







技术领域technical field
本发明涉及自平衡自行车技术领域,具体涉及一种拖挂式自行车的稳定裕度估算方法以及控制方法。The invention relates to the technical field of self-balancing bicycles, in particular to a stability margin estimation method and a control method of a trailer-type bicycle.
背景技术Background technique
拖挂式自行车是由双轮牵引车和单轮拖挂车构成的新型自平衡自行车道路行走机构,其刚体结构主要包括牵引车车架、车把、牵引车前轮、牵引车后轮、拖挂车车架和拖挂车车轮。拖挂式自行车配置的是三个接地车轮,是一种三个接地点的移动机械系统。对于这种动态系统,稳定裕度是其首先需要考虑的问题。Trailer-type bicycle is a new type of self-balancing bicycle road running mechanism composed of two-wheel tractor and single-wheel trailer. Its rigid structure mainly includes tractor frame, handlebar, tractor front wheel, tractor rear wheel, and trailer Frame and trailer wheels. The trailer-mounted bicycle is equipped with three grounded wheels, which is a mobile mechanical system with three grounding points. For such a dynamic system, the stability margin is the first issue to be considered.
现有技术中,拖挂式自行车的稳定裕度的估算方法,通常是将三个接地点(如图7中的P1、P2、P3)连接形成的三角形里内接一个圆,再用该圆的圆心到零力矩点(ZMP)的距离来评判拖挂式自行车的稳定裕度,其稳定裕度计算的几何图如图7所示。该方法可以综合地、整体性地评判拖挂式自行车的稳定程度,但是估算出的稳定裕度误差较大,因而也不能针对性地进行稳定性评判,准确度相对较低,也会影响后续控制的准确性。In the prior art, the method for estimating the stability margin of a towed bicycle is usually to connect a circle in a triangle formed by connecting three grounding points (P1 , P2 and P3 in FIG. 7 ), and then The distance from the center of the circle to the zero moment point (ZMP) is used to judge the stability margin of the trailed bicycle. The geometric diagram of the stability margin calculation is shown in Figure 7. This method can comprehensively and holistically judge the stability of the trailer bicycle, but the estimated stability margin has a large error, so it cannot be targeted for stability judgment, and the accuracy is relatively low, which will also affect the subsequent Control accuracy.
发明内容SUMMARY OF THE INVENTION
本发明提供一种拖挂式自行车的稳定裕度估算方法以及控制方法,解决现有技术存在的稳定裕度估算不够准确以及控制不够准确的问题。The present invention provides a stability margin estimation method and a control method for a trailer-type bicycle, and solves the problems of inaccurate stability margin estimation and inaccurate control existing in the prior art.
本发明通过以下技术方案解决技术问题:The present invention solves the technical problem through the following technical solutions:
一种拖挂式自行车的稳定裕度估算方法,包括动态稳定裕度的估算,所述动态稳定裕度的估算步骤为:A method for estimating a stability margin of a trailer-mounted bicycle, comprising the estimation of a dynamic stability margin, and the steps of estimating the dynamic stability margin are:
(1)利用所述拖挂式自行车的姿态检测数据计算出ZMP在大地坐标系下的坐标以及所述拖挂式自行车与地面接触的三个接地点在大地坐标系下的坐标;(1) using the attitude detection data of the towed bicycle to calculate the coordinates of the ZMP under the geodetic coordinate system and the coordinates of the three grounding points of the towed bicycle in contact with the ground under the geodetic coordinate system;
(2)将所述三个接地点连线,得到动态接地三角形;(2) connecting the three grounding points to obtain a dynamic grounding triangle;
(3)过ZMP做所述动态接地三角形第一条边的平行线,得到第一平行线,在所述动态接地三角形范围内,所述第一平行线与所述第一条边形成的最大梯形为第一梯形;过ZMP做所述动态接地三角形第二条边的平行线,得到第二平行线,在所述动态接地三角形范围内,所述第二平行线与所述第二条边形成的最大梯形为第二梯形;过ZMP做所述动态接地三角形第三条边的平行线,得到第三平行线,在所述动态接地三角形范围内,所述第三平行线与所述第三条边形成的最大梯形为第三梯形;(3) Make a parallel line of the first side of the dynamic grounding triangle through ZMP to obtain the first parallel line. Within the dynamic grounding triangle range, the maximum value formed by the first parallel line and the first side The trapezoid is the first trapezoid; use ZMP to make the parallel line of the second side of the dynamic grounding triangle to obtain the second parallel line, within the range of the dynamic grounding triangle, the second parallel line and the second side The largest trapezoid formed is the second trapezoid; make a parallel line of the third side of the dynamic grounding triangle through ZMP to obtain a third parallel line, within the range of the dynamic grounding triangle, the third parallel line and the third parallel line are The largest trapezoid formed by three sides is the third trapezoid;
(4)所述动态接地三角形第一条边的稳定裕度为所述第一梯形的面积与当前动态接地三角形的面积之比,得到第一条边的动态稳定裕度;所述动态接地三角形第二条边的稳定裕度为所述第二梯形的面积与当前动态接地三角形的面积之比,得到第二条边的动态稳定裕度;所述动态接地三角形第三条边的稳定裕度为所述第三梯形的面积与当前动态接地三角形的面积之比,得到第三条边的动态稳定裕度。(4) The stability margin of the first side of the dynamic grounding triangle is the ratio of the area of the first trapezoid to the area of the current dynamic grounding triangle to obtain the dynamic stability margin of the first side; the dynamic grounding triangle The stability margin of the second side is the ratio of the area of the second trapezoid to the area of the current dynamic grounding triangle, to obtain the dynamic stability margin of the second side; the stability margin of the third side of the dynamic grounding triangle As the ratio of the area of the third trapezoid to the area of the current dynamic grounding triangle, the dynamic stability margin of the third side is obtained.
进一步地,在所述步骤(1)中,所述姿态检测数据包括所述拖挂式自行车的牵引车车架的三个欧拉角度和对应的三个欧拉角速度、所述拖挂式自行车的车把绕牵引车车架的转角和角速度、所述拖挂式自行车的牵引车前轮绕车把的角速度、所述拖挂式自行车的牵引车后轮绕牵引车车架的角速度、所述拖挂式自行车的拖挂车车架绕牵引车车架左右转动的转角和角速度、所述拖挂式自行车的拖挂车车架绕牵引车车架上下转动的转角和角速度、所述拖挂式自行车的拖挂车车轮绕拖挂车车架转动的角速度。Further, in the step (1), the attitude detection data includes three Euler angles and corresponding three Euler angular velocities of the tractor frame of the trailer bicycle, the trailer bicycle The angle and angular velocity of the handlebar around the tractor frame, the angular velocity of the tractor front wheel of the trailer bicycle around the handlebar, the angular velocity of the tractor rear wheel of the trailer bicycle around the tractor frame, the The angle and angular velocity of the left and right rotation of the trailer frame of the trailer-type bicycle around the tractor frame, the angle and angular velocity of the trailer frame of the trailer-type bicycle rotating up and down around the tractor frame, the The angular velocity at which the bicycle's trailer wheel rotates about the trailer frame.
进一步地,步骤(1)中所述ZMP在大地坐标系下的坐标满足公式:Further, the coordinates of the ZMP described in step (1) under the geodetic coordinate system satisfy the formula:
式中:M为所述拖挂式自行车的总质量;g为重力加速度;xc、yc为所述拖挂式自行车的质心在大地坐标系下的坐标;Px、Py、Pz为所述拖挂式自行车的线动量分别在大地坐标系的x、y、z轴上的分量,为Px的一阶导,为Py的一阶导,为Pz的一阶导;Lx、Ly为绕大地坐标系圆心转动的角动量在x、y轴的分量,为Lx的一阶导,为Ly的一阶导;xzmp、yzmp、zzmp为ZMP在大地坐标系下的坐标,所述拖挂式自行车在平地上运动时zzmp=0。In the formula: M is the total mass of the trailer-type bicycle; g is the acceleration of gravity; xc , yc are the coordinates of the center of mass of the trailer-type bicycle under the geodetic coordinate system; Px , Py , Pz are the components of the linear momentum of the towed bicycle on the x, y, and z axes of the geodetic coordinate system, respectively, is the first derivative of Px , is the first derivative of Py , is the first-order derivative of Pz ; Lx and Ly are the components of the angular momentum rotating around the center of the geodetic coordinate system on the x and y axes, is the first derivative of Lx , is the first-order derivative of Ly; xzmp ,yzmp , and zzmp are the coordinates of ZMP in the geodetic coordinate system, and zzmp =0 when the towed bicycle moves on flat ground.
进一步地,步骤(1)中,所述拖挂式自行车与地面接触的三个接地点分别为第一接地点、第二接地点和第三接地点,所述第一接地点、第二接地点和第三接地点在大地坐标系下的坐标计算步骤为:Further, in step (1), the three grounding points where the trailer-type bicycle contacts the ground are respectively a first grounding point, a second grounding point and a third grounding point, and the first grounding point and the second grounding point are The coordinate calculation steps of the location and the third grounding point in the geodetic coordinate system are:
1)通过所述牵引车车架的三个欧拉角速度计算出所述牵引车车架在大地坐标系下的角速度;1) Calculate the angular velocity of the tractor frame under the geodetic coordinate system through the three Euler angular velocities of the tractor frame;
2)通过所述牵引车车架的角速度计算出牵引车后轮在大地坐标系下的角速度;2) Calculate the angular velocity of the rear wheel of the tractor under the geodetic coordinate system by the angular velocity of the frame of the tractor;
3)通过所述牵引车后轮的角速度计算出牵引车后轮所在坐标系的原点在大地坐标系下的线速度;3) Calculate the linear velocity of the origin of the coordinate system where the rear wheel of the tractor is located under the geodetic coordinate system by the angular velocity of the rear wheel of the tractor;
4)对所述线速度进行积分运算,得到所述牵引车后轮所在坐标系的原点在大地坐标系下的坐标;4) carry out integral operation to described linear velocity, obtain the coordinates of the origin of the coordinate system where the rear wheel of the tractor is located under the geodetic coordinate system;
5)通过所述牵引车后轮所在坐标系的原点在大地坐标系下的坐标以及坐标变换,计算出所述第一接地点、第二接地点以及拖挂车车架所在坐标系的原点在大地坐标系下的坐标;5) Through the coordinates and coordinate transformation of the origin of the coordinate system where the rear wheels of the tractor are located in the geodetic coordinate system, calculate that the first grounding point, the second grounding point and the origin of the coordinate system where the trailer frame is located are in the earth. the coordinates in the coordinate system;
6)通过拖挂车车架所在坐标系的原点在大地坐标系下的坐标计算出第三接地点在大地坐标系下的坐标。6) Calculate the coordinates of the third grounding point under the geodetic coordinate system through the coordinates of the origin of the coordinate system where the frame of the trailer is located under the geodetic coordinate system.
进一步地,还包括静态稳定裕度的估算;所述静态稳定裕度的估算步骤为:静态下的拖挂式自行车与地面接触的三个接地点形成静态接地三角形,所述静态接地三角形的面积与这三个接地点能形成的最大三角形的面积之比,得到静态稳定裕度。Further, it also includes the estimation of the static stability margin; the estimation step of the static stability margin is as follows: the static grounding triangle is formed by the three grounding points of the towed bicycle in static contact with the ground, and the area of the static grounding triangle is Ratio to the area of the largest triangle that can be formed by these three ground points to obtain the static stability margin.
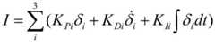
一种基于上述拖挂式自行车的稳定裕度估算方法的控制方法,包括PID控制器;所述PID控制器以作为误差值进行PID运算,输出电流,所述电流输入至所述拖挂式自行车车把的电机,以控制所述拖挂式自行车的平衡,其中,i=1、2、3,K1为第一条边的动态稳定裕度,K2为第二条边的动态稳定裕度,K3为第三条边的动态稳定裕度。A control method based on the above-mentioned method for estimating stability margin of a towed bicycle, comprising a PID controller; the PID controller is PID operation is performed as the error value, and the current is output, and the current is input to the motor of the handlebar of the trailer bicycle to control the balance of the trailer bicycle, wherein i=1, 2, 3, and K1 is The dynamic stability margin of the first edge, K2 is the dynamic stability margin of the second edge, and K3 is the dynamic stability margin of the third edge.
进一步地,所述PID运算表达式为:Further, the PID operation expression is:
式中,I为所述拖挂式自行车车把的电机电流,KPi、KDi、KIi为PID调节参数,为δi的一阶导。In the formula, I is the motor current of the handlebar of the towed bicycle, KPi , KDi , and KIi are the PID adjustment parameters, is the first derivative of δi .
与现有技术相比,具有如下特点:Compared with the existing technology, it has the following characteristics:
1、设计了动态估算稳定裕度的方法,利用姿态检测数据计算ZMP以及三个接地点在大地坐标系下的坐标,经ZMP做各边平行线,在接地三角形内平行线与对应的边形成三个最大梯形,通过计算三个最大梯形的面积与当前接地三角形面积之比,便可获得动态下每条边的稳定裕度,并以动态下每条边的稳定裕度作为平衡控制的数据基础,该动态估算稳定裕度的方法,能实时估算动态运行下接地三角形每条边的稳定裕度,并以动态的接地三角形每条边的稳定裕度为数据基础,实时地、动态地、量化地控制拖挂式自行车的平衡,在估算和控制上更具针对性,也更准确;1. A method of dynamically estimating stability margin is designed, using attitude detection data to calculate the coordinates of ZMP and three grounding points in the geodetic coordinate system, and making parallel lines on each side through ZMP, and forming parallel lines and corresponding sides in the grounding triangle Three largest trapezoids. By calculating the ratio of the area of the three largest trapezoids to the current grounded triangle area, the stability margin of each side under dynamic conditions can be obtained, and the stability margin of each side under dynamic conditions is used as the balance control data. The method of dynamically estimating the stability margin can estimate the stability margin of each side of the grounded triangle under dynamic operation in real time. Quantitatively control the balance of the trailer bicycle, which is more targeted and accurate in estimation and control;
2、动态估算稳定裕度时,计算ZMP和三个接地点的数据基础包括各个刚体动态运行下的姿态,涉及欧拉角度、欧拉角速度、转角以及角速度等,以上述姿态数据作为估算的数据基础,能充分反映拖挂式行车的动态运行状态,能保证稳定裕度估算的准确性;2. When estimating the stability margin dynamically, the data basis for calculating ZMP and three grounding points includes the attitude of each rigid body under dynamic operation, involving Euler angle, Euler angular velocity, turning angle and angular velocity, etc. The above attitude data is used as the estimated data It can fully reflect the dynamic running state of the trailer and ensure the accuracy of the stability margin estimation;
3、对拖挂式自行车进行平衡控制时,以与接地三角形每条边的稳定裕度相关的误差值作为PID运算的输入,以车把电机电流作为输出,通过车把的运动改变接地三角形每条边的稳定裕度,进而控制拖挂式自行车的平衡,相当于将估算和控制形成闭环结构,实时地、准确地、动态地调整拖挂式自行车的平衡,使得控制更为准确。3. When the balance control of the trailer-type bicycle is performed, the error value related to the stability margin of each side of the grounding triangle is used as the input of the PID operation, and the current of the handlebar motor is used as the output, and the movement of the handlebar changes each grounding triangle. The stability margin of the strip edge, and then control the balance of the trailer bicycle, is equivalent to forming a closed-loop structure for estimation and control, and adjust the balance of the trailer bicycle in real time, accurately and dynamically, making the control more accurate.
附图说明Description of drawings
图1为本发明的稳定裕度的动态估算以及控制的流程图。FIG. 1 is a flow chart of dynamic estimation and control of the stability margin of the present invention.
图2为PID控制器的流程图。Figure 2 is a flow chart of the PID controller.
图3为构建S1区域的几何图。Figure 3 isa geometric diagram of the construction of the S1 region.
图4为构建S2区域的几何图。Figure4 is a geometric diagram of the construction of the S2 region.
图5为构建S3区域的几何图。Figure5 is a geometric diagram of the construction of the S3 region.
图6为坐标映射计算链式图。FIG. 6 is a chain diagram of coordinate mapping calculation.
图7为现有技术稳定裕度估算的几何图。Figure 7 is a geometric diagram of prior art stability margin estimation.
图8为现有技术拖挂式自行车的机械结构图。FIG. 8 is a mechanical structure diagram of a prior art trailer-type bicycle.
图中标号为:1、牵引车车架;2、车把、3、牵引车前轮;4、牵引车后轮;5、拖挂车车架;6、拖挂车车轮;7、大地。The numbers in the figure are: 1. Frame of tractor; 2. Handlebar, 3. Front wheel of tractor; 4. Rear wheel of tractor; 5. Frame of trailer; 6. Wheel of trailer; 7. Ground.
具体实施方式Detailed ways
以下结合实施例对本发明作进一步说明,但本发明并不局限于这些实施例。The present invention will be further described below with reference to the examples, but the present invention is not limited to these examples.
拖挂式自行车包括如下刚体:牵引车车架1、车把2、牵引车前轮3、牵引车后轮4、拖挂车车架5和拖挂车车轮6。在车把2上安装有电机,电机通过齿轮传动机构与牵引车前轮3相配合,驱动牵引车前轮3转动;在牵引车车架1上安装有电机,该电机通过齿轮传动机构与车把2相配合,驱动车把2转动。牵引车车架1和拖挂车车架5是通过十字轴组件连接,拖挂车车架5可以绕牵引车车架1上下转动以及左右转动。拖挂式自行车的机械结构图如图8所示。The trailer bicycle includes the following rigid bodies: a
在牵引车车架1上安装陀螺仪,检测牵引车车架1的三个欧拉角度以及对应的三个欧拉角速度;在牵引车车架1上安装增量编码器和绝对编码器,检测车把2绕牵引车车架1的转角和角速度;在车把2上安装增量编码器,检测牵引车前轮3绕车把2的角速度;在牵引车车架1上设置增量编码器,检测牵引车后轮4绕牵引车车架1的角速度;在牵引车车架1上安装2个增量编码器和2个绝对编码器,检测拖挂车车架5绕牵引车车架1左右转动的转角和角速度,以及拖挂车车架5绕牵引车车架1上下转动的转角和角速度;在拖挂车车架5上安装增量编码器,检测拖挂车车轮6绕拖挂车车架5转动的角速度。Install a gyroscope on the
针对上述拖挂式自行车的机械结构,提出其稳定裕度的估算方法,包括动态稳定裕度的估算,所述动态稳定裕度的估算过程如图1所示,具体步骤为:Aiming at the mechanical structure of the above-mentioned trailer-type bicycle, an estimation method of its stability margin is proposed, including the estimation of the dynamic stability margin. The estimation process of the dynamic stability margin is shown in Figure 1, and the specific steps are as follows:
(1)利用所述拖挂式自行车的姿态检测数据计算出ZMP在大地坐标系下的坐标以及所述拖挂式自行车与地面接触的三个接地点在大地坐标系下的坐标;(1) using the attitude detection data of the towed bicycle to calculate the coordinates of the ZMP under the geodetic coordinate system and the coordinates of the three grounding points of the towed bicycle in contact with the ground under the geodetic coordinate system;
(2)将所述三个接地点连线,得到动态接地三角形;(2) connecting the three grounding points to obtain a dynamic grounding triangle;
(3)过ZMP做所述动态接地三角形第一条边的平行线,得到第一平行线,在所述动态接地三角形范围内,所述第一平行线与所述第一条边形成的最大梯形为第一梯形,如图3中的S1;过ZMP做所述动态接地三角形第二条边的平行线,得到第二平行线,在所述动态接地三角形范围内,所述第二平行线与所述第二条边形成的最大梯形为第二梯形,如图4中的S2;过ZMP做所述动态接地三角形第三条边的平行线,得到第三平行线,在所述动态接地三角形范围内,所述第三平行线与所述第三条边形成的最大梯形为第三梯形,如图5中的S3;(3) Make a parallel line of the first side of the dynamic grounding triangle through ZMP to obtain the first parallel line. Within the dynamic grounding triangle range, the maximum value formed by the first parallel line and the first side The trapezoid is the first trapezoid, such as S1 in FIG. 3 ; make a parallel line of the second side of the dynamic grounding triangle through ZMP to obtain a second parallel line, within the range of the dynamic grounding triangle, the second parallel line The largest trapezoid formed by the line and the second side is the second trapezoid, such as S2 in Fig. 4 ; make the parallel line of the third side of the dynamic grounding triangle through ZMP to obtain the third parallel line, in the Within the dynamic grounding triangle range, the largest trapezoid formed by the third parallel line and the third side is the third trapezoid, such as S3 in FIG. 5 ;
(4)所述动态接地三角形第一条边的稳定裕度为所述第一梯形的面积与当前动态接地三角形的面积之比,得到第一条边的动态稳定裕度;所述动态接地三角形第二条边的稳定裕度为所述第二梯形的面积与当前动态接地三角形的面积之比,得到第二条边的动态稳定裕度;所述动态接地三角形第三条边的稳定裕度为所述第三梯形的面积与当前动态接地三角形的面积之比,得到第三条边的动态稳定裕度。(4) The stability margin of the first side of the dynamic grounding triangle is the ratio of the area of the first trapezoid to the area of the current dynamic grounding triangle to obtain the dynamic stability margin of the first side; the dynamic grounding triangle The stability margin of the second side is the ratio of the area of the second trapezoid to the area of the current dynamic grounding triangle, to obtain the dynamic stability margin of the second side; the stability margin of the third side of the dynamic grounding triangle As the ratio of the area of the third trapezoid to the area of the current dynamic grounding triangle, the dynamic stability margin of the third side is obtained.
在所述步骤(1)中,所述姿态检测数据包括上述陀螺仪、增量编码器以及绝对编码器的检测数据,具体包括:所述拖挂式自行车的牵引车车架1的三个欧拉角度q1、q2、q3,对应的三个欧拉角速度所述拖挂式自行车的车把2绕牵引车车架1的转角和角速度所述拖挂式自行车的牵引车前轮3绕车把2的角速度所述拖挂式自行车的牵引车后轮4绕牵引车车架1的角速度所述拖挂式自行车的拖挂车车架5绕牵引车车架1左右转动的转角和角速度所述拖挂式自行车的拖挂车车架5绕牵引车车架1上下转动的转角和角速度所述拖挂式自行车的拖挂车车轮6绕拖挂车车架5转动的角速度In the step (1), the attitude detection data includes the detection data of the above-mentioned gyroscope, incremental encoder and absolute encoder, and specifically includes: three ohms of the
步骤(1)中,计算ZMP在大地7坐标系下的坐标的方法为:In step (1), the method for calculating the coordinates of ZMP in the geodetic 7 coordinate system is:
ZMP在大地7坐标系下的坐标满足公式:The coordinates of ZMP in the geodetic 7 coordinate system satisfy the formula:
式中:M为所述拖挂式自行车的总质量;g为重力加速度;xc、yc为所述拖挂式自行车的质心在大地坐标系下的坐标;Px、Py、Pz为所述拖挂式自行车的线动量分别在大地坐标系的x、y、z轴上的分量,Px、Py、Pz为关于各个刚体线速度的函数,而各个刚体线速度由相应的检测到的角速度计算而得;为Px的一阶导,为Py的一阶导,为Pz的一阶导;Lx、Ly为绕大地坐标系圆心转动的角动量在x、y轴的分量,Lx、Ly为角动量,为关于各个刚体角速度的函数,为Lx的一阶导,为Ly的一阶导;xzmp、yzmp、zzmp为ZMP在大地坐标系下的坐标,所述拖挂式自行车在平地上运动时zzmp=0。In the formula: M is the total mass of the trailer-type bicycle; g is the acceleration of gravity; xc , yc are the coordinates of the center of mass of the trailer-type bicycle under the geodetic coordinate system; Px , Py , Pz are the components of the linear momentum of the towed bicycle on the x, y, and z axes of the geodetic coordinate system, respectively, Px , Py , and Pz are functions related to the linear velocity of each rigid body, and the linear velocity of each rigid body is determined by the corresponding is calculated from the detected angular velocity of ; is the first derivative of Px , is the first derivative of Py , is the first-order derivative of Pz ; Lx andLy are the components of the angular momentum rotating around the center of the geodetic coordinate system on the x and y axes, and Lx andLy are the angular momentum, which are functions of the angular velocity of each rigid body, is the first derivative of Lx , is the first-order derivative of Ly; xzmp ,yzmp , and zzmp are the coordinates of ZMP in the geodetic coordinate system, and zzmp =0 when the towed bicycle moves on flat ground.
本发明涉及的坐标系有7个:固定在大地7上的全局坐标系,即大地7坐标系,坐标原点为O0;牵引车车架1的坐标系,且坐标原点在牵引车前轮3的几何中心处,坐标原点为O1;车把2的坐标系,且坐标原点在牵引车车架1与车把2轴线的交点处,坐标原点为O2;牵引车前轮3的坐标系,且坐标原点在牵引车前轮,3的几何中心处;坐标原点为O3;牵引车后轮4的坐标系,且坐标原点在牵引车后轮4的几何中心处,坐标原点为O4;拖挂车车架5的坐标系,且坐标原点在十字轴的几何中心处,坐标原点为O5;拖挂车车轮6的坐标系,且坐标原点在,拖挂车车轮6的几何中心处,坐标原点为O6。There are 7 coordinate systems involved in the present invention: a global coordinate system fixed on the
各个检测到的角速度均是在其安装位置所在的坐标系下进行的检测,使用角速度数据时,均将其进行坐标转换,换算为大地7坐标系下的角速度。因此,检测车把2绕牵引车车架1的转角、拖挂车车架5绕牵引车车架1左右转动的转角以及拖挂车车架5绕牵引车车架1上下转动的转角用于获取各个转角所在的坐标系与大地7坐标系之间的旋转矩阵,利用旋转矩阵将相应的角速度换算到大地7坐标系下的角速度,以便于获取大地7坐标系下的线速度,进而获取Px、Py、Pz、Lx、Ly的值,进而求取ZMP在大地7坐标系下的坐标。Each detected angular velocity is detected in the coordinate system where its installation location is located. When using the angular velocity data, it is transformed into the angular velocity in the geodetic 7 coordinate system. Therefore, the angle of rotation of the
步骤(1)中,所述拖挂式自行车与地面接触的三个接地点分别为第一接地点、第二接地点和第三接地点,即图8中的P1、P2、P3,所述第一接地点、第二接地点和第三接地点在大地坐标系下的坐标计算步骤为:In step (1), the three grounding points where the trailer-type bicycle contacts the ground are the first grounding point, the second grounding point and the third grounding point, namely P1, P2, and P3 in FIG. The coordinate calculation steps of the first ground point, the second ground point and the third ground point in the geodetic coordinate system are as follows:
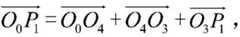
1)通过所述牵引车车架1的三个欧拉角速度计算出所述牵引车车架1在大地7坐标系O0下的角速度;1) Calculate the angular velocity of the
2)通过所述牵引车车架1的角速度计算出牵引车后轮4在大地7坐标系O0下的角速度;2) Calculate the angular velocity of the rear wheel 4 of the tractor under the coordinate system O0 of the
3)通过所述牵引车后轮4的角速度计算出牵引车后轮4所在坐标系的原点O4在大地7坐标系下的线速度;3) Calculate the linear velocity of the origin O4 of the coordinate system where the rear wheel 4 of the tractor is located under the
4)对所述线速度进行积分运算,得到所述牵引车后轮4所在坐标系的原点O4在大地7坐标系下的坐标;4) carry out integral operation to described linear velocity, obtain the coordinates of the origin O4 of the coordinate system where the rear wheel 4 of the tractor is located under the
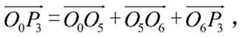
5)通过所述牵引车后轮4所在坐标系的原点O4在大地7坐标系下的坐标以及坐标变换,计算出所述第一接地点、第二接地点以及拖挂车车架5所在坐标系的原点O5在大地7坐标系下的坐标;5) Through the coordinates and coordinate transformation of the origin O4 of the coordinate system where the rear wheel 4 of the tractor is located in the
6)通过拖挂车车架5所在坐标系的原点O5在大地7坐标系下的坐标计算出第三接地点在大地7坐标系下的坐标。6) Calculate the coordinates of the third grounding point under the
步骤1)中,牵引车车架1在大地7坐标系下的角速度的表达式为:In step 1), the expression of the angular velocity of the
式中,ωB1为牵引车车架1在大地7坐标系下的角速度,s1=sin(q1),s2=sin(q2),c1=cos(q1),c2=cos(q2),c3=cos(q3)。 In the formula, ωB1 is the angular velocity of the
步骤2)中,牵引车后轮4在大地7坐标系下的角速度表达式为:In step 2), the angular velocity expression of the rear wheel 4 of the tractor under the coordinate system of the
式中,ωB4牵引车后轮4在大地7坐标系下的角速度,s1=sin(q1),s2=sin(q2),c1=cos(q1),c2=cos(q2)。 In the formula, the angular velocity of the rear wheel 4 of the ωB4 tractor in the geodetic 7 coordinate system, s1 =sin(q1 ), s2 =sin(q2 ), c1 =cos(q1 ), c2 =cos (q2 ).
步骤3)中,牵引车后轮4所在坐标系的原点O4在大地7坐标系下的线速度的表达式为:In step 3), the expression of the linear velocity of the origin O4 of the coordinate system where the rear wheel 4 of the tractor is located in the
式中,vB4表示牵引车后轮4所在坐标系的原点O4在大地7坐标系下的线速度,s1=sin(q1),s2=sin(q2),c1=cos(q1),c2=cos(q2),r为牵引车后轮4的半径。 In the formula, vB4 represents the linear velocity of the origin O4 of the coordinate system where the rear wheel 4 of the tractor is located in the
步骤4)中,牵引车后轮4所在坐标系的原点O4在大地7坐标系下的坐标表达式为:In step 4), the coordinate expression of the origin O4 of the coordinate system where the rear wheel 4 of the tractor is located under the
式中,s1=sin(q1),s2=sin(q2),c1=cos(q1),c2=cos(q2),r为牵引车后轮4的半径。In the formula, s1 =sin(q1 ), s2 =sin(q2 ), c1 =cos(q1 ), c2 =cos(q2 ), and r is the radius of the rear wheel 4 of the tractor.
步骤5)中,计算第一接地点P1在大地7坐标系下的坐标:在大地7坐标系下可通过牵引车后轮4所在坐标系的向量即[0 0 -l1]T旋转变换得到,其中l1为O4到O3的距离。在大地7坐标系下可通过牵引车前轮3所在坐标系的向量即[0 0 -r]T旋转变换得到,在大地7坐标系下便可求出第一接地点P1在大地7坐标系下的坐标。In step 5), calculate the coordinates of the first ground point P1 in the geodetic 7 coordinate system: in the geodetic 7 coordinate system The vector of the coordinate system where the rear wheel 4 of the tractor is located That is, [0 0 -l1 ]T is obtained by T rotation transformation, where l1 is the distance from O4 to O3 . In the geodetic 7 coordinate system The vector of the coordinate system where the
步骤5)中,计算第二接地点P2在大地7坐标系下的坐标:在大地7坐标系下得到向量在大地7坐标系下可通过牵引车后轮4所在坐标系的向量即[0 0 -r]T旋转变换得到,在大地7坐标系下,便可求出第二接地点,即图8中的第二接地点P2在大地7坐标系下的坐标;In step 5), calculate the coordinates of the second ground point P2 in the geodetic 7 coordinate system: obtain a vector in the geodetic 7 coordinate system In the geodetic 7 coordinate system The vector of the coordinate system where the rear wheel 4 of the tractor is located That is, [0 0 -r]T rotation transformation is obtained, in the geodetic 7 coordinate system, The second ground point can be obtained, that is, the coordinates of the second ground point P2 in FIG. 8 in the
步骤5)中,计算第二接地点O5在大地7坐标系下的坐标:通过牵引车后轮4所在坐标系的向量即[-lx1 0 lz1]T旋转变换得到,其中lx1为O4到O5的沿牵引车后轮4所在坐标系x轴方向的距离,lz为O4到O5的沿牵引车后轮4所在坐标系z轴方向的距离,在大地7坐标系下,便可求出O5点在大地7坐标系下的坐标。In step 5), calculate the coordinates of the second grounding point O5 in the
步骤6)中,通过拖挂车车架5所在坐标系的向量即[-lx2 0 -lz2]T旋转变换得到,其中lx2为O5到O6的沿拖挂车车架5所在坐标系x轴方向的距离,lz为O5到O6的沿拖挂车车架5所在坐标系z轴方向的距离;在大地7坐标系下可通过拖挂车车轮6所在坐标系的向量即[0 0 -r]T旋转变换得到,在大地7坐标系下,便便可求出第三接地点在大地7坐标系下的坐标。In step 6), through the vector of the coordinate system where the
上述步骤5)和步骤6)涉及相关的坐标映射计算链式图如图6所示。The above-mentioned steps 5) and 6) involve the related coordinate mapping calculation chain diagram as shown in FIG. 6 .
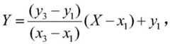
在步骤(3)中,三个梯形面积的计算方法相同,以S1为例,具体的计算步骤为:In step (3), the calculation methods of the three trapezoid areas are the same. Taking S1 asan example, the specific calculation steps are:
1)在大地7坐标系中,P1、P2、P3、ZMP的坐标可分别表示为P1(x1,y1)、P2(x2,y2)、P3(x3,y3)、ZMP(xzmp,yzmp),上述各坐标已经在步骤(1)中计算出,于是直线P1P2的方程为直线P2P3的方程为直线P3P1的方程为过ZMP(xzmp,yzmp)点作P1P2平行线,即第一平行线,第一平行线的方程为1) In the geodetic 7 coordinate system, the coordinates of P1, P2, P3, and ZMP can be expressed as P1 (x1 , y1 ), P2 (x2 , y2 ), P3 (x3 , y3 ), respectively ), ZMP(xzmp , yzmp ), the above coordinates have been calculated in step (1), so the equation of the straight line P1 P2 is The equation of the straight line P2 P3 is The equation of the straight line P3 P1 is Draw a P1 P2 parallel line through the point ZMP(xzmp , yzmp ), that is, the first parallel line. The equation of the first parallel line is
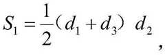
2)第一平行线与直线P2P3和直线P3P1分别有1个交点,这两个交点之间的可求出为d1;通过点ZMP到直线的距离公式可求出ZMP(xzmp,yzmp)到直线P1P2的距离为d2;通过已知的P1(x1,y1),P2(x2,y2)可求出P1点到P2点的距离为d3;于是,便可求出S1的面积大小。2) The first parallel line has one intersection point with the straight line P2 P3 and the straight line P3 P1 respectively, and the distance between these two intersection points can be obtained as d1 ; ZMP can be obtained through the distance formula from the point ZMP to the straight line The distance from (xzmp , yzmp ) to the straight line P1 P2 is d2 ; through the known P1 (x1 , y1 ), P2 (x2 , y2 ) can be obtained from the point P1 to P The distance between2 points is d3 ; thus, The sizeof the area of S1 can be obtained.
S2、S3的计算方法与S1的计算方法相同,S则利用三角形面积求法求得。拖挂式自行车相对于接地三角形的每条边的动态稳定裕度可表示为:其中i=1,2,3。Ki值越大,说明拖挂式自行车相对于所对应的边越稳定。The calculation method of S2 and S3 is the same as that of S1 , and S is obtained by using the triangular area calculation method. The dynamic stability margin of a trailer bike with respect to each side of the grounded triangle can be expressed as: where i=1,2,3. The larger the value of Ki , the more stable the trailer bicycle is relative to the corresponding side.
本发明还进行静态稳定裕度的估算,具体方法为:静态下的拖挂式自行车与地面接触的三个接地点形成静态接地三角形,所述静态接地三角形的面积与这三个接地点能形成的最大三角形的面积之比,得到静态稳定裕度。即,K=S/Smax,其中,K为静态稳定裕度,S为静态接地三角形的面积,Smax为三个接地点所能形成的最大三角形面积。当K=0时,拖挂式自行车三个车轮在一条直线上,拖挂式自行车稳定程度最差;当K=1时,静态接地三角形面积最大,拖挂式自行车达到最稳定状态。静态稳定裕度用于综合评判整个拖挂式自行车的稳定程度,无需考虑ZMP在静态接地三角形内的位置。The present invention also estimates the static stability margin, and the specific method is as follows: the three grounding points of the trailer-type bicycle in static contact with the ground form a static grounding triangle, and the area of the static grounding triangle and the three grounding points can form a static grounding triangle. The ratio of the areas of the largest triangles to obtain the static stability margin. That is, K=S/Smax , where K is the static stability margin, S is the area of the static grounding triangle, and Smax is the maximum triangle area that can be formed by three grounding points. When K=0, the three wheels of the trailer bicycle are in a straight line, and the stability of the trailer bicycle is the worst; when K=1, the static grounding triangle area is the largest, and the trailer bicycle reaches the most stable state. The static stability margin is used to comprehensively judge the stability of the entire trailer bike, regardless of the position of the ZMP within the static grounding triangle.
针对步骤(4)的动态接地三角形的三条边的动态稳定裕度设置了PID控制器,用于控制拖挂式自行车的动态平衡,所述PID控制器以作为误差值进行PID运算,输出电流,所述电流输入至所述拖挂式自行车车把2的电机,以控制所述拖挂式自行车的平衡。其中,i=1、2、3,即,K1为第一条边的动态稳定裕度,K2为第二条边的动态稳定裕度,K3为第三条边的动态稳定裕度;等式说明动态稳定裕度Ki越大,误差δi越小。PID控制器的流程图如图2所示。A PID controller is set for the dynamic stability margin of the three sides of the dynamic grounding triangle in step (4) to control the dynamic balance of the trailer bicycle, and the PID controller is based on PID operation is performed as an error value, and a current is output, and the current is input to the motor of the
所述PID运算表达式为:The PID operation expression is:
式中,I为所述拖挂式自行车车把2的电机电流,通过调节I便可达到对车把2的调节,进而实现对拖挂式自行车动态稳定进行控制,KPi、KDi、KIi为PID调节参数,为δi的一阶导,i=1、2、3。Ki的值越大时,KPi、KDi、KIi的值越小。例如,当S1>S2>S3时,KP3>KP2>KP1、KD3>KD2>KD1、KI3>KI2>KI1,即Si越大调节越慢,以至于动态接地三角形的三个梯形面积快速的调至大小接近,从而使拖挂式自行车达到最稳定状态。调节KPi、KDi、KIi到合适的数值,和通过每一时刻各个传感器测量的数据进行反馈,便可以达到控制拖挂式自行车的稳定的目的。PID控制器的流程图如图2所示。 In the formula, I is the motor current of the
| Application Number | Priority Date | Filing Date | Title |
|---|---|---|---|
| CN201910407550.8ACN110083075B (en) | 2019-05-15 | 2019-05-15 | Stability margin estimation method and control method for a trailer-mounted bicycle |
| Application Number | Priority Date | Filing Date | Title |
|---|---|---|---|
| CN201910407550.8ACN110083075B (en) | 2019-05-15 | 2019-05-15 | Stability margin estimation method and control method for a trailer-mounted bicycle |
| Publication Number | Publication Date |
|---|---|
| CN110083075A CN110083075A (en) | 2019-08-02 |
| CN110083075Btrue CN110083075B (en) | 2022-04-08 |
| Application Number | Title | Priority Date | Filing Date |
|---|---|---|---|
| CN201910407550.8AActiveCN110083075B (en) | 2019-05-15 | 2019-05-15 | Stability margin estimation method and control method for a trailer-mounted bicycle |
| Country | Link |
|---|---|
| CN (1) | CN110083075B (en) |
| Publication number | Priority date | Publication date | Assignee | Title |
|---|---|---|---|---|
| JPH10217161A (en)* | 1997-01-31 | 1998-08-18 | Honda Motor Co Ltd | Gait generator for legged mobile robot |
| JP2002326173A (en)* | 2001-04-27 | 2002-11-12 | Honda Motor Co Ltd | Motion generation device for legged mobile robot |
| CN101414190A (en)* | 2008-10-28 | 2009-04-22 | 北京理工大学 | Method and system for controlling apery robot stabilized walking based on effective stable domain |
| CN101950176A (en)* | 2010-09-02 | 2011-01-19 | 北京理工大学 | Method for performing zero moment point (ZMP) calibration autonomously by robot |
| CN103963782A (en)* | 2014-05-09 | 2014-08-06 | 济南大学 | Pull type mobile robot parallel parking method |
| CN106354160A (en)* | 2016-09-20 | 2017-01-25 | 济南大学 | Direction angle control method of n-section pull-type moving robot during reverse motion |
| CN106547206A (en)* | 2016-06-29 | 2017-03-29 | 中南大学 | A kind of multi-foot robot dynamic stability based on strength of one's legs algorithm for estimating quantitatively judges method |
| CN106737669A (en)* | 2016-12-12 | 2017-05-31 | 杭州宇芯机器人科技有限公司 | Consider the multi-foot robot energy margin computational methods of external impacts interference and damping |
| CN107168061A (en)* | 2017-05-31 | 2017-09-15 | 江西制造职业技术学院 | The gait planning device and its planing method of a kind of anthropomorphic robot similitude motion |
| Publication number | Priority date | Publication date | Assignee | Title |
|---|---|---|---|---|
| JPH10217161A (en)* | 1997-01-31 | 1998-08-18 | Honda Motor Co Ltd | Gait generator for legged mobile robot |
| JP2002326173A (en)* | 2001-04-27 | 2002-11-12 | Honda Motor Co Ltd | Motion generation device for legged mobile robot |
| CN101414190A (en)* | 2008-10-28 | 2009-04-22 | 北京理工大学 | Method and system for controlling apery robot stabilized walking based on effective stable domain |
| CN101950176A (en)* | 2010-09-02 | 2011-01-19 | 北京理工大学 | Method for performing zero moment point (ZMP) calibration autonomously by robot |
| CN103963782A (en)* | 2014-05-09 | 2014-08-06 | 济南大学 | Pull type mobile robot parallel parking method |
| CN106547206A (en)* | 2016-06-29 | 2017-03-29 | 中南大学 | A kind of multi-foot robot dynamic stability based on strength of one's legs algorithm for estimating quantitatively judges method |
| CN106354160A (en)* | 2016-09-20 | 2017-01-25 | 济南大学 | Direction angle control method of n-section pull-type moving robot during reverse motion |
| CN106737669A (en)* | 2016-12-12 | 2017-05-31 | 杭州宇芯机器人科技有限公司 | Consider the multi-foot robot energy margin computational methods of external impacts interference and damping |
| CN107168061A (en)* | 2017-05-31 | 2017-09-15 | 江西制造职业技术学院 | The gait planning device and its planing method of a kind of anthropomorphic robot similitude motion |
| Title |
|---|
| 拖挂式自行车机器人机构设计与非完整约束分析;黄用华;《机械设计与研究》;20180630;第34卷(第3期);第54-57、62页* |
| Publication number | Publication date |
|---|---|
| CN110083075A (en) | 2019-08-02 |
| Publication | Publication Date | Title |
|---|---|---|
| CN108482379B (en) | Wheel-hub motor driven vehicle coefficient of road adhesion and the synchronous real-time estimation system and method for road gradient | |
| He et al. | Path tracking control method and performance test based on agricultural machinery pose correction | |
| US20210240192A1 (en) | Estimation method and estimator for sideslip angle of straight-line navigation of agricultural machinery | |
| CN112050809B (en) | Wheel type odometer and gyroscope information fusion unmanned vehicle directional positioning method | |
| CN109606378B (en) | A Vehicle Driving State Estimation Method for Non-Gaussian Noise Environment | |
| CN110001637A (en) | A kind of pilotless automobile path following control device and control method based on multiple spot tracking | |
| CN112014849B (en) | Unmanned vehicle positioning correction method based on sensor information fusion | |
| CN109324616B (en) | Alignment method of unmanned parking and handling robot based on on-board sensors | |
| CN113060143B (en) | A system and method for determining pavement adhesion coefficient | |
| CN108646747A (en) | Agri-vehicle path tracking control method | |
| CN114966629A (en) | Vehicle body laser radar external reference calibration method based on EKF algorithm framework | |
| WO2020191977A1 (en) | Dead reckoning method of automatic parking positioning system | |
| CN111750897B (en) | A yaw rate gyroscope bias estimation method based on Romberg observer | |
| CN107016157A (en) | Distributed-driving electric automobile pavement self-adaptive longitudinal direction speed estimating system and method | |
| CN110007667A (en) | A kind of crawler tractor and its path tracking control method and system | |
| WO2019047509A1 (en) | Two-wheel monorail vehicle and balance control method therefor | |
| CN102717726A (en) | Electronic differential control method and electrically driven mine car using same | |
| CN114217620A (en) | Intelligent obstacle avoidance control system and method for wheeled robot | |
| CN108860137B (en) | Control method, device and intelligent vehicle for unstable vehicle | |
| CN110083075B (en) | Stability margin estimation method and control method for a trailer-mounted bicycle | |
| WO2025060782A1 (en) | Yaw rate-based trajectory tracking method for tracked vehicle | |
| CN110104102B (en) | Estimation Method of Longitudinal Slip State of Self-balancing Bicycle Driving Wheel | |
| CN110155236B (en) | Boolean judgment method for toppling direction of trailing bicycle based on ZMP | |
| CN110949499B (en) | A commercial vehicle unmanned steering angle compensation system and its control method | |
| KR102497027B1 (en) | Control method and system for estimating position of vehicle |
| Date | Code | Title | Description |
|---|---|---|---|
| PB01 | Publication | ||
| PB01 | Publication | ||
| SE01 | Entry into force of request for substantive examination | ||
| SE01 | Entry into force of request for substantive examination | ||
| GR01 | Patent grant | ||
| GR01 | Patent grant | ||
| EE01 | Entry into force of recordation of patent licensing contract | ||
| EE01 | Entry into force of recordation of patent licensing contract | Application publication date:20190802 Assignee:Guangxi Cuizhi Rongchuang Technology Co.,Ltd. Assignor:GUILIN University OF ELECTRONIC TECHNOLOGY Contract record no.:X2023980046599 Denomination of invention:Stability margin estimation method and control method for a trailer mounted bicycle Granted publication date:20220408 License type:Common License Record date:20231108 |