Movatterモバイル変換


[0]ホーム

URL:


CN110288117B - A regional reconstruction method for critical frequency of ionospheric parameters - Google Patents

A regional reconstruction method for critical frequency of ionospheric parameters
Download PDF

Info

Publication number
CN110288117B
CN110288117BCN201910389146.2ACN201910389146ACN110288117BCN 110288117 BCN110288117 BCN 110288117BCN 201910389146 ACN201910389146 ACN 201910389146ACN 110288117 BCN110288117 BCN 110288117B
Authority
CN
China
Prior art keywords
latitude
time
fof2
ionospheric
longitude
Prior art date
Legal status (The legal status is an assumption and is not a legal conclusion. Google has not performed a legal analysis and makes no representation as to the accuracy of the status listed.)
Active
Application number
CN201910389146.2A
Other languages
Chinese (zh)
Other versions
CN110288117A (en
Inventor
孙秀志
贾文科
韩阳
姬生云
韩峰
王健
杨铖
苏海斌
付炜
Current Assignee (The listed assignees may be inaccurate. Google has not performed a legal analysis and makes no representation or warranty as to the accuracy of the list.)
Chinese People's Liberation Army 31007
Qingdao Agricultural University
CETC 22 Research Institute
Original Assignee
Chinese People's Liberation Army 31007
Qingdao Agricultural University
CETC 22 Research Institute
Priority date (The priority date is an assumption and is not a legal conclusion. Google has not performed a legal analysis and makes no representation as to the accuracy of the date listed.)
Filing date
Publication date
Application filed by Chinese People's Liberation Army 31007, Qingdao Agricultural University, CETC 22 Research InstitutefiledCriticalChinese People's Liberation Army 31007
Priority to CN201910389146.2ApriorityCriticalpatent/CN110288117B/en
Publication of CN110288117ApublicationCriticalpatent/CN110288117A/en
Application grantedgrantedCritical
Publication of CN110288117BpublicationCriticalpatent/CN110288117B/en
Activelegal-statusCriticalCurrent
Anticipated expirationlegal-statusCritical

Links

Classifications

Landscapes

Abstract

Translated fromChinese

本发明公开了一种电离层参数临界频率的区域重构方法,它包括如下步骤,步骤A:读取探测站点的经纬度,实时探测的电离层参数foF2以及探测时间;步骤B:选择电离层重构的区域,确定网格点经、纬度;步骤C:通过输入的时间,利用中国参考电离层计算这些网格点上的电离层参数foF2;步骤D:利用Kalman滤波同化方法重构电离层特性参数foF2。有益效果在于:本发明引入了实时的探测数据,在中国参考电离层的基础上进行了融合修正,预报结果的准确度更高,为短波通信选频提供更可靠的数据支撑。本发明基于Kalman滤波的电离层临界频率foF2的区域重构方法,基于实时探测的电离层参数foF2,能够实现更加准确的区域重构预报。The invention discloses a regional reconstruction method for the critical frequency of ionospheric parameters, which comprises the following steps: step A: reading the longitude and latitude of the detection site, real-time detection of the ionospheric parameter foF2 and detection time; step B: selecting the ionospheric weight Determine the longitude and latitude of grid points; Step C: Calculate the ionospheric parameter foF2 on these grid points by using the input time using the Chinese reference ionosphere; Step D: Use the Kalman filter assimilation method to reconstruct the ionospheric characteristics Parameter foF2. The beneficial effects are as follows: the present invention introduces real-time detection data, and performs fusion correction on the basis of the Chinese reference ionosphere, so that the accuracy of prediction results is higher, and more reliable data support is provided for frequency selection of short-wave communication. The present invention is based on the regional reconstruction method of the ionospheric critical frequency foF2 of Kalman filtering, and based on the ionospheric parameter foF2 detected in real time, and can realize more accurate regional reconstruction prediction.

Description

Regional reconstruction method for critical frequency of ionosphere parameters
Technical Field
The invention belongs to a calculation method of ionospheric characteristics, and particularly relates to a regional reconstruction method of ionospheric parameter critical frequency.
Background
The method is based on detection data of dozens of sites, obtains a statistical model of ionosphere change through statistical analysis, and predicts the ionosphere characteristic parameters according to the number of solar black particles. The model has the defects that only the monthly median can be predicted and counted, and the accuracy of the real-time forecasting result is low.
Disclosure of Invention
The invention aims to provide a regional reconstruction method of ionosphere parameter critical frequency, which overcomes the defect that the reference ionosphere in China can only predict the monthly median and realizes more accurate regional reconstruction prediction.
The technical scheme of the invention is as follows: a regional reconstruction method of critical frequency of ionospheric parameters comprises the following steps,
step A: reading the longitude and latitude of a detection station, and detecting the critical frequency foF2 and the detection time of an F2 layer in real time;
and B: selecting an ionosphere reconstruction region, and determining grid point longitude and latitude;
and C: calculating the critical frequency foF2 of the F2 layer on the grid points by using the Chinese reference ionosphere according to the input time;
step D: f2 layer critical frequency foF2 is reconstructed by using a Kalman filtering assimilation method.
The unit of longitude and latitude in the step A is 'degree', and the detection time comprises year, month, day and Beijing.
The area in the step B is a rectangular area, and comprises minimum and maximum longitudes and latitudes, the grid interval size, and the unit of the maximum/minimum longitudes and latitudes and the grid interval size is 'degree'.
The step B comprises the following steps:
step B1: computing grid point latitude vector λiminAnd λmaxRespectively representing a minimum latitude and a maximum latitude, lambdadIndicating the size of the grid intervals in the latitudinal direction, λnThe number of grid points in the latitudinal direction,
λn=int[(λmaxmin)/λd]+1
λi=(λminmindmin+2×λd,……,λmin+i×λd,……,λminn×λdmax)
step B2: computing a grid point longitude vector θi,θminAnd thetamaxRespectively representing the minimum and maximum longitudes, thetadRepresenting the size of the grid intervals in the longitudinal direction, thetamThe number of grid points in the longitudinal direction;
θm=int[(θmaxmin)/θd]+1
θi=(θminmindmin+2×θdmin+i×θd,……,θminm×θdmax)
step B3: generating a grid point longitude and latitude matrix of the reconstruction area;
Figure BDA0002055848980000021
step C, judging whether the time input in the Chinese reference ionosphere is world time or Beijing time, if the time is world time, converting the time with the Beijing time, wherein the conversion formula is BT (Beijing time) UT (world time) + 8; if it is Beijing, no conversion is performed.
The step D includes the steps of,
step D1: computing a background field error covariance matrix PbThe method refers to the covariance of the error between the monthly mean value result of the position of the detection point calculated by the reference ionosphere in China and the actual detection data;
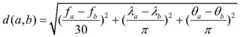
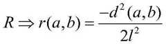
step D2: calculating a correlation matrix of a background field, calculating the distance of parameters such as latitude, longitude and foF2 of each grid point by using Euclidean distance, calculating a correlation matrix R by using a Gaussian correlation function, wherein three variables in a calculation formula of the Euclidean distance are respectively latitude, longitude and F2 layer critical frequency foF2, the F2 layer critical frequency foF2 is obtained by calculation of a Chinese reference ionosphere, the longitude and the latitude of the grid points are obtained by calculation in the step B,
Figure BDA0002055848980000022
Figure BDA0002055848980000023
in the formula (f)aAnd fbCritical frequency foF2 of F2 layer corresponding to different grid points a and b respectively, and the unit is MHz, lambdaa,λbLatitude, theta, corresponding to different grid points a and b, respectivelya,θbRespectively corresponding longitudes of different grid points a and b, wherein l is a characteristic scale and is selected to be 0.01;
step D3: calculating a gain matrix K;
K=PbHT(HPbHT+R)-1
wherein H is an observation operator,
h ═ E, i.e. H (i, j) ═ 1
Step D4: predicting grid point F2 layer critical frequency foF 2;
xa=xb+K(x°-Hxb)
wherein x isaTo predict the result, xbTo reference ionospheric calculation results, x°Is a real-time detection result.
The invention has the beneficial effects that: the invention introduces real-time detection data, performs fusion correction on the basis of the Chinese reference ionosphere, has higher accuracy of a forecast result, and provides more reliable data support for frequency selection of short-wave communication. The method for reconstructing the region of the F2 layer critical frequency foF2 based on Kalman filtering can realize more accurate region reconstruction forecast based on the F2 layer critical frequency foF2 detected in real time.
Detailed Description
The present invention will be described in further detail with reference to specific examples.
The regional reconstruction method of the critical frequency of the ionosphere parameters takes the forecast result of the Chinese reference ionosphere as background field data, takes real-time detection data as observation field data, and fuses the background field data and the observation field data by utilizing a Kalman filtering assimilation method, thereby realizing the regional reconstruction of the real-time ionosphere characteristic parameters. The method comprises the following specific steps:
step A: and reading the longitude and latitude of the detection station, and detecting the critical frequency foF2 of the F2 layer and the detection time in real time. The unit of longitude and latitude in the invention is 'degree', and the detection time comprises year, month, day and Beijing.
And B: and selecting a region of ionosphere reconstruction, and determining the longitude and latitude of the grid points. The area in the invention is a rectangular area, comprising minimum and maximum latitude and longitude and grid interval size. The units of the maximum/minimum latitude/longitude and the grid interval size are "degrees".
Further, step B is specifically described as follows:
step B1: computing grid point latitude vector λiminAnd λmaxRespectively representing a minimum latitude and a maximum latitude, lambdadRepresenting the size of the grid spacing in the latitudinal direction,λnthe number of grid points in the latitudinal direction,
λn=int[(λmaxmin)/λd]+1
λi=(λminmindmin+2×λd,……,λmin+i×λd,……,λminn×λdmax)
step B2: computing a grid point longitude vector θi,θminAnd thetamaxRespectively representing the minimum and maximum longitudes, thetadRepresenting the size of the grid intervals in the longitudinal direction, thetamThe number of grid points in the longitudinal direction.
θm=int[(θmaxmin)/θd]+1
θi=(θminmindmin+2×θdmin+i×θd,……,θminm×θdmax)
Step B3: and generating a grid point longitude and latitude matrix of the reconstruction area.
Figure BDA0002055848980000041
And C: the ionospheric parameters foF2 at these grid points are calculated using the chinese reference ionosphere by the time of entry. In the present invention, it is to be noted that, when the time input in the chinese reference ionosphere is world time or beijing, if it is world time, it needs to be converted to beijing time, and the conversion formula is BT (beijing time) ═ UT (world time) + 8; if it is Beijing, the conversion is not performed.
Step D: f2 layer critical frequency foF2 is reconstructed by using a Kalman filtering assimilation method.
Further, step B is specifically described as follows:
step D1: computing a background field error covariance matrix PbMainly refers to Chinese reference ionosphere calculation detection pointsThe covariance of the monthly value results of the location with the actual probe data error.
Step D2: and calculating a correlation matrix of the background field, wherein the Euclidean distance is used for calculating the distance of parameters such as longitude and latitude, foF2 and the like of each grid point, and a Gaussian correlation function is used for calculating the correlation matrix R. There are three variables in the formula for calculating the euclidean distance, namely latitude, longitude and critical frequency foF2 of F2 layer, where the critical frequency foF2 of F2 layer is obtained by calculation of the chinese reference ionosphere, and the longitude and latitude of the grid point are obtained by calculation of step B.
Figure BDA0002055848980000042
Figure BDA0002055848980000051
In the formula (f)aAnd fbfoF2 for different grid points a and b, respectively, in MHz.
λa,λbRespectively corresponding latitudes of different grid points a and b;
θa,θblongitudes corresponding to different grid points a and b respectively;
l is a characteristic scale, here chosen to be 0.01.
Step D3: calculating a gain matrix K
K=PbHT(HPbHT+R)-1
Where H is the observation operator.
H ═ E, i.e. H (i, j) ═ 1
Step D4: grid point ionospheric parameters are predicted foF 2.
xa=xb+K(x°-Hxb)
Wherein x isaTo predict the result, xbTo reference ionospheric calculation results, x°Is a real-time detection result.
In summary, the present invention provides a method for reconstructing the region of the F2 layer critical frequency foF2 based on the Kalman filter assimilation technique. The method has the greatest advantage that the ionosphere parameters foF2 can be reconstructed in the designated area based on the Chinese reference ionosphere model and by combining with the ionosphere data detected in real time, and the method has higher accuracy and is easy to realize in engineering. Experiments prove that the method is suitable for China regions, and regional ionosphere parameters in the global range can be reconstructed if the method adopts an international reference ionosphere model.
The above description is only for the preferred embodiment of the present invention, but the scope of the present invention is not limited thereto, and any changes or substitutions that can be easily conceived by those skilled in the art within the technical scope of the present invention are included in the scope of the present invention. Therefore, the protection scope of the present invention shall be subject to the protection scope of the claims.

Claims (4)

1. A regional reconstruction method of ionospheric parameter critical frequency is characterized in that: which comprises the following steps of,
step A: reading the longitude and latitude of a detection station, and detecting the critical frequency foF2 and the detection time of an F2 layer in real time;
and B: selecting an ionosphere reconstruction region, and determining grid point longitude and latitude;
and C: calculating the ionospheric parameters foF2 at the grid points by using the Chinese reference ionosphere according to the input time;
step D: reconstructing critical frequency foF2 of an F2 layer by using a Kalman filtering assimilation method;
the step B comprises the following steps:
step B1: computing grid point latitude vector λiminAnd λmaxRespectively representing a minimum latitude and a maximum latitude, lambdadIndicating the size of the grid intervals in the latitudinal direction, λnThe number of grid points in the latitudinal direction,
λn=int[(λmaxmin)/λd]+1
λi=(λminmindmin+2×λd,……,λmin+i×λd,……,λminn×λdmax)
step B2: computing a grid point longitude vector θi,θminAnd thetamaxRespectively representing the minimum and maximum longitudes, [ theta ]dRepresenting the size of the grid intervals in the longitudinal direction, thetamThe number of grid points in the longitudinal direction;
θm=int[(θmaxmin)/θd]+1
θi=(θminmindmin+2×θdmin+i×θd,……,θminm×θdmax)
step B3: generating a grid point longitude and latitude matrix of the reconstruction area;
Figure FDA0003075745490000011
the step D includes the steps of,
step D1: computing a background field error covariance matrix PbThe method refers to the covariance of the monthly value result of the position of the detection point calculated by the Chinese reference ionosphere and the error of actual detection data;
step D2: calculating a correlation matrix of a background field, calculating longitude and latitude of each grid point and a distance of F2 layer critical frequency foF2 by using Euclidean distance, and calculating a correlation matrix R by using a Gaussian correlation function, wherein three variables in a calculation formula of the Euclidean distance are respectively latitude, longitude and F2 layer critical frequency foF2, the F2 layer critical frequency foF2 is obtained by calculation of a Chinese reference ionosphere, the longitude and latitude of the grid points are obtained by calculation of the step B,
Figure FDA0003075745490000021
Figure FDA0003075745490000022
in the formula (f)aAnd fbfoF2 corresponding to different grid points a and b respectively, and the unit is MHz, lambdaa,λbLatitude, theta, corresponding to different grid points a and b, respectivelya,θbRespectively corresponding longitudes of different grid points a and b, wherein l is a characteristic scale and is selected to be 0.01;
step D3: calculating a gain matrix K;
K=PbHT(HPbHT+R)-1
wherein H is an observation operator,
h ═ E, i.e. H (i, j) ═ 1
Step D4: predicting grid point F2 layer critical frequency foF 2;
xa=xb+K(xo-Hxb)
wherein x isaTo predict the result, xbTo reference ionospheric calculation results, xoIs a real-time detection result.
2. A method for regional reconstruction of critical frequencies of ionospheric parameters as defined in claim 1, wherein: the unit of longitude and latitude in the step A is 'degree', and the detection time comprises year, month, day and Beijing.
3. A method for regional reconstruction of critical frequencies of ionospheric parameters as defined in claim 1, wherein: the area in the step B is a rectangular area, and comprises minimum and maximum longitudes and latitudes, the grid interval size, and the unit of the maximum/minimum longitudes and latitudes and the grid interval size is 'degree'.
4. A method for regional reconstruction of critical frequencies of ionospheric parameters as defined in claim 1, wherein: step C, judging whether the time input in the Chinese reference ionosphere is world time or Beijing time, if so, converting the time with the Beijing time, wherein the conversion formula is BT (Beijing time) UT (world time) + 8; if it is Beijing, no conversion is performed.
CN201910389146.2A2019-05-102019-05-10 A regional reconstruction method for critical frequency of ionospheric parametersActiveCN110288117B (en)

Priority Applications (1)

Application NumberPriority DateFiling DateTitle
CN201910389146.2ACN110288117B (en)2019-05-102019-05-10 A regional reconstruction method for critical frequency of ionospheric parameters

Applications Claiming Priority (1)

Application NumberPriority DateFiling DateTitle
CN201910389146.2ACN110288117B (en)2019-05-102019-05-10 A regional reconstruction method for critical frequency of ionospheric parameters

Publications (2)

Publication NumberPublication Date
CN110288117A CN110288117A (en)2019-09-27
CN110288117Btrue CN110288117B (en)2021-06-29

Family

ID=68001925

Family Applications (1)

Application NumberTitlePriority DateFiling Date
CN201910389146.2AActiveCN110288117B (en)2019-05-102019-05-10 A regional reconstruction method for critical frequency of ionospheric parameters

Country Status (1)

CountryLink
CN (1)CN110288117B (en)

Families Citing this family (3)

* Cited by examiner, † Cited by third party
Publication numberPriority datePublication dateAssigneeTitle
CN110909447B (en)*2019-10-192022-11-29中国电波传播研究所(中国电子科技集团公司第二十二研究所)High-precision short-term prediction method for ionization layer region
CN110909449B (en)*2019-10-192022-11-29中国电波传播研究所(中国电子科技集团公司第二十二研究所) A method for multi-source data ionospheric regional forecasting
CN112272067B (en)*2020-10-152022-04-08天津大学Short wave broadcast frequency scheduling method based on multi-source data processing

Citations (4)

* Cited by examiner, † Cited by third party
Publication numberPriority datePublication dateAssigneeTitle
EP3109672A1 (en)*2015-06-242016-12-28Centre National d'Etudes SpatialesGnss receiver with a capability to resolve ambiguities using an uncombined formulation
CN106788815A (en)*2016-11-282017-05-31北京航空航天大学A kind of short wave communication reliability estimation method based on many system detection datas
CN107113054A (en)*2014-12-112017-08-29天波网络有限责任公司 Communication method and system using low latency/low data bandwidth and high latency/high data bandwidth channels
CN107911185A (en)*2017-11-032018-04-13中国电波传播研究所(中国电子科技集团公司第二十二研究所)A kind of maximum usable frequency computational methods suitable for short-wave link during ionospheric storm

Family Cites Families (1)

* Cited by examiner, † Cited by third party
Publication numberPriority datePublication dateAssigneeTitle
US7440762B2 (en)*2003-12-302008-10-21Trueposition, Inc.TDOA/GPS hybrid wireless location system

Patent Citations (4)

* Cited by examiner, † Cited by third party
Publication numberPriority datePublication dateAssigneeTitle
CN107113054A (en)*2014-12-112017-08-29天波网络有限责任公司 Communication method and system using low latency/low data bandwidth and high latency/high data bandwidth channels
EP3109672A1 (en)*2015-06-242016-12-28Centre National d'Etudes SpatialesGnss receiver with a capability to resolve ambiguities using an uncombined formulation
CN106788815A (en)*2016-11-282017-05-31北京航空航天大学A kind of short wave communication reliability estimation method based on many system detection datas
CN107911185A (en)*2017-11-032018-04-13中国电波传播研究所(中国电子科技集团公司第二十二研究所)A kind of maximum usable frequency computational methods suitable for short-wave link during ionospheric storm

Non-Patent Citations (4)

* Cited by examiner, † Cited by third party
Title
中国地区电离层foF2的重构方法研究;陈 春、宋 磊、班盼盼、孙树计;《电波科学学报》;20140430;第29卷(第2期);正文第305-309页*
区域电离层电子密度反演与重构技术研究;赵晶晶;《中国博士学位论文全文 基础科学辑》;20141031;第2014年卷(第10期);全文*
基于斜向探测最高可用频率反演电离层参数;王健、姬生云、王洪发、卢冬鸣、王先义;《空间科学学报》;20140430;第2014年卷(第2期);全文*
短波通信选频中的电离层同化短期预报方法;汤 军、姬生云、王 健、王先义;《电波科学学报》;20130630;第28卷(第3期);正文第498-503页*

Also Published As

Publication numberPublication date
CN110288117A (en)2019-09-27

Similar Documents

PublicationPublication DateTitle
CN103810376B (en)Ground daily rainfall Forecasting Methodology based on satellite remote sensing Yu Regression-kriging
Fang et al.Evaluation of the TRMM 3B42 and GPM IMERG products for extreme precipitation analysis over China
CN111401634B (en)Processing method, system and storage medium for acquiring climate information
Wu et al.A Lagrangian approach towards extracting signals of urban CO 2 emissions from satellite observations of atmospheric column CO 2 (XCO 2): X-Stochastic Time-Inverted Lagrangian Transport model (“X-STILT v1”)
US20220043182A1 (en)Spatial autocorrelation machine learning-based downscaling method and system of satellite precipitation data
CN109543353B (en)Three-dimensional water vapor inversion method, device, equipment and computer readable storage medium
Fiddes et al.TopoSCALE v. 1.0: downscaling gridded climate data in complex terrain
CN102609615B (en)Based on the soil erosion Remote Sensing Dynamic Monitoring method of revising general soil loss equation
CN110288117B (en) A regional reconstruction method for critical frequency of ionospheric parameters
CN105160192A (en)TRMM (Tropical Rainfall Measuring Mission) satellite rainfall data downscaling method based on M5-Local
CN107608939A (en)TRMM precipitation data NO emissions reduction methods based on high resolution satellite remote sensing image
CN103323888A (en)Method for eliminating delay errors of troposphere of GNSS atmospheric probing data
CN111639810B (en)Rainfall forecast precision assessment method based on flood prevention requirements
CN110619291B (en)Method for identifying nonlinear response relationship between plant coverage and climate factor
CN103455702A (en)Method for determining regional ionospheric layer delay
CN107796484A (en)One kind is based on BDStar navigation system signal-to-noise ratio data observed stage changing method
Cheng et al.Statistical downscaling of hourly and daily climate scenarios for various meteorological variables in south-central Canada
CN106324620A (en)Tropospheric zenith delay method based not on real-time measurement of surface meteorological data
Samouly et al.Performance of multi-model ensembles for the simulation of temperature variability over Ontario, Canada
CN104392113B (en)Method for estimating cold air and strong wind speed on offshore sea surface
CN114488349A (en)Construction method of local short-term rainfall forecast model based on GNSS-PWV multi-factor
Bae et al.Utilization of the Bayesian method to improve hydrological drought prediction accuracy
CN108334662A (en)A kind of soil erosion Method of fast estimating
CN106546958B (en)A kind of radar data assimilation method of optimization
Carouge et al.What can we learn from European continuous atmospheric CO 2 measurements to quantify regional fluxes–Part 2: Sensitivity of flux accuracy to inverse setup

Legal Events

DateCodeTitleDescription
PB01Publication
PB01Publication
SE01Entry into force of request for substantive examination
SE01Entry into force of request for substantive examination
GR01Patent grant
GR01Patent grant

[8]ページ先頭

©2009-2025 Movatter.jp