
技术领域technical field
本申请涉及电力电子的技术领域,具体而言,涉及一种用于开关组网规划中的自优化路由系统。The present application relates to the technical field of power electronics, in particular, to a self-optimizing routing system used in switch network planning.
背景技术Background technique
微电网是一种新型网络结构,是一组微电源、负荷、储能系统和控制装置构成的系统单元,既可以与外部电网并网运行,也可以孤立运行。它是相对传统大电网的一个概念,是指多个分布式电源及其相关负载按照一定的拓扑结构组成的网络,并通过静态开关关联至常规电网,是实现主动式配电网的一种有效方式,是传统电网向智能电网的过渡。Microgrid is a new type of network structure. It is a system unit composed of a group of micro power sources, loads, energy storage systems and control devices. It can be operated in parallel with the external grid or isolated. It is a concept relative to the traditional large power grid. It refers to a network composed of multiple distributed power sources and their related loads according to a certain topology structure, and is connected to the conventional power grid through static switches. It is an effective way to realize the active distribution network. The way is the transition from traditional grid to smart grid.
传统配电网主要依靠分段器与联络开关实现网络重构并控制有功潮流,由于调整方式与开关动作次数的限制,难以应对分布式发电的不确定性。受制于分布式电源归属权问题和信息通信系统的局限性,很多用户侧分散接入的分布式电源仍处于不可控、不能控或不易控的状态,其调节能力无法支撑全局性运行优化。The traditional distribution network mainly relies on sectionalizers and tie switches to realize network reconstruction and control active power flow. Due to the limitation of adjustment methods and switching times, it is difficult to deal with the uncertainty of distributed generation. Constrained by the ownership of distributed power sources and the limitations of information and communication systems, many distributed power sources with decentralized access on the user side are still in an uncontrollable, uncontrollable or uncontrollable state, and their adjustment capabilities cannot support global operation optimization.
而现有技术中,微电网是包含负荷和分布式发电的一种新的电网组织方式,在很多情况下,并不是完全重新去规划和建设一个微电网,而是在以前的一个用电网中通过新增加一定的分布式发电和储能,配以微电网的控制措施改造升级为微电网,特别是对于电网信息物理融合网络(Grid Cyber-Physical Systems,GCPS)。由于微电网面对的是终极用户网,因此其自动化程度低、需管理的设备数量巨大等问题成了微电网在规划前期所必须面对的问题。In the existing technology, the microgrid is a new grid organization method that includes loads and distributed power generation. In the middle, a certain amount of distributed power generation and energy storage is added, and the control measures of the micro-grid are upgraded to a micro-grid, especially for the grid cyber-physical fusion network (Grid Cyber-Physical Systems, GCPS). Since the microgrid is facing the end user network, problems such as its low degree of automation and the huge number of devices to be managed have become problems that the microgrid must face in the early stage of planning.
发明内容Contents of the invention
本申请的目的在于:解决现有技术中的至少一个问题,提高微电网的自动化程度以及微电网负荷控制的准确性和可靠性。The purpose of the present application is to solve at least one problem in the prior art, improve the automation degree of the micro-grid and the accuracy and reliability of the load control of the micro-grid.
本申请的技术方案是:提供了一种用于开关组网规划中的自优化路由系统,自优化路由系统适用于具有多个微电网的配电网,微电网包括至少一根母线,母线为多级结构,任一级的母线连接有至少两个用户网负荷,自优化路由系统包括:测控断路器模块以及路由控制模块;测控断路器模块设置于母线和用户网负荷之间,测控断路器模块包括电能采集单元和负荷断路器,电能采集单元用于采集用户网负荷的第一电能,负荷断路器的吸合或关断对应于用户网负荷与母线之间的并网或切断;路由控制模块设置于配电网,路由控制模块的信号采集端连接于电能采集单元,路由控制模块的输出端连接于负荷断路器,路由控制模块用于根据第一电能和负荷断路器的吸合或关断,组建配电网的电能路由网络,电能路由网络用于传输配电网中的电能。The technical solution of this application is to provide a self-optimized routing system used in switch network planning. The self-optimized routing system is suitable for distribution networks with multiple micro-grids. The micro-grids include at least one busbar, and the busbars are Multi-level structure, the bus bar of any level is connected to at least two user network loads, the self-optimizing routing system includes: measurement and control circuit breaker module and routing control module; the measurement and control circuit breaker module is set between the bus bar and the user network load The module includes a power collection unit and a load circuit breaker. The power collection unit is used to collect the first electric energy of the load of the user network. The pull-in or shutdown of the load circuit breaker corresponds to the grid connection or cut-off between the load of the user network and the bus; the routing control The module is set in the distribution network, the signal acquisition end of the routing control module is connected to the power acquisition unit, the output end of the routing control module is connected to the load circuit breaker, and the routing control module is used to switch on or off the load circuit breaker according to the first electric energy and the load circuit breaker. The power routing network of the distribution network is established, and the power routing network is used to transmit the power in the distribution network.
上述任一项技术方案中,进一步地,自优化路由系统还包括:固态开关模块;固态开关模块设置于重要负荷和测控断路器模块之间,其中,重要负荷由用户网负荷自身的重要性确定,固态开关模块包括检测单元和固态开关,检测单元用于检测配电网中的第二电能,固态开关用于当第二电能的波动大于预设波动阈值时,固态开关断开,将重要负荷从电能路由网络中切除;测控断路器模块还用于当固态开关断开时,由并网状态转换至切断状态。In any of the above technical solutions, further, the self-optimizing routing system further includes: a solid-state switch module; the solid-state switch module is arranged between the important load and the measurement and control circuit breaker module, wherein the important load is determined by the importance of the user network load itself , the solid-state switch module includes a detection unit and a solid-state switch, the detection unit is used to detect the second electric energy in the distribution network, and the solid-state switch is used to disconnect the important load when the fluctuation of the second electric energy is greater than the preset fluctuation threshold. Excluded from the power routing network; the measurement and control circuit breaker module is also used to switch from the grid-connected state to the cut-off state when the solid-state switch is turned off.
上述任一项技术方案中,进一步地,路由控制模块根据第一电能和负荷断路器的吸合或关断,组建配电网的电能路由网络,具体包括:步骤1,配电网以广播的形式,向微电网中的用户网负荷发送路径检测信号,其中,用户网负荷为储能装置、发电装置和用电负载中的一种;步骤2,配电网根据接收到的路径反馈信号和局部预设参数,采用蚁群算法,构建电能路由网络,其中,局部预设参数由用户网负荷与配电网之间的距离、第一电能以及负荷断路器的吸合或关断确定。In any one of the above technical solutions, further, the routing control module builds the power routing network of the distribution network according to the first power and the pull-in or shut-off of the load circuit breaker, specifically including: Step 1, the power distribution network broadcasts form, sending a path detection signal to the user network load in the microgrid, where the user network load is one of the energy storage device, power generation device and power load; step 2, the distribution network receives the path feedback signal and For local preset parameters, the ant colony algorithm is used to construct a power routing network, wherein the local preset parameters are determined by the distance between the user network load and the distribution network, the first power, and the pull-in or shut-off of the load circuit breaker.
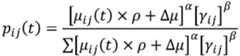
上述任一项技术方案中,进一步地,蚁群算法中,计算当前时刻t,节点vi选择节点vj作为路由路径的概率pij(t)的计算公式为:In any of the above-mentioned technical solutions, further, in the ant colony algorithm, the calculation formula for calculating the probability pij (t) of the node vi selecting the node vj as the routing path at the current moment t is:
式中,蒸发系数ρ∈(0,1],Δμ为释放量,α和β为权重系数,γij为局部预设参数,hij为节点vi到节点vj的跳数。In the formula, the evaporation coefficient ρ∈(0,1], Δμ is the release amount, α and β are weight coefficients, γij is a local preset parameter, and hij is the number of hops from node vi to node vj .
上述任一项技术方案中,进一步地,步骤2中构建电能路由网络具体包括:步骤21,用户网负荷解析路径检测信号,确定目的节点地址,其中,目的节点地址为配电网的地址,将自身的源节点地址进行打包,生成并发送路径反馈信号,路径反馈信号的格式为:源节点地址+当前节点地址+跳数;步骤22,用户网负荷向目的节点地址路径中的其余用户网负荷发送路径反馈信号,当任一相邻的用户网负荷接收到路径反馈信号时,判断自身与配电网之间的距离是否小于接收到的路径反馈信号对应的用户网负荷与配电网之间的距离,若是,执行步骤23,若否,丢弃接收到的路径反馈信号;步骤23,根据路径反馈信号中的源节点地址,判断是否接收过路径反馈信号,若是,丢弃路径反馈信号,若否,执行步骤24;步骤24,利用自身的源节点地址,代替接收到的路径反馈信号中的当前节点地址,并更新跳数,生成当前时刻的路径反馈信号,并采用蚁群算法发送将该路径反馈信号;步骤25,配电网提取接收到路径反馈信号中的源节点地址和跳数,构建电能路由网络。In any one of the above technical solutions, further, building the power routing network in step 2 specifically includes: step 21, user network load analysis path detection signal, and determining the address of the destination node, wherein the address of the destination node is the address of the distribution network, and the The source node address of itself is packaged, and a path feedback signal is generated and sent. The format of the path feedback signal is: source node address + current node address + hop number; step 22, user network load to the rest of the user network load in the destination node address path Send the path feedback signal, when any adjacent user network load receives the path feedback signal, judge whether the distance between itself and the distribution network is less than the distance between the user network load corresponding to the received path feedback signal and the distribution network If so, execute step 23, if not, discard the received path feedback signal; step 23, judge whether the path feedback signal has been received according to the source node address in the path feedback signal, if yes, discard the path feedback signal, if not , execute step 24; step 24, use its own source node address to replace the current node address in the received path feedback signal, and update the hop count to generate the path feedback signal at the current moment, and use the ant colony algorithm to send the path Feedback signal; step 25, the distribution network extracts the source node address and hop count received from the path feedback signal, and constructs a power routing network.
本申请的有益效果是:通过对配电网进行划分,构建系统保护专网,由微电网直接管理用户网负荷,保障大电网稳定,防止类似特高压直流故障引起的失调,实现精确负荷控制方式快速切负荷。The beneficial effect of this application is: by dividing the distribution network, constructing a system protection private network, the micro-grid directly manages the load of the user network, ensures the stability of the large power grid, prevents the imbalance caused by similar UHV DC faults, and realizes the precise load control mode Quick load shedding.
本申请通过将第一电能、用户网负荷与配电网之间的距离以及负荷断路器的吸合或关断状态引入蚁群算法,利用蚁群算法构建电能路由网络,提高微电网的自动化程度以及微电网负荷控制的准确性和可靠性,同时,减小了电能路由网络中控制信息的流量,降低了路由开销,有利于实现网络信息的高效传输。This application introduces the first electric energy, the distance between the load of the user network and the distribution network, and the pull-in or off state of the load circuit breaker into the ant colony algorithm, and uses the ant colony algorithm to build a power routing network to improve the automation of the microgrid As well as the accuracy and reliability of microgrid load control, at the same time, it reduces the flow of control information in the power routing network, reduces the routing overhead, and is conducive to the efficient transmission of network information.
附图说明Description of drawings
本申请的上述和/或附加方面的优点在结合下面附图对实施例的描述中将变得明显和容易理解,其中:The advantages of the above and/or additional aspects of the present application will become apparent and easily understood in the description of the embodiments in conjunction with the following drawings, in which:
图1是根据本申请的一个实施例的用于开关组网规划中的自优化路由系统的示意框图。Fig. 1 is a schematic block diagram of a self-optimizing routing system used in switch network planning according to an embodiment of the present application.
具体实施方式detailed description
为了能够更清楚地理解本申请的上述目的、特征和优点,下面结合附图和具体实施方式对本申请进行进一步的详细描述。需要说明的是,在不冲突的情况下,本申请的实施例及实施例中的特征可以相互结合。In order to better understand the above-mentioned purpose, features and advantages of the present application, the present application will be further described in detail below in conjunction with the accompanying drawings and specific embodiments. It should be noted that, in the case of no conflict, the embodiments of the present application and the features in the embodiments can be combined with each other.
在下面的描述中,阐述了很多具体细节以便于充分理解本申请,但是,本申请还可以采用其他不同于在此描述的其他方式来实施,因此,本申请的保护范围并不受下面公开的具体实施例的限制。In the following description, a lot of specific details are set forth in order to fully understand the application, however, the application can also be implemented in other ways different from those described here, therefore, the protection scope of the application is not limited by the following disclosure Limitations of specific embodiments.
在本实施例中,由于GCPS包含的子网络与微电网拓扑结构、组成形态相似,因此,GCPS可以采取微电网组网方式进行组网。In this embodiment, since the sub-networks included in the GCPS are similar to the topology and composition of the microgrid, the GCPS can adopt a microgrid networking method for networking.
如图1所示,本实施例提供了一种用于开关组网规划中的自优化路由系统,自优化路由系统适用于具有多个微电网20的配电网10,微电网20包括至少一根母线,母线为多级结构,任一级的母线连接有至少两个用户网负荷,在本实施例中,设定母线分为一级母线31、二级母线32和三级母线33,用户网负荷中包括非重要负荷41和重要负荷42。As shown in FIG. 1 , this embodiment provides a self-optimizing routing system used in switch network planning. The self-optimizing routing system is suitable for a
负荷按重要性分为三级:一级负荷,一旦事故断电将会造成人身危险或设备损坏,需采用双电源供电,并设备用电源自动投入;二级负荷,一旦事故断电会造成设备损坏,需采用双电源供电,设备用电源手动投入;三级负荷,在事故停电时不会造成上述人身或设备损坏,可单电源供电,不设备用电源。将一级负荷和二级负荷视为重要负荷42,非重要负荷41为三级负荷,其中,重要负荷42可以为储能装置、发电装置,非重要负荷可以为用电负载,如电视机、照明用电。The load is divided into three levels according to the importance: first-level load, once the power is cut off in an accident, it will cause personal danger or equipment damage, and it needs to be powered by dual power supplies, and the power supply for the equipment will be automatically turned on; In case of damage, dual power supply is required, and the power supply for equipment is manually switched on; for three-level loads, the above-mentioned personal or equipment damage will not be caused in the event of a power outage in an accident, and single power supply can be used for power supply without equipment power supply. Consider primary load and secondary load as
在本实施例中,自优化路由系统包括:测控断路器模块50以及路由控制模块;测控断路器模块50设置于母线和用户网负荷之间,测控断路器模块50包括电能采集单元和负荷断路器,电能采集单元用于采集用户网负荷的第一电能,并将第一电能实时传输至配电网10,负荷断路器根据配电网10发送的动作指令进行动作,负荷断路器的吸合或关断对应于用户网负荷与母线之间的并网或切断;In this embodiment, the self-optimizing routing system includes: a measurement and control
路由控制模块设置于配电网10,路由控制模块的信号采集端连接于电能采集单元,路由控制模块的输出端连接于负荷断路器,路由控制模块用于根据第一电能和负荷断路器的吸合或关断,组建配电网10的电能路由网络,电能路由网络用于传输配电网10中的电能。The routing control module is arranged on the
进一步地,路由控制模块根据第一电能和负荷断路器的吸合或关断,组建配电网10的电能路由网络,具体包括:Further, the routing control module establishes an electric energy routing network of the
步骤1,配电网10以广播的形式,向微电网20中的用户网负荷发送路径检测信号;Step 1, the
步骤2,配电网10根据接收到的路径反馈信号和局部预设参数,采用蚁群算法,构建电能路由网络,其中,局部预设参数由用户网负荷与配电网10之间的距离、第一电能以及负荷断路器的吸合或关断确定。Step 2, the
在该步骤2中,具体地,设定接收到配电网10发送的路径反馈信号的用户网负荷为源节点,配电网10为目的节点,对于一个确定的配电网10,在不考虑用户网负荷是否与配电网10接通的情况下,各个源节点与目的节点之间的距离是由配电网10的物理结构确定的。In this step 2, specifically, the user network load receiving the path feedback signal sent by the
进一步地,步骤2中构建电能路由网络具体包括:Further, building the power routing network in step 2 specifically includes:
步骤21,用户网负荷解析路径检测信号,确定目的节点地址,其中,目的节点地址为配电网10的地址,将自身的源节点地址进行打包,生成并发送路径反馈信号,路径反馈信号的格式为:源节点地址+当前节点地址+跳数;Step 21, the user network load analyzes the path detection signal, and determines the destination node address, wherein the destination node address is the address of the
在该步骤21中,用户网负荷获取到配电网10发送的广播信号后,解析获取广播信号中配电网10对应的目的节点地址,将自身的节点地址作为源节点地址,加入跳数后,打包生成路径反馈信号。在蚁群算法中,将配电网10、微电网20、用户网负荷设定为顶点,并虚拟一个蚂蚁,该蚂蚁携带路径反馈信号,根据目的节点地址,向其余顶点(中间点)前进,直到抵达目的节点地址,即配电网10,此时,当前节点地址等于目的节点地址。当蚂蚁到达下个顶点时,将路径反馈信号中的跳数做加1操作。In this step 21, after the user network load obtains the broadcast signal sent by the
步骤22,用户网负荷向目的节点地址路径中的其余用户网负荷发送路径反馈信号,当任一相邻的用户网负荷接收到路径反馈信号时,判断自身与配电网10之间的距离是否小于接收到的路径反馈信号对应的用户网负荷与配电网10之间的距离,若是,执行步骤23,若否,丢弃接收到的路径反馈信号;Step 22, the user network load sends path feedback signals to the remaining user network loads in the destination node address path, and when any adjacent user network load receives the path feedback signal, it judges whether the distance between itself and the
在该步骤22中,具体地,设定蚂蚁已经爬至中间点vi,蚂蚁设定中间点vi为起始点,当蚂蚁爬至下一个中间点vj时,即将中间点vi对应的路径反馈信号发送至中间点vj。检查中间点vj与配电网10之间的距离是否小于中间点vi与配电网10之间的距离,即确定蚂蚁是向前爬行。In this step 22, specifically, it is set that the ant has climbed to the intermediate point vi , and the ant sets the intermediate point vi as the starting point. When the ant climbs to the next intermediate point vj , the corresponding intermediate point vi The path feedback signal is sent to the intermediate point vj . Check whether the distance between the intermediate point vj and the
步骤23,根据路径反馈信号中的源节点地址,判断是否接收过路径反馈信号,若是,丢弃路径反馈信号,若否,执行步骤24;Step 23, according to the source node address in the path feedback signal, judge whether the path feedback signal has been received, if so, discard the path feedback signal, if not, perform step 24;
步骤24,利用自身的源节点地址,代替接收到的路径反馈信号中的当前节点地址,并更新跳数,生成当前时刻的路径反馈信号,并采用蚁群算法发送该路径反馈信号;Step 24, using its own source node address to replace the current node address in the received path feedback signal, and updating the number of hops to generate the path feedback signal at the current moment, and using the ant colony algorithm to send the path feedback signal;
具体地,当蚂蚁爬过任一个中间点时,该中间点会记录蚂蚁携带的路径反馈信号,当中间点vj判定已经接收过该蚂蚁携带的路径反馈信号时,表明该蚂蚁来过,为了避免消息的循环和重复发送,将相同源节点地址的路径反馈信号进行丢弃。若中间点vj判定未接收过该路径反馈信号,记录该路径反馈信号,并将自身的源节点地址vj代替路径反馈信号中的当前节点地址vi,并将跳数加1,向下一个相邻的中间点转发,重复步骤22,直到蚂蚁爬行至配电网10,即路径反馈信号中的当前节点地址等于目的节点地址。Specifically, when an ant crawls over any intermediate point, the intermediate point will record the path feedback signal carried by the ant. When the intermediate point vj judges that the path feedback signal carried by the ant has been received, it indicates that the ant has come. Avoid looping and repeated sending of messages, and discard path feedback signals with the same source node address. If the intermediate point vj judges that the path feedback signal has not been received, record the path feedback signal, replace the current node address vi in the path feedback signal with its own source node address vj , add 1 to the hop count, and move downward An adjacent intermediate point forwards, and repeats step 22 until the ant crawls to the
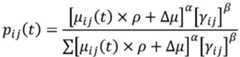
在蚁群算法中,计算当前时刻t,蚂蚁从中间点(节点)vi选择中间点(节点)vj作为路由路径的概率pij(t)的计算公式为:In the ant colony algorithm, to calculate the current moment t, the calculation formula of the probability pij (t) that the ant selects the intermediate point (node) vj as the routing path from the intermediate point (node) vi is:
式中,蒸发系数ρ∈(0,1],Δμ为释放量,α和β为权重系数,γij为局部预设参数,hij为节点vi到节点vj的跳数。In the formula, the evaporation coefficient ρ∈(0,1], Δμ is the release amount, α and β are weight coefficients, γij is a local preset parameter, and hij is the number of hops from node vi to node vj .
具体地,考虑到蚂蚁在爬行的过程中,每经过一个有效的中间点时,会进行信息素的释放,设定信息素的释放量为Δμ,为了避免统治地位路径的生成,即该路径成为电能路由网路中的必选路径,引入信息素蒸发机制,设定蒸发系数ρ,对信息素进行蒸发,以减小之前蚂蚁爬过该路径对电能路由网络的影响。Specifically, considering that ants will release pheromones every time they pass through an effective intermediate point during the crawling process, the release amount of pheromones is set to Δμ, in order to avoid the generation of dominance path, that is, the path becomes The necessary path in the power routing network introduces the pheromone evaporation mechanism, sets the evaporation coefficient ρ, and evaporates the pheromone to reduce the impact of the ants crawling through the path on the power routing network.
步骤25,配电网10提取接收到路径反馈信号中的源节点地址和跳数,构建电能路由网络。Step 25, the
在该步骤25中,当蚂蚁抵达配电网10后,配电网10根据路径反馈信号建立与用户网负荷之间的电能路由网路,实现对测控断路器模块中的负荷断路器的控制,通过控制负荷断路器的吸合或关断,将用户网负荷并网或从配电网10中切断,实现直接管理用户网负荷,保障大电网稳定。In this step 25, when the ants arrive at the
优选地,当配电网10中的电能波动较大时,为了快速对配电网10的波动做出反应,保护用户网负荷中的重要负荷42的安全稳定运行,在自优化路由系统中设置固态开关模块60;固态开关模块60设置于重要负荷42和测控断路器模块50之间,固态开关模块60包括检测单元和固态开关,检测单元用于检测配电网10中的第二电能,固态开关用于当第二电能的波动大于预设波动阈值时,固态开关断开,将重要负荷42从电能路由网络中切除;相应的,在切除重要负荷42后,利用测控断路器模块50,将用户网负荷由并网状态转换至切断状态。Preferably, when the electric energy in the
以上结合附图详细说明了本申请的技术方案,本申请提出了一种用于开关组网规划中的自优化路由系统,自优化路由系统适用于具有多个微电网的配电网,自优化路由系统包括:测控断路器模块设置于母线和用户网负荷之间,测控断路器模块包括电能采集单元和负荷断路器,电能采集单元用于采集用户网负荷的第一电能,负荷断路器的吸合或关断对应于用户网负荷与母线之间的并网或切断;路由控制模块设置于配电网,路由控制模块的信号采集端连接于电能采集单元,路由控制模块的输出端连接于负荷断路器,路由控制模块用于根据第一电能和负荷断路器的吸合或关断,组建配电网的电能路由网络,电能路由网络用于传输配电网中的电能。通过本申请中的技术方案,提高微电网负荷控制的准确性和可靠性。The above describes the technical solution of the application in detail in conjunction with the accompanying drawings. This application proposes a self-optimizing routing system used in switch network planning. The self-optimizing routing system is suitable for distribution networks with multiple microgrids. Self-optimizing The routing system includes: the measurement and control circuit breaker module is set between the busbar and the user network load. The measurement and control circuit breaker module includes a power collection unit and a load circuit breaker. On or off corresponds to the grid connection or disconnection between the user network load and the bus; the routing control module is set in the distribution network, the signal acquisition end of the routing control module is connected to the power collection unit, and the output end of the routing control module is connected to the load The circuit breaker and the routing control module are used to form an electric energy routing network of the distribution network according to the first electric energy and the switching on or off of the load circuit breaker, and the electric energy routing network is used to transmit electric energy in the distribution network. Through the technical solution in this application, the accuracy and reliability of microgrid load control are improved.
本申请中的步骤可根据实际需求进行顺序调整、合并和删减。The steps in this application can be adjusted, combined and deleted according to actual needs.
本申请装置中的单元可根据实际需求进行合并、划分和删减。Units in the device of the present application can be combined, divided and deleted according to actual needs.
尽管参考附图详地公开了本申请,但应理解的是,这些描述仅仅是示例性的,并非用来限制本申请的应用。本申请的保护范围由附加权利要求限定,并可包括在不脱离本申请保护范围和精神的情况下针对发明所作的各种变型、改型及等效方案。While the present application has been disclosed in detail with reference to the accompanying drawings, it should be understood that these descriptions are illustrative only and are not intended to limit the application of the present application. The protection scope of the present application is defined by the appended claims, and may include various changes, modifications and equivalent solutions for the invention without departing from the protection scope and spirit of the present application.
| Application Number | Priority Date | Filing Date | Title |
|---|---|---|---|
| CN201910298259.1ACN110011304B (en) | 2019-04-15 | 2019-04-15 | Self-optimization routing system for switch networking planning |
| Application Number | Priority Date | Filing Date | Title |
|---|---|---|---|
| CN201910298259.1ACN110011304B (en) | 2019-04-15 | 2019-04-15 | Self-optimization routing system for switch networking planning |
| Publication Number | Publication Date |
|---|---|
| CN110011304A CN110011304A (en) | 2019-07-12 |
| CN110011304Btrue CN110011304B (en) | 2023-01-03 |
| Application Number | Title | Priority Date | Filing Date |
|---|---|---|---|
| CN201910298259.1AActiveCN110011304B (en) | 2019-04-15 | 2019-04-15 | Self-optimization routing system for switch networking planning |
| Country | Link |
|---|---|
| CN (1) | CN110011304B (en) |
| Publication number | Priority date | Publication date | Assignee | Title |
|---|---|---|---|---|
| CN110829419B (en)* | 2019-11-15 | 2020-08-18 | 国网湖南省电力有限公司 | Substation selection method of accurate load shedding system based on routing |
| CN111327016B (en)* | 2020-02-28 | 2024-07-16 | 上海良信电器股份有限公司 | Circuit breaker, topology network, topology networking method and device |
| CN113761781B (en)* | 2020-06-05 | 2024-04-16 | 中国南方电网有限责任公司 | Distributed protection device model sharing method and device based on ant colony algorithm |
| Publication number | Priority date | Publication date | Assignee | Title |
|---|---|---|---|---|
| CN102315645A (en)* | 2011-09-09 | 2012-01-11 | 中国科学院电工研究所 | Energy router for distributed power generation |
| CN102522783A (en)* | 2012-01-17 | 2012-06-27 | 刘忠菁 | Multi-user automatic-negotiation non-synchronization micro-grid scheduling system and method |
| CN102545261A (en)* | 2012-01-16 | 2012-07-04 | 沈阳工程学院 | Micro-grid experiment system |
| CN102664415A (en)* | 2012-04-27 | 2012-09-12 | 湖北省电力公司电力试验研究院 | Classified microgrid networking system based on terminal users |
| CN102710013A (en)* | 2012-05-23 | 2012-10-03 | 中国电力科学研究院 | Park energy-network energy optimizing management system based on microgrids and implementing method thereof |
| CN102710023A (en)* | 2012-06-13 | 2012-10-03 | 中国东方电气集团有限公司 | Monitoring system applicable to different types of wind photovoltaic storage microgrid systems |
| CN102738836A (en)* | 2012-06-26 | 2012-10-17 | 中国电力科学研究院 | Alternating current and direct current hybrid micro power grid system and control method thereof |
| CN102856924A (en)* | 2012-08-29 | 2013-01-02 | 中国能源建设集团广东省电力设计研究院 | Microgrid smooth switch control method and strategy based on composite energy storage |
| US8447435B1 (en)* | 2010-04-15 | 2013-05-21 | Science Applications International Corporation | System and method for routing power across multiple microgrids having DC and AC buses |
| CN103746374A (en)* | 2014-01-14 | 2014-04-23 | 国家电网公司 | Closed loop control method comprising multi-microgrid power distribution network |
| CN203690940U (en)* | 2013-11-28 | 2014-07-02 | 国家电网公司 | Nested-type microgrid system |
| CN104361413A (en)* | 2014-11-18 | 2015-02-18 | 国家电网公司 | Method for reconstructing power distribution network containing distributed power source |
| CN105098783A (en)* | 2015-09-22 | 2015-11-25 | 南方电网科学研究院有限责任公司 | Light storage type multi-microgrid system with series and parallel structures |
| CN105116809A (en)* | 2015-09-10 | 2015-12-02 | 国电南京自动化股份有限公司 | User customizable intelligent micro grid load control system and method |
| CN105337302A (en)* | 2014-08-12 | 2016-02-17 | 国家电网公司 | Control method and apparatus for microgrid |
| CN105337310A (en)* | 2015-11-30 | 2016-02-17 | 华南理工大学 | Series-structure light storage type multi-microgrid economic operation system and method |
| CN105406515A (en)* | 2015-12-29 | 2016-03-16 | 中国科学院广州能源研究所 | Hierarchically-controlled independent microgrid |
| CN105552940A (en)* | 2015-12-22 | 2016-05-04 | 广东顺德中山大学卡内基梅隆大学国际联合研究院 | Distributed global optimum energy management system based on an alternating direction method of multipliers |
| AU2016100265A6 (en)* | 2016-03-10 | 2016-05-12 | Macau University Of Science And Technology | Multi-agent oriented method for forecasting-based control with load priority of microgrid in island mode |
| CN106329552A (en)* | 2016-11-17 | 2017-01-11 | 许继集团有限公司 | Microgrid power fluctuation leveling method based on layered energy storage |
| CN106487042A (en)* | 2016-11-22 | 2017-03-08 | 合肥工业大学 | A kind of Multiple Time Scales micro-capacitance sensor voltage power-less optimized controlling method |
| CN106786732A (en)* | 2016-11-30 | 2017-05-31 | 中国电力科学研究院 | A kind of alternating current-direct current microgrid group operation control test system |
| CN106921178A (en)* | 2017-05-09 | 2017-07-04 | 杭州赫智电子科技有限公司 | A kind of mixed type micro-grid system |
| CN107947355A (en)* | 2017-12-29 | 2018-04-20 | 大工(青岛)新能源材料技术研究院有限公司 | Grid type light stores up and the microgrid control system of generating set |
| CN207368661U (en)* | 2017-10-09 | 2018-05-15 | 珠海格力电器股份有限公司 | Energy storage network system |
| CN108206544A (en)* | 2016-12-19 | 2018-06-26 | 上海交通大学 | More microgrid control method for coordinating based on consistency protocol |
| CN108269025A (en)* | 2018-02-02 | 2018-07-10 | 国网四川省电力公司天府新区供电公司 | Source lotus peer-to-peer electric energy exchange method based on " internet+" |
| CN108767869A (en)* | 2018-06-14 | 2018-11-06 | 华北水利水电大学 | A kind of static var compensator voltage adjusting method based on artificial neural network |
| CN108886258A (en)* | 2016-03-01 | 2018-11-23 | 南洋理工大学 | Power management device and method |
| CN108964027A (en)* | 2018-07-02 | 2018-12-07 | 清华大学 | Power method for routing and device based on electric energy router networking |
| CN109245152A (en)* | 2018-08-31 | 2019-01-18 | 昆明理工大学 | A kind of micro-grid load distribution method based on multiple target ant group algorithm |
| Publication number | Priority date | Publication date | Assignee | Title |
|---|---|---|---|---|
| US9513648B2 (en)* | 2012-07-31 | 2016-12-06 | Causam Energy, Inc. | System, method, and apparatus for electric power grid and network management of grid elements |
| US20170262007A1 (en)* | 2016-03-10 | 2017-09-14 | Macau University Of Science And Technology | Multi-agent oriented method for forecasting-based control with load priority of microgrid in island mode |
| Publication number | Priority date | Publication date | Assignee | Title |
|---|---|---|---|---|
| US8447435B1 (en)* | 2010-04-15 | 2013-05-21 | Science Applications International Corporation | System and method for routing power across multiple microgrids having DC and AC buses |
| CN102315645A (en)* | 2011-09-09 | 2012-01-11 | 中国科学院电工研究所 | Energy router for distributed power generation |
| CN102545261A (en)* | 2012-01-16 | 2012-07-04 | 沈阳工程学院 | Micro-grid experiment system |
| CN102522783A (en)* | 2012-01-17 | 2012-06-27 | 刘忠菁 | Multi-user automatic-negotiation non-synchronization micro-grid scheduling system and method |
| CN102664415A (en)* | 2012-04-27 | 2012-09-12 | 湖北省电力公司电力试验研究院 | Classified microgrid networking system based on terminal users |
| CN102710013A (en)* | 2012-05-23 | 2012-10-03 | 中国电力科学研究院 | Park energy-network energy optimizing management system based on microgrids and implementing method thereof |
| CN102710023A (en)* | 2012-06-13 | 2012-10-03 | 中国东方电气集团有限公司 | Monitoring system applicable to different types of wind photovoltaic storage microgrid systems |
| CN102738836A (en)* | 2012-06-26 | 2012-10-17 | 中国电力科学研究院 | Alternating current and direct current hybrid micro power grid system and control method thereof |
| CN102856924A (en)* | 2012-08-29 | 2013-01-02 | 中国能源建设集团广东省电力设计研究院 | Microgrid smooth switch control method and strategy based on composite energy storage |
| CN203690940U (en)* | 2013-11-28 | 2014-07-02 | 国家电网公司 | Nested-type microgrid system |
| CN103746374A (en)* | 2014-01-14 | 2014-04-23 | 国家电网公司 | Closed loop control method comprising multi-microgrid power distribution network |
| CN105337302A (en)* | 2014-08-12 | 2016-02-17 | 国家电网公司 | Control method and apparatus for microgrid |
| CN104361413A (en)* | 2014-11-18 | 2015-02-18 | 国家电网公司 | Method for reconstructing power distribution network containing distributed power source |
| CN105116809A (en)* | 2015-09-10 | 2015-12-02 | 国电南京自动化股份有限公司 | User customizable intelligent micro grid load control system and method |
| CN105098783A (en)* | 2015-09-22 | 2015-11-25 | 南方电网科学研究院有限责任公司 | Light storage type multi-microgrid system with series and parallel structures |
| CN105337310A (en)* | 2015-11-30 | 2016-02-17 | 华南理工大学 | Series-structure light storage type multi-microgrid economic operation system and method |
| CN105552940A (en)* | 2015-12-22 | 2016-05-04 | 广东顺德中山大学卡内基梅隆大学国际联合研究院 | Distributed global optimum energy management system based on an alternating direction method of multipliers |
| CN105406515A (en)* | 2015-12-29 | 2016-03-16 | 中国科学院广州能源研究所 | Hierarchically-controlled independent microgrid |
| CN108886258A (en)* | 2016-03-01 | 2018-11-23 | 南洋理工大学 | Power management device and method |
| AU2016100265A6 (en)* | 2016-03-10 | 2016-05-12 | Macau University Of Science And Technology | Multi-agent oriented method for forecasting-based control with load priority of microgrid in island mode |
| CN106329552A (en)* | 2016-11-17 | 2017-01-11 | 许继集团有限公司 | Microgrid power fluctuation leveling method based on layered energy storage |
| CN106487042A (en)* | 2016-11-22 | 2017-03-08 | 合肥工业大学 | A kind of Multiple Time Scales micro-capacitance sensor voltage power-less optimized controlling method |
| CN106786732A (en)* | 2016-11-30 | 2017-05-31 | 中国电力科学研究院 | A kind of alternating current-direct current microgrid group operation control test system |
| CN108206544A (en)* | 2016-12-19 | 2018-06-26 | 上海交通大学 | More microgrid control method for coordinating based on consistency protocol |
| CN106921178A (en)* | 2017-05-09 | 2017-07-04 | 杭州赫智电子科技有限公司 | A kind of mixed type micro-grid system |
| CN207368661U (en)* | 2017-10-09 | 2018-05-15 | 珠海格力电器股份有限公司 | Energy storage network system |
| CN107947355A (en)* | 2017-12-29 | 2018-04-20 | 大工(青岛)新能源材料技术研究院有限公司 | Grid type light stores up and the microgrid control system of generating set |
| CN108269025A (en)* | 2018-02-02 | 2018-07-10 | 国网四川省电力公司天府新区供电公司 | Source lotus peer-to-peer electric energy exchange method based on " internet+" |
| CN108767869A (en)* | 2018-06-14 | 2018-11-06 | 华北水利水电大学 | A kind of static var compensator voltage adjusting method based on artificial neural network |
| CN108964027A (en)* | 2018-07-02 | 2018-12-07 | 清华大学 | Power method for routing and device based on electric energy router networking |
| CN109245152A (en)* | 2018-08-31 | 2019-01-18 | 昆明理工大学 | A kind of micro-grid load distribution method based on multiple target ant group algorithm |
| Publication number | Publication date |
|---|---|
| CN110011304A (en) | 2019-07-12 |
| Publication | Publication Date | Title |
|---|---|---|
| CN106230121B (en) | A kind of self-adaptive healing guard method applied to the power distribution network containing hybrid switch | |
| CN110011304B (en) | Self-optimization routing system for switch networking planning | |
| Ustun et al. | Implementation of Dijkstra's algorithm in a dynamic microgrid for relay hierarchy detection | |
| US11901726B2 (en) | Restoration management | |
| CN103376348B (en) | Control the method for fault current in for the system of electric power monitoring system | |
| Liu et al. | A high-reliability and determinacy architecture for smart substation process-level network based on cobweb topology | |
| CN105391030B (en) | The plan isolated island division methods of polymerization are gradually loaded based on network topology structure load | |
| CN105514951B (en) | A kind of distributed feeder automation decision-making technique realized based on open communication | |
| CN105869064A (en) | Power distribution automation terminal-oriented topology generation method and system | |
| CN104502799B (en) | Mining high-voltage electric-network short fault location automatic identifying method based on quantum communications | |
| CN111327477A (en) | A method and system for substation domain control and protection based on edge computing | |
| CN111682508A (en) | Differential protection and rapid self-healing method suitable for regional power distribution network | |
| Mwifunyi et al. | Enhancing service restoration in tanzanian power grid using internet of things sensors and renewable energy sources | |
| CN103607045A (en) | Micro grid grid-connection to grid-off smooth switching intelligent control method based on GOOSE | |
| CN103490408A (en) | Collaborative modulation method based on power grid multi-circuit direct current | |
| CN103389421A (en) | Island detection method and device based on GOOSE communication | |
| Ahmed et al. | System architecture based on IoT for smart campus parking lots | |
| CN111884186B (en) | Power distribution network node network management method | |
| US20150244208A1 (en) | Energy management apparatus and method of controlling the same | |
| CN105024346B (en) | A kind of modeling method of micro-capacitance sensor protection system | |
| TW202029612A (en) | Method for controlling renewable energy and distribution automation integrated system wherein the distribution automation system can transmit the faulty feeder switch switching information to the renewable energy management system for performing the grid-connected impact analysis based on the load change information | |
| Singh et al. | IEEE Bus Systems Using Multi-Agent System | |
| Ciancamerla et al. | Discrete event simulation of QoS of a SCADA system interconnecting a Power grid and a Telco network | |
| Liu et al. | Research on re-routing mechanism based on business risk in power communication network | |
| Liu et al. | A time delay model of the wide area monitoring and control system |
| Date | Code | Title | Description |
|---|---|---|---|
| PB01 | Publication | ||
| PB01 | Publication | ||
| SE01 | Entry into force of request for substantive examination | ||
| SE01 | Entry into force of request for substantive examination | ||
| GR01 | Patent grant | ||
| GR01 | Patent grant |