Movatterモバイル変換


[0]ホーム

URL:


CN110163885B - Target tracking method and device - Google Patents

Target tracking method and device
Download PDF

Info

Publication number
CN110163885B
CN110163885BCN201810145003.2ACN201810145003ACN110163885BCN 110163885 BCN110163885 BCN 110163885BCN 201810145003 ACN201810145003 ACN 201810145003ACN 110163885 BCN110163885 BCN 110163885B
Authority
CN
China
Prior art keywords
target
tracking
tracked
candidate
radar
Prior art date
Legal status (The legal status is an assumption and is not a legal conclusion. Google has not performed a legal analysis and makes no representation as to the accuracy of the status listed.)
Active
Application number
CN201810145003.2A
Other languages
Chinese (zh)
Other versions
CN110163885A (en
Inventor
童鸿翔
Current Assignee (The listed assignees may be inaccurate. Google has not performed a legal analysis and makes no representation or warranty as to the accuracy of the list.)
Hangzhou Hikvision Digital Technology Co Ltd
Original Assignee
Hangzhou Hikvision Digital Technology Co Ltd
Priority date (The priority date is an assumption and is not a legal conclusion. Google has not performed a legal analysis and makes no representation as to the accuracy of the date listed.)
Filing date
Publication date
Application filed by Hangzhou Hikvision Digital Technology Co LtdfiledCriticalHangzhou Hikvision Digital Technology Co Ltd
Priority to CN201810145003.2ApriorityCriticalpatent/CN110163885B/en
Publication of CN110163885ApublicationCriticalpatent/CN110163885A/en
Application grantedgrantedCritical
Publication of CN110163885BpublicationCriticalpatent/CN110163885B/en
Activelegal-statusCriticalCurrent
Anticipated expirationlegal-statusCritical

Links

Images

Classifications

Landscapes

Abstract

The embodiment of the invention provides a target tracking method and a target tracking device, wherein the method comprises the following steps: determining a target to be tracked; tracking a target to be tracked, and acquiring the position of the target to be tracked as a target position according to a preset time interval; and after the target position is obtained every time, sending a control instruction carrying the target position to the camera, so that the camera receiving the control instruction responds to the control instruction. According to the technical scheme provided by the embodiment of the invention, the target to be tracked is tracked by the radar, and the camera responds to the control instruction of the radar, so that the target tracking accuracy is improved, and the target tracking efficiency is also improved.

Description

Target tracking method and device
Technical Field
The invention relates to the technical field of intelligent monitoring, in particular to a target tracking method and device.
Background
Radar can detect objects within the covered area by radio electromagnetic waves and determine the spatial position of the objects. The camera can shoot the target, further obtains the detail information of the shot target, and can rotate along with the movement of the target, so that the tracking shooting of the moving target can be realized.
Therefore, based on the respective functions of the radar and the camera, the radar is connected with the camera in a communication manner to form a linkage system, the radar is used for obtaining the position information of the target and sending the obtained position information to the camera, so that the camera can obtain the position of the target, rotate to the position, capture the target and continuously track the target.
In the current linkage system of the radar and the camera, the radar only provides an initial position when a target is found, and then the target is completely tracked by the camera. However, when the target is tracked by the camera, only the target within the range that can be shot by the camera can be tracked, and when the target is blocked or the target is located outside the field of view of the camera, the target cannot be captured by the camera, so that the camera is difficult to continue tracking the target, and the target tracking efficiency is reduced.
Disclosure of Invention
The embodiment of the invention aims to provide a target tracking method and a target tracking device so as to improve the tracking efficiency of a target. The specific technical scheme is as follows:
in a first aspect, an embodiment of the present invention provides a target tracking method, which is applied to a radar in a linkage system, where the linkage system further includes a camera, and the method includes:
Determining a target to be tracked;
tracking the target to be tracked, and acquiring the position of the target to be tracked as a target position according to a preset time interval;
and after the target position is obtained every time, sending a control instruction carrying the target position to the camera, so that the camera receiving the control instruction responds to the control instruction.
Optionally, the obtaining the position of the target to be tracked as the target position according to a preset time interval includes:
according to a preset time interval, obtaining the position of the target to be tracked, which is detected by the radar, as a first position;
determining a first coordinate in a radar coordinate system according to the first position;
and obtaining a second coordinate corresponding to the first coordinate in the camera coordinate system according to a coordinate conversion relation between a preset radar coordinate system and a camera coordinate system, and taking the second coordinate as a target position.
Optionally, the determining a first coordinate in a radar coordinate system according to the first position includes:
determining the coordinate of the first position in a radar coordinate system as a third coordinate;
updating the formed motion trail of the target to be tracked according to the third coordinate;
Predicting a fourth coordinate of the target to be tracked according to the updated motion trail, wherein the fourth coordinate is as follows: coordinates of the target to be tracked in the radar coordinate system at a target time point, wherein the target time point is as follows: after the time point of the first position is obtained, a time point with a preset time length is separated;
determining the fourth coordinate as the first coordinate.
Optionally, the determining a target to be tracked includes:
detecting whether a candidate tracking target enters a preset monitoring area or not;
if the candidate tracking target is detected to enter the monitoring area, adding the identifier of the candidate tracking target to a preset tracking queue;
and determining the target to be tracked from the identification corresponding to the candidate tracking target included in the tracking queue.
Optionally, the determining a target to be tracked from the identifier corresponding to the candidate tracking target included in the tracking queue includes:
determining a target to be tracked from the identification of the candidate tracking target included in the tracking queue according to a preset priority strategy; the priority policy comprises a priority policy of a monitoring area and/or a priority policy of a candidate tracking target.
Optionally, the priority policy of the candidate tracking target is a policy determined according to at least one of the following information:
whether a specified candidate tracking target exists;
whether a candidate tracking target of tracking interruption exists or not;
whether a candidate tracking target currently in a tracked state exists or not;
under the condition that a candidate tracking target in a tracked state exists, continuously tracking the candidate tracking target in the tracked state for a long time;
a point in time at which the radar detects a candidate tracking target.
Optionally, the determining, according to a preset priority policy, a target to be tracked from candidate tracking targets included in the tracking queue includes:
judging whether the tracking queue has an identifier of a specified candidate tracking target;
if the mark of the specified candidate tracking target exists in the tracking queue, determining the specified candidate tracking target as a target to be tracked;
if the mark of the specified candidate tracking target does not exist in the tracking queue, judging whether the mark of the candidate tracking target with interrupted tracking exists in the tracking queue;
if the mark of the candidate tracking target of the tracking interruption exists in the tracking queue, determining the candidate tracking target of the tracking interruption as a target to be tracked;
If the identification of the candidate tracking target with interrupted tracking does not exist in the tracking queue, judging whether the identification of the candidate tracking target currently in the tracked state exists in the tracking queue;
if the identification of the candidate tracking target currently in the tracked state exists in the tracking queue, judging whether the duration of the continuous tracking of the candidate tracking target currently in the tracked state is greater than a preset duration threshold value;
if the duration of continuous tracking is not greater than a preset duration threshold, determining the candidate tracking target in the current tracked state as a target to be tracked;
and if the duration of continuous tracking is greater than a preset duration threshold, selecting the identifier of the candidate tracking target at the time point farthest from the current time point from the tracking queue according to the time point of each candidate tracking target detected by the radar, and determining the candidate tracking target corresponding to the selected identifier as the target to be tracked.
Optionally, the method further comprises:
detecting whether a candidate tracking target leaves the monitoring area;
when detecting that the candidate tracking target leaves the monitoring area, deleting the identification of the detected candidate tracking target from the tracking queue.
In a second aspect, an embodiment of the present invention provides a target tracking apparatus, which is applied to a radar in a linkage system, where the linkage system further includes a camera, and the apparatus includes:
the determining module is used for determining a target to be tracked;
the acquisition module is used for tracking the target to be tracked, and acquiring the position of the target to be tracked as a target position according to a preset time interval;
and the sending module is used for sending a control instruction carrying the target position to the camera after the target position is obtained every time, so that the camera receiving the control instruction responds to the control instruction.
Optionally, the obtaining module includes:
the first obtaining submodule is used for obtaining the position of the target to be tracked, which is detected by the radar, as a first position according to a preset time interval;
the first determining submodule is used for determining a first coordinate in a radar coordinate system according to the first position;
and the second obtaining submodule is used for obtaining a corresponding second coordinate of the first coordinate in the camera coordinate system according to a coordinate conversion relation between a preset radar coordinate system and a camera coordinate system and taking the second coordinate as a target position.
Optionally, the first determining submodule includes:
a determining unit, configured to determine coordinates of the first position in a radar coordinate system as third coordinates;
the updating unit is used for updating the formed motion trail of the target to be tracked according to the third coordinate;
a prediction unit, configured to predict a fourth coordinate of the target to be tracked according to the updated motion trajectory, where the fourth coordinate is: coordinates of the target to be tracked in the radar coordinate system at a target time point, wherein the target time point is as follows: after the time point of the first position is obtained, a time point with a preset time length is separated;
a determining unit configured to determine the fourth coordinate as the first coordinate.
Optionally, the determining module includes:
the detection submodule is used for detecting whether a candidate tracking target enters a preset monitoring area or not;
the adding submodule is used for adding the identification of the candidate tracking target to a preset tracking queue if the detection result of the detecting submodule is positive;
and the second determining submodule is used for determining the target to be tracked from the identification corresponding to the candidate tracking target included in the tracking queue.
Optionally, the second determining sub-module includes:
the determining unit is used for determining a target to be tracked from the identification of the candidate tracking target included in the tracking queue according to a preset priority strategy; the priority policy comprises a priority policy of a monitoring area and/or a priority policy of a candidate tracking target.
Optionally, the priority policy of the candidate tracking target is a policy determined according to at least one of the following information:
whether a specified candidate tracking target exists;
whether a candidate tracking target of tracking interruption exists or not;
whether a candidate tracking target currently in a tracked state exists or not;
under the condition that a candidate tracking target in a tracked state exists, continuously tracking the candidate tracking target in the tracked state for a long time;
a point in time at which the radar detects a candidate tracking target.
Optionally, the determining unit is specifically configured to:
judging whether the tracking queue has an identifier of a specified candidate tracking target;
if the mark of the specified candidate tracking target exists in the tracking queue, determining the specified candidate tracking target as a target to be tracked;
If the mark of the specified candidate tracking target does not exist in the tracking queue, judging whether the mark of the candidate tracking target with interrupted tracking exists in the tracking queue;
if the mark of the candidate tracking target of the tracking interruption exists in the tracking queue, determining the candidate tracking target of the tracking interruption as a target to be tracked;
if the tracking queue does not have the identification of the candidate tracking target with the tracking interruption, judging whether the tracking queue has the identification of the candidate tracking target in the tracked state;
if the identification of the candidate tracking target currently in the tracked state exists in the tracking queue, judging whether the duration of the continuous tracking of the candidate tracking target currently in the tracked state is greater than a preset duration threshold value;
if the duration of continuous tracking is not greater than a preset duration threshold, determining the candidate tracking target in the current tracked state as a target to be tracked;
and if the duration of continuous tracking is greater than a preset duration threshold, selecting the identifier of the candidate tracking target at the time point farthest from the current time point from the tracking queue according to the time point of each candidate tracking target detected by the radar, and determining the candidate tracking target corresponding to the selected identifier as the target to be tracked.
Optionally, the apparatus further comprises:
the detection module is used for detecting whether a candidate tracking target leaves the monitoring area or not;
and the deleting module is used for deleting the identification of the detected candidate tracking target from the tracking queue when the candidate tracking target is detected to leave the monitoring area.
In a third aspect, an embodiment of the present invention provides an electronic device, including a processor, a communication interface, a memory, and a communication bus, where the processor and the communication interface complete communication between the memory and the processor through the communication bus;
a memory for storing a computer program;
a processor for implementing any of the above-described steps of the target tracking method when executing the computer program stored in the memory.
In a fourth aspect, an embodiment of the present invention provides a computer-readable storage medium, where a computer program is stored in the computer-readable storage medium, and when the computer program is executed by a processor, the computer program implements any one of the steps of the object tracking method described above.
According to the technical scheme provided by the embodiment of the invention, the linkage system comprises a radar and a camera, wherein the radar can determine the target to be tracked; tracking a target to be tracked, and acquiring the position of the target to be tracked as a target position according to a preset time interval; and after the target position is obtained every time, sending a control instruction carrying the target position to the camera, so that the camera receiving the control instruction responds to the control instruction. According to the technical scheme provided by the embodiment of the invention, the target to be tracked is tracked by the radar, and the camera responds to the control instruction of the radar, so that the target tracking accuracy is improved, and the target tracking efficiency is also improved.
Drawings
In order to more clearly illustrate the embodiments of the present invention or the technical solutions in the prior art, the drawings used in the description of the embodiments or the prior art will be briefly described below, it is obvious that the drawings in the following description are only some embodiments of the present invention, and for those skilled in the art, other drawings can be obtained according to the drawings without creative efforts.
Fig. 1 is a flowchart of a target tracking method according to an embodiment of the present invention;
FIG. 2 is a two-dimensional coordinate system diagram provided by an embodiment of the present invention;
FIG. 3 is a three-dimensional coordinate system diagram provided by an embodiment of the present invention;
fig. 4 is another flowchart of a target tracking method according to an embodiment of the present invention;
fig. 5 is a flowchart of a method for determining a target to be tracked according to an embodiment of the present invention;
fig. 6 is a schematic structural diagram of a target tracking apparatus according to an embodiment of the present invention;
fig. 7 is a schematic structural diagram of a target tracking apparatus according to an embodiment of the present invention;
fig. 8 is a schematic structural diagram of an electronic device according to an embodiment of the present invention.
Detailed Description
The technical solutions in the embodiments of the present invention will be clearly and completely described below with reference to the drawings in the embodiments of the present invention, and it is obvious that the described embodiments are only a part of the embodiments of the present invention, and not all of the embodiments. All other embodiments, which can be derived by a person skilled in the art from the embodiments given herein without making any creative effort, shall fall within the protection scope of the present invention.
In order to improve the accuracy of target tracking and improve the efficiency of target tracking, the embodiment of the invention provides a target tracking method and a target tracking device, which are applied to a radar in a linkage system, wherein the linkage system further comprises a camera, and the method comprises the following steps:
determining a target to be tracked;
tracking a target to be tracked, and acquiring the position of the target to be tracked as a target position according to a preset time interval;
and after the target position is obtained every time, sending a control instruction carrying the target position to the camera, so that the camera receiving the control instruction responds to the control instruction.
According to the technical scheme provided by the embodiment of the invention, the target to be tracked is tracked by the radar, and the camera responds to the control instruction of the radar, so that the target tracking accuracy is improved, and the target tracking efficiency is also improved.
First, a target tracking method provided by an embodiment of the present invention is described below, where the method is applied to a radar in a linkage system, and the linkage system further includes a camera.
The radar is classified into at least two-coordinate radar using a two-dimensional coordinate system and three-coordinate radar using a three-dimensional coordinate system according to the adopted coordinate system.
The number of the cameras in the linkage system can be at least two, the specific number can be set by self-definition, and the installation positions of the cameras can also be set by self-definition.
The camera can be a dome camera, the dome camera can provide coordinate information, and the provided coordinate information comprises horizontal angle information and vertical angle information. Thus, when the ball machine shoots the target, the coordinate information of the target can be provided. Of course, the coordinate information provided by the ball machine is relative to the ball machine, that is, the coordinate information provided is the coordinates in the coordinate system of the ball machine.
In the case of a dome camera, the dome camera may also rotate to adjust the photographed angle, for example, the dome camera may adjust the photographed target to a position right in the middle of the photographed image by adjusting the photographed angle. In addition, the ball machine can also amplify the target in the shot picture according to the magnification.
The radar in the linkage system can be in communication connection with each camera, the radar can send instructions to the cameras, and the cameras respond to the received instructions and execute related operations. For example, the radar may send a shooting instruction to the camera, where the shooting instruction may carry position coordinates of a shot object, so that, after receiving the shooting instruction, the camera may rotate a lens of the camera according to the position coordinates, and shoot the object at the position coordinates.
As shown in fig. 1, a target tracking method provided in an embodiment of the present invention includes the following steps:
and S101, determining a target to be tracked.
The number of the targets to be tracked may be one, or may be at least two, and specifically, the number may be set by a user.
For the radar, a preset area can be monitored, that is, targets in the preset area can be monitored by the radar, and the monitored targets are tracked.
When the number of the determined targets to be tracked is one, if only one target is monitored by the radar, determining the monitored target as the target to be tracked; and if the number of the targets monitored by the radar is more than one, selecting one target from the more than one targets as the target to be tracked.
When the number of the determined targets to be tracked is at least two, if the number of the targets monitored by the radar is less than or equal to the number of the determined targets to be tracked, all the targets monitored by the radar can be used as the targets to be tracked; and if the number of the targets monitored by the radar is more than the number of the determined targets to be tracked, selecting the determined number of targets from the targets monitored by the radar to be used as the targets to be tracked.
Specific implementations are described in detail in the following examples, and are not described in detail herein.
S102, tracking the target to be tracked, and acquiring the position of the target to be tracked as a target position according to a preset time interval.
The radar can track the monitored target in the preset area, so that the radar can track the target to be tracked, and certainly, the target to be tracked is in the preset area monitored by the radar.
The preset time interval can be set by self, and the load capacity of the radar and the tracking accuracy of the linkage system can be comprehensively considered when the time interval is set by self.
A self-defined setting mode is provided, in order to enable a linkage system to track a target to be tracked more accurately, a time interval can be set to be smaller under the condition that the load capacity of a radar allows, therefore, the position of the target to be tracked is acquired by the radar more frequently, and the whole linkage system can also track the target to be tracked more accurately.
The obtained position of the target to be tracked, namely the target position, can be divided into two situations: in the first case, the obtained position is the real-time position of the target to be tracked, namely the position of the target to be tracked, which is detected by the radar; in the second case, the obtained position is the predicted position of the target to be tracked, that is, the next position where the target to be tracked predicted by the radar moves according to the detected position of the target to be tracked.
For the first case, the target position is the position of the target to be tracked detected by the radar, and the position is real-time, for example, at the time of 12 points, the position of the target to be tracked detected by the radar is converted into coordinates (1,2,3), wherein 1 represents a point on the X axis in the adopted coordinate system, 2 represents a point on the Y axis in the coordinate system, and 3 represents a point on the Z axis in the coordinate system; then the coordinates (1,2,3) can be determined as the target position.
In the first case, the target position is the real-time position of the target to be tracked, so for the linkage system, certain measures can be taken to reduce the positioning error of the target to be tracked when the camera side in the linkage system performs tracking shooting.
The adopted measures can be improving the configuration of hardware equipment in a linkage system so as to improve the transmission rate between the radar and the camera; the target position can be obtained by the target position estimation method, and the target position can be obtained by the target position estimation method.
Of course, in the first case, the measures taken to reduce the positioning error of the target to be tracked are not limited to the above two measures, and other measures may be included, which are not limited herein.
In the second case, the obtained target position is a predicted position, which is predicted by the radar according to the detected position of the target to be tracked. For example, at the time of 12 points, the position of the target to be tracked, which is detected by the radar, is converted into coordinates (1,2,3), and the radar can predict the corresponding coordinates of the predicted position to be (1.5,2,3) according to the coordinates (1,2, 3); then the coordinates (1.5,2,3) can be determined as the target position.
The target position in this second case is described in detail in the following first embodiment, and will not be described in detail here.
And S103, after the target position is obtained, sending a control instruction carrying the target position to the camera, so that the camera receiving the control instruction responds to the control instruction.
The method for sending the control instruction to the camera by the radar is as follows: and after the radar obtains the target position every time, sending a control instruction once, wherein the sent control instruction carries the obtained target position. For example, the target position obtained by the radar at 12 o' clock is (1,2,3), and after the radar obtains the target position (1,2,3), the radar can send a control command to the camera, and the target position carried in the control command is (1,2, 3).
When the radar transmits the control command, there are two determination methods for determining the transmission object: in the first mode, all cameras in the linkage system can be used as the sending objects; in the second mode, part of cameras in the linkage system are targeted for transmission.
In the first mode, the radar transmits the control command carrying the target position to all the cameras included in the linkage system, and in one implementation mode, each camera can autonomously judge the target position received by each camera and respond to the received control command only when judging that the preset shooting condition is met,
Specifically, the preset shooting condition may be a ratio of the target to be tracked in the shot picture, and a ratio threshold is preset, the camera adjusts the shooting angle according to the target position, so that the target to be tracked is in the shot picture, and the ratio of the target to be tracked in the shot picture can be obtained, and the camera continues to respond to the control instruction only when the ratio of the target to be tracked in the shot picture is greater than the preset ratio threshold. Therefore, the image quality definition of the camera during tracking shooting is ensured, the condition that the shot image quality is not clear is avoided, and the waste of resources is avoided.
For the second mode, the radar sends the control instruction carrying the target position to part of cameras included in the linkage system, in order to ensure the tracking shooting effect of the cameras, the radar screens the cameras in the linkage system before sending, and only the cameras meeting certain conditions can be determined as sending objects. In this way, the camera as the transmission target can directly respond to the control command after receiving the control command.
For example, if the control instruction is to perform video shooting on the target to be tracked, the camera receiving the control instruction may acquire a target position carried in the control instruction, and adjust a shooting angle according to the target position, so that the target to be tracked is in a shooting picture, and perform video shooting on the target to be tracked.
In one implementation, after the radar acquires the target position, the cameras in the linkage system can be screened according to the target position, a camera near the target position is selected from the cameras included in the linkage system, and the selected camera is determined as a sending object. Therefore, only the camera near the target position can receive the control instruction carrying the target position, and the camera near the target position has a better shooting effect on the target to be tracked, so that the tracking shooting effect is ensured, and meanwhile, the waste of shooting resources is avoided.
In addition, because the target position can be divided into two cases, the modes of the camera responding to the control instruction for two different cases of the target position can include two types:
in a first response mode, for a first case of the target position, the target position is the position of the target to be tracked, which is detected by the radar, and the position is real-time.
The camera can also obtain a target position when receiving the control instruction, before responding to the control instruction, the camera can obtain a predicted position corresponding to the target position according to a preset prediction rule and the target position, and the camera can adjust a shooting angle according to the predicted position and respond to the control instruction.
In one implementation manner, the camera may obtain the predicted position of the target to be tracked according to the motion trajectory before the target to be tracked, the received target position, and the prediction rule, where the prediction rule may be: the target to be tracked can be considered to be moving straight, and therefore, according to the motion trajectory and the target position, a position is determined in the straight direction of the target to be tracked as a predicted position. After the camera determines the predicted position corresponding to the target to be tracked, the shooting angle can be adjusted according to the predicted position, and a control instruction is responded.
Thus, for the camera side in the linkage system, when tracking shooting is carried out on the target to be tracked, the accuracy of tracking shooting can be further improved.
In the second response mode, for the second case of the target position, the target position is a position predicted by the radar. In this case, it is possible for the camera to respond directly to the received control instruction.
In one implementation, after receiving a control instruction, a camera may obtain a target position carried by the control instruction, and the camera may adjust a shooting angle according to the target position, so that a target to be tracked is within a shooting range, and then may execute the control instruction, for example, to take a picture, record a video, or the like of the target to be tracked.
According to the technical scheme provided by the embodiment of the invention, the target to be tracked is tracked by the radar, and the camera responds to the control instruction of the radar, so that the accuracy of target tracking is improved, and the efficiency of target tracking is also improved.
In a first embodiment, the step of obtaining the position of the target to be tracked as the target position (S102) at preset time intervals may include the steps of:
firstly, according to a preset time interval, obtaining the position of a target to be tracked, which is detected by a radar, as a first position.
Secondly, determining a first coordinate in a radar coordinate system according to the first position;
and thirdly, acquiring a second coordinate corresponding to the first coordinate in the camera coordinate system according to a coordinate conversion relation between a preset radar coordinate system and the camera coordinate system, and taking the second coordinate as a target position.
The steps in the first embodiment will be described separately below.
Firstly, according to a preset time interval, obtaining the position of a target to be tracked, which is detected by a radar, as a first position.
When the radar detects the target to be tracked, the detected positions are all real-time positions, and therefore the first position can be regarded as the position of the target to be tracked when the radar detects the target to be tracked.
For example, at the time of 12 o' clock, the position where the target to be tracked is detected by the radar is the a position, so the first position is the a position, and after the radar detects the a position, some data storage and other processing are performed, and some time is taken when the processing is performed, and in these times, the position of the target to be tracked may also change and is no longer the a position, but is still the a position for the first position.
And secondly, determining a first coordinate in a radar coordinate system according to the first position.
The radar coordinate system is a functional characteristic of the radar itself, and is used for providing corresponding position information for targets in an area monitored by the radar. The type of coordinate system used by the radar coordinate system is a polar coordinate system, i.e. by representing the position information by azimuth information and distance information.
Moreover, according to the type of the position information obtained by the radar, at least two-coordinate radar and three-coordinate radar can be used:
a coordinate system of the radar provided by the dual coordinate radar is a two-dimensional coordinate system, and one position in the coordinate system is represented by azimuth information and distance information, for example, two-dimensional polar coordinates (r, theta), wherein r represents distance information and theta represents azimuth information;
A three-dimensional radar provides a radar coordinate system that is a three-dimensional coordinate system, where a position in the coordinate system is represented by orientation information, distance information, and altitude information, e.g., three-dimensional polar coordinates (r, θ, h), where r represents distance information, θ represents orientation information, and h represents altitude information.
Of course, the polar coordinates may be interconverted with the rectangular coordinates: the two-dimensional polar coordinates can be interconverted with the planar rectangular coordinates, and the three-dimensional polar coordinates can be interconverted with the spatial rectangular coordinates.
As shown in fig. 2, in the two-dimensional coordinate system, the polar coordinate system and the planar rectangular coordinate system both use o as the origin of coordinates, where the coordinates of point a in the polar coordinate system are represented as (r, θ) and the coordinates of point a in the planar rectangular coordinate system are represented as (x, y), then the polar coordinates can be converted into planar rectangular coordinates according to the following two formulas:
x=r×sinθ;
y=r×cosθ。
as shown in fig. 3, in the three-dimensional coordinate system, the polar coordinate system and the planar rectangular coordinate system both use o as the origin of coordinates, where the coordinate of point a in the polar coordinate system is represented as (r, θ, h) and the coordinate of point a in the planar rectangular coordinate system is represented as (x, y, z), then the polar coordinate can be converted into a spatial rectangular coordinate according to the following three formulas:
Figure BDA0001578586080000141
Figure BDA0001578586080000142
Figure BDA0001578586080000143
Wherein r, r,
Figure BDA0001578586080000144
The relationship between h can be expressed as:
Figure BDA0001578586080000145
Figure BDA0001578586080000146
the azimuth angle in the vertical direction is theta, the azimuth angle in the horizontal direction is theta, h is the distance from the point A to the plane where the plane rectangular coordinate system xoy is located, and r is the distance from the point A to the point o.
The target position in the embodiment corresponding to fig. 1 may be divided into two cases, and accordingly, the first coordinate in the radar coordinate system is determined according to the first position, or may be divided into two determination manners:
the first determination corresponds to a first case of the target position, in which case the determined first coordinates are coordinates of the first position in the radar coordinate system, i.e. the first position and the first coordinates represent the same point in space, but in a different way.
In a second determination mode, corresponding to a second condition of the target position, the radar may predict a next position of the target to be tracked according to the first position, and then obtain a predicted position of the target to be tracked. The prediction mode of the position may be a preset prediction rule, and the prediction rule may be set by a user.
This second determination is described in detail in the second embodiment below, and will not be described in detail here.
And thirdly, acquiring a second coordinate corresponding to the first coordinate in the camera coordinate system according to a coordinate conversion relation between a preset radar coordinate system and a camera coordinate system, and taking the second coordinate as a target position.
The radar coordinate system is set by taking the radar coordinate system as a reference, namely the position of the radar is the position of the coordinate origin; the camera coordinate system is set by taking the camera itself as a reference, namely the position of the camera is taken as the coordinate origin of the camera coordinate system. Therefore, the camera coordinate system corresponding to each camera is different for different cameras.
For example, the camera a coordinate system is the camera coordinate system a and the camera B coordinate system is the camera coordinate system B, and the camera coordinate system a and the camera B coordinate system are different coordinate systems because the camera a and the camera B are located at different positions.
The camera may be a dome camera, and accordingly, the camera coordinate system may be a PT coordinate system, and the camera corresponding to the PT coordinate system may be horizontally rotatable and may also be vertically rotatable in a vertical direction, so that, for the coordinates in the PT coordinate system, an azimuth angle P in the horizontal direction and an azimuth angle T in the vertical direction may be provided. In addition, the camera may further zoom in or zoom out the field of view captured by the camera according to a zoom factor Z, and generally, the larger the zoom factor is, the larger the magnification is, the larger the pixel value occupied by the same object in the picture image captured by the camera is, but the smaller the angle of view of the whole picture image captured by the camera is.
For example, as shown in FIG. 3, the angles in the figure
Figure BDA0001578586080000151
The azimuth angle in the vertical direction is, and the angle θ is the azimuth angle in the horizontal direction.
The camera coordinate systems corresponding to the cameras are different, so that the coordinate conversion relationship between the camera coordinate systems and the radar coordinate system is different for different camera coordinate systems, and the camera coordinate systems and the coordinate conversion relationship are in one-to-one correspondence. That is, one camera coordinate system corresponds to one coordinate conversion relationship.
For example, the coordinate conversion relationship corresponding to the camera coordinate system a of the camera a is the coordinate conversion relationship a, and the coordinate conversion relationship corresponding to the camera coordinate system B of the camera B is the coordinate conversion relationship B, then the coordinates in the radar coordinate system can be converted into the coordinates in the camera coordinate system a through the coordinate conversion relationship a, and the coordinates in the radar coordinate system can be converted into the coordinates in the camera coordinate system B through the coordinate conversion relationship B.
The first coordinate is a coordinate in a radar coordinate system, the radar firstly determines a camera for receiving a target position and determines a camera coordinate system corresponding to the camera, namely a camera coordinate system to which the second coordinate belongs; the determined camera coordinate system can then be selected from the stored coordinate transformation relations, so that the radar can transform the first coordinate into a second coordinate in the camera coordinate system according to the determined camera coordinate system and determine the second coordinate as the target position.
In one embodiment, the coordinate transformation relationship between the radar coordinate system and the camera coordinate system can be obtained according to the following steps:
determining a preset number of target calibration points;
acquiring the coordinates of a target calibration point in a radar coordinate system;
acquiring the coordinates of a target calibration point in a camera coordinate system;
according to the coordinates of the obtained target calibration point in the radar coordinate system and the camera coordinate system respectively, a transformation matrix can be obtained through calculation, and the transformation matrix can be used for carrying out mutual transformation on the coordinates between the radar coordinate system and the camera coordinate system.
Specifically, according to the difference of the radar coordinate system, there are two implementation manners for obtaining the coordinate transformation relationship:
in a first implementation, the radar coordinate system is a two-dimensional coordinate system
First, a preset number of target calibration points may be selected, where the selected target calibration points need to be both within a range monitored by the radar and within a range photographed by the camera, so that for the same target calibration point, coordinates of the target calibration point in a radar coordinate system and coordinates of the target calibration point in a camera coordinate system may be obtained.
In addition, for the coordinate transformation relationship between two-dimensional coordinate systems, it can be considered as homographic transformation between two planes, i.e., the coordinate transformation in the two coordinate systems is realized by a plane homography matrix. Therefore, in order to obtain the planar homography matrix, the preset number is at least four, and the preset number can be set in a self-defined mode on the basis of at least four.
Thus, for a target calibration point, the coordinates of the target calibration point in the radar coordinate system can be obtained within the area range monitored by the radar, and the coordinates are expressed by polar coordinates; the two formulas in FIG. 2 are used to determine the pole of the target index pointCoordinate conversion to planar rectangular coordinates of [ x, y ]]TWherein x and y can be respectively expressed as:
x=r×sinθ;
y=r×cosθ。
wherein, the [ alpha ], [ beta ] -a]TIndicating a transposition of the coordinates, hereinafter the symbol also indicates a transposition. r is the distance between the target calibration point and the coordinate origin, and theta is the included angle between the target calibration point and the y axis of the radar coordinate system.
The target calibration point is also within the range of the picture taken by the camera, and therefore the coordinates of the target calibration point in the camera coordinate system can also be obtained. In one case, the camera coordinate system is a PT coordinate system, because only azimuth information is provided for the PT coordinate system, the height of the camera from the ground plane can be taken as known information, so that the height difference h of the target from the horizontal plane where the camera is located can be obtained,
as shown in FIG. 3, the PT coordinates of the target calibration point may be converted into plane rectangular coordinates [ x ', y']TWherein x ', y' may be represented as:
Figure BDA0001578586080000171
Figure BDA0001578586080000172
Wherein,
Figure BDA0001578586080000173
the azimuth angle in the vertical direction, theta is the azimuth angle in the horizontal direction, and h is the distance from the target to the plane where the camera is located.
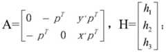
After the conversion, the coordinates are processed by a homogenization process [ x, y ]]TAfter homogenization, [ x, y,1 ] can be obtained]T,[x’,y’]TAfter homogenization, [ x ', y', 1 ] can be obtained]T
The homography matrix H can be set to: [ h ] of1,h2,h3]TWherein h is1、h2、h3Each of the matrices is 3 × 1, and 3 × 1 indicates an arrangement of three rows and one column. The homography matrix H is a coordinate transformation relation for transforming between the radar coordinate system and the camera coordinate system, and then the relation between the radar coordinate system, the camera coordinate system, and the homography matrix is:
q=H×p
wherein the matrix q is [ x ', y', 1 ]]TI.e. the matrix corresponding to the camera coordinate system, the matrix p being [ x, y,1 ]]TI.e. the matrix corresponding to the radar coordinate system.
By the above formula representing the relationship between the radar coordinate system, the camera coordinate system and the homography matrix, the expression equations of x ', y' in the camera coordinate system can be obtained:
Figure BDA0001578586080000174
Figure BDA0001578586080000175
wherein p isTIs a transposed matrix of a matrix p, which is [ x, y,1 ]]TThen matrix pTIs [ x, y,1 ]]。
From the above-obtained equations for x ', y', we can obtain:
Figure BDA0001578586080000176
Thus, it is converted into
Figure BDA0001578586080000181
In a form of, wherein,
Figure BDA0001578586080000182
then, SVD decomposition is carried out on the matrix A, and a homography matrix H, namely a coordinate conversion relation between a radar coordinate system and a camera coordinate system, can be obtained.
In a second implementation, the radar coordinate system is a three-dimensional coordinate system
First, a preset number of target calibration points may be selected, which is the same as the case where the radar coordinate system is a two-dimensional coordinate system in the first implementation manner, and details are not repeated here.
Through the above two formulas in fig. 3, the polar coordinates of the target calibration point in the radar coordinate system can be converted into plane rectangular coordinates of [ x, y, z [ ]]TWherein x, y, z can be respectively expressed as:
Figure BDA0001578586080000183
Figure BDA0001578586080000184
Figure BDA0001578586080000185
wherein r, r,
Figure BDA0001578586080000186
The relationship between h can be expressed as:
Figure BDA0001578586080000187
Figure BDA0001578586080000188
the azimuth angle in the vertical direction, theta the azimuth angle in the horizontal direction, and h the distance between the target and the plane where the camera is located.
The PT coordinates of the target calibration point in the camera coordinate system can be converted into plane rectangular coordinates [ x ', y', z 'by the following formula']TWherein x ', y ', z ' may be represented as:
Figure BDA0001578586080000189
Figure BDA00015785860800001810
z’=-h
wherein,
Figure BDA00015785860800001812
the azimuth angle in the vertical direction, theta the azimuth angle in the horizontal direction, and h the distance between the target and the plane where the camera is located.
After the conversion, the coordinate matrix of the target calibration point in the radar coordinate system is [ x, y, z ]]TThe coordinate matrix of the target calibration point in the camera coordinate system is [ x ', y ', z ']T
The homography matrix H can be set to:
Figure BDA00015785860800001811
according to the relation among the radar coordinate system, the camera coordinate system and the homography matrix, the method comprises the following steps:
q=H×p
wherein the matrix q is [ x ', y ', z ']TI.e. the matrix corresponding to the camera coordinate system, the matrix p being [ x, y, z ]]TI.e. the matrix corresponding to the radar coordinate system.
Substituting the matrices into the above equation, the following equation can be obtained:
Figure BDA0001578586080000191
and then, performing matrix inversion calculation on the equation to obtain an expression of the homography matrix, performing the calculation of the steps on each target calibration point, and then, synthesizing the expression of the homography matrix obtained by each target calibration point to obtain the homography matrix.
In a second embodiment, based on the first embodiment, the step of determining the first coordinate in the radar coordinate system according to the first position (step two in the first embodiment) may include the following steps:
1. determining the coordinate of the first position in a radar coordinate system as a third coordinate;
2. Updating the formed motion trail of the target to be tracked according to the third coordinate;
3. predicting a fourth coordinate of the target to be tracked according to the updated motion trail, wherein the fourth coordinate is as follows: coordinates of a target to be tracked in a radar coordinate system at a target time point, wherein the target time point is as follows: after the time point of the first position is obtained, time points with preset duration are spaced; the fourth coordinate is determined as the first coordinate.
The following describes the steps in this implementation:
for step 1, the third coordinate is the coordinate of the first position in the radar coordinate system, that is, the first position and the third coordinate represent the same point in space, but in different ways.
And, if the radar coordinate system is a two-dimensional coordinate system, the third coordinate is represented as (r, θ); if the radar coordinate system is a three-dimensional coordinate system, the third coordinate is represented as (r, θ, h).
For step 2, when the radar tracks the target to be tracked, the position of the target to be tracked can be acquired, and the position acquired each time can be recorded. From the recorded positions, the motion trajectory of the target to be tracked can be obtained and stored.
Specifically, the radar acquires the position of the target to be tracked at a preset time interval, and it is considered that, each time the position of the target to be tracked is acquired, a single frame image showing the position of the target to be tracked is acquired, the acquired single frame image is stored in a Binary Large Object (BLOB) linked list, a motion trajectory of the target to be tracked can be formed by associating the single frame images of the previous and subsequent frames, and the formed motion trajectory can be stored in the target linked list.
For the motion trail, each motion trail corresponds to a target to be tracked, and therefore, the motion trail can also include an identifier when being stored, wherein the identifier is the identifier of the target to be tracked corresponding to the motion trail. This facilitates distinguishing between each target within the area monitored by the radar.
After the radar determines the target to be tracked, the motion trail of the target to be tracked can be acquired from the stored motion trail, and a new motion trail can be acquired and stored according to the acquired position and the previously formed motion trail each time the radar acquires the position of the target to be tracked. Thus, the updating of the motion trail of the target to be tracked is completed.
For step 3, the preset duration of the interval may be set by self-definition, and in order to improve the accuracy of prediction, the preset duration may be set to be smaller. For example, the preset time is 1 second, the time point for obtaining the first position is 12 points, and then the target time point is a time point after 1 second from 12 points.
The fourth coordinate is a predicted coordinate of the target to be tracked, the basis for predicting according to the updated motion trail can be a preset prediction rule, and the preset prediction rule can be set by self definition. For example, the prediction rule may be a straight rule.
Specifically, the target to be tracked can be considered to move in a straight line, so that the updated motion trajectory can be fitted to be a straight line, and then the predicted position is located at: and on the extension line of the simulated straight line in the advancing direction of the target to be tracked, after the extension line to which the predicted position belongs is determined, the fourth coordinate on the extension line can be determined according to the target time point.
The resulting fourth coordinate may be considered the first coordinate in the radar coordinate system determined from the first position. Of course, polar coordinate representation is possible for the fourth coordinate and the first coordinate.
According to the technical scheme provided by the embodiment of the invention, the linkage system comprises a radar and a camera, wherein the radar can determine the target to be tracked; tracking a target to be tracked, and acquiring the position of the target to be tracked as a target position according to a preset time interval; and after the target position is obtained every time, sending a control instruction carrying the target position to the camera, so that the camera receiving the control instruction responds to the control instruction. According to the technical scheme provided by the embodiment of the invention, the target to be tracked is tracked by the radar, and the camera responds to the control instruction of the radar, so that the target tracking accuracy is improved, and the target tracking efficiency is also improved.
On the basis of the embodiments corresponding to fig. 1 and fig. 1, an embodiment of the present invention further provides a target tracking method, as shown in fig. 4, the method includes the following steps:
s401, whether a candidate tracking target enters a preset monitoring area or not is detected, and if yes, the step S402 is executed.
The preset monitoring area is an area covered by the radar and monitored, and the number of the monitoring areas can be one or more.
When the monitoring area is a plurality of areas, namely the area monitored by the radar is composed of a plurality of areas, the radar monitors each monitoring area simultaneously. As long as a candidate tracking target enters any monitoring area, the radar can detect that the tracking target enters a preset monitoring area.
For example, if the preset monitoring area is composed of an area a, an area B and an area C, and the area a, the area B and the area C are all independent areas, the radar monitors the area a, the area B and the area C at the same time. When the candidate tracking target a enters the area a, the radar may detect that there is a candidate tracking target entering the monitoring area.
S402, adding the identification of the candidate tracking target into a preset tracking queue.
For the candidate tracking targets, each candidate tracking target corresponds to one identifier, and the identifiers of the candidate tracking targets are different.
The tracking queue may be preset and used to store the identifiers of the candidate tracking targets in the monitoring area. Therefore, after the radar detects the candidate tracking target entering the monitoring area each time, the identification corresponding to the candidate tracking target is stored in the tracking queue; and when the radar needs to determine the target to be tracked, the target to be tracked can be directly selected from the candidate tracking targets in the tracking queue.
The mode of tracking the queue storage identifier can be set by a user, and one storage mode is used for classified storage according to different areas under the condition that a plurality of monitoring areas exist. The storage mode is beneficial to distinguishing the candidate tracking targets of each monitoring area, and is more convenient to acquire the candidate tracking targets in a certain specific area.
For example, the monitoring area includes an area a, an area B, and an area C, and then, the identifiers corresponding to the candidate tracking targets in the area a are stored in the same storage location a, the identifiers corresponding to the candidate tracking targets in the area B are stored in the same storage location B, and the identifiers corresponding to the candidate tracking targets in the area C are stored in the same storage location C.
In another storage manner, each identifier stored in the trace queue may be stored according to a preset rule, where the preset rule may be: the storage mode can conveniently acquire the candidate tracking targets, and further improve the tracking efficiency.
For example, the identifier stored in the tracking queue is a number, and the tracking queue includes a candidate tracking target a, a candidate tracking target B, and a candidate tracking target C, where the number of the candidate tracking target a is 54, the number of the candidate tracking target B is 65, and the number of the candidate tracking target C is 20, then the identifiers are stored in the order from small to large, and the identifiers are stored in the order of the candidate tracking target C, the candidate tracking target a, and the candidate tracking target B in the tracking queue.
And S403, determining the target to be tracked from the identification corresponding to the candidate tracking target included in the tracking queue.
Because the determined target to be tracked is a target to be tracked by the radar in the monitoring area, and the identifiers corresponding to the candidate tracking targets in the monitoring area can be stored in the tracking queue, it can be considered that the target to be tracked is selected from the candidate tracking targets included in the tracking queue every time the target to be tracked is determined.
Specifically, the details are described in the following third embodiment, and are not described in detail here.
S404, tracking the target to be tracked, and acquiring the position of the target to be tracked as the target position according to a preset time interval.
And S405, after the target position is obtained, sending a control instruction carrying the target position to the camera, so that the camera receiving the control instruction responds to the control instruction.
In this embodiment, the steps S404 and S405 are the same as S102 and S103 in the embodiment corresponding to fig. 1, and are not repeated herein.
In a third embodiment, the step of determining the target to be tracked (S403) from the identifiers corresponding to the candidate tracking targets included in the tracking queue may include:
And determining the target to be tracked from the identification of the candidate tracking target included in the tracking queue according to a preset priority strategy.
The priority policy comprises a priority policy of the monitoring area and/or a priority policy of the candidate tracking target. The priority policy may only adopt the priority policy of the monitoring area or the priority policy of the candidate tracking target, or may adopt the priority policy of the monitoring area and the priority policy of the candidate tracking target at the same time. The priority policies of the monitoring area may further include multiple types of policies for the monitoring area, and the priority policies of the candidate tracking target may further include multiple types of policies for the candidate tracking target.
The priority policy according to which the target to be tracked is determined from the identifiers of the candidate tracking targets included in the tracking queue may be preset, and the priority policy according to which the target to be tracked is determined may be one of the candidate tracking targets, or may be at least two of the candidate tracking targets.
Moreover, the priority policy to be followed may be invariable, and after one or more types of priority policies are preset, the preset one or more types of priority policies are adopted all the time; it may also be varied, for example, a set of priority policies may be changed at intervals, and of course, the type used in each set of priority policies is different.
Priority policy for monitoring area
The priority policy of the monitoring area is for the monitoring area of the radar, which may include one or more. Under the condition that the monitoring area of the radar only comprises one area, the radar can continuously monitor the one area all the time; and when the monitoring area of the radar comprises a plurality of areas, the radar can simultaneously monitor the plurality of areas, but can divide the important grades of the areas in advance, so that the candidate tracking target in the area with high degree of the important grade can be preferentially determined as the target to be tracked, and the target to be tracked is selected from the area with low degree of importance only when the candidate tracking target does not exist in the area with high degree of the important grade. By the priority strategy of the monitoring area, the key area can be monitored in a key mode, and then the target to be tracked can be determined more efficiently.
For example, the monitored areas of radar include: the area A, the area B, the area C and the area D are used for carrying out importance level division on the included areas, and the importance levels are as follows from high to low: region a, region D, region C, and region B. Then, when determining the target to be tracked, the target to be tracked is determined in the order of the area a, the area D, the area C, and the area B. Specifically, the target to be tracked is determined from the candidate tracking targets in the area a for the first time, if the candidate tracking target does not exist in the area a, the target to be tracked is determined from the candidate tracking targets in the area D, if the candidate tracking target does not exist in the area D, the target to be tracked is determined from the candidate tracking targets in the area C, and if the candidate tracking target does not exist in the area C, the target to be tracked is determined from the candidate tracking targets in the area B.
Priority policy for candidate tracking targets
The priority policy of the candidate tracked targets is specific to the candidate tracked targets in the monitored area, and the candidate tracked targets in the monitored area may include one or more. When only one candidate tracking target in the monitoring area is included, the only one candidate tracking target may be used as the target to be tracked.
When the number of candidate tracking targets in the monitoring area is multiple, the target to be tracked can be determined according to a preset priority policy of the candidate tracking targets. The priority strategy of the candidate tracking target is determined according to at least one of the following information: whether a specified candidate tracking target exists, whether a candidate tracking target with interrupted tracking exists, whether a candidate tracking target currently in a tracked state exists, the duration of continuous tracking on the candidate tracking target currently in the tracked state under the condition that the candidate tracking target currently in the tracked state exists, and the time point of detecting the candidate tracking target by the radar. Of course, the priority policy of the candidate tracking target is not limited to the above-mentioned 5 kinds of information, and may be a policy based on other information.
The following describes the above five information according to which the priority policy of the candidate tracking target is based.
1. Whether there is a specified candidate tracking target
The designation may be designated by a user, and for radar, identification of a candidate tracking target designated by the user is received, and the candidate tracking target may be determined as a target to be tracked.
Of course, the candidate tracking targets specified are targets located within the monitored area monitored by the radar.
2. Candidate tracking target of whether tracking interruption exists
The radar can preset the time length for tracking each target to be tracked, and when the time length for tracking the target to be tracked reaches the preset time length, the tracking of the target to be tracked can be finished. The duration is the duration that is not interrupted in one tracking, and when the same target to be tracked is tracked again after the tracking is interrupted, timing is restarted.
Therefore, the reason why the radar finishes tracking the target to be tracked can be that the target to be tracked leaves the monitoring area, or the duration for tracking the target to be tracked reaches the preset duration.
The tracking interruption refers to an abnormal interruption when the radar performs tracking, and for the abnormal interruption, except for the two cases of the tracking ending, the abnormal interruption can be considered as an abnormal interruption, for example, the tracking is interrupted by being forced due to a radar failure, or a candidate tracking target is re-designated by a user as a target to be tracked, so that the radar interrupts the current tracking, and the designated target to be tracked is re-tracked, which is also an abnormal interruption.
When the radar is in tracking interruption, the target to be tracked in the tracking interruption can be determined as a candidate tracking target again, and the identification of the target to be tracked in the tracking interruption can be recorded, so that the radar can determine the candidate tracking target corresponding to the recorded identification as the target to be tracked again after the next tracking is finished.
For example, in the process of tracking the target a by the radar, if the user designates the target B as a target to be tracked, the radar interrupts tracking the target a, then tracks the target B, records the identifier of the target a, and after the tracking of the target B is finished, the radar may determine the target a as the target to be tracked, and continue tracking the target a.
3. Whether a candidate tracking target currently in a tracked state exists
The candidate tracking target currently in the tracked state is the target to be tracked, and the target to be tracked is currently tracked by the radar. Because the identification of the target to be tracked is stored in the tracking queue after the candidate tracking target in the tracking queue is determined as the target to be tracked, the target to be tracked can still be regarded as the candidate tracking target for the radar even if the target to be tracked is currently being tracked.
When the candidate tracking target currently in the tracked state is determined to exist, the radar can continue to track the candidate tracking target according to a preset rule, or reselect the candidate tracking target as the target to be tracked.
4. Under the condition that the candidate tracking target currently in the tracked state exists, continuously tracking the duration of the candidate tracking target currently in the tracked state
The duration of continuous tracking is the duration of continuous tracking without interruption for the same tracking target, for example, the candidate tracking target currently in the tracked state is target a, the radar starts tracking the target a from the beginning, and the duration of continuous tracking without interruption is 10 seconds. If the duration is 5 seconds and the radar stops tracking the target A, the duration of the continuous tracking is also terminated immediately, and when the radar tracks the target A again, timing is started from 0 again.
Under the condition that a candidate tracking target currently in a tracked state exists, setting a time length threshold value of each continuous tracking of the radar, and when the time length of the continuous tracking of the candidate tracking target currently in the tracked state reaches the set time length threshold value, finishing tracking the candidate tracking target currently in the tracked state; and when the set time length threshold value is not reached, the candidate tracking target in the tracked state at present can be continuously tracked.
5. Time point when radar detects candidate tracking target
The radar can record the time point corresponding to each candidate tracking target, and can sequence the candidate tracking targets according to the recorded time point sequence, wherein the recorded time point sequence can be the sequence of each candidate tracking target entering the monitoring area.
When the priority strategy comprises a strategy determined according to the time point when the radar detects the candidate tracking target, the radar can determine the target to be tracked according to the sequence of entering the monitoring area.
For example, the candidate tracking target a, the candidate tracking target B, and the candidate tracking target C sequentially enter the monitoring area, and the time point when the candidate tracking target a enters the monitoring area is 12: 00, the time point when the candidate tracking target B enters the monitoring area is 12: 10, the time point when the candidate tracking target C enters the monitoring area is 13: 00, the radar may determine the candidate tracking target a as a target to be tracked, determine the candidate tracking target B as the target to be tracked after the tracking of the candidate tracking target a is finished, and determine the candidate tracking target C as the target to be tracked finally after the tracking of the candidate tracking target B is finished.
For the five kinds of information, part of the information can be selected as a basis for determining a priority policy, wherein the part of the information can be at least one kind of information; the above five kinds of information may also be used as a basis for determining a priority policy at the same time, which is described in the following detailed implementation manner.
In a specific implementation manner, the priority policy of the candidate tracking target takes the above five kinds of information as the policy for determining the priority at the same time.
And screening candidate tracking targets in the tracking queue, and when determining the target to be tracked, performing the screening according to a preset sequence of each piece of information. The sequence of each piece of information can be set by a user.
As shown in fig. 5, a preset tracking queue may include a plurality of candidate tracking targets, and when the radar needs to determine a target to be tracked, first, S501 determines whether an identifier of a specified candidate tracking target exists in the tracking queue, if so, step S502 is executed, and if not, step S503 is executed; s502, determining the specified candidate tracking target as a target to be tracked, S503, judging whether the tracking queue has the identifier of the candidate tracking target with interrupted tracking, if so, executing step S504, and if not, executing step S505; s504, determining the candidate tracking target with the tracking interruption as a target to be tracked, S505, judging whether the identification of the candidate tracking target currently in the tracked state exists in the tracking queue, if so, executing the step S506; s506, judging whether the duration of continuous tracking of the candidate tracking target in the tracked state is greater than a preset duration threshold, if not, executing a step S507, and if so, executing a step S508; s507, determining the candidate tracking target in the tracked state as the target to be tracked, S508, selecting the identifier of the candidate tracking target at the time point farthest from the current time point from the tracking queue according to the time point of each candidate tracking target detected by the radar, and determining the candidate tracking target corresponding to the selected identifier as the target to be tracked.
In an example, a preset tracking queue may include a candidate tracking target a, a candidate tracking target B, and a candidate tracking target C, where the candidate tracking target a is a candidate tracking target specified by a user, and when the target to be tracked needs to be determined, the radar directly determines the candidate tracking target a as the target to be tracked.
In example two, the preset tracking queue may include a candidate tracking target a, a candidate tracking target B, and a candidate tracking target C, where the candidate tracking target B is a candidate tracking target for tracking interruption, that is, the radar may abnormally interrupt the tracking process of the candidate tracking target B before. Then, when the radar determines that there is no specified candidate tracking target in the candidate tracking target a, the candidate tracking target B, and the candidate tracking target C, the radar may determine the candidate tracking target B as the target to be tracked.
Example three, the preset tracking queue may include a candidate tracking target a, a candidate tracking target B, and a candidate tracking target C, where the candidate tracking target C is a candidate tracking target currently tracked by the radar. Then, when it is determined that there is no specified candidate tracking target among the candidate tracking target a, the candidate tracking target B, and the candidate tracking target C and there is no candidate tracking target with tracking interruption, the radar may continue to determine whether the duration for which the candidate tracking target C has been continuously tracked is greater than a preset duration threshold for 10 seconds, and if the duration for which the candidate tracking target C has been continuously tracked is 5 seconds, may determine the candidate tracking target C as the target to be tracked.
Example four, the preset tracking queue may include a candidate tracking target a, a candidate tracking target B, and a candidate tracking target C, where the order of entering the monitoring area is the candidate tracking target B, the candidate tracking target C, and the candidate tracking target a. Then, when the radar determines that no specified candidate tracking target, no candidate tracking target with tracking interruption, and no candidate tracking target currently in a tracked state exist in the candidate tracking target a, the candidate tracking target B, and the candidate tracking target C, the candidate tracking target B may be determined as a target to be tracked according to a time point at which each candidate tracking target is detected by the radar.
In a fourth implementation manner, on the basis of the above embodiment corresponding to fig. 4, the radar continuously monitors the monitored area, and not only monitors the position of each candidate tracking target, but also detects whether the candidate tracking target leaves the monitored area, and if the candidate tracking target leaves the monitored area, the candidate tracking target may not be monitored by the radar.
Therefore, if it is detected that a candidate tracking target leaves the detection area, the identifier of the detected candidate tracking target may be deleted from the tracking queue. In this way, the radar cannot determine the candidate tracking target as the target to be tracked, and cannot track and monitor the candidate tracking target.
For example, the monitoring area includes a candidate tracking target a, a candidate tracking target B, and a candidate tracking target C, and accordingly, the tracking queue includes an identifier of the candidate tracking target a, an identifier of the candidate tracking target B, and an identifier of the candidate tracking target C, and when the radar detects that the candidate tracking target a leaves the monitoring area, the identifier of the candidate tracking target a is deleted from the tracking queue, so that the tracking queue only includes the identifier of the candidate tracking target B and the identifier of the candidate tracking target C.
According to the technical scheme provided by the embodiment of the invention, the linkage system comprises a radar and a camera, wherein the radar can determine the target to be tracked; tracking a target to be tracked, and acquiring the position of the target to be tracked as a target position according to a preset time interval; and after the target position is obtained every time, sending a control instruction carrying the target position to the camera, so that the camera receiving the control instruction responds to the control instruction. According to the technical scheme provided by the embodiment of the invention, the target to be tracked is tracked by the radar, and the camera responds to the control instruction of the radar, so that the target tracking accuracy is improved, and the target tracking efficiency is also improved.
Corresponding to the method embodiments shown in fig. 1 and 1, an embodiment of the present invention further provides a target tracking apparatus, as shown in fig. 6, which is applied to a radar in a linkage system, where the linkage system further includes a camera, and the apparatus includes:
a determiningmodule 610, configured to determine a target to be tracked;
an obtainingmodule 620, configured to track the target to be tracked, and obtain a position of the target to be tracked as a target position according to a preset time interval;
the sendingmodule 630 is configured to send a control instruction carrying the target position to the camera after the target position is obtained each time, so that the camera receiving the control instruction responds to the control instruction.
Optionally, in an embodiment, the obtainingmodule 620 may include:
the first obtaining submodule is used for obtaining the position of the target to be tracked, which is detected by the radar, as a first position according to a preset time interval;
the first determining submodule is used for determining a first coordinate in a radar coordinate system according to the first position;
and the second obtaining submodule is used for obtaining a corresponding second coordinate of the first coordinate in the camera coordinate system according to a coordinate conversion relation between a preset radar coordinate system and a camera coordinate system and taking the second coordinate as a target position.
Optionally, in an embodiment, the first determining sub-module may include:
a determining unit, configured to determine coordinates of the first position in a radar coordinate system as third coordinates;
the updating unit is used for updating the formed motion trail of the target to be tracked according to the third coordinate;
a prediction unit, configured to predict a fourth coordinate of the target to be tracked according to the updated motion trajectory, where the fourth coordinate is: coordinates of the target to be tracked in the radar coordinate system at a target time point, wherein the target time point is as follows: after the time point of the first position is obtained, a time point with a preset time length is separated;
a determining unit configured to determine the fourth coordinate as the first coordinate.
According to the technical scheme provided by the embodiment of the invention, the linkage system comprises a radar and a camera, wherein the radar can determine the target to be tracked; tracking a target to be tracked, and acquiring the position of the target to be tracked as a target position according to a preset time interval; and after the target position is obtained every time, sending a control instruction carrying the target position to the camera, so that the camera receiving the control instruction responds to the control instruction. According to the technical scheme provided by the embodiment of the invention, the target to be tracked is tracked by the radar, and the camera responds to the control instruction of the radar, so that the target tracking accuracy is improved, and the target tracking efficiency is also improved.
On the basis of the embodiments corresponding to fig. 6 and fig. 6, an embodiment of the present invention further provides a target tracking apparatus, and as shown in fig. 7, the determiningmodule 610 may include:
the detecting sub-module 611 is configured to detect whether a candidate tracking target enters a preset monitoring area;
an adding sub-module 612, configured to add, if a detection result of the detecting sub-module is yes, the identifier of the candidate tracking target to a preset tracking queue;
a second determiningsubmodule 613, configured to determine a target to be tracked from an identifier corresponding to a candidate tracking target included in the tracking queue.
Optionally, in an embodiment, the second determiningsubmodule 613 may include:
the determining unit is used for determining a target to be tracked from the identification of the candidate tracking target included in the tracking queue according to a preset priority strategy; the priority policy comprises a priority policy of a monitoring area and/or a priority policy of a candidate tracking target.
Optionally, in an embodiment, the priority policy of the candidate tracking target is a policy determined according to at least one of the following information:
whether a specified candidate tracking target exists;
Whether a candidate tracking target of the tracking interruption exists or not;
whether a candidate tracking target currently in a tracked state exists or not;
under the condition that a candidate tracking target in a tracked state exists, continuously tracking the candidate tracking target in the tracked state for a long time;
a point in time at which the radar detects a candidate tracking target.
Optionally, in an embodiment, the determining unit may be specifically configured to:
judging whether the tracking queue has an identifier of a specified candidate tracking target;
if the mark of the specified candidate tracking target exists in the tracking queue, determining the specified candidate tracking target as a target to be tracked;
if the mark of the specified candidate tracking target does not exist in the tracking queue, judging whether the mark of the candidate tracking target with interrupted tracking exists in the tracking queue;
if the mark of the candidate tracking target of the tracking interruption exists in the tracking queue, determining the candidate tracking target of the tracking interruption as a target to be tracked;
if the tracking queue does not have the identification of the candidate tracking target with the tracking interruption, judging whether the tracking queue has the identification of the candidate tracking target in the tracked state;
If the identification of the candidate tracking target currently in the tracked state exists in the tracking queue, judging whether the duration of the continuous tracking of the candidate tracking target currently in the tracked state is greater than a preset duration threshold value;
if the duration of continuous tracking is not greater than a preset duration threshold, determining the candidate tracking target in the current tracked state as a target to be tracked;
and if the duration of continuous tracking is greater than a preset duration threshold, selecting the identifier of the candidate tracking target at the time point farthest from the current time point from the tracking queue according to the time point of each candidate tracking target detected by the radar, and determining the candidate tracking target corresponding to the selected identifier as the target to be tracked.
Optionally, in an embodiment, the apparatus may further include:
the detection module is used for detecting whether a candidate tracking target leaves the monitoring area or not;
and the deleting module is used for deleting the identification of the detected candidate tracking target from the tracking queue when the candidate tracking target is detected to leave the monitoring area.
According to the technical scheme provided by the embodiment of the invention, the linkage system comprises a radar and a camera, wherein the radar can determine the target to be tracked; tracking a target to be tracked, and acquiring the position of the target to be tracked as a target position according to a preset time interval; and after the target position is obtained every time, sending a control instruction carrying the target position to the camera, so that the camera receiving the control instruction responds to the control instruction. According to the technical scheme provided by the embodiment of the invention, the target to be tracked is tracked by the radar, and the camera responds to the control instruction of the radar, so that the target tracking accuracy is improved, and the target tracking efficiency is also improved.
An embodiment of the present invention further provides an electronic device, as shown in fig. 8, including aprocessor 810, acommunication interface 820, amemory 830, and acommunication bus 840, where theprocessor 810, thecommunication interface 820, and thememory 830 complete mutual communication through thecommunication bus 840;
amemory 830 for storing a computer program;
theprocessor 810, when executing the computer program stored in thememory 830, implements the following steps:
determining a target to be tracked;
tracking a target to be tracked, and acquiring the position of the target to be tracked as a target position according to a preset time interval;
and after the target position is obtained every time, sending a control instruction carrying the target position to the camera, so that the camera receiving the control instruction responds to the control instruction.
According to the technical scheme provided by the embodiment of the invention, the linkage system comprises a radar and a camera, wherein the radar can determine the target to be tracked; tracking a target to be tracked, and acquiring the position of the target to be tracked as a target position according to a preset time interval; and after the target position is obtained every time, sending a control instruction carrying the target position to the camera, so that the camera receiving the control instruction responds to the control instruction. According to the technical scheme provided by the embodiment of the invention, the target to be tracked is tracked by the radar, and the camera responds to the control instruction of the radar, so that the target tracking accuracy is improved, and the target tracking efficiency is also improved.
Of course, the electronic device provided in the embodiment of the present invention may further execute a target tracking method described in any of the above embodiments. Specifically, refer to fig. 1 and 4 and the corresponding embodiments of fig. 1 and 4, which are not repeated herein.
In yet another embodiment of the present invention, a computer-readable storage medium is further provided, which stores instructions that, when executed on a computer, cause the computer to perform a target tracking method as described in any one of the embodiments corresponding to fig. 1 and 4 and fig. 1 and 4.
The communication bus mentioned in the electronic device may be a Peripheral Component Interconnect (PCI) bus, an Extended Industry Standard Architecture (EISA) bus, or the like. The communication bus may be divided into an address bus, a data bus, a control bus, etc. For ease of illustration, only one thick line is shown, but this is not intended to represent only one bus or type of bus.
The communication interface is used for communication between the electronic equipment and other equipment.
The Memory may include a Random Access Memory (RAM) or a Non-Volatile Memory (NVM), such as at least one disk Memory. Optionally, the memory may also be at least one memory device located remotely from the processor.
The Processor may be a general-purpose Processor, including a Central Processing Unit (CPU), a Network Processor (NP), and the like; but also Digital Signal Processors (DSPs), Application Specific Integrated Circuits (ASICs), Field Programmable Gate Arrays (FPGAs) or other Programmable logic devices, discrete Gate or transistor logic devices, discrete hardware components.
It is noted that, herein, relational terms such as first and second, and the like may be used solely to distinguish one entity or action from another entity or action without necessarily requiring or implying any actual such relationship or order between such entities or actions. Also, the terms "comprises," "comprising," or any other variation thereof, are intended to cover a non-exclusive inclusion, such that a process, method, article, or apparatus that comprises a list of elements does not include only those elements but may include other elements not expressly listed or inherent to such process, method, article, or apparatus. Without further limitation, an element defined by the phrase "comprising an … …" does not exclude the presence of other identical elements in a process, method, article, or apparatus that comprises the element.
All the embodiments in the present specification are described in a related manner, and the same and similar parts among the embodiments may be referred to each other, and each embodiment focuses on the differences from the other embodiments. In particular, as for the apparatus embodiment, since it is substantially similar to the method embodiment, the description is relatively simple, and for the relevant points, reference may be made to the partial description of the method embodiment.
The above description is only for the preferred embodiment of the present invention, and is not intended to limit the scope of the present invention. Any modification, equivalent replacement, or improvement made within the spirit and principle of the present invention shall fall within the protection scope of the present invention.

Claims (16)

1. A target tracking method for use in a radar in a linkage system, the linkage system further including a camera, the method comprising:
determining a target to be tracked;
tracking the target to be tracked, and acquiring the position of the target to be tracked as a target position according to a preset time interval;
after obtaining the target position each time, sending a control instruction carrying the target position to the camera, so that the camera receiving the control instruction responds to the control instruction;
The determining of the target to be tracked comprises the following steps:
detecting whether a candidate tracking target enters a preset monitoring area or not; if the candidate tracking target is detected to enter the monitoring area, adding the identification of the candidate tracking target to a preset tracking queue; determining a target to be tracked from the identification of the candidate tracking target included in the tracking queue according to a preset priority strategy;
determining a target to be tracked from candidate tracking targets included in the tracking queue according to a preset priority policy, wherein the determining comprises:
judging whether the tracking queue has an identifier of a specified candidate tracking target;
if the mark of the specified candidate tracking target exists in the tracking queue, determining the specified candidate tracking target as a target to be tracked;
if the mark of the specified candidate tracking target does not exist in the tracking queue, judging whether the mark of the candidate tracking target with interrupted tracking exists in the tracking queue;
if the mark of the candidate tracking target of the tracking interruption exists in the tracking queue, determining the candidate tracking target of the tracking interruption as a target to be tracked;
if the tracking queue does not have the identification of the candidate tracking target with the tracking interruption, judging whether the tracking queue has the identification of the candidate tracking target in the tracked state;
If the identification of the candidate tracking target currently in the tracked state exists in the tracking queue, judging whether the duration of the continuous tracking of the candidate tracking target currently in the tracked state is greater than a preset duration threshold value;
and if the duration of continuous tracking is not greater than the preset duration threshold, determining the candidate tracking target in the tracked state at present as the target to be tracked.
2. The method according to claim 1, wherein the obtaining the position of the target to be tracked as the target position at preset time intervals comprises:
according to a preset time interval, obtaining the position of the target to be tracked, which is detected by the radar, as a first position;
determining a first coordinate in a radar coordinate system according to the first position;
and obtaining a second coordinate corresponding to the first coordinate in the camera coordinate system according to a coordinate conversion relation between a preset radar coordinate system and a camera coordinate system, and taking the second coordinate as a target position.
3. The method of claim 2, wherein determining the first coordinate in the radar coordinate system from the first location comprises:
Determining coordinates of the first position in a radar coordinate system as third coordinates;
updating the formed motion trail of the target to be tracked according to the third coordinate;
predicting a fourth coordinate of the target to be tracked according to the updated motion trail, wherein the fourth coordinate is as follows: coordinates of the target to be tracked in the radar coordinate system at a target time point, wherein the target time point is as follows: after the time point of the first position is obtained, a time point with a preset time length is separated;
determining the fourth coordinate as the first coordinate.
4. The method according to claim 1, wherein the priority policy comprises a priority policy of a monitoring area and/or a priority policy of a candidate tracking target.
5. The method of claim 4,
the priority policy of the candidate tracking target is determined according to at least one of the following information:
whether a specified candidate tracking target exists;
whether a candidate tracking target of tracking interruption exists or not;
whether a candidate tracking target currently in a tracked state exists or not;
under the condition that a candidate tracking target in a tracked state exists, continuously tracking the candidate tracking target in the tracked state for a long time;
A point in time at which the radar detects a candidate tracking target.
6. The method according to claim 1, wherein the determining, according to a preset priority policy, the target to be tracked from the candidate tracked targets included in the tracking queue further comprises:
and if the duration of continuous tracking is greater than a preset duration threshold, selecting the identifier of the candidate tracking target at the time point farthest from the current time point from the tracking queue according to the time point of each candidate tracking target detected by the radar, and determining the candidate tracking target corresponding to the selected identifier as the target to be tracked.
7. The method of claim 1, further comprising:
detecting whether a candidate tracking target leaves the monitoring area;
when detecting that the candidate tracking target leaves the monitoring area, deleting the identification of the detected candidate tracking target from the tracking queue.
8. An object tracking device for use in a radar in a linkage system, the linkage system further including a camera, the device comprising:
the determining module is used for determining a target to be tracked;
the acquisition module is used for tracking the target to be tracked, and acquiring the position of the target to be tracked as a target position according to a preset time interval;
The sending module is used for sending a control instruction carrying the target position to the camera after the target position is obtained every time so that the camera receiving the control instruction responds to the control instruction;
the determining module comprises:
the detection submodule is used for detecting whether a candidate tracking target enters a preset monitoring area or not;
the adding submodule is used for adding the identification of the candidate tracking target to a preset tracking queue if the detection result of the detecting submodule is positive;
the second determining submodule comprises a determining unit, and is used for determining a target to be tracked from the identification of the candidate tracking target included in the tracking queue according to a preset priority strategy;
wherein the determining unit is specifically configured to:
judging whether the tracking queue has an identifier of a specified candidate tracking target;
if the mark of the specified candidate tracking target exists in the tracking queue, determining the specified candidate tracking target as a target to be tracked;
if the mark of the specified candidate tracking target does not exist in the tracking queue, judging whether the mark of the candidate tracking target with interrupted tracking exists in the tracking queue;
if the mark of the candidate tracking target of the tracking interruption exists in the tracking queue, determining the candidate tracking target of the tracking interruption as a target to be tracked;
If the tracking queue does not have the identification of the candidate tracking target with the tracking interruption, judging whether the tracking queue has the identification of the candidate tracking target in the tracked state;
if the identification of the candidate tracking target currently in the tracked state exists in the tracking queue, judging whether the duration of the continuous tracking of the candidate tracking target currently in the tracked state is greater than a preset duration threshold value;
and if the duration of continuous tracking is not greater than the preset duration threshold, determining the candidate tracking target in the tracked state at present as the target to be tracked.
9. The apparatus of claim 8, wherein the obtaining module comprises:
the first obtaining submodule is used for obtaining the position of the target to be tracked, which is detected by the radar, as a first position according to a preset time interval;
the first determining submodule is used for determining a first coordinate in a radar coordinate system according to the first position;
and the second obtaining submodule is used for obtaining a corresponding second coordinate of the first coordinate in the camera coordinate system according to a coordinate conversion relation between a preset radar coordinate system and a camera coordinate system and taking the second coordinate as a target position.
10. The apparatus of claim 9, wherein the first determining submodule comprises:
a determining unit, configured to determine coordinates of the first position in a radar coordinate system as third coordinates;
the updating unit is used for updating the formed motion trail of the target to be tracked according to the third coordinate;
a prediction unit, configured to predict a fourth coordinate of the target to be tracked according to the updated motion trajectory, where the fourth coordinate is: coordinates of the target to be tracked in the radar coordinate system at a target time point, wherein the target time point is as follows: after the time point of the first position is obtained, a time point with a preset time length is separated;
a determining unit configured to determine the fourth coordinate as the first coordinate.
11. The apparatus of claim 8, wherein the priority policy comprises a priority policy of a monitoring area and/or a priority policy of a candidate tracking target.
12. The apparatus of claim 11, wherein the priority policy of the candidate tracking target is a policy determined according to at least one of the following information:
whether a specified candidate tracking target exists;
Whether a candidate tracking target of the tracking interruption exists or not;
whether a candidate tracking target in a tracked state currently exists or not;
under the condition that a candidate tracking target in a tracked state exists, continuously tracking the candidate tracking target in the tracked state;
a point in time at which the radar detects a candidate tracking target.
13. The apparatus of claim 8, wherein the determining unit is further configured to:
and if the duration of continuous tracking is greater than a preset duration threshold, selecting the identifier of the candidate tracking target at the time point farthest from the current time point from the tracking queue according to the time point of each candidate tracking target detected by the radar, and determining the candidate tracking target corresponding to the selected identifier as the target to be tracked.
14. The apparatus of claim 8, further comprising:
the detection module is used for detecting whether a candidate tracking target leaves the monitoring area or not;
and the deleting module is used for deleting the identification of the detected candidate tracking target from the tracking queue when the candidate tracking target is detected to leave the monitoring area.
15. An electronic device is characterized by comprising a processor, a communication interface, a memory and a communication bus, wherein the processor and the communication interface are used for realizing mutual communication by the memory through the communication bus;
a memory for storing a computer program;
a processor for implementing the method steps of any one of claims 1 to 7 when executing the computer program stored in the memory.
16. A computer-readable storage medium, characterized in that a computer program is stored in the computer-readable storage medium, which computer program, when being executed by a processor, carries out the method steps of any one of claims 1 to 7.
CN201810145003.2A2018-02-122018-02-12Target tracking method and deviceActiveCN110163885B (en)

Priority Applications (1)

Application NumberPriority DateFiling DateTitle
CN201810145003.2ACN110163885B (en)2018-02-122018-02-12Target tracking method and device

Applications Claiming Priority (1)

Application NumberPriority DateFiling DateTitle
CN201810145003.2ACN110163885B (en)2018-02-122018-02-12Target tracking method and device

Publications (2)

Publication NumberPublication Date
CN110163885A CN110163885A (en)2019-08-23
CN110163885Btrue CN110163885B (en)2022-06-03

Family

ID=67635003

Family Applications (1)

Application NumberTitlePriority DateFiling Date
CN201810145003.2AActiveCN110163885B (en)2018-02-122018-02-12Target tracking method and device

Country Status (1)

CountryLink
CN (1)CN110163885B (en)

Families Citing this family (19)

* Cited by examiner, † Cited by third party
Publication numberPriority datePublication dateAssigneeTitle
CN112788228A (en)*2019-11-082021-05-11杭州海康威视数字技术股份有限公司Snapshot triggering system, method and device based on radar
CN112825554A (en)*2019-11-212021-05-21杭州海康威视数字技术股份有限公司Target tracking method and device, electronic equipment and storage medium
CN112986929B (en)*2019-12-022024-03-29杭州海康威视数字技术股份有限公司Linkage monitoring device, method and storage medium
CN110933372B (en)*2019-12-032024-03-19西安电子科技大学青岛计算技术研究院PTZ-based target tracking type monitoring method
CN111263118A (en)*2020-02-182020-06-09浙江大华技术股份有限公司Image acquisition method and device, storage medium and electronic device
CN111402296B (en)*2020-03-122023-09-01浙江大华技术股份有限公司Target tracking method and related device based on camera and radar
CN111767782B (en)*2020-04-152022-01-11上海摩象网络科技有限公司Tracking target determining method and device and handheld camera
CN111586303A (en)*2020-05-222020-08-25浩鲸云计算科技股份有限公司Control method and device for dynamically tracking road surface target by camera based on wireless positioning technology
CN113759363B (en)*2020-06-022023-09-19杭州海康威视数字技术股份有限公司Target positioning method, device, monitoring system and storage medium
CN113763457B (en)*2020-06-032023-08-25杭州海康威视数字技术股份有限公司Method and device for calibrating drop terrain, electronic equipment and storage medium
CN111679271B (en)*2020-06-152023-03-14杭州海康威视数字技术股份有限公司Target tracking method, target tracking device, monitoring system and storage medium
JP7371578B2 (en)*2020-07-012023-10-31トヨタ自動車株式会社 Information processing device and information processing method
CN114167404A (en)*2020-09-112022-03-11华为技术有限公司Target tracking method and device
CN112884809A (en)*2021-02-262021-06-01北京市商汤科技开发有限公司Target tracking method and device, electronic equipment and storage medium
CN113960591A (en)*2021-10-192022-01-21武汉华之洋科技有限公司Unmanned ship photoelectric intelligent reconnaissance method based on intelligent identification technology
CN115100585B (en)*2022-05-072024-11-29浙江大华技术股份有限公司Target detection method, electronic device, and computer-readable storage medium
CN115512294A (en)*2022-09-222022-12-23中科海微(北京)科技有限公司 Target detection method, device, electronic device and storage medium
CN115877328B (en)*2023-03-062023-05-12成都鹰谷米特科技有限公司Signal receiving and transmitting method of array radar and array radar
CN116819511B (en)*2023-04-112024-08-06中铁十一局集团有限公司Accurate sensing method and related equipment for tunnel omnidirectional wide-area millimeter wave radar

Citations (7)

* Cited by examiner, † Cited by third party
Publication numberPriority datePublication dateAssigneeTitle
CN103051874A (en)*2012-12-202013-04-17中国船舶重工集团公司第七二二研究所Real-time high-definition video monitoring and evidence obtaining system for low-enforcement vessel
CN104796612A (en)*2015-04-202015-07-22河南弘金电子科技有限公司High-definition radar linkage tracking control camera shooting system and linkage tracking method
CN105407283A (en)*2015-11-202016-03-16成都因纳伟盛科技股份有限公司Multi-target active recognition tracking and monitoring method
CN106303440A (en)*2016-08-262017-01-04无锡挪瑞科技股份有限公司A kind of ship monitor tracking and monitoring tracking system
CN106371459A (en)*2016-08-312017-02-01京东方科技集团股份有限公司Target tracking method and target tracking device
CN106447697A (en)*2016-10-092017-02-22湖南穗富眼电子科技有限公司Specific moving target fast tracking method based on moving platform
CN206726243U (en)*2017-03-102017-12-08周艳Indoor moving video tracking positioning auxiliary filming apparatus

Family Cites Families (6)

* Cited by examiner, † Cited by third party
Publication numberPriority datePublication dateAssigneeTitle
KR100594513B1 (en)*2005-08-042006-06-30한국전력공사 Video Surveillance System Linked with Near Field Radar
US9524580B2 (en)*2014-01-062016-12-20Oculus Vr, LlcCalibration of virtual reality systems
US20180110785A1 (en)*2014-07-182018-04-26Robert I. HenkinMethods and compositions for ameliorating symptoms associated with chromosomal abnormalities
US9599706B2 (en)*2015-04-062017-03-21GM Global Technology Operations LLCFusion method for cross traffic application using radars and camera
JP6544295B2 (en)*2016-05-112019-07-17トヨタ自動車株式会社 Vehicle travel control device
CN106447680B (en)*2016-11-232019-09-17湖南华诺星空电子技术有限公司The object detecting and tracking method that radar is merged with vision under dynamic background environment

Patent Citations (7)

* Cited by examiner, † Cited by third party
Publication numberPriority datePublication dateAssigneeTitle
CN103051874A (en)*2012-12-202013-04-17中国船舶重工集团公司第七二二研究所Real-time high-definition video monitoring and evidence obtaining system for low-enforcement vessel
CN104796612A (en)*2015-04-202015-07-22河南弘金电子科技有限公司High-definition radar linkage tracking control camera shooting system and linkage tracking method
CN105407283A (en)*2015-11-202016-03-16成都因纳伟盛科技股份有限公司Multi-target active recognition tracking and monitoring method
CN106303440A (en)*2016-08-262017-01-04无锡挪瑞科技股份有限公司A kind of ship monitor tracking and monitoring tracking system
CN106371459A (en)*2016-08-312017-02-01京东方科技集团股份有限公司Target tracking method and target tracking device
CN106447697A (en)*2016-10-092017-02-22湖南穗富眼电子科技有限公司Specific moving target fast tracking method based on moving platform
CN206726243U (en)*2017-03-102017-12-08周艳Indoor moving video tracking positioning auxiliary filming apparatus

Also Published As

Publication numberPublication date
CN110163885A (en)2019-08-23

Similar Documents

PublicationPublication DateTitle
CN110163885B (en)Target tracking method and device
CN109151375B (en)Target object snapshot method and device and video monitoring equipment
US11107246B2 (en)Method and device for capturing target object and video monitoring device
CN110278382B (en)Focusing method, device, electronic equipment and storage medium
US9418278B2 (en)Image analysis method, camera apparatus, control apparatus, control method and storage medium
US9477891B2 (en)Surveillance system and method based on accumulated feature of object
CN112016483A (en)Relay system, method, device and equipment for target detection
CN105678808A (en)Moving object tracking method and device
WO2018098824A1 (en)Photographing control method and apparatus, and control device
CN109685062B (en) A target detection method, device, equipment and storage medium
CN108257186B (en) Method and device for determining calibration image, camera and storage medium
CN114241016A (en)Cross-camera track association method and device and electronic equipment
CN110519510B (en)Snapshot method and device, ball machine and storage medium
CN111787232A (en)Image processing method, device and storage medium based on pan-tilt-zoom camera
CN111402296A (en)Target tracking method based on camera and radar and related device
CN110245641A (en)A kind of target tracking image pickup method, device, electronic equipment
CN113347362B (en)Cross-camera track association method and device and electronic equipment
EP3432575A1 (en)Method for performing multi-camera automatic patrol control with aid of statistics data in a surveillance system, and associated apparatus
CN109447022A (en)A kind of lens type recognition methods and device
US20180107878A1 (en)Method and associated apparatus for performing cooperative counting with aid of multiple cameras
CN105427282B (en)A kind of test method and device of 3D positioning accuracies
CN111652907B (en)Multi-target tracking method and device based on data association and electronic equipment
JP2010154287A (en)Imaging apparatus and tracking method thereof
CN113518174A (en) A shooting method, device and system
CN117544848A (en)Method, device, equipment and storage medium for determining preset point of ball machine

Legal Events

DateCodeTitleDescription
PB01Publication
PB01Publication
SE01Entry into force of request for substantive examination
SE01Entry into force of request for substantive examination
GR01Patent grant
GR01Patent grant

[8]ページ先頭

©2009-2025 Movatter.jp