Movatterモバイル変換


[0]ホーム

URL:


CN110116532B - Polypropylene film rich in beta transcrystalline and preparation method thereof - Google Patents

Polypropylene film rich in beta transcrystalline and preparation method thereof
Download PDF

Info

Publication number
CN110116532B
CN110116532BCN201910390128.6ACN201910390128ACN110116532BCN 110116532 BCN110116532 BCN 110116532BCN 201910390128 ACN201910390128 ACN 201910390128ACN 110116532 BCN110116532 BCN 110116532B
Authority
CN
China
Prior art keywords
beta
polypropylene film
substrate
rich
nucleating agent
Prior art date
Legal status (The legal status is an assumption and is not a legal conclusion. Google has not performed a legal analysis and makes no representation as to the accuracy of the status listed.)
Active
Application number
CN201910390128.6A
Other languages
Chinese (zh)
Other versions
CN110116532A (en
Inventor
李姜
梁桂学
郭少云
吴宏
沈嘉斌
熊英
陈蓉
张先龙
李春海
郑宇�
Current Assignee (The listed assignees may be inaccurate. Google has not performed a legal analysis and makes no representation or warranty as to the accuracy of the list.)
Sichuan University
Original Assignee
Sichuan University
Priority date (The priority date is an assumption and is not a legal conclusion. Google has not performed a legal analysis and makes no representation as to the accuracy of the date listed.)
Filing date
Publication date
Application filed by Sichuan UniversityfiledCriticalSichuan University
Priority to CN201910390128.6ApriorityCriticalpatent/CN110116532B/en
Publication of CN110116532ApublicationCriticalpatent/CN110116532A/en
Application grantedgrantedCritical
Publication of CN110116532BpublicationCriticalpatent/CN110116532B/en
Activelegal-statusCriticalCurrent
Anticipated expirationlegal-statusCritical

Links

Images

Classifications

Landscapes

Abstract

The invention provides a beta-transcrystalline-rich polypropylene film, which is obtained by directly contacting the surface of a polypropylene film with the surface of a layered substrate with a beta nucleating agent dispersed on the surface, then melting and crystallizing the polypropylene film. The content of beta transcrystalline in the polypropylene film rich in beta transcrystalline reaches 92 percent, the beta transcrystalline is continuous and ordered and grows towards the inner part along the direction vertical to the film surface, and the polypropylene film does not contain nucleating agent. The invention also provides a method for preparing the polypropylene film rich in beta transverse crystals, which has the advantages of simple operation, convenient control, high production efficiency and wide prospect.

Description

Polypropylene film rich in beta transcrystalline and preparation method thereof
Technical Field
The invention belongs to the field of material processing, and particularly relates to a polypropylene film rich in beta transcrystalline and a preparation method thereof.
Background
Polypropylene (PP) is widely used in production and daily life because of its low cost and excellent properties. As a semi-crystalline polymer, the properties and use of polypropylene depend to a large extent on its crystallization behaviour. The polypropylene mainly has three crystal forms, namely alpha crystal, beta crystal and gamma crystal. Among them, the β crystal is widely used in scientific research and industrial production due to its contribution to the toughness of the material. Unlike alpha crystals, beta crystals are difficult to prepare under normal conditions and can only be formed under certain relatively special conditions, such as temperature gradients, melt shear, and the addition of nucleating agents. Among these methods for producing beta crystals, the most effective and simple method is to add a beta nucleating agent. At present, the beta nucleating agent is widely applied to the fields of improving the mechanical property of polypropylene, preparing microporous films and the like.
In addition, polypropylene also has a variety of crystal morphologies, such as spherulites, clusters, transcrystalline, and the like. Since the discovery of the transverse crystal structure in 1952, researchers have conducted a great deal of research. When the polypropylene melt comes into contact with the heterophasic surface, the heterophasic surface forms a very dense nucleation site for crystallization, so that the polypropylene wafers can only grow in a direction perpendicular to the heterophasic surface, resulting in transverse crystals of polypropylene with parallel arrangement of the wafers. Currently, the most common method of obtaining polypropylene transcrystalline is to incorporate or form fibers in situ in the polypropylene matrix. Different kinds of fibers have different nucleating capabilities, and when the nucleating capabilities of the fibers are not strong, transverse crystal generation can be induced by treating the surfaces of the fibers or coating nucleating agents on the surfaces of the fibers. A large number of researches show that the generation of the polypropylene transverse crystal can improve the adhesion between the fiber and the matrix, optimize the transmission of interface stress, further improve the shear strength of the interface, and also improve the macroscopic mechanical properties of the material, such as tensile strength, impact strength, bending strength and the like.
Researches find that the beta transverse crystal with the transverse crystal structure and the beta crystal form can obviously improve the performance of the polypropylene. However, most of the transverse crystals reported in the literature are alpha crystals, and only a small amount of research work has produced beta transverse crystals. For example, chinese patent CN 105566753 a applied before the subject group discloses a polypropylene material containing a content-controllable and continuous ordered β -transcrystalline layer and a preparation method thereof, which proves that β -transcrystalline having both transcrystalline structure and β -crystalline form can significantly improve the toughness of the polypropylene material. The patent uses polypropylene and beta nucleating agent to mix and granulate according to a certain proportion, and then the mixture is melted and extruded with pure polypropylene particles through a micro-layer co-extrusion device to obtain the high-toughness polypropylene alternate layered material containing a large amount of beta transverse crystals and having two-dimensional order of the beta transverse crystals.
However, the polypropylene material disclosed in the patent is composed of a multilayer structure in which one layer of spherulite and one layer of transverse crystal are alternated, so that a material completely composed of beta transverse crystal cannot be obtained, the property improvement caused by the beta transverse crystal cannot be accurately measured, and the potential of the beta transverse crystal cannot be fully exerted; in addition, in order to obtain beta-transcrystalline, a nucleating agent is added to the spherulitic layer in the multilayer structure, so that the finally obtained product contains the nucleating agent, and the nucleating agent can gradually diffuse to the surface during the use process of the product, and the appearance and the performance of the product are adversely affected.
Therefore, in order to obtain polypropylene materials with better performance, a method for preparing polypropylene materials rich in continuous and highly oriented beta-transverse crystals and free of nucleating agents needs to be explored.
Disclosure of Invention
The invention aims to provide a polypropylene material which is rich in continuous and highly oriented beta transverse crystals and does not contain a nucleating agent and a preparation method thereof.
The invention provides a beta-transcrystalline-rich polypropylene film, which is obtained by directly contacting the surface of a polypropylene film with the surface of a layered substrate with a beta nucleating agent dispersed on the surface, then melting and crystallizing the polypropylene film.
Further, the beta-transcrystalline-rich polypropylene film is prepared by the following steps:
(1) preparing a polypropylene film;
(2) preparing a layered substrate with uniformly dispersed beta nucleating agent: adding a beta nucleating agent in the process of preparing the substrate, stirring, uniformly mixing and forming to obtain a layered substrate uniformly dispersed with the beta nucleating agent;
(3) placing a polypropylene film prepared in the step (1) between two layered substrates prepared in the step (2) to obtain a three-layer structure, then placing the three-layer structure at the temperature of 180-140 ℃ to enable the surface of the polypropylene film to be in direct contact with the surface of the substrate, and after the polypropylene film is fully melted, crystallizing the three-layer structure at the temperature of 120-140 ℃ at equal temperature;
(4) and after the isothermal crystallization is finished, cooling the three-layer structure at room temperature, and peeling off the substrate to obtain the polypropylene film rich in beta transverse crystals.
Further, in the step (1), the process for preparing the polypropylene film comprises the following steps: heating and melting the polypropylene granules in a hot press, maintaining the pressure, and naturally cooling at room temperature to obtain the polypropylene granules;
preferably, the heating temperature is 200 ℃, the heating time is 15 minutes, the pressure for holding is 10MPa, and the holding time is 5 minutes.
Further, in the step (2), the substrate is selected from an inorganic material substrate, a polymer material substrate or a composite material substrate, preferably an epoxy resin substrate;
and/or, the beta nucleating agent is selected from inorganic beta nucleating agents or organic beta nucleating agents, preferably aryl amide beta nucleating agents, more preferably TMB-5;
and/or the beta nucleating agent accounts for 1% -3% of the weight of the layered substrate, and is preferably 2%;
and/or, before the forming process, removing air bubbles under vacuum condition.
Further, in the step (3), before the isothermal crystallization, the three-layer structure is placed at 200 ℃ and kept for 15 minutes;
and/or the isothermal crystallization temperature is 130 ℃ and the time is 30 minutes.
Further, the beta-transcrystalline content of the beta-transcrystalline-rich polypropylene film is 92%;
and/or, the beta-trabecular-crystal-rich polypropylene film is free of nucleating agent;
and/or the beta transverse crystals are continuously ordered and grow towards the inside in a direction perpendicular to the film surface.
The invention also provides a preparation method of the polypropylene film rich in beta transcrystalline, which comprises the following steps:
(1) preparing a polypropylene film;
(2) preparing a layered substrate with uniformly dispersed beta nucleating agent: adding a beta nucleating agent in the process of preparing the substrate, stirring, uniformly mixing and forming to obtain a layered substrate uniformly dispersed with the beta nucleating agent;
(3) placing a polypropylene film prepared in the step (1) between two layered substrates prepared in the step (2) to obtain a three-layer structure, then placing the three-layer structure at the temperature of 180-140 ℃ to enable the surface of the polypropylene film to be in direct contact with the surface of the substrate, and after the polypropylene film is fully melted, crystallizing the three-layer structure at the temperature of 120-140 ℃ at equal temperature;
(4) and after the isothermal crystallization is finished, cooling the three-layer structure at room temperature, and peeling off the substrate to obtain the polypropylene film rich in beta transverse crystals.
Further, in the step (1), the process for preparing the polypropylene film comprises the following steps: heating and melting the polypropylene granules in a hot press, maintaining the pressure, and naturally cooling at room temperature to obtain the polypropylene granules;
preferably, the heating temperature is 200 ℃, the heating time is 15 minutes, the pressure for holding is 10MPa, and the holding time is 5 minutes.
Further, in the step (2), the substrate is selected from an inorganic material substrate, a polymer material substrate or a composite material substrate, preferably an epoxy resin substrate;
and/or the beta nucleating agent accounts for 1% -3% of the weight of the layered substrate, and is preferably 2%;
and/or, before the forming process, removing air bubbles under vacuum condition.
Further, in the step (3), before the isothermal crystallization, the three-layer structure is placed at 200 ℃ and kept for 15 minutes;
and/or the isothermal crystallization temperature is 130 ℃ and the time is 30 minutes.
The experimental result shows that the content of beta transverse crystals in the polypropylene film is up to 92 percent, the beta transverse crystals are continuously ordered and grow towards the inner part along the direction vertical to the film surface, and the polypropylene film does not contain nucleating agent. The invention also provides a method for preparing the polypropylene film rich in beta transverse crystals, which has the advantages of simple operation, convenient control, high production efficiency and wide prospect.
Obviously, many modifications, substitutions, and variations are possible in light of the above teachings of the invention, without departing from the basic technical spirit of the invention, as defined by the following claims.
The present invention will be described in further detail with reference to the following examples. This should not be understood as limiting the scope of the above-described subject matter of the present invention to the following examples. All the technologies realized based on the above contents of the present invention belong to the scope of the present invention.
Drawings
FIG. 1 is a schematic diagram of the preparation of a beta-transcrystalline-rich polypropylene film of the present invention.
FIG. 2 is a structural diagram of a beta-transcrystalline structure in a beta-transcrystalline-rich polypropylene film of the present invention.
FIG. 3 is a polarization microscope image of the polypropylene film rich in beta-transcrystalline.
FIG. 4 is a 2D-WAXD graph of a beta transcrystalline-rich polypropylene membrane of the present invention.
FIG. 5 is a DSC of a beta-transcrystalline-rich polypropylene film of the present invention.
Detailed Description
The raw materials and equipment used in the invention are known products and are obtained by purchasing commercial products.
Example 1 preparation of a beta-transcrystalline-rich Polypropylene film (beta-PP) according to the invention
According to the schematic diagram shown in fig. 1, the beta-transcrystalline-rich polypropylene film of the present invention is prepared.
(1) Preparation of pure Polypropylene film (PP)
The preparation method of the pure polypropylene film by the hot-press molding method comprises the following specific operations: using polypropylene granules with the mark of F401, preheating for 15 minutes in a hot press at 200 ℃ to melt the polypropylene granules, keeping the pressure for 5 minutes under the pressure of 10MPa after exhausting, and naturally cooling at room temperature to obtain a pure polypropylene film.
(2) Preparation of a layered substrate having a beta-nucleating agent uniformly dispersed therein
In the embodiment, epoxy resin is used as a substrate, a beta nucleating agent (TMB-5, the addition amount is 2% of the mass of the epoxy resin) is added into a raw material for synthesizing the epoxy resin, the components are fully stirred to uniformly disperse the beta nucleating agent, the beta nucleating agent is polymerized, bubbles are removed in vacuum, the resin is poured into a flat plate mold for post-treatment and molding, and finally the epoxy resin substrate with the beta nucleating agent uniformly dispersed inside is obtained.
(3) Preparation of a three-layer Structure
And (3) placing a polypropylene film obtained in the step (1) between two epoxy resin substrates uniformly dispersed with the beta nucleating agent obtained in the step (2) to form a three-layer structure. And then preheating the three-layer structure as a whole at 200 ℃, ensuring that the surfaces of the polypropylene film and the epoxy resin are in close and direct contact, preheating for 15min, and after the polypropylene film is fully molten, moving the whole into an environment at 130 ℃ for isothermal crystallization for 30 min.
(4) Obtaining the polypropylene film (beta-PP) rich in beta transcrystalline
And after the isothermal crystallization process is finished, cooling the three-layer structure at room temperature, and peeling off the two outer epoxy resin substrates to obtain the middle beta-transcrystalline-rich polypropylene film (beta-PP).
The beneficial effects of the polypropylene film rich in beta transcrystalline prepared by the invention are proved by the following experimental examples.
Experimental example 1 polarizing microscope test of beta-transcrystalline-rich polypropylene film of the invention
1. Experimental methods
The film was first sectioned using an ultra-microtome, with a sample thickness of 10 microns. The sample was then placed under a polarizing microscope to observe the crystal morphology of the film cross-section.
2. Results of the experiment
The polarization microscope image of the polypropylene film rich in β -transcrystalline prepared in example 1 of the present invention is shown in fig. 3, which shows that β -transcrystalline is continuous. This is because the beta nucleation sites generated at the interface between the polypropylene film and the layered substrate according to the present invention are numerous, and thus the beta transverse crystals generated by inducing the polypropylene film are also numerous and almost occupy the interior of the polypropylene film; in addition, because the beta nucleation points are distributed on a plane in a two-dimensional way, the beta transverse crystals generated by induction are also connected into a whole, and the continuity which is not existed in the traditional fiber induction method is provided.
Experimental example 2 orientation test of beta-transcrystalline in beta-transcrystalline-rich polypropylene film of the invention
1. Experimental methods
The samples were placed in a 2D-wide angle X-ray diffraction (2D-WAXD) apparatus and tested from the membrane face direction and the cross-sectional direction, respectively. The scatterometer was equipped with a two-dimensional detector and tested in transmission mode at 40kV and 40mA, scanning over a range of 5 deg. -35 deg..
2. Results of the experiment
The 2D-wide angle X-ray diffraction pattern of the polypropylene film rich in beta transverse crystals prepared in the example 1 of the invention is shown in FIG. 4, and it can be seen that the diffraction ring generated by the beta transverse crystals is isotropic in the film surface direction, i.e. no orientation phenomenon exists; however, in the cross-sectional direction of the film, the diffraction rings of the β -transverse crystals exhibit a pronounced anisotropy, i.e. the presence of a phenomenon of orientation of the platelets. The reason is that in the polypropylene film prepared by the method provided by the invention, beta transverse crystals grow inwards in parallel along the direction vertical to the film surface in the forming process, so that the obtained transverse crystal structure has the characteristic of regular order in the direction vertical to the film surface, and the two-dimensional orientation of platelets and molecular chains exists.
In addition, the method provided by the invention utilizes the beta nucleating agent uniformly distributed on the inner surface of the epoxy resin substrate to induce and generate a large number of dense beta nucleation points at the two-dimensional interface contacted with the polypropylene film. In the subsequent beta crystal growth process, the lateral growth direction of the platelets is limited due to the volume effect generated by the dense nucleation points, and the platelets can only grow inwards in the direction perpendicular to the film, and finally stop growing after contacting with the platelets grown in the same way on the other surface of the film, so that the beta transverse crystal structure is obtained, and the schematic diagram of the beta transverse crystal structure is shown in fig. 2.
Experimental example 3 DSC measurement of beta-transcrystalline-rich polypropylene film of the invention
1. Experimental methods
The sample crucible was placed in a calorimeter, heated from 40 ℃ to 250 ℃ at a rate of 10 ℃/min, and then isothermed at 250 ℃ for 10 minutes to eliminate the effect of thermal history. Then the sample is cooled to 130 ℃ at the speed of 80 ℃/min for isothermal crystallization for 30 minutes, and then is heated to 200 ℃ at the speed of 10 ℃/min, and a heating curve is recorded.
2. Results of the experiment
The result is shown in fig. 5, as can be seen from the enthalpy change of the material at the first temperature rise, a large endothermic peak appears around 154 ℃, which represents that most of the crystals in the original material are beta crystals; when the material is completely melted and cooled again for crystallization, and then is heated for the second time, the material only has an endothermic peak at about 176 ℃, which represents that the material only contains alpha crystals, so that the inside of the material does not contain the beta nucleating agent.
This is because the β transverse crystals in the β transverse crystal-rich polypropylene film produced by the present invention are not produced by a method of adding a filler or the like, but are induced by a nucleating agent attached to an external substrate at the interface. After the three-layer structure is peeled off, the nucleating agent is separated from the polypropylene material along with the substrate, so that the beta-transverse crystal-rich polypropylene film prepared by the method is internally composed of pure polypropylene and does not contain any nucleating agent.
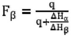
Further, according to the DSC curve shown in fig. 5, the following formula is used to calculate: the beta transcrystalline content of the beta transcrystalline-rich polypropylene film prepared in example 1 of the present invention was as high as 92%.
Figure BDA0002056213800000051
Wherein, Δ HαAnd Δ HβThe melting enthalpy change of the alpha crystal and the beta crystal in the DSC curve respectively, and the value q is the ratio of the equilibrium melting enthalpies of the alpha crystal and the beta crystal, and the value is 1.05.
In summary, the present invention provides a polypropylene film rich in β -trabeculae, wherein the content of β -trabeculae is as high as 92%, the β -trabeculae are continuously ordered and grown inward in a direction perpendicular to the film surface, and the polypropylene film does not contain a nucleating agent. The invention also provides a method for preparing the polypropylene film rich in beta transverse crystals, which has the advantages of simple operation, convenient control, high production efficiency and wide prospect.

Claims (14)

1. A polypropylene film rich in beta-transgranular, characterized in that: the polypropylene film rich in beta transverse crystals is obtained by directly contacting the surface of a polypropylene film with the surface of a layered substrate with beta nucleating agent dispersed on the surface, and then melting and crystallizing the polypropylene film; the polypropylene film rich in beta transcrystalline is prepared by the following steps:
(1) preparing a polypropylene film;
(2) preparing a layered substrate with uniformly dispersed beta nucleating agent: adding a beta nucleating agent in the process of preparing the substrate, stirring, uniformly mixing and forming to obtain a layered substrate uniformly dispersed with the beta nucleating agent;
(3) placing a polypropylene film prepared in the step (1) between two layered substrates prepared in the step (2) to obtain a three-layer structure, then placing the three-layer structure at the temperature of 180-140 ℃ to enable the surface of the polypropylene film to be in direct contact with the surface of the substrate, and after the polypropylene film is fully melted, crystallizing the three-layer structure at the temperature of 120-140 ℃ at equal temperature;
(4) and after the isothermal crystallization is finished, cooling the three-layer structure at room temperature, and peeling off the substrate to obtain the polypropylene film rich in beta transverse crystals.
2. The beta-transcrystalline-rich polypropylene film of claim 1, wherein: in the step (1), the process for preparing the polypropylene film comprises the following steps: and taking the polypropylene granules, heating and melting the granules in a hot press, maintaining the pressure, and naturally cooling the granules at room temperature to obtain the polypropylene granules.
3. The beta-transcrystalline-rich polypropylene film of claim 2, wherein: the heating temperature is 200 ℃, the time is 15 minutes, the pressure for pressure maintaining is 10MPa, and the pressure maintaining time is 5 minutes.
4. The beta-transcrystalline-rich polypropylene film of claim 1, wherein: in the step (2), the substrate is selected from an inorganic material substrate, a high polymer material substrate or a composite material substrate;
and/or the beta nucleating agent is selected from inorganic beta nucleating agents or organic beta nucleating agents;
and/or the beta nucleating agent accounts for 1-3% of the weight of the layered substrate;
and/or, before the forming process, removing air bubbles under vacuum condition.
5. The beta-transcrystalline-rich polypropylene film according to claim 4, wherein: the substrate is an epoxy resin substrate;
and/or the beta nucleating agent is an aryl amide beta nucleating agent;
and/or the beta nucleating agent is 2% of the weight of the layered substrate.
6. The beta-transcrystalline-rich polypropylene film of claim 5, wherein: the beta nucleating agent is TMB-5.
7. The beta-transcrystalline-rich polypropylene film of claim 1, wherein: in the step (3), before the isothermal crystallization, the three-layer structure is placed at 200 ℃ and the holding time is 15 minutes;
and/or the isothermal crystallization temperature is 130 ℃ and the time is 30 minutes.
8. The beta transcrystalline-rich polypropylene film according to any one of claims 1-7, wherein: the beta transverse crystal content in the polypropylene film rich in beta transverse crystals is 92 percent;
and/or, the beta-trabecular-crystal-rich polypropylene film is free of nucleating agent;
and/or the beta transverse crystals are continuously ordered and grow towards the inside in a direction perpendicular to the film surface.
9. A method for preparing the beta-transcrystalline-rich polypropylene film according to any one of claims 1-8, wherein: the method comprises the following steps:
(1) preparing a polypropylene film;
(2) preparing a layered substrate with uniformly dispersed beta nucleating agent: adding a beta nucleating agent in the process of preparing the substrate, stirring, uniformly mixing and forming to obtain a layered substrate uniformly dispersed with the beta nucleating agent;
(3) placing a polypropylene film prepared in the step (1) between two layered substrates prepared in the step (2) to obtain a three-layer structure, then placing the three-layer structure at the temperature of 180-140 ℃ to enable the surface of the polypropylene film to be in direct contact with the surface of the substrate, and after the polypropylene film is fully melted, crystallizing the three-layer structure at the temperature of 120-140 ℃ at equal temperature;
(4) and after the isothermal crystallization is finished, cooling the three-layer structure at room temperature, and peeling off the substrate to obtain the polypropylene film rich in beta transverse crystals.
10. The method of claim 9, wherein: in the step (1), the process for preparing the polypropylene film comprises the following steps: and taking the polypropylene granules, heating and melting the granules in a hot press, maintaining the pressure, and naturally cooling the granules at room temperature to obtain the polypropylene granules.
11. The method of manufacturing according to claim 10, wherein: the heating temperature is 200 ℃, the time is 15 minutes, the pressure for pressure maintaining is 10MPa, and the pressure maintaining time is 5 minutes.
12. The method of claim 9, wherein: in the step (2), the substrate is selected from an inorganic material substrate, a high polymer material substrate or a composite material substrate;
and/or the beta nucleating agent accounts for 1-3% of the weight of the layered substrate;
and/or, before the forming process, removing air bubbles under vacuum condition.
13. The method of manufacturing according to claim 12, wherein: the substrate is an epoxy resin substrate; and/or the beta nucleating agent is 2% of the weight of the layered substrate.
14. The production method according to any one of claims 9 to 13, characterized in that: in the step (3), before the isothermal crystallization, the three-layer structure is placed at 200 ℃ and the holding time is 15 minutes;
and/or the isothermal crystallization temperature is 130 ℃ and the time is 30 minutes.
CN201910390128.6A2019-05-102019-05-10Polypropylene film rich in beta transcrystalline and preparation method thereofActiveCN110116532B (en)

Priority Applications (1)

Application NumberPriority DateFiling DateTitle
CN201910390128.6ACN110116532B (en)2019-05-102019-05-10Polypropylene film rich in beta transcrystalline and preparation method thereof

Applications Claiming Priority (1)

Application NumberPriority DateFiling DateTitle
CN201910390128.6ACN110116532B (en)2019-05-102019-05-10Polypropylene film rich in beta transcrystalline and preparation method thereof

Publications (2)

Publication NumberPublication Date
CN110116532A CN110116532A (en)2019-08-13
CN110116532Btrue CN110116532B (en)2021-02-12

Family

ID=67522049

Family Applications (1)

Application NumberTitlePriority DateFiling Date
CN201910390128.6AActiveCN110116532B (en)2019-05-102019-05-10Polypropylene film rich in beta transcrystalline and preparation method thereof

Country Status (1)

CountryLink
CN (1)CN110116532B (en)

Family Cites Families (10)

* Cited by examiner, † Cited by third party
Publication numberPriority datePublication dateAssigneeTitle
JPH07148837A (en)*1993-11-301995-06-13Tokuyama Corp Method for producing polypropylene stretched product
JPH08225662A (en)*1995-02-201996-09-03Oji Yuka Synthetic Paper Co Ltd Method for producing stretched resin film
NO984666L (en)*1998-10-062000-04-07Peterson & Son As M Barrier material for use as packaging as well as process for making it
EP1620326B1 (en)*2003-04-162008-12-10Mayzo Inc.Extruded polypropylene sheets containing beta spherulites
US20050043447A1 (en)*2003-04-162005-02-24Mayzo, Inc.Beta nucleation concentrate
JP4784279B2 (en)*2005-11-172011-10-05王子製紙株式会社 Condenser film
JP6759989B2 (en)*2015-11-262020-09-23日本ポリプロ株式会社 Laminated foam sheet and thermoformed body
CN105566753B (en)*2015-12-082017-12-01四川大学A kind of controllable containing content and continuous polypropylene material of β scorching layers and preparation method thereof in order
CN108070140B (en)*2016-11-092021-01-22神华集团有限责任公司Fiber modifier, modified fiber, preparation method and application of fiber modifier and modified fiber, polypropylene composite material and preparation method of polypropylene composite material
CN108515680B (en)*2018-03-272020-11-06贵州省材料产业技术研究院High-strength high-toughness polypropylene barrier material and preparation method thereof

Also Published As

Publication numberPublication date
CN110116532A (en)2019-08-13

Similar Documents

PublicationPublication DateTitle
Cheng et al.Organosoluble, segmented rigid-rod polyimide film. 1. Structure formation
CN103210020B (en) Nucleating agent for polyethylene
Wang et al.Joining of SiC ceramics via a novel liquid preceramic polymer (V-PMS)
CN114479084A (en)Intrinsic high-flexibility and high-thermal-conductivity liquid crystal elastomer material and preparation and application thereof
CN102408627B (en)Method of regulating polypropylene crystallization behavior and crystal structure
Liang et al.Preparation, structure, and properties of an isotactic polypropylene film with ultrahigh content, ordered, and continuous β-transcrystallinity
CN110157023B (en)Polypropylene film rich in alpha transverse crystals and preparation method thereof
CN110116532B (en)Polypropylene film rich in beta transcrystalline and preparation method thereof
Zhu et al.Toward uniform pore-size distribution and high porosity of isotactic polypropylene microporous membrane by adding a small amount of ultrafine full-vulcanized powder rubber
EP1769840A4 (en)Porous water filtration membrane of vinylidene fluoride resin hollow fiber and process for production thereof
Ma et al.A novel β‐nucleating agent for isotactic polypropylene
CN112876826B (en)Method for promoting polylactic acid stereo composite crystallization
KR101321098B1 (en)Composition of film for dissipating heat, and manufacturing method of film for dissipating heat using thereof
WO2022068139A1 (en)Pps composite material and preparation method therefor, and application
Wu et al.Influence of annealing on stress–strain behaviors and performances of β nucleated polypropylene stretched membranes
CN102504408A (en)Alpha-crystal polypropylene stretching expansion material and preparation method thereof
CN113402818A (en)Method for generating crystal form III through crystallization from isotactic poly-1-butene body
CN107513217B (en) A kind of polypropylene-based polymer gradient functional material and its preparation method
Cao et al.DSC and morphological studies on the crystallization behavior of β-nucleated isotactic polypropylene composites filled with Kevlar fibers
CN114106373B (en)Preparation method of PVDF film with high beta crystal content
CN106009426B (en)A kind of MgCl2The preparation method of the annulus γ phase polyvinylidene fluoride group compound films of doping
Chen et al.Rotational stress-induced shish-kebab governs the balance of enhanced thermal conductivity and mechanical performance of high-density polyethylene (HDPE)/boron nitride (BN) composites via axial hot compression
Wang et al.Fabrication of hierarchically crystallographic morphologies in isotactic polypropylene
CN108203307A (en)A kind of preparation method of carbon/carbon compound heat-insulation sheet forming
DouEffect of N, N′‐diphenyl adipamide on the formation of the β‐crystalline form in isotactic polypropylene

Legal Events

DateCodeTitleDescription
PB01Publication
PB01Publication
SE01Entry into force of request for substantive examination
SE01Entry into force of request for substantive examination
GR01Patent grant
GR01Patent grant

[8]ページ先頭

©2009-2025 Movatter.jp