Movatterモバイル変換


[0]ホーム

URL:


CN110060280B - Target tracking method based on appearance self-adaptive spatial regularization correlation filter - Google Patents

Target tracking method based on appearance self-adaptive spatial regularization correlation filter
Download PDF

Info

Publication number
CN110060280B
CN110060280BCN201910349109.9ACN201910349109ACN110060280BCN 110060280 BCN110060280 BCN 110060280BCN 201910349109 ACN201910349109 ACN 201910349109ACN 110060280 BCN110060280 BCN 110060280B
Authority
CN
China
Prior art keywords
target
matrix
filter
correlation filter
class
Prior art date
Legal status (The legal status is an assumption and is not a legal conclusion. Google has not performed a legal analysis and makes no representation as to the accuracy of the status listed.)
Expired - Fee Related
Application number
CN201910349109.9A
Other languages
Chinese (zh)
Other versions
CN110060280A (en
Inventor
周武能
傅衡成
Current Assignee (The listed assignees may be inaccurate. Google has not performed a legal analysis and makes no representation or warranty as to the accuracy of the list.)
Donghua University
Original Assignee
Donghua University
Priority date (The priority date is an assumption and is not a legal conclusion. Google has not performed a legal analysis and makes no representation as to the accuracy of the date listed.)
Filing date
Publication date
Application filed by Donghua UniversityfiledCriticalDonghua University
Priority to CN201910349109.9ApriorityCriticalpatent/CN110060280B/en
Publication of CN110060280ApublicationCriticalpatent/CN110060280A/en
Application grantedgrantedCritical
Publication of CN110060280BpublicationCriticalpatent/CN110060280B/en
Expired - Fee Relatedlegal-statusCriticalCurrent
Anticipated expirationlegal-statusCritical

Links

Images

Classifications

Landscapes

Abstract

Translated fromChinese

本发明公开了一种基于外观自适应空间正则化相关滤波器的目标跟踪方法,包括:利用在线K‑means聚类算法对跟踪结果图像块进行目标与背景的的分割,并得到目标区域模板;利用目标区域模板生成空间正则化权重矩阵;用交替方向乘子法(ADMM)训练学习具有空间正则化的相关滤波器,对目标进行跟踪。本发明能够有效的限制相关滤波器学习内容,减少相关滤波器的背景信息,抑制相关滤波器的边界效应。与传统的带有空间正则化的相关滤波器相比,更精准的对目标区域与背景区域进行不同程度抑制;能够扩大相关滤波器的搜索范围,提升相关滤波器对目标大位移的鲁棒性。

Figure 201910349109

The invention discloses a target tracking method based on an appearance-adaptive space regularization correlation filter. The spatial regularization weight matrix is generated using the target region template; the alternating direction multiplier method (ADMM) is used to train and learn the correlation filter with spatial regularization to track the target. The invention can effectively limit the learning content of the correlation filter, reduce the background information of the correlation filter, and suppress the boundary effect of the correlation filter. Compared with the traditional correlation filter with spatial regularization, it can more accurately suppress the target area and the background area to different degrees; it can expand the search range of the correlation filter and improve the robustness of the correlation filter to large target displacements .

Figure 201910349109

Description

Target tracking method based on appearance self-adaptive spatial regularization correlation filter
Technical Field
The invention relates to a target tracking method based on an appearance self-adaptive spatial regularization correlation filter, and belongs to the technical field of video target tracking.
Background
The target tracking has important significance for the development of the fields of robots, unmanned planes, automatic driving, navigation, guidance and the like. For example, in the human-computer interaction process, the camera continuously tracks the human behavior, and the robot achieves the understanding of the human posture, the human motion and the human gesture through a series of analysis processing, so that the friendly communication between the human and the machine is better realized; in the unmanned aerial vehicle target tracking process, visual information of a target is continuously acquired and transmitted to a ground control station, and a video image sequence is analyzed through an algorithm to obtain real-time position information of the tracked target so as to ensure that the tracked target is within the visual field range of the unmanned aerial vehicle in real time.
When tracking an object in a video using a KCF algorithm, a fast motion or a violent motion of the tracked object may cause a search area of the KCF algorithm not to be completely covered, thereby causing a tracking failure. One way to ensure that the search area covers the target is by enlarging the area of the search area, but this introduces boundary effects that cause the filter to learn too much background information. There is a need to find an algorithm that can both enlarge the search area and suppress the background information of the filter.
Disclosure of Invention
The technical problem to be solved by the invention is as follows: although the normalized spatial regularization related filtering algorithm can well solve the boundary effect, the regularization strategy of the algorithm only applies different penalty coefficients to the filter according to the positions of the coefficients of the filter, but the filter learning target information is not beneficial, so that the regularization strategy which can inhibit the boundary effect and better learn the target information needs to be found.
In order to solve the above technical problem, a technical solution of the present invention is to provide a target tracking method based on an appearance adaptive spatial regularization correlation filter, which is characterized by comprising the following steps:
(1) initializing the learning rate of a filter, the maximum iteration times of an ADMM algorithm, a Lagrange penalty factor and the size of a search box;
(2) extracting an image block containing a target from the t frame image, sorting each pixel point of the image block into a sample, and sequentially putting all sample points into a sequence D;
(3) clustering the sample points in the array D by using a K-means algorithm, and specifically setting as follows: measuring the similarity of the sample points by Euclidean distance, wherein the initial 5 centroids are designated as four vertexes of the rectangular image block and the central point of the rectangle, and finally obtaining the category of each sample point;
(4) arranging the sample points into a matrix P with the same size as the original image block according to the original sequence, wherein the elements of the matrix P are corresponding samplesThe class value of the point in the step (3) is that a matrix P with the same center point as that of the matrix P is intercepted from the matrix P1But matrix P1Is 0.6 times the current target size, for matrix P1Counting and sorting the number of the belonged classes, considering the class with the largest number as the class where the target is located, naming as the target class, if the current frame is not the first frame, adding a class which is closest to all the previous target classes, adding the target class, setting the position of the class belonging to the target class to be 1 by using the elements in the matrix P, and if not, setting the positions of the classes to be 0, finally obtaining a Mask matrix of the area where the target is located, resetting the value of the position with the value of 1 to be 0.01 according to the Mask matrix, resetting the value of the position with the value of 0 to be 100000, and naming as a weight matrix w;
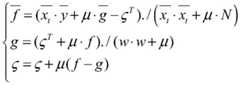
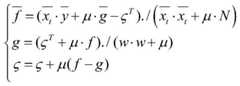
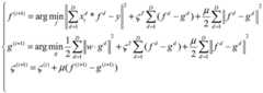
(5) solving the filter by using an alternating direction multiplier method, wherein an objective function L (f, g) of the filter is as follows:
Figure BDA0002043341350000021
where f is the filter, g is the auxiliary variable, y is the label generated by the Gaussian function,
Figure BDA0002043341350000022
represents the D-th feature channel of the target image block of the t-th frame, D represents the total number of feature channels,
Figure BDA0002043341350000025
is a Lagrange multiplier, mu is a Lagrange penalty factor;
the ADMM algorithm solves the objective function by iteratively solving the following subproblems:
Figure BDA0002043341350000023
the above subproblems are all closed-form solutions:
Figure BDA0002043341350000024
the horizontal line on the matrix represents the frequency domain form of the matrix, and the elements of the matrix N are all 1;
(5) the filter trained in step (4) is recorded as
Figure BDA0002043341350000031
And updating the previous filter, wherein the updated formula is shown as follows:
Figure BDA0002043341350000032
in the formula (I), the compound is shown in the specification,
Figure BDA0002043341350000033
and eta is the learning rate of the filter.
(7) If t frame is not the last frame, use hitAnd (3) scoring the candidate samples to obtain a response graph, taking the position with the maximum response value as the position of the target central point, and returning to the step (2), otherwise, ending the tracking.
Preferably, in step (2), the sample comprises 5 dimensions, and the sequence is: and carrying out dimension normalization processing on the R channel value, the G channel value, the B channel value, the X-axis coordinate and the Y-axis coordinate, so that the values are distributed in a [0,1] interval.
The invention can effectively limit the learning content of the correlation filter, reduce the background information of the correlation filter and inhibit the boundary effect of the correlation filter. Compared with the traditional correlation filter with spatial regularization, the method has the advantages that the target area and the background area are more accurately inhibited to different degrees; the search range of the correlation filter can be expanded, and the robustness of the correlation filter to large displacement of the target is improved.
Drawings
FIG. 1 is a flow algorithm implemented by the present invention;
fig. 2 is a process for obtaining the weight matrix according to the embodiment of the present invention.
Detailed Description
The invention will be further illustrated with reference to the following specific examples. It should be understood that these examples are for illustrative purposes only and are not intended to limit the scope of the present invention. Further, it should be understood that various changes or modifications of the present invention may be made by those skilled in the art after reading the teaching of the present invention, and such equivalents may fall within the scope of the present invention as defined in the appended claims.
With reference to fig. 1, the target tracking method based on the appearance adaptive spatial regularization correlation filter provided by the present invention includes the following steps:
(1) initializing the learning rate of the filter, the maximum iteration times of the ADMM, a Lagrange penalty factor and the size of a search box.
(2) And extracting image blocks containing the target from the t frame image, and sorting each pixel point of the image blocks into a sample. This sample contains 5 dimensions, arranged in the order: r channel, G channel value, B channel value, X axis coordinate, and Y axis coordinate. And carrying out dimension-based normalization processing on the first 3 dimensions, so that the values are distributed in a [0,1] interval. Finally, all the sample points are put into the array D in sequence.
(3) Clustering the sample points in the array D by using a K-means algorithm, and specifically setting as follows: the similarity of the sample points is measured in euclidean distances, and the initial 5 centroids are specified as the four vertices of the rectangular image block and the center point of the rectangle. And finally obtaining the category of each sample point.
(6) Arranging the sample points into a matrix P with the same size as the original image block according to the original sequence, wherein the elements of the matrix P are the belonged values of the corresponding sample points in the step (3). Intercepting a matrix P with the same center point as the matrix P in the matrix P1But matrix P1Is 0.6 times the current target size. For matrix P1And counting and ordering the number of the belonged categories, and considering the category with the largest number as the category where the target is located, and naming the category as the target category. In addition, if the current frame is not the first frame, adding a frame closest to all the previous target classesAnd (4) adding the target class. And (3) setting the position of the element in the matrix P to be 1 according to the category belonging to the target class, otherwise, setting the position to be 0, finally obtaining a Mask matrix of the region where the target is located, resetting the value of the position with the value of 1 to be 0.01 according to the Mask matrix, resetting the value of the position with the value of 0 to be 100000, and naming the element as a weight matrix w.
(5) And solving the filter by using an alternating direction multiplier method, wherein the objective function of the filter is as follows:
Figure BDA0002043341350000041
where f is the filter, g is the auxiliary variable, y is the label generated by the Gaussian function,
Figure BDA0002043341350000042
represents the D-th feature channel of the target image block of the t-th frame, D represents the total number of feature channels,
Figure BDA0002043341350000044
is a lagrange multiplier and μ is a lagrange penalty factor. The ADMM algorithm solves the objective function by iteratively solving the following subproblems:
Figure BDA0002043341350000043
the subproblems in the above equation all have a closed form solution, as shown in the following equation:
Figure BDA0002043341350000051
in the above formula, the horizontal lines on the matrix represent the frequency domain form of the matrix, and the elements of the matrix N are all 1.
(6) The filter trained in step (5) is recorded as
Figure BDA0002043341350000052
And for the previous filterAnd updating the line, wherein the updated formula is shown as the following formula:
Figure BDA0002043341350000053
in the formula (I), the compound is shown in the specification,
Figure BDA0002043341350000054
and eta is the learning rate of the filter.
(7) If t frame is not the last frame, use
Figure BDA0002043341350000055
And (3) scoring the candidate samples to obtain a response graph, taking the position with the maximum response value as the position of the target central point, and returning to the step (2), otherwise, ending the tracking.
Fig. 2 is a process for obtaining the weight matrix according to the embodiment of the present invention.

Claims (2)

1. A target tracking method based on an appearance self-adaptive spatial regularization correlation filter is characterized by comprising the following steps:
(1) initializing the learning rate of a filter, the maximum iteration times of an ADMM algorithm, a Lagrange penalty factor and the size of a search box;
(2) extracting an image block containing a target from the t frame image, sorting each pixel point of the image block into a sample, and sequentially putting all sample points into a sequence M;
(3) clustering sample points in the number series M by using a K-means algorithm, and specifically setting as follows: measuring the similarity of the sample points by Euclidean distance, wherein the initial 5 centroids are designated as four vertexes of the rectangular image block and the central point of the rectangle, and finally obtaining the category of each sample point;
(4) arranging the sample points into a matrix P with the same size as the original image block according to the original sequence, wherein the elements of the matrix P are the values to which the corresponding sample points belong in the step (3), and intercepting one sample point in the matrix P to be consistent with the center point of the matrix PThe same matrix P1But matrix P1Is 0.6 times the current target size, for matrix P1Counting and sorting the number of the belonged classes, considering the class with the largest number as the class where the target is located, naming as the target class, if the current frame is not the first frame, adding a class which is closest to all the previous target classes, adding the target class, setting the position of the class belonging to the target class to be 1 by using the elements in the matrix P, and if not, setting the positions of the classes to be 0, finally obtaining a Mask matrix of the area where the target is located, resetting the value of the position with the value of 1 to be 0.01 according to the Mask matrix, resetting the value of the position with the value of 0 to be 100000, and naming as a weight matrix w;
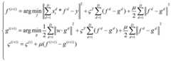
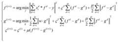
(5) solving the filter by using an alternating direction multiplier method, wherein an objective function L (f, g) of the filter is as follows:
Figure FDA0002812036950000011
where f is the filter, g is the auxiliary variable, y is the label generated by the Gaussian function,
Figure FDA0002812036950000012
representing the target image block x of the t-th frametD represents the total number of feature channels,
Figure FDA0002812036950000013
is a Lagrange multiplier, mu is a Lagrange penalty factor;
the ADMM algorithm solves the objective function by iteratively solving the following subproblems:
Figure FDA0002812036950000021
the above subproblems are all closed-form solutions:
Figure FDA0002812036950000022
the horizontal line on the matrix represents the frequency domain form of the matrix, and the elements of the matrix N are all 1;
(6) The filter trained in step (4) is recorded as
Figure FDA0002812036950000023
And updating the previous filter, wherein the updated formula is shown as follows:
Figure FDA0002812036950000024
in the formula (I), the compound is shown in the specification,
Figure FDA0002812036950000025
a filter representing the ith feature of the t-th frame, wherein eta is the learning rate of the filter;
(7) if t frame is not the last frame, use
Figure FDA0002812036950000026
And (3) scoring the candidate samples to obtain a response graph, taking the position with the maximum response value as the position of the target central point, and returning to the step (2), otherwise, ending the tracking.
2. The method for tracking a target based on an appearance adaptive spatial regularization correlation filter according to claim 1, wherein in step (2), the samples comprise 5 dimensions, and are arranged in the following order: and carrying out dimension normalization processing on the R channel value, the G channel value, the B channel value, the X-axis coordinate and the Y-axis coordinate, so that the values are distributed in a [0,1] interval.
CN201910349109.9A2019-04-282019-04-28Target tracking method based on appearance self-adaptive spatial regularization correlation filterExpired - Fee RelatedCN110060280B (en)

Priority Applications (1)

Application NumberPriority DateFiling DateTitle
CN201910349109.9ACN110060280B (en)2019-04-282019-04-28Target tracking method based on appearance self-adaptive spatial regularization correlation filter

Applications Claiming Priority (1)

Application NumberPriority DateFiling DateTitle
CN201910349109.9ACN110060280B (en)2019-04-282019-04-28Target tracking method based on appearance self-adaptive spatial regularization correlation filter

Publications (2)

Publication NumberPublication Date
CN110060280A CN110060280A (en)2019-07-26
CN110060280Btrue CN110060280B (en)2021-03-30

Family

ID=67321280

Family Applications (1)

Application NumberTitlePriority DateFiling Date
CN201910349109.9AExpired - Fee RelatedCN110060280B (en)2019-04-282019-04-28Target tracking method based on appearance self-adaptive spatial regularization correlation filter

Country Status (1)

CountryLink
CN (1)CN110060280B (en)

Families Citing this family (2)

* Cited by examiner, † Cited by third party
Publication numberPriority datePublication dateAssigneeTitle
CN111767941B (en)*2020-05-152022-11-18上海大学 An Improved Spectral Clustering and Parallelization Method Based on Symmetric Nonnegative Matrix Factorization
CN112926693B (en)*2021-04-122024-05-24辽宁工程技术大学Nuclear related filtering method for fast motion and motion blur

Citations (6)

* Cited by examiner, † Cited by third party
Publication numberPriority datePublication dateAssigneeTitle
CN104966304A (en)*2015-06-082015-10-07深圳市赛为智能股份有限公司Kalman filtering and nonparametric background model-based multi-target detection tracking method
US9558712B2 (en)*2014-01-212017-01-31Nvidia CorporationUnified optimization method for end-to-end camera image processing for translating a sensor captured image to a display image
CN107818573A (en)*2016-09-122018-03-20杭州海康威视数字技术股份有限公司A kind of method for tracking target and device
CN108664918A (en)*2018-05-092018-10-16吉林大学Pedestrian tracting method in front of intelligent vehicle based on context-aware correlation filter
CN108776975A (en)*2018-05-292018-11-09安徽大学Visual tracking method based on semi-supervised feature and filter joint learning
CN108986139A (en)*2018-06-122018-12-11南京师范大学A kind of band for target following is made a difference the feature integration method of figure

Family Cites Families (4)

* Cited by examiner, † Cited by third party
Publication numberPriority datePublication dateAssigneeTitle
KR101382873B1 (en)*2012-06-292014-04-08엘지이노텍 주식회사Forward Collision Warning System and Forward Collision Warning Method
US9684951B2 (en)*2014-03-312017-06-20Los Alamos National Security, LlcEfficient convolutional sparse coding
CN104240256B (en)*2014-09-252017-03-15西安电子科技大学A kind of image significance detection method based on the sparse modeling of stratification
CN105654069B (en)*2016-02-032019-05-10江南大学 Incremental subspace target tracking method based on Lp norm regularization

Patent Citations (6)

* Cited by examiner, † Cited by third party
Publication numberPriority datePublication dateAssigneeTitle
US9558712B2 (en)*2014-01-212017-01-31Nvidia CorporationUnified optimization method for end-to-end camera image processing for translating a sensor captured image to a display image
CN104966304A (en)*2015-06-082015-10-07深圳市赛为智能股份有限公司Kalman filtering and nonparametric background model-based multi-target detection tracking method
CN107818573A (en)*2016-09-122018-03-20杭州海康威视数字技术股份有限公司A kind of method for tracking target and device
CN108664918A (en)*2018-05-092018-10-16吉林大学Pedestrian tracting method in front of intelligent vehicle based on context-aware correlation filter
CN108776975A (en)*2018-05-292018-11-09安徽大学Visual tracking method based on semi-supervised feature and filter joint learning
CN108986139A (en)*2018-06-122018-12-11南京师范大学A kind of band for target following is made a difference the feature integration method of figure

Non-Patent Citations (4)

* Cited by examiner, † Cited by third party
Title
《Correlation Filters with Limited Boundaries》;Galoogahi HK et al;《IEEE》;20151015;全文*
《Robust Visual Tracking via Local-Global Correlation Filter》;Fan H et al;《ResearchGate》;20170204;全文*
《多相关滤波自适应融合的鲁棒目标跟踪》;陈倩茹;《中国图象图形学报》;20180409;第23卷(第2期);全文*
《成像探测系统中的红外弱小目标跟踪点漂移抑制方法研究》;孟晔铭;《中国优秀硕士学位论文全文数据库信息科技辑》;20160315(第2016年第03期);全文*

Also Published As

Publication numberPublication date
CN110060280A (en)2019-07-26

Similar Documents

PublicationPublication DateTitle
CN111462200B (en) A cross-video pedestrian positioning and tracking method, system and device
Dong et al.Ellipse R-CNN: Learning to infer elliptical object from clustering and occlusion
CN109685066B (en)Mine target detection and identification method based on deep convolutional neural network
CN110706266B (en)Aerial target tracking method based on YOLOv3
CN108053419B (en)Multi-scale target tracking method based on background suppression and foreground anti-interference
CN110580723B (en)Method for carrying out accurate positioning by utilizing deep learning and computer vision
CN112785643A (en)Indoor wall corner two-dimensional semantic map construction method based on robot platform
CN110688965B (en)IPT simulation training gesture recognition method based on binocular vision
CN112784869A (en)Fine-grained image identification method based on attention perception and counterstudy
CN111582349B (en)Improved target tracking algorithm based on YOLOv3 and kernel correlation filtering
US8238650B2 (en)Adaptive scene dependent filters in online learning environments
CN113312973B (en) A method and system for extracting key point features of gesture recognition
JP2007535765A (en) Simultaneous positioning and mapping using multi-view feature descriptors
CN112580438B (en) A point cloud recognition method in three-dimensional scenes
CN104036523A (en)Improved mean shift target tracking method based on surf features
CN107093189A (en)Method for tracking target and system based on adaptive color feature and space-time context
CN113420648B (en)Target detection method and system with rotation adaptability
CN110555377A (en)pedestrian detection and tracking method based on fisheye camera overlook shooting
CN106780564A (en)A kind of anti-interference contour tracing method based on Model Prior
CN110060280B (en)Target tracking method based on appearance self-adaptive spatial regularization correlation filter
CN112613565A (en)Anti-occlusion tracking method based on multi-feature fusion and adaptive learning rate updating
Alsanad et al.Real-time fuel truck detection algorithm based on deep convolutional neural network
Guizilini et al.Semi-parametric learning for visual odometry
CN119169056B (en) Satellite video target tracking method, device and equipment based on refined positioning
CN119748485A (en)Track planning method and system for welding robot, storage medium and welding robot

Legal Events

DateCodeTitleDescription
PB01Publication
PB01Publication
SE01Entry into force of request for substantive examination
SE01Entry into force of request for substantive examination
GR01Patent grant
GR01Patent grant
CF01Termination of patent right due to non-payment of annual fee
CF01Termination of patent right due to non-payment of annual fee

Granted publication date:20210330


[8]ページ先頭

©2009-2025 Movatter.jp