Movatterモバイル変換


[0]ホーム

URL:


CN110229159B - Deuterated derivative of ruxotinib - Google Patents

Deuterated derivative of ruxotinib
Download PDF

Info

Publication number
CN110229159B
CN110229159BCN201910481275.4ACN201910481275ACN110229159BCN 110229159 BCN110229159 BCN 110229159BCN 201910481275 ACN201910481275 ACN 201910481275ACN 110229159 BCN110229159 BCN 110229159B
Authority
CN
China
Prior art keywords
deuterium
compound
hydrogen
compounds
acid
Prior art date
Legal status (The legal status is an assumption and is not a legal conclusion. Google has not performed a legal analysis and makes no representation as to the accuracy of the status listed.)
Active
Application number
CN201910481275.4A
Other languages
Chinese (zh)
Other versions
CN110229159A (en
Inventor
I·R·西尔弗曼
J·F·刘
A·J·摩根
B·潘德雅
S·L·哈比森
Current Assignee (The listed assignees may be inaccurate. Google has not performed a legal analysis and makes no representation or warranty as to the accuracy of the list.)
Sun Pharmaceutical Industry Co ltd
Original Assignee
Concert Pharmaceuticals Inc
Priority date (The priority date is an assumption and is not a legal conclusion. Google has not performed a legal analysis and makes no representation as to the accuracy of the date listed.)
Filing date
Publication date
Application filed by Concert Pharmaceuticals IncfiledCriticalConcert Pharmaceuticals Inc
Priority to CN201910481275.4ApriorityCriticalpatent/CN110229159B/en
Publication of CN110229159ApublicationCriticalpatent/CN110229159A/en
Application grantedgrantedCritical
Publication of CN110229159BpublicationCriticalpatent/CN110229159B/en
Activelegal-statusCriticalCurrent
Anticipated expirationlegal-statusCritical

Links

Images

Classifications

Landscapes

Abstract

The invention relates to a deuterated derivative of RUXOLITINIB (RUXOLITINIB). One embodiment of the present invention provides compounds of formula a or a pharmaceutically acceptable salt thereof, pharmaceutical compositions containing the compounds, and methods of treating the indications disclosed herein.
Figure DDA0002083916150000011

Description

Deuterated derivative of ruxotinib
The application is divisional application of patent application No. 201310700192.2 with application date of 2013, 12 and 18 and the name of deuterated derivative of ruxolitinib.
Background
Many current drugs suffer from poor absorption, distribution, metabolism and/or excretion (ADME) properties, which prevent their widespread use or limit their use in certain indications. Poor ADME performance is also a major cause of candidate drug failure in clinical trials. Although formulation techniques and prodrug strategies may be useful in some cases to improve certain ADME properties, these approaches often fail to address the fundamental ADME problem that exists with many drugs and drug candidates. One such problem is rapid metabolism, which results in the removal of many drugs from the body too quickly, which should be effective in treating the disease. A possible solution for rapid drug clearance is to administer frequent or large doses to achieve sufficiently high plasma levels of the drug. However, this introduces a number of potential therapeutic problems such as poor patient compliance with dosing regimens, side effects that become more acute at higher doses, and increased cost of treatment. Rapidly metabolized drugs may also expose patients to undesirable toxic or reactive metabolites.
Another limitation of ADME affecting many drugs is the formation of toxic or biologically reactive metabolites. Thus, some patients receiving a drug may be poisoned or the safe dose of the drug may be limited so that the patient receives a suboptimal amount of the active agent. In some cases, varying the dosing interval or formulation may help reduce clinical adverse effects, but often the formation of such undesirable metabolites is inherent to the metabolism of the compound.
In certain selected cases, the metabolic inhibitor will be co-administered with a drug that clears too quickly. This is the case with protease inhibitor drugs used to treat HIV infection. The FDA (U.S. food and drug administration) recommends that these drugs be co-administered with ritonavir, an inhibitor of the cytochrome P450 enzyme 3A4 (CYP3A4), which is generally responsible for the metabolism of these drugs (see Kempf, D.J., et al, Antichronobiological agents and chemotherapy,1997, 41(3): 654-60). Ritonavir, however, causes adverse effects and exacerbates the drug burden on HIV patients who had to have taken the combination of different drugs. Similarly, to reduce the rapid CYP2D6 metabolism of dextromethorphan in treating pseudobulbar mood (pseudobulbar affect), the CYP2D6 inhibitor quinidine was added to dextromethorphan. Quinidine, however, has deleterious side effects that greatly limit its use in potential combination therapies (see Wang, L et al, Clinical Pharmacology and Therapeutics,1994, 56(6Pt1): 659-67; and the FDA label for quinidine at www.accessdata.fda.gov).
In general, combining drugs with cytochrome P450 inhibitors is not a satisfactory strategy for reducing drug clearance. Inhibition of CYP enzyme activity may affect the metabolism and clearance of other drugs metabolized by the same enzyme. CYP inhibition may cause accumulation of toxic levels of other drugs in the body.
One potentially attractive strategy to improve the metabolic performance of drugs is deuterium modification. In this approach, one attempts to slow CYP-mediated drug metabolism or reduce the formation of undesirable metabolites by replacing one or more hydrogen atoms with deuterium atoms. Deuterium is a safe, stable, non-radioactive isotope of hydrogen. Deuterium forms a stronger bond with carbon than hydrogen. In selected cases, the increased bond strength imparted by deuterium can positively affect the ADME properties of a drug, creating the potential to improve drug efficacy, safety, and/or tolerability. Also, because the size and shape of deuterium is substantially the same as the size and shape of hydrogen, replacement of hydrogen by deuterium would not be expected to affect the biochemical potency and selectivity of the drug compared to the original chemical entity containing only hydrogen.
During the past 35 years, the effect of deuterium substitution on metabolic rate was reported for a very small percentage of approved drugs (see, e.g., Blake, MI et al, J Pharm Sci,1975,64: 367-91; Foster, AB, Adv Drug Res,1985,14:1-40 ("Foster"); Kushner, DJ et al, Can J Physiol Pharmacol,1999, 79-88; Fisher, MB et al, Curr Opin Drug Discov Devel,2006,9:101-09 ("Fisher")). Many examples in these documents report the effect of local deuterium isotopes (on the metabolic rate of specific deuterated sites in the substrate) rather than the effect of deuteration on the overall metabolic stability of the drug, i.e. overall substrate consumption via metabolism. The results of those studies reported to measure the effect of deuterium substitution on overall metabolic stability are variable and unpredictable. For some compounds, deuteration causes a decrease in metabolic clearance in vivo. For other compounds, there was no metabolic change. Still other compounds exhibit increased metabolic clearance. Variability in deuterium effects also leads one to suspect or abandon deuterium modification as a viable drug design strategy to inhibit adverse metabolism (seepages 35 of Foster and 101 of Fisher).
The effect of deuterium modification on the metabolic properties of a drug is not predictable, even where deuterium atoms are incorporated into known metabolic sites. One can only determine if and how the metabolic rate differs from its non-deuterated counterpart by actually preparing and testing a deuterated drug. See, e.g., Fukuto et al (j.med.chem.,1991,34, 2871-76). Many drugs have multiple sites where metabolism can occur. The sites at which deuterium substitution is required and the degree of deuteration necessary to see the effect on metabolism, if any, will vary from drug to drug.
Ruxolitinib (Ruxolitinib) phosphate is a heteroaryl substituted pyrrolo [2,3-d ] pyrimidine, also known as 3(R) -cyclopentyl-3- [4- (7H-pyrrolo [2,3-d ] pyrimidin-4-yl) -1H-pyrazol-1-yl ] propionitrile phosphate, and (R) -3- (4- (7H-pyrrolo [2,3-d ] pyrimidin-4-yl) -1H-pyrazol-1-yl) -3-cyclopentylpropionitrile phosphate, which inhibits Janus-related kinases (JAK) JAK1 and JAK 2. These kinases mediate the signaling of a variety of cytokines and growth factors important for hematopoietic and immune function. JAK signaling involves recruitment, activation of cytokine receptors by STATs (signal transducers and activators of transcription) and subsequent localization of STATs to the nucleus, leading to modulation of gene expression.
Ruxotinib phosphate is now approved for the treatment of patients with moderate or high risk myelofibrosis, including primary myelofibrosis, myelofibrosis after polycythemia vera, and myelofibrosis after primary thrombocythemia. Ruxotinib phosphate is now also used in clinical trials for the treatment of essential thrombocythemia, pancreatic cancer, prostate cancer, breast cancer, leukemia, non-hodgkin's lymphoma, multiple myeloma and psoriasis.
Three metabolites produced in humans by hydroxylation at the 2-position of the cyclopentyl moiety, hydroxylation at the 3-position of the cyclopentyl moiety and ketones produced by further oxidation at the 3-position of the cyclopentyl moiety have been identified as active (see Shilling, A.D., et al, Drug Metabolism and Disposition,2010,38(11): 2023-.
The most common hematologic adverse reactions associated with ruxotinib administration are thrombocytopenia and anemia. The most common non-hematologic adverse reactions are bruising, dizziness and headache.
Despite the beneficial activity of ruxotinib, there is a continuing need for new compounds for the treatment of the above-mentioned diseases and conditions.
Disclosure of Invention
The present invention relates to novel heteroaryl substituted pyrrolo [2,3-d ] pyrimidines and pharmaceutically acceptable salts thereof. The invention also provides compositions comprising a compound of the invention and the use of such compositions in the treatment of diseases and conditions which are beneficially treated by the administration of inhibitors of Janus-associated kinases which are selective for subtypes 1 and 2(JAK1/JAK 2).
In particular, the invention relates to the following:
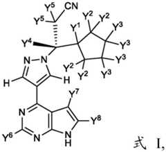
1. a compound of formula I:
Figure GDA0002150898410000041
or a pharmaceutically acceptable salt thereof, wherein:
Y6、Y7and Y8Each is hydrogen, and the compound is selected from any one of the compounds listed in the following table:
Figure GDA0002150898410000042
Figure GDA0002150898410000051
wherein any atom not designated as deuterium is present in its natural isotopic abundance.
2. A compound of formula I:
Figure GDA0002150898410000061
or a pharmaceutically acceptable salt thereof, wherein:
Y6、Y7and Y8Each is deuterium, and the compound is selected from any one of the compounds listed in the following table:
Figure GDA0002150898410000062
Figure GDA0002150898410000071
wherein any atom not designated as deuterium is present in its natural isotopic abundance.
3. A pharmaceutical composition comprising a compound of item 1 and a pharmaceutically acceptable carrier.
4. A pharmaceutical composition comprising a compound of item 2 and a pharmaceutically acceptable carrier.
5. Comprising a compound 127
Figure GDA0002150898410000072
And a pharmaceutically acceptable carrier.
6. The composition of any one of items 3-5, further comprising a therapeutic agent selected from the group consisting of lenalidomide, panobinostat, capecitabine, exemestane, and combinations thereof.
7. A method of inhibiting the activity of one or more of JAK1 or JAK2 in a cell, comprising contacting the cell with a compound of item 1 or 2, or a pharmaceutically acceptable salt thereof.
8. A method of inhibiting the activity of one or more of JAK1 or JAK2 in a cell comprising contacting the cell with compound 127
Figure GDA0002150898410000081
Or a pharmaceutically acceptable salt thereof.
9. A method of treating myelofibrosis, pancreatic cancer, prostate cancer, breast cancer, leukemia, non-hodgkin's lymphoma, multiple myeloma, psoriasis, or a combination thereof in a subject in need thereof comprising administering to the subject the pharmaceutical composition of any one of items 3-5.
10. The method of item 9, wherein the myelofibrosis is primary myelofibrosis, post-polycythemia vera myelofibrosis, post-primary thrombocythemia myelofibrosis, primary thrombocythemia or a combination thereof.
11. The method of item 9, further comprising administering to a subject in need thereof a therapeutic agent selected from the group consisting of lenalidomide, panobinostat, capecitabine, exemestane, and combinations thereof.
Drawings
Figure 1 shows the results of the metabolic stability test for the indicated compounds.
Detailed Description
Definition of
The term "treating" refers to reducing, inhibiting, reducing, eliminating, suppressing, or stabilizing the development or progression of a disease (e.g., a disease or disorder as outlined herein), reducing the severity of a disease, or ameliorating symptoms associated with a disease.
"disease" refers to any condition or disorder that impairs or interferes with the normal function of a cell, tissue or organ.
It will be appreciated that there is some variation in the abundance of natural isotopes in the synthesized compounds depending on the source of the chemical materials used in the synthesis. Thus, a preparation of ruxotinib will inherently contain a small amount of deuterated isotopologues (isotopologues). Despite this variation, the concentration of such naturally abundant stable hydrogen and carbon isotopes is low and inconsequential compared to the degree of stable isotopic substitution of the compounds of the present invention. See, e.g., Wada, E et al, Seikagaku,1994,66: 15; gannes, LZ et al, Comp Biochem Physiol Mol Integr Physiol,1998,119: 725.
In the compounds of the present invention, any atom not specifically designated as a specific isotope is meant to represent any stable isotope of that atom. Unless otherwise indicated, when a position is specifically designated as "H" or "hydrogen," the position is understood to have hydrogen in its natural abundance isotopic composition. Likewise, unless otherwise specified, when a position is specifically designated as "D" or "deuterium", that position is to be understood as deuterium having an abundance that is at least 3000 times greater than the natural abundance of deuterium (which is 0.015%) (i.e., at least 45% deuterium incorporation).
The term "isotopic enrichment factor" as used herein refers to the ratio between the isotopic abundance and the natural abundance of a particular isotope.
In other embodiments, the isotopic enrichment factor for each designated deuterium atom of the compounds of the present invention is at least 3500 (52.5% deuterium incorporation at each designated deuterium atom), at least 4000 (60% deuterium incorporation), at least 4500 (67.5% deuterium incorporation), at least 5000 (75% deuterium incorporation), at least 5500 (82.5% deuterium incorporation), at least 6000 (90% deuterium incorporation), at least 6333.3 (95% deuterium incorporation), at least 6466.7 (97% deuterium incorporation), at least 6600 (99% deuterium incorporation), or at least 6633.3 (99.5% deuterium incorporation).
The term "isotopologues" refers to substances in which the chemical structure differs from a particular compound of the invention only in its isotopic composition.
The term "compound," when referring to a compound of the invention, refers to a collection of molecules having the same chemical structure except that isotopic variations among the constituent atoms of the molecules are possible. It will therefore be clear to those skilled in the art that compounds represented by specific chemical structures containing the indicated deuterium atoms also contain a lesser amount of isotopologues having hydrogen atoms at one or more of the indicated deuterium positions of the structure. The relative amounts of such isotopologues in the compounds of the present invention will depend on a variety of factors, including the isotopic purity of the deuteration agent used to make the compound and the efficiency of deuterium incorporation during the various synthetic steps used to prepare the compound. However, as noted above, the overall relative amount of such isotopologues will be less than 49.9% of the compound. In other embodiments, the overall relative amount of such isotopologues will be less than 47.5%, less than 40%, less than 32.5%, less than 25%, less than 17.5%, less than 10%, less than 5%, less than 3%, less than 1%, or less than 0.5% of the compound.
The invention also provides salts of the compounds of the invention. Salts of the compounds of the invention are formed between an acid and a basic group (e.g., an amino functional group) of the compound or a base and an acidic group (e.g., a carboxyl functional group) of the compound. According to another embodiment, the compound is a pharmaceutically acceptable acid addition salt.
The term "pharmaceutically acceptable" as used herein, means a component that is, within the scope of sound medical judgment, suitable for use in contact with the tissues of humans and other mammals without excessive toxicity, irritation, allergic response, and the like, commensurate with a reasonable benefit/risk ratio. "pharmaceutically acceptable salt" refers to any non-toxic salt that, when administered to a recipient, is capable of providing, directly or indirectly, a compound of the invention. A "pharmaceutically acceptable counterion" is an ionic moiety of a salt that is non-toxic when administered to a recipient for release from the salt.
Acids commonly used to form pharmaceutically acceptable salts include inorganic acids such as hydrogen disulfide, hydrochloric acid, hydrobromic acid, hydroiodic acid, sulfuric acid, and phosphoric acid, and organic acids such as p-toluenesulfonic acid, salicylic acid, tartaric acid, ascorbic acid, maleic acid, benzenesulfonic acid, fumaric acid, gluconic acid, glucuronic acid, formic acid, glutamic acid, methanesulfonic acid, ethanesulfonic acid, benzenesulfonic acid, lactic acid, oxalic acid, p-bromobenzenesulfonic acid, carbonic acid, succinic acid, citric acid, benzoic acid, and acetic acid, and related inorganic and organic acids. Such pharmaceutically acceptable salts thus include sulfate, pyrosulfate, bisulfate, sulfite, bisulfite, phosphate, monohydrogenphosphate, dihydrogenphosphate, metaphosphate, pyrophosphate, chloride, bromide, iodide, acetate, propionate, decanoate, octanoate, acrylate, formate, isobutyrate, decanoate, heptanoate, propiolate, oxalate, malonate, succinate, suberate, sebacate, fumarate, maleate, butyne-1, 4-dioate, hexyne-1, 6-dioate, benzoate, chlorobenzoate, methylbenzoate, dinitrobenzoate, hydroxybenzoate, methoxybenzoate, phthalate, terephthalate, sulfonate, xylenesulfonate, phenylacetate, dihydrogenphosphate, pyrophosphate, chloride, bromide, iodide, acetate, propionate, caprylate, capric, into a non-free or non-free for example, into a non-free form, Phenylpropionates, phenylbutyrates, citrates, lactates, beta-hydroxybutyrate, glycolates, maleates, tartrates, methanesulfonates, propanesulfonates, naphthalene-1-sulfonates, naphthalene-2-sulfonates, mandelates, and other salts. In one embodiment, pharmaceutically acceptable acid addition salts include acid addition salts formed with inorganic acids such as hydrochloric acid and hydrobromic acid, and especially with organic acids such as maleic acid.
The compounds of the invention (e.g., compounds of formula I or formula a) may contain asymmetric carbon atoms due to, for example, deuterium substitution or other reasons. Thus, the compounds of the present invention may exist as a single enantiomer or as a mixture of two enantiomers. Thus, the compounds of the present invention may exist as a racemic or non-racemic mixture (scalemic mixture), or as the corresponding individual stereoisomer substantially free of another possible stereoisomer. The term "substantially free of other stereoisomers" as used herein means that less than 25% of the other stereoisomers, preferably less than 10% of the other stereoisomers, more preferably less than 5% of the other stereoisomers and most preferably less than 2% of the other stereoisomers are present. Methods of obtaining or synthesizing individual enantiomers of a given compound are known in the art and may be applied to the final compound or starting materials or intermediates as appropriate.
Unless otherwise indicated, when a disclosed compound is named or described by a structure without designated stereochemistry and has one or more chiral centers, it is understood to represent all possible stereoisomers of the compound.
The term "mammal" as used herein includes a human or non-human animal, such as a mouse, rat, guinea pig, dog, cat, horse, cow, pig, monkey, chimpanzee, baboon or macaque. In one embodiment, the mammal is a non-human animal. In another embodiment, the mammal is a human.
The term "stable compound" as used herein refers to compounds that have sufficient stability to allow their manufacture and maintain the integrity of the compound for a sufficient time to be useful for the purposes detailed herein (e.g., formulation into a therapeutic product, intermediates for use in the manufacture of a therapeutic compound, isolated or storable intermediate compound, treatment of a disease or condition responsive to a therapeutic agent).
Both "D" and "D" refer to deuterium. "stereoisomers" refers to enantiomers as well as diastereomers. Both "Tert" and "t-" refer to "tertiary". "US" refers to the United states.
"substituted with deuterium" means that one or more hydrogen atoms are replaced with the corresponding number of deuterium atoms.
Throughout this specification, a variable may be a generic reference (e.g., "each R") or may be a specific reference (e.g., R)1、R2、R3Etc.). Unless otherwise specified, when a variable is generally referred to, it is meant to include all the specific forms of that specific variable.
Therapeutic compounds
One embodiment of the present invention provides a compound of formula a:
Figure GDA0002150898410000121
or a pharmaceutically acceptable salt thereof, wherein:
Y1selected from hydrogen and deuterium;
each Y is2Independently selected from hydrogen and deuterium, provided that each Y is attached to a common carbon2Are the same;
each Y is3Independently selected from hydrogen and deuterium, provided that each Y is attached to a common carbon3Are the same;
Y4selected from hydrogen and deuterium;
each Y is5Are the same and are selected from hydrogen and deuterium; and is
Y6、Y7、Y8、Y9And Y10Each independently selected from hydrogen and deuterium;
provided that when Y is1Is hydrogen, each Y2And each Y3Is hydrogen, Y4Is hydrogen and Y6、Y7、 Y8、Y9And Y10When each is hydrogen, each Y5Is deuterium.
In one embodiment of formula A, each Y is2Are identical, each Y3Are identical and each Y is5Are the same. In one aspect of this embodiment, each Y is2Is deuterium. In a further aspect, each Y is3Is deuterium. In another further aspect, each Y is3Is hydrogen. In another aspect of this embodiment, each Y is2Is hydrogen. In a further aspect, each Y is3Is deuterium. In another further aspect, each Y is3Is hydrogen. In one embodiment of any of the preceding aspects, Y1Is deuterium. In another embodiment of any of the preceding aspects, Y1Is hydrogen. In a more particular embodiment of any of the preceding aspects, Y1Is deuterium, Y4Is deuterium, and each Y5Is deuterium. In another more particular embodiment of any of the preceding aspects, Y1Is deuterium, Y4Is deuterium, and each Y5Is hydrogen. In another more particular embodiment of any of the preceding aspects, Y1Is deuterium, Y4Is hydrogen, and each Y5Is hydrogen. In another more particular embodiment of any of the preceding aspects, Y1Is hydrogen, Y4Is hydrogen, and each Y5Is hydrogen. In another more particular embodiment of any of the preceding aspects, Y1Is hydrogen, Y4Is hydrogen, and each Y5Is deuterium. In another more particular embodiment of any of the preceding aspects, Y1Is hydrogen, Y4Is deuterium, and each Y5Is deuterium. In another more particular embodiment of any of the preceding aspects, Y1Is hydrogen, Y4Is deuterium, and each Y5Is hydrogen.
In one embodiment, Y6Is deuterium. In thatIn one aspect of this embodiment, Y7And Y8Each is deuterium. In another aspect of this embodiment, Y7And Y8Each is hydrogen.
In one embodiment, Y6Is hydrogen. In one aspect of this embodiment, Y7And Y8Each is deuterium. In another aspect of this embodiment, Y7And Y8Each is hydrogen.
One embodiment of the present invention provides a compound of formula I:
Figure GDA0002150898410000131
or a pharmaceutically acceptable salt thereof, wherein:
Y1selected from hydrogen and deuterium;
each Y is2Independently selected from hydrogen and deuterium, provided that each Y is attached to a common carbon2Are the same;
each Y is3Independently selected from hydrogen and deuterium, provided that each Y is attached to a common carbon3Are the same;
Y4selected from hydrogen and deuterium;
each Y is5Are the same and are selected from hydrogen and deuterium; and is
Y6、Y7And Y8Each independently selected from hydrogen and deuterium; provided that when Y is1Is hydrogen, each Y2And each Y3Is hydrogen, Y4Is hydrogen and Y6、Y7And Y8When each is hydrogen, each Y5Is deuterium.
In one embodiment, each Y is2Are identical, each Y3Are identical and each Y is5Are the same. In one aspect of this embodiment, each Y is2Is deuterium. In a further aspect, each Y is3Is deuterium. In another further aspect, each Y is3Is hydrogen. In another aspect of this embodiment, each Y is2Is hydrogen. In a further aspect, eachA Y3Is deuterium. In another further aspect, each Y is3Is hydrogen. In one embodiment of any of the preceding aspects, Y1Is deuterium. In another embodiment of any of the preceding aspects, Y1Is hydrogen. In a more particular embodiment of any of the preceding aspects, Y1Is deuterium, Y4Is deuterium, and each Y5Is deuterium. In another more particular embodiment of any of the preceding aspects, Y1Is deuterium, Y4Is deuterium, and each Y5Is hydrogen. In another more particular embodiment of any of the preceding aspects, Y1Is deuterium, Y4Is hydrogen, and each Y5Is hydrogen. In another more particular embodiment of any of the preceding aspects, Y1Is hydrogen, Y4Is hydrogen, and each Y5Is hydrogen. In another more particular embodiment of any of the preceding aspects, Y1Is hydrogen, Y4Is hydrogen, and each Y5Is deuterium. In another more particular embodiment of any of the preceding aspects, Y1Is hydrogen, Y4Is deuterium, and each Y5Is deuterium. In another more particular embodiment of any of the preceding aspects, Y1Is hydrogen, Y4Is deuterium, and each Y5Is hydrogen.
In one embodiment, Y6Is deuterium. In one aspect of this embodiment, Y7And Y8Each is deuterium. In another aspect of this embodiment, Y7And Y8Each is hydrogen.
In one embodiment, Y6Is hydrogen. In one aspect of this embodiment, Y7And Y8Each is deuterium. In another aspect of this embodiment, Y7And Y8Each is hydrogen.
In one embodiment, the compound is a compound of formula I, wherein Y is6、Y7And Y8Each is hydrogen, and the compound is selected from any one of the compounds (Cmpd) listed in table 1 (below):
TABLE 1 exemplary embodiments of formula I
Figure GDA0002150898410000141
Figure GDA0002150898410000151
Figure GDA0002150898410000161
Or a pharmaceutically acceptable salt thereof, wherein any atom not designated as deuterium is present at its natural isotopic abundance.
In one embodiment, the compound is a compound of formula I, wherein Y is6、Y7And Y8Each is deuterium, and the compound is selected from any one of the compounds (Cmpd) listed in table 2 (below):
TABLE 2 exemplary embodiments of formula I
Figure GDA0002150898410000162
Figure GDA0002150898410000171
Or a pharmaceutically acceptable salt thereof, wherein any atom not designated as deuterium is present at its natural isotopic abundance.
In another set of embodiments, any atom not designated as deuterium in any of the above embodiments is present in its natural isotopic abundance.
The following compounds may be used to prepare the various compounds of the present invention:
Figure GDA0002150898410000172
Figure GDA0002150898410000181
and
Figure GDA0002150898410000182
or a salt thereof, wherein any atom not designated as deuterium is present at its natural isotopic abundance.
The synthesis of compounds of formula I or formula a can be readily accomplished by a general skilled synthetic chemist with reference to the exemplary syntheses and examples disclosed herein. Related methods analogous to those used to prepare compounds of formula I and intermediates thereof are disclosed, for example, in U.S. Pat. No. 7,598,257 and Organic Letters,2009,11(9): 1999-2009.
Such methods can be performed using corresponding deuterated and optionally other isotopically-containing reagents and/or intermediates for the synthesis of compounds described herein or by applying standard synthetic protocols known in the art for introducing isotopic atoms into chemical structures.
Exemplary Synthesis
The compounds of formula I or formula A may be prepared by synthesis analogous to those shown in U.S. Pat. No. 7,598,257 and Organic Letters,2009,11(9):1999-2009 using suitable deuterated starting materials.
The compounds of formula I or formula a may also be prepared by the schemes shown below.
Scheme 1: preparation of Compounds of formula I
Figure GDA0002150898410000183
Figure GDA0002150898410000191
Scheme 1 discloses an exemplary preparation of compounds of formula I, wherein Y1Each Y2And each Y3Is deuterium, and Y4Each Y5、Y6、Y7And Y8Is hydrogen. Commercially available 4-chloro in a similar manner to that described in WO 2010/083283-7H-pyrrolo [2,3-d]Pyrimidine 11(Aldrich) was treated with sodium hydride and SEM chloride to give 12, which was reacted with commercially available 13 to give 14. In place of 11, 4-bromo-7H-pyrrolo [2,3-d]Pyrimidines may also be used in the first step to provide SEM protected 4-bromo-7H-pyrrolo [2,3-d]Pyrimidine (analogous to 12), which can be reacted with 13 to give 14. The reaction of 14 with 15 prepared as disclosed in scheme 2a below was carried out in a similar manner as described in Lin, q, et al org.lett.2009,11,1999 to give 16. The reaction is carried out in the presence of a prepared chiral ligand 27 as described in Lin, Q, etc. 16 by reaction with NH4OH and I2Processed to convert to 17. 17 SEM protecting group followed by LiBF4And NH4OH is deprotected to give a compound of formula I.
Scheme 2 a: preparation ofCompound 15
Figure GDA0002150898410000201
As shown in scheme 2a, commercially available 18-substitutedphosphonium ylides 20 and DCl/D2O treatment to give 19, which was treated with 20 and DiBAL-H to give 15.
Scheme 2 b: preparation of Compound 23
Figure GDA0002150898410000202
Scheme 2 c: preparation of Compound 26
Figure GDA0002150898410000203
Compounds similar to 15 can also be prepared. For example, as shown in scheme 2b, commercially available 21 can be converted to 23 in a similar manner as disclosed in scheme 2 a. As another example, as shown in scheme 2c, commercially available 24 can be converted to 26 in a similar manner as disclosed in scheme 2a and scheme 2 b. 23 can be converted to compounds of formula I, wherein Y is1And each Y3Is deuterium, and Y4Each Y2Each Y5、Y6、 Y7And Y8Is hydrogen. Likewise, 26 can be converted to compounds of formula I, wherein Y is Y, in a similar manner as disclosed in scheme 11And each Y2Is deuterium, and Y4Each Y3Each Y5、Y6、Y7And Y8Is hydrogen.
The particular pathways and compounds shown above are not intended to be limiting. Whether by the same variable name (i.e., R)1、R2、R3Etc.), the chemical structures in the illustrations herein depict the variables appropriately defined herein with respect to the chemical group definitions (moiety, atom, etc.) of the corresponding positions in the formulae of the compounds herein. The suitability of a chemical group in the structure of a compound for use in the synthesis of another compound is within the knowledge of one of ordinary skill in the art.
Other methods of synthesizing compounds of formula I or formula a and their synthetic precursors, including those in pathways not explicitly shown in the illustrations herein, are within the skill of the chemist in the art. Synthetic chemical transformations and protecting group methods (protection and deprotection) useful for the synthesis of applicable compounds are known in the art and include, for example, those described in the following references: larock R, Comprehensive Organic Transformations, VCH Publishers (1989); greene, TW et al, Protective Groups in Organic Synthesis,3rdEd, John Wiley and Sons (1999); fieser, L et al, Fieser and Fieser's Reagents for Organic Synthesis, John Wiley and Sons (1994); and Paquette, L, Encyclopedia of Reagents for Organic Synthesis, John Wiley and Sons (1995) and its successors.
Combinations of substituents and variables contemplated by the present invention are only those combinations that result in the formation of stable compounds.
Composition comprising a metal oxide and a metal oxide
The present invention also provides pyrogen-free pharmaceutical compositions comprising an effective amount of a compound of formula I or formula a (e.g., including any of the formulae described herein), or a pharmaceutically acceptable salt of the compound, and a pharmaceutically acceptable carrier. The carrier is "acceptable" in the sense of being compatible with the other ingredients of the formulation and, in the case of a pharmaceutically acceptable carrier, not being deleterious to the recipient thereof in the amounts employed in the medicament.
Pharmaceutically acceptable carriers, adjuvants and vehicles that may be used in the pharmaceutical compositions of the present invention include, but are not limited to: ion exchangers, aluminum oxide, aluminum stearate, lecithin, serum proteins, such as human serum albumin, buffer substances, such as phosphates, glycine, sorbic acid, potassium sorbate, partial glyceride mixtures of saturated vegetable fatty acids, water, salts or electrolytes, such as protamine sulfate, disodium hydrogen phosphate, potassium hydrogen phosphate, sodium chloride, zinc salts, colloidal silica, magnesium trisilicate, polyvinyl pyrrolidone, cellulose-based substances, polyethylene glycol, sodium carboxymethylcellulose, polyacrylates, waxes, polyethylene-polyoxypropylene-block copolymers, polyethylene glycol and wool fat.
If desired, the solubility and bioavailability of the compounds of the invention in the pharmaceutical compositions can be improved by methods well known in the art. One method involves the use of a lipid excipient in the formulation. See "Oral Lipid-Based Formulations of the Bioavailability of Poorly Water-Soluble Drugs (Drugs and the Pharmaceutical Sciences)" Main edition David J.Hauss, Informational Healthcare, 2007; and "roll of Lipid Excipients in Modifying Oral and fractional Drug Delivery: Basic Principles and Biological samples" Kishor M. Wasan eds., Wiley-Interscience, 2006.
Another known method of improving bioavailability is to use the compounds of the present invention in amorphous form, optionally formulated with poloxamers (e.g., LUTROL and PLURONICTM) (BASF corporation), or ethylene oxide and propylene oxide block copolymers. See U.S. patent 7,014,866 and U.S. patent publications 20060094744 and 20060079502.
The pharmaceutical compositions of the present invention include those suitable for oral, rectal, nasal, topical (including buccal and sublingual), vaginal or parenteral (including subcutaneous, intramuscular, intravenous and intradermal) administration. In certain embodiments, a compound of the formulae herein is administered transdermally (e.g., using a transdermal patch or iontophoresis technique). Other formulations may be conveniently presented in unit dosage form, for example, as tablets, sustained release capsules, and in liposomes, and may be prepared by any of the methods well known in the art of pharmacy. See, for example, Remington, The Science and Practice of Pharmacy, Lippincott Williams & Wilkins, Baltimore, MD (20 th edition, 2000).
Such a method of preparation comprises the step of bringing into association the molecule to be administered with the ingredient(s) that constitute the adjunct ingredient(s), e.g. carrier(s). In general, the compositions are prepared by uniformly and intimately bringing into association the active ingredient with liquid carriers, liposomes or finely divided solid carriers or both, and then, if necessary, shaping the product.
In certain embodiments, the compound is administered orally. Compositions of the invention suitable for oral administration may be presented in discrete units such as capsules, cachets or tablets each containing a predetermined amount of the active ingredient; a powder or granules; solutions or suspensions in aqueous or non-aqueous liquids; an oil-in-water liquid emulsion; a water-in-oil type liquid emulsion; filling liposome; or as a bolus, etc. Soft gelatin capsules may be used to contain such suspensions, which may advantageously enhance the absorption rate of the compound.
In the case of tablets for oral use, carriers which are commonly used include lactose and corn starch. Lubricating agents such as magnesium stearate are also commonly added. For oral administration in capsule form, useful diluents include lactose and dried corn starch. When aqueous suspensions are administered orally, the active ingredient is combined with emulsifying and suspending agents. If desired, certain sweetening and/or flavoring and/or coloring agents may be added.
Compositions suitable for oral administration include lozenges comprising the ingredients in a flavoured base, usually sucrose and acacia or tragacanth, and pastilles comprising the active ingredient in an inert base such as gelatin and glycerol or sucrose and acacia.
Compositions suitable for parenteral administration include aqueous and non-aqueous sterile injection solutions which may contain anti-oxidants, buffers, bacteriostats and solutes which render the formulation isotonic with the blood of the intended recipient; and aqueous and non-aqueous sterile suspensions, which may include suspending agents and thickening agents. The formulations may be presented in unit-dose or multi-dose containers, for example sealed ampoules and vials, and may be stored in a freeze-dried (lyophilized) condition requiring only the addition of the sterile liquid carrier, for example water for injections, immediately prior to use. Extemporaneous injection solutions and suspensions may be prepared from sterile powders, granules, and tablets.
Such injection solutions may be in the form of sterile aqueous or oily injection suspensions. Such suspensions may be formulated according to techniques known in the art using suitable dispersing or wetting agents (e.g., tween 80) and suspending agents. The sterile injectable preparation may also be a sterile injectable solution or suspension in a parenterally-acceptable non-toxic diluent or solvent, for example as a solution in 1, 3-butanediol. Acceptable vehicles and solvents that may be used include mannitol, water, ringer's solution and isotonic sodium chloride solution. In addition, sterile, fixed oils are conventionally employed as a solvent or suspending medium. For this purpose, any bland fixed oil may be employed including synthetic mono-or diglycerides. Fatty acids, such as oleic acid and its glyceride derivatives are useful in the preparation of injectables, as well as the natural pharmaceutically-acceptable oils, such as olive oil or castor oil, especially in their polyoxyethylated versions. These oil solutions or suspensions may also contain a long chain alcohol diluent or dispersant.
The pharmaceutical compositions of the present invention may be administered in the form of suppositories for rectal administration of the drug. These compositions can be prepared by mixing the compounds of the present invention with a suitable non-irritating excipient which is solid at room temperature but liquid at the rectal temperature and therefore will melt in the rectum to release the active components. Such materials include, but are not limited to, cocoa butter, beeswax and polyethylene glycols.
The pharmaceutical compositions of the present invention may be administered by nasal aerosol or inhalation. Such compositions are prepared according to techniques well known in the art of pharmaceutical formulation and may be prepared as solutions in saline using benzyl alcohol or other suitable preservatives, absorption promoters to enhance bioavailability, fluorocarbons and/or other solubilizing or dispersing agents known in the art. See, for example, Rabinowitz JD and Zaffaroni AC, U.S. Pat. No. 6,803,031, assigned to Alexza Molecular Delivery Corporation.
Topical administration of the pharmaceutical compositions of the present invention is particularly useful when the desired treatment involves topical application of an accessible area or organ. For topical application to the skin, the pharmaceutical composition should be formulated with a suitable ointment containing the active ingredient suspended or dissolved in a carrier. Carriers for topical administration of the compounds of the present invention include, but are not limited to: mineral oil, liquid petrolatum, white petrolatum, propylene glycol, polyoxyethylene-polyoxypropylene compound, emulsifying wax and water. Alternatively, the pharmaceutical compositions may be formulated in a lotion or cream containing the active compound suspended or dissolved in a carrier. Suitable carriers include, but are not limited to: mineral oil, sorbitan monostearate, polysorbate 60, cetyl esters wax, cetostearyl alcohol, 2-octyldodecanol, benzyl alcohol and water. The pharmaceutical compositions of the present invention may also be applied topically to the lower intestinal tract by rectal suppository formulation or in a suitable enema formulation. The invention also includes topical transdermal patches and iontophoretic administration.
The application of the present therapeutic agent may be topical, for administration at the site of interest. The present compositions can be provided at the site of interest using a variety of techniques, such as injection, use of a catheter, trocar, projectile, pluronic gel, stent, sustained drug release polymer, or other means for providing access to the interior.
Thus, according to yet another embodiment, the compounds of the present invention may be added to compositions for coating implantable medical devices, such as prostheses, prosthetic valves, vascular grafts, stents or catheters. Suitable coatings and general preparation of coated implantable devices are known in the art and described in U.S. patent 6,099,562; 5,886,026 and 5,304,121. The coating is typically a biocompatible polymeric material such as hydrogel polymers, polymethyldisiloxane, polycaprolactone, polyethylene glycol, polylactic acid, ethylene vinyl acetate and mixtures thereof. The coating may optionally be further covered by an outer coating of a suitable fluorosilicone, polysaccharide, polyethylene glycol, phospholipid or combinations thereof to impart controlled release characteristics to the composition. Coatings for invasive devices are included within the definition of a pharmaceutically acceptable carrier, adjuvant or vehicle, as those terms are used herein.
According to another embodiment, the present invention provides a method of coating an implantable medical device comprising the step of contacting the device with the coating composition described above. It will be apparent to those skilled in the art that the coating of the device occurs prior to implantation in a mammal.
According to another embodiment, the present invention provides a method of impregnating an implantable drug delivery device comprising the step of contacting the drug delivery device with a compound or composition of the present invention. Implantable drug delivery devices include, but are not limited to, biodegradable polymer capsules or pellets, non-degradable diffusible polymer capsules and biodegradable polymer sheets.
According to another embodiment, the present invention provides an implantable medical device coated with a compound of the present invention or a composition containing a compound of the present invention, such that the compound is therapeutically active.
According to another embodiment, the present invention provides an implantable drug delivery device impregnated with or containing a compound of the present invention or a composition comprising a compound of the present invention, such that the compound is released from the device and is therapeutically active.
When an organ or tissue is accessible for removal from a patient, such organ or tissue may be bathed in a medium containing the composition of the present invention, the composition of the present invention may be coated on the organ or the composition of the present invention may be applied in any other convenient manner.
In another embodiment, the compositions of the present invention further comprise a second therapeutic agent. The second therapeutic agent may be selected from any compound or therapeutic agent known to have or exhibit advantageous properties when administered with a compound having the same mechanism of action as ruxotinib. These agents include those shown to be useful in combination with ruxotinib.
Preferably, the second therapeutic agent is an agent useful for treating or preventing a disease or condition selected from the group consisting of: myelofibrosis (including primary myelofibrosis, polycythemia vera, myelofibrosis after polycythemia vera, chronic idiopathic myelofibrosis, myelofibrosis after primary thrombocythemia, and primary thrombocythemia), pancreatic cancer, prostate cancer, breast cancer, leukemia, non-hodgkin's lymphoma, multiple myeloma, psoriasis, and alopecia areata.
In one embodiment, the second therapeutic agent is selected from the group consisting of lenalidomide, panobinostat, capecitabine, exemestane, and combinations thereof.
In another embodiment, the present invention provides separate dosage forms of a compound of the present invention and one or more of any of the second therapeutic agents described above, wherein the compound and the second therapeutic agent are associated with each other. The term "associated with each other" as used herein means that the individual dosage forms are packaged together or otherwise connected to each other so that it is readily understood that the individual dosage forms are intended to be sold and administered together (either sequentially or simultaneously within less than 24 hours of each other).
In the pharmaceutical compositions of the present invention, the compounds of the present invention are present in an effective amount. As used herein, the term "effective amount" refers to an amount sufficient to treat (therapeutically or prophylactically) a target condition when administered in a proper dosing regimen.
The interrelationship of the doses (based on milligrams per square meter of body surface area) for animals and humans is described in Freiich et al, (1966) Cancer Chemother. Rep50: 219. The body surface area can be approximately determined from the height and weight of the patient. See, for example, Scientific Tables, Geigy Pharmaceuticals, Ardsley, n.y.,1970,537.
In one embodiment, an effective amount of a compound of the invention may range from 1mg to 500mg, such as 5mg to 100mg, such as 5mg to 50 mg. Examples of ranges are from 40mg to 50mg, from 25mg to 40mg, from 25mg to 50mg, from 20mg to 40mg, from 20mg to 50mg, from 10mg to 25mg, from 10mg to 20mg, from 5mg to 25mg, from 5mg to 20mg, and from 5mg to 10 mg. In one embodiment, doses of 10mg, 20mg, 40mg, and 50mg are administered once daily. In one embodiment, doses of 5mg, 10mg, 20mg, 40mg, and 50mg are administered twice daily.
As will be recognized by those skilled in the art, effective dosages will also vary depending upon the condition being treated, the severity of the condition, the route of administration, the sex, age and general health of the subject, the use of excipients, the possibility of co-use with other therapeutic treatments, e.g., the use of other agents, and the judgment of the attending physician. For example, guidance for selecting an effective dose can be determined by reference to the prescribed information for ruxotinib.
For pharmaceutical compositions comprising a second therapeutic agent, the effective amount of the second therapeutic agent is about 20% to 100% of the dose typically used for monotherapy using only that agent. Preferably, the effective amount is about 70% to 100% of the normal monotherapy dose. Normal monotherapy dosages of these second therapeutic agents are well known to those skilled in the art, see, e.g., Wells et al, pharmacopoeia Handbook, 2 nd edition, Appleton and Lange, Stamford, Conn. (2000); PDR Pharmacopoeia, Tarascon Pocket Pharmacopoeia 2000, Deluxe Edition, Tarascon Publishing, Loma Linda, Calif. (2000), each of which is incorporated herein by reference in its entirety.
It is expected that some of the second therapeutic agents mentioned above will act synergistically with the compounds of the present invention. When this occurs, it will allow the effective dose of the second therapeutic agent and/or the compound of the invention to be reduced relative to the dose required for monotherapy. This has the advantage of minimizing toxic side effects of the second therapeutic agent or compound of the invention, synergistic improvements in efficacy, improved ease of administration or use, and/or reduced overall cost of compound preparation or formulation.
Method of treatment
In another embodiment, the invention provides a method of inhibiting one or more of Janus-associated kinases (JAK) 1 and JAK2 in a cell, comprising contacting the cell with one or more compounds of formula I or formula a herein or a pharmaceutically acceptable salt thereof.
According to another embodiment, the present invention provides a method of treating a disease beneficially treated with ruxotinib in a subject in need thereof, comprising the step of administering to the subject an effective amount of a compound or composition of the present invention. In one embodiment, the subject is a patient in need of such treatment. Such diseases are well known in the art and are disclosed in (but not limited to) the following patents: us patent 7,598,257. Such diseases include, but are not limited to, diseases involving the immune system, including, for example, organ transplant rejection (e.g., allograft rejection and graft-versus-host disease); autoimmune diseases such as multiple sclerosis, rheumatoid arthritis, juvenile arthritis, type I diabetes, lupus, psoriasis, inflammatory bowel disease, ulcerative colitis, Crohn's disease, myasthenia gravis, immunoglobulin nephropathies, autoimmune thyroid disease; allergic disorders such as asthma, food allergy, allergic dermatitis and rhinitis; viral diseases such as Epstein-Barr virus (EBV), hepatitis B, hepatitis C, HIV, HTLV1, varicella-zoster virus (VZV) and Human Papilloma Virus (HPV); skin diseases such as psoriasis (e.g., psoriasis vulgaris), allergic dermatitis, rashes, skin irritation, skin sensitization response (e.g., contact dermatitis or allergic contact dermatitis); cancers, including those characterized by solid tumors (e.g., prostate cancer, kidney cancer, liver cancer, pancreatic cancer, stomach cancer, breast cancer, lung cancer, cancers of the head and neck, thyroid cancer, glioblastoma, Kaposi's sarcoma, Karlmann's disease, melanoma), hematologic cancers (e.g., lymphoma, leukemias such as acute lymphocytic leukemia or multiple myeloma) and skin cancers such as cutaneous T-cell lymphoma (CTCL) and cutaneous B-cell lymphoma (examples of which include Sezary syndrome and mycosis fungoides; myeloproliferative diseases (MPD) such as Polycythemia Vera (PV), Essential Thrombocythemia (ET), Myeloid Metaplastic Myelofibrosis (MMM), chronic myelomonocytic leukemia (CMML), eosinophilic syndrome (HES), Systemic Mastocytosis (SMCD); and inflammatory diseases such as ocular inflammatory diseases (e.g., iritis, melanoma, and melanoma), Uveitis, scleritis, conjunctivitis or related diseases), inflammatory diseases of the respiratory tract (e.g., inflammatory diseases of the upper respiratory tract including the nose, sinuses, such as rhinitis or sinusitis, or inflammatory diseases of the lower respiratory tract including bronchitis, chronic obstructive pulmonary disease, etc.), inflammatory myopathies such as myocarditis; systemic Inflammatory Response Syndrome (SIRS) and septic shock; ischemia reperfusion injury or a disease or condition associated with an inflammatory ischemic event such as stroke or cardiac arrest; anorexia; cachexia; fatigue such as fatigue caused by or associated with cancer; restenosis; dermatitis sclerosus (sclerodermitis); fiberizing; conditions associated with hypoxia or astrocytosis, such as diabetic retinopathy, cancer or neurodegenerative diseases; gout; enlargement of the prostate due to, for example, benign prostatic hypertrophy or benign prostatic hyperplasia.
In a particular embodiment, the methods of the invention are used to treat a disease selected from myelofibrosis, including primary myelofibrosis, post-polycythemia vera myelofibrosis, post-primary thrombocythemia myelofibrosis, primary thrombocythemia or a combination thereof; pancreatic cancer; prostate cancer; breast cancer; leukemia; non-hodgkin lymphoma; multiple myeloma; psoriasis and combinations thereof.
In another particular embodiment, the methods of the invention are used to treat a disease or condition selected from myelofibrosis, including primary myelofibrosis, post-polycythemia vera myelofibrosis, and post-essential thrombocythemia myelofibrosis, in a subject in need thereof.
Identification of a subject in need of such treatment can be made at the discretion of the subject or a health care professional, and can be subjective (e.g., opinion) or objective (measurable by testing or diagnostic methods).
In another embodiment, any of the above methods of treatment comprise the further step of co-administering to a subject in need thereof one or more second therapeutic agents. The second therapeutic agent may be selected from any known second therapeutic agent useful for co-administration with ruxotinib. The choice of the second therapeutic agent also depends on the particular disease or condition to be treated. Examples of second therapeutic agents that may be employed in the methods of the present invention are those described above for use in combination in compositions comprising a compound of the present invention and a second therapeutic agent.
In particular, the combination therapies of the invention comprise co-administering to a subject in need thereof a compound of formula I or formula a and a second therapeutic agent to treat the following conditions (the particular second therapeutic agent is shown in parentheses following the indication): myelofibrosis (lenalidomide or panobinostat); pancreatic cancer (capecitabine) and breast cancer (exemestane).
The term "co-administration" as used herein means that the second therapeutic agent can be administered with the compound of the present invention as part of a single dosage form (e.g., a composition of the present invention containing the compound of the present invention and the second therapeutic agent described above) or as separate multiple dosage forms. Alternatively, the other agent may be administered prior to, concurrently with, or after administration of the compound of the invention. In the treatment of such combination therapy, both the compound of the invention and the second therapeutic agent are administered by conventional methods. Administration of a composition of the invention comprising a compound of the invention and a second therapeutic agent to a patient does not preclude separate administration of the same therapeutic agent, any other second therapeutic agent, or any compound of the invention at another time during the course of treatment.
Effective amounts of these second therapeutic agents are well known to those skilled in the art, and the directions for administration can be found in the patents and published patent applications mentioned herein, as well as in Wells et al, pharmacophery Handbook, 2 nd edition, Appleton and Lange, Stamford, Conn. (2000); PDR Pharmacopoeia, Tarascon Pocket Pharmacopoeia 2000, Delluxe Edition, Tarascon Publishing, Loma Linda, Calif. (2000) and other medical articles. However, the optimal effective amount range for the second therapeutic agent can be readily determined by one skilled in the art.
In embodiments of the invention in which a second therapeutic agent is administered to the subject, the effective amount of a compound of the invention is less than its effective amount in the absence of administration of the second therapeutic agent. In another embodiment, the effective amount of the second therapeutic agent is less than its effective amount in the absence of administration of a compound of the present invention. In this way, undesirable side effects associated with high doses of either agent can be minimized. Other possible advantages, including but not limited to improved dosing regimens and/or reduced drug costs, will be apparent to those skilled in the art.
In yet another aspect, the present invention provides the use of a compound of formula I or formula a, alone or with one or more of the above-described second therapeutic agents, in the manufacture of a medicament for use as a single composition or separate dosage form in the treatment or prevention of a disease, disorder or condition as described above in a subject. Another aspect of the invention is a compound of formula I or formula a for use in treating or preventing a disease, disorder or condition described herein in a subject.
Examples
Example 1 (R) -3- (4- (7H-pyrrolo [2, 3-d)]Pyrimidin-4-yl) -1H-pyrazol-1-yl) -3- (2,2,5,5-d4-cyclopentyl) propionitrile (compound 107).
Scheme 3. preparation of Compound 107
Figure GDA0002150898410000301
Figure GDA0002150898410000311
4Step 1.2,2,5, 5-d-cyclopentane-1, 1-dicarboxylic acid diethyl ester (32). To a solution of diethyl malonate (6.57mL,43.3mmol) in ethanol (40mL) was added a 21 wt% solution of sodium ethoxide in ethanol (32.3mL,86.6mmol) followed by 1,1,4, 4-tetradeuterium-1, 4-dibromobutane (31,5.53mL,45.5mmol, CDN Isotopes,98 atomic% deuterium). The resulting solution was stirred at reflux for 2 hours, then cooled to room temperature and diluted with excess water. Most of the ethanol was then removed by distillation and the resulting aqueous solution was extracted with ethyl acetate (3 × 75 mL). The organic layers were combined, washed with brine and dried (Na)2SO4) Filtering and concentrating under reduced pressureThis was condensed to give 32 as a yellow oil which was passed on to the next step without purification (9.45g, 100%).
4Step 2.2,2,5, 5-d-cyclopentane-1-carboxylic acid (33). To a solution of 32(9.45g,43.3mmol) in ethanol (20mL) was added a 5M solution of sodium hydroxide (20 mL). Additional water (15mL) was then added and the reaction was stirred at reflux for 3 hours. After cooling to room temperature, the reaction was diluted with excess water and the majority of ethanol was removed by distillation. The aqueous solution was made acidic (pH) with 1N hydrochloric acid<2) Followed by extraction with diethyl ether (3 × 50 mL). The organic layers were combined and dried (Na)2SO4) Filtered and concentrated under reduced pressure. The resulting light orange solid was transferred to a pressure resistant flask and water (140mL) was added. The pressure-resistant flask was sealed, and the reaction was stirred at 160 ℃ for 15 hours and then cooled to room temperature. The reaction was diluted with 1N hydrochloric acid and extracted with diethyl ether (3 × 50 mL). The organic layers were combined and dried (Na)2SO4) Filtered and concentrated under reduced pressure to give 33(4.37g, 86%) as an amber oil, which was used without purification.
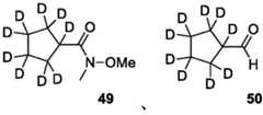
4Step 3.2,2,5, 5-d-N-methoxy-N-methylcyclopentanamide (34). To a solution of 33(4.37g,37.0mmol) in acetonitrile (60mL) at 0 deg.C was added N, O-dimethylhydroxylamine hydrochloride (4.33g,44.4mmol), TBTU (12.5g,38.9mmol) and N, N-diisopropylethylamine (19.0mL,111 mmol). The reaction was stirred at room temperature for 15 hours, then diluted with 1N hydrochloric acid and extracted with ethyl acetate (3 × 50 mL). The organic phases were combined and washed with saturated NaHCO3Washed and dried (Na)2SO4) Filtered and concentrated under reduced pressure. The product obtained is subjected to column chromatography (SiO)20-50% ethyl acetate/hexanes) to give 34 as a clear oil (2.22g, 37%). MS (ESI)162.3[ (M + H)+]。
4Step 4.2,2,5, 5-d-cyclopentane-1-carbaldehyde (35). To a solution of 34(2.22g,13.8 mmol) in THF (50mL) at 0 deg.C was added 1M LiAlH dropwise4Of THF (24.8mL, 24.8 mmol). The reaction was stirred at 0 ℃ for 1 hour, then quenched by the sequential dropwise addition of water (940. mu.L), 15% NaOH (940. mu.L), and water (2.82 mL). The quenched reaction was stirred at room temperature for 30 minutes and then passed
Figure GDA0002150898410000321
Filtered and concentrated under reduced pressure. The resulting oil was diluted with 1N hydrochloric acid and extracted with diethyl ether (3 × 50 mL). The organic layers were combined and dried (Na)2SO4) Filtered and concentrated under reduced pressure to give 35(850mg, 60%) as a clear oil, which was used without purification.
4Step 5.3- (2,2,5, 5-d-cyclopentyl) acrylonitrile (36). To a 1M solution of potassium tert-butoxide in THF (8.74mL,8.74mmol) at 0 deg.C was added dropwise a solution of diethyl cyanomethylphosphonate (1.48mL,9.15mmol) in THF (12 mL). The reaction was warmed to room temperature, stirred for 15 minutes, and cooled to 0 ℃. Aldehyde 35(850mg,8.32mmol) was added dropwise as a solution in THF (3 mL). The reaction was stirred at room temperature for 48 hours, then diluted with excess water and extracted with diethyl ether (1 × 50mL) and ethyl acetate (3 × 50 mL). The organic layers were combined and dried (Na)2SO4) Filtered and concentrated under reduced pressure to give 36 as a light orange oil (1.17g,>100%) which was used without purification.
4Step 6.(+/-) - (4- (1- (2-cyano-1- (2,2,5, 5-d-cyclopentyl) ethyl) -1H-pyrazol-4-yl) -7H-pyrrolo [2,3-d]Pyrimidin-7-yl) methyl pivalate ((+/-)38). To a solution of 37(400 mg,1.34mmol, prepared as described in Lin, Q. et al org.Lett.,2009,11, 1999-2002) in acetonitrile (10mL) was added 36(418mg,3.34mmol) followed by DBU (421. mu.L, 2.81 mmol). The reaction was stirred at room temperature for 15 hours and then concentrated under reduced pressure. The resulting crude mixture was diluted with water and extracted with ethyl acetate (3 × 50 mL). The organic layers were combined, washed with 1N hydrochloric acid and dried (Na)2SO4) Filtered and concentrated under reduced pressure. Using first normal phase column chromatography (SiO)20-60% ethyl acetate/hexanes) and then purified by reverse-phase chromatography (C18, 5-70% acetonitrile/water with 0.1% formic acid) to give (+/-)38 as a white foam (68mg, 12%). 1H NMR (DMSO-d)6,400MHz)8.84(s,1H),8.79(s,1H),8.40(s, 1H),7.74(d,J=3.8Hz,1H),7.12(d,J=3.8Hz,1H),6.24(s,2H),4.54 (td,J=9.7,4.3Hz,1H),3.30-3.15(m,2H),2.39(d,J=9.8Hz,1H), 1.68–1.36(m,4H),1.08(s,9H);MS(ESI)425.3[(M+H)+].
Step 7.(R) - (4- (1- (2-cyano-1- (2,2,5, 5-tetradeuterated cyclopentyl) ethyl) -1H-pyrazol-4-yl) -7H-pyrrolo [2,3-d]Pyrimidin-7-yl) methyl pivalate ((R) -38). Racemic compound (+/-)38(62mg) was dissolved in acetonitrile at a concentration of 30mg/mL and chiral resolution was performed by preparative HPLC using an isocratic method on a Daicel ChiralPak AD column (20x 250mm,10 μm) with 500 μ L of (+/-)38 solution per injection: 30% isopropanol (+ 0.1% diethylamine)/70% hexane (+ 0.1% diethylamine) at a flow rate of 17 mL/min. In these cases, baseline separation was achieved with (S) -38 eluting at 15.0 minutes and (R) -38 eluting at 20.2 minutes.
The fractions containing the respective enantiomers were combined and concentrated to give 28mg of (S) -38 as a colorless film and 29mg of (R) -38 as a colorless film.
Step 8.(R) -3- (4- (7H-pyrrolo [2, 3-d)]Pyrimidin-4-yl) -1H-pyrazol-1-yl) -3- (2,2,5,5-Tetradeuterated cyclopentyl) propionitrile (Compound 107). Compound (R) -38(28mg, 0.066mmol,1 eq) was dissolved in methanol (1mL) in a 20mL scintillation vial. Sodium hydroxide (0.13mL of a 1M solution, 0.13mmol,2 equiv.) was added and the reaction stirred at room temperature for 18 h. The reaction was diluted with water (10mL) and brine (20 mL). The aqueous mixture was extracted with ethyl acetate (2 × 20 mL). The combined organic layers were washed with brine (20mL), dried over sodium sulfate, filtered and evaporated. The crude material was purified using Analogix automated chromatography system eluting with 0-6% methanol in dichloromethane. The product fractions were combined and evaporated, yielding compound 107 as a white foam. Chiral purity of>99% ee (Chiralpak OD 4.6x 250mm,10um, 70% (hexane + 0.1% diethylamine) + 30% (isopropanol + 0.1% diethylamine), 1mL/min,254nm retention time 8.85 min).
Example 2 (R) -3- (4- (7H-pyrrolo [2, 3-d)]Pyrimidin-4-yl) -1H-pyrazol-1-yl) -3- (3,3,4,4-d4-cyclopentyl) propionitrile (compound 103).
Scheme 4. preparation ofCompound 103
Figure GDA0002150898410000341
4Step 1.3,3,4, 4-d-cyclopentane-1, 1-dicarboxylic acid diethyl ester (40). To a solution of diethyl malonate (3.25mL,21.4mmol) in ethanol (20mL) was added a 21 wt% solution of sodium ethoxide in ethanol (16.0mL,42.8mmol) followed by 2,2,3, 3-tetradeuterated 1, 4-dibromobutane (39,4.95g,22.5mmol, CDN Isotopes,98 atom% deuterium). The resulting solution was stirred at reflux for 2 hours, then cooled to room temperature and diluted with excess water. Most of the ethanol was then removed by distillation and the resulting aqueous solution was extracted with ethyl acetate (3 × 75 mL). The organic layers were combined, washed with brine and dried (Na)2SO4) Filtered and concentrated under reduced pressure to give 40 as a yellow oil which was passed on to the next step without purification (4.67g, 100%).
4Step 2.3,3,4, 4-d-cyclopentane-1-carboxylic acid (41). To a solution of 40(4.67g,21.4mmol) in ethanol (10mL) was added a 5M solution of sodium hydroxide (10 mL). Additional water (10mL) was then added and the reaction was stirred at reflux for 3 hours. After cooling to room temperature, the reaction was diluted with excess water and the majority of ethanol was removed by distillation. The aqueous solution was made acidic (pH) with 1N hydrochloric acid<2) Followed by extraction with diethyl ether (3 × 50 mL). The organic layers were combined and dried (Na)2SO4) Filtered and concentrated under reduced pressure. The resulting light orange solid was transferred to a pressure resistant flask and water (70mL) was added. The pressure-resistant flask was sealed, and the reaction was stirred at 160 ℃ for 15 hours, and then cooled to room temperature. The reaction was diluted with 1N hydrochloric acid and extracted with diethyl ether (3 × 50 mL). The organic layers were combined and dried (Na)2SO4) Filtered and concentrated under reduced pressure to give 41 as an amber oil (1.93g, 76%), which was used without purification.
4Step 3.3,3,4, 4-d-N-methoxy-N-methylcyclopentanamide (42). To a solution of 41(1.93g,16.3mmol) in acetonitrile (30mL) at 0 deg.C were added N, O-dimethylhydroxylamine hydrochloride (1.91g,19.6mmol), TBTU (5.50g,17.1mmol) and N, N-diisopropylethylamine (8.52mL,48.9 mmol). The reaction was stirred at room temperature for 15 hours, then diluted with 1N hydrochloric acid and extracted with ethyl acetate (3 × 50 mL). The organic phases are combined and usedAnd NaHCO3Washed and dried (Na)2SO4) Filtered and concentrated under reduced pressure. The product obtained is subjected to column chromatography (SiO)20-40% acetone/hexanes) to give 42 as a clear oil (1.47g, 56%). MS (ESI)162.3[ (M + H)+]。
4Step 4.3,3,4, 4-d-cyclopentane-1-carbaldehyde (43). To a solution of 42(1.47g,9.12 mmol) in THF (35mL) at 0 deg.C was added 1M LiAlH dropwise4Of THF (16.4mL, 16.4 mmol). The reaction was stirred at room temperature for 1 hour, then quenched at 0 ℃ by the sequential dropwise addition of water (623. mu.L), 15% NaOH (623. mu.L), and water (1.87 mL). The quenched reaction was stirred at room temperature for 30 minutes and then passed
Figure GDA0002150898410000351
Filtered and concentrated under reduced pressure. The resulting oil was diluted with 1N hydrochloric acid and extracted with diethyl ether (3 × 50 mL). The organic layers were combined and dried (Na)2SO4) Filtered and concentrated under reduced pressure to give 43(767mg, 82%) as a clear oil, which was used without purification.
4Step 5.3- (3,3,4, 4-d-cyclopentyl) acrylonitrile (44). To a solution of diethyl cyanomethylphosphonate (0.607mL,3.75mmol) in THF (10mL) at 0 deg.C was added dropwise a 1M solution of potassium tert-butoxide in THF (3.75mL,3.75 mmol). The reaction was stirred at 0 ℃ for 1 hour. A solution of aldehyde 43(767mg,7.51mmol) in THF (3mL) was added dropwise. The reaction was stirred at room temperature for 15 hours, then diluted with excess 1:1 water/brine and extracted with MTBE (3 × 50 mL). The organic layers were combined and dried (Na)2SO4) Filtered and concentrated under reduced pressure. The resulting oil was dissolved in CH2Cl2(100ml) combined with NaHSO3(3 × 25mL) wash. The organic phase was dried (Na)2SO4) Filtration and concentration under reduced pressure gave 44(537mg, 57%) as a pale orange oil, which was used without purification.
4Step 6.(+/-) - (4- (1- (2-cyano-1- (3,3,4, 4-d-cyclopentyl) ethyl) -1H-pyrazol-4-yl) -7H-pyrrolo [2,3-d]Pyrimidin-7-yl) methyl pivalate ((+/-)45). To 37(514 mg,1.72mmol, e.g. Lin, Q. et al)Org. lett.,2009,11, 1999-2002) in acetonitrile (15mL) was added 44(537mg,4.29mmol) followed by DBU (540 μ L,3.61 mmol). The reaction was stirred at room temperature for 15 hours and then concentrated under reduced pressure in vacuo. The resulting crude mixture was diluted with water and extracted with ethyl acetate (3 × 50 mL). The organic layers were combined, washed with 1N hydrochloric acid and dried (Na)2SO4) Filtered and concentrated under reduced pressure. Using normal phase column chromatography (SiO)20-60% ethyl acetate/hexanes) gave (+/-)45 as a white foam (368mg, 50%). 1H NMR (DMSO-d)6,400MHz)δ8.84(s,1H),8.79(s, 1H),8.40(s,1H),7.75(d,J=3.7Hz,1H),7.12(d,J=3.7Hz,1H),6.24 (s,2H),4.53(td,J=9.7,4.2Hz,1H),3.32–3.14(m,2H),2.41(q,J= 8.7Hz,1H),1.79(dd,J=12.6,7.6Hz,1H),1.36–1.11(m,3H),1.08(s, 9H).;MS(ESI)425.2[(M+H)+]。
4Step 7.(R) - (4- (1- (2-cyano-1- (3,3,4, 4-d-cyclopentyl) ethyl) -1H-pyrazol-4-yl) -7H-Pyrrolo [2,3-d]Pyrimidin-7-yl) methyl pivalate ((R) -45). Racemic compound (+/-)45(151mg) was dissolved in acetonitrile at a concentration of 30mg/mL and chiral resolution was performed by preparative HPLC using an isocratic method on a Daicel ChiralPak AD column (20x 250mm,10 μm) with 1000 μ L of (+/-)45 solution per injection: 30% isopropanol (+ 0.1% diethylamine)/70% hexane (+ 0.1% diethylamine) at a flow rate of 17 mL/min. In these cases, baseline separation was achieved with (S) -45 eluting at 15.5 minutes and (R) -45 eluting at 20.7 minutes.
The fractions containing each enantiomer were separately combined and concentrated to give 51mg of (S) -45 as a colorless film and 53mg of (R) -45 as a colorless film.
Step 8.(R) -3- (4- (7H-pyrrolo [2, 3-d)]Pyrimidin-4-yl) -1H-pyrazol-1-yl) -3- (3,3,4,4-4d-cyclopentyl) propionitrile (Compound 103). (R) -45(53mg,0.13mmol, 1 eq) was dissolved in methanol (2mL) in a 20mL scintillation vial. Sodium hydroxide (0.25 mL of a 1M solution, 0.25mmol,2 equiv.) was added and the reaction mixture was stirred at room temperature for 18 h. The reaction mixture was diluted with water (10mL) and brine (20 mL). The aqueous mixture was extracted with ethyl acetate (2 × 20 mL). Combination of Chinese herbsThe combined organic layers were washed with brine (20mL), dried over sodium sulfate, filtered and concentrated. The crude material was purified using Analogix automated chromatography system eluting with 0-6% methanol in dichloromethane. The product fractions were combined and evaporated to yieldcompound 103 as a white foam with-90% purity, with the incompletely deprotected hydroxymethyl intermediate as the major impurity. Further chromatographic analysis did not further improve its purity. The 90% pure material was dissolved in THF (2mL) and treated with a few drops of 10% aqueous sodium hydroxide at 40 ℃ for 8 hours, resulting in complete conversion to compound 103. The reaction mixture was diluted with water (10mL) and extracted with ethyl acetate (2 × 10 mL). The combined organic layers were dried over sodium sulfate, filtered and concentrated to a white foam. The foam was dissolved in minimal acetonitrile, diluted with water, and lyophilized to givecompound 103 as a white solid (14mg, 35% yield). Chiral purity of>99% ee (Chiralpak OD 4.6x 250mm,10um, 70% (hexane + 0.1% diethylamine) + 30% (isopropanol + 0.1% diethylamine), 1mL/min,254nm retention time 7.56 min).
Example 3(R) -3- (4- (7H-pyrrolo [2, 3-d)]Pyrimidin-4-yl) -1H-pyrazol-1-yl) -3- (cyclopentyl-d9) Synthesis of propionitrile (Compound 127).
Scheme 5 preparation of Compound 127
Figure GDA0002150898410000381
8Step 1.2,2,3,3,4,4,5, 5-d-cyclopentane-1, 1-dicarboxylic acid diethyl ester (47). To a solution of diethyl malonate (6.24mL,41.1mmol) in ethanol (40mL) was added a 21 wt% solution of sodium ethoxide in ethanol (30.7mL,82.2mmol) followed by 1,1,2,2,3,3,4, 4-octadeutero-1, 4-dibromobutane (46,9.67g,43.2mmol, CDN Isotopes,98 atom% deuterium). The resulting solution was stirred at reflux for 2 hours, then cooled to room temperature and diluted with excess water. Most of the ethanol was then removed by distillation and the resulting aqueous solution was extracted with ethyl acetate (3 × 75 mL). The organic layers were combined, washed with brine and dried (Na)2SO4) Filtered and concentrated under reduced pressure to give 47(9.12g, 100%) as a yellow oil, which was not purifiedPurified and then enters the subsequent step.
Step 2, deuterated cyclopentane-1-carboxylic acid (48). To a solution of 47(9.12g,41.1mmol) in ethanol (20mL) was added a 5M sodium hydroxide solution (20 mL). Additional water (15mL) was then added and the reaction was stirred at reflux for 3 hours. After cooling to room temperature, the reaction was diluted with excess water and the majority of ethanol was removed by distillation. The aqueous solution was made acidic (pH) with 1N hydrochloric acid<2) Followed by extraction with diethyl ether (3 × 50 mL). The organic layers were combined and dried (Na)2SO4) Filtered and concentrated under reduced pressure. The resulting pale orange solid was transferred to a pressure resistant flask and D was added2O (120 mL). The pressure-resistant flask was sealed, and the reaction was stirred at 160 ℃ for 15 hours, and then cooled to room temperature. The reaction was diluted with 1N hydrochloric acid and extracted with diethyl ether (3 × 50 mL). The organic layers were combined and dried (Na)2SO4) Filtered and concentrated under reduced pressure to give 48 (4.58g, 90%) as a yellow oil, which was used without purification.
9Step 3N-methoxy-N-methyl (cyclopentane-d) carboxamide (49). To a solution of 48 (4.58g,37.2mmol) in acetonitrile (60mL) at 0 deg.C were added N, O-dimethylhydroxylamine hydrochloride (4.35g,44.6mmol), TBTU (12.5g,39.1mmol) and N, N-diisopropylethylamine (19.4mL,112 mmol). The reaction was stirred at room temperature for 15 hours, then diluted with 1N hydrochloric acid and extracted with ethyl acetate (3 × 50 mL). The organic phases were combined and washed with saturated NaHCO3Washed and dried (Na)2SO4) Filtered and concentrated under reduced pressure. The product obtained is subjected to column chromatography (SiO)20-50% ethyl acetate/hexanes) to give 49 as a clear oil (3.41g, 55%). MS (ESI)167.2[ (M + H)+]。
Step 4, deuterated cyclopentane-1-carbaldehyde (50). To a solution of 49(3.41g,20.5 mmol) in THF (80mL) at 0 deg.C was added 1M LiAlH dropwise4Was added to the reaction solution (9) (THF) (37.0mL, 37.0 mmol). The reaction was stirred at room temperature for 1 hour and then at 0 ℃ by sequential dropwise addition of D2O (1.41mL), 15% NaOD/D2O (1.41mL) and D2O (4.23 mL). The quenched reaction was stirred at room temperature for 30 minutes and then passed
Figure GDA0002150898410000391
Filtered and concentrated under reduced pressure. The resulting oil was treated with 1N DCl/D2Dilute O and extract with diethyl ether (3 × 50 mL). The organic layers were combined and dried (MgSO)4) Filtered and concentrated under reduced pressure to give 50(1.79g, 82%) as a clear oil, which was used without purification.
Step 5.3- (Perdeuterated cyclopentyl) Acrylonitrile (51). To a solution of diethyl cyanomethylphosphonate (1.35mL,8.34mmol) in THF (25mL) at 0 deg.C was added dropwise a 1M solution of potassium tert-butoxide in THF (8.34mL,8.34 mmol). The reaction was stirred at 0 ℃ for 1 hour. Then a solution of aldehyde 50(1.79g,16.7mmol) in THF (5mL) was added dropwise. The reaction was stirred at room temperature for 15 hours, then diluted with excess 1:1 water/brine and extracted with MTBE (3 × 50 mL). The organic layers were combined and dried (Na)2SO4) Filtered and concentrated under reduced pressure. The organic phases were combined and dried (Na)2SO4) Filtered and concentrated under reduced pressure to give 51 as a light orange oil (1.61g, 74%), which was used without purification.
9Step 6.(+/-) - (4- (1- (2-cyano-1- (cyclopentyl-d) ethyl) -1H-pyrazol-4-yl) -7H-pyrrolo[2,3-d]Pyrimidin-7-yl) methyl pivalate ((+/-)52). To a solution of 37(619mg, 2.07mmol, prepared as described in Lin, Q et al org.Lett.,2009,11, 1999-2002) in acetonitrile (15mL) was added 51(673mg,5.17mmol) followed by DBU (650. mu.L, 4.35 mmol). The reaction was stirred at room temperature for 15 hours and then concentrated under reduced pressure. The resulting crude mixture was diluted with water and extracted with ethyl acetate (3 × 50 mL). The organic layers were combined, washed with 1N hydrochloric acid and dried (Na)2SO4) Filtered and concentrated under reduced pressure. Using normal phase column chromatography (SiO)20-60% ethyl acetate/hexanes) to give (+/-)52 as a white foam (447mg, 50%). 1H NMR (DMSO-d)6,400MHz)δ8.84(s,1H),8.79(s,1H),8.39 (s,1H),7.75(d,J=3.7Hz,1H),7.12(d,J=3.7Hz,1H),6.24(s,2H), 4.53(dd,J=9.6,4.2Hz,1H),3.32–3.13(m,2H),1.08(s,9H).;MS (ESI)430.3[(M+H)+]。
9Step 7.(R) - (4- (1- (2-cyano-1- (cyclopentyl-d) ethyl) -1H-pyrazol-4-yl) -7H-pyrroleAnd a (2) of a group consisting of,3-d]pyrimidin-7-yl) methyl pivalate ((R) -52). Racemic compound (+/-)52 (162mg) was dissolved in acetonitrile at a concentration of 30mg/mL and chiral resolution was performed by preparative HPLC using an isocratic method on a Daicel ChiralPak AD column (20x 250mm,10 μm) with 1000 μ L of (+/-)52 solution per injection: 30% isopropanol (+ 0.1% diethylamine)/70% hexane (+ 0.1% diethylamine) at a flow rate of 17 mL/min. In these cases, baseline separation was achieved with (S) -52 eluting at 15.4 minutes and (R) -52 eluting at 20.5 minutes.
The fractions containing each enantiomer were separately combined and concentrated to give 61mg of (S) -52 as a colorless film and 63mg of (R) -52 as a colorless film.
Step 8.(R) -3- (4- (7H-pyrrolo [2, 3-d)]Pyrimidin-4-yl) -1H-pyrazol-1-yl) -3- (cyclopentyl-9d) Propionitrile (Compound 127). (R) -52(60mg,0.14mmol,1 eq) was dissolved in methanol (2mL) in a 20mL scintillation vial. Sodium hydroxide (0.28mL of a 1M solution, 0.28mmol,2 equiv.) was added and the reaction mixture was stirred at room temperature for 18 h. The reaction mixture was diluted with water (10mL) and brine (20 mL). The aqueous mixture was extracted with ethyl acetate (2 × 20 mL). The combined organic layers were washed with brine (20mL), dried over sodium sulfate, filtered and concentrated. The crude material was purified using Analogix automated chromatography system eluting with 0-6% methanol in dichloromethane. The product fractions were combined and evaporated to yield compound 127(34mg) as a white foam with a purity of-90% and the incompletely deprotected hydroxymethyl intermediate as the major impurity. Further chromatographic analysis did not further improve its purity. The 90% pure material was dissolved in THF (2mL) and treated with a few drops of 10% aqueous sodium hydroxide at 40 ℃ for 8 hours, resulting in complete conversion to compound 127. The reaction mixture was diluted with water (10mL) and extracted with ethyl acetate (2 × 10 mL). The combined organic layers were dried over sodium sulfate, filtered and concentrated to a white foam. The foam was dissolved in minimal acetonitrile, diluted with water, and lyophilized to give compound 127 as a white solid (19mg, 42% yield). Chiral purity of>99% ee (Chiralpak OD 4.6X 250mm,10um, 70% (hexane + 0.1% diethylamine) + 30% (isopropanol + 0.1% diethylamine), 1 mL-min,254nm retention time 7.55 min).
Example 4 CYP3A4SupersomesTMAssessment of mesometabolic stability
Human CYP3A4SupersomesTMEvaluation of the Metabolic stability ofCompounds 103, 107 and 127
SUPERSOMESTMAnd (6) analyzing. Stock solutions of test compounds, compounds 103, 107, 127 and ruxotinib at 10mM were prepared in DMSO. The 10mM stock solution was diluted to 15.6. mu.M in Acetonitrile (ACN). Human CYP3A4supersomesTM(1000pmol/mL, available from BD GentestTMProducts and Services) in 0.1M potassium phosphate buffer (pH7.4, containing 3mM MgCl2) Diluted to 62.5 pmol/mL. Diluted supersomes were added in triplicate to wells of 96-well polypropylene plates. A10. mu.L aliquot of the 15.6. mu.M test compound was added to the supersomes and the mixture was preheated for 10 minutes. The reaction was initiated by adding a pre-warmed NADPH solution. The final reaction volume was 0.5mL and contained 0.1M potassium phosphate buffer (pH7.4, 3mM MgCl)2) 50pmol/mL of CYP3A4supersomes (Takara Shuzo)TM0.25. mu.M of test compound and 2mM NADPH. The reaction mixture was incubated at 37 ℃ and 50 μ L aliquots were removed at 0,5, 10, 20 and 30 minutes and added to a 96-well plate containing 50 μ L ice-cold CAN with internal standard to stop the reaction. The plate was stored at 4 ℃ for 20 minutes, after which 100mL of water was added to the wells of the plate, followed by centrifugation to spheronize the precipitated protein. The supernatant was transferred to another 96-well plate and the residual mother body amount was analyzed by LC-MS/MS using an Applied Bio-systems API 4000 mass spectrometer.
Data analysis in vitro half-life (t) of test compound was calculated from the linear regression slope of LN (% residual parent) versus incubation time1/2Value):
t in vitro1/20.693/k, where k [% residual parent (ln) slope of linear regression versus incubation time]。
The results of this experiment are shown in table 3 and fig. 1. As shown in table 3, the half-life of ruxotinib was calculated to be 14.5 minutes. In contrast, each ofcompounds 103, 107, and 127 were more stable in the supersomes, with calculated half-lives of 16.9, 17.9, and 32.0 minutes, respectively. This represents a 17% increase in the half-life ofcompound 103, a 23% increase in the half-life of compound 107, and a 121% increase in the half-life of compound 127.
TABLE 3 Supersomes prepared in human CYP3A4TMMetabolic stability ofCompounds 103, 107 and 127 to Lusolitinib
Figure GDA0002150898410000421
Δ ═ deuterated species) - (non-deuterated species) ] (100)/(non-deuterated species)
Example 5 evaluation of metabolic stability in human liver microsomes
Microsome analysis human liver microsomes (20mg/mL) were obtained from Xenotech, LLC (Lenexa, KS). Reduced forms of beta-Nicotinamide Adenine Dinucleotide Phosphate (NADPH), magnesium chloride (MgCl)2) And Dimethylsulfoxide (DMSO) was purchased from Sigma-Aldrich.
Determination of metabolic stability A7.5 mM stock solution of the test compound is prepared in DMSO. The 7.5mM stock solution was diluted to 12.5-50. mu.M with Acetonitrile (ACN). 20mg/mL of human liver microsomes in 0.1M potassium phosphate buffer (pH7.4, containing 3mM MgCl)2) Diluted to 0.625 mg/mL. The diluted microparticles were added in triplicate to the wells of a 96-well deep-well polypropylene plate. A10. mu.L aliquot of 12.5-50. mu.M of the test compound was added to the microsomes, and the mixture was preheated for 10 minutes. A preheated NADPH solution was added to initiate the reaction. The final reaction volume was 0.5mL and contained 0.1M potassium phosphate buffer (pH7.4, 3mM MgCl)2) 0.5mg/mL human liver microsomes, 0.25-1.0. mu.M test compound, and 2mM NADPH. The reaction mixture was incubated at 37 ℃ and 50 μ L aliquots removed at 0,5, 10, 20 and 30 minutes and added to a shallow well 96-well plate containing 50 μ L ice-cold CAN with internal standard to stop the reaction. The plates were stored at 4 ℃ for 20 minutes, after which 100. mu.L of water was added to the wells of the plates, followed by centrifugation to spheronize the precipitated proteins. The supernatant was transferred to another 96-well plate and the cell was clearedThe residual parent amount was analyzed by LC-MS/MS using an Applied Bio-systems API 4000 mass spectrometer. The same procedure was followed for the non-deuterated compound of formula I or formula a and the positive control 7-ethoxycoumarin (1 μ M). Tests were performed in triplicate.
Data analysis in vitro t-calculation of test Compounds from the Linear regression slope of% residual parent (ln) versus incubation time1/2
T in vitro1/2=0.693/k
k [% residual parent (ln) slope of linear regression versus incubation time ]
Data analysis was performed using microsoft Excel software.
Without further elaboration, it is believed that one skilled in the art can, using the preceding description and the illustrated examples, make and use the compounds of the present invention and practice the claimed methods. It should be understood that the foregoing discussion and examples are merely illustrative of certain preferred embodiments. It will be apparent to those skilled in the art that various modifications and equivalents can be made without departing from the spirit and scope of the invention.

Claims (6)

1. A solid pharmaceutical composition comprising a compound represented by the following structural formula:
Figure FDA0002353658420000011
or a pharmaceutically acceptable salt thereof, wherein any atom not designated as deuterium is present at its natural isotopic abundance, and wherein the position specifically designated as "deuterium" has at least 95% deuterium incorporation.
2. The solid pharmaceutical composition of claim 1, wherein the position specifically designated as "deuterium" has at least 97% deuterium incorporation.
3. The solid pharmaceutical composition of claim 1 or 2, wherein the composition is present in a unit dosage form.
4. The solid pharmaceutical composition of claim 3, wherein the unit dosage form is in the form of a capsule or tablet.
5. The solid pharmaceutical composition of claim 1 or 2, wherein the pharmaceutically acceptable salt of the compound is a phosphate salt.
6. Use of the solid pharmaceutical composition of claim 1 or 2 in the manufacture of a medicament for inhibiting one or more of JAK1 and JAK 2.
CN201910481275.4A2013-12-182013-12-18Deuterated derivative of ruxotinibActiveCN110229159B (en)

Priority Applications (1)

Application NumberPriority DateFiling DateTitle
CN201910481275.4ACN110229159B (en)2013-12-182013-12-18Deuterated derivative of ruxotinib

Applications Claiming Priority (2)

Application NumberPriority DateFiling DateTitle
CN201910481275.4ACN110229159B (en)2013-12-182013-12-18Deuterated derivative of ruxotinib
CN201310700192.2ACN104725380B (en)2013-12-182013-12-18 Deuterated derivatives of ruxolitinib

Related Parent Applications (1)

Application NumberTitlePriority DateFiling Date
CN201310700192.2ADivisionCN104725380B (en)2013-12-182013-12-18 Deuterated derivatives of ruxolitinib

Publications (2)

Publication NumberPublication Date
CN110229159A CN110229159A (en)2019-09-13
CN110229159Btrue CN110229159B (en)2021-08-24

Family

ID=53449858

Family Applications (2)

Application NumberTitlePriority DateFiling Date
CN201910481275.4AActiveCN110229159B (en)2013-12-182013-12-18Deuterated derivative of ruxotinib
CN201310700192.2AActiveCN104725380B (en)2013-12-182013-12-18 Deuterated derivatives of ruxolitinib

Family Applications After (1)

Application NumberTitlePriority DateFiling Date
CN201310700192.2AActiveCN104725380B (en)2013-12-182013-12-18 Deuterated derivatives of ruxolitinib

Country Status (1)

CountryLink
CN (2)CN110229159B (en)

Families Citing this family (5)

* Cited by examiner, † Cited by third party
Publication numberPriority datePublication dateAssigneeTitle
CN105777754B (en)*2014-12-162019-07-26北京赛林泰医药技术有限公司Pyrrolopyrimidine compounds
PL3452039T3 (en)*2016-05-042024-11-18Sun Pharmaceutical Industries, Inc.Treatment of hair loss disorders with deuterated jak inhibitors
CN109851620B (en)*2016-08-172020-08-07深圳市塔吉瑞生物医药有限公司Fused bicyclic compounds for inhibiting tyrosine kinase activity
US12152087B2 (en)*2018-10-182024-11-26Oncopeptides Innovation AbDeuterated melflufen compounds
CN114853760A (en)*2021-02-032022-08-05南京正大天晴制药有限公司Preparation method of luccotinib intermediate

Citations (1)

* Cited by examiner, † Cited by third party
Publication numberPriority datePublication dateAssigneeTitle
CN101448826A (en)*2005-12-132009-06-03因塞特公司 Heteroaryl-substituted pyrrolo[2,3-b]pyrroles and pyrrolo[2,3-b]pyrimidines as Janus kinase inhibitors

Patent Citations (1)

* Cited by examiner, † Cited by third party
Publication numberPriority datePublication dateAssigneeTitle
CN101448826A (en)*2005-12-132009-06-03因塞特公司 Heteroaryl-substituted pyrrolo[2,3-b]pyrroles and pyrrolo[2,3-b]pyrimidines as Janus kinase inhibitors

Non-Patent Citations (1)

* Cited by examiner, † Cited by third party
Title
Metabolism, Excretion, and Pharmacokinetics of [14C]INCB018424, a Selective Janus Tyrosine Kinase 1/2 Inhibitor, in Humans;Adam D. Shilling 等;《DRUG METABOLISM AND DISPOSITION》;20101231;第38卷(第11期);第2026页第2栏第1段,第2028页图2*

Also Published As

Publication numberPublication date
CN110229159A (en)2019-09-13
CN104725380A (en)2015-06-24
CN104725380B (en)2019-06-28

Similar Documents

PublicationPublication DateTitle
US20230355629A1 (en)Deuterated derivatives of ruxolitinib
JP6367545B2 (en) Deuterated derivatives of ruxolitinib
US8575221B2 (en)Derivatives of dimethylcurcumin
CN110229159B (en)Deuterated derivative of ruxotinib
US10357499B2 (en)Substituted triazolobenzodiazepines
KR102433283B1 (en)Deuterated derivatives of ruxolitinib
HK40013863A (en)Deuterated derivatives of ruxolitinib
HK40013863B (en)Deuterated derivatives of ruxolitinib
WO2012129381A1 (en)Deuterated preladenant
JP6830460B2 (en) Deuterated derivative of ruxolitinib
HK40060909A (en)Deuterated derivatives of ruxolitinib
WO2018013686A1 (en)Deuterated idalopirdine
BR112014031204B1 (en) DEUTERATE DERIVATIVES OF RUXOLITINIB AND PHARMACEUTICAL COMPOSITION COMPRISING THE SAME

Legal Events

DateCodeTitleDescription
PB01Publication
PB01Publication
SE01Entry into force of request for substantive examination
SE01Entry into force of request for substantive examination
REGReference to a national code

Ref country code:HK

Ref legal event code:DE

Ref document number:40013863

Country of ref document:HK

GR01Patent grant
GR01Patent grant
TR01Transfer of patent right
TR01Transfer of patent right

Effective date of registration:20231012

Address after:new jersey

Patentee after:Sun Pharmaceutical Industry Co.,Ltd.

Address before:Massachusetts

Patentee before:Concert Pharmaceuticals, Inc.


[8]ページ先頭

©2009-2025 Movatter.jp