Movatterモバイル変換


[0]ホーム

URL:


CN110138702B - Data transmission method and equipment - Google Patents

Data transmission method and equipment
Download PDF

Info

Publication number
CN110138702B
CN110138702BCN201810130115.0ACN201810130115ACN110138702BCN 110138702 BCN110138702 BCN 110138702BCN 201810130115 ACN201810130115 ACN 201810130115ACN 110138702 BCN110138702 BCN 110138702B
Authority
CN
China
Prior art keywords
constellation
dimension
resource
multiple access
codebooks
Prior art date
Legal status (The legal status is an assumption and is not a legal conclusion. Google has not performed a legal analysis and makes no representation as to the accuracy of the status listed.)
Active
Application number
CN201810130115.0A
Other languages
Chinese (zh)
Other versions
CN110138702A (en
Inventor
王森
韩双锋
左君
Current Assignee (The listed assignees may be inaccurate. Google has not performed a legal analysis and makes no representation or warranty as to the accuracy of the list.)
China Mobile Communications Group Co Ltd
Research Institute of China Mobile Communication Co Ltd
Original Assignee
China Mobile Communications Group Co Ltd
Research Institute of China Mobile Communication Co Ltd
Priority date (The priority date is an assumption and is not a legal conclusion. Google has not performed a legal analysis and makes no representation as to the accuracy of the date listed.)
Filing date
Publication date
Application filed by China Mobile Communications Group Co Ltd, Research Institute of China Mobile Communication Co LtdfiledCriticalChina Mobile Communications Group Co Ltd
Priority to CN201810130115.0ApriorityCriticalpatent/CN110138702B/en
Priority to PCT/CN2019/074560prioritypatent/WO2019154355A1/en
Publication of CN110138702ApublicationCriticalpatent/CN110138702A/en
Application grantedgrantedCritical
Publication of CN110138702BpublicationCriticalpatent/CN110138702B/en
Activelegal-statusCriticalCurrent
Anticipated expirationlegal-statusCritical

Links

Images

Classifications

Landscapes

Abstract

Translated fromChinese

本发明公开了一种数据传输的方法和设备,用以解决现有技术中采用非正交多址方式进行数据传输解调性能较低的问题。本发明实施例发送端根据选择的一列码本对应的维度,从多维星座图集合中确定对应的星座图,并通过维度星座图映射的资源发送数据,接收端根据选择的一列码本对应的维度,从多维星座图集合中确定维度对应的星座图,通过对应的星座图映射的资源发送数据。由于本发明实施中,多址图样集合是由用于表示调制符号在分配的资源上出现的位置的资源映射图样矩阵确定,因此形成的多址图样集合是不等列重的,然后通过不等列重多址图样集合和多维星座图确定接收端和发送端的多址码本集合,使得不同终端的分集度不同,从而提高解调性能。

Figure 201810130115

The invention discloses a data transmission method and device, which are used to solve the problem of low demodulation performance of data transmission by using a non-orthogonal multiple access mode in the prior art. In the embodiment of the present invention, the transmitting end determines a corresponding constellation diagram from a multi-dimensional constellation diagram set according to the dimension corresponding to the selected column of codebooks, and sends data through the resources mapped by the dimensional constellation diagram, and the receiving end determines the corresponding dimension according to the selected column of codebooks. , determine the constellation diagram corresponding to the dimension from the multi-dimensional constellation diagram set, and send the data through the resource mapped by the corresponding constellation diagram. Since in the implementation of the present invention, the multiple access pattern set is determined by the resource mapping pattern matrix used to indicate the position where the modulation symbol appears on the allocated resources, the multiple access pattern set formed is unequal column weight, and then through the unequal column weights The column multiple access pattern set and the multi-dimensional constellation map determine the multiple access codebook set at the receiving end and the transmitting end, so that the diversity degrees of different terminals are different, thereby improving the demodulation performance.

Figure 201810130115

Description

Data transmission method and equipment
Technical Field
The present invention relates to the field of wireless technologies, and in particular, to a method and an apparatus for data transmission.
Background
In wireless communication, a technical scheme of separating a plurality of terminals into different wireless channels when they are talking at the same time to prevent mutual interference is called a multiple access scheme, and the multiple access scheme is classified into a frequency division multiple access scheme, a time division multiple access scheme, a code division multiple access scheme, and the like according to characteristics. In the 4G system, an SC-FDMA (Single-carrier Frequency-Division Multiple Access) Multiple Access scheme is adopted in an uplink, and an OFDMA (Orthogonal Frequency Division Multiple Access) Multiple Access scheme is adopted in a downlink. In the 5G system, SC-FDMA or OFDMA is adopted for the uplink, and OFDMA multiple access method is still adopted for the downlink, but the multiple access methods are all orthogonal multiple access. For further evolution of 5G NR, in 3GPP (3rd Generation Partnership Project, third Generation standardization organization for mobile communication) 5G system research, more novel non-orthogonal multiple access methods are proposed, such as: SCMA (sparse code Multiple Access), PDMA (Pattern Division Multiple Access), IDMA (interleaved direct memory Access), NOCA (Non-Orthogonal Coded Access), and the like.
As shown in fig. 1, in the multiple access scheme of the SCMA in the prior art, it includes two parts, namely bit-level processing and symbol-level processing, and a codebook set is designed by using a mode of equal-column sparse multiple access pattern design and multidimensional modulation joint optimization. However, in the multiple access scheme of the SCMA, the multiple access pattern of each application scenario is not always able to be determined in advance, so that in practical use, the demodulation performance is low when data transmission is performed according to the codebook designed by the multiple access pattern.
In summary, the non-orthogonal multiple access method in the prior art has low demodulation performance when data transmission is performed.
Disclosure of Invention
The invention provides a data transmission method and equipment, which are used for solving the problem of lower demodulation performance when a non-orthogonal multiple access mode is adopted for data transmission in the prior art.
In a first aspect, when a transmitting end performs data transmission, at least one column of codebook is selected from a multiple access codebook set corresponding to a current modulation mode, and for any selected column of codebook, the transmitting end determines a constellation diagram corresponding to a dimension from a multidimensional constellation diagram set according to the dimension corresponding to the selected column of codebook, and transmits data through a resource mapped by the determined constellation diagram.
The multi-access codebook set is determined by a multi-dimensional constellation set and a multi-access pattern set, the multi-access pattern set is determined by a resource mapping pattern matrix, the resource mapping pattern matrix is used for representing various arrangement modes of positions of the modulation symbols appearing on resources, the resource mapping pattern matrix is used for determining that the measure among constellation points in the multi-dimensional constellation set of the multi-codebook set is maximum, and the multi-dimensional constellation set comprises a plurality of constellations with different dimensions.
In the embodiment of the invention, when a transmitting end performs data transmission, an adopted multiple access pattern set is determined by a resource mapping pattern matrix for representing the position of a modulation symbol on allocated resources, so that the formed multiple access pattern set is unequal in column weight, and then multiple access codebook sets of a receiving end and the transmitting end are determined by the unequal column weight multiple access pattern set and a multidimensional constellation map, so that diversity degrees of different terminals are different, and the demodulation performance is improved.
In some specific implementations, before the transmitting end selects at least one row of codebooks from a multiple access codebook set corresponding to a current modulation mode, it is further required to determine positions of modulation symbols notified by a network side device appearing on resources, determine the multiple access pattern set according to the positions of the modulation symbols appearing on the resources, and determine the multiple access codebook set corresponding to the current modulation mode according to the current modulation mode, a multi-dimensional constellation set, and the multiple access pattern set.
In the embodiment of the invention, the transmitting end determines the multiple access codebook set corresponding to the current modulation mode according to the current modulation mode, the multidimensional constellation set and the multiple access pattern set, and the multiple access pattern set is determined according to the positions of modulation symbols appearing on resources and is a multiple access pattern set with unequal column weights, so that the demodulation performance is improved.
In some specific implementations, when a sending end sends data from a resource mapped by a constellation diagram corresponding to a dimension, firstly, a constellation point is determined from the constellation diagram corresponding to the dimension according to the data to be transmitted; and then transmitting data from the determined resource mapped by the constellation point.
In the embodiment of the invention, the sending end adopts the constellation diagram corresponding to the dimensionality determined by the multiple access codebook sets with different column weights and then sends the data from the resource mapped by the constellation point determined by the constellation diagram, so that the demodulation performance of the resource constellation point mapped by the constellation point used by the sending end for sending the data is more suitable for the data to be transmitted.
In the embodiment of the present invention, the transmitting end may also select at least one column of codebook from a partial column of the multiple access codebook set corresponding to the current modulation mode to determine the dimensionality corresponding to the multidimensional constellation, and since the dimensionality corresponding to the constellation is determined in the partial column of the multiple access codebook set, the utilization rate of resources may be improved.
In some specific implementations, when transmitting data from resources mapped in a constellation diagram corresponding to the dimension, the transmitting end transmits the data according to the allocated transmission power, and the transmission power is allocated for the transmitting end or for the resources.
In the embodiment of the invention, the corresponding sending power is distributed in advance according to the actual transmission condition of the resource or the terminal, and the sending end sends data according to the distributed sending power, so that the data sending mode of the sending end is more flexible.
In some specific implementations, when the sending end is a network side device, if the network side device selects the same column of codebooks for different terminals, before the sending end sends data from the resources mapped by the constellation corresponding to the dimensionality, the constellation corresponding to the different terminals needs to be rotated, so as to ensure that the constellation of the different terminals are different, and then the data is sent from the resources mapped by the constellation corresponding to the rotated dimensionality.
In some specific implementations, when the transmitting end is a terminal, if different terminals select the same column of codebooks, before the transmitting end transmits data from the resources mapped by the constellation diagram corresponding to the dimensionality, the constellation diagram corresponding to the dimensionality needs to be rotated, and then the data is transmitted from the resources mapped by the constellation diagram corresponding to the rotated dimensionality.
In the embodiment of the invention, when the terminal sending data by the sending end selects the same column of codebook, the constellation diagrams of different terminals are rotated by an angle, so that the constellation diagrams of different terminals are different, further differentiation of different terminals on the constellation diagrams is realized, and the demodulation performance is improved.
In the embodiment of the present invention, when a terminal or a network device that transmits data at a transmitting end selects the same column of codebooks, the transmitting end rotates the angle of the constellation diagrams corresponding to the dimensionalities to make the constellation diagrams corresponding to the dimensionalities different, thereby further distinguishing the constellation diagrams, and thus improving the demodulation performance.
In a second aspect, after a transmitting end transmits data, a receiving end selects at least one column of codebooks from a multiple access codebook set corresponding to a current modulation mode, and for any selected column of codebooks, the receiving end determines corresponding dimensions according to the one column of codebooks, further determines a constellation diagram corresponding to the dimensions from a multidimensional constellation diagram set, and receives data from resources mapped by the constellation diagram corresponding to the dimensions.
The multi-access codebook set is determined by a multi-dimensional constellation set and a multi-access pattern set, the multi-access pattern set is determined by a resource mapping pattern matrix, the resource mapping pattern matrix is used for representing various arrangement modes of positions of the modulation symbols appearing on resources, the resource mapping pattern matrix is used for determining that the measure among constellation points in the multi-dimensional constellation set of the multi-codebook set is maximized, and the multi-dimensional constellation set comprises a plurality of constellations with different dimensions.
In the embodiment of the invention, when a receiving end receives transmitted data, an adopted multiple access pattern set is determined by a resource mapping pattern matrix for representing the position of a modulation symbol on allocated resources, so that the formed multiple access pattern set is in unequal column weight, and then multiple access codebook sets of the receiving end and the transmitting end are determined by the unequal column weight multiple access pattern set and a multidimensional constellation diagram, so that diversity degrees of different terminals are different, and the demodulation performance is improved.
In some specific implementations, before the receiving end selects at least one row of codebooks from the multiple access codebook set corresponding to the current modulation scheme, the receiving end needs to notify the terminal of the positions of the modulation symbols appearing on the resources, determine the multiple access pattern set according to the positions of the modulation symbols appearing on the resources, and determine the multiple access codebook set corresponding to the current modulation scheme according to the current modulation scheme, the multi-dimensional constellation set, and the multiple access pattern set.
In the embodiment of the invention, the receiving end determines the multiple access codebook set corresponding to the current modulation mode according to the current modulation mode, the multidimensional constellation set and the multiple access pattern set, and the multiple access pattern set is determined according to the position of the modulation symbol on the resource and is the multiple access pattern set with unequal column weights, so that the demodulation performance is improved.
In some specific implementations, the receiving end transmits data according to the allocated receiving power when receiving data from the resources mapped in the constellation corresponding to the dimension, and the receiving power is allocated to the receiving end or to the resources.
In the embodiment of the invention, the corresponding receiving power is distributed in advance according to the actual transmission condition of the resource or the terminal, and the receiving end receives the data according to the distributed sending power, so that the data receiving mode of the receiving end is more flexible.
In some specific implementations, when the sending end is a network side device, if the network side device selects the same column of codebooks for different terminals, before the receiving end receives data from resources mapped in constellation diagrams corresponding to the dimensionalities, the constellation diagrams corresponding to the different terminals need to be rotated, so as to ensure that the constellation diagrams of the different terminals are different, and then the data is received from the resources mapped in the rotated constellation diagrams.
In some specific implementations, when the transmitting end is a terminal, if different terminals select the same column of codebooks, before the receiving end transmits data from the resources mapped in the constellation diagram corresponding to the dimensionality, the constellation diagram corresponding to the dimensionality needs to be rotated, and then the data is received from the resources mapped in the constellation diagram after the rotation.
In the embodiment of the invention, when the terminal sending data by the sending end selects the same row of codebooks, the receiving end rotates the constellation diagrams corresponding to the dimensionalities of different terminals in an angle manner, so that the constellation diagrams corresponding to the dimensionalities of different terminals are different, further distinguishing of different terminals on the constellation diagrams is realized, and the demodulation performance is improved.
In a third aspect, an embodiment of the present invention provides a device for data transmission, including: a processor and a transceiver, the device having functionality to implement the embodiments of the first aspect described above.
In a fourth aspect, an embodiment of the present invention further provides a device for data transmission, including: a processor and a transceiver, the device having functionality to implement the embodiments of the second aspect described above.
In addition, for technical effects brought by any one implementation manner of the third aspect and the fourth aspect, reference may be made to technical effects brought by different implementation manners of the first aspect and the second aspect, and details are not described here.
In a fifth aspect, an embodiment of the present invention further provides a device for data transmission, where the device includes: at least one processing unit and at least one memory unit, wherein the memory unit stores program code which, when executed by the processing unit, causes the processing unit to perform the steps of the first aspect; or performing the steps of the second aspect.
In a sixth aspect, an embodiment of the present invention provides a further computer-readable storage medium, which includes program code for causing a computing device to perform the steps of the first aspect when the program code runs on the computing device; or performing the steps of the second aspect.
These and other aspects of the present application will be more readily apparent from the following description of the embodiments.
Drawings
In order to more clearly illustrate the technical solutions in the embodiments of the present invention, the drawings needed to be used in the description of the embodiments will be briefly introduced below, and it is obvious that the drawings in the following description are only some embodiments of the present invention, and it is obvious for those skilled in the art to obtain other drawings based on these drawings without inventive exercise.
FIG. 1 is a diagram of the multiple access scheme turbo processing and symbol level processing of a prior art SCMA;
fig. 2 is a schematic diagram of a constellation diagram in an M-QAM (Quadrature Amplitude Modulation) Modulation scheme;
FIG. 3 is a schematic diagram of a three-dimensional constellation diagram according to an embodiment of the present invention;
FIG. 4 is a flow chart of a multiple access codebook set generated by a two-dimensional constellation diagram repetition manner according to an embodiment of the present invention;
FIG. 5 is a flow chart of a multi-access codebook set generated by a multi-dimensional constellation diagram repetition manner according to an embodiment of the present invention;
FIG. 6 is a system diagram of data transmission according to an embodiment of the present invention;
FIG. 7 is a schematic diagram of a six-dimensional constellation according to an embodiment of the present invention;
fig. 8 is a schematic structural diagram of a transmitting end according to an embodiment of the present invention;
FIG. 9 is a schematic structural diagram of a receiving end according to an embodiment of the present invention;
fig. 10 is a schematic structural diagram of another transmitting end according to an embodiment of the present invention;
fig. 11 is a schematic structural diagram of another receiving end according to an embodiment of the present invention;
fig. 12 is a schematic structural diagram of data transmission according to an embodiment of the present invention.
Detailed Description
In order to make the objects, technical solutions and advantages of the present invention clearer, the present invention will be described in further detail with reference to the accompanying drawings, and it is apparent that the described embodiments are only a part of the embodiments of the present invention, not all of the embodiments. All other embodiments, which can be derived by a person skilled in the art from the embodiments given herein without making any creative effort, shall fall within the protection scope of the present invention.
In the embodiment of the invention, when data transmission is carried out, a transmitting end selects at least one column of codebook from a multi-address codebook set, and determines a constellation diagram corresponding to the dimensionality from the multi-dimensional constellation diagram set according to the dimensionality corresponding to the selected column of codebook aiming at any selected column of codebook; the sending end sends data through the resources mapped by the constellation diagram corresponding to the dimensionality, the receiving end determines at least one column in a multiple access codebook set, and determines the constellation diagram corresponding to the dimensionality from the multidimensional constellation diagram set according to the dimensionality corresponding to the selected one column of codebook aiming at any one selected column of codebook, and the sending end sends data through the resources mapped by the constellation diagram corresponding to the dimensionality. In the implementation of the invention, the multiple access pattern set is determined by the resource mapping pattern matrix for representing the position of the modulation symbol on the allocated resource, so that the formed multiple access pattern set is unequal in column weight, and then the multiple access codebook sets of the receiving end and the transmitting end are determined by the unequal column weight multiple access pattern set and the multidimensional constellation, so that the diversity degree of different terminals is different, and the demodulation performance is improved.
The following embodiment of the present invention describes a data transmission method in detail.
In the embodiment of the present invention, the multiple access codebook set is determined by the multi-dimensional constellation set and the multiple access pattern set, so the multiple access pattern set and the multi-dimensional constellation set need to be determined first.
The embodiment of the invention provides a method for determining a multiple access pattern set, which comprises the following steps:
for example, when the number of resources of 15 terminals is 4, the resource mapping pattern matrix S (4 rows and 15 columns) is as follows:
Figure BDA0001574614350000081
it can be seen from the matrix S that there are two expression manners of "1" and "0", where "1" in the matrix S represents a position where the modulation symbol occupies the resource, and "0" represents a position where the modulation symbol does not occupy the resource, and when the modulation symbol occupies 4 resources, the modulation symbol occupies the position of the resource (i.e. there are 4 "1") only
Figure BDA0001574614350000082
In this case, when the modulation symbol occupies 3 resources, the modulation symbol occupies the resource (i.e. there are 3 "1") at the position where the modulation symbol occupies the resource
Figure BDA0001574614350000083
And
Figure BDA0001574614350000084
in the four cases, when the modulation symbol occupies 2 resources, there are cases where the modulation symbol occupies the resource (there are 2 "1 s")
Figure BDA0001574614350000085
Figure BDA0001574614350000086
And
Figure BDA0001574614350000087
in the six cases, when the modulation symbol occupies 1 resource, the position where the modulation symbol occupies the resource (there are 1 ") has
Figure BDA0001574614350000088
And
Figure BDA0001574614350000089
in the four cases, the resource mapping pattern matrix S can be obtained by unifying the positions of the modulation symbols which may occupy the resource into one set S.
As can be seen from the above example, when the values of the resource number N are different, the situations where the modulation symbols occupy the resource are also different, and thus the matrix S is also different, but the matrix S can reflect all the arrangement modes no matter how many situations occur when the modulation symbols occupy the resource no matter how many values of N are.
Based on this, a resource mapping pattern matrix from modulation symbols to resources can be constructed according to multiple arrangement modes of resource positions occupied by modulation symbols, for example, when the number of resources is N, a resource mapping pattern matrix S from modulation symbols to resources can be constructed according to multiple arrangement modes of resource positions occupied by modulation symbols as follows:
Figure BDA0001574614350000091
where i represents the number of occurrences of a "1" in each column of the matrix S, the number of rows of the matrix S is determined by the number of resources N, and the allocation of resources includes, but is not limited to, some or all of the following:
pre-configured allocated resources, semi-dynamically allocated resources, or dynamically allocated resources.
Here, the pre-configuration (i.e. static configuration) refers to resources allocated by RRC (Radio Resource Control) signaling; the semi-dynamic allocation of resources refers to resources allocated by MAC-CE (MAC Control Element) signaling; the semi-dynamically allocated resource refers to a resource that is signaled to be allocated by L1, and may be, for example, DCI (Downlink Control Information)/UCI (Uplink Control Information) signaling.
The resource in the embodiment of the present invention may be a physical resource or a virtual resource.
When the resource is a physical resource, the resource may be a time domain physical resource or a frequency domain physical resource; when the resources are virtual resources, after different terminals perform multiple access preprocessing, the virtual resources need to be mapped onto the physical resources in some way, for example, the virtual resources are mapped onto the physical resources in an interleaving processing way common to the cells.
Correspondingly, after a resource mapping pattern matrix is constructed according to all possible positions of resources occupied by modulation symbols, at least one multiple access pattern set required to be used by the terminal for transmitting data is determined from the constructed resource mapping pattern matrix according to the resources of the terminal.
For example, when the resources of 15 terminals are 4 resources, one multiple access pattern set used for determining data transmission from the resource mapping pattern matrix is as follows:
Figure BDA0001574614350000101
the multiple access pattern set here is 4 rows and 15 columns selected from the resource mapping pattern matrix, and includes all possible positions where the modulation symbol occupies the resource, for example, only the first column of all possible positions where the modulation symbol occupies 4 resources.
In the embodiment of the invention, the multi-access codebook set is determined by the multi-dimensional constellation set and the multi-access pattern set, so after the multi-access pattern set is determined, the multi-dimensional constellation set also needs to be determined.
The constellation diagram shown in fig. 2 is a distribution diagram of signal vector end points, and in a general case, the constellation diagram may be used to describe a signal space distribution state of an M-QAM signal, and M-QAM modulation schemes with different performances may be obtained by optimally designing the constellation diagram of the M-QAM signal.
The MQAM signal constellation diagram has three types, namely a circular constellation diagram, a non-uniform circular constellation diagram and a rectangular constellation diagram.
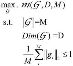
The multidimensional constellation set here is a multidimensional constellation set containing M constellation points under the constraint of a measure M, and the measure M between the constellation points in the multidimensional constellation set is maximized, given the dimension D. Wherein the generation of a certain dimension constellation in the multidimensional constellation can be obtained by solving the following optimization problem:
Figure BDA0001574614350000111
wherein G represents a certain dimension constellation diagram in the multidimensional constellation diagram set, D represents the maximum latitude of the constellation diagram contained in the multidimensional constellation diagram set, M represents the number of constellation points in the multidimensional constellation diagram set, and the ith constellation point in the multidimensional constellation diagram set is represented as Gi
The metric m may be a metric such as mutual information between sets of multidimensional constellations of a transmitting end and a receiving end or a product of euclidean distances between different constellation points under a certain channel, any quantization parameter which can satisfy the maximization of the metric may be used as the metric, and the given dimension D refers to the maximum dimension of a constellation included in the sets of multidimensional constellations.
As shown in fig. 3, for example: when the measure M is defined as the product of euclidean distances between every two different constellation points, and the maximum dimension D of the multidimensional constellation set is 3, the number M of constellation points in the multidimensional constellation set is 4 (i.e. the modulation order is log)2M2) in the case of a multidimensional constellation
Figure BDA0001574614350000112
Is D ═33-dimensional constellation(s)k(d)=αk(d)exp(jθk(d))=ak(d)+jbk(d)The middle imaginary part is 0, i.e. bk(d)0). And after the configuration parameters are known, the 3-dimensional constellation diagram can be obtained by solving the optimization problem
Figure BDA0001574614350000113
The constellation points of the 4 QPSK (Quadrature Phase Shift key) modulations are respectively: p1 (-0.5, -0.5,0.5), p2 (-0.5,0.5,0.5), p3 (-0.5,0.5, -0.5), p4 (-0.5, -0.5, -0.5), the positions of which are shown in fig. 3.
It should be noted that the multidimensional constellation set includes a plurality of dimensional constellations, such as a two-dimensional constellation, a three-dimensional constellation, and a four-dimensional constellation …, and if the maximum dimension is eight, the multidimensional constellation set starts from the two-dimensional constellation and goes to the eight-dimensional constellation.
Here, it should be noted that: since the multiple access pattern set is determined based on the resource mapping pattern matrix according to the allocated resource N and the terminal using the resource, and the first multidimensional constellation in the embodiment of the present invention only needs to satisfy the maximization of the measure m, it can be seen that the multiple access pattern set and the multidimensional constellation set in the embodiment of the present invention do not have any association, and thus the multiple access pattern set and the multidimensional constellation set are designed independently.
The embodiment of the invention can generate a multiple access codebook set according to the multidimensional constellation set and the multiple access pattern set.
In implementation, the number of rows and columns of the multiple access pattern set needs to be determined, then, constellation points included in the multiple access pattern set can be determined from constellation points including different dimensions in the multiple access pattern set according to a modulation mode, and a codeword of each column in the multiple access pattern set is determined according to the constellation points included in the multiple access pattern set, wherein the multiple access pattern set has a mode of jointly determining each column of codewords in the multiple access pattern set on a multiple-dimensional constellation diagram or a mode of determining each column of codewords in the multiple access pattern set by a two-dimensional constellation diagram.
For example, when the multidimensional M-QAM modulation is used, after constellation points included in the multiple access pattern set are determined from constellation points including different dimensions in the multidimensional constellation set according to the multidimensional M-QAM modulation, constellation points of each column of codewords in the multiple access pattern set may be mapped from M log2(M) bits in a gray or non-gray mapping manner, where gray mapping is M bits corresponding to any two adjacent constellation points, and only 1 bit is different.
The adopted modulation mode is not limited to the multi-dimensional M-QAM modulation mode, but may be QPSK, 16QAM, 64QAM, and other modulation modes.
Because the multi-dimensional constellation map set has a way of jointly determining a constellation point set on the multi-dimensional constellation map or a way of determining a constellation point set by a two-dimensional constellation map, the generated multiple access codebook sets are different.
When the multidimensional constellation map set is in a mode of jointly determining a constellation point set on the multidimensional constellation map, the coordinate points of each column of codebooks in the generated multiple access codebook set are different, and when the multidimensional constellation map set is in a mode of jointly determining a constellation point set on the two-dimensional constellation map, the coordinate points of each column of codebooks in the generated multiple access codebook set are the same.
How to perform multiple access codebook collection according to the above method is further described by the following embodiments:
example 1: a set of multiple access codebooks generated by a two-dimensional constellation diagram repetition mode:
as shown in fig. 4, when the resources allocated for 15 terminals are 4 resources as an example:
step 400, firstly, obtaining N rows (4 rows and 15 columns in the present embodiment) according to the value of N in the resource mapping pattern matrix S to obtain and form a multiple access pattern set;
step 401, determining constellation points included in a multiple access pattern set from two-dimensional constellation points included in a multi-dimensional constellation set;
step 402, determining a codeword of each column in the multiple access pattern set according to the two-dimensional constellation points included in the multiple access pattern set, where the multiple access codebook set formed at this time is as follows:
Figure BDA0001574614350000131
wherein the specific coordinate point of the code word of each column in the multiple access codebook set is represented by sk=αk exp(jθk)=ak+jbkDetermination of thetakDenotes an angle, αkRepresents the amplitude, akRepresenting real part coefficients, bkRepresenting the imaginary coefficients.
Because the constellation point of the codebook in the multiple access codebook set is determined by the two-dimensional constellation map in the multi-dimensional constellation map set, the coordinate points obtained at the positions where the modulation symbols in each column of the codebook in the multiple access codebook set occupy the resources are the same.
For example, the positions where the modulation symbols occupy the resource in the third column are the first row, the second row and the third row, and thus the codebook coordinates of the first row, the second row and the third row in the third column are s3=α3exp(jθ3)=a3+jb3
Example 2: jointly determining a multiple access codebook set generated by a constellation point set on the multidimensional constellation diagram:
as shown in fig. 5, taking the case of multiplexing 15 users on 4 resources as an example:
step 500, obtaining N rows (4 rows and 15 columns in the present embodiment) according to the value of N in the resource mapping pattern matrix S to obtain 4 rows and 15 columns to form a multiple access pattern set;
step 501, determining constellation points included in a multi-access pattern set from multi-dimensional constellation points included in a multi-dimensional constellation set;
step 502, determining a codeword of each column in the multiple access pattern set according to the multidimensional constellation points included in the multiple access pattern set, where the multiple access codebook set formed at this time is as follows:
Figure BDA0001574614350000141
wherein the specific coordinate point of the code word of each column in the multiple access codebook set is represented by sk(d)=αk(d)exp(jθk(d))=ak(d)+jbk(d)Determination of thetak(d)Denotes an angle, αk(d)Represents the amplitude, ak(d)Representing real part coefficients, bk(d)Representing the imaginary coefficients.
Because the constellation points of the codebooks in the multi-access codebook set are determined by the multi-dimensional constellation map in the multi-dimensional constellation map set, the coordinate points obtained at the positions where the modulation symbols in each column of codebooks in the multi-access codebook set occupy the resources are different.
For example, the positions where the modulation symbols occupy the resource in the third column are the first row, the second row and the third row, and thus the codebook coordinate of the first row in the third column is s3(1)=α3(1)exp(jθ3(1))=a3(1)+jb3(1)The second row has a codebook coordinate of s3(2)=α3(2)exp(jθ3(2))=a3(2)+jb3(2)Third row of codebook coordinates s3(3)=α3(3)exp(jθ3(3))=a3(3)+jb3(3)
Correspondingly, after the multiple access codebook set is completed, the binding relationship between the multiple access codebook set and the modulation mode and the multiple access codebook set are configured in advance at the transmitting end and the receiving end for data transmission.
Based on this, as shown in fig. 6, an embodiment of the present invention provides a system for data transmission, where the system includes:
a transmittingend 600, configured to select at least one row of codebooks from a multiple access codebook set corresponding to a current modulation scheme, where the multiple access codebook set is determined by a multidimensional constellation set and a multiple access pattern set, the multiple access pattern set is determined by a resource mapping pattern matrix, and the resource mapping pattern matrix is used to represent multiple arrangement schemes of positions where modulation symbols appear on allocated resources; the multidimensional constellation set comprises a plurality of constellations with different dimensionalities; aiming at any selected column of codebooks, a sending end determines a constellation diagram corresponding to the dimensionality from a multidimensional constellation diagram set according to the dimensionality corresponding to the selected column of codebooks; and the sending end sends data through the resources mapped by the constellation diagram corresponding to the dimensionality.
A receivingend 601, configured to determine at least one row of codebooks in a multiple access codebook set corresponding to a current modulation method; wherein the multiple access codebook set is determined by a multi-dimensional constellation set and a multiple access pattern set, the multiple access pattern set is determined by a resource mapping pattern matrix, and the resource mapping pattern matrix is used for representing multiple arrangement modes of positions of modulation symbols appearing on allocated resources; aiming at any column of codebook, the multidimensional constellation set comprises a plurality of constellations with different dimensionalities; aiming at any selected column of codebooks, the sending end determines a constellation diagram corresponding to the dimensionality from a multidimensional constellation diagram set according to the dimensionality corresponding to the selected column of codebooks; and the receiving end sends data through the resources mapped by the constellation diagram corresponding to the dimensionality.
When data needs to be transmitted, the transmitting end determines a multiple access codebook set according to a preset current modulation mode, a multi-dimensional constellation diagram and a multiple access pattern set. At least one column of codebook is then selected from the set of multi-address codebooks. The method for determining the multiple access codebook set is determined according to the position of the modulation symbol appearing on the resource when the multiple access pattern set is collected, and is not described herein again.
However, when the transmitting end is a terminal, before the transmitting end determines the multiple access pattern set according to the position of the modulation symbol on the resource, which is notified by the network side device, needs to be received, and then the multiple access pattern set is determined according to the position of the modulation symbol on the resource.
When the network side device notifies the position of the modulation symbol on the resource to the terminal, it needs to allocate according to the actual modulation symbol and resource situation of different terminals, for example, the position of the modulation symbol of terminal a on the resource is a, and the position of the modulation symbol of terminal B on the resource is B. When the network side equipment informs the terminal of the position of the modulation symbol on the resource, the terminal A is informed of a, and the terminal B is informed of B.
Correspondingly, after selecting at least one row of codebooks from the multi-address codebook set, the sending end selects the dimensionalities corresponding to the at least one row of codebooks from the selected codebooks, determines the constellation diagrams corresponding to the dimensionalities from the multi-dimensional constellation diagram set, and sends data through the resources mapped by the constellation diagrams corresponding to the dimensionalities.
In practice, the dimension of the multidimensional constellation used by each terminal is determined by the codebook in the multiple access codebook set, i.e. the dimension of the constellation used by the k-th user is determined by the dimension in the multiple access codebook set
Figure BDA0001574614350000161
And (4) determining. For example, as shown in fig. 7, the transmitting end, according to the current multiple access codebook set, is:
Figure BDA0001574614350000162
the 3rd terminal is the 3rd column codebook in the multiple access codebook set
Figure BDA0001574614350000163
The sending end determines that the dimensionality of the constellation diagram used by the 3rd terminal is 6 dimensions according to the 3rd column codebook.
And when the sending confirms that the dimensionality of the multidimensional constellation diagram used by the 3rd terminal is 6 dimensions, determining the constellation diagram corresponding to the dimensionality from the preconfigured multidimensional constellation diagram set, and then sending data through the resources mapped by the constellation diagram corresponding to the dimensionality.
For example, as shown in fig. 3, if the sending end determines that the dimensionality of the multidimensional constellation used by the 3rd terminal is 3 dimensions according to the 3rd column codebook, at this time, 4 constellation points included in the three-dimensional constellation are shown as black points shown in fig. 3.
However, when the multiple access codebook set is generated in a repeated manner by using a two-dimensional constellation, the dimension of the multidimensional constellation used by each terminal can be determined by one codebook coordinate in the codebook in the multiple access codebook set where the dimension is located, that is, the dimension of the constellation used by the kth user is determined by s in the multiple access codebook setkAnd (4) determining.
For example, the sending end is, according to the current multiple access codebook set:
Figure BDA0001574614350000171
the 3rd terminal is in the 3rd column codebook in the multiple access codebook set
Figure BDA0001574614350000172
The transmitting end is according to s in the 3rd column codebook3It can be determined that the dimension of the multidimensional constellation used by the 3rd terminal is 2-dimensional.
And when the 3rd terminal uses the multidimensional constellation diagram with the dimensionality of 2 dimensions, determining the constellation diagram corresponding to the dimensionality from the preconfigured multidimensional constellation diagram set, and then sending data through the resources mapped by the constellation diagram corresponding to the dimensionality.
The transmitting end may also select at least one column of the codebook from partial columns of the currently determined multiple access codebook set.
For example, the current multiple access codebook set of the transmitting end is 15 columns, and the terminal needing to transmit data has only 6 persons, so the transmitting end can select at least one codebook from the first 6 columns in the multiple access codebook set.
After the sending end determines the constellation diagram of the corresponding dimensionality, a constellation point can be determined from the constellation diagram according to the data to be transmitted, and the data is sent according to the distributed sending power from the resource mapped by the determined constellation point.
The transmission power is allocated to the transmitting end or allocated to the resource, that is, the network side device allocates the transmission power to the transmitting end according to the terminal that needs to transmit data and the existing resource, and the specific allocation manner is not limited in the embodiments of the present invention.
For example, the network side device allows the sending end to send according to the respective maximum sending power of all terminals, or the network side device performs equal power allocation, or allocates a smaller power that can satisfy the QoS (Quality of Service) requirement to a terminal close to the base station, and allocates a larger power to a terminal far from the base station, and so on.
However, here, it should be noted that: when a sending end is a terminal, the situation that different terminals select the same row of codebooks can occur, at this time, the sending end needs to obtain an optimized rotation angle for a constellation diagram corresponding to dimensionality according to a measure maximization criterion, and the optimized rotation angle is obtained through the measure maximization criterion
Figure BDA0001574614350000181
And performing angle rotation, and transmitting data from the resource mapped by the rotated multidimensional constellation diagram.
Similarly, when the sending end is a network side device, it may also occur that the network side device selects the same row of codebooks for different terminals, and at this time, the sending end also needs to obtain an optimized rotation angle for constellation diagrams corresponding to different terminal dimensions according to a maximized criterion, and the optimized rotation angle is obtained by the constellation diagrams through the maximization criterion
Figure BDA0001574614350000182
And rotating and transmitting data from the resources mapped in the rotated multidimensional constellation.
In the embodiment of the invention, when the terminal sending data by the sending end selects the same column of codebooks, the constellation diagrams corresponding to different terminal dimensions are subjected to angle rotation so as to enable the constellation diagrams of different terminals to be different, thereby further distinguishing different terminals on the constellation diagrams and improving the demodulation performance.
Correspondingly, after the transmitting end transmits data from the resource mapped by the constellation point, the receiving end may receive the data in two ways, one way is that the receiving end knows which row of the multiple access codebook set is selected when the transmitting end transmits the data, and the other way is that the receiving end does not know which row of the multiple access codebook set is selected when the transmitting end transmits the data.
Firstly, the receiving end knows which list of the multiple access codebook set selected when the transmitting end transmits data:
after a transmitting end transmits data from a resource mapped by a constellation point, a receiving end determines a multiple access codebook set corresponding to a modulation mode according to a current modulation mode, a multidimensional constellation diagram and a multiple access pattern set, wherein the specific determination method is the method for determining the multiple access codebook set, which is not repeated here, and then at least one row of codebooks are selected from the multiple access codebook set.
Wherein the set of multiple access patterns is determined according to where modulation symbols occur on the resource.
However, when the receiving end is a network side device, before the receiving end determines the multiple access pattern set according to the position of the modulation symbol appearing on the resource, the receiving end needs to notify the terminal of the position of the modulation symbol appearing on the resource, and then determine the multiple access pattern set according to the position appearing on the resource.
When the network side device notifies the position of the modulation symbol on the resource to the terminal, it needs to allocate according to the actual modulation symbol and resource situation of different terminals, for example, the position of the modulation symbol of terminal a on the resource is a, and the position of the modulation symbol of terminal B on the resource is B. When the network side equipment informs the terminal of the position of the modulation symbol on the resource, the terminal A is informed of a, and the terminal B is informed of B.
For any selected column of codebooks, the receiving end determines the corresponding dimension according to the column of codebooks, and determines the constellation diagram corresponding to the dimension from the multidimensional constellation diagram set, wherein the specific determination method is the same as the method for determining the constellation diagram corresponding to the dimension, which is not repeated herein, and then receives data through the constellation diagram corresponding to the dimension.
After the receiving end determines the constellation diagram of the corresponding dimensionality, a constellation point can be determined from the corresponding constellation diagram according to the data to be transmitted, and the data is received from the resource mapped by the determined constellation point according to the distributed receiving power.
The receiving power is allocated for the sending end or allocated for the resource, that is, the network side device allocates the receiving power for the receiving end according to the terminal that needs to receive data and the existing resource, and the specific allocation manner is the same as that of the sending end, which is not described herein again.
Secondly, the receiving end does not know which list of the multiple access codebook set is selected when the transmitting end transmits data:
the receiving end determines the multiple access codebook set corresponding to the modulation mode according to the current modulation mode, the multidimensional constellation diagram and the multiple access pattern set, and the specific determination method is the method for determining the multiple access codebook set, which is not repeated herein.
Wherein the set of multiple access patterns is determined according to where modulation symbols occur on the resource.
However, when the receiving end is a network side device, before the receiving end determines the multiple access pattern set according to the position of the modulation symbol appearing on the resource, the receiving end needs to notify the terminal of the position of the modulation symbol appearing on the resource, and then determine the multiple access pattern set according to the position appearing on the resource.
When the network side device notifies the position of the modulation symbol on the resource to the terminal, it needs to allocate according to the actual modulation symbol and resource situation of different terminals, for example, the position of the modulation symbol of terminal a on the resource is a, and the position of the modulation symbol of terminal B on the resource is B. When the network side equipment informs the terminal of the position of the modulation symbol on the resource, the terminal A is informed of a, and the terminal B is informed of B.
Then selecting at least one row of codebooks from the multi-address codebook set, then selecting each row of codebooks from the multi-address codebook set to determine the corresponding dimensionality, determining the constellation map degrees of all the corresponding dimensionalities from the multi-dimensional constellation map set, comparing the constellation map degrees of all the corresponding dimensionalities with the constellation map degrees of the corresponding dimensionalities used when the sending end sends data, and determining a constellation point from the same multi-dimensional constellation map according to the data to be received after finding the same multi-dimensional constellation map; and receiving data from the resources mapped by the constellation points according to the received power.
The receiving power is allocated for the transmitting end or for the resource, that is, the network side device allocates the receiving power for the receiving end according to the terminal that needs to receive data and the existing resource, and the specific allocation manner is the same as that of the transmitting end, which is not described herein again.
Here, it should be further noted that, when the transmitting end is a terminal, and different terminals select the same column of codebooks, and the transmitting end performs angle rotation on the constellation diagram corresponding to the dimensionality, at this time, the receiving end also needs to perform angle rotation on the constellation diagram corresponding to the dimensionality, which is the same as the angle of the transmitting end, and receive data from resources mapped in the rotated constellation diagram.
Similarly, when the sending end is a network side device, the network side device may select the same column of codebooks for different terminals, and the sending end performs angle rotation on the constellation diagrams corresponding to different terminals, and at this time, the receiving end also needs to perform angle rotation, which is the same as that of the sending end, on the constellation diagrams corresponding to the dimensionalities, and receive data from resources mapped in the rotated multidimensional constellation diagrams.
As shown in fig. 8, an embodiment of the present invention provides a device for data transmission, where the device includes:processor 800 and transceiver 801:
aprocessor 800, configured to select at least one row of codebooks from a multiple access codebook set corresponding to a current modulation scheme, where the multiple access codebook set is determined by a multidimensional constellation set and a multiple access pattern set, and the multiple access pattern set is determined by a resource mapping pattern matrix, where the resource mapping pattern matrix is used to represent multiple arrangement schemes of positions where modulation symbols appear on resources; the multidimensional constellation set comprises a plurality of constellations with different dimensionalities; aiming at any selected column of codebooks, determining a constellation diagram corresponding to the dimensionality from the multidimensional constellation diagram set according to the dimensionality corresponding to the selected column of codebooks; and sending data through the resources mapped by the constellation diagram corresponding to the dimensionality.
Optionally, the measure between constellation points in the multidimensional constellation set is maximized.
Optionally, theprocessor 800 is further configured to:
before selecting at least one row of codebooks from a multiple access codebook set corresponding to the current modulation mode, determining a multiple access pattern set according to the positions of modulation symbols appearing on resources; and determining the multiple access codebook set corresponding to the modulation mode according to the current modulation mode, the multidimensional constellation diagram and the multiple access pattern set.
Optionally, theprocessor 800 is further configured to:
if the sending end is a terminal; before determining the multiple access pattern set according to the position of the modulation symbol on the resource, determining the position of the modulation symbol on the resource, which is notified by the network side equipment.
Optionally, theprocessor 800 is specifically configured to:
determining a constellation point from the constellation diagram corresponding to the dimensionality according to the data to be transmitted; and transmitting data from the resources mapped by the constellation points.
Optionally, theprocessor 800 is specifically configured to:
at least one codebook is selected from partial columns of a multiple access codebook set corresponding to the current modulation mode.
Optionally, theprocessor 800 is specifically configured to:
transmitting data through thetransceiver 801 according to the allocated transmission power from the resources mapped by the constellation diagram corresponding to the dimensionality; here, the transmission power is allocated for the transmitting end or for the resource allocation.
Optionally, theprocessor 800 is further configured to:
when the sending end is a terminal, before sending data through the resource mapped by the constellation diagram corresponding to the dimensionality, rotating the constellation diagram corresponding to the dimensionality; and transmitting data from the resource of the constellation mapping corresponding to the dimension after rotation.
Optionally, theprocessor 800 is specifically configured to:
when the sending end is a network side device, if the network side device selects the same column of codebooks for different terminals, before sending data through the resources mapped by the constellation diagrams corresponding to the dimensionality, rotating the constellation diagrams corresponding to the dimensionality so as to enable the constellation diagrams corresponding to the dimensionality to be different; and transmitting data from the resources mapped by the constellation diagram corresponding to the rotated dimension through thetransceiver 801.
As shown in fig. 9, an embodiment of the present invention further provides a device for data transmission, where the device includes: processor 900 and transceiver 901:
the processor is used for determining at least one column of codebooks in a multiple access codebook set corresponding to the current modulation mode; the multi-access codebook set is determined by a multi-dimensional constellation diagram set and a multi-access pattern set, the multi-access pattern set is determined by a resource mapping pattern matrix, and the resource mapping pattern matrix is used for expressing various arrangement modes of positions of modulation symbols appearing on distributed resources; the method comprises the steps that a multi-dimensional constellation set comprises a plurality of constellations with different dimensionalities, and for any one column of codebook, the corresponding dimensionality is determined according to the one column of codebook, and the constellation corresponding to the dimensionality is determined from the multi-dimensional constellation set; data is received by thetransceiver 901 over the constellation corresponding to the dimension.
Optionally, the measure between constellation points in the multidimensional constellation set is maximized.
Optionally, the processor 900 is further configured to:
before selecting at least one row of codebooks from a multiple access codebook set corresponding to the current modulation mode, determining a multiple access pattern set according to the positions of modulation symbols appearing on resources; and determining the multiple access codebook set corresponding to the modulation mode according to the current modulation mode, the multidimensional constellation diagram and the multiple access pattern set.
Optionally, the processor 900 is further configured to:
if the receiving end is a network side device; informing the terminal of the position of the occurrence of the modulation symbol on the resource.
Optionally, the processor 900 is specifically configured to:
receiving data through thetransceiver 901 according to the allocated receiving power from the resources mapped by the constellation corresponding to the dimensionality; wherein the received power is allocated for a receiving end or for a resource.
Optionally, the processor 900 is further configured to:
when the sending end is a terminal, if different terminals select the same row of codebooks, rotating the constellation diagram corresponding to the dimensionality; data is received bytransceiver 901 from the resources mapped by the constellation corresponding to the rotated dimension.
Optionally, the processor 900 is further configured to:
when the sending end is a network side device, if the network side device selects the same row of codebooks for different terminals, the constellation diagrams corresponding to the dimensionality are rotated so as to enable the constellation diagrams corresponding to the dimensionality to be different; data is received bytransceiver 901 from the resources mapped by the constellation corresponding to the rotated dimension.
As shown in fig. 10, an embodiment of the present invention provides a device for data transmission, including:first determination module 1000 and sending module 1001:
a first determiningmodule 1000, configured to select at least one row of codebooks from a multiple access codebook set corresponding to a current modulation scheme, where the at least one row of codebooks is determined by a multidimensional constellation set and a multiple access pattern set, the multiple access pattern set is determined by a resource mapping pattern matrix, and the resource mapping pattern matrix is used to represent multiple arrangement modes of positions where modulation symbols appear on resources; the multidimensional constellation set comprises a plurality of constellations with different dimensionalities;
asending module 1001, configured to determine, for any selected column of codebooks, a constellation diagram corresponding to a dimension from a multidimensional constellation diagram set according to the dimension corresponding to the selected column of codebooks; and sending data through the resources mapped by the constellation diagram corresponding to the dimensionality.
Optionally, the measure between constellation points in the multidimensional constellation set is maximized.
Optionally, the first determiningmodule 1000 is specifically configured to:
before selecting at least one row of codebooks from a multiple access codebook set corresponding to the current modulation mode, determining a multiple access pattern set according to the positions of modulation symbols appearing on resources; and determining the multiple access codebook set corresponding to the modulation mode according to the current modulation mode, the multidimensional constellation diagram and the multiple access pattern set.
Optionally, the first determiningmodule 1000 is specifically configured to:
and before the transmitting end determines the multiple access pattern set according to the position of the modulation symbol on the resource, determining the position of the modulation symbol on the resource, which is notified by the network side equipment.
Optionally, the sendingmodule 1001 is specifically configured to:
and determining a constellation point from a constellation diagram corresponding to the dimensionality according to the data to be transmitted, and then transmitting the data from the resource mapped by the constellation point.
Optionally, the first determiningmodule 1000 is specifically configured to:
at least one column of codebook is selected from partial columns of the multiple access codebook set corresponding to the current modulation mode.
Optionally, the sendingmodule 1001 is specifically configured to:
transmitting data according to the allocated transmission power from the resources mapped by the constellation diagram corresponding to the dimensionality; wherein the transmission power is allocated for a transmission end or for a resource allocation.
Optionally, the sendingmodule 1001 is further configured to:
if the transmitting end is a terminal, if different terminals select the same column of codebooks, before transmitting data from the resources mapped by the constellation diagram corresponding to the dimensionality, the constellation diagram corresponding to the dimensionality needs to be rotated, and the data is transmitted from the resources mapped by the constellation diagram corresponding to the rotated dimensionality.
Optionally, the sendingmodule 1001 is further configured to:
if the transmitting end is a network side device, if the network side device selects the same column of codebooks for different terminals, before sending data from the resources mapped by the constellation diagrams corresponding to the dimensionalities, the constellation diagrams corresponding to the different dimensionalities need to be rotated so that the multidimensional constellation diagrams of the different terminals are different, and the data is sent from the resources mapped by the constellation diagrams corresponding to the rotated dimensionalities.
As shown in fig. 11, an embodiment of the present invention provides a device for data transmission, including: second determiningmodule 1100 and receiving module 1101:
a second determiningmodule 1100, configured to determine at least one row of codebooks in a multiple access codebook set corresponding to a current modulation method; the multi-access codebook set is determined by a multi-dimensional constellation diagram set and a multi-access pattern set, the multi-access pattern set is determined by a resource mapping pattern matrix, and the resource mapping pattern matrix is used for expressing various arrangement modes of positions of modulation symbols appearing on distributed resources; the multidimensional constellation set comprises a plurality of constellations with different dimensionalities;
areceiving module 1101, configured to determine, for any column of codebooks, a corresponding dimension according to the column of codebooks, and determine a constellation corresponding to the dimension from a multidimensional constellation set; and receiving data on the constellation diagram corresponding to the dimensionality.
Optionally, the measure between constellation points in the multidimensional constellation set is maximized.
Optionally, the second determiningmodule 1100 is specifically configured to:
before selecting at least one row of codebooks from a multiple access codebook set corresponding to the current modulation mode, determining a multiple access pattern set according to the positions of modulation symbols appearing on resources; and determining the multiple access codebook set corresponding to the modulation mode according to the current modulation mode, the multidimensional constellation diagram and the multiple access pattern set.
Optionally, the second determiningmodule 1100 is specifically configured to:
and when the receiving end is network side equipment, informing the terminal of the position of the modulation symbol on the resource.
Optionally, thereceiving module 1101 is specifically configured to:
receiving data according to the distributed received power from the resources mapped by the constellation diagram corresponding to the dimensionality; wherein the received power is allocated for a receiving end or for a resource.
Optionally, thereceiving module 1101 is further configured to:
if the transmitting end is a terminal and different terminals select the same column of codebooks, the constellation diagram corresponding to the dimensionality needs to be rotated, and data is received from the resources mapped by the constellation diagram corresponding to the rotated dimensionality.
Optionally, thereceiving module 1101 is further configured to:
if the sending end is a network side device, and the network side device selects the same column of codebooks for different terminals, the constellation diagrams corresponding to the dimensionalities of the different terminals need to be rotated so as to enable the constellation diagrams corresponding to the dimensionalities of the different terminals to be different, and data is received from resources mapped by the constellation diagrams corresponding to the rotated dimensionalities.
As shown in fig. 12, an embodiment of the present invention further provides a device for data transmission, where the device includes: at least oneprocessing unit 1200 and at least onememory unit 1201, wherein thememory unit 1201 stores program code that, when executed by theprocessing unit 1200, causes theprocessing unit 1200 to perform the steps of the transmitting end; or perform steps at the receiving end.
An embodiment of the present invention provides a computer-readable storage medium, which includes program code for causing a computing device to perform the step of transmitting when the program code runs on the computing device; or perform steps at the receiving end.
The present application is described above with reference to block diagrams and/or flowchart illustrations of methods, apparatus (systems) and/or computer program products according to embodiments of the application. It will be understood that one block of the block diagrams and/or flowchart illustrations, and combinations of blocks in the block diagrams and/or flowchart illustrations, can be implemented by computer program instructions. These computer program instructions may be provided to a processor of a general purpose computer, special purpose computer, and/or other programmable data processing apparatus to produce a machine, such that the instructions, which execute via the processor of the computer and/or other programmable data processing apparatus, create means for implementing the functions/acts specified in the block diagrams and/or flowchart block or blocks.
Accordingly, the subject application may also be embodied in hardware and/or in software (including firmware, resident software, micro-code, etc.). Furthermore, the present application may take the form of a computer program product on a computer-usable or computer-readable storage medium having computer-usable or computer-readable program code embodied in the medium for use by or in connection with an instruction execution system. In the context of this application, a computer-usable or computer-readable medium may be any medium that can contain, store, communicate, propagate, or transport the program for use by or in connection with the instruction execution system, apparatus, or device.
It will be apparent to those skilled in the art that various changes and modifications may be made in the present invention without departing from the spirit and scope of the invention. Thus, if such modifications and variations of the present invention fall within the scope of the claims of the present invention and their equivalents, the present invention is also intended to include such modifications and variations.

Claims (30)

Translated fromChinese
1.一种数据传输的方法,其特征在于,该方法包括:1. a method for data transmission, characterized in that the method comprises:发送端从当前的调制方式对应的多址码本集合中选取至少一列码本,其中所述多址码本集合由多维星座图集合和多址图样集合确定,所述多址图样集合是由资源映射图样矩阵确定,所述资源映射图样矩阵用于表示调制符号在资源上出现的位置的多种排列方式;所述多维星座图集合中包含多个不同维度的星座图;所述发送端根据当前的调制方式、所述多维星座图集合和所述多址图样集合确定所述调制方式对应的所述多址码本集合;The transmitting end selects at least one column of codebooks from the multiple-access codebook set corresponding to the current modulation mode, wherein the multiple-access codebook set is determined by a multi-dimensional constellation map set and a multiple-access pattern set, and the multiple-access pattern set is determined by the resource The mapping pattern matrix is determined, and the resource mapping pattern matrix is used to represent various arrangements of the positions where the modulation symbols appear on the resources; the multi-dimensional constellation diagram set includes a plurality of constellation diagrams of different dimensions; The modulation mode, the multi-dimensional constellation diagram set and the multiple access pattern set determined by the modulation mode determine the multiple access codebook set corresponding to the modulation mode;针对选择的任意一列码本,所述发送端根据选择的所述一列码本对应的维度,从所述多维星座图集合中确定所述维度对应的星座图;For any selected column of codebooks, the transmitting end determines, according to the dimension corresponding to the selected column of codebooks, a constellation map corresponding to the dimension from the multi-dimensional constellation map set;所述发送端通过所述维度对应的星座图映射的资源发送数据。The sending end sends data through the resource mapped by the constellation map corresponding to the dimension.2.如权利要求1所述的方法,其特征在于,所述多维星座图集合中的星座点之间测度最大化。2. The method of claim 1, wherein a measure between constellation points in the multi-dimensional constellation set is maximized.3.如权利要求1所述的方法,其特征在于,所述发送端从当前的调制方式对应的多址码本集合中选取至少一列码本之前,还包括:3. The method according to claim 1, wherein before the transmitting end selects at least one column of codebooks from the multiple-access codebook set corresponding to the current modulation mode, the method further comprises:所述发送端为终端;所述发送端确定网络侧设备通知或预配置的调制符号在资源上出现的位置;The sending end is a terminal; the sending end determines where the modulation symbols notified by the network side device or preconfigured appear on the resource;所述发送端根据所述调制符号在资源上出现的位置确定所述多址图样集合。The transmitting end determines the multiple access pattern set according to the position where the modulation symbol appears on the resource.4.如权利要求1所述的方法,其特征在于,所述发送端通过所述维度对应的星座图映射的资源发送数据,包括:4. The method according to claim 1, wherein the sending end sends data through the resource mapped by the constellation map corresponding to the dimension, comprising:所述发送端根据待传数据从所述维度对应的星座图中确定一个星座点;The transmitting end determines a constellation point from the constellation diagram corresponding to the dimension according to the data to be transmitted;所述发送端从所述星座点映射的资源上发送数据。The transmitting end transmits data from the resource mapped by the constellation point.5.如权利要求1所述的方法,其特征在于,所述发送端从当前的调制方式对应的多址码本集合中选取至少一列码本,包括:5. The method of claim 1, wherein the transmitting end selects at least one column of codebooks from the set of multiple access codebooks corresponding to the current modulation mode, comprising:所述发送端从当前的调制方式对应的多址码本集合的部分列中选择至少一列码本。The transmitting end selects at least one column of codebooks from the partial columns of the multiple access codebook set corresponding to the current modulation mode.6.如权利要求1所述的方法,其特征在于,所述发送端通过所述维度对应的星座图映射的资源发送数据,包括:6. The method according to claim 1, wherein the sending end sends data through the resource mapped by the constellation map corresponding to the dimension, comprising:所述发送端从所述维度对应的星座图映射的资源上,根据分配的发送功率发送数据;The transmitting end transmits data according to the allocated transmit power on the resource mapped by the constellation map corresponding to the dimension;其中,所述发送功率是针对发送端分配的或针对资源分配的。Wherein, the transmission power is allocated to the transmitting end or allocated to the resources.7.如权利要求1所述的方法,其特征在于,所述发送端为终端;7. The method of claim 1, wherein the transmitting end is a terminal;所述发送端通过所述维度对应的星座图映射的资源发送数据之前,还包括:Before the sending end sends data through the resource mapped by the constellation map corresponding to the dimension, the method further includes:若不同的终端选择相同的所述一列码本,则所述发送端对所述维度对应的星座图进行旋转;If different terminals select the same column of codebooks, the transmitting end rotates the constellation map corresponding to the dimension;所述发送端通过所述维度对应的星座图映射的资源发送数据,包括:The sending end sends data through the resources mapped by the constellation map corresponding to the dimension, including:所述发送端从旋转后的所述维度对应的星座图映射的资源上发送数据。The transmitting end transmits data from the resource mapped by the constellation map corresponding to the rotated dimension.8.如权利要求1所述的方法,其特征在于,所述发送端为网络侧设备;8. The method of claim 1, wherein the sending end is a network side device;所述发送端通过所述维度对应的星座图映射的资源发送数据之前,还包括:Before the sending end sends data through the resource mapped by the constellation map corresponding to the dimension, the method further includes:若所述网络侧设备为不同的终端选择相同的所述一列码本,则所述发送端对所述维度对应的星座图进行旋转,以使所述维度对应的星座图不同;If the network side device selects the same column of codebooks for different terminals, the transmitting end rotates the constellation diagrams corresponding to the dimensions, so that the constellation diagrams corresponding to the dimensions are different;所述发送端通过所述维度对应的星座图映射的资源发送数据,包括:The sending end sends data through the resources mapped by the constellation map corresponding to the dimension, including:所述发送端从旋转后的所述维度对应的星座图映射的资源上发送数据。The transmitting end transmits data from the resource mapped by the constellation map corresponding to the rotated dimension.9.一种数据传输的方法,其特征在于,该方法包括:9. A method for data transmission, characterized in that the method comprises:接收端确定当前的调制方式对应的多址码本集合中的至少一列码本;其中所述多址码本集合由多维星座图集合和多址图样集合确定,所述多址图样集合是由资源映射图样矩阵确定,所述资源映射图样矩阵用于表示调制符号在分配的资源上出现的位置的多种排列方式;所述多维星座图集合中包含多个不同维度的星座图;所述接收端根据当前的调制方式、所述多维星座图集合和所述多址图样集合确定所述调制方式对应的所述多址码本集合;The receiving end determines at least one column of codebooks in the multiple-access codebook set corresponding to the current modulation mode; wherein the multiple-access codebook set is determined by a multi-dimensional constellation map set and a multiple-access pattern set, and the multiple-access pattern set is determined by a resource Determining a mapping pattern matrix, the resource mapping pattern matrix is used to represent various arrangements of positions where modulation symbols appear on the allocated resources; the multi-dimensional constellation diagram set includes a plurality of constellation diagrams of different dimensions; the receiving end Determine the multiple access codebook set corresponding to the modulation mode according to the current modulation mode, the multi-dimensional constellation diagram set and the multiple access pattern set;针对任意一列码本,所述接收端根据所述一列码本确定对应的维度,从所述多维星座图集合中确定所述维度对应的星座图;For any one column of codebooks, the receiving end determines a corresponding dimension according to the one column of codebooks, and determines a constellation map corresponding to the dimension from the multi-dimensional constellation map set;所述接收端通过所述维度对应的星座图映射的资源接收数据。The receiving end receives data through the resource mapped by the constellation map corresponding to the dimension.10.如权利要求9所述的方法,其特征在于,所述多维星座图集合中的星座点之间测度最大化。10. The method of claim 9, wherein a measure between constellation points in the multi-dimensional constellation set is maximized.11.如权利要求9所述的方法,其特征在于,所述接收端从当前的调制方式对应的多址码本集合中选取至少一列码本之前,还包括:11. The method according to claim 9, wherein before the receiving end selects at least one column of codebooks from the multiple-access codebook set corresponding to the current modulation mode, the method further comprises:所述接收端为网络侧设备;所述接收端通知或预配置终端调制符号在资源上出现的位置;The receiving end is a network side device; the receiving end notifies or preconfigures the position where the terminal modulation symbol appears on the resource;所述接收端根据所述调制符号在资源上出现的位置确定所述多址图样集合。The receiving end determines the multiple access pattern set according to the position where the modulation symbol appears on the resource.12.如权利要求9所述的方法,其特征在于,所述接收端通过所述维度对应的星座图映射的资源接收数据,包括:12. The method according to claim 9, wherein the receiving end receives data through the resource mapped by the constellation map corresponding to the dimension, comprising:所述接收端从所述维度对应的星座图映射的资源上,根据分配的接收功率接收数据;The receiving end receives data according to the allocated received power from the resource mapped by the constellation map corresponding to the dimension;其中,所述接收功率是针对接收端分配的或针对资源分配的。Wherein, the received power is allocated for the receiving end or allocated for the resource.13.如权利要求9所述的方法,其特征在于,发送端为终端;13. The method of claim 9, wherein the transmitting end is a terminal;所述接收端通过所述维度对应的星座图映射的资源接收数据,还包括:The receiving end receives data through the resource mapped by the constellation map corresponding to the dimension, and further includes:若不同的终端选择相同的所述一列码本,则所述接收端对所述维度对应的星座图进行旋转;If different terminals select the same column of codebooks, the receiving end rotates the constellation map corresponding to the dimension;所述接收端通过所述维度对应的星座图映射的资源接收数据,包括:The receiving end receives data through the resource mapped by the constellation map corresponding to the dimension, including:所述接收端从旋转后的所述维度对应的星座图中映射的资源上接收数据。The receiving end receives data from the resources mapped in the constellation map corresponding to the rotated dimension.14.如权利要求9所述的方法,其特征在于,发送端为网络侧设备;14. The method of claim 9, wherein the sending end is a network side device;所述接收端通过所述维度对应的星座图映射的资源接收数据之前,还包括:Before the receiving end receives data through the resource mapped by the constellation map corresponding to the dimension, the method further includes:若所述网络侧设备为不同的终端选择相同的所述一列码本,则所述接收端对所述维度对应的星座图进行旋转,以使所述维度对应的星座图不同;If the network-side device selects the same column of codebooks for different terminals, the receiving end rotates the constellation diagrams corresponding to the dimensions, so that the constellation diagrams corresponding to the dimensions are different;所述接收端通过所述维度对应的星座图映射的资源接收数据,包括:The receiving end receives data through the resource mapped by the constellation map corresponding to the dimension, including:所述接收端从旋转后的所述维度对应的星座图中映射的资源上接收数据。The receiving end receives data from the resources mapped in the constellation map corresponding to the rotated dimension.15.一种数据传输的设备,其特征在于,包括:处理器以及收发机:15. A device for data transmission, comprising: a processor and a transceiver:所述处理器,用于从当前的调制方式对应的多址码本集合中选取至少一列码本,其中所述多址码本集合由多维星座图集合和多址图样集合确定,所述多址图样集合是由资源映射图样矩阵确定,所述资源映射图样矩阵用于表示调制符号在资源上出现的位置的多种排列方式;所述多维星座图集合中包含多个不同维度的星座图;根据当前的调制方式、所述多维星座图集合和所述多址图样集合确定所述调制方式对应的所述多址码本集合;针对选择的任意一列码本,发送端根据选择的所述一列码本对应的维度,从所述多维星座图集合中确定所述维度对应的星座图;所述发送端通过所述维度对应的星座图映射的资源发送数据。The processor is configured to select at least one column of codebooks from the multiple-access codebook set corresponding to the current modulation mode, wherein the multiple-access codebook set is determined by a multi-dimensional constellation map set and a multiple-access pattern set, and the multiple-access codebook set is The pattern set is determined by a resource mapping pattern matrix, and the resource mapping pattern matrix is used to represent various arrangements of the positions where the modulation symbols appear on the resources; the multi-dimensional constellation diagram set includes a plurality of constellation diagrams of different dimensions; The current modulation scheme, the multi-dimensional constellation diagram set, and the multiple access pattern set determine the multiple access codebook set corresponding to the modulation scheme; for any column of codebooks selected, the transmitting end uses the selected column of codes For the corresponding dimension, the constellation map corresponding to the dimension is determined from the multi-dimensional constellation map set; the transmitting end sends data through the resource mapped by the constellation map corresponding to the dimension.16.如权利要求15所述的设备,其特征在于,所述多维星座图集合中的星座点之间测度最大化。16. The apparatus of claim 15, wherein a measure between constellation points in the multi-dimensional constellation set is maximized.17.如权利要求15所述的设备,其特征在于,所述处理器还用于:17. The apparatus of claim 15, wherein the processor is further configured to:若发送端为终端;确定网络侧设备通知或预配置的调制符号在资源上出现的位置;If the sender is a terminal; determine the position where the modulation symbol notified by the network side device or preconfigured appears on the resource;根据所述调制符号在资源上出现的位置确定所述多址图样集合。The set of multiple access patterns is determined based on where the modulation symbols appear on resources.18.如权利要求15所述的设备,其特征在于,所述处理器具体用于:18. The device of claim 15, wherein the processor is specifically configured to:根据待传数据从所述维度对应的星座图中确定一个星座点;从所述星座点映射的资源上发送数据。A constellation point is determined from the constellation map corresponding to the dimension according to the data to be transmitted; data is sent from the resource mapped by the constellation point.19.如权利要求15所述的设备,其特征在于,所述处理器具体用于:19. The device of claim 15, wherein the processor is specifically configured to:从当前的调制方式对应的多址码本集合的部分列中选择至少一列码本。At least one column of codebooks is selected from the partial columns of the multiple-access codebook set corresponding to the current modulation mode.20.如权利要求15所述的设备,其特征在于,所述处理器具体用于:20. The device of claim 15, wherein the processor is specifically configured to:从所述维度对应的星座图映射的资源上,根据分配的发送功率发送数据;其中,所述发送功率是针对发送端分配的或针对资源分配的。From the resources mapped by the constellation map corresponding to the dimension, the data is sent according to the allocated transmission power, wherein the transmission power is allocated for the transmission end or allocated for the resources.21.如权利要求15所述的设备,其特征在于,所述处理器还用于:21. The apparatus of claim 15, wherein the processor is further configured to:所述发送端为终端时,若不同的终端选择相同的所述一列码本,在通过所述维度对应的星座图映射的资源发送数据之前,则对所述维度对应的星座图进行旋转;从旋转后的所述维度对应的星座图映射的资源上发送数据。When the transmitting end is a terminal, if different terminals select the same column of codebooks, before sending data through the resource mapped by the constellation map corresponding to the dimension, the constellation map corresponding to the dimension is rotated; The data is sent on the resource mapped by the constellation map corresponding to the rotated dimension.22.如权利要求15所述的设备,其特征在于,所述处理器具体用于:22. The device of claim 15, wherein the processor is specifically configured to:所述发送端为网络侧设备时,若所述网络侧设备为不同的终端选择相同的所述一列码本,在通过所述维度对应的星座图映射的资源发送数据之前,则对所述维度对应的星座图进行旋转,以使所述维度对应的星座图不同;从旋转后的所述维度对应的星座图映射的资源上发送数据。When the sender is a network-side device, if the network-side device selects the same column of codebooks for different terminals, before sending data through the resource mapped by the constellation map corresponding to the dimension, the The corresponding constellation diagrams are rotated so that the constellation diagrams corresponding to the dimensions are different; data is sent from the resources mapped by the constellation diagrams corresponding to the rotated dimensions.23.一种数据传输的设备,其特征在于,包括:处理器以及收发机:23. A device for data transmission, comprising: a processor and a transceiver:所述处理器,用于确定当前的调制方式对应的多址码本集合中的至少一列码本;其中所述多址码本集合由多维星座图集合和多址图样集合确定,所述多址图样集合是由资源映射图样矩阵确定,所述资源映射图样矩阵用于表示调制符号在分配的资源上出现的位置的多种排列方式;所述多维星座图集合中包含多个不同维度的星座图;根据当前的调制方式、所述多维星座图集合和所述多址图样集合确定所述调制方式对应的所述多址码本集合;针对任意一列码本,接收端根据所述一列码本确定对应的维度,从所述多维星座图集合中确定所述维度对应的星座图;The processor is configured to determine at least one column of codebooks in the multiple-access codebook set corresponding to the current modulation mode; wherein the multiple-access codebook set is determined by a multi-dimensional constellation diagram set and a multiple-access pattern set, and the multiple-access codebook set The pattern set is determined by a resource mapping pattern matrix, which is used to represent various arrangements of the positions where the modulation symbols appear on the allocated resources; the multi-dimensional constellation set includes a plurality of constellations of different dimensions ; Determine the multiple access codebook set corresponding to the modulation mode according to the current modulation mode, the multi-dimensional constellation diagram set and the multiple access pattern set; For any one column of codebooks, the receiving end determines according to the one column of codebooks The corresponding dimension, from the multi-dimensional constellation diagram set, determine the constellation diagram corresponding to the dimension;所述接收端通过所述维度对应的星座图映射的资源接收数据。The receiving end receives data through the resource mapped by the constellation map corresponding to the dimension.24.如权利要求23所述的设备,其特征在于,所述多维星座图集合中的星座点之间测度最大化。24. The apparatus of claim 23, wherein a measure between constellation points in the multi-dimensional constellation set is maximized.25.如权利要求23所述的设备,其特征在于,所述处理器还用于:25. The apparatus of claim 23, wherein the processor is further configured to:若接收端为网络侧设备;通知或预配置终端调制符号在资源上出现的位置;If the receiving end is a network-side device; notify or pre-configure the terminal where the modulation symbols appear on the resource;根据所述调制符号在资源上出现的位置确定所述多址图样集合。The set of multiple access patterns is determined based on where the modulation symbols appear on resources.26.如权利要求23所述的设备,其特征在于,所述处理器具体用于:26. The device of claim 23, wherein the processor is specifically configured to:从所述维度对应的星座图映射的资源上,根据分配的接收功率通过收发机接收数据;其中,所述接收功率是针对接收端分配的或针对资源分配的。From the resources mapped by the constellation map corresponding to the dimension, data is received through the transceiver according to the allocated received power; wherein the received power is allocated for the receiving end or for the resources.27.如权利要求23所述的设备,其特征在于,所述处理器还用于:27. The apparatus of claim 23, wherein the processor is further configured to:发送端为终端时,若不同的终端选择相同的所述一列码本,则对所述维度对应的星座图进行旋转;从旋转后的所述维度对应的星座图映射的资源上接收数据。When the transmitting end is a terminal, if different terminals select the same column of codebooks, the constellation map corresponding to the dimension is rotated; data is received from the resources mapped by the constellation map corresponding to the rotated dimension.28.如权利要求23所述的设备,其特征在于,所述处理器还用于:28. The apparatus of claim 23, wherein the processor is further configured to:发送端为网络侧设备时,若所述网络侧设备为不同的终端选择相同的所述一列码本,则对所述维度对应的星座图进行旋转,以使所述维度对应的星座图不同;从旋转后的维度对应的星座图映射的资源上接收数据。When the transmitting end is a network-side device, if the network-side device selects the same column of codebooks for different terminals, the constellation diagram corresponding to the dimension is rotated, so that the constellation diagram corresponding to the dimension is different; Data is received from the resource mapped by the constellation map corresponding to the rotated dimension.29.一种数据传输的设备,其特征在于,该设备包括:至少一个处理单元以及至少一个存储单元,其中,所述存储单元存储有程序代码,当所述程序代码被所述处理单元执行时,使得所述处理单元执行权利要求1~8任一所述方法的步骤;或执行权利要求9~14所述方法的步骤。29. A device for data transmission, characterized in that the device comprises: at least one processing unit and at least one storage unit, wherein the storage unit stores program codes, and when the program codes are executed by the processing unit , so that the processing unit executes the steps of any one of the methods of claims 1 to 8; or executes the steps of the methods of claims 9 to 14.30.一种计算设备可读存储介质,其特征在于,包括程序代码,当所述程序代码在计算设备上运行时,所述程序代码用于使所述计算设备执行权利要求1~8任一所述方法的步骤;或执行权利要求9~14所述方法的步骤。30. A computing device-readable storage medium, characterized by comprising program codes, when the program codes are run on a computing device, the program codes are used to cause the computing device to execute any one of claims 1 to 8 the steps of the method; or perform the steps of the method of claims 9-14.
CN201810130115.0A2018-02-082018-02-08Data transmission method and equipmentActiveCN110138702B (en)

Priority Applications (2)

Application NumberPriority DateFiling DateTitle
CN201810130115.0ACN110138702B (en)2018-02-082018-02-08Data transmission method and equipment
PCT/CN2019/074560WO2019154355A1 (en)2018-02-082019-02-02Data transmission method and device

Applications Claiming Priority (1)

Application NumberPriority DateFiling DateTitle
CN201810130115.0ACN110138702B (en)2018-02-082018-02-08Data transmission method and equipment

Publications (2)

Publication NumberPublication Date
CN110138702A CN110138702A (en)2019-08-16
CN110138702Btrue CN110138702B (en)2021-03-05

Family

ID=67547863

Family Applications (1)

Application NumberTitlePriority DateFiling Date
CN201810130115.0AActiveCN110138702B (en)2018-02-082018-02-08Data transmission method and equipment

Country Status (2)

CountryLink
CN (1)CN110138702B (en)
WO (1)WO2019154355A1 (en)

Families Citing this family (3)

* Cited by examiner, † Cited by third party
Publication numberPriority datePublication dateAssigneeTitle
US20220014411A1 (en)*2020-07-132022-01-13Huawei Technologies Co., Ltd.Methods, apparatus, and systems for configurable modulation in wireless communications
CN112866155B (en)*2021-01-052022-04-15北京邮电大学Multidimensional signal modulation mode identification method and apparatus
CN120547034A (en)*2024-02-232025-08-26华为技术有限公司 Modulation method, demodulation method and device

Citations (8)

* Cited by examiner, † Cited by third party
Publication numberPriority datePublication dateAssigneeTitle
CN102075487A (en)*2009-11-252011-05-25清华大学Multidimensional constellation mapping based coding and modulating method, demodulating and decoding method and system
WO2014075637A1 (en)*2012-11-162014-05-22Huawei Technologies Co., Ltd.Systems and methods for sparse code multiple access
US8787477B2 (en)*2012-09-182014-07-22Texas Instruments IncorporatedMethods for assigning codewoods to points in hexagonal constellations in digital communication systems
CN106059970A (en)*2016-06-292016-10-26上海交通大学Capacity maximization-based sparse code multiple access codebook design method
CN106712892A (en)*2015-07-212017-05-24普天信息技术有限公司Code multiple-access method and device
CN107276960A (en)*2017-07-272017-10-20重庆邮电大学A kind of SCMA optimizes codebook design method
EP2966827B1 (en)*2014-07-072017-10-25Alcatel LucentMethod for digitally modulating a signal in a communication network
CN107645370A (en)*2016-07-202018-01-30华为技术有限公司Method for mapping resource and device

Family Cites Families (2)

* Cited by examiner, † Cited by third party
Publication numberPriority datePublication dateAssigneeTitle
CN107295673A (en)*2016-04-012017-10-24索尼公司Electronic equipment and communication means in wireless communication system
CN107508661B (en)*2016-06-142020-07-21华为技术有限公司Data processing method, network equipment and terminal

Patent Citations (8)

* Cited by examiner, † Cited by third party
Publication numberPriority datePublication dateAssigneeTitle
CN102075487A (en)*2009-11-252011-05-25清华大学Multidimensional constellation mapping based coding and modulating method, demodulating and decoding method and system
US8787477B2 (en)*2012-09-182014-07-22Texas Instruments IncorporatedMethods for assigning codewoods to points in hexagonal constellations in digital communication systems
WO2014075637A1 (en)*2012-11-162014-05-22Huawei Technologies Co., Ltd.Systems and methods for sparse code multiple access
EP2966827B1 (en)*2014-07-072017-10-25Alcatel LucentMethod for digitally modulating a signal in a communication network
CN106712892A (en)*2015-07-212017-05-24普天信息技术有限公司Code multiple-access method and device
CN106059970A (en)*2016-06-292016-10-26上海交通大学Capacity maximization-based sparse code multiple access codebook design method
CN107645370A (en)*2016-07-202018-01-30华为技术有限公司Method for mapping resource and device
CN107276960A (en)*2017-07-272017-10-20重庆邮电大学A kind of SCMA optimizes codebook design method

Non-Patent Citations (1)

* Cited by examiner, † Cited by third party
Title
高维度SCMA码本设计与低复杂度译码算法研究;刘珍;《中国优秀硕士学位论文全文数据库 信息科技辑》;20170715;全文*

Also Published As

Publication numberPublication date
CN110138702A (en)2019-08-16
WO2019154355A1 (en)2019-08-15

Similar Documents

PublicationPublication DateTitle
US12301518B2 (en)Demodulation reference signal indicating and receiving methods, transmit end, and receive end
US11212054B2 (en)Data transmission method and apparatus
US10680773B2 (en)Method and apparatus for transmitting pilot signal
TWI685270B (en)Wireless device and a network node for a wireless communication system
US10056955B2 (en)Resource allocation method and apparatus
CN103825638B (en)Method for allocating phich for multiple uplink codewords
CN102122985B (en)MU-MIMO (Multi-User Multi-Input Multi-Output) transmission method
US11197287B2 (en)Methods and devices for sending and receiving physical uplink control channel
CN106877978B (en)Control channel detection method and device
JP6309132B2 (en) Sequence generator initialization parameter signaling for uplink reference signal generation
WO2011126320A2 (en)Apparatus and method for transmitting uplink scheduling request in mobile communication system
KR20160102358A (en)Apparatus and method for channel-state-information reference signals
CN102869097B (en)Transmitting and receiving methods of uplink control signaling and related equipment
CN110138702B (en)Data transmission method and equipment
WO2014166455A1 (en)Interference measurement method, network side equipment and terminal side equipment
JP5324526B2 (en) Terminal apparatus, base station apparatus, communication system, and processing method
CN109787663B (en)Method and device used in user and base station of wireless communication
EP3079286B1 (en)Method and base station apparatus for processing data
EP4173411A1 (en)Communication apparatus and communication method for resource unit allocation signalling
CN111869120B (en) Transmitter and method for transmitting symbols
CN111800247B (en) Information transmission method and device
EP3317995B1 (en)Apparatus and method for reusing existing constellation for superposed transmission
US8571589B2 (en)Wireless communication system, wireless communication method, and base station
CN108418662B (en)Reference signal sending method, reference signal receiving method and related equipment
CN111865847B (en)Data transmission method and device

Legal Events

DateCodeTitleDescription
PB01Publication
PB01Publication
SE01Entry into force of request for substantive examination
SE01Entry into force of request for substantive examination
GR01Patent grant
GR01Patent grant

[8]ページ先頭

©2009-2025 Movatter.jp