

所属技术领域Technical field
本发明涉及光学测量技术领域,特别是涉及一种主客观一体式精准验光装置及验光方法。The invention relates to the technical field of optical measurement, in particular to a subjective and objective integrated precise optometry device and optometry method.
背景技术Background technique
未矫正的屈光不正(包括近视、远视和散光)、未经手术治疗的白内障是导致视力损害的两个最主要原因(见文献[J].Ophthalmology2016;123(5):1036-1042)。准确测量人眼屈光不正的程度、确定最佳矫正处方是为患者进行屈光矫正的关键所在。Uncorrected refractive errors (including myopia, hyperopia, and astigmatism) and untreated cataracts are the two most common causes of visual impairment (see literature [J]. Ophthalmology 2016; 123(5): 1036-1042). Accurately measuring the degree of refractive error of human eyes and determining the best corrective prescription are the key points of refractive correction for patients.
目前,验光流程包括客观验光和主觉验光两个步骤。客观验光的方法有检影验光和借助专业设备比如电脑验光仪、人眼像差仪等对患者的屈光不正进行客观测量。在此基础上,再利用试镜架插片或综合验光仪进行主觉验光。由于客观验光不包含受试者的主观反馈,其检测结果往往仅供参考。而主觉验光的准确度和重复性在很大程度上依赖于被检者的配合程度、检查者的水平与临床经验,使得基于现有主觉验光方法获得的矫正处方质量参差不齐。更为重要的是,现有试镜架插片或综合验光仪采用离散度数(步长0.25D)的试镜片进行主觉验光,存在化整误差,无法实现对人眼屈光不正的连续精准化验光。At present, the optometry process includes two steps: objective optometry and subjective optometry. The methods of objective refraction include retinoscopy and the use of professional equipment such as computer refractometer, human eye aberrometer, etc. to objectively measure the refractive error of patients. On this basis, use the trial frame inserts or comprehensive refractometer for subjective refraction. Since objective optometry does not include subjective feedback from subjects, its test results are often for reference only. The accuracy and repeatability of subjective refraction largely depend on the degree of cooperation of the examinee, the level of the examiner and clinical experience, which makes the quality of correction prescriptions obtained based on the existing subjective refraction methods uneven. More importantly, the existing test frame inserts or comprehensive refractometers use discrete degree (0.25D step) test lenses for subjective optometry, and there is a rounding error, which cannot achieve continuous and accurate testing of human eye refractive errors. Light.
针对现有验光手段主客观分离(采用不同的设备),主觉验光人为因素影响大、试镜片度数不连续存在化整误差的问题,本发明提出一种主客观一体式精准验光装置和验光方法,能够同时测量双眼屈光、连续主觉验光、瞳距测量及视功能测量(包括但不限于视力、立体视),实现双眼主客观一体式精准验光。Aiming at the problems that the existing optometry methods are separated from the subjective and objective (using different equipment), the subjective optometry has a great influence of human factors, and there is a rounding error due to the discontinuity of the test lenses, the present invention proposes a subjective and objective integrated precise optometry device and optometry method. , which can measure binocular refraction, continuous subjective refraction, interpupillary distance measurement and visual function measurement (including but not limited to visual acuity, stereopsis) at the same time, and realize the accurate optometry of both eyes.
发明内容SUMMARY OF THE INVENTION
本发明解决的技术问题是:提供一种主客观一体式精准验光装置和验光方法,解决现有验光手段主客观分离(采用不同的设备),主觉验光人为因素影响大、试镜片度数不连续存在化整误差的问题,能够同时客观测量双眼屈光、连续主觉验光、瞳距测量及视功能测量(包括但不限于视力、立体视),实现双眼主客观一体式精准验光。The technical problem solved by the present invention is: to provide a subjective and objective integrated precise optometry device and optometry method, which solves the problem that the existing optometry methods are separated from the subjective and objective (using different equipment), the subjective optometry has a great influence of human factors, and the degree of the trial lens is discontinuous. There is the problem of rounding errors, and it can objectively measure binocular refraction, continuous subjective refraction, interpupillary distance measurement, and visual function measurement (including but not limited to visual acuity and stereopsis) at the same time.
为此,本发明首先提出一种主客观一体式精准验光装置,该装置由左右眼光路组成;单眼光路包括人眼屈光客观测量子系统,人眼屈光矫正子系统,眼球定位子系统,以及主观视功能测试子系统;人眼屈光客观测量子系统,用于人眼屈光的客观测量;人眼屈光矫正子系统,包括内调焦装置、可旋转柱面镜对,用于矫正人眼离焦和散光;眼球定位子系统,包括瞳孔成像装置,用于眼球定位;以及主观视功能测试子系统,包括视标物镜和视标显示装置,用于主觉验光时的视功能测。To this end, the present invention first proposes a subjective and objective integrated precise optometry device, which is composed of left and right eye optical paths; the monocular optical path includes a human eye refractive objective measurement subsystem, a human eye refractive correction subsystem, and an eyeball positioning subsystem , and subjective visual function test subsystem; objective measurement subsystem of human eye refraction, used for objective measurement of human eye refraction; human eye refraction correction subsystem, including internal focusing device, rotatable cylindrical lens pair, with For correcting human eye defocus and astigmatism; eye positioning subsystem, including pupil imaging device, used for eye positioning; and subjective visual function test subsystem, including optotype objective lens and optotype display device, used for visual acuity during subjective optometry Functional test.
优选地,所述主客观一体式精准验光装置可以采用单路结构实现单眼主客观验光,也可以采用双路结构实现双眼主客观验光。Preferably, the subjective and objective integrated precise optometry device can adopt a single-channel structure to realize the subjective and objective optometry of one eye, and can also adopt a dual-channel structure to realize the subjective and objective optometry of both eyes.
进一步优选地,所述人眼屈光客观测量子系统可以从波前测量技术、检影验光技术、条栅聚焦验光技术、Scheiner盘验光技术和刀刃测量验光技术中选择。Further preferably, the objective measurement subsystem of human eye refraction can be selected from wavefront measurement technology, retinoscopy refraction technology, grid focusing refraction technology, Scheiner disc refraction technology and knife edge measurement refraction technology.
进一步优选地,所述波前测量技术是从基于微透镜阵列的哈特曼波前传感器、基于微棱镜阵列的哈特曼波前传感器、曲率波前传感器、角锥波前传感器中选择的。Further preferably, the wavefront measurement technique is selected from a Hartmann wavefront sensor based on a microlens array, a Hartmann wavefront sensor based on a microprism array, a curvature wavefront sensor, and a pyramid wavefront sensor.
进一步优选地,所述的视标显示装置是从CRT显示器、商用投影仪、液晶显示器、等离子体显示器、场致发光显示器、有机发光显示器、投影式显示装置、印刷视力表中选择的。Further preferably, the optotype display device is selected from CRT displays, commercial projectors, liquid crystal displays, plasma displays, electroluminescence displays, organic light emitting displays, projection display devices, and printed eye charts.
进一步优选地,人眼屈光矫正子系统包括柱面镜对;所述柱面镜对设置在人眼瞳孔共轭位置处,调节柱面镜对中的单片柱面镜的转向角度,实现对人眼散光的连续矫正,调节第一中继望远镜或者第三中继望远镜中透镜的距离,实现对离焦的连续矫正。Further preferably, the human eye refractive correction subsystem includes a pair of cylindrical mirrors; the pair of cylindrical mirrors is arranged at the conjugate position of the pupil of the human eye, and the steering angle of the single cylindrical mirror in the pair of cylindrical mirrors is adjusted to achieve For continuous correction of human eye astigmatism, the distance of the lens in the first relay telescope or the third relay telescope is adjusted to achieve continuous correction of defocus.
进一步优选地,人眼屈光矫正子系统采用旋转柱面镜对装置实现人眼散光的矫正;所述柱面镜对对人眼散光的连续矫正,柱面镜对从光焦度大小相同或不同的平凹/平凸柱面镜对、平凹/平凹柱面镜对、平凸/平凸柱面镜对中选择一对。Further preferably, the human eye refractive correction subsystem uses a rotating cylindrical mirror to correct the device to correct the human eye astigmatism; the cylindrical mirror corrects the human eye astigmatism continuously, and the cylindrical mirror has the same secondary optical power or Choose a pair from different plano-concave/plano-convex cylindrical mirror pair, plan-concave/plano-concave cylindrical mirror pair, and plano-convex/plano-convex cylindrical mirror pair.
本发明还公开一种主客观一体式精准验光方法,包含以下步骤:The invention also discloses a subjective and objective integrated precise optometry method, comprising the following steps:
1.开启近红外信标光源,近红外信标光源发出光,由准直物镜准直,经第二分光镜和第一分光镜反射,透过柱面镜对和第一中继望远镜或者第三中继望远镜后进人眼;1. Turn on the near-infrared beacon light source, the near-infrared beacon light source emits light, which is collimated by the collimating objective lens, reflected by the second beam splitter and the first beam splitter, and passes through the cylindrical mirror pair and the first relay telescope or the first beam splitter. The three-relay telescope enters the human eye backward;
2.人眼眼底反射的光,透过第一中继望远镜或者第三中继望远镜、柱面镜对、第一分光镜和第二中继望远镜进入波前传感器,客观测量人眼屈光误差;2. The light reflected from the fundus of the human eye enters the wavefront sensor through the first relay telescope or the third relay telescope, the pair of cylindrical mirrors, the first beam splitter and the second relay telescope to objectively measure the refractive error of the human eye ;
3.根据测得的人眼屈光误差,通过人眼离焦矫正公式和内调焦方式补偿人眼离焦;根据测得的人眼屈光误差,绕光轴分别旋转柱面镜对中的单片柱面镜,通过人眼散光矫正公式和单片柱镜转动的方式补偿人眼散光;3. According to the measured refractive error of the human eye, the defocusing of the human eye is compensated by the human eye defocus correction formula and the internal focusing method; according to the measured refractive error of the human eye, the cylindrical mirror is rotated around the optical axis to center. The single-piece cylindrical lens compensates the human eye astigmatism through the human eye astigmatism correction formula and the rotation of the single-piece cylindrical lens;
4.在人眼屈光误差补偿完成后,视标显示装置显示特定类型的视标,人眼通过第一中继望远镜或者第三中继望远镜、柱面镜对、第一分光镜、第二分光镜、反射镜和视标物镜观察显示在视标显示装置上的特定视标并进行判断;4. After the compensation of the refractive error of the human eye is completed, the optotype display device displays a specific type of optotype, and the human eye passes through the first relay telescope or the third relay telescope, the Beamsplitter, mirror and target objective lens observe and judge the specific target displayed on the target display device;
5.根据主观视觉感受微调离焦大小,旋转柱面镜对相对角度微调合成散光大小和轴向,直至获得主观最佳的矫正视觉质量,完成单眼主觉验光;5. Fine-tune the defocus size according to the subjective visual experience, and fine-tune the size and axis of the synthetic astigmatism by rotating the cylindrical lens to the relative angle, until the subjectively best corrected visual quality is obtained, and the monocular subjective optometry is completed;
6.左右眼主觉验光完成后,沿垂直光轴方向整体移动左右眼光路进行瞳距调节,进行红绿和双眼调节平衡流程,最终给出双眼最佳精准屈光矫正处方。6. After the subjective refraction of the left and right eyes is completed, the optical path of the left and right eyes is moved as a whole along the vertical optical axis to adjust the interpupillary distance, and the red, green and binocular adjustment and balance process are carried out, and finally the best accurate refractive correction prescription for both eyes is given.
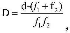
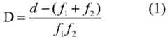
所述人眼离焦矫正公式如下:其中,D为可矫正的离焦,f1、f2分别为第一中继望远镜中两个透镜的焦距,d为第一中继望远镜中两个透镜在光轴方向上的距离,通过改变第一中继望远镜中两个图透镜在光轴上的距离,实现对人眼离焦的连续矫正。The human eye defocus correction formula is as follows: Among them, D is the correctable defocus, f1 and f2 are the focal lengths of the two lenses in the first relay telescope, respectively, and d is the distance between the two lenses in the first relay telescope in the direction of the optical axis. By changing The distance between the two lenses in the first relay telescope on the optical axis realizes the continuous correction of the defocus of the human eye.
所述人眼散光矫正公式如下:The human eye astigmatism correction formula is as follows:
C=2Fccos(a1-a2)C=2Fc cos(a1 -a2 )
其中,C和φ分别为可矫正的散光大小和轴向,Fc为柱面镜对中单个柱面镜的散光大小,a1和a2是两个柱面镜的散光轴向;通过分别旋转柱面镜对中的单片柱面镜,实现对人眼散光的连续矫正。where C and φ are the correctable astigmatism size and axial direction, respectively, Fc is the astigmatism size of a single cylindrical lens in a cylindrical lens pair, and a1 and a2 are the astigmatic axes of the two cylindrical lenses; The single-piece cylindrical mirror in the center of the cylindrical mirror realizes the continuous correction of human eye astigmatism.
本发明与现有技术相比所具有的优点:首次提出一种主客观一体式精准验光装置和方法,采用客观屈光测量技术客观测量人眼屈光度,以此引导内调焦装置和旋转柱面镜对分别实现对人眼离焦和散光的补偿,通过观察内置视标,被检者根据主观视觉感受微调离焦量及散光大小和轴向实现主觉精准验光,在此基础上进行红绿和双眼调节平衡流程,最终给出最佳精准屈光矫正处方。Compared with the prior art, the present invention has the advantages: for the first time, a subjective and objective integrated precise optometry device and method are proposed, and the objective refraction measurement technology is used to objectively measure the diopter of the human eye, thereby guiding the inner focusing device and the rotating cylinder. The mirror pair can compensate the defocus and astigmatism of the human eye respectively. By observing the built-in optotype, the subject can fine-tune the defocus amount, astigmatism size and axis according to the subjective visual experience to achieve subjective accurate optometry. Adjust the balance process with both eyes, and finally give the best accurate refractive correction prescription.
附图说明Description of drawings
图1为本发明基于波前测量技术的主客观一体式精准验光装置的实施例1原理图。FIG. 1 is a schematic diagram of
图2为本发明基于波前测量技术的主客观一体式精准验光装置的实施例2原理图。FIG. 2 is a schematic diagram of
图中标记:1、人眼;2、瞳孔成像装置;3、第一中继望远镜;4、柱面镜对;5、第一分光镜;6、第二中继望远镜;7、波前传感器;8、视标显示装置;9、近红外信标光源;10、准直物镜;11、视标物镜;12、反射镜;13、第二分光镜;14、第一反射镜;15、第一透镜;16、第二反射镜;17、第三反射镜;18、第二透镜;19、第四反射镜。Labels in the figure: 1. Human eye; 2. Pupil imaging device; 3. First relay telescope; 4. Cylindrical mirror pair; 5. First beam splitter; 6. Second relay telescope; 7.
具体实施方式Detailed ways
下面结合具体实施方式并对照附图对本发明作进一步详细说明。应该强调的是,下述说明仅仅是示例性的,而不是为了限制本发明的范围及其应用。此外,在以下说明中,省略了对公知结构和技术的描述,以避免不必要地混淆本发明的概念。The present invention will be further described in detail below in conjunction with the specific embodiments and with reference to the accompanying drawings. It should be emphasized that the following description is exemplary only, and is not intended to limit the scope of the invention and its application. Also, in the following description, descriptions of well-known structures and techniques are omitted to avoid unnecessarily obscuring the concepts of the present invention.
实施例1Example 1
如图1所示,一种基于波前测量技术的主客观一体式精准验光装置,包括瞳孔成像装置2、第一中继望远镜3、柱面镜对4、第一分光镜5、第二中继望远镜6、波前传感器7、视标显示装置8、近红外信标光源9、准直物镜10、视标物镜11、反射镜12、分光镜13。As shown in Figure 1, a subjective and objective integrated precise optometry device based on wavefront measurement technology includes a
近红外信标光源9发出的光,由准直物镜10准直,经第二分光镜13和第一分光镜5反射,透过柱面镜对4、第一中继望远镜3进人眼1;人眼1眼底反射的光,透过第一中继望远镜3、柱面镜对4、第一分光镜5和第二中继望远镜6进入波前传感器7客观测量人眼屈光误差(离焦、散光和散光轴向);根据测得的人眼屈光误差,沿光轴方向整体移动双点划线框部分,(如图1所标识),采用内调焦方式补偿人眼离焦;根据测得的人眼屈光误差,绕光轴分别旋转柱面镜对4中的单片柱面镜,采用柱镜合成的方式补偿人眼散光。人眼屈光误差补偿完成后,视标显示装置8显示特定类型的视标,人眼通过中第一继望远镜3、柱面镜对4、第一分光镜5、第二分光镜13、反射镜12和视标物镜11观察显示在视标显示装置8上的视标。The light emitted by the near-infrared beacon
根据主观视觉感受,整体移动双点划线框部分微调离焦大小(如图1所标识),旋转柱面镜对相对角度微调合成散光大小和轴向,直至获得主观最佳的矫正视觉质量,完成单眼主觉验光。According to the subjective visual perception, move the double-dotted line frame to fine-tune the defocus size as a whole (as indicated in Figure 1), and rotate the cylindrical lens to fine-tune the relative angle of the synthetic astigmatism and the axial direction until the subjectively best corrected visual quality is obtained. Complete monocular subjective optometry.
左右眼主觉验光完成后,沿垂直光轴方向整体移动左右眼光路进行瞳距调节,进行红绿和双眼调节平衡流程,最终给出双眼最佳精准屈光矫正处方。After the subjective refraction of the left and right eyes is completed, the optical path of the left and right eyes is moved as a whole along the vertical optical axis to adjust the interpupillary distance, and the red, green and binocular adjustment and balance process are carried out, and finally the best accurate refractive correction prescription for both eyes is given.
人眼离焦矫正公式如下:The human eye defocus correction formula is as follows:
其中,D为可矫正的离焦,f1、f2分别为中继望远镜3中两个透镜的焦距,d为中继望远镜3中两个透镜在光轴方向上的距离。由公式1可知,通过改变中继望远镜3中两个透镜在光轴上的距离,可以实现对人眼离焦的连续矫正。Wherein, D is the correctable defocus, f1 and f2 are the focal lengths of the two lenses in the
人眼散光矫正公式如下:The human eye astigmatism correction formula is as follows:
C=2Fccos(a1-a2) (2)C=2Fc cos(a1 -a2 ) (2)
其中,C和φ分别为可矫正的散光大小和轴向,Fc为柱面镜对中单个柱面镜的散光大小,a1和a2是两个柱面镜的散光轴向。由公式2可知,通过分别旋转柱面镜对中的单片柱面镜,可以实现对人眼散光的连续矫正。Among them, C and φ are the correctable astigmatism size and axial direction, respectively, Fc is the astigmatism size of a single cylindrical lens in the cylindrical lens pair, and a1 and a2 are the astigmatism axes of the two cylindrical lenses. It can be known from
实施例2Example 2
如图2所示,一种基于波前测量技术的主客观一体式精准验光装置,包括瞳孔成像装置2、第三中继望远镜、柱面镜对4、第一分光镜5、第二中继望远镜6、波前传感器7、视标显示装置8、近红外信标光源9、准直物镜10、视标物镜11、反射镜12、第二分光镜13;其中或者第三中继望远镜包括第一反射镜14、第一透镜15、第二反射镜16、第三反射镜17、第二透镜18和第四反射镜19。As shown in Figure 2, a subjective and objective integrated precise optometry device based on wavefront measurement technology includes a
近红外信标光源9发出的光,由准直物镜10准直,经第二分光镜13和第一分光镜5反射,透过柱面镜对4、或者第三中继望远镜进人眼1;人眼1眼底反射的光,透过或者第三中继望远镜、柱面镜对4、第一分光镜5和第二中继望远镜6进入波前传感器7客观测量人眼屈光误差(离焦、散光和散光轴向)。The light emitted by the near-infrared beacon
根据测得的人眼屈光误差,沿光轴方向同步移动反射镜16和反射镜17,采用内调焦方式补偿人眼离焦;根据测得的人眼屈光误差,绕光轴分别旋转柱面镜对4中的单片柱面镜,采用柱镜合成的方式补偿人眼散光。According to the measured refractive error of the human eye, the
人眼屈光误差补偿完成后,视标显示装置8显示特定类型的视标,人眼通过或者第三中继望远镜、柱面镜对4、第一分光镜5、第二分光镜13、反射镜12和视标物镜11观察显示在视标显示装置8上的视标,进行主觉验光。被检者通过同步移动第二反射镜16和第三反射镜17微调人眼离焦,同时绕光轴分别旋转柱面镜对4中的单片柱面镜微调人眼散光,直至达到最佳视觉效果,完成主觉验光,给出最佳精准屈光矫正处方。After the compensation of the refractive error of the human eye is completed, the
在实施例2中,人眼散光矫正的方式和实施例1相同。人眼离焦的矫正采用一个反射式第三中继望远镜实现。该装置也可以实现对人眼离焦的连续矫正。和实施例1区别在于,公式1中f1、f2、d分别为透镜15和透镜18中两个透镜的焦距以及它们之间的距离。In Example 2, the way of correcting human eye astigmatism is the same as that in Example 1. The correction of the defocus of the human eye is realized by a reflective third relay telescope. The device can also achieve continuous correction of defocusing of human eyes. The difference from
至此已经结合优选实施例对本发明进行了描述。应该理解,本领域技术人员在不脱离本发明的精神和范围的情况下,可以进行各种其它的改变、替换和添加。因此,本发明的范围不局限于上述特定实施例,而应由所附权利要求所限定。The present invention has thus far been described in conjunction with the preferred embodiments. It should be understood that various other changes, substitutions and additions can be made by those skilled in the art without departing from the spirit and scope of the present invention. Accordingly, the scope of the present invention is not limited to the specific embodiments described above, but should be defined by the appended claims.
| Application Number | Priority Date | Filing Date | Title |
|---|---|---|---|
| CN201910777661.8ACN110367924B (en) | 2019-08-22 | 2019-08-22 | Subjective and objective integrated precise optometry device and optometry method |
| PCT/CN2020/075652WO2021031538A1 (en) | 2019-08-22 | 2020-02-18 | Subjective and objective integrated precise optometry device, and optometry method |
| US17/753,157US12285218B2 (en) | 2019-08-22 | 2020-02-18 | Subjective and objective integrated precise optometry device, and optometry method |
| Application Number | Priority Date | Filing Date | Title |
|---|---|---|---|
| CN201910777661.8ACN110367924B (en) | 2019-08-22 | 2019-08-22 | Subjective and objective integrated precise optometry device and optometry method |
| Publication Number | Publication Date |
|---|---|
| CN110367924A CN110367924A (en) | 2019-10-25 |
| CN110367924Btrue CN110367924B (en) | 2022-10-11 |
| Application Number | Title | Priority Date | Filing Date |
|---|---|---|---|
| CN201910777661.8AActiveCN110367924B (en) | 2019-08-22 | 2019-08-22 | Subjective and objective integrated precise optometry device and optometry method |
| Country | Link |
|---|---|
| CN (1) | CN110367924B (en) |
| Publication number | Priority date | Publication date | Assignee | Title |
|---|---|---|---|---|
| WO2021031538A1 (en)* | 2019-08-22 | 2021-02-25 | 长兴爱之瞳医疗科技有限公司 | Subjective and objective integrated precise optometry device, and optometry method |
| CN112754418A (en)* | 2021-01-08 | 2021-05-07 | 瑞尔明康(杭州)视光科技有限公司 | Portable binocular vision function training instrument |
| CN112754420A (en)* | 2021-01-08 | 2021-05-07 | 瑞尔明康(杭州)视光科技有限公司 | Wavefront aberration measurement system, associated visual perception learning training system and method |
| CN113995373A (en)* | 2021-10-12 | 2022-02-01 | 佛山市灵觉科技有限公司 | Optical instrument focusing method based on H-S reconstruction of human eye wavefront aberration |
| CN115137291A (en)* | 2022-06-24 | 2022-10-04 | 成都中医药大学 | Vision evoked potential inspection instrument based on refractive error compensation and use method thereof |
| CN116350167A (en)* | 2023-04-23 | 2023-06-30 | 赵三元 | Continuous zooming optometry optical system and portable subjective optometry instrument |
| WO2024228982A1 (en)* | 2023-05-01 | 2024-11-07 | Tracey Technologies Corp. | Method and device for measuring optical quality of the human eye and its crystalline lens |
| CN117357056A (en)* | 2023-11-03 | 2024-01-09 | 瑞尔明康(浙江)医疗科技有限公司 | Human eye measuring device and human eye measuring method |
| Publication number | Priority date | Publication date | Assignee | Title |
|---|---|---|---|---|
| WO2017218539A1 (en)* | 2016-06-14 | 2017-12-21 | Plenoptika, Inc. | Tunable-lens-based refractive examination |
| Publication number | Priority date | Publication date | Assignee | Title |
|---|---|---|---|---|
| EP3269296A1 (en)* | 2008-12-01 | 2018-01-17 | Perfect Vision Technology (HK) Ltd. | Methods and devices for refractive correction of eyes |
| JP2016220880A (en)* | 2015-05-29 | 2016-12-28 | 株式会社トプコン | Optometer |
| CN105105707B (en)* | 2015-09-15 | 2017-03-29 | 中国科学院光电技术研究所 | Common-path interference adaptive optical OCT retina imager |
| CN106963335B (en)* | 2015-11-13 | 2022-01-04 | 尼德克株式会社 | Subjective eye examination device |
| US20170325682A1 (en)* | 2016-05-11 | 2017-11-16 | Perfect Vision Technology (Hk) Ltd. | Methods and Systems for Determining Refractive Corrections of Human Eyes for Eyeglasses |
| CN206273246U (en)* | 2016-08-30 | 2017-06-23 | 湖州美科沃华医疗技术有限公司 | A kind of glaucoma detection and treatment integrated apparatus |
| CN109770844A (en)* | 2019-03-01 | 2019-05-21 | 中北大学 | A human eye diopter detection device |
| CN109893081A (en)* | 2019-03-10 | 2019-06-18 | 长兴爱之瞳医疗科技有限公司 | Binocular subjective accurate optometry device and optometry method |
| Publication number | Priority date | Publication date | Assignee | Title |
|---|---|---|---|---|
| WO2017218539A1 (en)* | 2016-06-14 | 2017-12-21 | Plenoptika, Inc. | Tunable-lens-based refractive examination |
| CN109561823A (en)* | 2016-06-14 | 2019-04-02 | 普恩奥蒂卡公司 | Examination of refraction based on adjustable lens |
| Publication number | Publication date |
|---|---|
| CN110367924A (en) | 2019-10-25 |
| Publication | Publication Date | Title |
|---|---|---|
| CN110367924B (en) | Subjective and objective integrated precise optometry device and optometry method | |
| US8684526B2 (en) | Compact binocular adaptive optics phoropter | |
| TWI520710B (en) | Apparatus and method for operating a real time large diopter range sequential wavefront sensor | |
| CN107920731B (en) | Improved objective comprehensive optometry instrument | |
| JP6781802B2 (en) | Device for determining ophthalmic data | |
| US20140176904A1 (en) | Ophthalmic Aberrometer Capable of Subjective Refraction | |
| CN110367925B (en) | Subjective and objective integrated diagnostic optometry device and optometry method | |
| US12285214B2 (en) | Wide-field multi-axis aberrometer | |
| KR20140108657A (en) | Device and method for determining at least one objective eye refraction parameter of a subject depending on a plurality of gaze directions | |
| JP7024295B2 (en) | Awareness-based optometry device | |
| US12285218B2 (en) | Subjective and objective integrated precise optometry device, and optometry method | |
| US8915594B2 (en) | Refraction system for facilitating contact lens fitting | |
| CN215584104U (en) | Subjective and objective integrated precise optometry device with stray light eliminating mechanism | |
| CN113208554A (en) | Optometry device with defocusing and astigmatism accurate correction functions and optometry method | |
| JP7600985B2 (en) | Optometry Equipment | |
| CN219021146U (en) | Aberrometer for measuring human eye regulation state | |
| JP7375332B2 (en) | Optometry equipment and programs | |
| AU2017202179B2 (en) | Optical diagnosis using measurement sequence | |
| CN216221411U (en) | A focusing and astigmatism compensation mechanism and a subjective and objective integrated precise optometry device | |
| CN215584101U (en) | Subjective and objective integrated accurate optometry device with binocular automatic positioning and tracking mechanism | |
| JP7021540B2 (en) | Awareness-based optometry device | |
| CN117838038A (en) | Optometry device and optometry method | |
| JP2021058766A (en) | Subjective optometric device |
| Date | Code | Title | Description |
|---|---|---|---|
| PB01 | Publication | ||
| PB01 | Publication | ||
| SE01 | Entry into force of request for substantive examination | ||
| SE01 | Entry into force of request for substantive examination | ||
| CB02 | Change of applicant information | Address after:313100 floor 2, building 13, Changxing National Science and Technology Park, No. 669, Gaotie railway, Taihu street, Changxing County, Huzhou City, Zhejiang Province Applicant after:Zhejiang aizhitong Medical Technology Co.,Ltd. Address before:313100 floor 3, building 2, building 8, Changxing National Science and Technology Park, No. 669 high railway, Taihu street, Changxing County, Huzhou City, Zhejiang Province Applicant before:CHANGXING AIZHITONG MEDICAL TECHNOLOGY Co.,Ltd. | |
| CB02 | Change of applicant information | ||
| GR01 | Patent grant | ||
| GR01 | Patent grant | ||
| PE01 | Entry into force of the registration of the contract for pledge of patent right | Denomination of invention:A subjective and objective integrated precision optometry device and optometry method Effective date of registration:20221024 Granted publication date:20221011 Pledgee:Changxin Zhejiang rural commercial bank Limited by Share Ltd. Pledgor:Zhejiang aizhitong Medical Technology Co.,Ltd. Registration number:Y2022980019433 | |
| PE01 | Entry into force of the registration of the contract for pledge of patent right | ||
| PC01 | Cancellation of the registration of the contract for pledge of patent right | Granted publication date:20221011 Pledgee:Changxin Zhejiang rural commercial bank Limited by Share Ltd. Pledgor:Zhejiang aizhitong Medical Technology Co.,Ltd. Registration number:Y2022980019433 |