Movatterモバイル変換


[0]ホーム

URL:


CN110221182B - Distributed small-current grounding line selection method and line selection system - Google Patents

Distributed small-current grounding line selection method and line selection system
Download PDF

Info

Publication number
CN110221182B
CN110221182BCN201910595675.8ACN201910595675ACN110221182BCN 110221182 BCN110221182 BCN 110221182BCN 201910595675 ACN201910595675 ACN 201910595675ACN 110221182 BCN110221182 BCN 110221182B
Authority
CN
China
Prior art keywords
current
frequency
phase
transformer
power
Prior art date
Legal status (The legal status is an assumption and is not a legal conclusion. Google has not performed a legal analysis and makes no representation as to the accuracy of the status listed.)
Active
Application number
CN201910595675.8A
Other languages
Chinese (zh)
Other versions
CN110221182A (en
Inventor
李晓明
Current Assignee (The listed assignees may be inaccurate. Google has not performed a legal analysis and makes no representation or warranty as to the accuracy of the list.)
Li Xiaoming
Jining Power Supply Co
Original Assignee
Individual
Priority date (The priority date is an assumption and is not a legal conclusion. Google has not performed a legal analysis and makes no representation as to the accuracy of the date listed.)
Filing date
Publication date
Application filed by IndividualfiledCriticalIndividual
Priority to CN201910595675.8ApriorityCriticalpatent/CN110221182B/en
Publication of CN110221182ApublicationCriticalpatent/CN110221182A/en
Application grantedgrantedCritical
Publication of CN110221182BpublicationCriticalpatent/CN110221182B/en
Activelegal-statusCriticalCurrent
Anticipated expirationlegal-statusCritical

Links

Images

Classifications

Landscapes

Abstract

The utility model provides a distributed small current grounding line selection method and a line selection system, wherein, the grounding protection device of each line respectively obtains the phase voltage of each bus, respectively obtains the three-phase current or the two-phase current of the power supply transformer connected with the bus, and obtains the zero-mode current of the protected line; the method is characterized in that a fault circuit is judged by utilizing whether the waveform of the fault phase power frequency removing high-frequency residual current of the transformer and the waveform of the zero-mode power frequency removing high-frequency residual current of the circuit are in the opposite direction or not; this openly can realize that ground protection device's inlet wire is less, and device maintenance management is convenient.

Description

Distributed small-current grounding line selection method and line selection system
Technical Field
The disclosure belongs to the field of relay protection of power systems, and particularly relates to a distributed small-current grounding line selection method and a line selection system.
Background
The statements in this section merely provide background information related to the present disclosure and may not necessarily constitute prior art.
The small current grounding system comprises a neutral point ungrounded system and a neutral point arc suppression coil grounding system. According to the inventor's understanding, there is no accurate and available distributed low-current grounding line selection method for the relay protection of the power system at present, the existing low-current grounding line selection method and the system thereof are centralized, and the centralized low-current grounding line selection system needs to connect the zero-mode currents of all lines connected in the same bus section into the same grounding line selection device (grounding protection device), and the number of power supply lines in the same bus section can be as large as twenty or more, so that the lead-in lines of the grounding protection device need to be many, the arrangement is not good in spatial position, and the maintenance and management of each grounding protection device are very inconvenient.
Disclosure of Invention
In order to solve the above problems, the present disclosure provides a distributed small-current grounding line selection method and a line selection system, which ensure that the positions of the lead-in lines are convenient to arrange, and facilitate the maintenance and management of the grounding line selection system.
According to some embodiments, the following technical scheme is adopted in the disclosure:
a distributed small current grounding line selection method is characterized in that a grounding protection device is distributed on each power supply line connected with the same bus, the grounding protection device obtains each phase voltage of the bus, the current of a power supply transformer connected with the bus and the zero-mode current of a protected power supply line, and if the zero-sequence voltage of the bus is greater than a setting value, the following line selection steps are executed:
judging the fault phase;
removing zero mode current i of protected power supply line0,iRemoving all high-frequency current above the selected frequency SF to obtain zero-mode power-frequency-removed high-frequency residual current i of the protected power supply line0,i,α(ii) a Removing power frequency current in the fault phase current of the transformer, removing all high-frequency current above the selected frequency SF, and obtaining power frequency-removing high-frequency residual current i of the fault phase of the transformerg,T,α
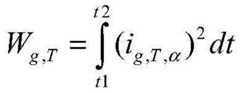
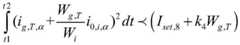
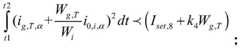
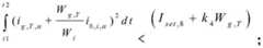
Calculating zero-mode power frequency and high-frequency removing residual current i of each protected power supply line0,i,αIntegral W of the energy of (1) over the time periods t1 and t2i(ii) a Calculating power frequency and high frequency residual current i of fault phase removing of transformerg,T,αIntegral W of the energy ofg,TIf the line meets the following conditions, judging the line as a fault line;
Wi>Iset,7
Figure BDA0002117576710000021
Figure BDA0002117576710000022
Iset,7、Iset,8、Iset,9setting values are respectively; k is a radical of4、k5Is a scaling factor.
As a further limitation, the time periods t1 and t2 are selected to be within a time period after the activation of the protection device and before the time of the return of the whole group;
or a first half-wave time period;
or only transient current time periods;
or only steady state current periods;
or comprises a transient current time period and a steady state current time period;
or a combination of multiple spaced time periods.
As an alternative embodiment, the grounding protection device obtains two-phase currents of a power supply transformer connected with the bus, and when the fault phase is a missing phase, the power frequency removing high-frequency residual current of the fault phase is replaced by the reverse direction of the sum of the known two-phase power frequency removing high-frequency residual currents.
As an alternative embodiment, the grounding protection device obtains a phase current of the power supply transformer connected with the bus, and when the fault phase is a missing phase, the power frequency-removed high-frequency residual current of the fault phase is replaced by a reverse direction of a product of the known power frequency-removed high-frequency residual current of the first phase and the product of the known power frequency-removed high-frequency residual current multiplied by two.
As an alternative embodiment, the earth protection device captures the three-phase current or the two-phase current or the one-phase current of the supply transformer connected to the busbar.
A distributed small-current grounding line selection system comprises a power supply, a transformer and a plurality of power supply lines, wherein the power supply supplies power to the transformer, the transformer supplies power to a bus, the plurality of power supply lines are connected with the same bus, the transformer is grounded in small current, each power supply line is provided with a respective grounding protection device, and the grounding protection devices perform fault line selection according to the line selection method.
As an alternative embodiment, three phases of the transformer respectively supply power to corresponding phases of the bus, each phase of the transformer is respectively provided with a current transformer, and the secondary side current of each current transformer is respectively input into the grounding protection device of each power supply line.
Compared with the prior art, the beneficial effect of this disclosure is:
(1) the distributed low-current grounding line selection system has the advantages that the number of lead-in wires of each grounding protection device is small, the arrangement and the spatial position arrangement of the lead-in wires of the device are convenient, and the device is convenient to maintain and manage.
(2) The method removes the power frequency current in the current and removes all high-frequency currents above the selected frequency SF, so that the aims of accurately removing interference signals and reserving useful information to the maximum extent can be achieved.
(3) The waveform of the power frequency-removing high-frequency residual current constructed from the current is more distinctive, and the fault line is analyzed by utilizing the similarity in the same direction or the similarity in the opposite direction of a pair of distinctive current waveforms, so that the judgment result is more reliable, and the sensitivity is very high.
Drawings
The accompanying drawings, which are included to provide a further understanding of the disclosure, illustrate embodiments of the disclosure and together with the description serve to explain the disclosure and are not to limit the disclosure.
FIG. 1 is a schematic structural diagram of a distributed low current ground line selection system according to an embodiment;
the specific implementation mode is as follows:
the present disclosure is further described with reference to the following drawings and examples.
It should be noted that the following detailed description is exemplary and is intended to provide further explanation of the disclosure. Unless defined otherwise, all technical and scientific terms used herein have the same meaning as commonly understood by one of ordinary skill in the art to which this disclosure belongs.
It is noted that the terminology used herein is for the purpose of describing particular embodiments only and is not intended to be limiting of example embodiments according to the present disclosure. As used herein, the singular forms "a", "an" and "the" are intended to include the plural forms as well, and it should be understood that when the terms "comprises" and/or "comprising" are used in this specification, they specify the presence of stated features, steps, operations, devices, components, and/or combinations thereof, unless the context clearly indicates otherwise.
The first embodiment is as follows:
an exemplary embodiment, a distributed low current ground selection system, as shown in fig. 1. The power supply transmits power to the transformer T, the transformer T transmits power to the bus M, and the neutral point of the transformer T is grounded through the arc suppression coil L. Suppose that N power supply lines are connected to bus M, and N is 6. The six lines are L1, L2, L3, L4, L5, L6, respectively. Each line has its own ground protection device BH1, BH2, BH3, BH4, BH5, BH6, and for convenience of drawing, only BH1 is shown in fig. 1. Zero mode current i of current transformers TA1, TA2, TA3, TA4, TA5 and TA6 of 6 power supply lines0,i(i-1, 2, 3, 4, 5, 6) are inputted to ground protection devices BH1, BH2, BH3, BH4, BH5, BH6 of the respective lines,zero mode current i0,iIs in accordance with the convention that the busbars point towards the lines. i.e. i0,iThe representation is an instantaneous value of the value,
Figure BDA0002117576710000051
the expression is phasor. As is well known, the power frequency component of the zero-mode current is the zero-sequence current. Three-phase voltage of bus voltage transformer TV
Figure BDA0002117576710000052
The grounding protection devices BH1, BH2, BH3, BH4, BH5 and BH6 of each line are input respectively; the A, B, C phases of the transformer T supply power to the A, B, C phases of the bus M, and the A, B, C phases of the transformer T have current transformers TAa, TAb, and TAc, respectively. Secondary side currents of the current transformers TAa, TAb and TAc are respectively input into grounding protection devices BH1, BH2, BH3, BH4, BH5 and BH6 of each line. The secondary side currents of the current transformers TAa, TAb and TAC respectively reflect the primary side current ia,T、ib,T、ic,TPrimary side current ia,T、ib,T、ic,TThe reference direction of (2) is that the bus bars point to the transformer.
The grounding protection device of each line respectively calculates the zero sequence voltage of the bus
Figure BDA0002117576710000053
If the zero sequence voltage of the bus is larger than the setting value, the power system is indicated to have a ground fault, and the ground protection devices of all lines respectively start a line selection process. The line selection strategy and criterion for low-current grounding line selection are specifically as follows:
(1) judging the fault phase; for example: u shapea、Ub、UcThe smallest phase is the failed phase; (2) removing the zero-mode current i of the line0,iRemoving all high-frequency current above the selected frequency SF to obtain zero-mode power-frequency-removed high-frequency residual current i of the circuit0,i,α(ii) a Removing power frequency current in the phase current of the T fault of the transformer, removing all high-frequency current above the selected frequency SF, and obtaining power frequency-removing high-frequency residual current i of the T fault phase of the transformerg,T,α(ii) a For example: phase a isThe fault phase is ig,T,α=ia,T,α(3) Calculating zero-mode power frequency and high-frequency residual current i of the circuit0,i,αIntegral W of the energy of (1) over the time periods t1 and t2iIs available
Figure BDA0002117576710000061
Calculating; calculating power frequency and high frequency removing residual current i of T fault phase of transformerg,T,αIntegral W of the energy of (1) over the time periods t1 and t2g,TIs available
Figure BDA0002117576710000062
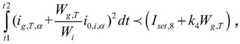
Calculating; (4) if W isi>Iset,7And is and
Figure BDA0002117576710000063
and is
Figure BDA0002117576710000064
Then the present line is a faulty line.
Wherein: t is not less than 01,t1<t2<tset1;tset1The time from the start of the low-current grounding protection device to the reset of the whole group is obtained. Suggest to take k4=0~0.5,k41-2; setting value 7set,78 th setting value Iset,89 th setting value Iset,9May be determined empirically from operating experience.
Of course, in various embodiments, there are many ways to remove the power frequency and high frequency current, such as:
the method for removing power frequency current by using zero-mode current comprises the following steps: (1) and after the A/D sampling of the zero-mode current, obtaining the zero-mode power frequency-removed residual current through a digital power frequency wave trap. (2) Taking a steady-state current of a power frequency cycle after the transient current of the zero-mode current disappears as a sample, and carrying out power frequency Fourier transformation, wherein the expansion of the power frequency current information obtained by the transformation in the whole time period of the grounding protection is the power frequency current. The zero-mode current is zero-mode de-power-frequency residual current by subtracting the expanded power-frequency current in the whole time period of the grounding protection. (3) Taking a steady-state current of a power frequency cycle after the transient current of the zero-mode current disappears as a sample, wherein the expansion of the sample in the whole working time period of the grounding protection is the power frequency current. The zero-mode current is zero-mode power frequency residual current obtained by subtracting the expanded power frequency current in the whole working time period of the grounding protection. The side effect is that even order higher harmonic component in the zero mode current is removed, and odd order higher harmonic component in the zero mode current is amplified. But does not adversely affect the line selection decision. (4) Other methods.
The method for removing the high-frequency current by the zero-mode current comprises the following steps: (1) the zero-mode current is passed through an analog low-pass filter (e.g., a capacitor) before a/D sampling. (2) The zero mode current is passed through a digital low pass filter after a/D sampling. (3) Other methods.
The operating characteristics of the low current ground selection criterion are analyzed below.
Before or after the ground fault of the power system occurs, unbalanced zero sequence current exists in each line of the power system. Experience has shown that: the unbalanced zero sequence current is basically power frequency current. When the low-current grounding line selection is in a high-resistance grounding fault, the main reason that the line selection cannot be correctly performed is that a fault signal is very weak, and the amplitude of unbalanced current is close to the size of the fault signal. The power frequency current in the zero-mode current is removed, all high-frequency currents above the selected frequency SF are removed, and the remaining zero-mode power frequency removed high-frequency residual current is used as a grounding line selection criterion. Therefore, the interference signals are accurately removed, the useful signals are reserved to the maximum extent, the main interference in the zero-mode current is eliminated, the useful fault signal characteristics of the zero-mode current are highlighted, and the purpose that the fault line can be judged by weak fault signals is achieved.
When a ground fault suddenly occurs, the transient current amplitude of the zero-mode current of each line is several times or more than ten times larger than the power frequency zero-sequence current amplitude of the line; the transient current amplitude of the fault line zero-mode current is the largest. In the first half-wave time, the transient current of the zero-mode current of the non-fault line changes in the same direction, and the transient current of the zero-mode current of the fault line changes in the opposite direction.
A large amount of fault recording data show that: when a line has a ground fault, particularly a high-resistance ground, the arc resistance of a grounding point is mostly changed, and the arc ground generates a large amount of high-frequency attenuation current, and the arc ground may be interrupted. If the grounding is stable, the zero-mode power frequency removing high-frequency residual current also has fifth harmonic and other higher harmonics.
When the line has a ground fault, all the zero-mode power-frequency-removed high-frequency residual currents of non-fault lines flow into the earth from the line, flow into the fault line from the earth ground point, flow into the fault phase bus from the fault line, flow into the fault phase coil of the transformer from the fault phase bus, and flow into the neutral point of the transformer from the fault phase coil of the transformer; the arc suppression coil connected to the neutral point of the transformer has very high reactance to the transient current and its high frequency current, and the transformer coil has only leakage reactance to the transient current and its high frequency current, so that the zero-mode power frequency removing high frequency residual current flows from the neutral point of the transformer to the other two non-fault phases of the transformer and then flows into the circuits in proportion to form the zero-mode power frequency removing high frequency residual current of each circuit. If there is DC attenuation current in the zero-mode power-frequency-removing high-frequency residual current, the DC attenuation current flows into the ground from the neutral point arc suppression coil and flows into the fault phase of the fault line from the fault point. It can be seen that the power frequency and high frequency removing residual current i of the fault phase coil of the transformerg,T,αEqual to zero-mode de-mains frequency de-high frequency residual current of a fault phase flowing into a fault line from a fault point. The zero-mode power-frequency-removing high-frequency residual current of the fault line is equal to the difference of the zero-mode power-frequency-removing high-frequency residual current of the fault phase flowing into the fault line from a fault point and the zero-mode power-frequency-removing high-frequency residual current flowing into the ground from the line. Therefore, if the ith line is a fault line, the power frequency removing and high frequency removing residual current i of the fault phase of the transformerg,T,αZero-mode power frequency-removing high-frequency residual current i with fault line0,i,αIn the opposite direction, and Wg,TGreater than Wi. If the ith line is a faulty line, then there is
Figure BDA0002117576710000081
It can be seen that if the inequality is not equal
Figure BDA0002117576710000082
If so, the line is a faulty line.
If the ith line is not a faulty line, then there is
Figure BDA0002117576710000083
Visible inequality
Figure BDA0002117576710000084
And if not, judging that the line is not a fault line.
In the same way, require Wi>Iset,7And also to ensure judgment reliability. If the zero mode of the circuit is removed, the power frequency is removed, and the high frequency residual current i is removed0,i,αToo little energy, large error, and possible wrong line selection. Therefore, zero-mode power frequency-removing high-frequency residual current i of the circuit is required0,i,αIs greater than the 7 th setting value. Furthermore, the circuit can be used for removing power frequency and high frequency residual current i in a zero mode0,i,αThe concentrated time periods are compared to define the t1 and t2 time periods. Or, the circuit is used for removing power frequency and high frequency residual current i in a zero mode0,i,αThe combination of the time periods of the plurality of discontinuities in the energy comparison set defines the t1 and t2 time periods. The time period is selected in a mode of being within a period of time after the protection device is started and before the time of resetting the whole group; or a first half-wave time period; or only transient current time periods; or only steady state current periods; or comprises a transient current time period and a steady state current time period; or a combination of multiple spaced time periods. According to different actual operation power distribution network conditions, different time period combination modes are selected, the method is flexible to apply, and the best effect is achieved.
The existing widely applied transient method grounding line selection compares the initial direction and amplitude of the transient waveform of the zero-mode current of each line only in the first half-wave time of the fault. After the first half-wave time, the criterion is invalid. The effective time period of the criterion is very short. T of the present embodiment1And t2A relatively long section may be taken. The criterion algorithm of the embodiment can comprise a fault characteristic section conforming to the transient method grounding line selection, andfault signature sections that do not meet transient ground routing may be included. The reliability and sensitivity of the criterion are superior to those of the line selection method by the transient method.
The main component of the three-phase current of the transformer is load current which is far greater than power frequency removing high-frequency residual current in the three-phase current. However, the transformer fault phase power frequency removing high-frequency residual current as one of the criteria removes the load current when removing the power frequency, so the low-current grounding line selection criterion cannot be interfered by the load current.
The small current grounding line selection criterion can be used for a system with a neutral point not grounded and can also be used for a system with a neutral point grounded through an arc suppression coil.
The distributed grounding protection device has fewer lead-in wires, is convenient for arrangement of the lead-in wires and arrangement of space positions, and is convenient for maintenance and management.
The grounding line selection method of the low-current grounding system provided by the embodiment can be completely realized. Has wide application prospect.
Example two:
as shown in fig. 1, the A, B, C phases of the transformer T have current transformers TAa, TAb, and TAc, respectively. The current transformers TAa, TAb, and TAc reflect the primary side current i, respectivelya,T、ib,T、ic,T. However, some distribution networks have current transformers in the A, C phases of the transformer T and no current transformer in the B phase.
The field practical operation experience shows that when a small-current grounding system has a grounding fault, the attenuation direct-current component of the neutral point arc suppression coil of the transformer is very small, and the influence on the small-current grounding route selection criterion is very small when the attenuation direct-current component is ignored. Therefore, when the B phase is a fault phase, the power frequency of the fault phase of the transformer T is removed to remove the high-frequency residual current ig,T,α=-(ia,T,α+ic,T,α) The disclosed method can still be used to select a faulty line. However, the sensitivity and reliability are slightly worse than those of the first embodiment. The same thing as in the first embodiment is not redundant here.
Example three:
as shown in the power distribution network of fig. 1, A, B, C phases of the transformer T are respectively provided with a current transformerTAa, TAb, and TAC. The current transformers TAa, TAb, and TAc reflect the primary side current i, respectivelya,T、ib,T、ic,T. In order to further reduce the number of lead-ins of the earth protection device, the earth protection device may only take one phase current, for example, the a-phase current.
When the phase B is a fault phase, the power frequency of the fault phase of the transformer T is removed to remove the high-frequency residual current ig,T,α=-2ia,T,αAnd calculating, and still selecting the fault line by using the method disclosed by the invention. When the C phase is a fault phase, the power frequency of the fault phase of the transformer T is removed to remove the high-frequency residual current ig,T,α=-2ia,T,αAnd calculating, and still selecting the fault line by using the method disclosed by the invention. However, the sensitivity and reliability are slightly worse than those of the first embodiment. The same thing as in the first embodiment is not redundant here.
As will be appreciated by one skilled in the art, embodiments of the present disclosure may be provided as a method, system, or computer program product. Accordingly, the present disclosure may take the form of an entirely hardware embodiment, an entirely software embodiment or an embodiment combining software and hardware aspects. Furthermore, the present disclosure may take the form of a computer program product embodied on one or more computer-usable storage media (including, but not limited to, disk storage, CD-ROM, optical storage, and so forth) having computer-usable program code embodied therein.
The present disclosure is described with reference to flowchart illustrations and/or block diagrams of methods, apparatus (systems), and computer program products according to embodiments of the disclosure. It will be understood that each flow and/or block of the flow diagrams and/or block diagrams, and combinations of flows and/or blocks in the flow diagrams and/or block diagrams, can be implemented by computer program instructions. These computer program instructions may be provided to a processor of a general purpose computer, special purpose computer, embedded processor, or other programmable data processing apparatus to produce a machine, such that the instructions, which execute via the processor of the computer or other programmable data processing apparatus, create means for implementing the functions specified in the flowchart flow or flows and/or block diagram block or blocks.
These computer program instructions may also be stored in a computer-readable memory that can direct a computer or other programmable data processing apparatus to function in a particular manner, such that the instructions stored in the computer-readable memory produce an article of manufacture including instruction means which implement the function specified in the flowchart flow or flows and/or block diagram block or blocks.
These computer program instructions may also be loaded onto a computer or other programmable data processing apparatus to cause a series of operational steps to be performed on the computer or other programmable apparatus to produce a computer implemented process such that the instructions which execute on the computer or other programmable apparatus provide steps for implementing the functions specified in the flowchart flow or flows and/or block diagram block or blocks.
The above description is only a preferred embodiment of the present disclosure and is not intended to limit the present disclosure, and various modifications and changes may be made to the present disclosure by those skilled in the art. Any modification, equivalent replacement, improvement and the like made within the spirit and principle of the present disclosure should be included in the protection scope of the present disclosure.
Although the present disclosure has been described with reference to specific embodiments, it should be understood that the scope of the present disclosure is not limited thereto, and those skilled in the art will appreciate that various modifications and changes can be made without departing from the spirit and scope of the present disclosure.

Claims (7)

1. A distributed small current grounding line selection method is characterized in that: distributing an earthing protection device on each power supply line connected with the same bus in a distributed manner, wherein the earthing protection device acquires each phase voltage of the bus, the current of a power supply transformer connected with the bus and the zero-mode current of a protected power supply line, and if the zero-sequence voltage of the bus is greater than a setting value, executing the following line selection steps:
judging the fault phase;
removing protected confessionZero-mode current i of electric line0,iRemoving all high-frequency current above the selected frequency to obtain zero-mode power-frequency-removed high-frequency residual current i of the protected power supply line0,i,α(ii) a Removing power frequency current in the transformer fault phase current, removing all high-frequency current above the selected frequency to obtain power frequency-removed high-frequency residual current i of the transformer fault phaseg,T,α
Calculating zero-mode power frequency and high-frequency removing residual current i of each protected power supply line0,i,αIntegral W of the energy of (1) over the time periods t1 and t2i(ii) a Calculating power frequency and high frequency residual current i of fault phase removing of transformerg,T,αIntegral W of the energy ofg,TIf the line meets the following conditions, judging the line as a fault line;
Wi> Iset,7
Figure FDA0002923932650000011
Figure FDA0002923932650000012
Iset,7、Iset,8、Iset,9setting values are respectively; k is a radical of4、k5Is a proportionality coefficient; i is 1, 2, 3, N; subscript 0 refers to zero sequence; subscript alpha refers to power frequency and high frequency residual current removal; subscript g indicates the faulted phase; subscript T refers to transformer T fault phase; wiZero-mode power frequency and high-frequency residual current removing i of finger line0,i,αIntegral of the energy of (a) over the time periods t1 and t 2; wg,TI for removing power frequency and high frequency residual current from T fault phase of transformerg,T,αIs integrated over the time periods t1 and t 2.
2. The distributed small-current grounding line selection method as claimed in claim 1, characterized in that: the time periods t1 and t2 are selected within a period of time after the protection device is started and before the time of the whole group returning;
or a first half-wave time period;
or only transient current time periods;
or only steady state current periods;
or comprises a transient current time period and a steady state current time period;
or a combination of multiple spaced time periods.
3. The distributed small-current grounding line selection method as claimed in claim 1, characterized in that: the grounding protection device obtains three-phase current or two-phase current or one-phase current of a power supply transformer connected with a bus.
4. A distributed small-current ground line selection method according to claim 3, characterized by: and the grounding protection device acquires the two-phase current of the power supply transformer connected with the bus, and when the fault phase is a missing phase, the power frequency-removing high-frequency residual current of the fault phase is replaced by the reverse direction of the sum of the known two-phase power frequency-removing high-frequency residual currents.
5. A distributed small-current ground line selection method according to claim 3, characterized by: and the grounding protection device acquires a phase current of the power supply transformer connected with the bus, and when the fault phase is a missing phase, the power frequency and high frequency removing residual current of the fault phase is replaced by the known reverse direction of multiplying the power frequency and high frequency removing residual current of the fault phase by two.
6. A distributed small current grounding line selection system is characterized in that: the method comprises a power supply, a transformer and a plurality of power supply lines, wherein the power supply supplies power to the transformer, the transformer supplies power to a bus, the plurality of power supply lines are all connected with the same bus, the transformer is grounded with small current, each power supply line is provided with a respective grounding protection device, and the grounding protection devices perform fault line selection according to the line selection method of any one of claims 1 to 5.
7. The distributed small-current grounding line selection system as claimed in claim 6, wherein: the three phases of the transformer respectively supply power to corresponding phases of the bus, each phase of the transformer is respectively provided with a current transformer, and the secondary side current of each current transformer is respectively input into the grounding protection device of each power supply line.
CN201910595675.8A2019-07-032019-07-03Distributed small-current grounding line selection method and line selection systemActiveCN110221182B (en)

Priority Applications (1)

Application NumberPriority DateFiling DateTitle
CN201910595675.8ACN110221182B (en)2019-07-032019-07-03Distributed small-current grounding line selection method and line selection system

Applications Claiming Priority (1)

Application NumberPriority DateFiling DateTitle
CN201910595675.8ACN110221182B (en)2019-07-032019-07-03Distributed small-current grounding line selection method and line selection system

Publications (2)

Publication NumberPublication Date
CN110221182A CN110221182A (en)2019-09-10
CN110221182Btrue CN110221182B (en)2021-04-02

Family

ID=67815833

Family Applications (1)

Application NumberTitlePriority DateFiling Date
CN201910595675.8AActiveCN110221182B (en)2019-07-032019-07-03Distributed small-current grounding line selection method and line selection system

Country Status (1)

CountryLink
CN (1)CN110221182B (en)

Families Citing this family (3)

* Cited by examiner, † Cited by third party
Publication numberPriority datePublication dateAssigneeTitle
CN112485595B (en)*2020-11-302024-04-09云南电网有限责任公司电力科学研究院 A method and device for ground fault line selection protection in distribution network
CN113219297B (en)*2021-03-242025-05-02杭州华春科技有限公司 A public utility safety electricity monitoring system
CN112886562B (en)*2021-03-302022-11-15河北旭辉电气股份有限公司Transfer resistance adjustable active intervention arc extinction device and application

Citations (6)

* Cited by examiner, † Cited by third party
Publication numberPriority datePublication dateAssigneeTitle
CN101242097A (en)*2008-03-112008-08-13昆明理工大学 Fault line selection method for small current grounding system based on zero-mode current measurement and simulation
CN103018632A (en)*2012-12-102013-04-03江苏大学Small current grounding system single-phase ground fault line selection method based on fisher information
CN104391229A (en)*2014-12-042015-03-04山东大学Transmission line fault fast phase selection method based on S conversion
CN107478963A (en)*2017-09-302017-12-15山东海兴电力科技有限公司Single-phase ground fault line selecting method of small-electric current grounding system based on power network big data
CN108896877A (en)*2018-08-302018-11-27李晓明A kind of small current earthing wire-selecting method and system
JP2019028045A (en)*2017-08-042019-02-21東京電力ホールディングス株式会社Accident response judgment device and method

Family Cites Families (1)

* Cited by examiner, † Cited by third party
Publication numberPriority datePublication dateAssigneeTitle
CN106526429B (en)*2016-12-062019-08-13李晓明A kind of ground fault line selecting method with error correction

Patent Citations (6)

* Cited by examiner, † Cited by third party
Publication numberPriority datePublication dateAssigneeTitle
CN101242097A (en)*2008-03-112008-08-13昆明理工大学 Fault line selection method for small current grounding system based on zero-mode current measurement and simulation
CN103018632A (en)*2012-12-102013-04-03江苏大学Small current grounding system single-phase ground fault line selection method based on fisher information
CN104391229A (en)*2014-12-042015-03-04山东大学Transmission line fault fast phase selection method based on S conversion
JP2019028045A (en)*2017-08-042019-02-21東京電力ホールディングス株式会社Accident response judgment device and method
CN107478963A (en)*2017-09-302017-12-15山东海兴电力科技有限公司Single-phase ground fault line selecting method of small-electric current grounding system based on power network big data
CN108896877A (en)*2018-08-302018-11-27李晓明A kind of small current earthing wire-selecting method and system

Non-Patent Citations (1)

* Cited by examiner, † Cited by third party
Title
基于显示三条线路的小电流接地故障选线方法;李晓明;《电工技术》;20171213;第6-8、22页*

Also Published As

Publication numberPublication date
CN110221182A (en)2019-09-10

Similar Documents

PublicationPublication DateTitle
CN111007427B (en) Single-phase-to-ground fault line selection method for distribution line and computer-readable storage medium
Lotfifard et al.Voltage sag data utilization for distribution fault location
CN112285601B (en) A single-pole ground fault line selection method for multi-terminal small current grounded flexible DC systems
CN110221182B (en)Distributed small-current grounding line selection method and line selection system
CN110954743B (en)Distributed wave recording device and low-current grounding line selection method
CA3018404A1 (en)Method and system for fault positioning and recovery of voltage source converter
CN111856210B (en)Method and device for judging fault type of power distribution network line
CN111969575B (en)Arc extinction method, device and equipment for single-phase earth fault of power distribution network and storage medium
CN109633366A (en)A kind of one-phase earthing failure in electric distribution network phase-selecting method and phase selection device
CN111766473A (en)Power distribution network single-phase earth fault positioning method and system based on slope distance
Aslan et al.Location of faults in power distribution laterals using superimposed components and programmable logic controllers
CN106569096A (en)Online positioning method for single-phase fault of power distribution network
CN107255774B (en)Line selection method based on trip and closing information of mistakenly selected line
Piskunov et al.Improvement of Ground Fault Protection Based on Equivalent Synchrophasors
CN104395767B (en)Fault direction in identification medium voltage network
Jia et al.Impedance-based earth fault location for a non-directly grounded distribution systems
CN110161361B (en)Power system grounding protection line selection method and line selection system
Baeckeland et al.Novel fault distance estimation method for lines connected to converter-based generation
Satpathi et al.Comparison of current-only directional protection in AC and DC power systems
CN114123183A (en)Flexible grounding system applied to ungrounded system of power distribution network and control method thereof
Saber et al.A Unified Directional Protection Element for Converter-Based Islanded Hybrid Microgrid
Acosta et al.Transient behaviour of non-conventional multi-circuit power lines with different voltages levels at the same tower
Bhalja et al.A new digital relaying scheme for parallel transmission line.
CN111273194B (en)Extraction method, line selection method and system for small current ground fault quantity of transformer
XuGround Fault Detection of Small Resistance Grounding System Based on Improved Phase Current Abrupt Variable Method

Legal Events

DateCodeTitleDescription
PB01Publication
PB01Publication
SE01Entry into force of request for substantive examination
SE01Entry into force of request for substantive examination
GR01Patent grant
GR01Patent grant
TR01Transfer of patent right

Effective date of registration:20221205

Address after:Room 202, Unit 3, Building 16, Shunyu Road, Shunyu South District, Shizhong District, Jinan City, Shandong Province

Patentee after:Li Xiaoming

Patentee after:Jining Power Supply Company

Address before:Room 202, Unit 3, Building 16, Shunyu Road, Shunyu South District, Shizhong District, Jinan City, Shandong Province

Patentee before:Li Xiaoming

TR01Transfer of patent right

[8]ページ先頭

©2009-2025 Movatter.jp