control node, storing all keys. The process of loading the pre-shared key is only performed when the automobile leaves a factory and a certain ECU is replaced. When the vehicle starts, the gateway ECU distributes the keys according to the logic structure of the tree domain keys and the fixed sequence. Provided with an ECUi∈YnWherein Y isnRepresenting a domain n. The steps are as follows.
(1) Gateway ECU selects two random number seeds
Figure BDA0002087813600000155
For generating YnIs given to the session key EK within the domainnAnd an authentication key AKn. By YnEncryption key pre-shared by internal ECU and gateway ECU
Figure BDA0002087813600000156
The encrypted random number seed is broadcasted, as in (9) (10);
Figure BDA0002087813600000157
Figure BDA0002087813600000158
(2)Ynafter receiving the message, the node uses the corresponding key to decrypt to obtain
Figure BDA0002087813600000159
And respectively calculate YnSession key EK ofnAnd authentication key AKnAs shown in formulas (11) (12). Where KDF () represents a one-way hash function for key derivation;
Figure BDA00020878136000001510
Figure BDA00020878136000001511
(3) to verify whether the secret key EK is successfully sharednAnd AKnThe gateway ECU uses the EK generated in step (1)nAnd AKnSeparately encrypted CTRnAnd broadcast. Wherein, CTRnStored by gateway ECU for key distribution and YnThe associated counter is as in equations (13) (14);
Figure BDA00020878136000001512
Figure BDA00020878136000001513
(4)Ynthe inner node receives the message and decrypts the message by using the corresponding key generated in the step (2) to obtain the CTRnValue and self-stored counter value CTR'nContrast, if equalThen the corresponding key is deemed to be successfully shared. Otherwise, the ECU node needs to send an error frame to the gateway ECU indicating that the key is not successfully shared.
The gateway ECU distributes the session keys EK in sequence by taking the domain as a unitnAnd authentication key AKn. And when the vehicle is ignited and within a certain time period T, the gateway ECU distributes the key according to the domain again, and updates the session key and the authentication key.
As a preferred embodiment of the present invention, the design of the differentiated security protocol includes:
the invention summarizes and provides six security strategies commonly used in the CAN bus according to the security requirements of the message. Let the policy set be P ═ P1,P2,P3,P4,P5,P6In which P is1Representing a clear broadcast transmission, P2Representing transmission of ciphertext, P3HMAC authentication, P, representing plaintext transmission and employing truncation4HMAC authentication, P, representing clear text transmission and using 64bits5HMAC authentication, P, representing ciphertext transmission and employing truncation6Representing ciphertext transmission and using 64bits of HMAC authentication. ECU (electronic control Unit)iTo ECUjSends a message, and the ECUi,ECUj∈Yn. The specific flow of each strategy is as follows.
(1) Policy P1Plaintext broadcast transmission: and broadcasting the plain text of the original message without any processing.
(2) Policy P2Ciphertext is transmitted as in fig. 4. The specific process is as follows:
a.ECUiupdating message counters
Figure BDA00020878136000001514
And selects the corresponding key EKnEncrypted plaintext M and
Figure BDA00020878136000001515
the ciphertext C is then obtained and sent to the bus, where
Figure BDA0002087813600000161
b.ECUjDetermining corresponding security policy according to the message ID, and selecting corresponding key EK according to the sender IDnObtain plaintext M after decryption and
Figure BDA0002087813600000162
will be provided with
Figure BDA0002087813600000163
With self-stored counters
Figure BDA0002087813600000164
And (6) carrying out comparison. If it is
Figure BDA0002087813600000165
Then update
Figure BDA0002087813600000166
And then receiving the message, otherwise, discarding the message.
(3) Policy P3Indicating HMAC authentication with truncation: as shown in fig. 5, the ECUjIt is necessary to verify whether the message is modified and actually originated from the ECUiHere, HMAC is used for authentication. Setting the length of the original message as l bits, strategy P3The first (64-l) bits to generate HMAC are selected. Provided with an ECUi,ECUj∈YnThe specific process is as follows:
a.ECUiupdating a counter
Figure BDA0002087813600000167
Using authentication key AKnGenerating
Figure BDA0002087813600000168
(64-l) bits taken, with M and
Figure BDA0002087813600000169
sent to the bus together;
b.ECUjdetermining corresponding security policy and authentication key AKnThen, calculate
Figure BDA00020878136000001610
Comparing with the received HMAC, if the received HMAC is consistent, comparing
Figure BDA00020878136000001611
Stored with oneself
Figure BDA00020878136000001612
If it is
Figure BDA00020878136000001613
Updating
Figure BDA00020878136000001614
And then receiving the message, otherwise, discarding the message.
(4) Policy P4HMAC authentication using 64bits, authentication process and P3And (5) the consistency is achieved. Except that the generated HMAC is sent to the CAN bus as a separate message by taking 64bits ahead.
(5) Policy P5Ciphertext is transmitted and authentication is performed by adopting truncated HMAC: as shown in fig. 6. The specific process is as follows:
a.ECUiupdating message counters
Figure BDA00020878136000001615
Selects corresponding key EKnEncrypting messages, i.e.
Figure BDA00020878136000001616
And generate HMAC, i.e.
Figure BDA00020878136000001617
Here, the length of the original message is set to l bits, and the strategy P5The first (64-l) bits to generate HMAC are selected. Sending the ciphertext C and the truncated HMAC to the bus together;
b.ECUjin determining a security policy and corresponding key EKnAnd AKnAfter that, EK is usednAfter decryption, M and
Figure BDA00020878136000001618
and generate HMAC', i.e.
Figure BDA00020878136000001619
Comparing with the received HMAC, if the received HMAC is consistent with the received HMAC, comparing
Figure BDA00020878136000001620
And
Figure BDA00020878136000001621
if it is
Figure BDA00020878136000001622
Updating
Figure BDA00020878136000001623
And then receiving the message, otherwise, discarding the message.
(6) Policy P6Ciphertext is transmitted and HMAC authentication with 64bits is adopted: HMAC generation and encryption and decryption process and P5Consistently, the only difference is that the generated HMAC is sent in a single message.
The invention is further described below in connection with the experiments.
1. Feasibility analysis:
the CAN bus message CAN be divided into a CAN standard frame and a CAN extended frame according to the length of the message ID. The CAN extended frame divides the ID identifier of 29bits into an identifier and an extended identifier, wherein the identifier field is mainly used for determining the priority of the message. If the scheme provided by the invention is applied to the CAN extension frame, the following modifications need to be made to the format of the CAN extension frame, as shown in fig. 7.
The extended identifier field of 18bits is divided into three parts: a control field of 4bits, a sender ID of 8bits and a reserved field of 6 bits. The control field is used to indicate the type of the packet, and includes a key distribution frame, a data transmission frame, a policy identification frame, and the like, and the specific definition is shown in table 1. Unused fields are temporarily reserved and available for future expansion. And the ID field of the sender of the 8bits is the unique identifier of the ECU node and is used for realizing the source authentication of the message.
TABLE 1 control field coding
Figure BDA00020878136000001624
Figure BDA0002087813600000171
The invention fully utilizes the extended identifier field of the CAN extended frame to identify the message type and the ID of the sender. The scheme has feasibility, because in the CAN bus, the extended identifier field of 18bits and the identifier field of 11bits coexist, and the priority of the message is determined according to the identifier field of 11bits, and the occupation of the extended identifier field does not interfere with the arbitration process of the CAN bus. Therefore, the invention has feasibility for modifying the CAN extended frame, is easy to implement and has certain expandability.
2 safety analysis
The invention analyzes the security of the message from message confidentiality, authentication, anti-replay attack and forward and backward security of the secret key.
(1) Message confidentiality: security policy P2,P5,P6The AES-128 algorithm is adopted to ensure the confidentiality of the CAN bus message. Using a secret key with a gateway ECU
Figure BDA0002087813600000172
And random number seed
Figure BDA0002087813600000173
Generation of a session key EKnAnd the attacker cannot obtain
Figure BDA0002087813600000174
The security of the AES-128 algorithm is proved[30]I.e. the attacker cannot get from
Figure BDA0002087813600000175
Obtaining the EKn. Therefore, the session key EK cannot be obtainednIn case of (2), the attacker cannotAnd decrypting the message.
(2) Message authentication: the receiving ECU can verify the integrity of the message content and the authenticity of the source. Policy P3,P4,P5,P6And selecting the HMAC to perform message authentication. Since the attacker does not know the authentication key AK used by the HMAC generated by the message, the only way is to exhaust in the key space, at 2xOne of the possibilities is to select an x bits string as the authentication key. If an attacker exhaustively sends the HMAC to the CAN BUS within a short time, the BUS network CAN transmit an error frame of CAN BUS OFF to indicate an error state of communication failure.
(3) And (3) preventing replay attack: sending and receiving ECU separately maintains message counters
Figure BDA0002087813600000176
And
Figure BDA0002087813600000177
for message synchronization and HMAC generation. Thus, the present invention is secure against replay attacks.
(4) Forward and backward security of keys: each time the key is updated it is time to update,
the ECU cannot know the previous and subsequent session keys and authentication keys. Even if the session key at the k-th time is exposed, the session key at the k-1-th time and the session key at the k + 1-th time cannot be obtained, because the random number seed of the key generated at the k-th time is irrelevant to the random numbers at the k-1-th time and the random numbers at the k + 1-th time, the forward and backward security of the key is well ensured. In a similar way, the invention can also ensure the forward and backward security of the authentication key.
3 analysis of the experiment
In the experiment, CANoe V10.0 software is used for simulating the CAN bus network environment in the vehicle, and CAPL language is used as a programming language in the software. The experimental environment is a PC, a Windows 764 bit system, i7-6700 master frequency 3.4GHz, a memory 8G, and Python language is used as a programming language. A CAN bus message data set collected in a certain time period of a certain brand of automobiles in China is selected to be used for simulating a real in-vehicle bus environment in a certain time period, wherein the data set comprises 731622 messages, and 51 messages CAN be classified according to message IDs.
3. 1 validity of adaptive fuzzy decision
The method adopts the PC to simulate the self-adaptive fuzzy decision process of the gateway ECU node, and observes the influence of the change of the network environment on the selection of the security strategy by changing the parameters of the network in the vehicle. Simulating a bus network environment in a certain time period T according to the CAN bus message data set, and randomly generating [0,1 ] for 51 message types with different message IDs]The real number in the message is used for simulating confidentiality requirement and authentication requirement of the message. And determining the real-time requirement of the message according to the message ID, and determining the length grade of the message according to the length of the data field. According to the CAN bus level model, a standard level contrast matrix M is selected and constructed in the experimentu1Comparison matrix M of sub-criterion layersu2,Mu3. According to the AHP method, calculating and obtaining corresponding weight
Figure BDA0002087813600000178
And W1,W2And the total weight alpha of each element of the factor set, wherein the specific data is as follows:
Figure BDA0002087813600000181
Figure BDA0002087813600000182
W2=[0.4286,0.1429,0.4286]α=[0.0236,0.076,0.1519,0.0818,0.2857,0.0953,0.2857]
and then selecting and constructing a strategy scoring matrix. After the experiment preparation work is finished, the occupation conditions of all safety strategies are observed by changing the network parameters in the vehicle according to the bus environment in the real data set simulation in a certain time period T. Network parameter Bt,CBRt,StAll possible values of {0.25,0.5,0.75,1}, where vectors are used
β={β123Represents { B }t,CBRt,StA set of possible values of. The detailed experimental results are as follows.
Fig. 8(a) (b) can see that under the condition that the channel busy-idle ratio and the network security state are not changed, the bus load ratio is increased from 0.25 of the graph (a) to 1 shown in the graph (b), and the security policy P of additionally transmitting 64bits of MAC is needed4,P6The proportion of all messages in the whole bus network is reduced from 64.52% to 37.77%, which shows that when the bus load is increased, the self-adaptive scheme can reduce the selection of the security policy requiring additional MAC transmission, and the additional bus load is not increased as much as possible.
FIG. 9(a) (b) shows that when the channel busy-idle ratio is increased, the policy P is applied when the bus load ratio and the network security status are not changed4,P6The proportion of all messages in the whole bus network is reduced from 37.77% to 4.46%. This shows that when the channel busy-to-idle ratio is increased, in order to send the message as soon as possible and improve the real-time performance, the adaptive scheme will reduce the selection of the security policy requiring additional MAC transmission.
As can be seen from fig. 10(a) and (b), under the condition that the bus load ratio and the channel busy/idle ratio are not changed, if the network security level is lowered, the network security level in the vehicle needs to be raised, and the message needs to be authenticated or encrypted. According to the scheme provided by the invention, the security policy P of encrypted transmission2,P5,P6The percentage of the network security state is improved by 95.44% from 70.86%, which shows that when the level of the network security state is reduced, the invention carries out encryption transmission on the message to prevent an attacker from eavesdropping the attack and ensure the confidentiality of message transmission.
4. In the ECU node domain division and domain key management of the present invention,
the invention respectively analyzes and compares the performance of the ECU key management scheme from two aspects of storage overhead and calculation overhead.
(1) Storage overhead: refers to the number of keys that each ECU node needs to store. The present invention contrasts the present invention with existing solutions. For convenience of calculation, the total number of the ECU nodes is n, the tree-shaped domain key structure is a full m-ary tree (m is greater than or equal to 2) of n nodes, each ECU node needs to store all domain keys on a path from a leaf node where the ECU node is located to a root node, and 2 intra-domain keys of each domain include EK and AK. As can be seen from table 2, the tree domain key structure adopted in the present invention reduces the number of keys stored in each ECU node and the total number of keys.
TABLE 2 comparison of key quantities for each scheme
Figure BDA0002087813600000183
(2) And (3) calculating the overhead: refers to the computation time required to average each ECU node during the key update process. It is assumed here that the ECU nodes in the in-vehicle network have the same clock frequency. The time required for the gateway ECU to distribute the keys is measured by changing the data transmission rate of the CAN bus. The time required by the key distribution process comprises the following steps: 1) the gateway ECU encrypts and broadcasts the random number; 2) message transmission; 3) the ECU node decrypts the data frame and generates a key; 4) the gateway ECU encrypts and broadcasts the counter; 5) the sum of the times that the ECU node decrypts the data frame and compares. As can be seen from fig. 11, as the ECU node clock frequency increases and the bus data transmission rate increases, the key distribution time decreases accordingly. According to the invention, because the form of domain division is adopted, the gateway ECU broadcasts the message, the initial key distribution time is not increased along with the increase of the number of the ECUs, and the method has good feasibility while not increasing extra storage overhead.
5. Performance analysis of security policies
This subsection uses CANoe V10.0 emulation software to simulate the in-vehicle CAN bus, building a dynamic link library to implement security policies in the CANoe. And (3) assuming that the ECUs in the vehicle interior network have the same clock frequency, changing the data transmission rate of the CAN bus, and measuring the communication response time of the ECUs. Wherein the communication response time comprises: 1) the sender executes the security policy and then sends the security policy; 2) message transmission; 3) and after receiving the data frame, the receiver performs HMAC verification or decryption.
Fig. 12 shows the communication response time required for each security policy when the ECU node clock frequency is different and the bus data transfer rate is different. Wherein the strategy P1By adopting the broadcast message, the communication response time only comprises 2) time delay of message transmission, so that the invention only measures the ECU communication response time of other 5 security strategies. It can be seen that as the bus data transfer rate increases, the communication response time required by the ECU nodes gradually decreases. Meanwhile, the higher the clock frequency, the less communication response time is required for the ECU node. Therefore, according to the difference of the computing power of the ECU and the size of the bus data transmission rate, the scheme provided by the invention can adaptively select the differentiated security strategy, thereby reducing the communication time delay and the computing overhead.
6. Comparative experiment
The adaptive security mechanism provided by the invention is compared with the LeiA scheme and the scheme provided by Woo et al. Randomly selecting time sequence T ═ T in CAN bus message data set1,t2,...,t8Measured at tiBus load over a period of time and bus load using LeiA, Woo and the invention and communication response time of ECU nodes. The ECU node frequency is set to be 150MHz in the experiment, the data transmission rate of the bus is set to be 1Mbps, and the number of messages in the randomly selected time sequence is shown in Table 3.
Table 3 the time series selected by the experiment contains the number of messages
Figure BDA0002087813600000191
As in fig. 13(a), the bus load is constantly changing over time. The Woo scheme uses the MAC of 32bits and transmits the MAC together with the message, and the bus load is not increased, so the change trend of the scheme is coincident with the change of the bus load; the LeiA scheme doubles the bus load by transmitting a 64-bits MAC as an extra message. The scheme of the invention adopts self-adaptive fuzzy decision, selects MAC with 32bits or 64bits according to the message requirement and the network environment, although a certain bus load is increased, the scheme is far lower than the LeiA scheme. From fig. 13(b), the response time of the ECU node in the proposed solution is also between LeiA and Woo, and does not increase the communication response time of the ECU node much.
Table 4 compares the LeiA scheme, Woo scheme with the present invention between security and network performance. Where security includes whether encryption is used and the length of the MAC used for authentication. Network performance includes impact on bus load and communication response time of the ECU. It can be seen that the present invention compares to the LeiA scheme. The influence on the bus load is small, and the communication delay is small; longer MACs are provided and security is higher compared to the Woo scheme. This is because the invention adds adaptive strategy selection, taking into account network performance and security.
Table 4 LeiA, Woo and security versus network performance for the invention
Figure BDA0002087813600000192
The present invention will be further described with reference to effects.
The following problems exist in the existing CAN bus safety scheme: (1) a single safety mechanism is difficult to meet the differentiated message safety requirements and the dynamic in-vehicle network environment, and the existing scheme is difficult to consider both the safety and the network performance; (2) the existing CAN bus encryption and authentication scheme lacks an efficient key management scheme and is difficult to be applied to ECU nodes with limited computing capacity. The invention provides a self-adaptive CAN bus safety mechanism, which mainly comprises: (1) the method comprises the steps of comprehensively considering message requirements and bus network factors in the vehicle, providing a safety strategy selection scheme based on an analytic hierarchy process and fuzzy decision, and adaptively selecting a more reasonable safety strategy aiming at differentiated messages and dynamically changed network environments in the vehicle; (2) and dividing the ECU nodes into hierarchical domains according to the communication frequency among the ECUs, and performing key management. Differential security strategies and corresponding communication protocols are designed; (3) the scheme provided by the invention is subjected to feasibility and security analysis, the effectiveness of self-adaptive fuzzy decision is verified, and the performance analysis is performed on the ECU domain division and key management scheme. Compared with the existing scheme, the result shows that the method has very limited storage overhead and calculation overhead, and is suitable for the ECU nodes with limited calculation capacity and the CAN bus network with high real-time requirement.
The above description is only for the purpose of illustrating the preferred embodiments of the present invention and is not to be construed as limiting the invention, and any modifications, equivalents and improvements made within the spirit and principle of the present invention are intended to be included within the scope of the present invention.

Claims (6)

1. The self-adaptive in-vehicle CAN bus safety control method is characterized by comprising the following steps:
selecting a plurality of influence factors through analyzing the characteristics of the message and the in-vehicle network environment, and adaptively selecting a security strategy by utilizing an analytic hierarchy process and a fuzzy decision idea, so that the security requirement of the message is met, and the security strategy is adaptively adjusted according to the dynamic in-vehicle network environment; the CAN bus security strategy selection method based on fuzzy decision comprises the following steps:
step one, determining a factor set: selecting factors related to message security requirements and dynamic in-vehicle network environments and influencing the determination of security strategies, and constructing a factor set U; the value ranges of the message factors and the network environment factors are both (0, 1)]In the method, the message factor and the network environment factor are sequentially expressed as u1,u2,...,u7And added to the factor set U, U ═ U1,u2,...,u7};
Step two, determining a strategy set:
policy set P represents a set of optional policies, denoted P ═ P1,P2,P3,P4,P5,P6In which P is1Representing a clear broadcast transmission, P2Representing transmission of ciphertext, P3HMAC authentication, P, representing plaintext transmission and employing truncation4HMAC authentication, P, representing clear text transmission and using 64bits5HMAC authentication, P, representing ciphertext transmission and employing truncation6Representing ciphertext transmission and adopting HMAC authentication of 64 bits;
step three, selecting a differentiated security strategy based on fuzzy decision: firstly, determining the weight of an influence factor by adopting an analytic hierarchy process, then determining a membership function of a security strategy to a comment set, constructing a fuzzy evaluation matrix, carrying out fuzzy comprehensive evaluation on the strategy, and finally selecting a more reasonable security strategy for output;
abstracting the communication frequency of ECU nodes in the vehicle into an undirected graph, taking the communication frequency as the edge weight of the graph, dividing the undirected graph into hierarchical domain structures according to the communication frequency between the ECUs by adopting a Markov clustering method, carrying out key management on the nodes by using a tree-shaped domain key structure, and simultaneously carrying out differentiated security policy and corresponding communication protocol selection by combining a self-adaptive security policy selection method to realize the security control of a CAN bus in the vehicle; the ECU domain-division key management and security protocol selection method comprises the following steps:
firstly, dividing domains for ECU nodes according to the communication frequency of the ECU based on the idea of MCL clustering to reduce the communication overhead of the nodes between domains; then, a tree domain key structure based on a logic key tree is established and key distribution is completed; finally, a self-adaptive security policy selection method is combined to design a differentiated security policy and a communication protocol thereof;
the domain key distribution and management method based on LKH comprises the following steps:
according to the domain division result set of the ECU, an LKH tree-shaped domain-based key structure is established, and the unique 8-bit binary number identifier is used for the ECU and is expressed as the ECUi(ii) a Establishing a tree-shaped domain key logic structure based on LKH, wherein leaf nodes represent ECU, virtual nodes represent domains, and brother nodes of the same parent node belong to the same domain; each ECU saves all keys on the path from the leaf node to the root node;
Figure FDA0003028411230000021
the key number of the domain is represented, wherein i and j respectively represent ID of a starting node and an ending node in the domain if the key numbers are sequenced according to the ECU ID, and s represents the layer number of the key tree;
after a tree domain key logic structure is established, a gateway ECU distributes keys; pre-shared secret key of ECU node and gateway ECU of domain n
Figure FDA0003028411230000022
And is sealedThe downloading of the key is through a secure channel; the gateway ECU is used as a control node and stores all keys; the process of loading the pre-shared key is only carried out when the automobile leaves a factory and a certain ECU is replaced; when the vehicle is started, the gateway ECU distributes keys according to a fixed sequence according to the logic structure of the tree domain keys; ECU (electronic control Unit)i∈YnWherein Y isnRepresents a domain n; the method comprises the following specific steps:
(1) gateway ECU selects two random number seeds
Figure FDA0003028411230000023
For generating YnIs given to the session key EK within the domainnAnd an authentication key AKn(ii) a By YnEncryption key pre-shared by internal ECU and gateway ECU
Figure FDA0003028411230000024
The encrypted random number seed is broadcasted, as in (9) (10);
Figure FDA0003028411230000025
Figure FDA0003028411230000026
(2)Ynafter receiving the message, the node uses the corresponding key to decrypt to obtain
Figure FDA0003028411230000027
And respectively calculate YnSession key EK ofnAnd authentication key AKnAs shown in formulas (11) (12); where KDF () represents a one-way hash function for key derivation;
Figure FDA0003028411230000028
Figure FDA0003028411230000029
(3) to verify whether the secret key EK is successfully sharednAnd AKnThe gateway ECU uses the EK generated in step (1)nAnd AKnSeparately encrypted CTRnAnd broadcasting; wherein, CTRnStored by gateway ECU for key distribution and YnThe associated counter is as in equations (13) (14);
Figure FDA0003028411230000031
Figure FDA0003028411230000032
(4)Ynthe inner node receives the message and decrypts the message by using the corresponding key generated in the step (2) to obtain the CTRnValue and self-stored counter value CTR'nComparing, if equal, considering that the corresponding key is successfully shared; otherwise, the ECU node needs to send an error frame to the gateway ECU, which indicates that the secret key is not successfully shared;
the gateway ECU distributes the session keys EK in sequence by taking the domain as a unitnAnd authentication key AKn(ii) a When the vehicle is ignited and within a certain time period T, the gateway ECU distributes the key according to the domain again, and updates the session key and the authentication key;
the method for selecting the differentiated safety protocol comprises the following steps:
let the policy set be P ═ P1,P2,P3,P4,P5,P6In which P is1Representing a clear broadcast transmission, P2Representing transmission of ciphertext, P3HMAC authentication, P, representing plaintext transmission and employing truncation4HMAC authentication, P, representing clear text transmission and using 64bits5HMAC authentication, P, representing ciphertext transmission and employing truncation6Representing ciphertext transmission and adopting HMAC authentication of 64 bits; ECU (electronic control Unit)iTo ECUjSends a message, and the ECUi,ECUj∈Yn
(1) Policy P1Plaintext broadcast transmission: broadcasting the plaintext of the original message without any processing;
(2) policy P2Ciphertext transmission: ECU (electronic control Unit)iUpdating message counters
Figure FDA0003028411230000033
And selects the corresponding key EKnEncrypted plaintext M and
Figure FDA0003028411230000034
the ciphertext C is then obtained and sent to the bus, where
Figure FDA0003028411230000035
ECUjDetermining corresponding security policy according to the message ID, and selecting corresponding key EK according to the sender IDnObtain plaintext M after decryption and
Figure FDA0003028411230000036
will be provided with
Figure FDA0003028411230000037
With self-stored counters
Figure FDA0003028411230000038
Carrying out comparison; if it is
Figure FDA0003028411230000039
Then update
Figure FDA00030284112300000310
Then receiving the message, otherwise discarding;
(3) policy P3Indicating HMAC authentication with truncation: ECU (electronic control Unit)jIt is necessary to verify whether the message is modified and actually originated from the ECUiAuthenticating using the HMAC; let the length of the original message be lbits, and strategy P3Selecting precursors for HMAC generation(64-l) bits; provided with an ECUi,ECUj∈Yn,ECUiUpdating a counter
Figure FDA00030284112300000311
Using authentication key AKnGenerating
Figure FDA00030284112300000312
(64-l) bits taken, with M and
Figure FDA00030284112300000313
sent to the bus together;
ECUjdetermining corresponding security policy and authentication key AKnThen, calculate
Figure FDA0003028411230000041
Comparing with the received HMAC, if the received HMAC is consistent, comparing
Figure FDA0003028411230000042
Stored with oneself
Figure FDA0003028411230000043
If it is
Figure FDA0003028411230000044
Updating
Figure FDA0003028411230000045
Then receiving the message, otherwise discarding the message;
(4) policy P4HMAC authentication using 64bits, authentication process and P3The consistency is achieved; the difference is that the generated HMAC takes the first 64bits and sends the messages to the CAN bus in a single message;
(5) policy P5Ciphertext is transmitted and authentication is performed by adopting truncated HMAC: ECU (electronic control Unit)iUpdating message counters
Figure FDA0003028411230000046
Selects corresponding key EKnEncrypting messages, i.e.
Figure FDA0003028411230000047
And generate HMAC, i.e.
Figure FDA0003028411230000048
Let the length of the original message be lbits, and strategy P5Selecting front (64-l) bits for generating the HMAC, and sending the ciphertext C and the truncated HMAC to a bus;
ECUjin determining a security policy and corresponding key EKnAnd AKnAfter that, EK is usednAfter decryption, M and
Figure FDA0003028411230000049
and generate HMAC', i.e.
Figure FDA00030284112300000410
Comparing with the received HMAC, if the received HMAC is consistent with the received HMAC, comparing
Figure FDA00030284112300000411
And
Figure FDA00030284112300000412
if it is
Figure FDA00030284112300000413
Updating
Figure FDA00030284112300000414
Then receiving the message, otherwise discarding;
(6) policy P6Ciphertext is transmitted and HMAC authentication with 64bits is adopted: HMAC generation and encryption and decryption process and P5Consistently, the only difference is that the generated HMAC is sent in a single message.
2. The adaptive in-vehicle CAN bus security control method of claim 1,
the influence factors selected in the first step further comprise:
(1) demand for confidentiality
Figure FDA00030284112300000415
Due to the fact that the oil temperature related to driving safety and the messages of the vehicle speed sensor parameters are intercepted and cracked by an attacker, important information of the driving safety or information of user privacy and the like are exposed; dividing confidentiality requirements into four grades from high to low through expert rating
Figure FDA00030284112300000416
Indicating message msgiThe confidentiality of
Figure FDA00030284112300000417
When in use
Figure FDA00030284112300000418
When the message is received, the confidentiality requirement of the message is the highest;
(2) requirement for authentication
Figure FDA00030284112300000419
Am (A) to
Figure FDA00030284112300000420
Indicating message msgiIn which the authentication is required, wherein
Figure FDA00030284112300000421
The expert or the manufacturer analyzes the message content, the receiving and sending ECU and the like, and the authentication requirements of the message are divided into four grades from high to low; order to
Figure FDA00030284112300000422
Figure FDA00030284112300000423
When the message is received, the authentication requirement of the message is the highest;
(3) real-time requirements
Figure FDA00030284112300000424
Is provided with
Figure FDA00030284112300000425
Indicating message msgiIn real time, wherein
Figure FDA00030284112300000426
Setting a real-time requirement level according to a message ID, wherein the message ID is a hexadecimal number of 11bits, and an initial bit is y, then
Figure FDA0003028411230000051
The value of (A) is as shown in formula (1); when in use
Figure FDA0003028411230000052
The real-time requirement of the message is highest;
Figure FDA0003028411230000053
(4) length class of message
Figure FDA0003028411230000054
Figure FDA0003028411230000055
Indicating message msgiLength class of (d); the length of the message is lbits,
Figure FDA0003028411230000056
is represented by the formula (2), wherein
Figure FDA0003028411230000057
Indicating that the message length grade is highest;
Figure FDA0003028411230000058
(5) bus load ratio Bt: the gateway ECU monitors the bus load rate in a certain time period T and counts the time length T of the bus load rate in the time period T being more than 50 percent1In proportion to the total duration t (t ≠ 0) by the bus load ratio BtIs represented by Bt=t1/t,Bt∈(0,1]The closer the value is to 1, the higher the bus duty ratio in the time period;
(6) channel busy-idle ratio CBRt: defining channel busy-to-idle ratio CBRtTo monitor the proportion of the time when the channel is busy in the time T,
Figure FDA0003028411230000059
n is the number of channel detections, ki1 when the channel is busy and 0 when the channel is idle; when CBR is usedtThe larger the value of (A), the more busy the channel is;
(7) current network security state level St: let StThe network security level in the vehicle fed back by the intrusion detection system in the vehicle in the current time period T is obtained; the IDS feeds back the current network security state to the gateway ECU, wherein StThe current network state is sequentially represented by four levels from high to low, where s is (n-k)/n, k is 0,1,2,3, and n is 4; when S istWhen the network security state level is 1, the network security state level is the highest.
3. The adaptive in-vehicle CAN bus security control method of claim 1, wherein step three further comprises:
1) determining the weight of each influence factor of the factor set based on an AHP method:
establishing a hierarchical model of a CAN bus security mechanism, wherein a factor set U ═ U1,U2},U1Representing a set of message factors, U2Is a network environment factor set;
by the same layerComparing every two elements, and carrying out importance evaluation by experts or manufacturers to determine the relative importance degree of the elements; from top to bottom, a contrast matrix M is establishedu=(mij)n×n,mijIs greater than 0; wherein m isijRepresenting factor uiAnd factor ujN is the number of factors, as shown in formula (3):
Figure FDA0003028411230000061
Mufor a consistent matrix, satisfy: m isji=1/mijAnd is
Figure FDA0003028411230000062
After determining the contrast matrix, determining the factor weight; if criteria layer weight
Figure FDA0003028411230000063
Sub-criteria layer pair factor U1,U2Are respectively weighted as W1And W2Then, according to the weighting method, the final weight of all factors is α ═ W1·α1,W2·α2];
2) Determining a membership function, and constructing a fuzzy evaluation matrix R:
constructing a strategy grading grade matrix G (G) for each factor by analyzing the influence of each factor on the security strategy by an expert or a manufacturerij)6×4Wherein g isijIndicating that the strategy P takes different values when the factors take respectivelyiScore of (a); to pair
Figure FDA0003028411230000064
Constructing a strategy scoring matrix G1Wherein g isijTo represent
Figure FDA0003028411230000065
When {0.25,0.5,0.75,1} is taken in sequence, each strategy PiThe score condition of (1);
determining a membership function of the security policy to each element of a comment set, setting the comment set as a set consisting of all evaluation results, and using V as { V ═ V }1,v2,...,vmDenotes, m is the total number of evaluation results; selecting V as poor, good and good; by degree of membership rijTo express a policy PiAt factor uiFor comment set element v under influence ofjOf wherein r isij∈[0,1];rijThe closer to 1, the more P is indicatediFor vjThe higher the degree of membership; the invention selects a reduced half trapezoid distribution membership function, wherein j ═ {1,2,3,4} respectively represents vjThe possible four values { poor, good }, then the corresponding rijIn order of ri1,ri2,ri3,ri4In the formula a1<a2<a3<a4,gijThe score representing the strategy is derived from a strategy scoring matrix G;
Figure FDA0003028411230000066
Figure FDA0003028411230000067
Figure FDA0003028411230000071
Figure FDA0003028411230000072
after acquiring the parameter information of a certain message and the network environment parameters in the time period, the gateway ECU sequentially acquires a strategy set P according to the strategy scoring matrix G of each factori(i ═ 1, 2.. 6) corresponding fraction gijSubstituting the function of membership degree to form fuzzy judgment moment of each security policy in turnArray R, wherein
Figure FDA0003028411230000073
3) Carrying out fuzzy comprehensive evaluation on the strategy:
according to equation (8), P is calculatediFor vjDegree of membership of (B) ═ B1,b2,...,bm) Strategy PiThe fuzzy evaluation result vector of (1); wherein b isiRepresents PiFor vjComprehensively considering the influence of each factor to determine PiFor comment set vjDegree of membership of; sequentially calculating each security policy pair comment set vjDegree of membership of;
Figure FDA0003028411230000074
4) selecting a security strategy according to a maximum membership principle:
in obtaining PiFuzzy evaluation vector B ofi=(bi1,bi2,bi3,bi4) Then, determining a strategy P according to the maximum membership ruleiThe evaluation result of (2) when
Figure FDA0003028411230000075
When is, PiOverall belonging to the r-th grade; determining P in sequencei(i ═ 1,2,. 6); selecting a strategy in the highest evaluation from all strategies; if the strategies under the highest-level evaluation are multiple, selecting the strategy with higher membership degree as the output of the fuzzy decision; and the gateway ECU broadcasts the selected security strategy of the message to the bus, and the sending and receiving ECU related to the message updates the strategy of the message in the next time period T.
4. The adaptive in-vehicle CAN bus safety control method according to claim 3, wherein the method for determining the factor weight in step 1) comprises:
inputting: contrast matrix Mu=(mij)n×n
And (3) outputting: a weight vector;
i) will matrix MuNormalizing by columns to obtain a matrix Mu'=(m'ij)n×nWherein
Figure FDA0003028411230000076
ii) combining the matrix Mu' summing by rows to obtain vectors
Figure FDA0003028411230000081
Wherein
Figure FDA0003028411230000082
iii) relative amount
Figure FDA0003028411230000083
Normalizing to obtain a characteristic vector W ═ W1,w2,...,wn]TWherein
Figure FDA0003028411230000084
iv) finding the maximum root of features
Figure FDA0003028411230000085
v) consistency check, calculating consistency index CI and consistency ratio CR against random consistency index RI, where CI is ═ lambda [ (. lambda. ]max-n)/(n-1), CR ═ CI/RI; when CR is more than or equal to 0.1, M is requireduReassigning the elements in the step (a), continuously adjusting the elements and jumping to the step (i);
vi) normalizing the vector W to obtain the layer weight α ═ α12,...,αn]T, wherein
Figure FDA0003028411230000086
5. The adaptive in-vehicle CAN bus security control method of claim 1, wherein the ECU zoning based on MCL clustering comprises:
inputting: an ECU communication frequency weighted undirected graph is provided, and n is the total number of nodes;
and (3) outputting: a result set of ECU domains;
1) establishing an adjacency matrix C (C) by the ECU node communication graph G (V, E)ij)n×nWherein c isijIs an ECUiAnd ECUjFrequency of communication between CFij
2) The diagonal elements of the matrix C are increased by 1, i.e. when i equals j, Cij1 is ═ 1; the communication frequency is normalized by columns, and a probability matrix C ═ C 'of the communication frequency is calculated'ij)n×nWherein
Figure FDA0003028411230000087
3) Selecting a parameter e, multiplying the matrix C 'by the power, namely C ═ C')e
4) Selecting a parameter r, multiplying each element in the matrix C 'by the power of r, and normalizing according to columns to obtain a matrix C ═ C'ij)n×nWherein
Figure FDA0003028411230000088
5) Iterative steps 3), 4) are performed until the matrix C ″ ═ C ″.ij)n×nConverging;
6) outputting a clustering result set of ECU nodes;
and circulating the steps, taking the output of each round as the input of the next round, namely, constructing a new graph G by using the ECU node clustering result set of the ith outputi(Vi,Ei) And each set is used as a vertex in the graph, the sum of the communication frequencies of the ECU of the whole set and the ECU nodes of the other sets is used as the weight of an edge, MCL clustering is carried out again until a cluster is finally formed, and the tree-shaped logic structure of the ECU node domains is established according to the clustering result set each time.
6. An adaptive in-vehicle CAN bus security control system implementing the adaptive in-vehicle CAN bus security control method of claim 1.
CN201910493594.7A2019-06-062019-06-06 An adaptive in-vehicle CAN bus safety control method and systemActiveCN110377002B (en)

Priority Applications (1)

Application NumberPriority DateFiling DateTitle
CN201910493594.7ACN110377002B (en)2019-06-062019-06-06 An adaptive in-vehicle CAN bus safety control method and system

Applications Claiming Priority (1)

Application NumberPriority DateFiling DateTitle
CN201910493594.7ACN110377002B (en)2019-06-062019-06-06 An adaptive in-vehicle CAN bus safety control method and system

Publications (2)

Publication NumberPublication Date
CN110377002A CN110377002A (en)2019-10-25
CN110377002Btrue CN110377002B (en)2021-07-30

Family

ID=68249966

Family Applications (1)

Application NumberTitlePriority DateFiling Date
CN201910493594.7AActiveCN110377002B (en)2019-06-062019-06-06 An adaptive in-vehicle CAN bus safety control method and system

Country Status (1)

CountryLink
CN (1)CN110377002B (en)

Families Citing this family (18)

* Cited by examiner, † Cited by third party
Publication numberPriority datePublication dateAssigneeTitle
US11418360B2 (en)*2019-10-292022-08-16Deere & CompanyUsing latent diagnostic capabilities for additional CAN bus monitoring
CN112929150B (en)*2019-12-062025-08-19厦门雅迅智联科技股份有限公司CAN bus intrusion prevention circuit and method
CN119696763A (en)*2020-01-102025-03-25华为技术有限公司 A communication method and device
DE102020110708A1 (en)*2020-04-202021-10-21Bayerische Motoren Werke Aktiengesellschaft Device and method for sending a message to at least two recipients for a motor vehicle
WO2021222662A1 (en)*2020-04-302021-11-04Sensata Technologies, Inc.Secure wireless protocol for wireless sensor networks
EP4099591A4 (en)*2020-08-282023-05-10Huawei Technologies Co., Ltd. DATA TRANSMISSION METHOD AND DEVICE
CN112600724B (en)*2020-11-182022-04-05江苏徐工工程机械研究院有限公司 A kind of CAN bus performance testing method and testing system
CN112637003B (en)*2020-12-042022-03-29重庆邮电大学 A message transmission time estimation method for automotive CAN network
CN113179152B (en)*2021-03-112022-11-18江苏大学In-vehicle network data communication method based on ECU communication frequency attribute
CN113132098B (en)*2021-03-122022-08-05北京航空航天大学 Scalable CAN bus safety communication method and device for large-scale in-vehicle network
CN113268383B (en)*2021-04-262023-07-14北京控制工程研究所 A four-machine four-bus fault replacement method based on hierarchical strategy
CN113328919B (en)*2021-05-282023-10-10江苏徐工工程机械研究院有限公司CAN bus identifier, communication method and communication system
CN114785543B (en)*2022-03-092023-10-20西安电子科技大学In-vehicle network cross-domain communication method, computer equipment and intelligent terminal
CN115065491A (en)*2022-03-302022-09-16成都市以太节点科技有限公司Function and information security policy comprehensive selection method, electronic equipment and storage medium
CN114650536B (en)*2022-03-312023-06-02重庆长安新能源汽车科技有限公司Intrusion detection method, system, vehicle and storage medium based on message fingerprint
CN115190477B (en)*2022-05-192024-09-24西安电子科技大学Intra-vehicle ECU hierarchical authentication method based on dynamic key
CN115913814A (en)*2022-12-052023-04-04东北大学 A vehicle-mounted CAN bus encryption communication system and method supporting security level classification
CN116545753A (en)*2023-06-082023-08-04电子科技大学长三角研究院(衢州) Symmetric Key Generation and Exchange Method Based on Shared Information Construction and Node Selection

Citations (14)

* Cited by examiner, † Cited by third party
Publication numberPriority datePublication dateAssigneeTitle
CN102541047A (en)*2011-11-102012-07-04浙江吉利汽车研究院有限公司Software adaptive allocation method of combination meter
CN104724007A (en)*2015-01-282015-06-24长城汽车股份有限公司Automobile network system and automobile
JP2016055673A (en)*2014-09-052016-04-21株式会社デンソーFailure diagnosis device and electronic control device
EP3062477A1 (en)*2015-02-272016-08-31Samsung Electronics Co., Ltd.Electronic device employing level-based transmission of configuration information
CN106549940A (en)*2016-10-132017-03-29北京奇虎科技有限公司Vehicle data transmission method and system
WO2017079287A1 (en)*2015-11-042017-05-11Visa International Service AssociationIn-vehicle access application
CN106774232A (en)*2015-11-202017-05-31上海汽车集团股份有限公司VATS Vehicle Anti-Theft System collocation method, apparatus and system
CN108023876A (en)*2017-11-202018-05-11西安电子科技大学Intrusion detection method and intruding detection system based on sustainability integrated study
EP3337120A1 (en)*2016-12-142018-06-20Nxp B.V.Network message authentication and verification
EP3339080A1 (en)*2016-12-232018-06-27Samsung Electronics Co., Ltd.Vehicle and method for controlling thereof
CN108494725A (en)*2018-01-302018-09-04惠州市德赛西威汽车电子股份有限公司A kind of encryption communication method of vehicle-mounted CAN bus message
CN108536118A (en)*2017-03-012018-09-14福特全球技术公司End-to-end vehicle safety ECU unlocks in half offline environment
CN109274566A (en)*2018-08-282019-01-25开沃新能源汽车集团有限公司A method of realizing that the data communication of different CAN baud rates completes EPS with the data interaction of VCU based on gateway
CN109830002A (en)*2019-01-232019-05-31征辕科技(宁波)有限公司Event data record method, apparatus of driving a vehicle and event data recorder

Family Cites Families (1)

* Cited by examiner, † Cited by third party
Publication numberPriority datePublication dateAssigneeTitle
US10701102B2 (en)*2017-10-032020-06-30George Mason UniversityHardware module-based authentication in intra-vehicle networks

Patent Citations (14)

* Cited by examiner, † Cited by third party
Publication numberPriority datePublication dateAssigneeTitle
CN102541047A (en)*2011-11-102012-07-04浙江吉利汽车研究院有限公司Software adaptive allocation method of combination meter
JP2016055673A (en)*2014-09-052016-04-21株式会社デンソーFailure diagnosis device and electronic control device
CN104724007A (en)*2015-01-282015-06-24长城汽车股份有限公司Automobile network system and automobile
EP3062477A1 (en)*2015-02-272016-08-31Samsung Electronics Co., Ltd.Electronic device employing level-based transmission of configuration information
WO2017079287A1 (en)*2015-11-042017-05-11Visa International Service AssociationIn-vehicle access application
CN106774232A (en)*2015-11-202017-05-31上海汽车集团股份有限公司VATS Vehicle Anti-Theft System collocation method, apparatus and system
CN106549940A (en)*2016-10-132017-03-29北京奇虎科技有限公司Vehicle data transmission method and system
EP3337120A1 (en)*2016-12-142018-06-20Nxp B.V.Network message authentication and verification
EP3339080A1 (en)*2016-12-232018-06-27Samsung Electronics Co., Ltd.Vehicle and method for controlling thereof
CN108536118A (en)*2017-03-012018-09-14福特全球技术公司End-to-end vehicle safety ECU unlocks in half offline environment
CN108023876A (en)*2017-11-202018-05-11西安电子科技大学Intrusion detection method and intruding detection system based on sustainability integrated study
CN108494725A (en)*2018-01-302018-09-04惠州市德赛西威汽车电子股份有限公司A kind of encryption communication method of vehicle-mounted CAN bus message
CN109274566A (en)*2018-08-282019-01-25开沃新能源汽车集团有限公司A method of realizing that the data communication of different CAN baud rates completes EPS with the data interaction of VCU based on gateway
CN109830002A (en)*2019-01-232019-05-31征辕科技(宁波)有限公司Event data record method, apparatus of driving a vehicle and event data recorder

Non-Patent Citations (2)

* Cited by examiner, † Cited by third party
Title
基于CAN-FD总线的车载网络安全通信;罗峰 等;《同济大学学报(自然科学版)》;20190331;第47卷(第3期);第386-391页*
汽车信息安全文献综述;马超 等;《装备维修技术》;20190228(第2期);第25-28页*

Also Published As

Publication numberPublication date
CN110377002A (en)2019-10-25

Similar Documents

PublicationPublication DateTitle
CN110377002B (en) An adaptive in-vehicle CAN bus safety control method and system
Cui et al.Edge computing in VANETs-an efficient and privacy-preserving cooperative downloading scheme
Schweppe et al.Car2x communication: securing the last meter-a cost-effective approach for ensuring trust in car2x applications using in-vehicle symmetric cryptography
Wei et al.A privacy-preserving fog computing framework for vehicular crowdsensing networks
CN101262333B (en) A secure communication method between nodes in a vehicle network
Ali et al.ECCHSC: Computationally and bandwidth efficient ECC-based hybrid signcryption protocol for secure heterogeneous vehicle-to-infrastructure communications
CN109033862A (en)A kind of distributed locomotive electronic system protecting information safety method
Xu et al.DPB-MA: low-latency message authentication scheme based on distributed verification and priority in vehicular ad hoc network
Gu et al.Multi-fogs-based traceable privacy-preserving scheme for vehicular identity in Internet of Vehicles
CN105682089A (en)Data protection method and device based on fragments
CN110868294A (en)Key updating method, device and equipment
Geng et al.A software defined networking-oriented security scheme for vehicle networks
Choudhary et al.Secured SDN based blockchain: an architecture to improve the security of VANET
Wang et al.A novel anonymous authentication scheme based on edge computing in internet of vehicles
Cui et al.A multilevel electronic control unit re-encryption scheme for autonomous vehicles
Wang et al.An information security protocol for automotive ethernet
Zhu et al.Secure and lightweight conditional privacy-preserving identity authentication scheme for VANET
Jyothi et al.Optimized neural network model for attack detection in LTE network
Mbarek et al.A secure authentication mechanism for resource constrained devices
Liu et al.Secure data aggregation aided by privacy preserving in Internet of Things
Shen et al.A two-layer dynamic ECU group management scheme for in-vehicle CAN bus
Sun et al.MTDCAP: Moving target defense-based CAN authentication protocol
Olivier et al.Hashing-based authentication for CAN bus and application to Denial-of-Service protection
CN111245613B (en)Identity-based three-level key negotiation method for in-vehicle and out-vehicle networks
Lai et al.A PUF-based Authentication and Key Distribution Scheme for In-Vehicle Network

Legal Events

DateCodeTitleDescription
PB01Publication
PB01Publication
SE01Entry into force of request for substantive examination
SE01Entry into force of request for substantive examination
GR01Patent grant
GR01Patent grant

[8]ページ先頭

©2009-2025 Movatter.jp