Movatterモバイル変換


[0]ホーム

URL:


CN110218218B - Benzofuran derivative, preparation method and medical application thereof - Google Patents

Benzofuran derivative, preparation method and medical application thereof
Download PDF

Info

Publication number
CN110218218B
CN110218218BCN201910148495.5ACN201910148495ACN110218218BCN 110218218 BCN110218218 BCN 110218218BCN 201910148495 ACN201910148495 ACN 201910148495ACN 110218218 BCN110218218 BCN 110218218B
Authority
CN
China
Prior art keywords
compound
group
formula
alkyl
pharmaceutically acceptable
Prior art date
Legal status (The legal status is an assumption and is not a legal conclusion. Google has not performed a legal analysis and makes no representation as to the accuracy of the status listed.)
Active
Application number
CN201910148495.5A
Other languages
Chinese (zh)
Other versions
CN110218218A (en
Inventor
杨方龙
樊兴
王阳
瞿健
张明泉
贺峰
陶维康
Current Assignee (The listed assignees may be inaccurate. Google has not performed a legal analysis and makes no representation or warranty as to the accuracy of the list.)
Jiangsu Hengrui Medicine Co Ltd
Shanghai Hengrui Pharmaceutical Co Ltd
Chengdu Suncadia Pharmaceuticals Co Ltd
Original Assignee
Jiangsu Hengrui Medicine Co Ltd
Shanghai Hengrui Pharmaceutical Co Ltd
Priority date (The priority date is an assumption and is not a legal conclusion. Google has not performed a legal analysis and makes no representation as to the accuracy of the date listed.)
Filing date
Publication date
Application filed by Jiangsu Hengrui Medicine Co Ltd, Shanghai Hengrui Pharmaceutical Co LtdfiledCriticalJiangsu Hengrui Medicine Co Ltd
Publication of CN110218218ApublicationCriticalpatent/CN110218218A/en
Application grantedgrantedCritical
Publication of CN110218218BpublicationCriticalpatent/CN110218218B/en
Activelegal-statusCriticalCurrent
Anticipated expirationlegal-statusCritical

Links

Classifications

Landscapes

Abstract

The invention relates to benzofuran derivatives, a preparation method and application thereof in medicines. In particular to a novel benzofuran derivative shown in a general formula (I), a preparation method thereof, a pharmaceutical composition containing the derivative and application thereof as a therapeutic agent, in particular as a PAR-4 antagonist, wherein each substituent in the general formula (I) is as defined in the specification.

Description

Benzofuran derivative, preparation method and medical application thereof
Technical Field
The invention belongs to the field of medicines, and relates to a novel benzofuran derivative shown as a general formula (I), a preparation method thereof, a pharmaceutical composition containing the derivative, and application of the derivative as a therapeutic agent, in particular as a PAR-4 antagonist.
Background
Protease Activated Receptors (PARs), a G protein-coupled receptor on the cell surface, belong to one of the members of the G protein-coupled receptor superfamily. Like other types of G protein-coupled receptors, protease-activated receptors also have a single-chain seven-transmembrane character. As one of the major receptors on the platelet surface, a total of four protease-activated receptors of this family have been discovered so far, named PAR-1, PAR-2, PAR-3 and PAR-4, respectively. Human platelets express PAR-1 and PAR-4, murine platelets express PAR-3 and PAR-4, but do not express PAR-1.
The researchers discovered PAR-4 in 1998 and further cloned the PAR-4 gene and obtained its sequence from lymphoma cells to a total length of 4.9kb (e.g., Wenfeng, W., et al, Proc. Natl. Acad. Sci.95:6642-6646 (1998)). Structurally, the N-terminal and C-terminal amino acid sequences of PAR-4 differ from other PARs. PAR-4 consists of 385 amino acids and comprises a signal peptide and an extracellular N-terminal Arg/Gly serine protease binding site. The genes for PAR-1, PAR-2 and PAR-3 are all located on human chromosome 5q13, whereas fluorescence in situ hybridization experiments show that the human PAR-4 gene is located on chromosome 19p 12. Unlike the PAR-1 and PAR-3 binding sites, PAR-4 has no procoagulant binding site for hirudin and has a lower affinity for thrombin than PAR-1 and PAR-3. Thus, higher concentrations of thrombin are required in order to activate PAR-4.
The activation principle of PAR-4 is: thrombin first binds to the extracellular N-terminus of PAR-4, cleaving the N-terminal arginine 47/glycine 48 to generate a new N-terminal tet-locking ligand, GYPGQV, which binds to the second extracellular domain and activates the receptor causing a series of signal transduction. In addition, the artificially synthesized ligand-terminal polypeptide fragment GYPGQV (hPAR-4) or AYPGKF (mPAR-4) can also directly activate PAR-4 (e.g., Tatjana, F. et al, J.biol.chem.275:19728-19734 (2000)).
The two thrombin receptors, PAR-1 and PAR-4, expressed by human platelets, are among the targets of antithrombotic drugs. In 5 months 2014, the PAR-1 small molecule antagonist Vorapaxar, approved by the FDA for preventing thrombosis, is currently the only drug that treats thrombosis by antagonizing thrombin receptor activity (e.g., French, S. et al, Blood reviews.29:179-189 (2015)). However, antithrombotic agents targeting the PAR-1 receptor often lead to bleeding, and therefore Vorapaxar cannot be used in patients with cerebral hemorrhage. Research in recent years has found that the risk of bleeding is relatively low for PAR-4 antagonism compared to PAR-1 antagonism, and therefore PAR-4 small molecule antagonists are considered to be potential, safer and more effective antithrombotic agents.
PAR-4 is expressed mainly in the lung, pancreas, thyroid, testis, and small intestine, and is moderately expressed in the digestive tract. In addition to being associated with thrombosis, PAR-4 is involved in other important processes, such as regulation of vascular activity, mediation of cytokines, release of inflammatory mediators and regulation of the immune system. The main coupling pathway for signal transduction between PAR-4 and G protein subunits is activation of phospholipase C (PLC) by G protein Gq, leading to the production of inositol triphosphate (IP3) and Diacylglycerol (DAG) leading to intracellular Ca2+Mobilization, and activation of Protein Kinase C (PKC). All in onePAR-4 is activated by a variety of serine proteases and functions to regulate edema (via the kallikrein-kinin system) and recruit neutrophils in the inflammatory response.
It would therefore be desirable to develop antagonists to PAR-4 for the prevention and/or treatment of thrombotic or patients with a history of myocardial infarction or peripheral arterial disease for the reduction of thrombotic cardiovascular events. Published patent applications for antagonists of the PAR-4 receptor include WO2013163241, WO2013163244, WO2013163279, WO2016134450, WO2016138199, WO2017019828, WO2017066661, WO2017066683, and WO2017184520, among others.
To achieve better therapeutic efficacy and to better meet the market demand, the present invention provides a new structure of highly effective PAR-4 receptor antagonists for prophylactic and therapeutic use in the patient population suffering from conditions associated with thrombosis, embolism, hypercoagulability or fibrosis.
Disclosure of Invention
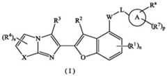
The invention aims to provide a compound shown in a general formula (I) or a tautomer, a meso form, a racemate, an enantiomer, a diastereomer or a mixture form thereof or a pharmaceutically acceptable salt thereof:
Figure BDA0001980795000000021
wherein:
w is an O atom or an S atom;
l is a covalent bond or CR5R6
X is selected from S atom, O atom or CRb=CRc
Ring a is selected from cycloalkyl, heterocyclyl, aryl and heteroaryl;
Rband RcThe same or different, and each is independently selected from the group consisting of hydrogen, halogen, alkyl, alkoxy, haloalkyl, haloalkoxy, hydroxy, hydroxyalkyl, cyano, amino, nitro, cycloalkyl, heterocyclyl, aryl and heteroaryl, wherein said alkyl isCycloalkyl, heterocyclyl, aryl and heteroaryl are each independently optionally substituted with one or more substituents selected from halogen, alkyl, alkoxy, haloalkyl, hydroxy, hydroxyalkyl, cyano, amino, nitro, cycloalkyl, heterocyclyl, aryl and heteroaryl;
R1the same or different, and each is independently selected from the group consisting of hydrogen atoms, halogen, alkyl, alkoxy, haloalkyl, haloalkoxy, hydroxy, hydroxyalkyl, cyano, amino, nitro, cycloalkyl, heterocyclyl, aryl, and heteroaryl, wherein said alkyl, cycloalkyl, heterocyclyl, aryl, and heteroaryl are each independently optionally substituted with one or more substituents selected from the group consisting of halogen, alkyl, alkoxy, haloalkyl, hydroxy, hydroxyalkyl, cyano, amino, nitro, cycloalkyl, heterocyclyl, aryl, and heteroaryl;
R2and R3The same or different, and each is independently selected from the group consisting of hydrogen atom, halogen, alkyl, alkoxy, haloalkyl, haloalkoxy, hydroxy, hydroxyalkyl, cyano, amino, nitro, cycloalkyl, heterocyclyl, aryl, and heteroaryl;
R4the same or different, and each is independently selected from the group consisting of hydrogen atoms, halogen, alkyl, alkoxy, haloalkyl, haloalkoxy, hydroxy, hydroxyalkyl, cyano, amino, nitro, cycloalkyl, heterocyclyl, aryl, and heteroaryl, wherein said alkyl, cycloalkyl, heterocyclyl, aryl, and heteroaryl are each independently optionally substituted with one or more substituents selected from the group consisting of halogen, alkyl, alkoxy, haloalkyl, hydroxy, hydroxyalkyl, cyano, amino, nitro, cycloalkyl, heterocyclyl, aryl, and heteroaryl;
R5and R6The same or different, and each is independently selected from the group consisting of hydrogen atom, halogen, alkyl, alkoxy, haloalkyl, haloalkoxy, hydroxy, hydroxyalkyl, cyano, amino, nitro, cycloalkyl, heterocyclyl, aryl, and heteroaryl;
R7the same or different and each is independently selected from hydrogen atom, halogen, alkyl, alkoxy, haloalkyl, haloalkoxy, hydroxy, hydroxyalkylCyano, amino, nitro, cycloalkyl, heterocyclyl, aryl and heteroaryl, wherein said alkyl, cycloalkyl, heterocyclyl, aryl and heteroaryl are each independently optionally selected from the group consisting of halogen, alkyl, alkoxy, haloalkyl, hydroxy, hydroxyalkyl, cyano, amino, nitro, cycloalkyl, heterocyclyl, -CONR9R10、-S(O)2R11、-OR12Aryl and heteroaryl, substituted with one or more substituents;
Raselected from hydrogen atom, halogen, alkyl, alkoxy, haloalkyl, haloalkoxy, hydroxy, hydroxyalkyl, cyano, amino, nitro, -CONR9R10、-NR9R10、-S(O)2R11、-COR11、-COOR12、-OR12Cycloalkyl, heterocyclyl, aryl and heteroaryl;
or RaIs composed of
Figure BDA0001980795000000031
Wherein Y is an O atom, an S atom or a deletion, J is a covalent bond or an alkylene group, ring B is a cycloalkyl, heterocyclyl, aryl or heteroaryl group, R is a nitrogen atom8The same or different, and each is independently selected from hydrogen atom, halogen, alkyl, alkoxy, haloalkyl, haloalkoxy, hydroxy, hydroxyalkyl, cyano, amino, nitro, -CONR9R10、-NR9R10、-S(O)2R11、-COR11、-COOR12、-OR12Cycloalkyl, heterocyclyl, aryl and heteroaryl;
R9and R10The same or different, and each is independently selected from the group consisting of hydrogen atom, alkyl group, alkoxy group, haloalkyl group, haloalkoxy group, hydroxyl group, hydroxyalkyl group, cyano group, amino group, nitro group, cycloalkyl group, heterocyclic group, aryl group, and heteroaryl group;
or R9And R10Together with the nitrogen atom to which they are attached form a heterocyclic group, wherein the heterocyclic group optionally contains 1 to 2 identical or different heteroatoms selected from the group consisting of N atom, O atom and S atom, in addition to 1 nitrogen atom, andsaid heterocyclyl being optionally substituted with one or more substituents selected from alkyl, alkoxy, oxo, halogen, amino, cyano, nitro, hydroxy, hydroxyalkyl, cycloalkyl, heterocyclyl, aryl and heteroaryl;
R11selected from hydrogen atoms, alkyl groups, haloalkyl groups, amino groups, cycloalkyl groups, heterocyclic groups, aryl groups or heteroaryl groups;
R12selected from hydrogen atoms, alkyl groups, benzyl groups, haloalkyl groups, cycloalkyl groups, heterocyclic groups, aryl groups or heteroaryl groups;
n is 0, 1,2 or 3;
s is 0, 1,2,3 or 4;
p is 0, 1,2 or 3; and is
t is 0, 1,2 or 3.
In a preferred embodiment of the present invention, the compound of formula (I) or a tautomer, mesomer, racemate, enantiomer, or diastereomer thereof, or a mixture thereof, or a pharmaceutically acceptable salt thereof, wherein R isaIs composed of
Figure BDA0001980795000000041
Wherein the ring B, R8And t is as defined in formula (I).
In a preferred embodiment of the present invention, the compound represented by the general formula (I) or a tautomer, a mesomer, a racemate, an enantiomer, a diastereomer, or a mixture thereof, or a pharmaceutically acceptable salt thereof, is a compound represented by the general formula (II) or a tautomer, a mesomer, a racemate, an enantiomer, a diastereomer, or a mixture thereof, or a pharmaceutically acceptable salt thereof:
Figure BDA0001980795000000042
wherein W, L, X, ring A, ring B, R1~R4、R7、R8N, s, p and t are as defined in formula (I).
In the inventionIn an alternative embodiment, the compound of formula (I) or a tautomer, mesomer, racemate, enantiomer, or diastereomer thereof, or a mixture thereof, or a pharmaceutically acceptable salt thereof, wherein L is CR5R6,R5And R6As defined in formula (I).
In a preferred embodiment of the present invention, the compound represented by the general formula (I) or a tautomer, mesomer, racemate, enantiomer, or diastereomer thereof, or a mixture thereof, or a pharmaceutically acceptable salt thereof, wherein W is an O atom.
In a preferred embodiment of the present invention, the compound of formula (I) or a tautomer, mesomer, racemate, enantiomer, or diastereomer thereof, or a mixture thereof, or a pharmaceutically acceptable salt thereof, wherein X is S atom or CRb=CRc,RbAnd RcAre the same or different and are each independently selected from a hydrogen atom, a halogen, an alkyl group or an alkoxy group.
In a preferred embodiment of the present invention, the compound represented by the general formula (I) or a tautomer, a mesomer, a racemate, an enantiomer, a diastereomer, or a mixture thereof, or a pharmaceutically acceptable salt thereof, is a compound represented by the general formula (III) or the general formula (IV) or a tautomer, a mesomer, a racemate, an enantiomer, a diastereomer, or a mixture thereof, or a pharmaceutically acceptable salt thereof:
Figure BDA0001980795000000051
wherein ring A, ring B, R1~R8N, s, p and t are as defined in formula (I).
In a preferred embodiment of the present invention, the compound of formula (I) or a tautomer, mesomer, racemate, enantiomer, diastereomer, or mixture thereof, or a pharmaceutically acceptable salt thereof, wherein the compound is represented by formula (I)The ring A is selected from phenyl and C3-8Cycloalkyl, 3-to 8-membered heterocyclyl or 5-to 6-membered heteroaryl, said heterocyclyl and heteroaryl optionally containing 1-3 heteroatoms, which may be the same or different, selected from N, O and S; preferably ring a is selected from pyrrolidinyl, thiazolyl, phenyl, piperidinyl, azetidinyl, pyridinyl, pyrimidinyl, pyrazolyl and imidazolyl.
In a preferred embodiment of the present invention, the compound of formula (I) or a tautomer, mesomer, racemate, enantiomer, or diastereomer thereof, or a mixture thereof, or a pharmaceutically acceptable salt thereof, wherein ring B is selected from the group consisting of aryl, 5-to 6-membered heteroaryl, and 5-to 6-membered heterocyclyl, and the heteroaryl and heterocyclyl optionally contain 1 to 3 identical or different heteroatoms selected from the group consisting of N, O and S; preferably ring B is selected from phenyl, pyridyl, pyrazinyl, pyrimidinyl, pyridazinyl, furanyl, piperidinyl, piperazinyl and
Figure BDA0001980795000000052
in a preferred embodiment of the present invention, the compound of formula (I) or a tautomer, mesomer, racemate, enantiomer, or diastereomer thereof, or a mixture thereof, or a pharmaceutically acceptable salt thereof, wherein ring B is phenyl or a 5-to 6-membered heteroaryl group, optionally containing 1 to 3 identical or different heteroatoms selected from N atoms, O atoms, and S atoms, preferably ring B is selected from phenyl, pyridyl, pyrazinyl, pyrimidinyl, and pyridazinyl.
In a preferred embodiment of the present invention, the compound of formula (I) or a tautomer, mesomer, racemate, enantiomer, or diastereomer thereof, or a mixture thereof, or a pharmaceutically acceptable salt thereof, wherein R is1Is a hydrogen atom, an alkyl group or an alkoxy group, and n is 0, 1 or 2.
In a preferred embodiment of the present invention, the compound represented by the general formula (I) or a tautomer, mesomer, racemate, enantiomer, diastereomer, or mixture thereof, or a mixture thereofA pharmaceutically acceptable salt thereof, wherein said R2And R3The same or different, and each independently is a hydrogen atom or an alkyl group.
In a preferred embodiment of the present invention, the compound of formula (I) or a tautomer, mesomer, racemate, enantiomer, or diastereomer thereof, or a mixture thereof, or a pharmaceutically acceptable salt thereof, wherein R is4Are the same or different and are each independently selected from the group consisting of a hydrogen atom, a halogen, a cyano group, an alkyl group, a haloalkyl group, an alkoxy group, and a cycloalkyl group.
In a preferred embodiment of the present invention, the compound of formula (I) or a tautomer, mesomer, racemate, enantiomer, or diastereomer thereof, or a mixture thereof, or a pharmaceutically acceptable salt thereof, wherein R is5And R6Are the same or different and are each independently selected from the group consisting of a hydrogen atom, a halogen, and an alkyl group.
In a preferred embodiment of the present invention, the compound of formula (I) or a tautomer, mesomer, racemate, enantiomer, or diastereomer thereof, or a mixture thereof, or a pharmaceutically acceptable salt thereof, wherein R is7Selected from the group consisting of hydrogen atoms, alkyl groups and alkoxy groups.
In a preferred embodiment of the present invention, the compound of formula (I) or a tautomer, mesomer, racemate, enantiomer, or diastereomer thereof, or a mixture thereof, or a pharmaceutically acceptable salt thereof, wherein R is8Are the same or different and are each independently selected from the group consisting of a hydrogen atom, halogen, alkyl, alkoxy, haloalkyl, cyano, -CONR9R10、-COR11or-S (O)2R11
R9And R10Are the same or different and are each independently a hydrogen atom or an alkyl group;
or R9And R10Together with the nitrogen atom to which they are attached form a heterocyclic group, wherein said heterocyclic group optionally contains 1 to 2 of the same or different nitrogen atoms selected from the group consisting of N, O and SA heteroatom of (a);
R11is an alkyl group or a heterocyclic group.
In a preferred embodiment of the present invention, the compound represented by the general formula (I) or a tautomer, a mesomer, a racemate, an enantiomer, a diastereomer, or a mixture thereof, or a pharmaceutically acceptable salt thereof, is a compound represented by the general formula (IIIaa) or a tautomer, a mesomer, a racemate, an enantiomer, a diastereomer, or a mixture thereof, or a pharmaceutically acceptable salt thereof:
Figure BDA0001980795000000071
wherein,
ring a is selected from pyrrolidinyl, thiazolyl, phenyl, piperidinyl, azetidinyl, pyridinyl, pyrimidinyl, pyrazolyl and imidazolyl;
ring B is selected from phenyl, pyridyl, pyrazinyl, pyrimidinyl, pyridazinyl, furanyl, piperidinyl, piperazinyl and
Figure BDA0001980795000000072
R1selected from hydrogen atoms, alkyl groups or alkoxy groups;
R4selected from the group consisting of hydrogen, halogen, cyano, alkyl, haloalkyl, alkoxy, and cycloalkyl;
R7is a hydrogen atom;
R8are the same or different and are each independently selected from the group consisting of a hydrogen atom, halogen, alkyl, alkoxy, haloalkyl, cyano, -CONR9R10or-S (O)2R11
R9And R10Are the same or different and are each independently a hydrogen atom or an alkyl group;
or R9And R10Together with the nitrogen atom to which they are attached form a heterocyclic group, wherein said heterocyclic group optionally contains 1 to 2 of the same or different nitrogen atoms selected from the group consisting of N, O and SA heteroatom;
R11is an alkyl group or a heterocyclic group.
p is 0, 1,2 or 3; and is
t is 0, 1,2 or 3.
In a preferred embodiment of the present invention, the compound represented by the general formula (I) or a tautomer, a mesomer, a racemate, an enantiomer, a diastereomer, or a mixture thereof, or a pharmaceutically acceptable salt thereof, is a compound represented by the general formula (V) or the general formula (VI) or a tautomer, a mesomer, a racemate, an enantiomer, a diastereomer, or a mixture thereof, or a pharmaceutically acceptable salt thereof:
Figure BDA0001980795000000073
wherein:
G1、G2、G3and G4Identical or different, each independently selected from the group consisting of an N atom, a CH or a C atom;
ring a is selected from pyrrolidinyl, thiazolyl, phenyl, piperidinyl, azetidinyl, pyridinyl, pyrimidinyl, pyrazolyl and imidazolyl;
R4are the same or different and are each independently selected from the group consisting of hydrogen, halogen, cyano, alkyl, haloalkyl, alkoxy, and cycloalkyl;
R8are the same or different and are each independently selected from the group consisting of a hydrogen atom, halogen, alkyl, alkoxy, haloalkyl, cyano, -CONR9R10、-COR11or-S (O)2R11
R9And R10Are the same or different and are each independently a hydrogen atom or an alkyl group;
or R9And R10Together with the nitrogen atom to which they are attached form a heterocyclic group, wherein said heterocyclic group optionally contains 1 to 2 identical or different heteroatoms selected from the group consisting of N atoms, O atoms and S atoms, in addition to 1 nitrogen atom;
R11is alkyl or heterocyclyl;
s is 0, 1 or 2; and is
t is 0, 1 or 2.
In a preferred embodiment of the present invention, the compound represented by the general formula (I) or a tautomer, a mesomer, a racemate, an enantiomer, a diastereomer, or a mixture thereof, or a pharmaceutically acceptable salt thereof, is a compound represented by the general formula (V-a), the general formula (V-b), the general formula (VI-a), or the general formula (VI-b), or a tautomer, a mesomer, a racemate, an enantiomer, a diastereomer, or a mixture thereof, or a pharmaceutically acceptable salt thereof:
Figure BDA0001980795000000081
wherein:
q is 0, 1 or 2;
G1、G2、G3and G4Identical or different, each independently selected from N, CH or C;
R4are the same or different and are each independently selected from the group consisting of hydrogen, halogen, cyano, alkyl, haloalkyl, alkoxy, and cycloalkyl;
R8are the same or different and are each independently selected from the group consisting of a hydrogen atom, halogen, alkyl, alkoxy, haloalkyl, cyano, -CONR9R10、-COR11or-S (O)2R11
R9And R10Are the same or different and are each independently a hydrogen atom or an alkyl group;
or R9And R10Together with the nitrogen atom to which they are attached form a heterocyclic group, wherein said heterocyclic group optionally contains 1 to 2 heteroatoms, which may be the same or different, selected from N, O and S, in addition to 1 nitrogen atom;
R11is alkyl or heterocyclyl;
s is 0, 1 or 2; and is
t is 0, 1 or 2.
Typical compounds of the invention include, but are not limited to:
Figure BDA0001980795000000091
Figure BDA0001980795000000101
Figure BDA0001980795000000111
Figure BDA0001980795000000121
Figure BDA0001980795000000131
Figure BDA0001980795000000141
Figure BDA0001980795000000151
Figure BDA0001980795000000161
Figure BDA0001980795000000171
or a tautomer, mesomer, racemate, enantiomer, diastereomer, or mixture thereof, or a pharmaceutically acceptable salt thereof.
Another aspect of the present invention relates to a compound of formula (IA) or a tautomer, mesomer, racemate, enantiomer, or diastereomer thereof, or a mixture thereof, or a pharmaceutically acceptable salt thereof:
Figure BDA0001980795000000172
wherein:
w is an O atom or an S atom;
x is selected from S atom, O atom or CRb=CRc
RbAnd RcThe same or different, and each is independently selected from the group consisting of hydrogen atoms, halogen, alkyl, alkoxy, haloalkyl, haloalkoxy, hydroxy, hydroxyalkyl, cyano, amino, nitro, cycloalkyl, heterocyclyl, aryl, and heteroaryl, wherein said alkyl, cycloalkyl, heterocyclyl, aryl, and heteroaryl are each independently optionally substituted with one or more substituents selected from the group consisting of halogen, alkyl, alkoxy, haloalkyl, hydroxy, hydroxyalkyl, cyano, amino, nitro, cycloalkyl, heterocyclyl, aryl, and heteroaryl;
R1the same or different, and each is independently selected from the group consisting of hydrogen atoms, halogen, alkyl, alkoxy, haloalkyl, haloalkoxy, hydroxy, hydroxyalkyl, cyano, amino, nitro, cycloalkyl, heterocyclyl, aryl, and heteroaryl, wherein said alkyl, cycloalkyl, heterocyclyl, aryl, and heteroaryl are each independently optionally substituted with one or more substituents selected from the group consisting of halogen, alkyl, alkoxy, haloalkyl, hydroxy, hydroxyalkyl, cyano, amino, nitro, cycloalkyl, heterocyclyl, aryl, and heteroaryl;
R2and R3The same or different, and each is independently selected from the group consisting of hydrogen atom, halogen, alkyl, alkoxy, haloalkyl, haloalkoxy, hydroxy, hydroxyalkyl, cyano, amino, nitro, cycloalkyl, heterocyclyl, aryl, and heteroaryl;
R4the same or different and each is independently selected from hydrogen atom, halogen, alkyl, alkoxy, haloalkyl, haloalkoxy, hydroxy, hydroxyalkyl, cyanogenA group selected from the group consisting of alkyl, alkoxy, haloalkyl, hydroxy, hydroxyalkyl, cyano, amino, nitro, cycloalkyl, heterocyclyl, aryl, and heteroaryl, wherein said alkyl, cycloalkyl, heterocyclyl, aryl, and heteroaryl are each independently optionally substituted with one or more substituents selected from the group consisting of halogen, alkyl, alkoxy, haloalkyl, hydroxy, hydroxyalkyl, cyano, amino, nitro, cycloalkyl, heterocyclyl, aryl, and heteroaryl;
n is 0, 1,2 or 3; and is
s is 0, 1,2,3 or 4.
Another preferred embodiment of the present invention relates to a compound of formula (IA) or a tautomer, mesomer, racemate, enantiomer, or diastereomer thereof, or a mixture thereof, or a pharmaceutically acceptable salt thereof, which is represented by formula (IIIA) or formula (IVA) or a tautomer, mesomer, racemate, enantiomer, or diastereomer thereof, or a mixture thereof, or a pharmaceutically acceptable salt thereof:
Figure BDA0001980795000000181
wherein R is1~R4N and s are as defined in formula (IA).
Another aspect of the present invention relates to a compound of formula (IA') or a tautomer, mesomer, racemate, enantiomer, or diastereomer thereof, or a mixture thereof, or a pharmaceutically acceptable salt thereof:
Figure BDA0001980795000000182
wherein:
w is an O atom or an S atom;
l is a covalent bond or CR5R6
Ring a is selected from cycloalkyl, heterocyclyl, aryl and heteroaryl;
R1are the same or different and are each independently selected from the group consisting of a hydrogen atom, a halogen, an alkyl group, an alkoxy group, a haloalkyl group, and a haloalkaneOxy, hydroxy, hydroxyalkyl, cyano, amino, nitro, cycloalkyl, heterocyclyl, aryl and heteroaryl, wherein said alkyl, cycloalkyl, heterocyclyl, aryl and heteroaryl are each independently optionally substituted with one or more substituents selected from the group consisting of halogen, alkyl, alkoxy, haloalkyl, hydroxy, hydroxyalkyl, cyano, amino, nitro, cycloalkyl, heterocyclyl, aryl and heteroaryl;
R2and R3The same or different, and each is independently selected from the group consisting of hydrogen atom, halogen, alkyl, alkoxy, haloalkyl, haloalkoxy, hydroxy, hydroxyalkyl, cyano, amino, nitro, cycloalkyl, heterocyclyl, aryl, and heteroaryl;
R5and R6The same or different, and each is independently selected from the group consisting of hydrogen atom, halogen, alkyl, alkoxy, haloalkyl, haloalkoxy, hydroxy, hydroxyalkyl, cyano, amino, nitro, cycloalkyl, heterocyclyl, aryl, and heteroaryl;
R7the same or different, and each is independently selected from the group consisting of hydrogen, halogen, alkyl, alkoxy, haloalkyl, haloalkoxy, hydroxy, hydroxyalkyl, cyano, amino, nitro, cycloalkyl, heterocyclyl, aryl, and heteroaryl, wherein said alkyl, cycloalkyl, heterocyclyl, aryl, and heteroaryl are each independently optionally selected from the group consisting of halogen, alkyl, alkoxy, haloalkyl, hydroxy, hydroxyalkyl, cyano, amino, nitro, cycloalkyl, heterocyclyl, -CONR9R10、-S(O)2R11、-OR12Aryl and heteroaryl, substituted with one or more substituents;
Raselected from hydrogen atom, halogen, alkyl, alkoxy, haloalkyl, haloalkoxy, hydroxy, hydroxyalkyl, cyano, amino, nitro, -CONR9R10、-NR9R10、-S(O)2R11、-COR11、-COOR12、-OR12Cycloalkyl, heterocyclyl, aryl and heteroaryl;
or RaIs composed of
Figure BDA0001980795000000191
Wherein Y is an O atom, an S atom or a deletion, J is a covalent bond or an alkylene group, ring B is a cycloalkyl, heterocyclyl, aryl or heteroaryl group, R is a nitrogen atom8The same or different, and each is independently selected from hydrogen atom, halogen, alkyl, alkoxy, haloalkyl, haloalkoxy, hydroxy, hydroxyalkyl, cyano, amino, nitro, -CONR9R10、-NR9R10、-S(O)2R11、-COR11、-COOR12、-OR12Cycloalkyl, heterocyclyl, aryl and heteroaryl;
R9and R10The same or different, and each is independently selected from the group consisting of hydrogen atom, alkyl group, alkoxy group, haloalkyl group, haloalkoxy group, hydroxyl group, hydroxyalkyl group, cyano group, amino group, nitro group, cycloalkyl group, heterocyclic group, aryl group, and heteroaryl group;
or R9And R10Together with the nitrogen atom to which they are attached, to form a heterocyclic group, wherein the heterocyclic group optionally contains 1 to 2 same or different heteroatoms selected from N atoms, O atoms, and S atoms in addition to 1 nitrogen atom, and the heterocyclic group is optionally substituted with one or more substituents selected from the group consisting of alkyl, alkoxy, oxo, halogen, amino, cyano, nitro, hydroxy, hydroxyalkyl, cycloalkyl, heterocyclic, aryl, and heteroaryl;
R11selected from hydrogen atoms, alkyl groups, haloalkyl groups, amino groups, cycloalkyl groups, heterocyclic groups, aryl groups or heteroaryl groups;
R12selected from a hydrogen atom, an alkyl group, a benzyl group, a haloalkyl group, a cycloalkyl group, a heterocyclic group, an aryl group, or a heteroaryl group;
n is 0, 1,2 or 3;
p is 0, 1,2 or 3; and is
t is 0, 1,2 or 3.
In a preferred embodiment of the present invention, the compound of formula (IA') or a tautomer, mesomer, racemate, enantiomer, diastereomer, or mixture thereof, or a pharmaceutically acceptable salt thereof, whereinR is as describedaIs composed of
Figure BDA0001980795000000201
Wherein the ring B, R8And t is as defined in formula (IA').
Another preferred embodiment of the present invention relates to a compound of formula (IA ') or a tautomer, mesomer, racemate, enantiomer, or diastereomer thereof, or a mixture thereof, or a pharmaceutically acceptable salt thereof, which is a compound of formula (IIA') or a tautomer, mesomer, racemate, enantiomer, or diastereomer thereof, or a mixture thereof, or a pharmaceutically acceptable salt thereof:
Figure BDA0001980795000000202
wherein: w, L, Ring A, Ring B, R1、R2、R3、R7、R8N, p and t are as defined in formula (IA').
Another preferred embodiment of the present invention relates to a compound of formula (IA ') or a tautomer, mesomer, racemate, enantiomer, or diastereomer thereof, or a mixture thereof, or a pharmaceutically acceptable salt thereof, which is a compound of formula (IIIA') or a tautomer, mesomer, racemate, enantiomer, or diastereomer thereof, or a mixture thereof, or a pharmaceutically acceptable salt thereof:
Figure BDA0001980795000000203
wherein: ring A, ring B, R1、R2、R3、R5~R8N, p and t are as defined in formula (IA').
Typical intermediates of the invention include, but are not limited to:
Figure BDA0001980795000000204
Figure BDA0001980795000000211
another aspect of the present invention relates to a method of preparing a compound of formula (I), the method comprising:
Figure BDA0001980795000000221
reacting a compound of formula (IA) with a compound of formula (IB) to give a compound of formula (I),
wherein:
m is a leaving group, preferably-OS (O)2R13Or halogen;
R13is alkyl, amino, alkylamino, dialkylamino or cycloalkyl;
w, L, X, ring A, R1~R4、R7、RaN, s and p are as defined in formula (I).
Another aspect of the present invention relates to a method of preparing a compound represented by the general formula (II), the method comprising:
Figure BDA0001980795000000222
reacting a compound of formula (IA) with a compound of formula (IIB) to give a compound of formula (II),
wherein:
m is a leaving group, preferably-OS (O)2R13Or halogen;
R13is alkyl, amino, alkylamino, dialkylamino or cycloalkyl;
w, L, X, Ring A, Ring B, R1~R4、R7、R8N, s, p and t are as defined in formula (II).
Another aspect of the present invention relates to a method of preparing a compound of formula (III), comprising:
Figure BDA0001980795000000223
reacting the compound of the general formula (IIIA) with the compound of the general formula (IIIB) to obtain a compound of a general formula (III),
wherein:
m is a leaving group, preferably-OS (O)2R13Or halogen;
R13is alkyl, amino, alkylamino, dialkylamino or cycloalkyl;
ring A, ring B, R1~R8N, s, p and t are as defined in formula (III).
Another aspect of the present invention relates to a method for preparing a compound represented by the general formula (IIIaa), the method comprising:
Figure BDA0001980795000000231
reacting the compound of formula (IIIa) with the compound of formula (IIIb) to obtain the compound of formula (IIIaa),
wherein:
m is a leaving group, preferably-OS (O)2R13Or halogen;
R13is alkyl, amino, alkylamino, dialkylamino or cycloalkyl;
ring A, ring B, R1、R4、R7、R8P and t are as defined in formula (IIIaa).
Another aspect of the present invention relates to a method for preparing a compound of formula (IV), comprising:
Figure BDA0001980795000000232
reacting the compound of formula (IVA) with a compound of formula (IIIB) to give a compound of formula (IV),
wherein:
m is a leaving group, preferably-OS (O)2R13Or halogen;
R13is alkyl, amino, alkylamino, dialkylamino or cycloalkyl;
ring A, ring B, R1~R8N, s, p and t are as defined in formula (IV).
Another aspect of the present invention relates to a method for preparing a compound represented by the general formula (V), the method comprising:
Figure BDA0001980795000000233
reacting a compound of general formula (VA) with a compound of general formula (VB) to give a compound of general formula (V),
wherein:
m is a leaving group, preferably-OS (O)2R13Or halogen;
R13is alkyl, amino, alkylamino, dialkylamino or cycloalkyl;
ring A, G1~G4、R4、R8S and t are as defined in formula (V).
Another aspect of the present invention relates to a method of preparing a compound of formula (VI), comprising:
Figure BDA0001980795000000241
reacting a compound of formula (VIA) with a compound of formula (VB) to give a compound of formula (VI),
wherein:
m is a leaving group, preferably-OS (O)2R13Or halogen;
R13is alkyl, amino, alkylamino, dialkylamino or cycloalkyl;
ring A, G1~G4、R4、R8S and t are as defined in formula (VI).
Another aspect of the present invention relates to a method of preparing a compound of formula (I), the method comprising:
Figure BDA0001980795000000242
reacting a compound of formula (IA ') with a compound of formula (IB') to give a compound of formula (I),
wherein:
w, L, X, ring A, R1~R4、R7、RaN, s and p are as defined in formula (I).
Another aspect of the present invention relates to a method of preparing a compound represented by the general formula (II), the method comprising:
Figure BDA0001980795000000243
reacting the compound of formula (IIA ') with the compound of formula (IB') to obtain a compound of formula (II),
wherein:
w, L, X, Ring A, Ring B, R1~R4、R7、R8N, s, p and t are as defined in formula (II).
Another aspect of the present invention relates to a method of preparing a compound of formula (III), comprising:
Figure BDA0001980795000000251
reacting the compound of formula (IIIA ') with the compound of formula (IIIB') to obtain the compound of formula (III),
wherein:
ring A, ring B, R1~R8N, s, p and t are as defined in formula (III).
Another aspect of the present invention relates to a method for preparing a compound represented by the general formula (IIIaa), the method comprising:
Figure BDA0001980795000000252
reacting the compound of formula (IIIa ') with the compound of formula (IIIb') to obtain the compound of formula (IIIaa),
wherein:
ring A, ring B, R1、R4、R7、R8P and t are as defined in formula (IIIaa).
Another aspect of the present invention relates to a method for preparing a compound of formula (IV), comprising:
Figure BDA0001980795000000253
reacting the compound of formula (IIIA ') with the compound of formula (IVB') to give the compound of formula (IV),
wherein:
ring A, ring B, R1~R8N, s, p and t are as defined in formula (IV).
Another aspect of the present invention relates to a method for preparing a compound represented by the general formula (V), the method comprising:
Figure BDA0001980795000000261
reacting the compound of formula (VA ') with the compound of formula (IIIB') to obtain the compound of formula (V),
wherein:
ring A, G1~G4、R4、R8S and t are as defined in formula (V).
Another aspect of the present invention relates to a method of preparing a compound of formula (VI), comprising:
Figure BDA0001980795000000262
reacting the compound of formula (VA ') with the compound of formula (IVB') to give the compound of formula (VI),
wherein:
ring A, G1~G4、R4、R8S and t are as defined in formula (VI).
Another aspect of the present invention relates to a pharmaceutical composition comprising a therapeutically effective amount of a compound of formula (I) or a tautomer, mesomer, racemate, enantiomer, or diastereomer thereof, or mixture thereof, or a pharmaceutically acceptable salt thereof, and a pharmaceutically acceptable carrier, diluent, or excipient.
Another aspect of the present invention relates to a compound of formula (I) or a tautomer, mesomer, racemate, enantiomer, diastereomer or mixture thereof, or a pharmaceutically acceptable salt thereof, or a pharmaceutical composition comprising the same, for use as a medicament.
Another aspect of the invention relates to the use of a compound of formula (I) or a tautomer, mesomer, racemate, enantiomer, diastereomer, or mixture thereof, or a pharmaceutically acceptable salt thereof, or a pharmaceutical composition comprising the same, in the manufacture of a medicament for antagonizing PAR-4.
Another aspect of the present invention relates to a compound of formula (I) or a tautomer, mesomer, racemate, enantiomer, diastereomer, or mixture thereof, or a pharmaceutically acceptable salt thereof, or a pharmaceutical composition comprising the same, for use as a PAR-4 antagonist.
Another aspect of the present invention relates to the use of a compound of formula (I) or a tautomer, mesomer, racemate, enantiomer, diastereomer, or mixture thereof, or a pharmaceutically acceptable salt thereof, or a pharmaceutical composition comprising the same, for the manufacture of a medicament for the treatment or prevention of a disease of platelet aggregation.
Another aspect of the present invention relates to the use of a compound of formula (I) or a tautomer, mesomer, racemate, enantiomer, diastereomer, or mixture thereof, or a pharmaceutically acceptable salt thereof, or a pharmaceutical composition comprising the same, for the manufacture of a medicament for the treatment or prophylaxis of a thromboembolic disorder, wherein the thromboembolic disorder is preferably selected from the group consisting of arterial cardiovascular thromboembolic disorders, venous cardiovascular thromboembolic disorders, cerebrovascular thromboembolic disorders, and thromboembolic disorders in the heart chambers or peripheral circulation.
Another aspect of the invention relates to a method of antagonizing PAR-4 comprising administering to a patient a therapeutically effective amount of a compound of formula (I) or a tautomer, mesomer, racemate, enantiomer, diastereomer, or mixture thereof, or a pharmaceutically acceptable salt thereof, or a pharmaceutical composition comprising the same.
Another aspect of the present invention relates to a method for treating or preventing a disease of platelet aggregation, which comprises administering to a patient a therapeutically effective dose of a compound represented by the general formula (I) or a tautomer, mesomer, racemate, enantiomer, diastereomer or mixture thereof, or a pharmaceutically acceptable salt thereof, or a pharmaceutical composition comprising the same.
Another aspect of the present invention relates to a method for treating or preventing a thromboembolic disorder, comprising administering to a patient a therapeutically effective amount of a compound of formula (I) or a tautomer, mesomer, racemate, enantiomer, diastereomer, or mixture thereof, or a pharmaceutically acceptable salt thereof, or a pharmaceutical composition comprising the same, wherein the thromboembolic disorder is preferably selected from the group consisting of arterial cardiovascular thromboembolic disorders, venous cardiovascular thromboembolic disorders, cerebrovascular thromboembolic disorders, and thromboembolic disorders in the heart chambers or peripheral circulation.
The dosage of the compound or composition used in the methods of treatment of the present invention will generally vary with the severity of the disease, the weight of the patient and the relative efficacy of the compound. However, as a general guide, a suitable unit dose may be 0.1 to 1000 mg.
The pharmaceutical compositions of the invention may contain, in addition to the active compound, one or more adjuvants selected from the following: fillers (diluents), binders, wetting agents, disintegrants, excipients, and the like. Depending on the method of administration, the compositions may contain from 0.1 to 99% by weight of active compound.
The pharmaceutical compositions containing the active ingredient may be in a form suitable for oral use, for example, as tablets, troches, lozenges, aqueous or oily suspensions, dispersible powders or granules, emulsions, hard or soft capsules, or syrups or elixirs. Oral compositions may be prepared according to any method known in the art for preparing pharmaceutical compositions, and such compositions may contain one or more ingredients selected from the group consisting of: sweetening agents, flavoring agents, coloring agents and preserving agents in order to provide a pleasant to the eye and palatable pharmaceutical preparation. Tablets contain the active ingredient in admixture with non-toxic pharmaceutically acceptable excipients which are suitable for the manufacture of tablets. These excipients may be inert excipients, granulating agents, disintegrating agents, binding agents, and lubricating agents, and these tablets may be uncoated or they may be coated by known techniques which mask the taste of the drug or delay disintegration and absorption in the gastrointestinal tract, thereby providing a sustained release effect over a longer period of time.
Oral formulations may also be provided in soft gelatin capsules wherein the active ingredient is mixed with an inert solid diluent or wherein the active ingredient is mixed with a water soluble carrier or an oil vehicle.
Aqueous suspensions contain the active materials in admixture with excipients suitable for the manufacture of aqueous suspensions. Such excipients are suspending, dispersing or wetting agents. Aqueous suspensions may also contain one or more preservatives, one or more coloring agents, one or more flavoring agents, and one or more sweetening agents.
Oil suspensions may be formulated by suspending the active ingredient in a vegetable oil, or in a mineral oil. The oil suspension may contain a thickener. Sweetening agents such as those set forth above, and flavoring agents may be added to provide a palatable preparation. These compositions can be preserved by the addition of antioxidants.
The pharmaceutical compositions of the invention may also be in the form of oil-in-water emulsions. The oily phase may be a vegetable oil, or a mineral oil or a mixture thereof. Suitable emulsifiers may be naturally occurring phospholipids, and the emulsions may also contain sweetening, flavoring, preservative and antioxidant agents. Such formulations may also contain a demulcent, a preservative, a colorant and an antioxidant.
The pharmaceutical compositions of the present invention may be in the form of a sterile injectable aqueous solution. Among the acceptable vehicles or solvents that may be employed are water, ringer's solution and isotonic sodium chloride solution. The sterile injectable preparation may be a sterile injectable oil-in-water microemulsion in which the active ingredient is dissolved in an oil phase, and the injection or microemulsion may be injected into the bloodstream of a patient by local mass injection. Alternatively, it may be desirable to administer the solutions and microemulsions in a manner that maintains a constant circulating concentration of the compounds of the present invention. To maintain such a constant concentration, a continuous intravenous delivery device may be used. An example of such a device is an intravenous pump model Deltec CADD-PLUS. TM.5400.
The pharmaceutical compositions may be in the form of sterile injectable aqueous or oleaginous suspensions for intramuscular and subcutaneous administration. The suspension may be formulated according to the known art using those suitable dispersing or wetting agents and suspending agents which have been mentioned above. The sterile injectable preparation may also be a sterile injectable solution or suspension in a parenterally-acceptable, non-toxic diluent or solvent. In addition, sterile, fixed oils are conventionally employed as a solvent or suspending medium.
The compounds of the present invention may be administered in the form of suppositories for rectal administration. These pharmaceutical compositions can be prepared by mixing the drug with a suitable non-irritating excipient which is solid at ordinary temperatures but liquid in the rectum and therefore will melt in the rectum to release the drug. Such materials include cocoa butter, glycerogelatin, hydrogenated vegetable oils, polyethylene glycols of various molecular weights and mixtures of fatty acid esters of polyethylene glycols.
As is well known to those skilled in the art, the dosage of a drug administered depends on a variety of factors, including, but not limited to: the activity of the particular compound employed, the age of the patient, the weight of the patient, the health condition of the patient, the behavior of the patient, the diet of the patient, the time of administration, the mode of administration, the rate of excretion, the combination of drugs, and the like; in addition, the optimal treatment regimen, such as the mode of treatment, the daily amount of compound (I) of the formula or the type of pharmaceutically acceptable salt, can be verified according to conventional treatment protocols.
Detailed description of the invention
Unless stated to the contrary, terms used in the specification and claims have the following meanings.
The term "alkyl" refers to a saturated aliphatic hydrocarbon group which is a straight or branched chain group containing 1 to 20 carbon atoms, preferably an alkyl group containing 1 to 12 carbon atoms, more preferably an alkyl group containing 1 to 6 carbon atoms. Non-limiting examples include methyl, ethyl, n-propyl, isopropyl, n-butyl, isobutyl, tert-butyl, sec-butyl, n-pentyl, 1-dimethylpropyl, 1, 2-dimethylpropyl, 2-dimethylpropyl, 1-ethylpropyl, 2-methylbutyl, 3-methylbutyl, n-hexyl, 1-ethyl-2-methylpropyl, 1, 2-trimethylpropyl, 1-dimethylbutyl, 1, 2-dimethylbutyl, 2-dimethylbutyl, 1, 3-dimethylbutyl, 2-ethylbutyl, 2-methylpentyl, 3-methylpentyl, 4-methylpentyl, 2, 3-dimethylbutyl, n-heptyl, 2-methylhexyl, 3-methylhexyl, 4-methylhexyl, 5-methylhexyl, 2, 3-dimethylpentyl, 2, 4-dimethylpentyl, 2-dimethylpentyl, 3-dimethylpentyl, 2-ethylpentyl, 3-ethylpentyl, n-octyl, 2, 3-dimethylhexyl, 2, 4-dimethylhexyl, 2, 5-dimethylhexyl, 2-dimethylhexyl, 3-dimethylhexyl, 4-dimethylhexyl, 2-ethylhexyl, 3-ethylhexyl, 4-ethylhexyl, 2-methyl-2-ethylpentyl, 2-methyl-3-ethylpentyl, n-nonyl, 2-methyl-2-ethylhexyl, 2-methyl-3-ethylhexyl, 2-dimethylpentyl, 2-dimethylhexyl, 3-dimethylpentyl, 2-ethylhexyl, 3-dimethylhexyl, 2-ethylhexyl, 2-dimethylhexyl, 2-ethylhexyl, 2-dimethylhexyl, 2-dimethylhexyl, 2-dimethylhexyl, 2-ethylhexyl, 2-ethyl, 2-2, 2-2, 2-2, or, 2, 2-diethylpentyl, n-decyl, 3-diethylhexyl, 2-diethylhexyl, and various branched isomers thereof. More preferred are lower alkyl groups containing 1 to 6 carbon atoms, non-limiting examples of which include methyl, ethyl, n-propyl, isopropyl, n-butyl, isobutyl, tert-butyl, sec-butylButyl, n-pentyl, 1-dimethylpropyl, 1, 2-dimethylpropyl, 2-dimethylpropyl, 1-ethylpropyl, 2-methylbutyl, 3-methylbutyl, n-hexyl, 1-ethyl-2-methylpropyl, 1, 2-trimethylpropyl, 1-dimethylbutyl, 1, 2-dimethylbutyl, 2-dimethylbutyl, 1, 3-dimethylbutyl, 2-ethylbutyl, 2-methylpentyl, 3-methylpentyl, 4-methylpentyl, 2, 3-dimethylbutyl, and the like. Alkyl groups may be substituted or unsubstituted, and when substituted, substituents may be substituted at any available point of attachment, said substituents being independently optionally selected from halogen, alkyl, haloalkyl, alkoxy, haloalkoxy, alkylthio, alkylamino, alkenyl, alkynyl, mercapto, hydroxy, hydroxyalkyl, cyano, amino, nitro, cycloalkyl, heterocyclyl, aryl, heteroaryl, cycloalkoxy, heterocycloalkoxy, cycloalkylthio, heterocycloalkylthio, -CONR9R10、-NR9R10、-S(O)2R11、-COR11、-COOR12、-OR12And oxo is substituted with one or more substituents.
The term "alkylene" refers to a saturated straight or branched chain aliphatic hydrocarbon group having 2 residues derived from the parent alkane by removal of two hydrogen atoms from the same carbon atom or two different carbon atoms, and is a straight or branched chain group containing 1 to 20 carbon atoms, preferably an alkylene group containing 1 to 12 carbon atoms, more preferably 1 to 6 carbon atoms. Non-limiting examples of alkylene groups include, but are not limited to, methylene (-CH)2-), 1-ethylidene (-CH (CH)3) -), 1, 2-ethylene (-CH)2CH2) -, 1-propylene (-CH (CH)2CH3) -), 1, 2-propylene (-CH)2CH(CH3) -), 1, 3-propylene (-CH)2CH2CH2-) 1, 4-butylene (-CH2CH2CH2CH2-) and 1, 5-butylene (-CH)2CH2CH2CH2CH2-) and the like. The alkylene group may be substituted or unsubstituted, and when substituted, the substituents may be substituted at any available point of attachment, preferably independently optionally selected from alkylAlkenyl, alkynyl, alkoxy, alkylthio, alkylamino, halogen, mercapto, hydroxy, nitro, cyano, cycloalkyl, heterocyclyl, aryl, heteroaryl, cycloalkoxy, heterocycloalkoxy, cycloalkylthio, heterocycloalkylthio, oxo, -CONR9R10、-NR9R10、-S(O)2R11、-COR11、-COOR12and-OR12Is substituted with one or more substituents.
The term "alkoxy" refers to-O- (alkyl) and-O- (unsubstituted cycloalkyl), wherein alkyl and cycloalkyl are as defined above. Non-limiting examples of alkoxy groups include: methoxy, ethoxy, propoxy, butoxy, cyclopropoxy, cyclobutoxy, cyclopentyloxy, cyclohexyloxy. Alkoxy may be optionally substituted or unsubstituted, and when substituted, substituents may be substituted at any available point of attachment, independently optionally selected from halogen, alkyl, haloalkyl, alkoxy, haloalkoxy, alkylthio, alkylamino, alkenyl, alkynyl, mercapto, hydroxy, hydroxyalkyl, cyano, amino, nitro, cycloalkyl, heterocyclyl, aryl, heteroaryl, cycloalkoxy, heterocycloalkoxy, cycloalkylthio, heterocycloalkylthio, -CONR9R10、-NR9R10、-S(O)2R11、-COR11、-COOR12、-OR12And oxo is substituted with one or more substituents.
The term "cycloalkyl" refers to a saturated or partially unsaturated monocyclic or polycyclic cyclic hydrocarbon substituent, the cycloalkyl ring containing from 3 to 20 carbon atoms, preferably 3 to 12 carbon atoms or 3 to 8 carbon atoms, more preferably 3 to 6 carbon atoms, and most preferably 5 to 6 carbon atoms. Non-limiting examples of monocyclic cycloalkyl groups include cyclopropyl, cyclobutyl, cyclopentyl, cyclopentenyl, cyclohexyl, cyclohexenyl, cyclohexadienyl, cycloheptyl, cycloheptatrienyl, cyclooctyl, and the like; polycyclic cycloalkyl groups include spiro, fused and bridged cycloalkyl groups.
The term "spirocycloalkyl" refers to a 5 to 20 membered polycyclic group sharing one carbon atom (referred to as a spiro atom) between monocyclic rings, which may contain one or more double bonds, but none of the rings have a completely conjugated pi-electron system. Preferably 6 to 14, more preferably 7 to 10. Spirocycloalkyl groups are classified into a single spirocycloalkyl group, a double spirocycloalkyl group or a multi spirocycloalkyl group, preferably a single spirocycloalkyl group and a double spirocycloalkyl group, according to the number of spiro atoms shared between rings. More preferably 4-membered/4-membered, 4-membered/5-membered, 4-membered/6-membered, 5-membered/5-membered or 5-membered/6-membered. Non-limiting examples of spirocycloalkyl groups include:
Figure BDA0001980795000000301
the term "fused cyclic alkyl" refers to a 5 to 20 membered all carbon polycyclic group in which each ring in the system shares an adjacent pair of carbon atoms with other rings in the system, wherein one or more of the rings may contain one or more double bonds, but none of the rings has a completely conjugated pi-electron system. Preferably 6 to 14, more preferably 7 to 10. They may be classified into bicyclic, tricyclic, tetracyclic or polycyclic fused ring alkyls according to the number of constituent rings, preferably bicyclic or tricyclic, more preferably 5-or 6-membered bicycloalkyl. Non-limiting examples of fused ring alkyl groups include:
Figure BDA0001980795000000302
the term "bridged cycloalkyl" refers to a 5 to 20 membered all carbon polycyclic group in which any two rings share two carbon atoms not directly attached, which may contain one or more double bonds, but none of the rings have a completely conjugated pi-electron system. Preferably 6 to 14, more preferably 7 to 10. They may be classified into bicyclic, tricyclic, tetracyclic or polycyclic bridged cycloalkyl groups according to the number of constituent rings, preferably bicyclic, tricyclic or tetracyclic, more preferably bicyclic or tricyclic. Non-limiting examples of bridged cycloalkyl groups include:
Figure BDA0001980795000000303
said cycloalkyl ring including those wherein said cycloalkyl (e.g., spirocycloalkyl, fused ring alkyl, and bridged cycloalkyl) is fused to an aryl, heteroaryl, or heterocycloalkyl ring wherein the ring to which the parent structure is attached is cycloalkyl, non-limiting examples of which include indanyl, tetrahydronaphthyl, benzocycloheptanyl, and the like; preferably phenyl and cyclopentyl, tetrahydronaphthyl. Cycloalkyl groups may be optionally substituted or unsubstituted, and when substituted, substituents may be substituted at any available point of attachment, said substituents being independently optionally selected from halogen, alkyl, haloalkyl, alkoxy, haloalkoxy, alkylthio, alkylamino, alkenyl, alkynyl, mercapto, hydroxy, hydroxyalkyl, cyano, amino, nitro, cycloalkyl, heterocyclyl, aryl, heteroaryl, cycloalkoxy, heterocycloalkoxy, cycloalkylthio, heterocycloalkylthio, -CONR9R10、-NR9R10、-S(O)2R11、-COR11、-COOR12、-OR12And oxo is substituted with one or more substituents.
The term "heterocyclyl" refers to a saturated or partially unsaturated mono-or polycyclic cyclic hydrocarbon substituent containing from 3 to 20 ring atoms wherein one or more of the ring atoms is selected from nitrogen, oxygen, or S (O)m(wherein m is an integer from 0 to 2) but excludes the ring moiety of-O-O-, -O-S-, or-S-S-, the remaining ring atoms being carbon. Preferably 3 to 12 ring atoms, of which 1 to 4 are heteroatoms; most preferably 3 to 8 ring atoms, of which 1 to 3 are heteroatoms; most preferably 4 to 6 ring atoms, of which 1-3 (e.g., 1,2 and 3) are heteroatoms. Non-limiting examples of monocyclic heterocyclyl groups include pyrrolidinyl, azetidinyl, imidazolidinyl, tetrahydrofuranyl, tetrahydropyranyl, tetrahydrothienyl, dihydroimidazolyl, dihydrofuranyl, dihydropyrazolyl, dihydropyrrolyl, piperidinyl, piperazinyl, morpholinyl, thiomorpholinyl, homopiperazinyl, and the like, with tetrahydropyranyl, piperidinyl, pyrrolidinyl, azetidinyl being preferred. Polycyclic heterocyclic groups include spiro, fused and bridged heterocyclic groups.
The term "spiroheterocyclyl" refers to a 5 to 20 membered monocyclic ring which shares a single atom with each other (referred to as a spiro atom)) In which one or more ring atoms are selected from nitrogen, oxygen or S (O)m(wherein m is an integer of 0 to 2) and the remaining ring atoms are carbon. It may contain one or more double bonds, but no ring has a completely conjugated pi-electron system. Preferably 6 to 14, more preferably 7 to 10. The spiro heterocyclic group is classified into a mono-spiro heterocyclic group, a di-spiro heterocyclic group or a multi-spiro heterocyclic group, preferably a mono-spiro heterocyclic group and a di-spiro heterocyclic group, according to the number of spiro atoms shared between rings. More preferred are 4-membered/4-membered, 4-membered/5-membered, 4-membered/6-membered, 5-membered/5-membered or 5-membered/6-membered mono spiroheterocyclic groups. Non-limiting examples of spiro heterocyclic groups include:
Figure BDA0001980795000000311
the term "fused heterocyclyl" refers to a 5 to 20 membered polycyclic heterocyclic group in which each ring in the system shares an adjacent pair of atoms with other rings in the system, one or more rings may contain one or more double bonds, but none of the rings has a fully conjugated pi-electron system in which one or more ring atoms is selected from nitrogen, oxygen or S (O)m(wherein m is an integer of 0 to 2) and the remaining ring atoms are carbon. Preferably 6 to 14, more preferably 7 to 10. They may be classified into bicyclic, tricyclic, tetracyclic or polycyclic fused heterocyclic groups according to the number of constituent rings, preferably bicyclic or tricyclic, more preferably 5-or 6-membered bicyclic fused heterocyclic groups. Non-limiting examples of fused heterocyclic groups include:
Figure BDA0001980795000000321
the term "bridged heterocyclyl" refers to a 5 to 14 membered polycyclic heterocyclic group in which any two rings share two atoms not directly attached which may contain one or more double bonds, but none of the rings have a fully conjugated pi-electron system in which one or more of the ring atoms is selected from nitrogen, oxygen or S (O)m(wherein m is an integer of 0 to 2) and the remaining ring atoms are carbon. Preferably 6 to 14, more preferably 7 to 10. They may be classified into bicyclic, tricyclic, tetracyclic or polycyclic bridged heterocyclic groups according to the number of constituent rings, preferably bicyclic, tricyclic or tetracyclic, more preferably bicyclic or tricyclic. Non-limiting examples of bridged heterocyclic groups include:
Figure BDA0001980795000000322
such heterocyclyl rings include those wherein the above-described heterocyclyl groups (e.g., spiroheterocyclyl, fused heterocyclyl, and bridged heterocyclyl) are fused to an aryl, heteroaryl, or cycloalkyl ring, wherein the ring to which the parent structure is attached is a heterocyclyl group, non-limiting examples of which include:
Figure BDA0001980795000000323
and the like.
The heterocyclyl group may be optionally substituted or unsubstituted, and when substituted, substituents may be substituted at any available point of attachment, said substituents being independently optionally selected from halogen, alkyl, haloalkyl, alkoxy, haloalkoxy, alkylthio, alkylamino, alkenyl, alkynyl, mercapto, hydroxy, hydroxyalkyl, cyano, amino, nitro, cycloalkyl, heterocyclyl, aryl, heteroaryl, cycloalkoxy, heterocycloalkoxy, cycloalkylthio, heterocycloalkylthio, -CONR9R10、-NR9R10、-S(O)2R11、-COR11、-COOR12、-OR12And oxo is substituted with one or more substituents.
The term "aryl" refers to a 6 to 14 membered all carbon monocyclic or fused polycyclic (i.e., rings which share adjacent pairs of carbon atoms) group having a conjugated pi-electron system, preferably 6 to 10 membered, such as phenyl and naphthyl. Such aryl rings include those wherein the above-described aryl group is fused to a heteroaryl, heterocyclyl or cycloalkyl ring, wherein the ring attached to the parent structure is an aryl ring, non-limiting examples of which include:
Figure BDA0001980795000000331
aryl may be substituted or unsubstituted, and when substituted, substituents may be substituted at any available point of attachment, independently optionally selected from halogen, alkyl, haloalkyl, alkoxy, haloalkoxy, alkylthio, alkylamino, alkenyl, alkynyl, mercapto, hydroxy, hydroxyalkyl, cyano, amino, nitro, cycloalkyl, heterocyclyl, aryl, heteroaryl, cycloalkoxy, heterocycloalkoxy, cycloalkylthio, heterocycloalkylthio, -CONR9R10、-NR9R10、-S(O)2R11、-COR11、-COOR12、-OR12And oxo is substituted with one or more substituents.
The term "heteroaryl" refers to a heteroaromatic system comprising 1 to 4 heteroatoms, 5 to 14 ring atoms, wherein the heteroatoms are selected from oxygen, sulfur and nitrogen. Heteroaryl is preferably 5 to 10 membered, containing 1 to 3 heteroatoms; more preferably 5 or 6 membered, containing 1 to 2 heteroatoms; preferred examples thereof include imidazolyl, furyl, thienyl, thiazolyl, pyrazolyl, oxazolyl, pyrrolyl, 1H-1,2, 3-triazolyl, 4H-1,2, 4-triazolyl, 4H-1,2, 3-triazolyl, 1H-tetrazolyl, 2H-tetrazolyl, 5H-tetrazolyl, pyridyl, pyrimidinyl, thiadiazole, pyrazinyl, pyridazinyl and the like, and thiazolyl, pyridyl, pyrazinyl, pyrimidinyl, pyridazinyl, pyrazolyl and imidazolyl are preferred. Such heteroaryl rings include those wherein the heteroaryl group described above is fused to an aryl, heterocyclyl, or cycloalkyl ring, wherein the ring joined together with the parent structure is a heteroaryl ring, non-limiting examples of which include:
Figure BDA0001980795000000332
heteroaryl groups may be optionally substituted or unsubstituted, and when substituted, substituents may be substituted at any available point of attachment, said substituents being independently optionally selected from halogen, alkyl, haloalkyl, alkoxy, haloalkoxy, alkylthio, alkylamino, alkenyl, alkynyl, mercapto, hydroxyHydroxyalkyl, cyano, amino, nitro, cycloalkyl, heterocyclyl, aryl, heteroaryl, cycloalkoxy, heterocycloalkoxy, cycloalkylthio, heterocycloalkylthio, -CONR9R10、-NR9R10、-S(O)2R11、-COR11、-COOR12、-OR12And oxo is substituted with one or more substituents.
The term "haloalkyl" refers to an alkyl group substituted with one or more halogens, wherein alkyl is as defined above.
The term "hydroxy" refers to an-OH group.
The term "hydroxyalkyl" refers to an alkyl group substituted with a hydroxy group, wherein alkyl is as defined above.
The term "halogen" refers to fluorine, chlorine, bromine or iodine.
The term "amino" refers to the group-NH2
The term "cyano" refers to — CN.
The term "nitro" means-NO2
The term "oxo" refers to ═ O.
"optional" or "optionally" means that the subsequently described event or circumstance may, but need not, occur, and that the description includes instances where the event or circumstance occurs or does not. For example, "a heterocyclic group optionally substituted with an alkyl" means that an alkyl may, but need not, be present, and the description includes the case where the heterocyclic group is substituted with an alkyl and the heterocyclic group is not substituted with an alkyl.
"substituted" means that one or more, preferably up to 5, more preferably 1 to 3, hydrogen atoms in the group are independently substituted with a corresponding number of substituents. It goes without saying that the substituents are only in their possible chemical positions, and that the person skilled in the art is able to determine (experimentally or theoretically) possible or impossible substitutions without undue effort. For example, amino or hydroxyl groups having free hydrogen may be unstable in combination with carbon atoms having unsaturated (e.g., olefinic) bonds.
"pharmaceutical composition" means a mixture containing one or more compounds described herein or a physiologically/pharmaceutically acceptable salt or prodrug thereof in admixture with other chemical components, as well as other components such as physiologically/pharmaceutically acceptable carriers and excipients. The purpose of the pharmaceutical composition is to facilitate administration to an organism, facilitate absorption of the active ingredient and exert biological activity.
"pharmaceutically acceptable salts" refers to salts of the compounds of the present invention which are safe and effective for use in the body of a mammal and which possess the requisite biological activity.
R9~R12As defined in formula (I).
Synthesis of the Compounds of the invention
In order to achieve the purpose of the invention, the invention adopts the following technical scheme:
scheme one
The invention relates to a method for preparing a compound shown as a general formula (I) or a tautomer, a mesomer, a racemate, an enantiomer, a diastereoisomer or a mixture form thereof, or a pharmaceutically acceptable salt form thereof, which comprises the following steps:
Figure BDA0001980795000000341
nucleophilic substitution reaction of the compound of the general formula (IA) and the compound of the general formula (IB) under alkaline conditions to obtain the compound of the general formula (I),
wherein:
m is a leaving group, preferably-OS (O)2R13Or halogen;
R13is alkyl, amino, alkylamino, dialkylamino or cycloalkyl;
w, L, X, ring A, R1~R4、R7、RaN, s and p are as defined in formula (I).
The reagents that provide basic conditions include organic bases including, but not limited to, triethylamine, N-diisopropylethylamine, N-butyllithium, lithium diisopropylamide, lithium bistrimethylsilylamide, potassium acetate, sodium t-butoxide, potassium t-butoxide, and sodium N-butoxide, and inorganic bases including, but not limited to, sodium hydride, potassium phosphate, sodium carbonate, potassium acetate, cesium carbonate, sodium hydroxide, and lithium hydroxide, preferably cesium carbonate;
the above reaction is preferably carried out in a solvent including, but not limited to: acetic acid, methanol, ethanol, N-butanol, toluene, tetrahydrofuran, dichloromethane, petroleum ether, ethyl acetate, N-hexane, dimethyl sulfoxide, 1, 4-dioxane, ethylene glycol dimethyl ether, N-dimethylacetamide, water or N, N-dimethylformamide, and a mixture thereof.
Scheme two
The invention relates to a method for preparing a compound shown as a general formula (I) or a tautomer, a mesomer, a racemate, an enantiomer, a diastereoisomer or a mixture form thereof, or a pharmaceutically acceptable salt form thereof, which comprises the following steps:
Figure BDA0001980795000000351
reacting a compound of formula (IA ') with a compound of formula (IB') to give a compound of formula (I),
wherein:
w, L, X, ring A, R1~R4、R7、RaN, s and p are as defined in formula (I).
The above reaction is preferably carried out in a solvent including, but not limited to: acetic acid, methanol, ethanol, isopropanol, N-butanol, toluene, tetrahydrofuran, dichloromethane, petroleum ether, ethyl acetate, N-hexane, dimethyl sulfoxide, 1, 4-dioxane, ethylene glycol dimethyl ether, N-dimethylacetamide, water or N, N-dimethylformamide, and mixtures thereof.
Scheme three
The invention relates to a method for preparing a compound shown as a general formula (II) or a tautomer, a mesomer, a racemate, an enantiomer, a diastereomer or a mixture thereof, or a pharmaceutically acceptable salt thereof, which comprises the following steps:
Figure BDA0001980795000000361
nucleophilic substitution reaction of the compound of the general formula (IA) and the compound of the general formula (IIB) under alkaline conditions to obtain the compound of the general formula (II),
wherein:
m is a leaving group, preferably-OS (O)2R13Or halogen;
R13is alkyl, amino, alkylamino, dialkylamino or cycloalkyl;
w, L, X, Ring A, Ring B, R1~R4、R7、R8N, s, p and t are as defined in formula (II).
The reagents that provide basic conditions include organic bases including, but not limited to, triethylamine, N-diisopropylethylamine, N-butyllithium, lithium diisopropylamide, lithium bistrimethylsilylamide, potassium acetate, sodium t-butoxide, potassium t-butoxide, and sodium N-butoxide, and inorganic bases including, but not limited to, sodium hydride, potassium phosphate, sodium carbonate, potassium acetate, cesium carbonate, sodium hydroxide, and lithium hydroxide, preferably cesium carbonate;
the above reaction is preferably carried out in a solvent including, but not limited to: acetic acid, methanol, ethanol, N-butanol, toluene, tetrahydrofuran, dichloromethane, petroleum ether, ethyl acetate, N-hexane, dimethyl sulfoxide, 1, 4-dioxane, ethylene glycol dimethyl ether, N-dimethylacetamide, water or N, N-dimethylformamide, and a mixture thereof.
Scheme four
The invention relates to a method for preparing a compound shown as a general formula (II) or a tautomer, a mesomer, a racemate, an enantiomer, a diastereomer or a mixture thereof, or a pharmaceutically acceptable salt thereof, which comprises the following steps:
Figure BDA0001980795000000362
reacting the compound of formula (IIA ') with the compound of formula (IB') to obtain a compound of formula (II),
wherein:
w, L, X, Ring A, Ring B, R1~R4、R7、R8N, s, p and t are as defined in formula (II).
The above reaction is preferably carried out in a solvent including, but not limited to: acetic acid, methanol, ethanol, isopropanol, N-butanol, toluene, tetrahydrofuran, dichloromethane, petroleum ether, ethyl acetate, N-hexane, dimethyl sulfoxide, 1, 4-dioxane, ethylene glycol dimethyl ether, N-dimethylacetamide, water or N, N-dimethylformamide, and mixtures thereof.
Scheme five
The invention relates to a method for preparing a compound shown as a general formula (III) or a tautomer, a mesomer, a racemate, an enantiomer, a diastereomer or a mixture thereof, or a pharmaceutically acceptable salt thereof, which comprises the following steps:
Figure BDA0001980795000000371
nucleophilic substitution reaction is carried out on the compound of the general formula (IIIA) and the compound of the general formula (IIIB) under alkaline conditions to obtain the compound of the general formula (III),
wherein:
m is a leaving group, preferably-OS (O)2R13Or halogen;
R13is alkyl, amino, alkylamino, dialkylamino or cycloalkyl;
ring A, ring B, R1~R8N, s, p and t are as defined in formula (III).
The reagents that provide basic conditions include organic bases including, but not limited to, triethylamine, N-diisopropylethylamine, N-butyllithium, lithium diisopropylamide, lithium bistrimethylsilylamide, potassium acetate, sodium t-butoxide, potassium t-butoxide, and sodium N-butoxide, and inorganic bases including, but not limited to, sodium hydride, potassium phosphate, sodium carbonate, potassium acetate, cesium carbonate, sodium hydroxide, and lithium hydroxide, preferably cesium carbonate;
the above reaction is preferably carried out in a solvent including, but not limited to: acetic acid, methanol, ethanol, N-butanol, toluene, tetrahydrofuran, dichloromethane, petroleum ether, ethyl acetate, N-hexane, dimethyl sulfoxide, 1, 4-dioxane, ethylene glycol dimethyl ether, N-dimethylacetamide, water or N, N-dimethylformamide, and a mixture thereof.
Scheme six
The invention relates to a method for preparing a compound shown as a general formula (III) or a tautomer, a mesomer, a racemate, an enantiomer, a diastereomer or a mixture thereof, or a pharmaceutically acceptable salt thereof, which comprises the following steps:
Figure BDA0001980795000000372
reacting the compound of formula (IIIA ') with the compound of formula (IIIB') to obtain the compound of formula (III),
wherein:
ring A, ring B, R1~R8N, s, p and t are as defined in formula (III).
The above reaction is preferably carried out in a solvent including, but not limited to: acetic acid, methanol, ethanol, isopropanol, N-butanol, toluene, tetrahydrofuran, dichloromethane, petroleum ether, ethyl acetate, N-hexane, dimethyl sulfoxide, 1, 4-dioxane, ethylene glycol dimethyl ether, N-dimethylacetamide, water or N, N-dimethylformamide, and mixtures thereof.
Scheme seven
The invention relates to a method for preparing a compound shown as a general formula (IV) or a tautomer, a mesomer, a racemate, an enantiomer, a diastereomer or a mixture thereof, or a pharmaceutically acceptable salt thereof, which comprises the following steps:
Figure BDA0001980795000000381
nucleophilic substitution reaction of the compound of the general formula (IVA) and the compound of the general formula (IIIB) under alkaline conditions to obtain the compound of the general formula (IV),
wherein:
m is a leaving group, preferably-OS (O)2R13Or halogen;
R13is alkyl, amino, alkylamino, dialkylamino or cycloalkyl;
ring A, ring B, R1~R8N, s, p and t are as defined in formula (IV).
The reagents that provide basic conditions include organic bases including, but not limited to, triethylamine, N-diisopropylethylamine, N-butyllithium, lithium diisopropylamide, lithium bistrimethylsilylamide, potassium acetate, sodium t-butoxide, potassium t-butoxide, and sodium N-butoxide, and inorganic bases including, but not limited to, sodium hydride, potassium phosphate, sodium carbonate, potassium acetate, cesium carbonate, sodium hydroxide, and lithium hydroxide, preferably cesium carbonate;
the above reaction is preferably carried out in a solvent including, but not limited to: acetic acid, methanol, ethanol, N-butanol, toluene, tetrahydrofuran, dichloromethane, petroleum ether, ethyl acetate, N-hexane, dimethyl sulfoxide, 1, 4-dioxane, ethylene glycol dimethyl ether, N-dimethylacetamide, water or N, N-dimethylformamide, and a mixture thereof.
Scheme eight
The invention relates to a method for preparing a compound shown as a general formula (IV) or a tautomer, a mesomer, a racemate, an enantiomer, a diastereomer or a mixture thereof, or a pharmaceutically acceptable salt thereof, which comprises the following steps:
Figure BDA0001980795000000391
reacting the compound of formula (IIIA ') with the compound of formula (IVB') to give the compound of formula (IV),
wherein:
ring A, ring B, R1~R8N, s, p and t are as defined in formula (IV).
The above reaction is preferably carried out in a solvent including, but not limited to: acetic acid, methanol, ethanol, isopropanol, N-butanol, toluene, tetrahydrofuran, dichloromethane, petroleum ether, ethyl acetate, N-hexane, dimethyl sulfoxide, 1, 4-dioxane, ethylene glycol dimethyl ether, N-dimethylacetamide, water or N, N-dimethylformamide, and mixtures thereof.
Scheme nine
The invention relates to a method for preparing a compound shown in a general formula (IIIaa) or a tautomer, a mesomer, a racemate, an enantiomer, a diastereomer or a mixture thereof, or a pharmaceutically acceptable salt thereof, which comprises the following steps:
Figure BDA0001980795000000392
nucleophilic substitution reaction of the compound of the general formula (IIIa) and the compound of the general formula (IIIb) under alkaline conditions to obtain the compound of the general formula (IIIaa),
wherein:
m is a leaving group, preferably-OS (O)2R13Or halogen;
R13is alkyl, amino, alkylamino, dialkylamino or cycloalkyl;
ring A, ring B, R1、R4、R7、R8P and t are as defined in formula (IIIaa).
The reagents that provide basic conditions include organic bases including, but not limited to, triethylamine, N-diisopropylethylamine, N-butyllithium, lithium diisopropylamide, lithium bistrimethylsilylamide, potassium acetate, sodium t-butoxide, potassium t-butoxide, and sodium N-butoxide, and inorganic bases including, but not limited to, sodium hydride, potassium phosphate, sodium carbonate, potassium acetate, cesium carbonate, sodium hydroxide, and lithium hydroxide, preferably cesium carbonate;
the above reaction is preferably carried out in a solvent including, but not limited to: acetic acid, methanol, ethanol, N-butanol, toluene, tetrahydrofuran, dichloromethane, petroleum ether, ethyl acetate, N-hexane, dimethyl sulfoxide, 1, 4-dioxane, ethylene glycol dimethyl ether, N-dimethylacetamide, water or N, N-dimethylformamide, and a mixture thereof.
Scheme ten
The invention relates to a method for preparing a compound shown in a general formula (IIIaa) or a tautomer, a mesomer, a racemate, an enantiomer, a diastereomer or a mixture thereof, or a pharmaceutically acceptable salt thereof, which comprises the following steps:
Figure BDA0001980795000000401
reacting the compound of formula (IIIa ') with the compound of formula (IIIb') to obtain the compound of formula (IIIaa),
wherein:
ring A, ring B, R1、R4、R7、R8P and t are as defined in formula (IIIaa).
The above reaction is preferably carried out in a solvent including, but not limited to: acetic acid, methanol, ethanol, isopropanol, N-butanol, toluene, tetrahydrofuran, dichloromethane, petroleum ether, ethyl acetate, N-hexane, dimethyl sulfoxide, 1, 4-dioxane, ethylene glycol dimethyl ether, N-dimethylacetamide, water or N, N-dimethylformamide, and mixtures thereof.
Scheme eleven
The invention relates to a method for preparing a compound shown as a general formula (V) or a tautomer, a mesomer, a racemate, an enantiomer, a diastereomer or a mixture thereof, or a pharmaceutically acceptable salt thereof, which comprises the following steps:
Figure BDA0001980795000000402
nucleophilic substitution reaction of the compound of the general formula (VA) and the compound of the general formula (VB) under alkaline conditions to obtain the compound of the general formula (V),
wherein:
m is a leaving group, preferably-OS (O)2R13Or halogen;
R13is alkyl, amino, alkylamino, dialkylamino or cycloalkyl;
ring A, G1~G4、R4、R8S and t are as defined in formula (V).
The reagents that provide basic conditions include organic bases including, but not limited to, triethylamine, N-diisopropylethylamine, N-butyllithium, lithium diisopropylamide, lithium bistrimethylsilylamide, potassium acetate, sodium t-butoxide, potassium t-butoxide, and sodium N-butoxide, and inorganic bases including, but not limited to, sodium hydride, potassium phosphate, sodium carbonate, potassium acetate, cesium carbonate, sodium hydroxide, and lithium hydroxide, preferably cesium carbonate;
the above reaction is preferably carried out in a solvent including, but not limited to: acetic acid, methanol, ethanol, N-butanol, toluene, tetrahydrofuran, dichloromethane, petroleum ether, ethyl acetate, N-hexane, dimethyl sulfoxide, 1, 4-dioxane, ethylene glycol dimethyl ether, N-dimethylacetamide, water or N, N-dimethylformamide, and a mixture thereof.
Scheme twelve
The invention relates to a method for preparing a compound shown as a general formula (V) or a tautomer, a mesomer, a racemate, an enantiomer, a diastereomer or a mixture thereof, or a pharmaceutically acceptable salt thereof, which comprises the following steps:
Figure BDA0001980795000000411
reacting the compound of formula (VA ') with the compound of formula (IIIB') to obtain the compound of formula (V),
wherein:
ring A, G1~G4、R4、R8S and t are as defined in formula (V).
The above reaction is preferably carried out in a solvent including, but not limited to: acetic acid, methanol, ethanol, isopropanol, N-butanol, toluene, tetrahydrofuran, dichloromethane, petroleum ether, ethyl acetate, N-hexane, dimethyl sulfoxide, 1, 4-dioxane, ethylene glycol dimethyl ether, N-dimethylacetamide, water or N, N-dimethylformamide, and mixtures thereof.
Scheme thirteen
The invention relates to a method for preparing a compound shown in a general formula (VI) or a tautomer, a mesomer, a racemate, an enantiomer, a diastereomer or a mixture form thereof, or a pharmaceutically acceptable salt form thereof, which comprises the following steps:
Figure BDA0001980795000000412
nucleophilic substitution reaction of the compound of the general formula (VIA) and the compound of the general formula (VB) under alkaline conditions to obtain the compound of the general formula (VI),
wherein:
m is a leaving group, preferably-OS (O)2R13Or halogen;
R13is alkyl, amino, alkylamino, dialkylamino or cycloalkyl;
ring A, G1~G4、R4、R8S and t are as defined in formula (VI).
The reagents that provide basic conditions include organic bases including, but not limited to, triethylamine, N-diisopropylethylamine, N-butyllithium, lithium diisopropylamide, lithium bistrimethylsilylamide, potassium acetate, sodium t-butoxide, potassium t-butoxide, and sodium N-butoxide, and inorganic bases including, but not limited to, sodium hydride, potassium phosphate, sodium carbonate, potassium acetate, cesium carbonate, sodium hydroxide, and lithium hydroxide, preferably cesium carbonate;
the above reaction is preferably carried out in a solvent including, but not limited to: acetic acid, methanol, ethanol, N-butanol, toluene, tetrahydrofuran, dichloromethane, petroleum ether, ethyl acetate, N-hexane, dimethyl sulfoxide, 1, 4-dioxane, ethylene glycol dimethyl ether, N-dimethylacetamide, water or N, N-dimethylformamide, and a mixture thereof.
Scheme fourteen
The invention relates to a method for preparing a compound shown in a general formula (VI) or a tautomer, a mesomer, a racemate, an enantiomer, a diastereomer or a mixture form thereof, or a pharmaceutically acceptable salt form thereof, which comprises the following steps:
Figure BDA0001980795000000421
reacting the compound of formula (VA ') with the compound of formula (IVB') to give the compound of formula (VI),
wherein:
ring A, G1~G4、R4、R8S and t are as defined in formula (VI).
The above reaction is preferably carried out in a solvent including, but not limited to: acetic acid, methanol, ethanol, isopropanol, N-butanol, toluene, tetrahydrofuran, dichloromethane, petroleum ether, ethyl acetate, N-hexane, dimethyl sulfoxide, 1, 4-dioxane, ethylene glycol dimethyl ether, N-dimethylacetamide, water or N, N-dimethylformamide, and mixtures thereof.
Detailed Description
Examples
The structure of the compounds is determined by Nuclear Magnetic Resonance (NMR) or/and Mass Spectrometry (MS). NMR shift (. delta.) of 10-6The units in (ppm) are given. NMR was measured using a Bruker AVANCE-400 NMR spectrometer using deuterated solventsDimethyl sulfoxide (DMSO-d)6) Deuterated chloroform (CDCl)3) Deuterated methanol (CD)3OD), internal standard Tetramethylsilane (TMS).
MS was determined using a FINNIGAN LCQAD (ESI) mass spectrometer (manufacturer: Thermo, model: Finnigan LCQ advantage MAX).
High Performance Liquid Chromatography (HPLC) analysis was performed using Agilent HPLC 1200DAD, Agilent HPLC 1200VWD and Waters HPLC e2695-2489 HPLC.
Chiral HPLC assay using Agilent 1260 DAD HPLC.
High Performance liquid preparation A preparative chromatograph was used from Waters 2767, Waters 2767-SQ Detector 2, Shimadzu LC-20AP and Gilson-281.
Chiral preparation was performed using Shimadzu LC-20AP preparative chromatograph.
The CombiFlash rapid preparation instrument uses CombiFlash Rf200(TELEDYNE ISCO).
The thin layer chromatography silica gel plate adopts HSGF254 of tobacco yellow sea or GF254 of Qingdao, the specification of the silica gel plate used by Thin Layer Chromatography (TLC) is 0.15 mm-0.2 mm, and the specification of the thin layer chromatography separation and purification product is 0.4 mm-0.5 mm.
Silica gel column chromatography generally uses 200-300 mesh silica gel of the Tibet Huanghai silica gel as a carrier.
Average inhibition rate of kinase and IC50The values were determined with a NovoStar microplate reader (BMG, Germany).
Known starting materials of the present invention may be synthesized by or according to methods known in the art, or may be purchased from companies such as ABCR GmbH & Co.KG, Acros Organics, Aldrich Chemical Company, Shao Yuan Chemical technology (Accela ChemBio Inc), Darri Chemicals, and the like.
In the examples, the reaction can be carried out in an argon atmosphere or a nitrogen atmosphere, unless otherwise specified.
An argon atmosphere or nitrogen atmosphere means that the reaction flask is connected to a balloon of argon or nitrogen with a volume of about 1L.
The hydrogen atmosphere refers to a reaction flask connected with a hydrogen balloon with a volume of about 1L.
The pressure hydrogenation reaction used a hydrogenation apparatus of Parr 3916EKX type and a hydrogen generator of Qinglan QL-500 type or a hydrogenation apparatus of HC2-SS type.
The hydrogenation reaction was usually evacuated and charged with hydrogen and repeated 3 times.
The microwave reaction was carried out using a CEM Discover-S908860 type microwave reactor.
In the examples, the solution means an aqueous solution unless otherwise specified.
In the examples, the reaction temperature is, unless otherwise specified, from 20 ℃ to 30 ℃ at room temperature.
The monitoring of the progress of the reaction in the examples employed Thin Layer Chromatography (TLC), a developing solvent used for the reaction, a system of eluents for column chromatography used for purifying compounds and a developing solvent system for thin layer chromatography including: a: dichloromethane/methanol system, B: n-hexane/ethyl acetate system, C: petroleum ether/ethyl acetate system, D: the volume ratio of acetone and solvent is adjusted according to the polarity of the compound, or small amount of basic or acidic reagent such as triethylamine and acetic acid can be added for adjustment.
Example 1
(S) -6- (2- (((6-methoxy-2- (2-methylimidazo [2,1-b ] thiazol-6-yl) benzofuran-4-yl) oxy) methyl) pyrrolidin-1-yl) nicotinonitrile 1
Figure BDA0001980795000000441
First step of
1- (4-hydroxy-6-methoxybenzofuran-2-yl) ethanone 1b
1- (4-benzyloxy-6-methoxybenzofuran-2-yl) ethanone 1a (2.1g, 7.1mmol, prepared using the method disclosed in patent application "example 203 on page 178 of the specification in WO 2013163244") was dissolved in 70mL of dichloromethane, cooled to-78 ℃ and pentamethylbenzene (7.1g, 47.9mmol) and a solution of boron trichloride in dichloromethane (1M, 10.3mL) were added, and the temperature was maintained for reaction for 40 minutes. The reaction was quenched with saturated ammonium chloride (30mL), extracted with ethyl acetate (80 mL. times.2), the organic phases were combined and dried over anhydrous sodium sulfate, concentrated under reduced pressure, and the resulting residue was purified by silica gel column chromatography with eluent system C to give the title compound 1b (1.4g, yield: 96%).
MS m/z(ESI):207.1[M+1]
Second step of
(S) -2- (((2-acetyl-6-methoxybenzofuran-4-yl) oxy) methyl) pyrrolidine-1-carboxylic acid tert-butyl ester 1d
Compound 1b (450mg, 2.2mmol) was dissolved in 5mL of N, N-dimethylformamide, and tert-butyl (S) -2- (((methylsulfonyl) oxy) methyl) pyrrolidine-1-carboxylate 1c (914mg, 3.3mmol, prepared by a known method "Tetrahedron Letters,1995,36(8), 1223-. The reaction solution was concentrated under reduced pressure, and the resulting residue was purified by silica gel column chromatography with eluent system C to give the title compound 1d (511mg, yield: 60%).
The third step
(S) -1- (6-methoxy-4- (pyrrolidin-2-ylmethoxy) benzofuran-2-yl) ethanone hydrochloride 1e
Compound 1d (1g, 2.6mmol) was dissolved in 5mL of ethyl acetate, and a solution of hydrogen chloride in ethyl acetate (2M, 2.6mL) was added and stirred at room temperature for 2 hours. The reaction mixture was concentrated under reduced pressure to give the crude title compound 1e (600mg), which was used in the next reaction without purification.
MS m/z(ESI):290.2[M+1]
The fourth step
(S) -6- (2- (((2-acetyl-6-methoxybenzofuran-4-yl) oxy) methyl) pyrrolidin-1-yl) nicotinonitrile 1g
The crude compound 1e (395mg, 1.2mmol) was dissolved in 20mL of N, N-dimethylformamide, and 2-chloro-5-cyanopyridine 1f (168mg, 1.2mmol, purchased from Shaoshima chemical science and technology Co., Ltd.) and cesium carbonate (790mg, 2.4mmol) were sequentially added thereto and heated to 62 ℃ for reaction for 16 hours. The reaction solution was concentrated under reduced pressure, and the resulting residue was purified by silica gel column chromatography with eluent system C to obtain 1g of the title compound (390mg, yield: 82%).
MS m/z(ESI):392.1[M+1]
The fifth step
(S) -6- (2- (((2- (2-bromoacetyl) -6-methoxybenzofuran-4-yl) oxy) methyl) pyrrolidin-1-yl) nicotinonitrile 1h
A solution of lithium hexamethyldisilazide in tetrahydrofuran (1M, 6.9mL) was dissolved in 25mL of dry tetrahydrofuran, cooled to-78 deg.C, and 20mL of a solution of compound 1g (900mg, 2.3mmol) in dry tetrahydrofuran was slowly added dropwise. After 1 hour of reaction 8mL of dry tetrahydrofuran solution dissolved with chlorotrimethylsilane (749mg, 6.9mmol) was added and stirring continued at this temperature for 2 hours. The reaction was quenched by the addition of 50mL of saturated sodium bicarbonate and extracted by the addition of 80mL of ethyl acetate. The organic phase is dried over anhydrous sodium sulfate, concentrated and 50mL of dry tetrahydrofuran are added, cooled to-78 deg.C, sodium bicarbonate (150mg, 1.8mmol) and N-bromosuccinimide (409mg, 2.3mmol) are added, stirring is continued for half an hour and 50mL of saturated sodium bicarbonate is added to quench the reaction, which is extracted with 80mL of ethyl acetate. The organic phase was dried over anhydrous sodium sulfate and concentrated, and the resulting residue was purified by silica gel column chromatography with eluent system C to give the title compound 1h (620mg, yield: 57%).
MS m/z(ESI):470.0[M+1]
The sixth step
(S) -6- (2- (((6-methoxy-2- (2-methylimidazo [2,1-b ] thiazol-6-yl) benzofuran-4-yl) oxy) methyl) pyrrolidin-1-yl) nicotinonitrile 1
The compound (1 h, 250mg, 0.5mmol) was dissolved in 20mL of n-butanol, and 2-amino-5-methylthiazole 1i (182mg, 1.6mmol, purchased from Shaoshan Denshi chemical science and technology Co., Ltd.) was added and heated to 160 ℃ for reaction for 16 hours. After the reaction was cooled to room temperature, the reaction mixture was concentrated under reduced pressure, and the resulting residue was purified by silica gel column chromatography with eluent system C to give the title compound 1(45mg, yield: 17%).
MS m/z(ESI):486.1[M+1]
1H NMR(400MHz,CDCl3):δ8.48(s,1H),7.70(s,1H),7.64(d,1H),7.21(s,1H),7.08(s,1H),6.69(s,1H),6.53-6.46(m,2H),4.70(br,1H),4.32-4.30(m,2H),3.87(s,3H),3.67(br,1H),3.48(br,1H),2.48(s,3H),2.42-2.21(m,4H).
Example 2
(S) -6- (2- (((6-methoxy-2- (2-methoxyimidazo [2,1-b ] thiazol-6-yl) benzofuran-4-yl) oxy) methyl) pyrrolidin-1-yl) nicotinonitrile 2
Figure BDA0001980795000000461
The title compound 2(3mg) was prepared using the synthetic route of example 1 substituting the sixth step starting material 1i for 2-amino-5-methoxythiazole 2a (prepared using the method disclosed in patent application "example 244 on page 250 of the specification in WO 2015052226").
MS m/z(ESI):502.1[M+1]
1H NMR(400MHz,CDCl3):δ8.48(s,1H),7.67(s,1H),7.64(d,1H),7.04(s,1H),6.95(s,1H),6.69(s,1H),6.48(d,1H),6.45(s,1H),4.70(br,1H),4.33-4.27(m,2H),4.00(s,3H),3.87(s,3H),3.66(br,1H),3.47(br,1H),2.32-2.17(m,4H).
Example 3
6- (6-methoxy-4- ((2- (4-methoxyphenyl) thiazol-4-yl) methoxy) benzofuran-2-yl) -2-methylimidazo [2,1-b ] thiazole 3
Figure BDA0001980795000000462
Figure BDA0001980795000000471
First step of
(2- (4-methoxyphenyl) thiazol-4-yl) methyl methanesulfonate 3b
(2- (4-methoxyphenyl) thiazol-4-yl) methanol 3a (2g, 9mmol, prepared by the method disclosed in example 323 on page 149 of the specification of the patent application WO 2007107758) (2g, 9mmol) was dissolved in methylene chloride (20mL), triethylamine (913mg, 9mmol) was added thereto, the mixture was cooled to 0 ℃ and stirred, methanesulfonyl chloride (1g, 9mmol) was dropped into the above reaction system, and the reaction was carried out at 0 ℃ for 3 hours. After the reaction was complete, 30mL of water was added, dichloromethane was extracted (30 mL. times.3), the combined organic phases were dried over anhydrous sodium sulfate and concentrated to give compound 3b, which was used in the next reaction without purification.
Second step of
1- (6-methoxy-4- ((2- (4-methoxyphenyl) thiazol-4-yl) methoxy) benzofuran-2-yl) ethanone 3c
Compound 1b (228mg, 1.1mmol) was dissolved in 10mL of N, N-dimethylformamide, and compound 3b (333mg, 1.1mmol) and cesium carbonate (837g, 2.6mmol) were added in that order and heated to 80 ℃ for reaction for 12 hours. The reaction solution was concentrated under reduced pressure, and the resulting residue was purified by silica gel column chromatography with eluent system C to give the title compound 3C (350mg, yield: 77%).
MS m/z(ESI):410.5[M+1]
The third step
2-bromo-1- (6-methoxy-4- ((2- (4-methoxyphenyl) thiazol-4-yl) methoxy) benzofuran-2-yl) ethanone 3d
A solution of lithium hexamethyldisilazide in tetrahydrofuran (1M, 10.3mL) was dissolved in 50mL of dry tetrahydrofuran, cooled to-78 deg.C, and 20mL of compound 3c (1.4g, 3.4mmol) in dry tetrahydrofuran was slowly added dropwise. After 1 hour of reaction 8mL of dry tetrahydrofuran solution dissolved with chlorotrimethylsilane (1.1g, 10.3mmol) was added and stirring continued at this temperature for 2 hours. The reaction was quenched by the addition of 50mL of saturated sodium bicarbonate solution and extracted by the addition of 80mL of ethyl acetate. The organic phase is dried over anhydrous sodium sulfate, concentrated and 50mL of dry tetrahydrofuran are added, cooled to-78 deg.C, sodium bicarbonate (150mg, 1.8mmol) and N-bromosuccinimide (609mg, 3.4mmol) are added, the reaction is quenched after stirring for a further half hour with 50mL of saturated sodium bicarbonate, and extracted with 80mL of ethyl acetate. The organic phase was dried over anhydrous sodium sulfate and concentrated, and the resulting residue was purified by silica gel column chromatography with eluent system C to give the title compound 3d (980mg, yield: 59%).
MS m/z(ESI):488.0[M+1]
The fourth step
6- (6-methoxy-4- ((2- (4-methoxyphenyl) thiazol-4-yl) methoxy) benzofuran-2-yl) -2-methylimidazo [2,1-b ] thiazole 3
Compound 3d (40mg, 0.08mmol) was dissolved in 1.5mL of isopropanol, 1i (28mg, 0.25mmol) was added, and the mixture was heated by microwave to 135 ℃ for reaction for 2 hours. After the reaction was cooled to room temperature, the reaction mixture was concentrated under reduced pressure, and the resulting residue was purified by silica gel column chromatography with eluent system C to give the title compound 3(5mg, yield: 12%).
MS m/z(ESI):504.2[M+1]
1H NMR(400MHz,CDCl3):δ7.95(d,2H),7.70(s,1H),7.34(s,1H),7.20(s,2H),7.01(d,2H),6.74(s,1H),6.51(s,1H),5.42(s,2H),3.91(s,3H),3.89(s,3H),2.48(s,3H).
Example 4
(S) -2- (2- (((6-methoxy-2- (2-methylimidazo [2,1-b ] thiazol-6-yl) benzofuran-4-yl) oxy) methyl) pyrrolidin-1-yl) pyrimidine-5-carbonitrile 4
Figure BDA0001980795000000481
First step of
1- (4- (benzyloxy) -6-methoxybenzofuran-2-yl) -2-bromoethanone 4a
A solution of lithium hexamethyldisilazide in tetrahydrofuran (1M, 23.3mL) was dissolved in 200mL of dry tetrahydrofuran, cooled to-78 deg.C, and 50mL of compound 1a (2.3g, 7.8mmol) in dry tetrahydrofuran was slowly added dropwise. After 1 hour of reaction trimethylchlorosilane (2.5g, 23.0mmol) was added and stirring continued for 2 hours. The reaction was quenched by the addition of 50mL of saturated sodium bicarbonate and extracted by the addition of 150mL of ethyl acetate. The organic phase is dried over anhydrous sodium sulfate, concentrated and 50mL of dry tetrahydrofuran are added, cooled to-78 deg.C, sodium bicarbonate (750mg, 8.9mmol) and N-bromosuccinimide (1.4g, 7.9mmol) are added, stirring is continued for half an hour and 50mL of saturated sodium bicarbonate is added to quench the reaction, which is extracted with 150mL of ethyl acetate. The organic phase was dried over anhydrous sodium sulfate and concentrated, and the resulting residue was purified by silica gel column chromatography with eluent system C to give the title compound 4a (2.3g, yield: 79%).
Second step of
6- (4- (benzyloxy) -6-methoxybenzofuran-2-yl) -2-methylimidazo [2,1-b ] thiazole 4b
Compound 4a (1.8g, 4.8mmol) was dissolved in 20mL of n-butanol, and compound 1i (1.1mg, 9.6mmol) was added and heated to 160 ℃ for reaction for 16 hours. After the reaction was cooled to room temperature, the reaction mixture was concentrated under reduced pressure, and the resulting residue was purified by silica gel column chromatography with eluent system C to give the title compound 4b (1g, yield: 53%). MS M/z (ESI) 391.1[ M +1]
The third step
6-methoxy-2- (2-methylimidazo [2,1-b ] thiazol-6-yl) benzofuran-4-ol 4c
Compound 4b (1.6g, 4.1mmol) was dissolved in 50mL of dichloromethane, cooled to-78 deg.C and added pentamethylbenzene (3.1g, 20.9mmol) and a solution of boron trichloride in dichloromethane (1M, 20.6mL) and allowed to react at that temperature for 40 minutes. The reaction was quenched with saturated ammonium chloride (30mL), extracted with ethyl acetate (80 mL. times.2), the organic phases were combined and dried over anhydrous sodium sulfate, concentrated under reduced pressure, and the resulting residue was purified by silica gel column chromatography with eluent system C to give the title compound 4C (0.9g, yield: 73%).
MS m/z(ESI):301.1[M+1]
The fourth step
(S) -2- (((6-methoxy-2- (2-methylimidazo [2,1-b ] thiazol-6-yl) benzofuran-4-yl) oxy) methyl) pyrrolidine-1-carboxylic acid tert-butyl ester 4d
Compound 4c (346mg, 1.2mmol) was dissolved in 10mL of N, N-dimethylformamide, and Compound 1c (483mg, 1.7mmol) and cesium carbonate (1.2g, 3.7mmol) were added in that order and heated to 82 ℃ for reaction for 15 hours. The reaction solution was concentrated under reduced pressure, and the resulting residue was purified by silica gel column chromatography with eluent system C to give the title compound 4d (450mg, yield: 81%).
MS m/z(ESI):484.2[M+1]
The fifth step
(S) -6- (6-methoxy-4- (pyrrolidin-2-ylmethoxy) benzofuran-2-yl) -2-methylimidazo [2,1-b ] thiazole hydrochloride 4e
Compound 4d (450mg, 0.9mmol) was added to a solution of hydrogen chloride in ethyl acetate (1M, 4.6mL) and stirred at room temperature for 2 hours. The reaction mixture was concentrated under reduced pressure to give the crude title compound 4e (350mg), which was used in the next reaction without purification.
The sixth step
(S) -2- (2- (((6-methoxy-2- (2-methylimidazo [2,1-b ] thiazol-6-yl) benzofuran-4-yl) oxy) methyl) pyrrolidin-1-yl) pyrimidine-5-carbonitrile 4
The crude compound 4e (383mg, 1mmol) was dissolved in 10mL of N, N-dimethylformamide, and 2-chloro-5-cyanopyrimidine 4f (139mg, 1mmol, purchased from Shaoshima chemical science and technology Co., Ltd.) and cesium carbonate (977mg, 3mmol) were added in this order and heated to 80 ℃ for reaction for 2 hours. The reaction solution was concentrated under reduced pressure, and the resulting residue was slurried with 3mL of methanol and filtered to give the title compound 4(60mg, yield: 12%).
MS m/z(ESI):487.2[M+1]
1H NMR(400MHz,CDCl3):δ8.57(s,2H),7.70(s,1H),7.20(s,1H),7.08(s,1H),6.70(s,1H),6.44(s,1H),4.66(br,1H),4.34-4.30(m,2H),3.87(s,3H),3.83-3.82(m,1H),3.81-3.73(m,1H),2.48(s,3H),2.37-2.33(m,2H),2.23-2.11(m,2H).
Example 5
(S) -6- (2- (((6-methoxy-2- (6-methylimidazo [1,2-a ] pyridin-2-yl) benzofuran-4-yl) oxy) methyl) pyrrolidin-1-yl) pyridazine-3-carbonitrile 5
Figure BDA0001980795000000501
Figure BDA0001980795000000511
First step of
2- (4-benzyloxy-6-methoxybenzofuran-2-yl) -6-methylimidazo [1,2-a ] pyridine 5b
Compound 4a (1.01g, 2.69mmol) was dissolved in isopropanol (10mL), and 5-methylpyridin-2-amine 5a (850mg, 7.8601mmol, available from Shaoshima chemical science and technology Co., Ltd.) was added and reacted with microwave at 135 ℃ for 2 hours. Cooled to room temperature, concentrated under reduced pressure, and the resulting residue was purified by silica gel column chromatography with eluent system B to give the title compound 5B (0.64g, yield: 61%).
MS m/z(ESI):385.2[M+1]
Second step of
6-methoxy-2- (6-methylimidazo [1,2-a ] pyridin-2-yl) benzofuran-4-ol 5c
Compound 5b (0.63g, 1.64mmol) was dissolved in 40mL of tetrahydrofuran and 40mL of anhydrous methanol, palladium on carbon hydroxide (50mg, 10%) was added, hydrogen was replaced, and hydrogenation was carried out at room temperature under normal pressure for 14 hours. After filtration through Celite, the filter cake was washed with tetrahydrofuran (60 mL. times.3), and the filtrate was concentrated to give Compound 5c (0.44g, yield: 91%).
MS m/z(ESI):295.2[M+1]
The third step
(S) -2- (((6-methoxy-2- (6-methylimidazo [1,2-a ] pyridin-2-yl) benzofuran-4-yl) oxy) methyl) pyrrolidine-1-carboxylic acid tert-butyl ester 5d
Compound 5c (100mg, 0.34mmol) was dissolved in 5mL of N, N-dimethylformamide, and Compound 1c (109mg, 0.39mmol) and cesium carbonate (0.24g, 0.74mmol) were added in this order and heated to 80 ℃ for reaction for 16 hours. The reaction solution was concentrated under reduced pressure, and the resulting residue was purified by silica gel column chromatography with eluent system B to give compound 5d (102mg, yield: 63%).
MS m/z(ESI):478.3[M+1]
The fourth step
(S) -2- (6-methoxy-4- (pyrrolidin-2-ylmethoxy) benzofuran-2-yl) -6-methylimidazo [1,2-a ] pyridine dihydrochloride 5e
Compound 5d (102mg,0.2mmol) was dissolved in 5mL of dichloromethane, a solution of hydrogen chloride in ethyl acetate (2.0M,0.5mL) was added at room temperature, stirred for 16 h, and the solvent was removed under reduced pressure to give crude compound 5e (82mg) which was used in the next reaction without purification.
MS m/z(ESI):378.2[M+1]
The fifth step
(S) -6- (2- (((6-methoxy-2- (6-methylimidazo [1,2-a ] pyridin-2-yl) benzofuran-4-yl) oxy) methyl) pyrrolidin-1-yl) pyridazine-3-carbonitrile 5
Compound 5e (32mg, 0.071mmol) was dissolved in 5mL of N, N-dimethylformamide, and 3-cyano-6-chloropyridazine 5f (11mg, 0.079mmol, available from Shanghai Biao pharmaceutical science and technology Co., Ltd.) and cesium carbonate (100mg, 0.31mmol) were sequentially added, followed by heating to 62 ℃ for 16 hours. The reaction solution was concentrated under reduced pressure, and the resulting residue was purified by silica gel column chromatography with eluent system A to give the title compound 5(16mg, yield: 46%).
MS m/z(ESI):481.5[M+1]
1H NMR(400MHz,CDCl3):δ7.91(s,1H),7.82(s,1H),7.53(d,1H),7.44(d,1H),7.18(s,1H),7.06(d,1H),6.70(d,1H),6.67(s,1H),6.35(s,1H),4.87(s,1H),4.45(s,1H),4.26(d,1H),3.83(s,3H),3.70(s,1H),3.48(s,1H),2.46(s,1H),2.36(s,1H),2.33(s,3H),2.28-2.17(m,2H).
Example 6
4- (((6-methoxy-2- (6-methylimidazo [1,2-a ] pyridin-2-yl) benzofuran-4-yl) oxy) methyl) -2- (6-methylpyridin-3-yl) thiazole 6
Figure BDA0001980795000000521
First step of
(2- (6-methylpyridin-3-yl) thiazol-4-yl) methyl methanesulfonate 6b
(2- (6-methylpyridin-3-yl) thiazol-4-yl) methanol 6a (171mg,0.83mmol, prepared by the method disclosed in "example 74 on page 229 of the specification in WO 2013163279") was dissolved in methylene chloride (10mL), triethylamine (170mg, 1.68mmol) was added thereto, the mixture was cooled to 0 ℃ and stirred, methanesulfonyl chloride (120mg, 1.05mmol) was added dropwise to the reaction system, and the reaction was carried out at 0 ℃ for 3 hours. After the reaction was completed, 30mL of water was added, methylene chloride was extracted (30 mL. times.3), the combined organic phases were dried over anhydrous sodium sulfate, and concentrated to give Compound 6b (235mg, yield: 99%).
Second step of
4- (((6-methoxy-2- (6-methylimidazo [1,2-a ] pyridin-2-yl) benzofuran-4-yl) oxy) methyl) -2- (6-methylpyridin-3-yl) thiazole 6
Compound 5c (40mg, 0.14mmol) was dissolved in 5mL of N, N-dimethylformamide, and compound 6b (50mg, 0.18mmol) and cesium carbonate (100mg, 0.31mmol) were added in this order and heated to 80 ℃ for reaction for 16 hours. The reaction solution was concentrated under reduced pressure, and the resulting residue was purified by silica gel column chromatography with eluent system B to give the title compound 6(33mg, yield: 50%).
MS m/z(ESI):483.2[M+1]
1H NMR(400MHz,CDCl3):δ9.07(s,1H),8.16(d,1H),7.94(s,1H),7.83(s,1H),7.60(d,1H),7.44(s,1H),7.40(s,1H),7.26(d,1H),7.10(s,1H),6.74(s,1H),6.48(s,1H),5.41(s,2H),3.86(s,3H),2.64(s,3H),2.35(s,3H).
Example 7
(4- (4- (((6-methoxy-2- (6-methylimidazo [1,2-a ] pyridin-2-yl) benzofuran-4-yl) oxy) methyl) thiazol-2-yl) phenyl) (pyrrolidin-1-yl) methanone 7
Figure BDA0001980795000000531
First step of
4- (4- (((methylsulfonyl) oxy) methyl) thiazol-2-yl) benzoic acid methyl ester 7b
Methyl 4- (4- (hydroxymethyl) thiazol-2-yl) benzoate 7a (300mg, 1.20mmol, prepared by the method disclosed in example 37 "on page 191 of the specification in the patent application" WO 2013163279) was dissolved in 6mL of dichloromethane, triethylamine (244mg, 2.41mmol), methanesulfonyl chloride (200mg, 1.74mmol) were added sequentially under ice-cooling, stirring was carried out at that temperature for 30 minutes, the ice-cooling was removed, 10mL of water was added to quench the reaction, 10mL of dichloromethane was extracted, the organic phase was dried over magnesium sulfate, filtered, and concentrated under reduced pressure to give the crude title compound 7b (370mg), which was used in the next reaction without purification.
Second step of
4- (4- (((6-methoxy-2- (6-methylimidazol [1,2-a ] pyridin-2-yl) benzofuran-4-yl) oxy) methyl) thiazol-2-yl) benzoic acid methyl ester 7c
The crude compound 7b (260mg, 0.79mmol) was dissolved in 5mL of N, N-dimethylformamide, and compound 5c (150mg, 0.50mmol), cesium carbonate (326mg, 1.00mmol) were added in that order, heated to 80 ℃, stirred for 16 hours, cooled to room temperature, evaporated to dryness under reduced pressure, dissolved in 10mL of dichloromethane, filtered, the filtrate concentrated, and the resulting residue was slurried with 10mL of methanol, filtered to give the title compound 7c (139mg, 53% yield).
The third step
4- (4- (((6-methoxy-2- (6-methylimidazol [1,2-a ] pyridin-2-yl) benzofuran-4-yl) oxy) methyl) thiazol-2-yl) benzoic acid 7d
Compound 7c (170mg, 0.32mmol) was dissolved in 7mL of a mixed solution of methanol, tetrahydrofuran and water (v: v: v ═ 3:3:1), and sodium hydroxide (90mg, 2.25mmol) was added thereto, followed by stirring for 1 hour, heating to 50 ℃ and stirring for 1 hour. Concentrated under reduced pressure, 5mL of water was added, 1M hydrochloric acid was added dropwise to adjust the reaction solution to pH 2, and 5mL of ethyl acetate was added, followed by shaking, filtration and drying to obtain the title compound 7d (160mg, yield: 97%).
The fourth step
(4- (4- (((6-methoxy-2- (6-methylimidazo [1,2-a ] pyridin-2-yl) benzofuran-4-yl) oxy) methyl) thiazol-2-yl) phenyl) (pyrrolidin-1-yl) methanone 7
Compound 7d (51mg, 0.10mmol) was dissolved in 2mL of N, N-dimethylformamide, and pyrrolidine (10mg, 0.12mmol), triethylamine (30mg, 0.30mmol), O- (7-azabenzotriazol-1-yl) -N, N' -tetramethyluronium hexafluorophosphate (56mg, 0.15mmol) was added in this order, stirred for 60 hours, concentrated under reduced pressure, and the residue was purified (water: ethyl acetate ═ 1:1 as an eluent) to give compound 7(30mg, yield: 58%). MS M/z (ESI):565.2[ M +1]
1H NMR(400MHz,DMSO-d6):δ8.64(s,1H),8.51(s,1H),8.02(d,2H),7.97(s,1H),7.78(d,1H),7.66(d,3H),7.56(s,1H),6.93(s,1H),6.72(d,1H),5.42(s,2H),3.86(s,3H),3.48(t,2H),3.41(t,2H),2.39(s,3H),1.90-1.81(m,4H).
Example 8
4- (((6-methoxy-2- (6-methylimidazo [1,2-a ] pyridin-2-yl) benzofuran-4-yl) oxy) methyl) -2- (4-methoxyphenyl) thiazole 8
Figure BDA0001980795000000541
Using the synthetic route of example 3, the third step starting material 1i was replaced with compound 5a, to give the title compound 8(10 mg).
MS m/z(ESI):498.5[M+1]
1H NMR(400MHz,CDCl3):δ7.97(s,1H),7.92(d,2H),7.83(s,1H),7.72(d,1H),7.53(d,1H),7.34(s,1H),7.18(d,1H),6.98(d,2H),6.72(s,1H),6.48(s,1H),5.38(s,2H),3.88(s,3H),3.86(s,3H),2.37(s,3H).
Example 9
(S) -2- (2- (((6-methoxy-2- (6-methylimidazo [1,2-a ] pyridin-2-yl) benzofuran-4-yl) oxy) methyl) pyrrolidin-1-yl) pyrimidine-5-carbonitrile 9
Figure BDA0001980795000000551
Using the synthetic route of example 5, the starting material 5f from the fifth step was replaced with compound 4f to give the title compound 9(21 mg).
MS m/z(ESI):481.2[M+1]
1H NMR(400MHz,CDCl3):δ8.56(s,2H),7.95(s,1H),7.82(d,1H),7.59(d,1H),7.31(s,1H),7.11(d,1H),6.70(s,1H),6.43(s,1H),4.63(s,1H),4.31(dd,2H),3.87(s,3H),3.85-3.63(m,2H),2.35(s,3H),2.34-2.14(m,4H).
Example 10
4- (4- (((6-methoxy-2- (6-methylimidazo [1,2-a ] pyridin-2-yl) benzofuran-4-yl) oxy) methyl) thiazol-2-yl) benzonitrile 10
Figure BDA0001980795000000552
Using the synthetic route of example 6, substituting the first step starting material 6a for 4- (4- (hydroxymethyl) thiazol-2-yl) benzonitrile 10a (prepared using the method disclosed in patent application "example 64 on page 224 of the specification in WO 2013163279) gives the title compound 10.
MS m/z(ESI):493.4[M+1]
1H NMR(400MHz,CDCl3):δ8.09(d,2H),7.95(s,1H),7.84(s,1H),7.75(d,2H),7.60(d,1H),7.52(s,1H),7.42(s,1H),7.12(d,1H),6.74(s,1H),6.47(s,1H),5.41(s,2H),3.87(s,3H),2.36(s,3H).
Example 11
(S) -6- (2- (((6-methoxy-2- (6-methylimidazo [1,2-a ] pyridin-2-yl) benzofuran-4-yl) oxy) methyl) pyrrolidin-1-yl) nicotinonitrile 11
Figure BDA0001980795000000561
Using the synthetic route of example 5, starting material 5f from the fifth step was replaced with starting material compound 1f to give the title compound 11(19 mg).
MS m/z(ESI):480.3[M+1]
1H NMR(400MHz,CDCl3):δ8.45(s,1H),7.92(s,1H),7.82(s,1H),7.60(s,1H),7.59(d,1H),7.31(d,1H),7.08(s,1H),6.67(s,1H),6.43(s,2H),4.67(s,1H),4.26(dd,2H),3.84(s,3H),3.63(t,1H),3.42(s,1H),2.34(s,3H),2.29-2.01(m,4H).
Example 12
4- (((6-methoxy-2- (6-methylimidazo [1,2-a ] pyridin-2-yl) benzofuran-4-yl) oxy) methyl) -2-phenylthiazole 12
Figure BDA0001980795000000562
Using the synthetic route of example 6, the starting material 6a of the first step was replaced with (2-phenylthiazol-4-yl) methanol 12a (prepared by a well-known method "Journal of Heterocyclic Chemistry,1996,33(6), 1883-.
MS m/z(ESI):468.1[M+1]
1H NMR(400MHz,CDCl3):δ7.98(d,2H),7.93(s,1H),7.83(s,1H),7.60(d,1H),7.47-7.44(m,3H),7.40(s,2H),7.09(d,1H),6.74(s,1H),6.48(s,1H),5.41(s,2H),3.86(s,3H),2.35(s,3H).
Example 13
4- (((6-methoxy-2- (6-methylimidazo [1,2-a ] pyridin-2-yl) benzofuran-4-yl) oxy) methyl) -2- (6-methoxypyridin-3-yl) thiazole 13
Figure BDA0001980795000000563
Figure BDA0001980795000000571
First step of
2- (6-methoxypyridin-3-yl) thiazole-4-carbaldehyde 13c
2-bromothiazole-4-carbaldehyde 13a (480mg, 2.50mmol, purchased from Meyer chemical technology Co., Ltd., Shanghai) was dissolved in 1, 4-dioxane (10mL), and (6-methoxypyridin-3-yl) boronic acid 13b (580mg, 3.79mmol), sodium carbonate solution (2M, 2.5mL) and tetrakis (triphenylphosphine) palladium (150mg, 0.13mmol) were added, heated to 120 ℃ under argon and stirred for 16 hours. Water (10mL) was added thereto at room temperature, extracted with ethyl acetate (10 mL. times.3), concentrated under reduced pressure, and the resulting residue was purified by silica gel column chromatography with eluent system B to give the title compound 13c (253mg, yield: 46%).
MS m/z(ESI):221.1[M+1]
Second step of
(2- (6-methoxypyridin-3-yl) thiazol-4-yl) methanol 13d
Compound 13c (240mg, 1.09mmol) was dissolved in anhydrous methanol (10mL), and sodium borohydride (60mg, 1.59mmol) was added under ice-bath, stirred for 15 minutes, quenched with acetone, concentrated under reduced pressure, added with water (10mL), extracted with ethyl acetate (10 mL. times.3), and concentrated to give compound 13d (235mg, yield: 97%).
MS m/z(ESI):223.1[M+1]
The third step
(2- (6-methoxypyridin-3-yl) thiazol-4-yl) methyl methanesulfonate 13e
Compound 13d (226mg,1.02mmol) was dissolved in methylene chloride (10mL), triethylamine (220mg, 2.17mmol) was added thereto, the mixture was cooled to 0 ℃ and stirred, methanesulfonyl chloride (150mg, 1.31mmol) was added dropwise to the reaction system, and the reaction was carried out at 0 ℃ for 3 hours. After the reaction was completed, water (30mL) was added, methylene chloride was extracted (30 mL. times.3), the combined organic phases were dried over anhydrous sodium sulfate, and concentrated to give compound 13e (305mg, yield: 99%).
The fourth step
4- (((6-methoxy-2- (6-methylimidazo [1,2-a ] pyridin-2-yl) benzofuran-4-yl) oxy) methyl) -2- (6-methoxypyridin-3-yl) thiazole 13
Compound 5c (30mg, 0.102mmol) was dissolved in 5mL of N, N-dimethylformamide, and compound 13e (40mg, 0.133mmol) and cesium carbonate (80mg, 0.246mmol) were added in this order and heated to 80 ℃ for reaction for 16 hours. The reaction mixture was concentrated under reduced pressure and purified by silica gel column chromatography with eluent system B to give compound 13(34mg, yield: 67%).
MS m/z(ESI):499.2[M+1]
1H NMR(400MHz,DMSO-d6):δ8.78(s,1H),8.37(s,1H),8.24(d,1H),8.21(s,1H),7.91(s,1H),7.48(d,1H),7.22(s,1H),7.15(d,1H),6.97(d,1H),6.89(s,1H),6.66(s,1H),5.39(s,2H),3.93(s,3H),3.93(s,3H),2.29(s,3H).
Example 14
2- (4-fluorophenyl) -4- (((6-methoxy-2- (6-methylimidazo [1,2-a ] pyridin-2-yl) benzofuran-4-yl) oxy) methyl) thiazole 14
Figure BDA0001980795000000581
Using the synthetic route of example 6, the starting material 6a from the first step was replaced with (2- (4-fluorophenyl) thiazol-4-yl) methanol 14a (prepared using the method disclosed in patent application "example 211 on page 269 of the specification in WO 2015042397") to give the title compound 14.
MS m/z(ESI):486.4[M+1]
1H NMR(400MHz,CDCl3):δ7.97(dd,2H),7.93(s,1H),7.83(s,1H),7.57(d,1H),7.38(s,2H),7.16(d,1H),7.15(s,1H),7.09(d,1H),6.74(s,1H),6.48(d,1H),5.39(s,2H),3.86(s,3H),2.35(s,3H).
Example 15
4- (((6-methoxy-2- (6-methylimidazo [1,2-a ] pyridin-2-yl) benzofuran-4-yl) oxy) methyl) -2- (3-methoxyphenyl) thiazole 15
Figure BDA0001980795000000582
First step of
(2- (3-methoxyphenyl) thiazol-4-yl) methyl methanesulfonate 15b
(2- (3-methoxyphenyl) thiazol-4-yl) methanol 15a (90mg, 0.41mmol, prepared by the method disclosed in "Chemistry-AEuroOPEAN Journal,2013,19(29), 9655-9662") was dissolved in dichloromethane (5mL), triethylamine (82mg, 0.81mmol) was added and stirred at 0 ℃ to drop methanesulfonyl chloride (70mg, 0.61mmol) into the above reaction, stirred at this temperature for 30 minutes, the ice bath was removed, 10mL of water was added to quench the reaction, 10mL of dichloromethane was extracted, the organic phases were combined, dried over magnesium sulfate, filtered, and concentrated to give crude title compound 15b (110mg, yield: 90%).
Second step of
4- (((6-methoxy-2- (6-methylimidazo [1,2-a ] pyridin-2-yl) benzofuran-4-yl) oxy) methyl) -2- (3-methoxyphenyl) thiazole 15
Compound 15b (45mg, 0.15mmol) was dissolved in 5mL of N, N-dimethylformamide, and compound 5c (30mg, 0.10mmol) and cesium carbonate (65mg, 0.20mmol) were added in this order and heated to 80 ℃ for reaction for 16 hours. The reaction solution was concentrated under reduced pressure, water (10mL) was added, extraction was performed with ethyl acetate (10 mL. times.3), the organic phases were combined, concentrated under reduced pressure, the residue was washed with methanol, filtered, and the solid was dried to obtain compound 15(40mg, yield: 80%).
MS m/z(ESI):498.1[M+1]
1H NMR(400MHz,CDCl3):δ7.90(s,1H),7.81(d,1H),7.55-7.51(m,3H),7.38(s,1H),7.35(t,2H),7.05(dd,1H),6.99(ddd,1H),6.73(s,1H),6.48(d,1H),5.40(s,2H),3.90(s,3H),3.85(s,3H),2.33(s,3H).
Example 16
4- (((6-methoxy-2- (6-methoxyimidazo [1,2-a ] pyridin-2-yl) benzofuran-4-yl) oxy) methyl) -2- (4-methoxyphenyl) thiazole 16
Figure BDA0001980795000000591
Using the synthetic route of example 3, the starting material 1i from the third step was replaced with the starting material compound 2-amino-5-methoxypyridine (purchased from Shaoshima chemical technology Co., Ltd.) to afford the title compound 16(10 mg).
MS m/z(ESI):514.5[M+1]
1H NMR(400MHz,CDCl3):δ7.91(d,2H),7.84(s,1H),7.65(s,1H),7.53(d,1H),7.31(s,2H),6.96-7.01(m,3H),6.74(s,1H),6.48(s,1H),5.39(s,2H),3.87(s,3H),3.86(s,3H),3.85(s,3H).
Example 17
(S) -5- (2- (((6-methoxy-2- (6-methylimidazo [1,2-a ] pyridin-2-yl) benzofuran-4-yl) oxy) methyl) pyrrolidin-1-yl) pyrazine-2-carbonitrile 17
Figure BDA0001980795000000601
Using the synthetic route of example 5, the starting material 5f from the fifth step was replaced with the compound 2-cyano-5-chloropyrazine (purchased from Shanghai Bidi medical science and technology Co., Ltd.) to give the title compound 17(13 mg).
MS m/z(ESI):481.5[M+1]
1H NMR(400MHz,CDCl3):δ8.38(s,1H),8.01(s,1H),7.95(s,1H),7.84(s,1H),7.60(d,1H),7.28(s,1H),7.13(d,1H),6.69(s,1H),6.37(s,1H),4.68(s,1H),4.27(s,2H),3.85(s,3H),3.80-3.75(m,1H),3.55(s,1H),2.36(s,3H),2.34-2.14(m,4H).
Example 18
(S) -2- (4- ((1- (4-fluorophenyl) pyrrolidin-2-yl) methoxy) -6-methoxybenzofuran-2-yl) -6-methylimidazo [1,2-a ] pyridine 18
Figure BDA0001980795000000602
First step of
(S) - (1- (4-fluorophenyl) pyrrolidin-2-yl) methanol 18b
(S) -pyrrolidin-2-ylmethanol 18a (911mg, 9.0mmol), 1-fluoro-4-iodobenzene (1.0g, 4.5mmol), cuprous iodide (171.5mg, 0.9mmol), L-proline (207.4mg, 1.8mmol), potassium carbonate (3.11g, 22.5mmol) were dissolved in 8mL of dimethylsulfoxide, displaced 3 times with argon, and reacted at 120 ℃ for 16 hours. Cooled to room temperature, concentrated under reduced pressure, and the resulting residue was purified by silica gel column chromatography with eluent system B to give the title compound 18B (580mg, yield: 66%).
MS m/z(ESI):196.1[M+1]
Second step of
(S) - (1- (4-fluorophenyl) pyrrolidin-2-yl) methylmethanesulfonate 18c
Compound 18b (195.2mg, 1mmol) was dissolved in 10mL of dichloromethane, triethylamine (202mg, 2mmol) was added, the mixture was cooled to 0 ℃ and methanesulfonyl chloride (171mg, 1.5mmol) was added dropwise, followed by reaction at 0 ℃ for 1 hour. 8mL of water was added, the layers were separated, the organic phase was dried over anhydrous sodium sulfate, and concentrated to give the title compound 18c (260mg, yield: 95%).
MS m/z(ESI):274.1[M+1]
The third step
(S) -2- (4- ((1- (4-fluorophenyl) pyrrolidin-2-yl) methoxy) -6-methoxybenzofuran-2-yl) -6-methylimidazo [1,2-a ] pyridine 18
Compound 18C (69mg, 0.252mmol) was dissolved in 8mL of N, N-dimethylformamide, and cesium carbonate (110mg, 0.337mmol), compound 5C (50mg, 0.17mmol) were added, reacted at 80 ℃ for 16 hours, cooled to room temperature, concentrated under reduced pressure, and purified by silica gel column chromatography with eluent system C to give the title compound 18(30mg, yield: 37%).
MS m/z(ESI):472.2[M+1]
1H NMR(400MHz,CDCl3):δ7.94(s,1H),7.82(s,1H),7.60(s,1H),7.33(s,1H),7.10-7.12(d,1H),6.94-6.98(t,2H),6.69(s,1H),6.60-6.64(m,2H),6.29-6.30(d,1H),4.15-4.19(m,2H),3.90-3.94(t,1H),3.83(s,3H),3.50-3.54(m,1H),3.14-3.20(m,1H),2.35(s,3H),2.07-2.24(m,4H).
Example 19
4- (((6-methoxy-2- (6-methylimidazo [1,2-a ] pyridin-2-yl) benzofuran-4-yl) oxy) methyl) -2- (5-methoxypyrazin-2-yl) thiazole 19
Figure BDA0001980795000000611
Figure BDA0001980795000000621
First step of
2- (5-Methoxypyrazin-2-yl) thiazole-4-carboxylic acid ethyl ester 19b
To a solution of (4- (ethoxycarbonyl) thiazol-2-yl) zinc (II) bromide 19a in N, N-dimethylacetamide (10mL, 2.00mmol, prepared by a known method "European Journal of Organic Chemistry,2013,28,6404-, cooled to room temperature, quenched with 1mL of water, concentrated under reduced pressure, added with 10mL of water, extracted with ethyl acetate (10 mL. times.3), concentrated under reduced pressure, and the resulting residue was purified by silica gel column chromatography using eluent system A to give the title compound 19b (240mg, 90% yield).
Second step of
(2- (5-Methoxypyrazin-2-yl) thiazol-4-yl) methanol 19c
Compound 19b (200mg, 0.75mmol) was dissolved in 8mL of tetrahydrofuran, followed by addition of methanol (241mg, 7.50mmol), sodium borohydride (114mg, 3.00mmol), heating under reflux for 2 hours, cooling to room temperature, concentration under reduced pressure, addition of 10mL of water, extraction with ethyl acetate (10mL × 3), concentration under reduced pressure, and purification of the resulting residue with silica gel column chromatography using eluent system a to give the title compound 19c (140mg, 83% yield).
The third step
(2- (5-Methoxypyrazin-2-yl) thiazol-4-yl) methyl methanesulfonate 19d
Compound 19c (140mg, 0.62mmol) was dissolved in dichloromethane (7mL), triethylamine (127mg, 1.26mmol) was added and stirred at 0 deg.C, methanesulfonyl chloride (108mg, 0.94mmol) was added dropwise to the reaction, stirred at that temperature for 1 hour, the ice bath was removed, the reaction was quenched with 10mL of water, the aqueous phase was extracted with 10mL of dichloromethane, the organic phases were combined, dried over magnesium sulfate, filtered, and concentrated to give the title compound 19d (170mg, yield: 90%).
The fourth step
4- (((6-methoxy-2- (6-methylimidazo [1,2-a ] pyridin-2-yl) benzofuran-4-yl) oxy) methyl) -2- (5-methoxypyrazin-2-yl) thiazole 19
Compound 19d (40mg, 0.13mmol) was dissolved in 5mL of N, N-dimethylformamide, and compound 5c (30mg, 0.10mmol) and cesium carbonate (65mg, 0.20mmol) were added in this order and heated to 80 ℃ for reaction for 16 hours. The reaction mixture was concentrated under reduced pressure, water (10mL) was added, extraction was performed with ethyl acetate (10 mL. times.3), the organic phases were combined, concentrated under reduced pressure, and the resulting residue was purified by silica gel column chromatography with eluent system A to obtain compound 19(10mg, yield: 20%).
MS m/z(ESI):500.1[M+1]
1H NMR(400MHz,CDCl3):δ8.95(s,1H),8.21(d,1H),7.93(s,1H),7.81(d,1H),7.60(d,1H),7.47(s,1H),7.40(s,1H),7.09(d,1H),6.73(s,1H),6.48(d,1H),5.40(s,2H),4.05(s,3H),3.86(s,3H),2.34(s,3H).
Example 20
4- (((2- (6-chloroimidazo [1,2-a ] pyridin-2-yl) -6-methoxybenzofuran-4-yl) oxy) methyl) -2- (4-methoxyphenyl) thiazole 20
Figure BDA0001980795000000631
Using the synthetic route of example 3, the third step was performed by replacing the starting material 1i with the starting material compound 2-amino-5-chloro-pyridine (purchased from Shaosheng chemical technology Co., Ltd.) to afford the title compound 20(10 mg).
MS m/z(ESI):518.1[M+1]
1H NMR(400MHz,CDCl3):δ8.25(s,1H),7.96(s,1H),7.93(d,2H),7.65(d,1H),7.44(s,1H),7.35(s,1H),7.23(d,1H),7.01(d,2H),6.76(s,1H),6.51(s,1H),5.41(s,2H),3.91(s,3H),3.90(s,3H).
Example 21
4- (((6-methoxy-2- (6-methylimidazo [1,2-a ] pyridin-2-yl) benzofuran-4-yl) oxy) methyl) -2- (5-methoxypyridin-2-yl) thiazole 21
Figure BDA0001980795000000632
Using the synthetic route described in example 19, the starting material 2-bromo-5-methoxypyrazine of the first step was replaced with the compound 2-bromo-5-methoxypyridine to afford the title compound 21.
MS m/z(ESI):499.5[M+1]
1H NMR(400MHz,CDCl3):δ8.31(d,1H),8.15(d,1H),7.91(s,1H),7.81(d,1H),7.58(d,1H),7.42(s,1H),7.36(s,1H),7.30(dd,1H),7.06(d,1H),6.73(s,1H),6.48(d,1H),5.38(s,2H),3.92(s,3H),3.85(s,3H),2.33(s,3H).
Example 22
4- (4- (((6-methoxy-2- (6-methylimidazo [1,2-a ] pyridin-2-yl) benzofuran-4-yl) oxy) methyl) thiazol-2-yl) -N, N-dimethylbenzamide 22
Figure BDA0001980795000000641
Using the synthetic route of example 7, the starting pyrrolidine from the fourth step was replaced with dimethylamine hydrochloride to give the title compound 22(20mg, yield: 40%).
MS m/z(ESI):539.3[M+1]
1H NMR(400MHz,DMSO-d6):δ8.63(s,1H),8.49(s,1H),8.02(d,2H),7.96(s,1H),7.76(d,1H),7.64(d,3H),7.55(s,1H),6.92(s,1H),6.74(d,1H),5.42(s,2H),3.86(s,3H),2.97(d,6H),2.38(s,3H).
Example 23
2- (6-methoxy-4- ((3- (5-methoxypyrazin-2-yl) benzyl) oxy) benzofuran-2-yl) -6-methylimidazo [1,2-a ] pyridine 23
Figure BDA0001980795000000642
Using the synthetic route of example 6, the first step starting material 6a was replaced with (3- (5-methoxypyrazin-2-yl) phenyl) methanol 23a (prepared using the method disclosed in patent application "example 53 on page 143 of the specification in WO 2013163241") to give the title compound 23.
MS m/z(ESI):493.2[M+1]
1H NMR(400MHz,CDCl3):δ8.56(s,1H),8.32(s,1H),8.04(s,1H),7.93(d,1H),7.88(d,1H),7.81(s,1H),7.62-7.52(m,3H),7.40(s,1H),7.09(d,1H),6.72(s,1H),6.43(s,1H),5.28(s,2H),4.03(s,3H),3.85(s,3H),2.34(s,3H).
Example 24
5- (4- (((6-methoxy-2- (6-methylimidazo [1,2-a ] pyridin-2-yl) benzofuran-4-yl) oxy) methyl) thiazol-2-yl) cyanopyridine 24
Figure BDA0001980795000000643
Using the synthetic route of example 13, the first step starting materials 13a and 13b were replaced with 2-bromothiazole-4-carbaldehyde (purchased from Shanghai Michelle chemical technology Co., Ltd.) and (6-cyanopyridin-3-yl) boronic acid (purchased from Shanghai Bishi medical science Co., Ltd.), respectively, to afford the title compound 24.
MS m/z(ESI):494.4[M+1]
1H NMR(400MHz,CDCl3):δ9.28(s,1H),8.40(d,1H),7.93(s,1H),7.83(s,1H),7.79(d,1H),7.59(s,1H),7.56(d,1H),7.36(s,1H),7.08(d,1H),6.74(s,1H),6.46(s,1H),5.41(s,2H),3.86(s,3H),2.34(s,3H).
Example 25
4- (((2- (6-Fluoroimidazo [1,2-a ] pyridin-2-Yl) -6-Methoxybenzofuran-4-Yl) oxy) methyl) -2- (4-methoxyphenyl) thiazole 25
Figure BDA0001980795000000651
The title compound 25 was prepared using the synthetic route of example 3 substituting the starting compound 1i for the starting compound 2-amino-5-fluoropyridine of the third step (purchased from Shaosheng chemical technology Co., Ltd.).
MS m/z(ESI):502.1[M+1]
1H NMR(400MHz,CDCl3):δ8.13(t,1H),7.95(d,2H),7.94(s,1H),7.69-7.65(m,1H),7.41(s,1H),7.35(s,1H),7.21-7.18(m,1H),7.01(d,2H),6.76(s,1H),6.52(d,1H),5.41(s,2H),3.91(s,3H),3.90(s,3H).
Example 26
2- (4- ((3- (benzyloxy) benzyl) oxy) -6-methoxybenzofuran-2-yl) -6-methylimidazo [1,2-a ] pyridine 26
Figure BDA0001980795000000652
First step of
(3- (benzyloxy) phenyl) methanol 26b
3- (hydroxymethyl) phenol (1.241g, 10mmol) was dissolved in 15mL of N, N-dimethylformamide, potassium carbonate (4.14g, 30mmol) was added, cooled to 0 deg.C, benzyl bromide (1.88g, 11mmol) was added, and the reaction was carried out at room temperature for 16 hours. 60mL of water was added and stirred, followed by extraction with ethyl acetate (60 mL. times.2), and the organic phases were combined, dried over anhydrous sodium sulfate, concentrated, and the resulting residue was purified by silica gel column chromatography using developer system D to obtain the title compound 26b (1.9g, yield: 89%).
MS m/z(ESI):215.2[M+1]
Second step of
3- (benzyloxy) benzyl methanesulfonate 26c
Compound 26b (500mg, 2.33mmol) was dissolved in methylene chloride (15mL), triethylamine (472mg, 4.66mmol) was added thereto, the mixture was cooled to 0 ℃ and stirred, methanesulfonyl chloride (400mg, 3.49mmol) was added dropwise to the reaction system, and the reaction was carried out at 0 ℃ for 3 hours. After the reaction was completed, 50mL of water was added, dichloromethane was extracted (50 mL. times.3), the combined organic phases were dried over anhydrous sodium sulfate, and concentrated to give the title compound 26c (600mg, yield: 88%). MS M/z (ESI) 291.4[ M-1]
The third step
2- (4- ((3- (benzyloxy) benzyl) oxy) -6-methoxybenzofuran-2-yl) -6-methylimidazo [1,2-a ] pyridine 26
Compound 5c (40mg, 0.14mmol) was dissolved in 8mL of N, N-dimethylformamide, and compound 26c (48mg, 0.164mmol) and cesium carbonate (88mg, 0.27mmol) were added in this order and heated to 80 ℃ for reaction for 16 hours. The reaction solution was concentrated under reduced pressure, and the resulting residue was purified by silica gel column chromatography with eluent system B to give the title compound 26(16mg, yield: 24%).
MS m/z(ESI):491.2[M+1]
1H NMR(400MHz,CDCl3):δ7.89(s,1H),7.80(s,1H),7.50-7.52(d,1H),7.44-7.46(d,2H),7.36-7.40(t,2H),7.28-7.33(m,3H),7.12(s,1H),7.06-7.08(d,1H),7.02-7.04(d,1H),6.92-6.95(m,1H),6.70(s,1H),6.38-6.39(d,1H),5.16(s,2H),5.08(s,2H),3.83(s,3H),2.31(s,3H).
Example 27
4- (((2- (6-ethylimidazo [1,2-a ] pyridin-2-yl) -6-methoxybenzofuran-4-yl) oxy) methyl) -2- (4-methoxyphenyl) thiazole 27
Figure BDA0001980795000000661
The title compound 27 was prepared using the synthetic route of example 3 substituting the starting material 1i for the starting material compound 2-amino-5-ethylpyridine (purchased from Shaosheng chemical technology Co., Ltd.) in the third step.
MS m/z(ESI):512.2[M+1]
1H NMR(400MHz,CDCl3):δ7.96(s,1H),7.93(d,2H),7.88(s,1H),7.59(d,1H),7.38(s,1H),7.35(s,1H),7.14(d,1H),7.01(d,2H),6.78(s,1H),6.52(s,1H),5.43(s,2H),3.92(s,3H),3.90(s,3H),2.70(q,2H),1.34(t,3H).
Example 28
2- (6-methoxy-4- ((2- (4-methoxyphenyl) thiazol-4-yl) methoxy) benzofuran-2-yl) imidazo [1,2-a ] pyridine-6-carbonitrile 28
Figure BDA0001980795000000671
The title compound 28 was prepared by substituting the third step starting material 1i with the compound 6-aminonicotinonitrile (purchased from Shaosheng chemical technology Co., Ltd.) using the synthetic route of example 3.
MS m/z(ESI):509.0[M+1]
1H NMR(400MHz,CDCl3):δ8.61(s,1H),8.01(s,1H),7.95(d,2H),7.72(d,1H),7.47(s,1H),7.35(d,1H),7.31(s,1H),7.01(d,2H),6.77(s,1H),6.53(s,1H),5.41(s,2H),3.92(s,3H),3.91(s,3H).
Example 29
4- (((6-methoxy-2- (6-methylimidazo [1,2-a ] pyridin-2-yl) benzofuran-4-yl) oxy) methyl) -2- (4- (methylsulfonyl) phenyl) thiazole 29
Figure BDA0001980795000000672
Using the synthetic route from example 13, the first step starting materials 13a and 13b were replaced with 2-bromothiazole-4-carbaldehyde and (4- (methylsulfonyl) phenyl) boronic acid, respectively (purchased from Shanghai Shuya pharmaceutical science, Inc.), yielding the title compound 29.
MS m/z(ESI):546.1[M+1]
1H NMR(400MHz,CDCl3):δ8.43(s,1H),8.30(m,1H),8.29(m,1H),8.27(s,1H),8.13-8.14(d,2H),8.10-8.11(m,1H),7.53-7.55(d,1H),7.28(s,1H),7.20-7.23(d,1H),6.96(s,1H),6.72(s,1H),5.49(s,2H),3.89(s,3H),3.39(s,3H)2.35(s,3H).
Example 30
4- (((2- (6-Cyclopropylimidazo [1,2-a ] pyridin-2-yl) -6-methoxybenzofuran-4-yl) oxy) methyl) -2- (4-methoxyphenyl) thiazole 30
Figure BDA0001980795000000673
The title compound 30 was prepared using the synthetic route of example 3 substituting the third step starting material 1i with the starting material compound 2-amino-5-cyclopropylpyridine (purchased from shaoyuan chemical technology, inc.).
MS m/z(ESI):524.2[M+1]
1H NMR(400MHz,CDCl3):δ7.96(s,1H),7.94(d,2H),7.86(s,1H),7.57(d,1H),7.36(d,1H),7.35(s,1H),7.02(s,1H),7.01(d,2H),6.78(s,1H),6.52(s,1H),5.43(s,2H),3.92(s,3H),3.90(s,3H),1.95-1.94(m,1H),1.04-1.01(m,2H),0.76-0.75(m,2H).
Example 31
6- (3- ((6-methoxy-2- (6-methylimidazo [1,2-a ] pyridin-2-yl) benzofuran-4-yl) oxy) piperidin-1-yl) nicotinonitrile 31
Figure BDA0001980795000000681
First step of
6- (3-hydroxypiperidin-1-yl) nicotinonitrile 31b
3-hydroxypiperidine 31a (1010mg, 10mmol) was dissolved in 10mL of N, N-dimethylformamide, and then compound 1f (1383mg, 10mmol) and cesium carbonate (6.5g, 20mmol) were added in this order and the mixture was heated to 80 ℃ to react for 14 hours. The reaction solution was poured into 50mL of water, extracted with ethyl acetate (30 mL. times.2), the organic phases were combined and dried over anhydrous sodium sulfate, and concentrated under reduced pressure to give the title compound 31b (1.1g, yield: 54%).
MS m/z(ESI):204.1[M+1]
Second step of
1- (5-Cyanopyridin-2-yl) piperidin-3-ylmethanesulfonate 31c
Compound 31b (500mg, 2.46mmol) was dissolved in dichloromethane (15mL), triethylamine (298mg, 4.92mmol) was added thereto, the mixture was cooled to 0 ℃ and stirred, methanesulfonyl chloride (423mg, 3.69mmol) was added dropwise to the reaction system, and the reaction was carried out at 0 ℃ for 3 hours. After the reaction was completed, 30mL of water was added, methylene chloride was extracted (30mL × 3), the combined organic phases were dried over anhydrous sodium sulfate, and concentrated to give the title compound 31c (610mg) in yield: 88 percent.
The third step
6- (3- ((6-methoxy-2- (6-methylimidazo [1,2-a ] pyridin-2-yl) benzofuran-4-yl) oxy) piperidin-1-yl) nicotinonitrile 31
Compound 5c (56mg, 0.19mmol) was dissolved in 5mL of N, N-dimethylformamide, and compound 31c (64mg, 0.23mmol) and cesium carbonate (0.12g, 0.38mmol) were added in this order and heated to 80 ℃ for reaction for 16 hours. The reaction solution was concentrated under reduced pressure, and the resulting residue was purified by silica gel column chromatography with eluent system B to give compound 31(8mg), yield: 9 percent.
MS m/z(ESI):479.9[M+1]
1H NMR(400MHz,CDCl3):δ8.36(s,1H),7.93(s,1H),7.80(s,1H),7.59-7.53(m,2H),7.08(d,1H),7.06(s,1H),6.72(s,1H),6.58(d,1H),6.43(s,1H),4.54-4.52(m,1H),4.13(d,1H),3.86(s,3H),3.81-3.72(m,3H),2.34(s,3H),2.16-2.14(m,1H),2.04-2.00(m,2H),1.66-1.64(m,1H).
Example 32
6- (3- ((6-methoxy-2- (6-methylimidazo [1,2-a ] pyridin-2-yl) benzofuran-4-yl) oxy) pyrrolidin-1-yl) nicotinonitrile 32
Figure BDA0001980795000000691
The title compound 32 was prepared using the synthetic route of example 31 substituting the first step starting material 31a with 3-hydroxypyrrolidine 32a (purchased from Nanjing pharmacosite technologies, Inc.).
MS m/z(ESI):466.2[M+1]
1H NMR(400MHz,CDCl3):δ8.42(s,1H),7.94(s,1H),7.80(s,1H),7.61(d,2H),7.28(s,1H),7.13(d,1H),6.73(s,1H),6.41(d,1H),6.35(s,1H),5.21(s,1H),3.89(s,3H),3.87-3.75(m,4H),2.51(d,1H),2.35(s,4H).
Example 33
4- (((6-methoxy-2- (6- (trifluoromethyl) imidazo [1,2-a ] pyridin-2-yl) benzofuran-4-yl) oxy) methyl) -2- (4-methoxyphenyl) thiazole 33
Figure BDA0001980795000000701
The title compound 33 was prepared using the synthetic route of example 3 substituting the third step starting material 1i with the compound 2-amino-5-trifluoromethylpyridine (purchased from Shaosheng chemical technology Co., Ltd.).
MS m/z(ESI):552.1[M+1]
1H NMR(400MHz,CDCl3):δ8.55(s,1H),8.02(s,1H),7.95(d,2H),7.75(d,1H),7.45(s,1H),7.40(d,1H),7.35(s,1H),7.01(d,2H),6.72(s,1H),6.53(s,1H),5.42(s,2H),3.92(s,3H),3.91(s,3H).
Example 34
2- (3- (((6-methoxy-2- (6-methylimidazo [1,2-a ] pyridin-2-yl) benzofuran-4-yl) oxy) methyl) piperidin-1-yl) isonicotinonitrile 34
Figure BDA0001980795000000702
The title compound 34 was prepared using the synthetic route of example 6 replacing the first step starting material 6a with 2- (3- (hydroxymethyl) piperidin-1-yl) isonicotinonitrile 34a (prepared using the method disclosed in patent application "example 43 on page 142 of the specification in WO 2017066863).
MS m/z(ESI):494.3[M+1]
1H NMR(400MHz,CDCl3):δ8.27(d,1H),7.95(s,1H),7.85(s,1H),7.62(d,1H),7.39(d,1H),7.11(d,1H),6.85(s,1H),6.70(d,2H),6.33(s,1H),4.37(d,1H),4.12(d,1H),4.03(d,2H),3.86(s,3H),3.15-3.04(m,2H),2.36(s,3H),2.19(s,1H),2.02(d,1H),1.86(d,1H),1.67-1.58(m,2H).
Example 35
6- (3- ((6-methoxy-2- (6-methylimidazo [1,2-a ] pyridin-2-yl) benzofuran-4-yl) oxy) azetidin-1-yl) nicotinonitrile 35
Figure BDA0001980795000000703
Figure BDA0001980795000000711
First step of
6- (3-Hydroxyazetidinyl-1-yl) nicotinonitrile 35b
Azetidin-3-ol hydrochloride 35a (548mg, 5.00mmol) and compound 1f (693mg, 5.00mmol), potassium carbonate (1.38g, 10mmol) were dissolved in N, N-dimethylformamide (5mL), heated to 80 ℃ and the reaction stirred for 16 hours. The reaction mixture was concentrated under reduced pressure, water (20mL) was added, extracted with ethyl acetate (10 mL. times.3), concentrated, and the resulting residue was purified by thin layer chromatography using developer system A to give the title compound 35b (570mg, yield: 65%).
MS m/z(ESI):176.2[M+1]
Second step of
1- (5-cyanopyridin-2-yl) azacyclobutyl-3-yl methanesulfonate 35c
Compound 35b (175mg, 1mol) was dissolved in dichloromethane (5mL), cooled to 0 deg.C, triethylamine (202.16mg, 2.00mmol), methanesulfonyl chloride (171.64mg, 1.50mmol) were added sequentially, the reaction was stirred for 30 minutes, water (10mL) was added, dichloromethane was extracted (10 mL. times.2), dried over magnesium sulfate, filtered, and the filtrate was concentrated to give the title product 35c (250mg, yield: 99%).
MS m/z(ESI):253.9[M+1]
The third step
6- (3- ((6-methoxy-2- (6-methylimidazo [1,2-a ] pyridin-2-yl) benzofuran-4-yl) oxy) azetidin-1-yl) nicotinonitrile 35
Compound 5c (50mg, 0.17mmol) was dissolved in N, N-dimethylformamide (5mL), and cesium carbonate (111mg, 0.34mmol) and compound 35c (65mg, 0.26mmol) were added in that order, and the reaction was stirred at 80 ℃ for 16 hours. The reaction solution was concentrated under reduced pressure, and the resulting residue was purified by thin layer chromatography with developer system A to give the title compound 35(10mg, yield: 26%).
MS m/z(ESI):452.2[M+1]
1H NMR(400MHz,CDCl3):δ8.43(s,1H),7.99(s,1H),7.83(s,1H),7.75(s,1H),7.62(d,1H),7.53(s,1H),7.00(s,1H),6.75(s,1H),6.31(d,1H),6.10(s,1H),5.24(m,1H),4.58(dd,2H),4.28(dd,2H),3.87(s,3H),2.40(s,3H).
Example 36
6- (4- ((6-methoxy-2- (6-methylimidazo [1,2-a ] pyridin-2-yl) benzofuran-4-yl) oxy) piperidin-1-yl) nicotinonitrile 36
Figure BDA0001980795000000721
Using the synthetic route of example 6, the first step starting material 6a was replaced with 6- (4-hydroxypiperidin-1-yl) nicotinonitrile 36a (prepared using the method disclosed in patent application "example 22 on page 38 of the specification in WO 2012122077") to give the title compound 36.
MS m/z(ESI):480.2[M+1]
1H NMR(400MHz,CDCl3):δ8.43(s,1H),7.96(s,1H),7.83(s,1H),7.62(d,2H),7.40(s,1H),7.16(s,1H),6.73(s,1H),6.66(d,1H),6.40(s,1H),4.76(s,1H),3.87-3.80(m,7H),2.37(s,3H),2.11-1.98(m,4H).
Example 37
6- (4- ((2- (4-chlorophenyl) -5-methylthiazol-4-yl) methoxy) -6-methoxybenzofuran-2-yl) -2-methoxyimidazo [2,1-b ] thiazole 37
Figure BDA0001980795000000722
Figure BDA0001980795000000731
First step of
1- (4- ((tert-butyldimethylsilyl) oxy) -6-methoxybenzofuran-2-yl) ethanone 37a
Compound 1b (3.0g, 14.5mmol) was dissolved in 20mL of N, N-dimethylformamide, imidazole (2.5g, 36.7mmol) was added and the temperature was reduced to 0 deg.C, at which temperature tert-butyldimethylsilyl chloride (3.2g, 21.2mmol) was slowly added, and after the addition was complete, the mixture was warmed to room temperature and stirred for 18 hours. The reaction solution was concentrated under reduced pressure, and the resulting residue was purified by silica gel column chromatography with eluent system C to give the title compound 37a (3.6g, yield: 77%).
MS m/z(ESI):321.4[M+1]
Second step of
2-bromo-1- (4- ((tert-butyldimethylsilyl) oxy) -6-methoxybenzofuran-2-yl) -ethanone 37b
A solution of lithium hexamethyldisilazide in tetrahydrofuran (1M, 26.3mL) was dissolved in 200mL of dry tetrahydrofuran, cooled to-78 deg.C, and 50mL of compound 37a (2.8g, 8.7mmol) in dry tetrahydrofuran was slowly added dropwise. After 1 hour of reaction trimethylchlorosilane (2.9g, 26.7mmol) was added and stirring continued for 2 hours. 50mL of saturated sodium bicarbonate solution was added, and extracted with ethyl acetate (150 mL). The organic phase was dried over anhydrous sodium sulfate, the filtrate was concentrated under reduced pressure after filtration, 50mL of dry tetrahydrofuran was added, cooled to-78 deg.C, sodium bicarbonate (750mg, 8.9mmol) and N-bromosuccinimide (1.6g, 8.8mmol) were added, stirring was continued for 0.5 h, 50mL of saturated sodium bicarbonate solution was added, and extraction was performed with ethyl acetate (150 mL). The organic phase was dried over anhydrous sodium sulfate, the filtrate was concentrated under reduced pressure after filtration, and the resulting residue was purified by silica gel column chromatography with eluent system C to give the title compound 37b (2.1g, yield: 59%).
The third step
6- (4- ((tert-butyldimethylsilyl) oxy) -6-methoxybenzofuran-2-yl) -2-methoxyimidazo [2,1-b ] thiazole 37c
Compound 37b (1.8g, 4.5mmol) was dissolved in 25mL of tetrahydrofuran under argon, and compound 2a (880mg, 6.8mmol) was added and heated to 60 ℃ for reaction for 18 hours. After the reaction was cooled to room temperature, the reaction solution was concentrated under reduced pressure, and the resulting residue was purified by silica gel column chromatography with eluent system C to give the title compound 37C (1.2g, yield: 60%).
The fourth step
6-methoxy-2- (2-methoxyimidazo [2,1-b ] thiazol-6-yl) benzofuran-4-ol 37d
Compound 37c (1.2g, 2.7mmol) was dissolved in tetrabutylammonium fluoride in tetrahydrofuran (1M, 3mL) and after 1 hour of reaction 1mL of water was added. Extraction with ethyl acetate (10 mL. times.3) and concentration gave the title compound 37d (821mg, yield: 96%).
MS m/z(ESI):317.3[M+1]
The fifth step
2- (4-chlorophenyl) -5-methylthiazole-4-carboxylic acid methyl ester 37g
Methyl 2-bromo-5-methylthiazole-4-carboxylate 37e (180mg, 0.8mmol, Shao Yuan chemical science and technology Co., Ltd.) was dissolved in 5mL of 1, 4-dioxane and 1mL of water under an argon atmosphere, and (4-chlorophenyl) boronic acid 37f (120mg, 0.8mmol, Shao Yuan chemical science and technology Co., Ltd.) and [1,1' -bis (diphenylphosphino) ferrocene ] dichloropalladium (560mg, 0.8mmol) and potassium carbonate (106mg, 0.8mmol) were sequentially added, and the mixture was heated to 60 ℃ and stirred for reaction for 18 hours. The reaction solution was concentrated under reduced pressure, and the resulting residue was purified by silica gel column chromatography with eluent system C to give 37g (180mg, yield 88%) of the title compound.
MS m/z(ESI):268.1[M+1]
The sixth step
(2- (4-chlorophenyl) -5-methylthiazol-4-yl) methanol 37h
The compound (37 g, 88mg, 0.3mmol) was dissolved in 1mL of tetrahydrofuran, and methanol (96mg, 3mmol) and sodium borohydride (46mg, 1.2mmol) were sequentially added thereto, followed by heating and refluxing for 2 hours. Cooled to room temperature, concentrated under reduced pressure, added with 10mL of water, extracted with ethyl acetate (10mL × 3), concentrated under reduced pressure, and the resulting residue was purified by silica gel column chromatography with eluent system a to give the title compound 37h (65mg, yield 82%).
MS m/z(ESI):239.9[M+1]
Seventh step
4- (bromomethyl) -2- (4-chlorophenyl) -5-methylthiazole 37i
The compound (37 h, 60mg, 0.3mmol) was dissolved in 6mL of dichloromethane, triphenylphosphine (73mg, 0.3mmol) was added and the temperature was reduced to 0 deg.C, N-bromosuccinimide (45mg, 0.3mmol) was slowly added at this temperature, after the addition was complete, the temperature was raised to room temperature and stirring was continued for 1 hour. The reaction solution was concentrated under reduced pressure, and the resulting residue was purified by silica gel column chromatography with eluent system C to give the title compound 37i (52mg, yield: 69%).
MS m/z(ESI):303.4[M+1]
Eighth step
6- (4- ((2- (4-chlorophenyl) -5-methylthiazol-4-yl) methoxy) -6-methoxybenzofuran-2-yl) -2-methoxyimidazo [2,1-b ] thiazole 37
Compound 37d (20mg, 0.06mmol) was dissolved in 4mL of N, N-dimethylformamide, and potassium carbonate (30mg, 0.2mmol) and compound 37i (39mg, 0.1mmol) were sequentially added thereto, and the reaction was stirred at 80 ℃ for 3 hours. The reaction solution was concentrated under reduced pressure, and the resulting residue was purified by thin layer chromatography with developer system A to give the title compound 37(21mg, yield: 62%).
MS m/z(ESI):538.0[M+1]
1H NMR(400MHz,CDCl3):δ7.88(d,2H),7.65(s,1H),7.44(d,2H),7.09(s,1H),6.92(s,1H),6.73(s,1H),7.58(s,1H),5.35(s,2H),3.98(s,3H),3.88(s,3H),2.60(s,3H)。
Example 38
2-methoxy-6- (6-methoxy-4- ((2- (6-methoxypyridin-3-yl) thiazol-4-yl) methoxy) benzofuran-2-yl) imidazo [2,1-b ] thiazole 38
Figure BDA0001980795000000751
Using the synthetic route to example 13, substituting the fourth step starting material 5c for compound 37d, the title compound 38(5mg) was obtained.
MS m/z(ESI):521.2[M+1]
1H NMR(400MHz,CDCl3):δ8.74(s,1H),8.17(d,1H),7.63(s,1H),7.35(s,1H),7.15(s,1H),6.91(s,1H),6.84(d,1H),6.71(s,1H),6.46(s,1H),5.38(s,2H),4.01(s,3H),3.96(s,3H),3.85(s,3H)。
Example 39
2-methoxy-6- (6-methoxy-4- ((2- (4-methoxyphenyl) thiazol-4-yl) methoxy) benzofuran-2-yl) -5-methylimidazo [2,1-b ] thiazole 39
Figure BDA0001980795000000752
First step of
7-methoxy-5- ((2- (4-methoxyphenyl) thiazol-4-yl) methoxy) -2, 2-dimethyl-4H-benzo [ d ] [1,3] dioxin-4-one 39b
5-hydroxy-7-methoxy-2, 2-dimethyl-4H-benzo [ d ] [1,3] dioxin-4-one 39a (5.5g, 24.7mmol, prepared by the well-known method "Journal of Organic Chemistry,2015,80(1), 460-470") was dissolved in 100mL of N, N-dimethylformamide, followed by addition of potassium carbonate (16g, 49.1mmol) and compound 3b (8.1g, 26.9mmol), heating to 50 ℃ and stirring for reaction for 12 hours. The reaction solution was concentrated under reduced pressure, and the resulting residue was purified by thin layer chromatography using developer system A to obtain the title compound 39b (8.7g, yield: 83%). MS M/z (ESI) 428.1[ M +1]
Second step of
2-hydroxy-4-methoxy-6- ((2- (4-methoxyphenyl) thiazol-4-yl) methoxy) benzaldehyde 39c
Compound 39b (8.7g, 36mmol) was dissolved in 200mL of dichloromethane and the reaction was stirred for clarification. Cool to-78 deg.C, slowly add diisobutylaluminum hydride (1M, 69mL) dropwise and continue the reaction at-78 deg.C for 5 hours. 4.5mL of methanol was slowly added dropwise (until no more bubbles were formed), 50mL of 1N hydrochloric acid was added dropwise, and the dry ice bath was removed. 120mL of 1N hydrochloric acid was further added dropwise thereto, and the mixture was stirred at room temperature for 12 hours. The organic phase was separated, extracted with dichloromethane (70mL × 2), the organic phases were combined, concentrated under reduced pressure, dissolved in 100mL of tetrahydrofuran, added with 6mL of 1N hydrochloric acid, stirred at room temperature for 2 hours, added with saturated sodium chloride solution (80mL), extracted with ethyl acetate (80mL × 3), and concentrated under reduced pressure to give a residue which was purified by column chromatography using developer system a to give the title compound 39c (3.2g, yield: 42%).
The third step
1- (6-methoxy-4- ((2- (4-methoxyphenyl) thiazol-4-yl) methoxy) benzofuran-2-yl) propan-1-one 39d
Compound 39c (300mg, 0.8mmol) was dissolved in 20mL of N, N-dimethylformamide, and cesium carbonate (526mg, 1.6mmol) and 1-bromo-2-butanone (183mg, 1.2mmol, Han dynasty, Inc. in Shanghai were added in this order and reacted at room temperature for 12 hours. The reaction solution was concentrated under reduced pressure, and the resulting residue was purified by thin layer chromatography with developer system A to give the title compound 39d (340mg, yield: 99%).
MS m/z(ESI):424.1[M+1]
The fourth step
2-bromo-1- (6-methoxy-4- ((2- (4-methoxyphenyl) thiazol-4-yl) methoxy) benzofuran-2-yl) propan-1-one 39e
A solution of lithium hexamethyldisilazide in tetrahydrofuran (1M, 2.4mL) was dissolved in 12mL of dry tetrahydrofuran, cooled to-78 deg.C, and 12mL of compound 39d (340mg, 0.8mmol) in dry tetrahydrofuran was slowly added dropwise. After 1 hour of reaction, a solution of trimethylchlorosilane (261mg, 2.4mmol) in 3mL of dry tetrahydrofuran was added and stirring was continued at this temperature for 2 hours. 15mL of saturated sodium bicarbonate was added, and extracted with ethyl acetate (50 mL). The organic phase was dried over anhydrous sodium sulfate, filtered and the filtrate concentrated under reduced pressure and 15mL of dry tetrahydrofuran was added, cooled to-78 deg.C, sodium bicarbonate (100mg, 1.2mmol) and N-bromosuccinimide (143mg, 0.8mmol) were added, stirring was continued for half an hour and 15mL of saturated sodium bicarbonate was added and extracted with ethyl acetate (50 mL). The organic phase was dried over anhydrous sodium sulfate, the filtrate was concentrated under reduced pressure after filtration, and the resulting residue was purified by silica gel column chromatography with eluent system C to give the title compound 39e (220mg, yield: 55%).
The fifth step
2-methoxy-6- (6-methoxy-4- ((2- (4-methoxyphenyl) thiazol-4-yl) methoxy) benzofuran-2-yl) -5-methylimidazo [2,1-b ] thiazole 39
Compound 39e (30mg, 0.06mmol) was dissolved in 5mL of isopropanol, and compound 2a (13mg, 0.1mmol) was added and heated to 80 ℃ for reaction for 24 hours. After the reaction was cooled to room temperature, the reaction mixture was concentrated under reduced pressure, and the resulting residue was purified by silica gel column chromatography with eluent system A to give the title compound 39(13mg, yield: 31%).
MS m/z(ESI):534.2[M+1]
1H NMR(400MHz,CDCl3):δ7.94(d,2H),7.34(s,1H),7.08(s,1H),7.00(d,2H),6.79(s,1H),6.76(s,1H),6.50(d,1H),5.40(s,2H),3.99(s,3H),3.91(s,3H),3.88(s,3H),2.69(s,3H)。
Example 40
2-methoxy-6- (6-methoxy-4- ((4- (5-methoxypyrazin-2-yl) benzyl) oxy) benzofuran-2-yl) imidazo [2,1-b ] thiazole 40
Figure BDA0001980795000000771
Using the synthetic route to example 37, the starting material 37h from the seventh step was replaced with compound 23a, to give the title compound 40(12 mg).
MS m/z(ESI):515.2[M+1]
1H NMR(400MHz,CDCl3):δ8.54(d,1H),8.31(d,1H),8.02(s,2H),7.87(d,1H),7.55-7.48(m,2H),7.11(s,1H),6.88(s,1H),6.69(d,1H),6.42(d,1H),5.26(s,2H),4.02(s,3H),3.94(s,3H),3.83(s,3H)。
EXAMPLE 41
6- (4- ((3- (furan-3-yl) benzyl) oxy) -6-methoxybenzofuran-2-yl) -2-methoxyimidazo [2,1-b ] thiazole 41
Figure BDA0001980795000000772
Using the synthetic route for example 37, substituting the seventh step starting material 37h for 3- (furan-3-yl) benzyl alcohol 41a (prepared using the method disclosed in patent application "example 6 on page 118 of the specification in WO 2013163241") gave the title compound 41(13 mg).
MS m/z(ESI):473.2[M+1]
1H NMR(400MHz,CDCl3):δ7.80(s,1H),7.65-7.63(m,2H),7.53-7.43(m,4H),7.14(s,1H),6.92(s,1H),6.75(d,2H),6.45(d,1H),5.25(s,2H),3.98(s,3H),3.88(s,3H)。
Example 42
6- (4- ((3- ((2, 3-dimethoxybenzyl) oxy) benzyl) oxy) -6-methoxybenzofuran-2-yl) -2-methylimidazo [2,1-b ] thiazole 42
Figure BDA0001980795000000781
First step of
Methyl 3- ((2, 3-dimethoxybenzyl) oxy) benzoate 42c
Methyl 3-hydroxybenzoate 42a (1.0g, 6.6mmol, Shao Yuan chemical technology Co., Ltd.) was dissolved in 30mL of N, N-dimethylformamide under an argon atmosphere, and 1- (chloromethyl) -2, 3-dimethoxybenzene 42b (880mg, 6.8mmol, Shao Yuan chemical technology Co., Ltd.) was added and heated to 60 ℃ for 18 hours. After the reaction was cooled to room temperature, the reaction mixture was concentrated under reduced pressure, and the resulting residue was purified by silica gel column chromatography with eluent system C to give the title compound 42C (1.8g, yield: 91%).
MS m/z(ESI):303[M+1]
Second step of
(3- ((2, 3-dimethoxybenzyl) oxy) phenyl) methanol 42d
Compound 42c (0.6g, 2.0mmol) was dissolved in 25mL of dry tetrahydrofuran, after cooling to 0 ℃ lithium aluminium hydride 151mg, 4.0mmol was added slowly and stirring continued for 2 hours, the reaction was poured into 5mL of ice water, extracted with ethyl acetate (10mL × 3) and concentrated under reduced pressure to give the title compound 42d (0.5g, yield: 90%).
The third step
3- ((2, 3-Dimethoxybenzyl) oxy) benzylmethanesulfonic acid methyl ester 42e
Compound 42d (0.5g, 1.7mmol) was dissolved in 20mL of dichloromethane, triethylamine (521mg, 5mmol) was added thereto, the mixture was cooled to 0 ℃ and stirred, methanesulfonyl chloride (295mg, 2.6mmol) was added dropwise to the reaction system, and the reaction was carried out at 0 ℃ for 3 hours. After the reaction was completed, 30mL of water was added, dichloromethane extraction (30 mL. times.3) was performed, the combined organic phases were dried over anhydrous sodium sulfate, and concentrated to give compound 42e (0.5g), which was used in the next reaction without purification.
The fourth step
6- (4- ((3- ((2, 3-dimethoxybenzyl) oxy) benzyl) oxy) -6-methoxybenzofuran-2-yl) -2-methylimidazo [2,1-b ] thiazole 42
Compound 42e (53mg, 0.2mmol) was dissolved in 5mL of N, N-dimethylformamide, and cesium carbonate (66mg, 0.2mmol) and compound 4c (30mg, 0.1mmol) were added in this order, and the reaction was stirred at 80 ℃ for 3 hours. The reaction solution was concentrated under reduced pressure, and the resulting residue was purified by thin layer chromatography with developer system A to give the title compound 42(25mg, yield: 45%).
MS m/z(ESI):557.2[M+1]
1H NMR(400MHz,CDCl3):δ7.69(d,1H),7.37-7.32(m,1H),7.18(d,3H),7.13-7.11(m,3H),6.72-6.96(m,2H),6.72(s,1H),6.42(s,1H),5.21(s,2H),5.17(s,2H),3.93(s,6H),3.89(s,3H),2.47(s,3H)。
Example 43
6- (4- ((3- (2, 3-dihydrobenzo [ b ] [1,4] dioxin-6-yl) benzyl) oxy) -6-methoxybenzofuran-2-yl) -2-methoxyimidazo [2,1-b ] thiazole 43
Figure BDA0001980795000000791
Using the synthetic route of example 37, the seventh step starting material 37h was replaced with 3- (2, 3-dihydrobenzo [1,4] dioxin-6-yl) benzyl alcohol 43a (prepared using the method disclosed in patent application "example 31 on page 131 of the specification in WO 2013163241") to give the title compound 43(8 mg).
MS m/z(ESI):540.9[M+1]
1H NMR(400MHz,CDCl3):δ7.66(s,2H),7.53-7.46(m,3H),7.18-7.13(m,3H),6.98(d,1H),6.93(s,1H),6.73(s,1H),6.46(s,1H),5.57(s,2H),4.34(s,4H),3.98(s,3H),3.83(s,3H)。
Example 44
2-methoxy-6- (6-methoxy-4- ((1- (4-methoxyphenyl) azetidin-3-yl) oxy) benzofuran-2-yl) imidazo [2,1-b ] thiazole 44
Figure BDA0001980795000000801
First step of
1- (4-methoxyphenyl) azetidin-3-ol 44c
Azetidin-3-ol 44a (438mg, 4.0mmol, Shanghai Tantake Technique Co., Ltd.) was dissolved in 5mL of dimethyl sulfoxide under an argon atmosphere, and 1-iodo-4-methoxybenzene 44b (1.4g, 6.0mmol, Shaoshima chemical technology Co., Ltd.) was added in this order, cuprous iodide (152mg, 0.8mmol), L-proline (184mg, 1.6mmol) and cesium carbonate (2.6g, 8.0mmol) were added, and the mixture was heated to 80 ℃ and stirred for reaction for 4 hours. The reaction solution was concentrated under reduced pressure, and the resulting residue was purified by silica gel column chromatography with eluent system C to give the title compound 44C (600mg, yield 84%).
MS m/z(ESI):180.1[M+1]
Second step of
1- (4-methoxyphenyl) azetidin-3-ylmethanesulfonic acid methyl ester 44d
Compound 44c (179mg, 1.0mmol) was dissolved in 5mL of dichloromethane, triethylamine (202mg, 2mmol) was added thereto, the mixture was cooled to 0 ℃ and stirred, methanesulfonyl chloride (171mg, 1.5mmol) was added dropwise to the reaction system, and the reaction was carried out at 0 ℃ for 3 hours. After the reaction was completed, 30mL of water was added, methylene chloride was extracted (30 mL. times.3), the combined organic phases were dried over anhydrous sodium sulfate, and after filtration, the filtrate was concentrated under reduced pressure to give compound 44d (250mg), which was used in the next reaction without purification.
The third step
2-methoxy-6- (6-methoxy-4- ((1- (4-methoxyphenyl) azetidin-3-yl) oxy) benzofuran-2-yl) imidazo [2,1-b ] thiazole 44
Compound 37d (20mg, 0.06mmol) was dissolved in 4mL of N, N-dimethylformamide, and potassium carbonate (30mg, 0.2mmol) and compound 44d (26mg, 0.1mmol) were sequentially added thereto, and the reaction was stirred at 80 ℃ for 3 hours. The reaction solution was concentrated under reduced pressure, and the resulting residue was purified by thin layer chromatography with developer system A to give the title compound 44(18mg, yield: 61%).
MS m/z(ESI):478.2[M+1]
1H NMR(400MHz,CDCl3):δ7.63(s,1H),7.00(s,1H),6.90(s,1H),6.85(d,2H),6.70(d,1H),6.50(d,2H),6.12(d,1H),5.18-5.15(m,1H),4.36-4.33(m,2H),3.95(s,3H),3.93-3.90(m,2H),3.86(s,3H),3.77(s,3H)。
Example 45
1- (4- (4- (((6-methoxy-2- (2-methoxyimidazo [2,1-b ] thiazol-6-yl) benzofuran-4-yl) oxy) methyl) thiazol-2-yl) piperazin-1-yl) ethanone 45
Figure BDA0001980795000000811
First step of
4- (4- (((methylsulfonyl) oxy) methyl) thiazol-2-yl) piperazine-1-carboxylic acid tert-butyl ester 45b
Tert-butyl 4- (4- (hydroxymethyl) thiazol-2-yl) piperazine-1-carboxylate 45a (638mg, 2.1mol, prepared by the method disclosed in example 99 on page 274 of the specification in the patent application "WO 2013163279") was dissolved in 5mL of dichloromethane, cooled to 0 ℃, triethylamine (450mg, 4.5mmol) and methanesulfonyl chloride (300mg, 2.6mmol) were added in this order, and the reaction was stirred for 30 minutes. To the reaction solution was added 10mL of water, extracted with dichloromethane (10 mL. times.2), dried over magnesium sulfate, filtered, and the filtrate was concentrated under reduced pressure to give the title product 45b (800mg, yield: 100%).
Second step of
4- (4- (((2-acetyl-6-methoxybenzofuran-4-yl) oxy) methyl) thiazol-2-yl) piperazine-1-carboxylic acid tert-butyl ester 45c
Compound 1b (300mg, 1.5mmol) was dissolved in 20mL of N, N-dimethylformamide, and cesium carbonate (1.1g, 3.4mmol) and compound 45b (800mg, 2.1mmol) were added in this order, and the reaction was stirred at 80 ℃ for 3 hours. The reaction solution was concentrated under reduced pressure, and the resulting residue was purified by thin layer chromatography with developer system A to give the title compound 45c (311mg, yield: 43%).
MS m/z(ESI):488.4[M+1]
The third step
4- (4- (((2- (2-bromoacetyl) -6-methoxybenzofuran-4-yl) oxy) methyl) thiazol-2-yl) piperazine-1-carboxylic acid tert-butyl ester 45d
A solution of lithium hexamethyldisilazide in tetrahydrofuran (1M, 2.1mL) was dissolved in 10mL of dry tetrahydrofuran, cooled to-78 deg.C, and 10mL of compound 45c (311mg, 0.6mmol) in dry tetrahydrofuran was slowly added dropwise. After 1 hour of reaction, 2mL of dry tetrahydrofuran solution containing trimethylchlorosilane (300mg, 2.8mmol) was added and stirring was continued at that temperature for 2 hours. 20mL of saturated sodium bicarbonate solution was added, and extracted with ethyl acetate (30 mL). The organic phase was dried over anhydrous sodium sulfate, the filtrate was concentrated under reduced pressure after filtration, and 15mL of dry tetrahydrofuran was added, cooled to-78 deg.C, sodium bicarbonate (51mg, 0.6mmol) and N-bromosuccinimide (115mg, 0.7mmol) were added, followed by stirring for 0.5 h, followed by addition of 20mL of saturated sodium bicarbonate solution and extraction with ethyl acetate (30 mL). The organic phase was dried over anhydrous sodium sulfate, the filtrate was concentrated under reduced pressure after filtration, and the resulting residue was purified by silica gel column chromatography with eluent system C to give the title compound 45d (60mg, yield: 16%).
The fourth step
4- (4- (((6-methoxy-2- (2-methoxyimidazo [2,1-b ] thiazol-6-yl) benzofuran-4-yl) oxy) methyl) thiazol-2-yl) piperazine-1-carboxylic acid tert-butyl ester 45e
Compound 45d (60mg, 0.1mmol) was dissolved in 5mL of isopropanol, and compound 2a (30mg, 0.2mmol) was added and heated to 160 ℃ for reaction for 16 hours. After the reaction was cooled to room temperature, the reaction mixture was concentrated under reduced pressure, and the resulting residue was purified by silica gel column chromatography with eluent system C to give the title compound 45e (11mg, yield: 17%).
MS m/z(ESI):598.2[M+1]
The fifth step
2-methoxy-6- (6-methoxy-4- ((2- (piperazin-1-yl) thiazol-4-yl) methoxy) benzofuran-2-yl) imidazo [2,1-b ] thiazole dihydrochloride 45f
Compound 45e (11mg, 0.02mol) was dissolved in 5mL of dichloromethane, and ethyl acetate hydrochloride solution (2M, 0.1mL) was added at room temperature, stirred for 16 hours, and concentrated to give the title product 45f (10mg, yield: 95%).
The sixth step
1- (4- (4- (((6-methoxy-2- (2-methoxyimidazo [2,1-b ] thiazol-6-yl) benzofuran-4-yl) oxy) methyl) thiazol-2-yl) piperazin-1-yl) ethanone 45
Compound 45f (10mg, 0.02mmol) was dissolved in 10mL of anhydrous ethanol, triethylamine (10mg, 0.1mmol) and acetic anhydride (3mg, 0.03mmol) were added in this order, and the reaction was stirred at room temperature for 3 hours. The reaction solution was concentrated under reduced pressure, and the resulting residue was purified by thin layer chromatography with developer system A to give the title compound 45(8mg, yield: 84%).
MS m/z(ESI):540.2[M+1]
1H NMR(400MHz,CDCl3):δ7.62(s,1H),7.11(s,1H),6.89(s,1H),6.68(s,1H),6.66(s,1H),6.42(s,1H),5.11(s,2H),3.94(s,3H),3.84(s,3H),3.79-3.76(m,2H),3.60-3.58(m,4H),3.48-3.45(m,2H),2.16(s,3H)。
Example 46
(4- (4- (((6-methoxy-2- (2-methoxyimidazo [2,1-b ] thiazol-6-yl) benzofuran-4-yl) oxy) methyl) thiazol-2-yl) phenyl) (pyrrolidin-1-yl) methanone 46
Figure BDA0001980795000000831
First step of
(4- (4- (hydroxymethyl) thiazol-2-yl) phenyl) (pyrrolidin-1-yl) methanone 46c
Compound 46a (300mg, 1.5mmol, prepared by the method disclosed in example 1, page 27, of the specification in patent application "WO 2015057585) was dissolved in 5mL of 1, 4-dioxane and 1mL of water under argon atmosphere, followed by addition of (4- (pyrrolidinyl-1-carbonyl) phenyl) boronic acid 46b (406mg, 1.9mmol, prepared by the method disclosed in example 252, page 199, of the specification in patent application" WO 2008021926), [1,1' -bis (diphenylphosphino) ferrocene ] palladium dichloride (113mg, 0.1mmol) and potassium carbonate (426mg, 3.1mmol), heating to 80 ℃ and stirring for reaction for 12 hours. The reaction solution was concentrated under reduced pressure, and the resulting residue was purified by silica gel column chromatography with eluent system C to give the title compound 46C (400mg, yield: 90%).
MS m/z(ESI):289.1[M+1]
Second step of
(2- (4- (pyrrolidine-1-carbonyl) phenyl) thiazol-4-yl) methylmethanesulfonic acid methyl ester 46d
Compound 46c (70mg, 0.2mmol) was dissolved in 5mL of dichloromethane, triethylamine (49mg, 0.5mmol) was added thereto, the mixture was cooled to 0 ℃ and stirred, methanesulfonyl chloride (42mg, 0.4mmol) was added dropwise to the reaction system, and the reaction was carried out at 0 ℃ for 3 hours. After the reaction was completed, 30mL of water was added, methylene chloride was extracted (30 mL. times.3), the combined organic phases were dried over anhydrous sodium sulfate, and after filtration, the filtrate was concentrated under reduced pressure to give compound 46d (70mg), which was used in the next reaction without purification.
The third step
(4- (4- (((6-methoxy-2- (2-methoxyimidazo [2,1-b ] thiazol-6-yl) benzofuran-4-yl) oxy) methyl) thiazol-2-yl) phenyl) (pyrrolidin-1-yl) methanone 46
Compound 37d (20mg, 0.06mmol) was dissolved in 4mL of N, N-dimethylformamide, and cesium carbonate (41mg, 0.1mmol) and compound 46d (46mg, 0.1mmol) were added in this order, and the reaction was stirred at 80 ℃ for 3 hours. The reaction solution was concentrated under reduced pressure, and the resulting residue was purified by thin layer chromatography with developer system A to give the title compound 46(10mg, yield: 29%).
MS m/z(ESI):587.2[M+1]
1H NMR(400MHz,CDCl3):δ8.04(d,2H),7.67(d,3H),7.45(s,1H),7.16(s,1H),6.94(s,1H),6.75(s,1H),6.50(s,1H),5.44(s,2H),3.99(s,3H),3.89(s,3H),3.71(t,2H),3.51(t,2H),2.04-2.01(m,2H),1.96-1.93(m,2H)。
Example 47
5- (4-methoxy-3- (((6-methoxy-2- (2-methylimidazo [2,1-b ] thiazol-6-yl) benzofuran-4-yl) oxy) methyl) phenyl) nicotinonitrile 47
Figure BDA0001980795000000841
Figure BDA0001980795000000851
First step of
5- (3- (hydroxymethyl) -4-methoxyphenyl) nicotinonitrile 47c
(5-bromo-2-methoxyphenyl) methanol 47a (250mg, 1.2mmol, prepared by the known method "Journal of Medicinal Chemistry,2007,50(3), 528-containing 542") was dissolved in 5mL of 1, 4-dioxane and 1mL of water under an argon atmosphere, and (6-cyanopyridin-3-yl) boronic acid 47b (188mg, 1.3mmol, prepared by the known method "Henan Huagong,2011,28(8), 47-48") and [1,1' -bis (diphenylphosphino) ferrocene ] dichloropalladium (42mg, 0.06mmol) and potassium carbonate (318mg, 2.3mmol) were sequentially added, and the mixture was heated to 80 ℃ and stirred for reaction for 12 hours. The reaction solution was concentrated under reduced pressure, and the resulting residue was purified by silica gel column chromatography with eluent system C to give the title compound 47C (212mg, yield 80%).
MS m/z(ESI):241[M+1]
Second step of
5- (6-Cyanopyridin-3-yl) -2-methoxybenzylmethanesulfonic acid methyl ester 47d
Compound 47c (300mg, 1.2mmol) was dissolved in 5mL of dichloromethane, triethylamine (424mg, 4.2mmol) was added thereto, the mixture was cooled to 0 ℃ and stirred, methanesulfonyl chloride (216mg, 2.1mmol) was added dropwise to the reaction system, and the reaction was carried out at 0 ℃ for 3 hours. After the reaction was completed, 30mL of water was added, methylene chloride was extracted (30 mL. times.3), the combined organic phases were dried over anhydrous sodium sulfate, and after filtration, the filtrate was concentrated under reduced pressure to give compound 47d (320mg), which was used in the next reaction without purification.
The third step
5- (4-methoxy-3- (((6-methoxy-2- (2-methylimidazo [2,1-b ] thiazol-6-yl) benzofuran-4-yl) oxy) methyl) phenyl) nicotinonitrile 47
Compound 37d (30mg, 0.1mmol) was dissolved in 5mL of N, N-dimethylformamide, and 66mg, 0.2mmol of cesium carbonate and compound 47d (48mg, 0.2mmol) were added in this order, and the reaction was stirred at 80 ℃ for 12 hours. The reaction solution was concentrated under reduced pressure, and the resulting residue was purified by thin layer chromatography with developer system A to give the title compound 47(10mg, yield: 19%).
MS m/z(ESI):523.1[M+1]
1H NMR(400MHz,CDCl3):δ8.98(d,1H),8.05(dd,1H),7.82(d,1H),7.70(s,1H),7.31(s,1H),7.17-6.74(m,3H),7.10(d,1H),6.74(s,1H),6.44(d,1H),5.28(s,2H),3.94(s,3H),3.88(s,3H),2.48(s,3H)。
Test example:
biological evaluation
Test example 1 determination of the inhibitory Activity of the Compounds of the invention against human PAR-4
The method is used for determining the inhibition effect of the compound on the activity of human PAR-4 protein expressed in HEK 293/human PAR-4 stable transformant cells.
First, experimental material and instrument
1.Fluo-4NW Calcium Assay Kits(F36206,invitrogen)
2.MEM(Hyclone,SH30024.01B)
3.G418.Sulfate(Enzo,ALX-380-013-G005)
4. Cattle fetal serum (GIBCO, 10099)
5. Sodium pyruvate solution (sigma, S8636-100ML)
MEM non-essential amino acid solution (100X) (sigma, M7145-100ML)
Flexstation 3 multifunctional microplate reader (Molecular Devices)
Poly-D-Lysine 96-well microplate (356692, BD)
AF6 (synthesized by Gill Biochemical Co., Ltd.)
10. Humanized PAR-4 (Jinweizhi biotechnology limited company)
11.
Figure BDA0001980795000000862
3000 transfection reagent (L3000-015, Life Technology)
Second, the experimental procedure
Using a mammalian expression vector containing the hPAR4 gene
Figure BDA0001980795000000863
3000 transfection reagent is transferred into HEK293 cells; g418 antibiotic is added for screening every other day, and a monoclonal cell line is selected.
HEK 293/human PAR-4 stable transformants were plated one day in advance in 96-well plates at a density of 30000 cells/well. The following day, Fluo-4 dye containing buffer was prepared using the reagents in Fluo-4 NW Calcium Assay Kits, the medium was removed, 100. mu.l of Fluo-4 dye containing buffer was added to each well, and incubation was carried out at 37 ℃ for 30 minutes. After this time, the plate was allowed to equilibrate to room temperature for 10 minutes. Compound 10 is prepared5、104、103、1021. mu.l of each well, 10, 1, 0.1, 0nM, and incubation at room temperature for 10 min. The assay was performed using a flexstation 3 microplate reader, and 600. mu.M 50. mu.l of AF6 polypeptide was automatically added by the machine, immediately reading at 494/516 nM. IC of the Compound50The fluorescence values corresponding to different concentrations can be calculated by Graphpad Prism software.
The inhibitory Activity of the Compounds of the invention against human PAR-4 was determined by the above assay, and the IC was determined50The values are shown in Table 1.
TABLE 1 IC for inhibition of human PAR-4 activity by the compounds of the invention50
Figure BDA0001980795000000861
Figure BDA0001980795000000871
Figure BDA0001980795000000881
And (4) conclusion: the compounds of the invention have a significant inhibitory effect on the activity of human PAR 4.
Test example 2 test of platelet aggregation induced by Gamma Thrombin by Compounds of the present invention
First, experimental material and instrument
1. Human platelet buffer (WP, washed platlet): collecting human blood with blood collecting tube without anticoagulant, and immediately pouring into centrifuge tube containing 3.8% sodium citrate (1:9 volume)One part citric acid and nine blood anticoagulations). After the blood was centrifuged at 200g for 10 minutes (25 ℃), the upper layer of platelet-rich plasma was removed. Addition of prostaglandin I2Into the prepared platelet rich plasma (prostaglandin I)2Final concentration of 10 μ M) was centrifuged at 800g for 10 minutes (25 ℃), platelets in platelet-rich plasma were removed, and a similar volume of Tyrode's buffer solution was added to resuspend the platelets, resulting in washed human platelet buffer (WP).
2. Prostaglandin I2[(5-Z)-9-Deoxy-6,9(Alpha)-epoxy-PGF1(Alpha),sodium salt](sigma-aldrich, cat # P6188)
3. Human gamma-thrombin (abcam, cat # ab81592)
4. Taiwanese solution (Tyrode's buffer solution: NaCl 129mM, KCl 2.8mM, KH)2PO4 0.8mM,MgCl2 0.8mM,NaHCO3 8.9mM,HEPEs 10mM,glucose 5.5mM,pH 7.2)
5. Platelet aggregometer (Libosh instrument, LBY-NJ 4).
Second, the experimental procedure
The inhibition of platelet aggregation by 1000nM, 300nM, 100nM, 30nM, 10nM, 3nM, 1nM of test compound induced by 160nM gamma thrombin was tested by a platelet aggregometer using a washed human platelet buffer (WP), and the EC was calculated50
Third, data processing
The EC for the inhibition of gamma thrombin-induced platelet aggregation by compounds was calculated by curve fitting using GraphPad Prism and data analysis using this software50
TABLE 2 EC of the inhibition of gamma thrombin-induced platelet aggregation by the compounds of the invention50
Figure BDA0001980795000000882
Figure BDA0001980795000000891
And (4) conclusion: the compound has obvious inhibition effect on platelet aggregation reaction induced by gamma thrombin.

Claims (19)

1. A compound of formula (I) or a tautomer thereof or a pharmaceutically acceptable salt thereof:
Figure FDA0003386773470000011
wherein:
w is an O atom;
l is a covalent bond or CR5R6
X is an S atom or CRb=CRc
Ring a is selected from pyrrolidinyl, thiazolyl, phenyl, piperidinyl, azetidinyl, pyridinyl, pyrimidinyl, pyrazolyl and imidazolyl;
Rband RcAre the same or different and are each independently selected from the group consisting of hydrogen, halogen, C1-6Alkyl and C1-6An alkoxy group;
R1are the same or different and are each independently selected from the group consisting of a hydrogen atom, C1-6Alkyl and C1-6An alkoxy group;
R2and R3Are the same or different and are each independently a hydrogen atom or C1-6An alkyl group;
R4are the same or different and are each independently selected from the group consisting of hydrogen, halogen, C1-6Alkyl radical, C1-6Alkoxy radical, C1-6Haloalkyl, cyano, and 3 to 6-membered cycloalkyl;
R5and R6Are the same or different and are each independently selected from the group consisting of hydrogen, halogen and C1-6An alkyl group;
R7are the same or different and are each independently selected from the group consisting of a hydrogen atom, C1-6Alkyl and C1-6An alkoxy group;
Rais composed of
Figure FDA0003386773470000012
Wherein ring B is selected from the group consisting of phenyl, pyridyl, pyrazinyl, pyrimidinyl, pyridazinyl, furanyl, piperidinyl, piperazinyl, and
Figure FDA0003386773470000013
R8are the same or different and are each independently selected from the group consisting of hydrogen, halogen, C1-6Alkyl radical, C1-6Alkoxy radical, C1-6Haloalkyl, cyano, -CONR9R10、-COR11or-S (O)2R11
R9And R10Are the same or different and are each independently a hydrogen atom or C1-6An alkyl group;
R11is C1-6Alkyl or 3 to 8 membered heterocyclyl;
n is 0, 1 or 2;
s is 0, 1,2,3 or 4;
p is 0, 1,2 or 3; and is
t is 0, 1,2 or 3.
2. The compound represented by the general formula (I) or a tautomer thereof or a pharmaceutically acceptable salt thereof according to claim 1, which is a compound represented by the general formula (II) or a tautomer thereof or a pharmaceutically acceptable salt thereof:
Figure FDA0003386773470000021
wherein W, L, X, ring A, ring B, R1~R4、R7、R8N, s, p and t are as defined in claim 1.
3. The compound of the general formula (I) or a tautomer thereof or a pharmaceutically acceptable salt thereof according to claim 1 or2, wherein L is CR5R6,R5And R6As defined in claim 1.
4. The compound represented by the general formula (I) or a tautomer thereof or a pharmaceutically acceptable salt thereof according to claim 1, which is a compound represented by the general formula (III) or the general formula (IV) or a tautomer thereof or a pharmaceutically acceptable salt thereof:
Figure FDA0003386773470000022
wherein ring A, ring B, R1~R8N, s, p and t are as defined in claim 1.
5. A compound of formula (I) or a tautomer or pharmaceutically acceptable salt thereof according to claim 1 wherein ring B is selected from the group consisting of phenyl, pyridyl, pyrazinyl, pyrimidinyl, and pyridazinyl.
6. The compound represented by the general formula (I) or a tautomer thereof or a pharmaceutically acceptable salt thereof according to claim 1, which is selected from any one of the following compounds:
Figure FDA0003386773470000023
Figure FDA0003386773470000031
Figure FDA0003386773470000041
7. a compound of formula (IA) or a tautomer thereof, or a pharmaceutically acceptable salt thereof:
Figure FDA0003386773470000051
wherein:
w is an O atom;
x is an S atom or CRb=CRc
RbAnd RcAre the same or different and are each independently selected from the group consisting of hydrogen, halogen, C1-6Alkyl and C1-6An alkoxy group;
R1are the same or different and are each independently selected from the group consisting of a hydrogen atom, C1-6Alkyl and C1-6An alkoxy group;
R2and R3Are the same or different and are each independently a hydrogen atom or C1-6An alkyl group;
R4are the same or different and are each independently selected from the group consisting of hydrogen, halogen, C1-6Alkyl radical, C1-6Alkoxy radical, C1-6Haloalkyl, cyano, and 3 to 6-membered cycloalkyl;
n is 0, 1 or 2; and is
s is 0, 1,2,3 or 4.
8. The compound of formula (IA) according to claim 7, which is of formula (IIIA) or formula (IVA) or a tautomer thereof, or a pharmaceutically acceptable salt thereof:
Figure FDA0003386773470000052
wherein R is1~R4N and s are as defined in claim 7.
9. The compound of general formula (IA) according to claim 7, or a tautomer thereof, or a pharmaceutically acceptable salt thereof, selected from any one of the following compounds:
Figure FDA0003386773470000053
10. a compound of formula (IA') or a tautomer thereof, or a pharmaceutically acceptable salt thereof:
Figure FDA0003386773470000061
w is an O atom;
l is a covalent bond or CR5R6
Ring a is selected from pyrrolidinyl, thiazolyl, phenyl, piperidinyl, azetidinyl, pyridinyl, pyrimidinyl, pyrazolyl and imidazolyl;
R1are the same or different and are each independently selected from the group consisting of a hydrogen atom, C1-6Alkyl and C1-6An alkoxy group;
R2and R3Are the same or different and are each independently a hydrogen atom or C1-6An alkyl group;
R5and R6Are the same or different and are each independently selected from the group consisting of hydrogen, halogen and C1-6An alkyl group;
R7are the same or different and are each independently selected from the group consisting of a hydrogen atom, C1-6Alkyl and C1-6An alkoxy group;
Rais composed of
Figure FDA0003386773470000062
Wherein ring B is selected from the group consisting of phenyl, pyridyl, pyrazinyl, pyrimidinyl, pyridazinyl, furanyl, piperidinyl, piperazinyl, and
Figure FDA0003386773470000063
R8are the same or different and are each independently selected from the group consisting of hydrogen, halogen, C1-6Alkyl radical, C1-6Alkoxy radical, C1-6Haloalkyl, cyano, -CONR9R10、-S(O)2R11and-COR11
R9And R10Are the same or different and eachIndependently is a hydrogen atom or C1-6An alkyl group;
R11is C1-6Alkyl or 3 to 8 membered heterocyclyl;
n is 0, 1 or 2;
p is 0, 1,2 or 3; and is
t is 0, 1,2 or 3.
11. The compound of the general formula (IA') according to claim 10, or a tautomer thereof, or a pharmaceutically acceptable salt thereof, selected from any one of the following compounds:
Figure FDA0003386773470000064
12. a process for the preparation of a compound of formula (I) according to claim 1, which process comprises:
Figure FDA0003386773470000071
reacting a compound of formula (IA) with a compound of formula (IB) to give a compound of formula (I),
wherein:
m is a leaving group;
w, L, X, ring A, R1~R4、R7、RaN, s and p are as defined in claim 1.
13. The method of claim 12, wherein M is-OS (O)2R13Or halogen; r13Is selected from C1-6Alkyl, amino, C1-6Alkylamino, di-C1-6Alkylamino and 3 to 6 membered cycloalkyl.
14. A process for the preparation of a compound of formula (I) according to claim 1, which process comprises:
Figure FDA0003386773470000072
reacting a compound of formula (IA ') with a compound of formula (IB') to give a compound of formula (I),
wherein:
w, L, X, ring A, R1~R4、R7、RaN, s and p are as defined in claim 1.
15. A pharmaceutical composition comprising a therapeutically effective amount of a compound of formula (I) according to any one of claims 1 to 6, or a tautomer thereof, or a pharmaceutically acceptable salt thereof, and one or more pharmaceutically acceptable carriers, diluents, or excipients.
16. Use of a compound of general formula (I) according to any one of claims 1 to 6 or a tautomer thereof or a pharmaceutically acceptable salt thereof, or a pharmaceutical composition according to claim 15, for the preparation of a medicament for antagonizing PAR-4.
17. Use of a compound of general formula (I) according to any one of claims 1 to 6 or a tautomer thereof or a pharmaceutically acceptable salt thereof, or a pharmaceutical composition according to claim 15, for the preparation of a medicament for the treatment or prevention of platelet aggregation.
18. Use of a compound represented by general formula (I) or a tautomer thereof or a pharmaceutically acceptable salt thereof according to any one of claims 1 to 6, or a pharmaceutical composition according to claim 15, for the preparation of a medicament for the treatment or prevention of a thromboembolic disorder.
19. The use according to claim 18, wherein the thromboembolic disorder is selected from the group consisting of arterial cardiovascular thromboembolic disorders, venous cardiovascular thromboembolic disorders, cerebrovascular thromboembolic disorders, and thromboembolic disorders in the heart chambers or in the peripheral circulation.
CN201910148495.5A2018-03-012019-02-28Benzofuran derivative, preparation method and medical application thereofActiveCN110218218B (en)

Applications Claiming Priority (2)

Application NumberPriority DateFiling DateTitle
CN20181017164302018-03-01
CN2018101716432018-03-01

Publications (2)

Publication NumberPublication Date
CN110218218A CN110218218A (en)2019-09-10
CN110218218Btrue CN110218218B (en)2022-04-08

Family

ID=67822351

Family Applications (1)

Application NumberTitlePriority DateFiling Date
CN201910148495.5AActiveCN110218218B (en)2018-03-012019-02-28Benzofuran derivative, preparation method and medical application thereof

Country Status (1)

CountryLink
CN (1)CN110218218B (en)

Citations (9)

* Cited by examiner, † Cited by third party
Publication numberPriority datePublication dateAssigneeTitle
CN104411713A (en)*2012-04-262015-03-11百时美施贵宝公司PAR4 agonist peptides
CN104540835A (en)*2012-04-262015-04-22百时美施贵宝公司Imidazothiadiazole derivatives as protease activated receptor 4 (par4) inhibitors for treating platelet aggregation
CN104583218A (en)*2012-04-262015-04-29百时美施贵宝公司 Derivatives of imidazothiadiazoles and imidazopyrazines as protease-activated receptor 4 (PAR4) inhibitors for the treatment of platelet aggregation
CN104640869A (en)*2012-04-262015-05-20百时美施贵宝公司Imidazothiadiazole and imidazopyridazine derivatives as protease activated receptor 4 (APR4) inhibitors for treating platelet aggregation
WO2016138199A1 (en)*2015-02-262016-09-01Bristol-Myers Squibb CompanyBenzothiazole and benzothiophne compounds
WO2016134450A1 (en)*2015-02-262016-09-01Université de MontréalImidazopyridazine and imidazothiadiazole compounds
US9598419B1 (en)*2014-06-242017-03-21Universite De MontrealImidazotriazine and imidazodiazine compounds
US9617279B1 (en)*2014-06-242017-04-11Bristol-Myers Squibb CompanyImidazooxadiazole compounds
WO2017066863A1 (en)*2015-10-192017-04-27Universite De MontrealHeterocyclic compounds as inhibitors of platelet aggregation

Patent Citations (9)

* Cited by examiner, † Cited by third party
Publication numberPriority datePublication dateAssigneeTitle
CN104411713A (en)*2012-04-262015-03-11百时美施贵宝公司PAR4 agonist peptides
CN104540835A (en)*2012-04-262015-04-22百时美施贵宝公司Imidazothiadiazole derivatives as protease activated receptor 4 (par4) inhibitors for treating platelet aggregation
CN104583218A (en)*2012-04-262015-04-29百时美施贵宝公司 Derivatives of imidazothiadiazoles and imidazopyrazines as protease-activated receptor 4 (PAR4) inhibitors for the treatment of platelet aggregation
CN104640869A (en)*2012-04-262015-05-20百时美施贵宝公司Imidazothiadiazole and imidazopyridazine derivatives as protease activated receptor 4 (APR4) inhibitors for treating platelet aggregation
US9598419B1 (en)*2014-06-242017-03-21Universite De MontrealImidazotriazine and imidazodiazine compounds
US9617279B1 (en)*2014-06-242017-04-11Bristol-Myers Squibb CompanyImidazooxadiazole compounds
WO2016138199A1 (en)*2015-02-262016-09-01Bristol-Myers Squibb CompanyBenzothiazole and benzothiophne compounds
WO2016134450A1 (en)*2015-02-262016-09-01Université de MontréalImidazopyridazine and imidazothiadiazole compounds
WO2017066863A1 (en)*2015-10-192017-04-27Universite De MontrealHeterocyclic compounds as inhibitors of platelet aggregation

Also Published As

Publication numberPublication date
CN110218218A (en)2019-09-10

Similar Documents

PublicationPublication DateTitle
CN114040914B (en)Quinazolinone derivative, preparation method thereof and application thereof in medicine
JP7051829B2 (en) Substituted pyridine as an inhibitor of DNMT1
KR101564634B1 (en)Condensed aminodihydrothiazine derivative
CN101815713B (en)Polycyclic compounds
CN106029663B (en) Novel tricyclic compounds as anticancer agents
TWI845638B (en)Macrocyclic azolopyridine derivatives as eed and prc2 modulators
TW201920115A (en) Compounds, compositions and methods
CN108026105B (en)TGF-beta receptor antagonists
TW201819376A (en)Substituted 1H-imidazo[4,5-b]pyridin-2(3H)-ones and their use as GLUN2B receptor modulators
AU2017359023A1 (en)3-substituted propionic acids as alpha v integrin inhibitors
CN111247136A (en)Pyrimidinyl-pyridyloxy-naphthyl compounds and methods of treating diseases and disorders associated with IRE1
CN107001278A (en)Tetrahydro isoquinoline derivative
CN116669727A (en) Triazole-pyridyl substituted azacyclohexylacetic acid compounds as LPA receptor antagonists
KR20240089594A (en) Nitrogen-containing tetracyclic compounds, methods for their preparation and medical applications
TW201713657A (en)Tricyclic compounds as anticancer agents
KR20220125278A (en) Biphenyl derivative inhibitor, preparation method and use thereof
TW202309029A (en)Heterocyclic compounds as triggering receptor expressed on myeloid cells 2 agonists and methods of use
CN111278809A (en) Dicyclosulfones and sulfoxides, and methods of using the same
CN112979630A (en)Trifluoromethanols as Ror gamma t modulators
CN113574058A (en)Indole macrocyclic derivatives, preparation method and medical application thereof
CN115403584A (en)2-thio-2, 3-dihydropyrimidine-4-one derivative, pharmaceutical composition, preparation method and application thereof
WO2024153180A1 (en)Heterocyclic compound, and pharmaceutical composition thereof and use thereof
KR20160141862A (en)6-substituted-3h-1,3-benzothiazol-2-one compounds as tarp-gamma 8 dependent ampa receptor antagonists
AU2022349462A1 (en)Pyridine derivatives and their use as sodium channel activators
CN111094300B (en)Benzo-heteroaryl derivative, preparation method and application thereof in medicine

Legal Events

DateCodeTitleDescription
PB01Publication
PB01Publication
SE01Entry into force of request for substantive examination
SE01Entry into force of request for substantive examination
GR01Patent grant
GR01Patent grant
TR01Transfer of patent right
TR01Transfer of patent right

Effective date of registration:20231015

Address after:222047 No. 7 Kunlun Shan Road, Lianyungang economic and Technological Development Zone, Jiangsu

Patentee after:JIANGSU HENGRUI MEDICINE Co.,Ltd.

Patentee after:SUNCADIA PHARMACEUTICALS Co.,Ltd.

Patentee after:SHANGHAI HENGRUI PHARMACEUTICAL Co.,Ltd.

Address before:222047 No. 7 Kunlun Shan Road, Lianyungang economic and Technological Development Zone, Jiangsu

Patentee before:JIANGSU HENGRUI MEDICINE Co.,Ltd.

Patentee before:SHANGHAI HENGRUI PHARMACEUTICAL Co.,Ltd.


[8]ページ先頭

©2009-2025 Movatter.jp