Movatterモバイル変換


[0]ホーム

URL:


CN110276525B - Evaluation method of key engine technology based on fuel economy - Google Patents

Evaluation method of key engine technology based on fuel economy
Download PDF

Info

Publication number
CN110276525B
CN110276525BCN201910446558.5ACN201910446558ACN110276525BCN 110276525 BCN110276525 BCN 110276525BCN 201910446558 ACN201910446558 ACN 201910446558ACN 110276525 BCN110276525 BCN 110276525B
Authority
CN
China
Prior art keywords
key
engine
key technical
technology
fuel economy
Prior art date
Legal status (The legal status is an assumption and is not a legal conclusion. Google has not performed a legal analysis and makes no representation as to the accuracy of the status listed.)
Expired - Fee Related
Application number
CN201910446558.5A
Other languages
Chinese (zh)
Other versions
CN110276525A (en
Inventor
李岳
宁智
吕明
智鑫
Current Assignee (The listed assignees may be inaccurate. Google has not performed a legal analysis and makes no representation or warranty as to the accuracy of the list.)
Beijing Jiaotong University
Original Assignee
Beijing Jiaotong University
Priority date (The priority date is an assumption and is not a legal conclusion. Google has not performed a legal analysis and makes no representation as to the accuracy of the date listed.)
Filing date
Publication date
Application filed by Beijing Jiaotong UniversityfiledCriticalBeijing Jiaotong University
Priority to CN201910446558.5ApriorityCriticalpatent/CN110276525B/en
Publication of CN110276525ApublicationCriticalpatent/CN110276525A/en
Application grantedgrantedCritical
Publication of CN110276525BpublicationCriticalpatent/CN110276525B/en
Expired - Fee Relatedlegal-statusCriticalCurrent
Anticipated expirationlegal-statusCritical

Links

Images

Classifications

Landscapes

Abstract

Translated fromChinese

本发明属于发动机关键技术领域,涉及基于燃油经济性的发动机关键技术评估方法。首先建立发动机工作过程仿真模型并对仿真模型进行标定;在模型中确定并设置关键技术参数;通过仿真计算得到每个关键技术参数单独变化时对应的发动机燃油消耗率,通过二次回归的方法确定关键技术参数关于燃油经济性的回归方程;通过回归方程得到关键技术参数的敏感度函数,基于敏感度函数得到关键技术参数的敏感度值;以燃油经济性为考核指标,以关键技术为影响因素,进行正交组合设计,对正交设计结果进行极差分析,得到关键技术的影响权重和交互作用。本发明所述评估方法能够用于确定关键技术对发动机燃油经济性的敏感度、影响权重以及关键技术之间的交互作用。

Figure 201910446558

The invention belongs to the key technical field of engines, and relates to a method for evaluating key engine technologies based on fuel economy. Firstly, a simulation model of the engine working process is established and the simulation model is calibrated; the key technical parameters are determined and set in the model; the corresponding engine fuel consumption rate when each key technical parameter changes individually is obtained through simulation calculation, and is determined by the method of quadratic regression The regression equation of key technical parameters on fuel economy; the sensitivity function of key technical parameters is obtained through the regression equation, and the sensitivity value of key technical parameters is obtained based on the sensitivity function; the fuel economy is used as the evaluation index, and the key technology is the influencing factor , carry out orthogonal combination design, carry out range analysis on orthogonal design results, and obtain the influence weight and interaction of key technologies. The evaluation method of the present invention can be used to determine the sensitivity of key technologies to engine fuel economy, the influence weight and the interaction between key technologies.

Figure 201910446558

Description

Engine key technology evaluation method based on fuel economy
Technical Field
The invention belongs to the field of research on key technologies of engines, and particularly relates to an engine key technology evaluation method based on fuel economy.
Background
Fuel economy is one of the main indicators of major concern in developing engines. The application of various key technologies is a main means for improving the fuel economy of the engine. With the development and rapid development of engine technologies, various key technologies such as a miller cycle technology, a variable valve timing technology, an exhaust gas recirculation technology, a high compression ratio technology, and the like are developed. Therefore, the determination of the effect of key technologies on engine fuel economy and the matching of key technologies are the focus of work for engine development.
In the prior art, only a single key technology or two key technologies are evaluated, and a plurality of technologies cannot be evaluated simultaneously. However, different key technologies have different influences on the fuel economy of the engine, some key technologies have smaller influences and some key technologies have larger influences, and meanwhile, when multiple key technologies are applied together, interaction may exist among the key technologies.
Disclosure of Invention
Aiming at the technical problems, the invention provides an engine key technology evaluation method based on fuel economy, which can determine the sensitivity, influence weight and interaction between key technologies of the key technologies to the fuel economy of an engine, thereby shortening the development period, improving the efficiency, reducing the cost and better providing a theoretical basis for the development of the engine.
The invention is realized by the following technical scheme:
the method comprises the steps of evaluating key technologies of the engine based on fuel economy, wherein the evaluation method is used for determining the sensitivity of the key technologies to the fuel economy of the engine, influence weight and interaction among the key technologies; the evaluation method comprises the following steps:
establishing and calibrating a simulation model of the working process of the engine;
determining and setting key technical parameters;
and (3) calculating a simulation model: adopting an engine working process simulation model to simulate and calculate the fuel consumption rate of the engine when each key technical parameter changes and other key technical parameters are not changed;
determining a regression equation of each key technical parameter about fuel economy;
determining a sensitivity function of each key technical parameter according to the regression equation;
determining the sensitivity of each key technical parameter according to the sensitivity function;
orthogonal combination design of key technology;
determining the influence weight of the key technology through range analysis;
the interaction of the key technology is determined by range analysis.
Further, the establishment and calibration of the engine working process simulation model specifically comprises the following steps: building modules of all parts of the engine according to structural parameters of the engine, and building a combustion mathematical model, a heat transfer mathematical model, a fluid flow mathematical model and a friction mathematical model; and then calibrating the simulation model according to the engine test data to ensure that the relative error between the calculation result and the test result of the simulation model is less than 5 percent.
Further, the determination and setting of the key technical parameters specifically include: determining 5 key technical parameters including the Miller degree of the Miller cycle technology, the air inlet timing and the air outlet timing of the variable valve timing technology, the EGR rate of the exhaust gas recirculation technology and the compression ratio of the high compression ratio technology;
the setting of the key technical parameters comprises the following steps: setting a value range, a step length and a reference value for each key technical parameter.
Further, the calculation of the simulation model specifically includes: and respectively calculating the fuel consumption rate of the engine when a single key technical parameter changes in a value range and other key technical parameters are not changed by using the calibrated engine working process simulation model.
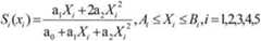
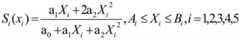
Further, the determining a regression equation of the key technical parameters with respect to the fuel economy is specifically as follows: extracting the corresponding engine fuel consumption rate when each key technical parameter changes according to the simulation calculation result of the calculation step of the simulation model, and fitting the engine fuel consumption rate corresponding to each key technical parameter by a quadratic regression method to obtain a regression equation of each key technical parameter about fuel economy:
Ybe=a0+a1Xi+a2Xi2,Ai≤Xi≤Bi,i=1,2,3,4,5
wherein, YbeThe engine fuel consumption rate is represented, and i is 1,2,3,4 and 5, and the key technical parameters of the Miller degree, the air inlet timing, the exhaust timing, the EGR rate and the high compression ratio are represented respectively; xi represents the value of the ith key technical parameter; a. thei、BiRespectively representing the value lower limit and the value upper limit of the ith key technical parameter; a is0a1a2Is the coefficient of each item.
Further, the determining a sensitivity function of the key technical parameter according to the regression equation specifically includes: for each key technical parameter, the relative variation of the fuel consumption rate is divided by the relative variation of the key technical parameter to obtain the sensitivity function of each key technical parameter:
Figure BDA0002073817290000031
wherein S isi(xi) A sensitivity function representing the ith key technical parameter.
Further, the determining the sensitivity of the key technical parameter according to the sensitivity function specifically includes: respectively substituting the reference values of all the key technical parameters into respective sensitivity functions Si(xi) Obtaining the sensitivity value S of each key technical parameteri*(xi)。
Further, the orthogonal combination design of the key technology specifically includes: four key technologies are as follows: the Miller cycle technology, the variable valve timing technology, the exhaust gas recirculation technology and the high compression ratio technology are used as four influencing factors, each factor adopts or does not adopt two levels, an orthogonal combination design method is utilized, the fuel consumption rate is used as an assessment index, and the orthogonal combination design of interaction is considered at the four factors and the two levels.
Further, the determining the influence weight of the key technology through range analysis specifically includes: and (3) performing range analysis on orthogonal design results of key technical factor lists in orthogonal combination design by taking the fuel consumption rate as an assessment index to obtain a range value of each key technology, and dividing the range value of each key technology by the range values of all key technologies to obtain the influence weight of the key technologies.
Further, the determining of the interaction of the key technology through range analysis specifically includes: and (3) performing range analysis on the orthogonal design result of the interaction factor column in the orthogonal combination design by taking the fuel consumption rate as an assessment index to obtain a range value of the interaction, which represents the interaction size of the key technology.
The invention has the advantages and positive effects that:
the fuel economy-based engine key technology evaluation method provided by the invention can evaluate the influence of the key technology on the fuel economy of the engine, and can better guide the selection and application of the key technology in the development of the engine. In addition, when the key technology is selected and applied, the method provided by the invention can greatly reduce the economic cost and the time cost, and can quickly and better match the key technology according to the evaluation result.
Drawings
FIG. 1 is a flow chart of steps in a method for fuel economy based assessment of key technology in an engine according to an embodiment of the present invention;
FIG. 2 is a graph illustrating the sensitivity of key technical parameters to fuel economy in an embodiment of the present invention;
FIG. 3 is a graph of the impact weight of key technologies on fuel economy in an embodiment of the present invention.
Detailed Description
In order to make the objects, technical solutions and advantages of the present invention more apparent, the present invention is described in further detail below with reference to the accompanying drawings and embodiments. It should be understood that the specific embodiments described herein are merely illustrative of the invention and are not intended to limit the invention.
On the contrary, the invention is intended to cover alternatives, modifications, equivalents and alternatives which may be included within the spirit and scope of the invention as defined by the appended claims. Furthermore, in the following detailed description of the present invention, certain specific details are set forth in order to provide a better understanding of the present invention. It will be apparent to one skilled in the art that the present invention may be practiced without these specific details.
The engine key technology evaluation method based on fuel economy is obtained based on simulation calculation, sensitivity analysis and orthogonal combination design, and can better guide selection and matching of key machines during engine development. The general idea of the evaluation method of the embodiment of the invention is as follows: firstly, establishing an engine working process simulation model; then, calibrating the simulation model according to the test data, so that the error between the calculated value of the simulation model and the test value is less than 5 percent, and ensuring the accuracy and reliability of the simulation model; then determining relevant technical parameters of the key technology and setting the relevant technical parameters in the model; obtaining the corresponding engine fuel consumption rate when each key technical parameter changes independently through simulation calculation of the model, and determining a regression equation of the key technical parameters about fuel economy through a quadratic regression method; obtaining a sensitivity function of the key technical parameter through a regression equation, and substituting the reference value of the key technical parameter into the sensitivity function to obtain the sensitivity value of the key technical parameter; and then, taking the fuel economy as an assessment index, taking the key technology as an influence factor, carrying out four-factor two-level consideration interaction orthogonal combination design, and finally carrying out range analysis on an orthogonal design result to obtain the influence weight and the interaction of the key technology.
As shown in FIG. 1, the evaluation method for the key technology of the engine based on the fuel economy provided by the embodiment of the invention comprises the following steps:
s1: establishing and calibrating a simulation model of the working process of the engine: building modules of all parts of the engine according to structural parameters of the engine, and building a combustion mathematical model, a heat transfer mathematical model, a fluid flow mathematical model and a friction mathematical model; and then calibrating the simulation model according to the engine test data to ensure that the relative error between the calculation result and the test result of the simulation model is less than 5 percent.
Preferably, the engine working process simulation model is established and calibrated by using GT-POWER software; and when the calibration is carried out, the relative error between the calculated value and the test value, including the in-cylinder pressure, the exhaust temperature, the exhaust pressure, the power, the torque and the fuel consumption rate, is less than 5 percent, so as to obtain the calibrated engine working process simulation model. And obtaining the engine working process simulation model with higher reliability and accuracy.
S2: determining and setting key technical parameters: determining 5 key technical parameters including the Miller degree of the Miller cycle technology, the air inlet timing and the air outlet timing of the variable valve timing technology, the EGR rate of the exhaust gas recirculation technology and the compression ratio of the high compression ratio technology;
and the key technical parameters are set by determining the reference value X of the key technical parameters according to the characteristics of the key technical parameters0And a value range Ai≤Xi≤BiAnd the step size Δ, X of variationiA value representing the ith key technical parameter;
s3: and (3) calculating a simulation model: and respectively calculating the fuel consumption rate of the engine when a single key technical parameter changes in a value range and other key technical parameters are not changed by using the calibrated engine working process simulation model.
S4: determining a regression equation of each key technical parameter about fuel economy: extracting the corresponding engine fuel consumption rate when each key technical parameter changes according to the simulation calculation result of the calculation step of the simulation model, and fitting the engine fuel consumption rate corresponding to each key technical parameter by a quadratic regression method to obtain a regression equation of each key technical parameter about fuel economy:
Ybe=a0+a1Xi+a2Xi2,Ai≤Xi≤Bi,i=1,2,3,4,5
wherein, YbeRepresenting the fuel consumption rate of the engine; i is 1,2,3,4 and 5, which respectively represent 5 key technical parameters of Miller degree, air inlet timing, exhaust timing, EGR rate and high compression ratio; xiA value representing the ith key technical parameter; a. thei、BiRespectively representing the value lower limit and the value upper limit of the ith key technical parameter; a is0a1a2Is the coefficient of each item.
S5: determining a sensitivity function of each key technical parameter according to the regression equation: for each key technical parameter, the relative variation of the fuel consumption rate is divided by the relative variation of the key technical parameter to obtain the sensitivity function of each key technical parameter:
Figure BDA0002073817290000071
wherein S isi(xi) Whether it represents a sensitivity function for the ith key technology parameter.
S6: determining the sensitivity of each key technical parameter according to the sensitivity function: respectively substituting the reference values of all the key technical parameters into respective sensitivity functions Si(xi) Obtaining the sensitivity value S of each key technical parameteri*(xi)。
S7: orthogonal combination design of key technology; four key technologies are as follows: the Miller cycle technology, the variable valve timing technology, the exhaust gas recirculation technology and the high compression ratio technology are used as four influencing factors, each factor adopts or does not adopt two levels, an orthogonal combination design method is utilized, the fuel consumption rate is used as an assessment index, and the orthogonal combination design of interaction is considered at the four factors and the two levels.
S8: determining the influence weight of the key technology through range analysis; and (3) performing range analysis on orthogonal design results of key technical factor lists in orthogonal combination design by taking the fuel consumption rate as an assessment index to obtain a range value of each key technology, and dividing the range value of each key technology by the range values of all key technologies to obtain the influence weight of the key technologies.
S9: the interaction of the key technology is determined by range analysis. And (3) performing range analysis on the orthogonal design result of the interaction factor column in the orthogonal combination design by taking the fuel consumption rate as an assessment index to obtain a range value of the interaction, which represents the interaction size of the key technology.
In the embodiment, a certain 1.2L supercharged gasoline engine is taken as an example, and four key technologies applied to the gasoline engine are evaluated based on fuel economy according to the step flow shown in fig. 1. Establishing an engine working process simulation model by utilizing GT-POWER software and calibrating the simulation model, so that the simulation model has higher reliability and accuracy, and then determining key technical parameters corresponding to a key technology: the Miller degree of the Miller cycle technology, the air inlet timing and the air outlet timing of the variable valve timing technology, the EGR rate of the exhaust gas recirculation technology and the compression ratio of the high compression ratio technology are 5 key technical parameters, and the reference value, the value range and the step length are determined as follows:
key technical parameterReference valueValue rangeStep size
Degree of Miller X1,°100~7010
Intake timing X2,°CA320280~34010
Exhaust timing X3,°CA392372~43210
EGR Rate X4,%30~183
Compression ratio X5109.5~140.5
Calculating by using a simulation model, changing each key technical parameter respectively during calculation, keeping other parameters as reference values unchanged, obtaining the change condition of the key technical parameter corresponding to the fuel consumption rate when the key technical parameter changes, fitting the calculation result by using a quadratic regression method to obtain a regression equation of the key technical parameter about the fuel economy, determining the sensitivity function of the key technical parameter according to the regression equation, and substituting the reference value of each key technical parameter into the sensitivity function to obtain the sensitivity value of each key technical parameter (as shown in fig. 2).
Orthogonal combination design is carried out, and four key technologies are as follows: the miller cycle technique, the variable valve timing technique, the exhaust gas recirculation technique and the high compression ratio technique are used as four influencing factors, and each factor takes two levels, level 1: without this technique, level 2: by adopting the technology, the orthogonal combination design method is utilized, the fuel economy is taken as an assessment index, four-factor two-level orthogonal design considering interaction is carried out, and the head of an orthogonal meter is as follows:
Figure BDA0002073817290000091
performing simulation calculation by using an orthogonal table, performing range analysis on an orthogonal design result, firstly analyzing the assessment indexes of the key technology factor column to obtain the range value of each key technology, and dividing the range value of each key technology by the range values of all key technologies to obtain the influence weight of each key technology (as shown in fig. 3). Then, the evaluation indexes of the interaction factor column are subjected to range analysis, and the order of the interaction among the key technologies is obtained as follows: miller cycle and high compression ratio technology > high compression ratio technology and variable valve timing technology > miller cycle technology and exhaust gas recirculation technology > high compression ratio technology and exhaust gas recirculation technology > miller cycle technology and variable valve timing technology > high compression ratio technology and exhaust gas recirculation technology > variable valve timing technology and exhaust gas recirculation technology. Therefore, when the key technologies of the engine are selected based on the fuel economy, the high compression ratio technology and the variable valve timing technology are mainly considered, other key technologies have little influence on the fuel economy, and meanwhile, attention needs to be paid to the interaction among the key technologies.
The engine key technology evaluation method based on the fuel economy can reasonably quantify the influence of the key technology on the fuel economy of the engine, obtain the sensitivity, influence weight and interaction of the key technology on the fuel economy of the engine, better guide the selection of the key technology when the engine is developed, improve the development efficiency of the engine, shorten the development period and save the development cost.
The above description is only for the preferred embodiment of the present invention, and modifications within the spirit and scope of the present invention are within the scope of the appended claims and their equivalents.

Claims (7)

Translated fromChinese
1.基于燃油经济性的发动机关键技术评估方法,其特征在于,所述评估方法用于确定关键技术对发动机燃油经济性的敏感度、影响权重以及关键技术之间的交互作用;所述评估方法包括以下步骤:1. An engine key technology evaluation method based on fuel economy, characterized in that the evaluation method is used to determine the sensitivity of key technologies to engine fuel economy, the impact weight and the interaction between key technologies; the evaluation method Include the following steps:发动机工作过程仿真模型的建立和标定;The establishment and calibration of the engine working process simulation model;关键技术参数的确定和设置;Determination and setting of key technical parameters;仿真模型的计算:采用发动机工作过程仿真模型仿真计算每个关键技术参数变化且其他关键技术参数不变时发动机的燃油消耗率;Calculation of simulation model: The engine working process simulation model is used to simulate and calculate the fuel consumption rate of the engine when each key technical parameter changes and other key technical parameters remain unchanged;确定每个关键技术参数关于燃油经济性的回归方程;Determine the regression equation for each key technical parameter on fuel economy;根据所述回归方程确定每个关键技术参数的敏感度函数;Determine the sensitivity function of each key technical parameter according to the regression equation;根据所述敏感度函数确定每个关键技术参数的敏感度;Determine the sensitivity of each key technical parameter according to the sensitivity function;关键技术的正交组合设计;Orthogonal combination design of key technologies;通过极差分析确定关键技术的影响权重;Determine the impact weight of key technologies through range analysis;通过极差分析确定关键技术的交互作用;Identify key technology interactions through range analysis;其中,所述确定关键技术参数关于燃油经济性的回归方程,具体为:根据仿真模型的计算步骤的仿真计算结果,提取各个关键技术参数变化时所对应的发动机燃油消耗率,通过二次回归方法对每个关键技术参数对应的发动机燃油消耗率进行拟合,得到每个关键技术参数关于燃油经济性的回归方程:Wherein, the determining the regression equation of the key technical parameters on fuel economy is specifically: according to the simulation calculation results of the calculation steps of the simulation model, extracting the engine fuel consumption rate corresponding to the change of each key technical parameter, and using the quadratic regression method Fit the engine fuel consumption rate corresponding to each key technical parameter, and obtain the regression equation of each key technical parameter on fuel economy:
Figure DEST_PATH_IMAGE001
Figure DEST_PATH_IMAGE001
其中,Ybe表示发动机燃油消耗率, i=1,2,3,4,5分别表示米勒度、进气正时、排气正时、EGR率和高压缩比5个关键技术参数;Xi表示第i个关键技术参数的值;AiBi分别表示第i个关键技术参数的取值下限和取值上限;a0、a1、a2为各项系数;Among them,Ybe represents the engine fuel consumption rate,i = 1, 2, 3, 4, 5 represent five key technical parameters of Miller degree, intake timing, exhaust timing, EGR rate and high compression ratio;Xi represents the value of theith key technical parameter;Ai andBi represent the lower limit and upper limit of theith key technical parameter respectively; a0 , a1 , and a2 are various coefficients;所述根据所述回归方程确定关键技术参数的敏感度函数,具体为:对于每个关键技术参数,分别用燃油消耗率的相对变化量与关键技术参数的相对变化量相除,得到各关键技术参数的敏感度函数:Determining the sensitivity function of the key technical parameters according to the regression equation is specifically as follows: for each key technical parameter, dividing the relative change of the fuel consumption rate and the relative change of the key technical parameter respectively to obtain each key technology Sensitivity function for parameters:
Figure 542874DEST_PATH_IMAGE002
Figure 542874DEST_PATH_IMAGE002
其中,Si(xi)表示第i个关键技术参数的敏感度函数;Among them,Si (xi ) represents the sensitivity function of thei -th key technical parameter;所述根据所述敏感度函数确定关键技术参数的敏感度,具体为:将各关键技术参数的基准值分别代入各自的敏感度函数Si(xi),得到各个关键技术参数的敏感度值
Figure DEST_PATH_IMAGE003
Determining the sensitivity of the key technical parameters according to the sensitivity function is specifically as follows: substituting the reference values of each key technical parameter into the respective sensitivity functionsSi (xi) to obtain the sensitivity value of each key technical parameter
Figure DEST_PATH_IMAGE003
.
2.根据权利要求1所述基于燃油经济性的发动机关键技术评估方法,其特征在于,所述发动机工作过程仿真模型的建立和标定,具体为:根据发动机结构参数建立发动机各个部分的模块,并建立燃烧数学模型、传热数学模型、流体流动数学模型和摩擦数学模型;随后根据发动机试验数据对仿真模型进行标定,确保仿真模型的计算结果与试验结果的相对误差小于5%。2. The engine key technology evaluation method based on fuel economy according to claim 1, is characterized in that, the establishment and calibration of the described engine working process simulation model, is specially: establish the module of each part of engine according to engine structural parameters, and The combustion mathematical model, heat transfer mathematical model, fluid flow mathematical model and friction mathematical model are established; then the simulation model is calibrated according to the engine test data to ensure that the relative error between the calculation results of the simulation model and the test results is less than 5%.3.根据权利要求1所述基于燃油经济性的发动机关键技术评估方法,其特征在于,所述关键技术参数的确定和设置,具体为:确定关键技术参数包括米勒循环技术的米勒度、可变配气正时技术的进气正时和排气正时、废气再循环技术的EGR率和高压缩比技术的压缩比共5个关键技术参数;3. The method for evaluating engine key technologies based on fuel economy according to claim 1, wherein the determination and setting of the key technical parameters are specifically: determining that the key technical parameters include the Miller degree of Miller cycle technology, Five key technical parameters are the intake timing and exhaust timing of the variable valve timing technology, the EGR rate of the exhaust gas recirculation technology and the compression ratio of the high compression ratio technology;对关键技术参数的设置包括:对每个关键技术参数设置取值范围、步长和基准值。The setting of key technical parameters includes: setting the value range, step size and reference value for each key technical parameter.4.根据权利要求1所述基于燃油经济性的发动机关键技术评估方法,其特征在于,所述仿真模型的计算,具体为:利用标定后的发动机工作过程仿真模型,分别计算当单个关键技术参数在取值范围内变化且其他关键技术参数不变时发动机的燃油消耗率。4. The method for evaluating engine key technologies based on fuel economy according to claim 1, wherein the calculation of the simulation model is specifically: using the calibration model of the engine working process simulation model, respectively calculating when a single key technology parameter The fuel consumption rate of the engine when it changes within the value range and other key technical parameters remain unchanged.5.根据权利要求1所述基于燃油经济性的发动机关键技术评估方法,其特征在于,所述关键技术的正交组合设计,具体为:将四项关键技术:米勒循环技术、可变配气正时技术、废气再循环技术和高压缩比技术作为四个影响因素,每个因素取采用和不采用两个水平,利用正交组合设计方法,以燃油消耗率为考核指标,进行四因素两水平考虑交互作用的正交组合设计。5. The method for evaluating engine key technologies based on fuel economy according to claim 1, wherein the orthogonal combination design of the key technologies is specifically: combining four key technologies: Miller cycle technology, variable Gas timing technology, exhaust gas recirculation technology and high compression ratio technology are used as four influencing factors, and each factor takes two levels of adopting and not adopting. Using the orthogonal combination design method, the fuel consumption rate is used as the assessment index to carry out the four factors. Two-level orthogonal combinatorial design considering interactions.6.根据权利要求1所述基于燃油经济性的发动机关键技术评估方法,其特征在于,所述通过极差分析确定关键技术的影响权重,具体为:以燃油消耗率为考核指标,对正交组合设计中关键技术因素列的正交设计结果进行极差分析,得到每个关键技术的极差值,将每个关键技术的极差值与所有关键技术的极差值相除得到关键技术的影响权重。6. The method for evaluating key technologies of an engine based on fuel economy according to claim 1, characterized in that, determining the influence weight of the key technologies through range analysis, specifically: taking the fuel consumption rate as an evaluation index, to orthogonal Perform the range analysis on the orthogonal design results of the key technology factor column in the combined design to obtain the range value of each key technology. influence weight.7.根据权利要求1所述基于燃油经济性的发动机关键技术评估方法,其特征在于,所述通过极差分析确定关键技术的交互作用,具体为:以燃油消耗率为考核指标,对正交组合设计中交互作用因素列的正交设计结果进行极差分析,得到交互作用的极差值,代表关键技术的交互作用大小。7. The method for evaluating key technologies of an engine based on fuel economy according to claim 1, wherein the interaction of the key technologies is determined by range analysis, specifically: using the fuel consumption rate as an evaluation index, the orthogonal The range analysis is carried out on the orthogonal design results of the interaction factor column in the combined design, and the range value of the interaction is obtained, which represents the magnitude of the interaction of the key technologies.
CN201910446558.5A2019-05-272019-05-27 Evaluation method of key engine technology based on fuel economyExpired - Fee RelatedCN110276525B (en)

Priority Applications (1)

Application NumberPriority DateFiling DateTitle
CN201910446558.5ACN110276525B (en)2019-05-272019-05-27 Evaluation method of key engine technology based on fuel economy

Applications Claiming Priority (1)

Application NumberPriority DateFiling DateTitle
CN201910446558.5ACN110276525B (en)2019-05-272019-05-27 Evaluation method of key engine technology based on fuel economy

Publications (2)

Publication NumberPublication Date
CN110276525A CN110276525A (en)2019-09-24
CN110276525Btrue CN110276525B (en)2021-06-22

Family

ID=67959111

Family Applications (1)

Application NumberTitlePriority DateFiling Date
CN201910446558.5AExpired - Fee RelatedCN110276525B (en)2019-05-272019-05-27 Evaluation method of key engine technology based on fuel economy

Country Status (1)

CountryLink
CN (1)CN110276525B (en)

Families Citing this family (1)

* Cited by examiner, † Cited by third party
Publication numberPriority datePublication dateAssigneeTitle
CN110969296B (en)*2019-11-252023-11-07国网河北省电力有限公司经济技术研究院 Electric heating load forecasting method, device and terminal equipment

Family Cites Families (5)

* Cited by examiner, † Cited by third party
Publication numberPriority datePublication dateAssigneeTitle
US6360188B1 (en)*1998-10-272002-03-19Brixx LimitedTime-based modeling
CN103154475A (en)*2010-09-142013-06-12丰田自动车株式会社Vehicle travel control device
CN102416950B (en)*2011-10-312013-06-19大连理工大学Minimum equivalent fuel consumption-based hybrid electrical vehicle control method
JP2017139158A (en)*2016-02-042017-08-10パナソニックIpマネジメント株式会社Fuel battery simulation method and fuel battery simulation device
CN108647389A (en)*2018-06-122018-10-12中国北方发动机研究所(天津)A kind of determination method of control parameters of engine optimization MAP

Also Published As

Publication numberPublication date
CN110276525A (en)2019-09-24

Similar Documents

PublicationPublication DateTitle
CN112784361B (en) A surrogate model-based optimization method for the heat dissipation system of automobile engine compartment
CN104408271B (en)A kind of gasoline engine scaling method based on model
CN105209984B (en)For the method for the model for determining technological system output valve
CN114970404B (en)Engine oil consumption calculation and optimization method based on in-cylinder combustion CFD analysis
CN105736206B (en)The online test method and device of circulating fuel injection quantity under a kind of engine variable working condition
CN108762110B (en)Electric control motorcycle engine matching calibration method meeting national IV standard
CN107203832B (en)Supercharged diesel engine optimal EGR performance evaluation method based on subjective and objective weighting-multi-objective grey decision-grey correlation analysis
WO2023130998A1 (en)Method and system for improving calculation precision of turbine inlet temperature, and storage medium
CN110276525B (en) Evaluation method of key engine technology based on fuel economy
CN111931436A (en)Burner nozzle air quantity prediction method based on numerical simulation and neural network
CN107491574A (en)A kind of method and device of vehicle motor air intake duct simulation calculation
CN105512412A (en)Method for evaluating matching advantages and disadvantages of exhaust systems of supercharged engines
JP2004068729A (en) Method and system for adapting engine control parameters
CN112883653B (en)Artificial intelligence-based modeling method for real-time engine model
CN104778312A (en)Method for evaluating rationality of firing orders of V-type multi-cylinder engine
CN106548029A (en)The determination method of the regular empirical coefficient of weber burning
CN106960092B (en) An automatic calibration method for empirical parameters of Weber's combustion rule
CN114934848B (en)Fuzzy neural network modeling method for optimizing control of combustion performance of diesel engine
CN106202641A (en)Scaling method, system and the device of a kind of electromotor CFD Simulation Calculation
US8433495B2 (en)Systems and methods for determining blow-by gas species concentrations
Cordon et al.One-dimensional engine modeling and validation using Ricardo WAVE
CN112800595B (en) Detection method and system for combustion chamber processing parameters affecting emissions based on big data
CN115130246A (en) Parameterized design method for the diameter of the intake and exhaust valves of diesel engines with different degrees of strengthening
Sheridan et al.Defining a model-based calibration process for a twin-independent valve timing engine
CN114707290B (en) A decision-making method for high-efficiency and low-emission engine technical parameters

Legal Events

DateCodeTitleDescription
PB01Publication
PB01Publication
SE01Entry into force of request for substantive examination
SE01Entry into force of request for substantive examination
GR01Patent grant
GR01Patent grant
CF01Termination of patent right due to non-payment of annual fee

Granted publication date:20210622

CF01Termination of patent right due to non-payment of annual fee

[8]ページ先頭

©2009-2025 Movatter.jp