Movatterモバイル変換


[0]ホーム

URL:


CN109957565B - Modified siRNA molecule and application thereof - Google Patents

Modified siRNA molecule and application thereof
Download PDF

Info

Publication number
CN109957565B
CN109957565BCN201711429565.1ACN201711429565ACN109957565BCN 109957565 BCN109957565 BCN 109957565BCN 201711429565 ACN201711429565 ACN 201711429565ACN 109957565 BCN109957565 BCN 109957565B
Authority
CN
China
Prior art keywords
modified
sirna
misc
feature
nucleotide
Prior art date
Legal status (The legal status is an assumption and is not a legal conclusion. Google has not performed a legal analysis and makes no representation as to the accuracy of the status listed.)
Active
Application number
CN201711429565.1A
Other languages
Chinese (zh)
Other versions
CN109957565A (en
Inventor
张必良
杨秀群
王玮
Current Assignee (The listed assignees may be inaccurate. Google has not performed a legal analysis and makes no representation or warranty as to the accuracy of the list.)
Guangzhou Ribobio Co ltd
Original Assignee
Guangzhou Ribobio Co ltd
Priority date (The priority date is an assumption and is not a legal conclusion. Google has not performed a legal analysis and makes no representation as to the accuracy of the date listed.)
Filing date
Publication date
Application filed by Guangzhou Ribobio Co ltdfiledCriticalGuangzhou Ribobio Co ltd
Priority to CN201711429565.1ApriorityCriticalpatent/CN109957565B/en
Publication of CN109957565ApublicationCriticalpatent/CN109957565A/en
Application grantedgrantedCritical
Publication of CN109957565BpublicationCriticalpatent/CN109957565B/en
Activelegal-statusCriticalCurrent
Anticipated expirationlegal-statusCritical

Links

Images

Classifications

Landscapes

Abstract

The invention discloses a modified siRNA molecule and application thereof. The invention provides an siRNA molecule for inhibiting PCSK9 gene expression, which comprises a sense strand and an antisense strand which are complementary to form a double-strand region, wherein the sense strand and/or the antisense strand comprises 15-27 nucleotides or consists of 15-27 nucleotides, the antisense strand is complementary with at least 15, 16, 17, 18, 19, 20, 21, 22, 23, 24 or 25 continuous nucleotides of a sequence 81 in a sequence table, the length of the double-strand region is 15-25bp, and at least one nucleotide in the siRNA molecule is modified. The ligand modified siRNA molecule has high inhibition activity and stability, and also has liver targeting property. The siRNA molecules are useful for treating and/or preventing PCSK gene mediated diseases, including cardiovascular diseases and neoplastic diseases.

Description

Modified siRNA molecule and application thereof
Technical Field
The invention belongs to the field of molecular biology, relates to a modified siRNA molecule and application thereof, and particularly relates to an siRNA molecule for inhibiting PCSK9 gene expression and a pharmaceutical composition thereof, and a method for reducing the expression level of the PCSK9 gene by using the siRNA molecule or the pharmaceutical composition thereof.
Background
RNA interference (RNAi) is widely present in natural species, and since RNAi phenomenon was first found in nematodes (C.elegans) in 1998 by Andrew Fire and Craig Mello et al, tuschl and Phil Sharp et al, 2001 confirmed that RNAi is also present in mammals, a series of advances have been made in research on the mechanistic principles, gene functions, and clinical applications of RNAi. RNAi plays a key role in protecting multiple mechanisms against viral infection, preventing transposon jumping, etc. (Hutv α gner et al, 2001. Products developed based on the RNAi machinery are promising drug candidates. Small interfering RNAs (sirnas) are capable of performing RNA interference and are major tools for achieving RNAi.
Subtilisin Proprotein convertase 9 (protein convertase subtilisin/kexin type 9, pcsk 9) is a member of the subtilisin serine protease family, which is involved in regulating the levels of Low Density Lipoprotein Receptor (LDLR) proteins. The liver is the major site of PCSK9 expression. Other important sites of expression include the pancreas, kidney, and intestine. LDLR prevents atherosclerosis and hypercholesterolemia by clearing Low Density Lipoproteins (LDL) from the blood. Overexpression studies indicate that PCSK9 can control the levels of LDLR. Meanwhile, studies found that blood cholesterol levels decreased following PCSK9 knock-out in mice, as well as showed enhanced sensitivity to statins in lowering blood cholesterol. The above studies show that inhibitors of PCSK9 may be beneficial for lowering LDL-C concentrations in the blood, and for treating PCSK 9-mediated diseases.
At present, inhibitors targeting PCSK9 have been reported, but other inhibitors aiming at the target still need to be developed, so that the inhibitors have better curative effect, specificity, stability, targeting property or tolerance and the like.
Disclosure of Invention
The invention aims to provide an siRNA molecule, a reagent, a kit and a pharmaceutical composition thereof for inhibiting the expression of a PCSK9 gene, and a method and application of the siRNA molecule, the reagent, the kit or the pharmaceutical composition in inhibiting or reducing the expression of the PCSK9 gene or treating diseases or symptoms mediated by the PCSK9 gene.
In one aspect, the present invention provides an siRNA molecule for inhibiting PCSK9 gene expression, comprising a sense strand and an antisense strand complementary to each other to form a double-stranded region, wherein the sense strand and/or the antisense strand comprises 15 to 27 nucleotides or consists of 15 to 27 nucleotides, the antisense strand is complementary to 15, 16, 17, 18, 19, 20, 21, 22, 23, 24 or 25 consecutive nucleotides of sequence 81 in the sequence table, the length of the double-stranded region is 15 to 25bp, preferably 19 to 21bp, and at least one nucleotide in the siRNA molecule is modified.
The siRNA molecule consists of two strands, where the strand that binds to the target mRNA is called the antisense or guide strand, and the other strand is called the sense or passenger strand. The term "antisense strand" refers to a strand of an siRNA that includes a region that is completely or substantially complementary to a target sequence. The term "sense strand" refers to a strand of an siRNA that includes a region that is substantially complementary to a region that is the term antisense strand as defined herein. The term "complementary region" refers to a region of the antisense strand that is completely or substantially complementary to a target mRNA sequence. In the case where the complementary region is not fully complementary to the target sequence, the mismatch may be located in an internal or terminal region of the molecule. As used herein, the term "complementary" refers to the ability of a first polynucleotide to hybridize to a second polynucleotide under certain conditions, such as stringent conditions. For example, stringent conditions may include 400mM NaCl, 40mM PIPES pH 6.4, 1mM EDTA at 50 ℃ or 70 ℃ for 12-16 hours.
The siRNA molecule promotes the sequence-specific degradation of PCSK9mRNA through RNAi effect, and realizes the inhibition of the expression of the PCSK gene or the reduction of the level of the expression of the PCSK9 gene.
In some embodiments, the invention provides an siRNA molecule, wherein the nucleotide sequence of a sense strand is represented by sequence 81 or sequence 71 in a sequence table, and the nucleotide sequence of an antisense strand is represented by sequence 22 or sequence 72 in the sequence table.
In some embodiments, the modification is selected from any one or more of: locked Nucleic Acid (LNA) modification, open loop or non-locked (UNA) modification, 2' -methoxyethyl modification, 2' -O-methyl modification, 2' -O-allyl modification, 2' -C-allyl modification, 2' -fluoro modification, 2' -deoxy modification, 2' -hydroxy modification, phosphorothioate backbone modification, DNA modification, fluorescent probe modification, ligand modification.
The siRNA molecule may be selected from table 5 in the examples.
In some embodiments, the present invention provides modifications of siRNA molecules comprising: (1) sense strand: 17-21nt, such as 19nt; consists of 2 '-O-methyl modified regions and 2' -fluoro modified regions which are alternated, and the length of each modified region is 1 to 3 nucleotides; the first modified region from the 5 'end and the 3' end is modified in the same manner; (2) antisense strand: the length is 19-23nt, such as 21nt; consists of 2 '-O-methyl modified regions, 2' -fluoro modified regions, unmodified regions or DNA regions which are alternated, and the length of each modified region is 1 to 5 nucleotides; and the continuous nucleotide region from the 2 nd to the 5 th positions from the 5 'end and the continuous nucleotide region from the 1 st to the 3 rd positions from the 3' end are connected by a phosphorothioate skeleton.
Further, the sense strand structure of the siRNA molecule is shown as (A1); the antisense strand structure of the siRNA molecule is shown as (A2) or (A3) or (A4);
(A1) mUmCMAFUmAMAmmGmGmGfCfUmGmGfAmmU (sequence 76);
(A2) fAfU(s) dA(s) dA(s) dAfCfUfCfCAGGfCfCfUAfUGA(s) mG(s) mG (sequence 73);
(A3) fAfU(s) dA(s) dA(s) dAfCfUfCfAGGfCfCfUAfUfGfA(s) mG(s) (SEQ ID NO: 79);
(A4) fAfU(s) dA(s) dA(s) dAfCfCfCAfGfCfCfUmAFUfGfA(s) mG(s) (SEQ ID NO: 80);
wherein, four kinds of ribonucleotides are respectively represented by A, U, C and G; the four deoxyribonucleotides are respectively represented by dA, dT, dC and dG; mA, mU, mC and mG represent ribonucleotides A, U, C and G modified by 2' -O-methyl, respectively; fA. fU, fC and fG represent 2' -fluoro-modified ribonucleotides A, U, C and G, respectively; (s) indicates that the two nucleotides before and after are linked by a phosphorothioate backbone.
More specifically, the siRNA molecule is RBP9-045-P5G11, RBP9-045-P5G16 or RBP9-045-P5G17 in example Table 5.
Still further, the siRNA molecule is any one of:
(a1) A sense strand: CCCAUGUCGACUACAUCGA mU(s) mU (SEQ ID NO: 1);
antisense strand: UCGAUGUAGUCGACAUGGG mG(s) mC (SEQ ID NO: 2);
(a2) Sense strand: GGCAGAGUCGAUCCACUU mU(s) mU (SEQ ID NO: 5);
antisense strand: AAGUGGAUCAGUCUGCC mU(s) mC (SEQ ID NO: 6);
(a3) A sense strand: GGGUCAUGGUCCGACUU mU(s) mU (SEQ ID NO: 7);
antisense strand: AAGUCGGUGACCAUGACCC mU(s) mG (SEQ ID NO: 8);
(a4) Sense strand: GGUCUGGAAUGCAAAGUCA mU(s) mU (SEQ ID NO: 9);
antisense strand: UGACUUGCAUUCCAGACAGACC mU(s) mG (sequence 10);
(a5) A sense strand: GGACCCGCUUCCACAGAGACA mU(s) mU (SEQ ID NO: 17);
antisense strand: UGUCUGGAAGCGGGUCC mC(s) mG (SEQ ID NO: 18);
(a6) Sense strand: GGCAGAGACUUCCAUU (SEQ ID NO: 45);
antisense strand: AAGUGGAUCAGUCUGCCUC (SEQ ID NO: 46);
(a7) Sense strand: GGUCUGGAAUGCAAAGUCA (SEQ ID NO: 47);
antisense strand: UGACUUGCAUUCCAGACCUG (SEQ ID NO: 48);
(a8) A sense strand: CCCAUGUCGACUACACAUCGA (SEQ ID NO: 55);
antisense strand: ucgaugugucgacauggggc (sequence 56);
(a9) A sense strand: cuagaccagcauacaga (seq id No. 57);
antisense strand: UCUGUAUGCUGGUGUCUAGGA (SEQ ID NO: 58).
(a10) Sense strand: mGmAmCmCmUCUCAUAGGCCUGGmGmUmUmUmU (sequence 21);
antisense strand: AUAAACCUCCAGGCCUAUGAGGG (SEQ ID NO: 61);
(a11) Sense strand: mGmAmCmCmUCAUAGGCCUGGmGmUmUmUmU (sequence 21);
antisense strand: AUAAACUCCAGGCCUAUGA (SEQ ID NO: 62);
(a12) Sense strand: mGmAmCmCmUCUCAUAGGCCUGGmGmUmUmUmU (sequence 21);
antisense strand: afUAAAfCfCfCAGGfCfUAfUGAGGGfUGfC (SEQ ID NO: 67);
(a13) Sense strand: mGmAmCmCmUCUCAUAGGCCUGGmGmUmUmUmU (sequence 21);
antisense strand: dafudadadadadadadcdtfcaggfcfcfuafuggfugfc (seq id 68);
(a14) Sense strand: mGmAmCmCmUCAUAGGCCmUGGmUmUmAmmU (sequence 69);
antisense strand: AUAAACUCCAGGCCUAUGAGGGUGC (SEQ ID NO: 22);
(a15) Sense strand: mGmAmCmCmUCAUAGGCCmUGGmUmUmOmU (sequence 69);
antisense strand: afUAAAfCfUfCfCAGGfCfUAfUGAGGGfUGfC (SEQ ID NO: 67);
(a16) Sense strand: UCAUAGGCCUGGAGUUAU (SEQ ID NO: 71);
antisense strand: fAfU(s) dA(s) dA(s) dAfCfUfCfCAGGfCfCfUAfUGA(s) mG(s) mG (sequence 73);
(a17) Sense strand: mUmCMAFUmAmmGmGmGfCfUmGmGfAmGfUmUmAmU (sequence 76);
antisense strand: afU(s) dA(s) dA(s) dAfCfUfCfCAmGfCfCfUAfUGA(s) mG(s) (SEQ ID NO: 77);
(a18) Sense strand: mUmCMAFUmAmmGmGmGfCfUmGmGfAmGfUmUmAmU (sequence 76);
antisense strand: afU(s) dA(s) dA(s) dAfCfCfCAmGfCfUAfUfGfA(s) mG(s) (SEQ ID NO: 78).
Wherein, four kinds of ribonucleotides are respectively represented by A, U, C and G; the four deoxyribonucleotides are represented by dA, dT, dC and dG, respectively; mA, mU, mC and mG represent ribonucleotides A, U, C and G modified by 2' -O-methyl, respectively; fA. fU, fC and fG represent 2' -fluoro-modified ribonucleotides A, U, C and G, respectively; (s) indicates that the two nucleotides before and after are linked by a phosphorothioate backbone.
More specifically, the siRNA is any one of RBP9-002, RBP9-008, RBP9-009, RBP9-010, RBP9-021, RBP9-116, RBP9-117, RBP9-121 and RBP9-122 in example Table 4, or any one of RBP9-045-P1G2, RBP9-045-P1G3, RBP9-045-P1G8, RBP9-045-P1G9, RBP9-045-P2G1, RBP9-045-P2G8, RBP9-045-P4G11, RBP9-045-P5G14 and RBP9-045-P5G15 in example Table 5.
The ligand is the moiety that is taken up by the host cell. Good ligand modification can improve the cellular uptake, intracellular targeting, half-life, or drug metabolism or kinetics of the siRNA molecule. In some embodiments, the ligand-modified siRNA has enhanced affinity or cellular uptake for a selected target (e.g., a particular tissue type, cell type, organelle, etc.), such as a hepatocyte, as compared to an siRNA that is not ligand-modified. Good ligand modification does not interfere with the activity of the siRNA.
In some embodiments, the ligand modification is one or more ligand modifications to the 3 'end, 5' end, and/or the middle of the sequence of the siRNA molecule; wherein the ligand is selected from the following: cholesterol, biotin, vitamins, galactose derivatives or analogs, lactose derivatives or analogs, N-acetylgalactosamine derivatives or analogs, N-acetylglucosamine derivatives or analogs. The ligand targets a cell surface receptor, including a galactose, galactosamine, lactose, or N-acetylgalactosamine/glucosamine moiety. The ligand preferably targets the liver, especially parenchymal cells of the liver. The ligand targets ASGPR. The ligand can also be Human Serum Albumin (HSA), hyaluronic acid, polypeptides, and the like.
In some embodiments, the siRNA molecule is modified from 1-5, 2-4 or 3N-acetylgalactosamine derivatives or analogs at the 3 'end, the 5' end and/or the middle of the sequence.
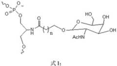
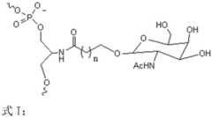
Specifically, the structure of a single N-acetylgalactosamine derivative is shown as formula I:
Figure BDA0001524619770000041
wherein n is an integer of 1 to 15.
In some embodiments, the sense strand structure of the siRNA molecule is represented by (B1) or (B2) or (B3); the antisense strand structure of the siRNA molecule is shown as (B4) or (B5) or (B6) or (B7);
(B1)mUmCmAfUmAmGmGfCfCfUmGmGfAmGfUfUmUmAmU-ZZ;
(B2)mUmCmAfUmAmGmGfCfCfUmGmGfAmGfUfUmUmAmU-ZZZ;
(B3)mUmCmAfUmAmGmGfCfCfUmGmGfAmGfUfUmUmAmU-ZZZZ;
(B4)Cy5/-fAfU(s)dA(s)dA(s)dAfCfUfCfCAGGfCfCfUAfUGA(s)mG(s)mG;
(B5)Cy5/-fAfU(s)dA(s)dA(s)dAfCfUfCfCAfGfGfCfCfUmAfUfGfA(s)mG(s)mG;
(B6)fAfU(s)dA(s)dA(s)dAfCfUfCfCAGGfCfCfUAfUGA(s)mG(s)mG;
(B7)fAfU(s)dA(s)dA(s)dAfCfUfCfCAfGfGfCfCfUmAfUfGfA(s)mG(s)mG;
wherein, four kinds of ribonucleotides are respectively represented by A, U, C and G; the four deoxyribonucleotides are represented by dA, dT, dC and dG, respectively; mA, mU, mC and mG respectively represent ribonucleotides A, U, C and G modified by 2' -O-methyl; fA. fU, fC and fG represent 2' -fluoro-modified ribonucleotides A, U, C and G, respectively; (s) indicates that the two nucleotides before and after are linked by a phosphorothioate backbone.
(B4) And (B5) the 5' -end of the antisense strand is modified with a fluorophore Cy5.
The structure of a single Z is shown as a formula I; ZZ represents two consecutive zs, ZZZ represents three consecutive zs, ZZZZ represents four consecutive zs, two adjacent zs are linked by a phosphodiester bond or a phosphorothioate bond; ZZ, ZZZ and ZZZZZZ are linked to the 3' terminal nucleotide of the siRNA sense strand nucleotide sequence via a phosphodiester or phosphorothioate linkage.
In the ZZ, the values of n in the two Z structures are equal; in the ZZZ, the values of n in three Z structures are equal; in the ZZZZ, n in four Z structures has equal values.
Such as: n is 3 or 8. When n is 3, Z can be represented by L. When n is 8, Z can be represented by S.
Specifically, the siRNA is selected from table 9 and table 11 in the examples.
More specifically, the ligand modified siRNA molecular structure is:
A:mUmCmAfUmAmGmGfCfCfUmGmGfAmGfUfUmUmAmU-ZZZ;
fAfU(s) dA(s) dA(s) dAfCfUfCfCAGGfCfCfUAfUGA(s) mG(s) mG; or
B:mUmCmAfUmAmGmGfCfCfUmGmGfAmGfUfUmUmAmU-ZZZ;
fAfU(s)dA(s)dA(s)dAfCfUfCfCAfGfGfCfCfUmAfUfGfA(s)mG(s)mG;
The ZZZ structure and the connection mode of the ZZZ structure and a sense strand nucleotide sequence are as follows:
Figure BDA0001524619770000051
each strand of the siRNA molecule may have 0% to 100% modified nucleotides, such as 5%, 10%, 15%, 20%, 25%, 30%, 35%, 40%, 45%, 50%, 55%, 60%, 65%, 70%, 75%, 80%, 85%, 90%, 95% or more modified nucleotides. The modification may be in the overhang region or the double-stranded region. Such modifications can be used to improve in vitro or in vivo characteristics of the siRNA molecule, such as stability, biodistribution, inhibitory activity, and the like. The above modifications may be used in combination.
Each strand end of the siRNA molecule has a overhang or a blunt end. The 5 'and/or 3' comprising either or both strands has 1-8 overhangs, e.g., 2, 3, 4, 5, 6 overhangs, optionally selected from U, A, G, C, T, dT.
The siRNA molecule can inhibit the expression of the PCSK9 gene of a human, a monkey, a rat or a mouse.
Biological materials related to the siRNA also belong to the protection scope of the invention.
The biological material related to the siRNA can be any one of the following materials:
(A) A DNA molecule capable of producing said siRNA;
(B) A vector capable of expressing the siRNA;
(C) A reagent or kit comprising said siRNA or said DNA molecule or said vector;
(D) A pharmaceutical composition consisting of said siRNA molecule and a pharmaceutically acceptable additional component.
The pharmaceutical composition comprises a pharmacologically effective amount of the siRNA molecule of the present invention and other pharmaceutically acceptable components. By "effective amount" is meant an amount of siRNA molecule effective to produce the desired pharmacological therapeutic effect. "other components" include water, saline, dextrose, buffers (e.g., PBS), excipients, diluents, disintegrants, binders, lubricants, sweeteners, flavoring agents, preservatives, or combinations thereof.
The pharmaceutical composition can be used for preventing and/or treating diseases mediated by the PCSK9 gene or relieving symptoms of diseases mediated by the PCSK9 gene.
The diseases mediated by the PCSK9 gene comprise cardiovascular diseases, dyslipidemia or neoplastic diseases. The cardiovascular disease includes atherosclerotic cardiovascular disease, dyslipidemia includes elevated serum cholesterol and/or triglyceride levels, elevated low density lipoprotein cholesterol or elevated apolipoprotein B (ApoB). Specifically, the mammal is hyperlipidemia, hypercholesterolemia, non-familial hypercholesterolemia, polygenic hypercholesterolemia, familial hypercholesterolemia, homozygous familial hypercholesterolemia or heterozygous familial hypercholesterolemia. Such as PCSK 9-associated melanoma and metastatic hepatoma.
The invention also provides any one of the following applications:
(I) The siRNA or the biological material is applied to inhibiting the expression of the PCSK9 gene or preparing a product for inhibiting the expression of the PCSK9 gene.
Wherein the inhibition of PCSK9 gene expression is inhibition or reduction of the expression level of PCSK9 gene in human, monkey, rat or mouse in vivo or in vitro cells. The inhibition of the expression of the PCSK9 gene is at least 95%, 90%, 85%, 80%, 75%, 70%, 60%, 50%, 40%, 30%, 20%, 10%, 5% inhibition or reduction of the expression level of the PCSK9 gene. Detection of target genes, target RNAs, or target protein levels can be used to predict or assess activity, efficacy, or therapeutic outcome.
The cell is a mammalian cell expressing PCSK9, such as primate cell and human cell. Preferably, the PCSK9 gene is expressed at high levels in the target cell. More preferably, the cells are derived from brain, salivary gland, heart, spleen, lung, liver, kidney, intestinal tract, and tumor. More preferably, the cell is a liver cancer cell or a cervical cancer cell. Still more preferably, the cell is selected from HepG2, huh7, MHCC97H, hela, mouse primary cell.
In said in vitro application, the final cell concentration of the siRNA molecule is 0.1-1000nM, such as 10-500nM,25-300nM or 50-100nM.
In the in vivo application, the pharmaceutical composition may be administered by any suitable means, such as parenteral administration, including intramuscular, intravenous, arterial, peritoneal, or subcutaneous injection. Modes of administration include, but are not limited to, single administration or multiple administrations. The administration dosage is in the range of 0.1mg/kg to 100mg/kg,0.5mg/kg to 50mg/kg, 2.5mg/kg to 20mg/kg, 5mg/kg to 15mg/kg, such as 3mg/kg, 10mg/kg, 33mg/kg.
In some embodiments, a single dose of the pharmaceutical composition may be long lasting, with a decrease in PCSK9 expression lasting at least 3, 5, 7, 10, 14, or more.
(II) use of the siRNA or the biomaterial for reducing the concentration of low-density lipoprotein (LDL) and/or low-density lipoprotein cholesterol (LDL-C) in serum or for the manufacture of a product for reducing the concentration of low-density lipoprotein (LDL) and/or low-density lipoprotein cholesterol (LDL-C) in serum;
wherein the lowering of the serum Low Density Lipoprotein (LDL) and/or low density lipoprotein cholesterol (LDL-C) concentration is a lowering of the serum Low Density Lipoprotein (LDL) and/or low density lipoprotein cholesterol (LDL-C) concentration in a human, monkey, rat, or mouse.
The concentration or content of serum LDL (low density lipoprotein) or LDL-C (low density lipoprotein cholesterol) is reduced by at least 5%, 10%, 15%, 20%, 25%, 30%, 35%, 40%, 50%.
(III) use of the siRNA or the biomaterial in the prevention and/or treatment of a disease mediated by the PCSK9 gene or in the manufacture of a product for the prevention and/or treatment of a disease mediated by the PCSK9 gene;
(IV) use of the siRNA or the biomaterial in alleviating symptoms of a disease mediated by the PCSK9 gene or in the manufacture of a product for alleviating symptoms of a disease mediated by the PCSK9 gene;
the diseases mediated by the PCSK9 gene comprise cardiovascular diseases, dyslipidemia or neoplastic diseases. The cardiovascular disease includes atherosclerotic cardiovascular disease, dyslipidemia includes elevated serum cholesterol and/or triglyceride levels, elevated low density lipoprotein cholesterol or elevated apolipoprotein B (ApoB). Specifically, the mammal is hyperlipidemia, hypercholesterolemia, non-familial hypercholesterolemia, polygenic hypercholesterolemia, familial hypercholesterolemia, homozygous familial hypercholesterolemia or heterozygous familial hypercholesterolemia. Such as PCSK 9-associated melanoma and metastatic liver cancer.
The term "hypercholesterolemia" refers to a condition characterized by elevated serum cholesterol. "hyperlipidemia" refers to a condition characterized by elevated serum lipids. "non-familial hypercholesterolemia" refers to a condition characterized by elevated cholesterol that is not caused by a single genetic mutation. "polygenic hypercholesterolemia" refers to a condition characterized by elevated cholesterol caused by the influence of multiple genetic factors. "Familial Hypercholesterolemia (FH)" refers to an autosomal dominant metabolic disorder characterized by mutations in the LDL-receptor (LDL-R), significantly elevated LDL-C, and premature onset of atherosclerosis (prematurity onset). "Hofh" refers to a condition characterized by mutations in the maternal and paternal LDL-R genes. "heterozygous familial hypercholesterolemia (HoFH)" refers to a condition characterized by a mutation in the maternal or paternal LDL-R gene.
The disease or condition mediated by the PCSK gene can be caused by the overexpression of the PCSK9 gene and the overproduction of the PCSK9 protein, and can be regulated by down-regulating the expression of the PCSK9 gene. The treatment refers to the alleviation, alleviation or cure of a disease or condition mediated by the PCSK9 gene, such as the reduction of blood lipid levels, including the reduction of serum LDL, LDL-C levels.
In some embodiments, the amount or concentration of serum LDL, serum LDL-C is reduced by 5%, 10%, 15%, 20%, 25%, 30%, 35%, 40%, 50%, 60%, 70%, 80%, 90%.
In addition, the application of the ligand-modified siRNA molecule in the preparation of liver targeting drugs also belongs to the protection scope of the invention. Wherein, the liver targeting drug can be used for treating liver diseases mediated by PCSK9 gene.
The innovation of the invention is as follows: 1. the modified siRNA molecules have high stability and high inhibitory activity. 2. The ligand-modified siRNA molecule has better liver targeting property and the capability of promoting endocytosis of cells while keeping higher inhibition activity and stability, can reduce the influence on other tissues or organs and reduce the use amount of the siRNA molecule, and can achieve the aims of reducing toxicity and reducing cost; in addition, the ligand-modified siRNA molecules can enter target cells and target tissues without transfection reagents, reducing negative effects of transfection reagents, such as cell or tissue toxicity. Thereby providing the possibility of targeted therapy.
It is noted that while many modifications can be attempted to improve the performance of siRNA, these attempts have generally made it difficult to elucidate both mediating RNA interference and having increased stability in serum (e.g., having increased resistance to nucleases and/or extended duration). The modified siRNA of the present invention has high stability while maintaining high inhibitory activity.
Abbreviations, acronyms, and numbering descriptions
"G", "C", "A", "T" and "U" generally represent nucleotides having guanine, cytosine, adenine, thymine and uracil as bases, respectively.
REL (Relative explaseion level): relative mRNA expression levels.
GalNAc: n-acetylgalactosamine.
Modification: n = RNA; dN = DNA; mN =2' OMe modification; fN =2' F modification; (s) = PS backbone (i.e. 5' -thio modified phosphate backbone).
For short: RBP9-005-P3G6 may be referred to as P3G6 for short, and so on.
Numbering: the first position after the P3G6 broken line represents whether a fluorescent label exists or not (0 represents 'none', 1 represents 'present'), the second position represents the number of the ligands, and the third position represents the type of the ligands, for example, P3G6-13L represents that the P3G6 is subjected to fluorescent labeling and ligand modification of 3L; and so on.
Drawings
FIG. 1 shows the binding curve of GalNAc-siRNA to the receptor.
Figure 2 shows a 6h in vivo image of P5G11 group mice.
Figure 3 shows a 6h in vivo image of P5G17 group mice.
Detailed Description
Example 1 PCSK9-siRNA Activity screening
1. SiRNA design
According to the human PCSK9mRNA sequence, selecting different sites to design multiple pairs of PCSK9siRNAs, wherein all designed single siRNAs can target all transcripts of a target gene (as shown in Table 1), and the sequences have the lowest homology with all other non-target gene sequences through sequence similarity software comparison. Sequence design methods are referenced to Elbashir et al.2002; paddison et al.2002; reynoldset al.2004; the method of Ui-Tei et al 2004 et al.
Reference to the literature
Figure BDA0001524619770000081
Hutvágner,Juanita McLachlan,Amy E.Pasquinelli,
Figure BDA0001524619770000082
Bálint,Thomas Tuschl,&Phillip D.Zamore.(2001).A cellular function for the rna-interference enzyme dicer in the maturation of the let-7small temporal rna.Science,293(5531),834-8.
Elbashir,S.M.,Harborth,J.,Lendeckel,W.,Yalcin,A.,Weber,K.,&Tuschl,T.(2001).Duplexes of 21-nucleotide rnas mediate rna interference in cultured mammalian cells.Nature.
Zamore,P.D.(2001).Rna interference:listening to the sound of silence.Nature Structural Biology,8(9),746-50.
TABLE 1 target genes
Target genesSpecies (II)Gene IDNM_ID
PCSK9Homo sapiens (human)255738NM_174936.3
2. SiRNA Synthesis
The oligonucleotides containing 2' -hydroxyl ribonucleotides are synthesized according to the theoretical yield of 1 mu mol, 1 mu mol of general solid support CPG or 3' -cholesterol modified CPG (Chemgnenes product) is weighed, and monomers, DNA monomers, 2' -methoxy monomers and 2' -fluoro monomers (Sigma Aldrich product) of 2' -O-TBDMS protected RNA phosphoramidite are dissolved in anhydrous acetonitrile solution, so that the concentration of the oligonucleotides reaches 0.2M. For the phosphate backbone thio-modified oligonucleotides, 0.2M PADS solution was used as the thioreagent. 5-ethylthio-1H-tetrazole (a product of Chemtenes) acetonitrile solution is prepared to be used as an activating agent (0.25M), 0.02M iodine pyridine/water solution is prepared to be used as an oxidizing agent, 3% trichloroacetic acid dichloromethane solution is prepared to be used as a deprotection reagent, and the deprotection reagent is placed at a reagent designated position corresponding to an ABI 394 type DNA/RNA automatic synthesizer. Setting a synthesis program, inputting a specified oligonucleotide base sequence, starting cyclic oligonucleotide synthesis, wherein the coupling time of each step is 6 minutes, and the coupling time of the galactose ligand corresponding to the L and S monomers is 10-20 minutes. After automatic circulation, the oligonucleotide solid phase synthesis is completed. The CPG was blown dry with dry nitrogen, transferred to a 5ml EP tube, added with 2ml of ammonia/ethanol solution (3/1), heated at 55 ℃ for 16-18 hours. Centrifuging at 10000rpm for 10min, collecting supernatant, and draining off concentrated ammonia water/ethanol to obtain white colloidal solid. The solid was dissolved in 200. Mu.l of 1M TBAF THF and shaken at room temperature for 20 hours. 0.5ml of 1M Tris-HCl buffer (pH 7.4) was added thereto, the mixture was shaken at room temperature for 15 minutes, and the mixture was placed in a centrifugal pump dryer and pumped to a volume of 1/2 of the original volume to remove THF. The solution was extracted 2 times with 0.5ml chloroform, 1ml of 0.1M TEAA loading solution was added, the mixed solution was poured onto a solid phase extraction column on an HTCS LC-MS system (Novatia) system to complete mass spectrometric detection analysis. Nucleic acid molecular weights were calculated by normalization with Promass software after the primary scan.
According to the invention, only deoxyribonucleotide or 2 '-methoxy or 2' -fluoro or LNA or 2'-MOE modified oligonucleotide is synthesized according to the theoretical yield of 1 mu mol, 1 mu mol of general solid support CPG or 3' -cholesterol modified CPG (Chemomenes product) is weighed, and DNA monomer, 2 '-methoxy monomer and 2' -fluoro monomer (Sigma Aldrich product) are dissolved in anhydrous acetonitrile solution to make the concentration reach 0.2M. For the phosphate backbone thio-modified oligonucleotides, 0.2M PADS solution was used as the thioreagent. 5-ethylthio-1H-tetrazole (a product of Chemcene) acetonitrile solution is prepared to be used as an activating agent (0.25M), 0.02M iodine pyridine/water solution is prepared to be used as an oxidizing agent, 3 percent trichloroacetic acid dichloromethane solution is prepared to be used as a deprotection reagent, and the deprotection reagent is placed at a reagent designated position corresponding to an ABI 394 model DNA/RNA automatic synthesizer. Setting a synthesis program, inputting a specified oligonucleotide base sequence, starting cyclic oligonucleotide synthesis, wherein the coupling time of each step is 6 minutes, and the coupling time of a galactose ligand corresponding monomer is 6-10 minutes. After automatic circulation, the oligonucleotide solid phase synthesis is completed. The CPG was blown dry with dry nitrogen, transferred to a 5ml EP tube, added with aqueous ammonia solution 2ml and heated at 55 ℃ for 16-18 hours. Centrifuging at 10000rpm for 10min to obtain supernatant, and draining off concentrated ammonia water/ethanol to obtain white or yellow colloidal solid. Adding 1ml of 0.1M TEAA sample solution, pouring the mixed solution into a solid phase extraction column, removing excessive salt in the solution, and measuring the content of the obtained oligonucleotide by a micro ultraviolet spectrophotometer (KO 5500). Mass spectrometric detection analysis was performed on an Oligo HTCS LC-MS system (Novatia). Nucleic acid molecular weights were calculated by normalization with Promass software after the primary scan.
3. PCSK9-siRNA transfection of different cells
All cells were from ATCC, but could be from other sources publicly available; other reagents are commercially available.
TABLE 2 cell names and classes
Cell nameHuh7HePG2MHCC97HHeLa
Cell speciesLiver cancer cellLiver cancer cellLiver cancer cellCervical cancer cells
Cells in DMEM medium containing 10% fetal bovine serum at 5% CO2 And then cultured in a 37 ℃ incubator, and the transfection reagent is transfected when the cells are in the logarithmic growth phase and the state is good (70% confluence). Adjusting the cell concentration to 1X 106 Per ml,6 well plates were loaded with 1ml of cell solution and 5. Mu.l of riboFect transfection reagent per well. Standing at room temperature for 5min, adding 5 μ l 100nM siRNA,37 deg.C, 5% CO2 And (5) incubating for 48h.
In addition to the test groups, the following control groups were also set for each cell plating: NC is negative control (irrelevant siRNA), mock is transfection reagent control group, untreated control group (UT group, no siRNA). There were 3 replicates in both the test and control groups.
4. Real-time quantitative PCR analysis of target mRNA levels
1. After transfection for 48h, cells were lysed and total RNA was extracted by Trizol method.
2. The Reverse Transcription mix Reverse Transcription kit was used for Reverse Transcription (Ruibo Biotech, inc., guangzhou).
3. Fluorescent quantitative PCR:
beta-actin gene was used as an internal reference gene, real-time fluorescent quantitative PCR reaction was carried out using Real-time PCR kit SYBR Premix (2X), and PCR reaction was carried out using CFX96 fluorescent quantitative PCR instrument from Bio-Rad, USA. The primers used were:
TABLE 3 primers
PCSK9-qPCR-F(5’-3’)AAGCCAAGCCTCTTCTTACTTCA
PCSK9-qPCR-R(5’-3’)CCTGGGTGATAACGGAAAAAG
4. Data analysis
After the PCR reaction was completed, the Ct error of 9 replicates (3 transfected replicates per sample, 3 qPCR replicates) of one sample was ± 0.5 and relative quantification was performed using CFX 2.1. Table 4 shows the mean expression levels of the target genes of the preferred sirnas relative to the NC group (the relative expression level of mRNA of the NC group is 1).
TABLE 4 real-time quantitative PCR assay results
Figure BDA0001524619770000101
Figure BDA0001524619770000111
Figure BDA0001524619770000121
PCSK97siRNA screening in HuH7, hepG2, heLa and MHCC97H finds siRNA molecules with higher activity in HuH7, MHCC97H and HeLa cells, RBP9-045. And RBP9-045 is homologous to human, mouse and cynomolgus monkey.
Example 2 optimization of PCSK9-siRNA
1. Detection of inhibitory Activity
RBP9-045 is subjected to different modification optimization, and the steps of synthesis, transfection and quantitative PCR detection are the same as in the first embodiment. The transfected cells were HeLa and Huh7 cells, and the results are shown in Table 5 (REL-H: the relative expression level of PCSK9mRNA in HeLa cells; and the relative expression level of PCSK9mRNA in REL-7. Table 5 shows the average of the expression levels of the target genes relative to the NC group (the relative mRNA expression level of the NC group is 1). Wherein NC is irrelevant siRNA negative control group, mock is transfection reagent control group, and UT is untreated cell control group.
TABLE 5 RBP9-045 optimization
Figure BDA0001524619770000122
Figure BDA0001524619770000131
Figure BDA0001524619770000141
Figure BDA0001524619770000151
Figure BDA0001524619770000161
The results showed that chemically modified RBP9-045-P5G11, RBP9-045-P5G16, and RBP9-045-P5G17 had higher inhibitory activity in HeLa and Huh7 cells.
The research finds that: the scheme of modification is important, and certain modifications may reduce inhibitory activity. Preferred modifications have high inhibitory activity: (1) The antisense strand has an overhang with a5 '(s) mN(s) mN 3' structure at the 3' -end, facilitating loading of the antisense strand into RISC, enhancing the interfering activity of RNAi without affecting stability. (2) U and C of the antisense chain are modified by fluorine, A at 2-8 positions from 5 end of the antisense chain is modified by DNA, and nucleotides of the DNA modification are connected by a phosphorothioate framework. (3) The consecutive 3 nucleotides at the 3 '-end and 5' -end of the sense strand are modified with 2 '-O-methyl, the middle U or C is modified with fluoro, and the middle A or G is modified with 2' -O-methyl.
2. Stability detection
RBP9-045-P5G11 (P5G 11 for short, the same below), RBP9-045-P5G17 (P5G 17 for short, the same below), RBP9-045-P4G10 (P4G 10 for short, unmodified control, the same below), human serum, C57 mouse serum, and SD rat serum were provided by Sharp Biotech, inc., of Guangzhou city; tris-base was purchased from MDBIO; hexafluoroisopropanol (HFIP) and Diisopropylamine (DIPA) are both products of Fluka corporation; the methanol is chromatographically pure, a product of Burdick & Jackson company; other reagents were analytically pure.
1. Solution preparation
(1) 5% aqueous ammonia solution: adding 4ml of 25% ammonia water solution into 16ml of deionized water;
(2) 50 μ M siRNA solution: 46. Mu.l of a10 mg/ml siRNA stock solution (containing 5% methanol) was added to 660.5. Mu.l of deionized water.
2. stability testing of siRNA in different matrices
90 μ l of 50 μ M siRNA sample solution was added to 810 μ l of deionized water, human serum, rat serum, and mouse serum, respectively. Mu.l of 50. Mu.M siRNA control solution was added to mouse serum.
Incubating in a constant-temperature water bath at 37 ℃ for 0, 0.25, 0.5, 1 and 2 hours, and then taking out 100 mu l of the mixture for sample pretreatment.
(1) Sample pretreatment
Removing the ionized water sample, directly injecting sample, adding 250 μ l 5% ammonia water solution into 100 μ l biological matrix sample, mixing, adding 100 μ l liquid-liquid extract (phenol-chloroform-isoamyl alcohol mixture), mixing, centrifuging the treated sample at 4 deg.C 16000 Xg for 10min, collecting 332 μ l supernatant, blowing the supernatant nitrogen to about 30 μ l at normal temperature, and adding ultrapure water to 100 μ l. The redissolved samples were centrifuged at 16000 Xg for 10min at 4 ℃ and the supernatant was sampled for analysis.
(2) Liquid quality detection
The stability of siRNA was measured by ultra performance liquid chromatography/ion trap mass spectrometer (Waters acquisition UPLC/Thermo Fisher LTQ).
Chromatographic conditions are as follows: a chromatographic column:
Figure BDA0001524619770000171
oligonucleotide BEH C18 column (2.5 μm,2.1mm × 50 mm), mobile phase: a (10mM DIPA,25mM HFIP in water) and B (10mM DIPA,25mM HFIP in water/MEOH (50/50, v/v)), gradient elution: 0-3min; 3 to 15min; 15 to 18min; 18-25min; flow rate: 0.3ml/min; column temperature: 80 ℃; detection wavelength: 260nm. Mass spectrum conditions: the ion source is an electrospray ionization (ESI) source; the spraying voltage is 5kV; the capillary temperature is 350 ℃; the scanning mode is negative ion selective ion Scanning (SIM).
The remaining percentage of Antisense (AS) and sense (S) strands after incubation of siRNA in different matrices for different periods of time is plotted against incubation time in tables 6 and 7. As can be seen from Table 6, the antisense strand of the chemically modified siRNA sample was not lost after incubation in human serum for 2 hours, and remained 95% or more, 85% or more and 95% or more after incubation in pure water, rat and mouse serum for 2 hours, respectively. The unmodified siRNA control was not detected after 0.5h incubation in mouse serum. Table 7 shows that more than 95% of the sense strand of the modified siRNA sample remained after incubation in pure water for 2h, and more than 45%, about 2% and about 5% remained after incubation in human, rat and mouse serum for 2 h. While unmodified siRNA control remained only 0.53% after 2h incubation in mouse serum. The results show that the modified siRNA samples have higher chemical stability, especially higher stability in human serum, compared to the unmodified controls.
TABLE 6 percentage of AS chain remaining after incubation of siRNA in different media for different times
Figure BDA0001524619770000172
Note: "/" indicates that the target detection object is not detected.
TABLE 7 remaining percentage of S-strands after incubation of siRNA in different media for different times
Figure BDA0001524619770000173
Example 3 GalNAc-siRNA cell targeting assay
1. Preparation of ligand-modified siRNA
1. Synthesis of galactose-modified monomer L
Figure BDA0001524619770000181
(1) Synthesis of Compound 1
In a 1L round bottom flask, delta-valerolactone (100g, 1mol), sodium hydroxide (40g, 1mol) and 400mL of deionized water were mixed, reacted at 70 ℃ for 6 hours, TCL monitored the completion of the reaction, the reaction solution was spin-dried, 200mL of toluene was added thereto, and then the mixture was spin-dried to obtain 140g of a white solid.
(2) Synthesis of Compound 2
A1-L round-bottomed flask was charged with compound 1 (140g, 1 mol), 500mL of anhydrous acetone, benzyl bromide (205.2 g,1.2 mol) and tetrabutylammonium bromide (16.2 g, 0.05mol) as a catalyst, and the mixture was refluxed. The reaction was monitored by TLC, and after 24 hours, the reaction was complete, the reaction mixture was cooled to room temperature, acetone was removed under reduced pressure, and the residue was dissolved in 500mL of ethyl acetate, washed with 200mL of saturated sodium hydrogen sulfate, 200mL of saturated sodium bicarbonate, and 200mL of saturated brine in this order, dried over anhydrous sodium sulfate for the organic phase, concentrated, and separated by a silica gel column (petroleum ether: ethyl acetate =1, volume ratio) to give 175g of a transparent oily liquid, with a yield of 84%.
(3) Synthesis of Compound 3
To a 1L round-bottomed flask, D-galactose hydrochloride (100g, 0.46mol) and 450mL of anhydrous pyridine were added, and to the flask were slowly added 325mL of acetic anhydride, triethylamine (64.5mL, 0.46mol), and DMAP (2g, 0.016 mol) under ice bath. Reacting at normal temperature overnight, precipitating a large amount of solid, filtering, and leaching a filter cake with 200mL of 0.5N HCl solution to obtain 162.5g of white solid with the yield of 90%.1 H NMR(400MHz,DMSO-d6)δ:7.88(d,J=9.2Hz,1H),5.63(d,J=8.8Hz,1H),5.26(d,J=3.1Hz,1H),5.05(d,J=11.3,3.3Hz,1H),4.36(m,4H),2.11(s,3H),2.03(s,3H),1.98(s,3H),1.90(s,3H),1.78(s,3H)。
(4) Synthesis of Compound 4
In a 250mL round-bottom flask, compound 3 (10g, 25.7mmol) and 100mL of anhydrous dichloromethane were added, and after stirring for 10 minutes, trimethylsilyl trifluoromethanesulfonate (7mL, 38.7mmol) was added, and the mixture was reacted at room temperature overnight, and the reaction mixture was slowly poured into an aqueous solution (200 mL) of sodium hydrogencarbonate (7g, 79.5mmol) and stirred for 0.5 hour, followed by separation of the organic phase, drying over anhydrous sodium sulfate, and concentration under reduced pressure to obtain 7.78g of a pale yellow colloid in 92% yield.
(5) Synthesis of Compound 5
In a 100mL round-bottomed flask, compound 4 (5g, 15.2mmol), compound 2 (3.8g, 18.25mmol) were dissolved in 50mL of anhydrous 1, 2-dichloroethane, and after stirring for 10 minutes, trimethylsilyl trifluoromethanesulfonate (0.55ml, 3mmol) was added, and the reaction mixture was reacted overnight at normal temperature, extracted with dichloromethane, and the organic phase was washed twice with 50mL of saturated sodium hydrogencarbonate, dried over anhydrous sodium sulfate, concentrated under reduced pressure, and separated by a silica gel column (petroleum ether: ethyl acetate =3, volume ratio) to obtain 6.94g of a transparent oily liquid, with a yield of 85%.1 HNMR(400MHz,DMSO-d6)δ:7.69(d,J=9.3Hz,1H),7.33–7.16(m,5H),5.28(d,J=5.3Hz,1H),4.95(s,2H),4.93(q,J=4.2Hz,1H),4.40(d,J=8.6Hz,1H),4.00–3.86(m,3H),3.73–3.56(m,2H),3.36–3.21(m,1H),2.53(t,J=8.2Hz,2H),2.11(s,3H),1.89(s,3H),1.83(s,3H),1.65(s,3H),1.59–1.36(m,4H).MS(ESI),m/z:560.2([M+Na]+ )。
(6) Synthesis of Compound 6
A50 mL round-bottom flask was charged with compound 5 (3.3g, 6.1 mmmol), pd/C (0.33g, 10%) in 5mL methanol and 20mL ethyl acetate, and the mixture was reacted overnight at room temperature with a hydrogen balloon. The reaction solution was filtered through celite, rinsed with celite methanol, and the filtrate was concentrated under reduced pressure and dried to give 2.8g of a white solid with a yield of 95.5%.1 HNMR(400MHz,DMSO-d6)δ:11.98(s,1H),7.79(d,J=8.9Hz,1H),5.20(s,1H),5.0-4.95(q,J=4.2Hz,1H),4.51-4.46(d,J=7.2Hz,1H),4.15–3.97(m,3H),3.89–3.79(m,1H),3.80–3.69(m,1H),3.46–3.36(m,1H),2.22-2.14(t,J=7.2Hz,2H),2.15(s,3H),2.00(s,3H),1.95(s,3H),1.87(s,3H),1.59–1.42(m,4H).MS(ESI),m/z:470.5([M+Na]+ )。
(7) Synthesis of Compound 7
Jun Young Choi et al (Choi J Y, borch R F. High purity affinity synthesis of aromatic enzymes 2-hydroxymethy lazidines by aromatic deacetylation demodulation) [ J Y]Synthesis of Organic letters,2007,9 (2): 215-218). White solid, yield 89%. MS (ESI), M/z:248.2 ([ M + Na ]]+ )。
(8) Synthesis of Compound 8
The compound 2 is synthesized by referring to the document US 2011/0077389 A1. White solid, yield 56%.1 HNMR(400MHz,DMSO-d6)δ:7.41-7.37(d,J=7.2Hz,2H),7.33-7.28(t,J=6.9Hz,2H),7.27–7.19(m,5H),6.91-6.86(d,J=8.2Hz,4H),5.16(s,2H),4.63–4.58(m,1H),4.05–3.97(m,1H),3.74(s,6H),3.04–2.99(m,2H),2.95–2.90(m,2H).MS(ESI),m/z:416.3([M+Na]+ )。
(9) Synthesis of Compound 9
A250 mL round-bottom flask was charged with Compound 6 (10g, 22.35mmol), 1-ethyl- (3-dimethylaminopropyl) carbodiimide hydrochloride (EDC. HCL) (5.14g, 26.82mmol), N-hydroxysuccinimide (2.83g, 24.59mmol), and dichloromethane (100 mL). After stirring at room temperature for 0.5h, compound 8 (8.79g, 22.35mmol) was added and the reaction was monitored by TLC and was complete after 4 h. The reaction solution was mixed with 50mL of saturated sodium bicarbonateAnd 50mL of brine, and the organic phase was dried over anhydrous sodium sulfate, concentrated, and separated by a silica gel column (dichloromethane: methanol =20, volume ratio) to obtain 15.8g of a white solid in 86% yield. MS (ESI), M/z:845.2 ([ M + Na ]]+ )。
(10) Synthesis of Compound L monomer
In a 250mL two-necked flask, compound 1 (5g, 6.08mmol), nitrogen blanket, anhydrous acetonitrile 100mL, bis (diisopropylamino) (2-cyanoethoxy) phosphine (3.66g, 12.16mmol), ethylthiotetrazole in acetonitrile (2.5M) (1.22ml, 3.04mmol) was slowly added dropwise with stirring, the reaction was 0.5h, TLC monitored, and the reaction was complete after 0.5 h. Acetonitrile was removed by concentration under reduced pressure, and the mixture was dissolved in 100mL of methylene chloride and washed with 100mL of saturated brine. The organic phase was dried over anhydrous sodium sulfate, concentrated and separated by silica gel column (petroleum ether: ethyl acetate =1, volume ratio) to give 5.16g of white solid in 83% yield.1 H NMR(400MHz,DMSO-d6)δ:7.84-7.79(d,J=8.9Hz,1H),7.65-7.60(d,J=8.9Hz,1H),7.41-7.37(d,J=7.2Hz,2H),7.33-7.28(t,J=6.9Hz,2H),7.27-7.19(m,5H),6.91-6.86(d,J=8.2Hz,4H),5.20(s,1H),5.0-4.95(q,J=4.2Hz,1H),4.51-4.46(d,J=7.2Hz,1H),4.15-3.97(m,3H),4.05-3.96(m,1H),3.84-3.80(m,2H),3.89-3.79(m,1H),3.74(s,6H),3.71-3.69(m,1H),3.46-3.36(m,1H),3.04-2.99(m,2H),2.95-2.90(m,2H),2.88-2.84(m,2H),2.59-2.54(m,2H),2.22-2.14(t,J=7.2 Hz,2H),2.15(s,3H),2.00(s,3H),1.95(s,3H),1.87(s,3H),1.77(s,12H),1.59-1.42(m,4H).MS(ESI),m/z:1045.5([M+Na]+ )。
2. Galactose S monomer synthesis
Figure BDA0001524619770000201
(1) Synthesis of Compound 10
A100 mL round-bottomed flask, compound 4 (5 g,15.2 mmol), 10-undecenol (3.1g, 18.24mmol) dissolved in 50mL of anhydrous dichloromethane, stirred for 10 minutes, added with trimethylsilyl trifluoromethanesulfonate (0.55mL, 3.0mmol), reacted at room temperature overnight, the reaction solution was extracted with dichloromethane, the organic phase was washed twice with 50mL of saturated sodium bicarbonate, and dried over anhydrous sodium sulfateConcentrated under reduced pressure and separated by a silica gel column (petroleum ether: ethyl acetate =3, volume ratio) to obtain 6.59g of a white solid with a yield of 87%.1 HNMR(400MHz,DMSO-d6)δ:7.82(d,J=3.3Hz,1H),5.86-5.73(m,1H),5.22(s,1H),5.02-4.9(m,3H),4.5-4.98(s,J=3.5Hz,1H),4.08-3.99(m,3H),3.9-3.88(m,1H),3.73-3.65(m,1H),3.48-3.38(m,1H),2.12(s,3H),2.05-2.01(m,2H),2.00(s,3H),1.88(s,3H),1.66(s,3H),1.5-1.4(m,2H),1.39-1.3(m,2H),1.29-1.19(m,10H).MS(ESI),m/z:522.4([M+Na]+ )。
(2) Synthesis of Compound 11
In a 100mL round-bottom flask, compound 10 (4 g, 8.02mmol), dichloromethane (50 mL), acetonitrile (50 mL), and deionized water (70 mL) were added, and NaIO was added in portions4 (6.86g, 32.1mmol), reaction at room temperature 48h, and TCL to monitor the completion of the reaction. The reaction mixture was added to 100mL of deionized water, extracted three times with dichloromethane (50 mL. Times.3), the organic phases were combined, dried over anhydrous sodium sulfate, concentrated under reduced pressure and dried by rotary evaporation to give 4.1g of a light brown gummy product in 99% yield.1 HNMR(400MHz,DMSO-d6)δ:11.99(s,1H),7.82(d,J=3.3Hz,1H),5.22(s,1H),5.02-4.9(m,1H),4.5-4.98(s,J=3.5Hz,1H),4.08-3.99(m,3H),3.9-3.88(m,1H),3.73-3.65(m,1H),3.48-3.38(m,1H),2.12(s,3H),2.05-2.01(m,2H),2.00(s,3H),1.88(s,3H),1.66(s,3H),1.5-1.4(m,2H),1.39-1.3(m,2H),1.29-1.19(m,10H).MS(ESI),m/z:540.26([M+Na]+ )。
(3) Synthesis of Compound 12
Reference compound 1 synthesis. White solid, yield 85.6%. MS (ESI), M/z 915.5 ([ M + Na ]]+ )。
(4) Synthesis of Compound S
Reference compound L synthesis. White solid, yield 82.1%.
1 HNMR(400MHz,DMSO-d6)δ:7.82-7.78(d,J=7.3Hz,1H),7.69-7.63(d,J=7.3Hz,1H),7.41-7.37(d,J=7.2Hz,2H),7.33-7.28(t,J=6.9Hz,2H),7.27–7.19(m,5H),6.91-6.86(d,J=8.2Hz,4H),5.22(s,1H),5.02-4.9(m,1H),4.5-4.98(s,J=3.5Hz,1H),4.08-3.99(m,3H),4.05–3.97(m,1H),3.9-3.88(m,1H),3.84–3.80(m,2H),3.74(s,6H),3.73-3.65(m,1H),3.48-3.38(m,1H),3.04–2.99(m,2H),2.95–2.90(m,2H),2.88–2.84(m,2H),2.61–2.55(m,2H),2.12(s,3H),2.05-2.01(m,2H),2.00(s,3H),1.88(s,3H),1.77(s,12H),1.66(s,3H),1.5-1.4(m,2H),1.39-1.3(m,2H),1.29-1.19(m,10H).MS(ESI),m/z:1115.2([M+Na]+ ).
3. GalNac-siRNA Synthesis
See example one.
2. Isolation of mouse primary hepatocytes
Mice were anesthetized, skin and muscle layers were cut open, the liver was exposed, the perfusion catheter was inserted into the portal vein, and the inferior vena cava was cut open to prepare for liver perfusion. Perfusion Solution I (Hank's, 0.5mM EGTA, pH 8) and perfusion Solution II (Low-glucose DMEM,100U/mL Type IV, pH 7.4) were preheated at 40 deg.C and perfused into the liver along the portal vein cannulation at 37 deg.C at a flow rate of 7mL/min for 5min until the liver became off-white. The liver was then perfused with a 37 ℃ perfusion Solution II at a flow rate of 7mL/min for 7min. After perfusion was complete, the liver was removed and placed in Solution III (10% FBS low-glucose DMEM,4 ℃) to stop digestion, the forceps cut the liver envelope and gently shake the liver to release hepatocytes. The hepatocytes were filtered through a 70 μm cell filter, centrifuged at 50g for 2min, and the supernatant was discarded. The cells were resuspended in Solution IV (40% percoll low-glucose DMEM,4 ℃), centrifuged at 100g for 2min and the supernatant discarded. 2% FBS low-glucose DMEM was added to resuspend the cells for use. Trypan blue staining identifies cell viability.
3. Determination of GalNAc binding curves and Kd values
Freshly isolated mouse primary hepatocytes were plated in 96-well plates at 2X 104 One/well, 100. Mu.l/well. GalNAc-siRNA or siRNA was added to each well (negative control with siRNA without GalNAc). Each GalNAc-siRNA set a final concentration of 0.9nM, 8.3nM, 25nM, 50nM, 100nM, 150nM. After incubation at 4 ℃ for 2h, 50g was centrifuged for 2min and the supernatant was discarded. Cells were resuspended at 10. Mu.g/ml PI, stained for 10min and centrifuged at 50g for 2min. The cells were washed with pre-cooled PBS, centrifuged at 50g for 2min and the supernatant discarded. PBS resuspended cells. Flow cytometry was used to determine the mean fluorescence intensity MFI of live cells, and GraphPad Prism5 software was used for non-linear fitting and Kd value calculation. The data in Table 8 and FIG. 1 show that ligand-modified GalNAc-siRNA promotes in vitro hepatocyte endocytosis/uptake without the addition of transfection reagent, achievingDelivery to hepatocytes. Meanwhile, galNAc-siRNA with different GalNac structures has certain difference in the cell endocytosis and receptor binding capacity. And judging that the GalNAc-siRNA with the 2S, 3S, 4S, 2L, 3L and 4L structure has better affinity with the liver cells from the Bmax and Kd values.
TABLE 8 Kd and Bmax values for each experimental group
P5G11-12LP5G11-13LP5G11-14LP5G11-12SP5G11-13SP5G11-14S
Bmax1383609044574461875366627681090
Kd18.99.68.417.69.78.7
Note: the structure of each GalNAc-siRNA in the table is shown in Table 9.
TABLE 9 GalNAc-siRNA sequence structure for targeted detection
Figure BDA0001524619770000211
Figure BDA0001524619770000221
Note: 1 after the broken line in P5G11-10 indicates that the fluorescent label is modified; 0 after the broken line indicates that no targeting ligand modification has been performed; 1 after the broken line in P5G11-13L represents that the modified product is modified by fluorescent marks; the 3L after the broken line represents the modification of the targeting ligand into 3L (LLL), and the rest labels are analogized in turn. The antisense strand labeled "Cy5/-" in the structure indicates that the 5' -end of the antisense strand is modified with Cy5, which is a fluorescent group.
Example 4 GalNAc-siRNA in vitro effectiveness test
1. mRNA expression level detection in primary mouse hepatocytes
24-well plates were pre-coated with collagen I, rat tail, and freshly isolated mouse primary hepatocytes plated into 24-well plates at 1X 105 One/well, volume 800. Mu.l/well. GalNAc-siRNA was added to each well, and the final concentration of GalNAc-siRNA was set at 500nM. After the cells were placed in a cell incubator for 48 hours, PCSK9mRNA expression was detected by Q-PCR. From the results (Table 10), galNAc-siRNA could enter hepatocytes by endocytosis and silence the expression of the PCSK9 gene.
2. mRNA expression level detection in Huh7 cells
For the detection procedure, the final concentration of GalNAc-siRNA transfection is 50nM.
TABLE 10GalNAc-siRNA in vitro inhibitory Activity
Mouse Primary cells (without transfection reagent) RELHuh7 cells (plus transfection reagent) REL
NC-03L11
NC-03S11
P5G11-03L0.800.19
P5G11-03S0.720.17
P5G17-03L0.810.18
P5G17-03S0.770.16
Note: P5G11-03L and P5G17-03L were compared with NC-03L, and P5G11-03S and P5G17-03S were compared with NC-03S. The structure of each siRNA is shown in Table 11.
TABLE 11 GalNAc-siRNA sequence Structure for efficacy testing
Figure BDA0001524619770000231
Note: 0 after the broken line in P5G11-03L represents that the fluorescent labeling modification is not carried out; the 3L after the broken line indicates that the targeting ligand is modified to 3L (LLL), and so on.
Example 5 in vivo liver Targeted assay
The test uses male, 6-7 week-old SPF grade Balb/c-nu mice (Beijing Wintolite laboratory animals Co., ltd.) randomly divided into 7 groups, blank control group, P5G11-10 group, P5G17-10 group, P5G11-13L group, P5G11-13S group, P5G17-13L group, and P5G17-13S group. The animals in each group were 2, 3, 4, and the animals were administered by tail vein injection at a dose of about 10mg/kg (see Table 12 for experimental design). Before medicine, 15min, 30min, 1h, 2h, 4h and 6h after medicine administration, all animals are subjected to living body imaging including white light and X-ray imaging. After 6 hours euthanasia, brains, salivary glands, heart, spleen, lung, liver, kidney and intestine were removed for ex vivo organ imaging (fig. 2 and 3).
TABLE 12 design of liver targeting experiments
Serial numberGroup ofTest articleAdministration dose (mg/kg)Volume of administration (mL)
1Blank controlgroupPhysiological saline00.2
2NC1P5G11-10100.2
3NC2P5G17-10100.2
4Positive groupP5G11-13L100.2
5Positive groupP5G11-13S100.2
6Positive groupP5G17-13L100.2
7Positive groupP5G17-13S100.2
The results of the ex vivo imaging analysis (tables 13-14) showed that the fluorescence intensity of livers of P5G11-13L, P5G11-13S, P5G17-13L and P5G17-13S groups was higher than that of the negative control group at 6 hours after administration. The results show that the P5G11-13L, the P5G11-13S, the P5G17-13L and the P5G17-13S have certain targeting property to the liver.
TABLE 13 statistical results of isolated organ fluorescence intensity values after background subtraction (× 10)8 ps/mm2 )
Figure BDA0001524619770000241
TABLE 14 fluorescence intensity ratio results
Organ(s)Salivary glandLiver diseaseKidney (A)Intestinal tract
P5G11-13L/P5G11-100.952.890.740.98
P5G11-13S/P5G11-100.754.520.881.15
P5G17-13L/P5G17-100.992.221.401.20
P5G17-13S/P5G17-101.153.071.001.31
Example 6 in vivo efficacy test
The test was conducted using male, 6-7 week-old SPF grade C57/B6 mice (Peking Wintonlifa laboratory animals Co., ltd.) randomly grouped into 4 mice each group, and administered by tail vein injection (see Table 15 for administration groups). 3 days and 14 days after administration, 0.25ml of blood is collected by blood discharge from the back of the eyeball (delivery test within 1 hour after blood collection); the mice were then euthanized, livers were collected and frozen in liquid nitrogen and stored at-80 ℃ until use. The collected liver was used for PCSK9-mRNA level detection and the collected blood was used for LDL-C (low density lipoprotein cholesterol) detection.
TABLE 15 administration groups
NumberingGroup ofReagentDosage to be administeredVolume of administration (mL)
1BlankcontrolPhysiological saline00.2
2NC3P5G1133mg/kg0.2
3NC4P5G1733mg/kg0.2
4Low doseP5G11-13L-L3mg/kg0.2
5Middle doseP5G11-13L-M10mg/kg0.2
6High doseP5G11-13L-H33mg/kg0.2
7Low doseP5G11-13S-L3mg/kg0.2
8Middle dosageP5G11-13S-M10mg/kg0.2
9High doseP5G11-13S-H33mg/kg0.2
10Low doseP5G17-13L-L3mg/kg0.2
11Middle doseP5G17-13L-M10mg/kg0.2
12High doseP5G17-13L-H33mg/kg0.2
13Low doseP5G17-13S-L3mg/kg0.2
14Middle dosageP5G17-13S-M10mg/kg0.2
15High doseP5G17-13S-H33mg/kg0.2
Note: -L for low dose, -M for medium dose, -H for high dose.
1. PCSK9-mRNA detection
1. Method for producing a composite material
Selecting a fully-automatic grinder for grinding the liver tissues of the frozen mice with the size of mung beans. Total RNA in mouse liver tissue is extracted by Trizol method, and the purity and concentration of RNA are determined by K550. The mRNA expression level of the PCSK9 gene was determined using the qRT-PCR Starter Kit (Ruibo Biotech, guangzhou) and compared between groups.
2. Results
The experimental results show (table 16) that the relative expression amount of PCSK9 gene mRNA in the low dose group (3 mg/kg), the medium dose group (10 mg/kg) and the high dose group (33 mg/kg) is significantly lower than that in the blank group, and the difference has statistical significance (P < 0.01). Furthermore, each dose of GalNAc-siRNA down-regulated at least 75% of mRNA levels after 3 days of administration and at least 65% of mRNA levels after 14 days of administration relative to the blank group, suggesting that the drug may allow for low frequency administration, thereby facilitating the patient. Meanwhile, the siRNA can obviously reduce the mRNA expression level of the PCSK9 gene in the liver of a mouse, and the reduction amplitude is increased along with the increase of the drug dose, so that a dose effect relationship exists.
TABLE 16 GalNac-siRNA in vivo inhibitory activity (relative to blank saline group)
Figure BDA0001524619770000261
2. LDL-C assay
1. Method of producing a composite material
(1) Separating serum: 200 μ L of blood was centrifuged at 4000rpm and the supernatant was assayed.
(2) Detecting by a biochemical analyzer: the merry BS-490 biochemical instrument detects LDL-C levels.
2. Results
The results (tables 17 and 18) show that different doses of GalNAc-siRNA target mice, and that LDL-C (low density lipoprotein cholesterol), TC (total serum cholesterol) concentrations 3-28 days after administration were reduced and dose-dependent to some extent compared to the blank (saline). Wherein the LDL-C concentration can be reduced by at least 32% and the TC concentration can be reduced by at least 23% 3 days after administration to the high dose group; the LDL-C concentration can be reduced by at least 28 percent and the TC concentration can be reduced by at least 23 percent after the high-dose group is administered for 14 days; the LDL-C concentration can be reduced by at least 18% and the TC concentration can be reduced by at least 17% 28 days after administration to the high dose group.
TABLE 17 Effect of GalNAc-siRNA on LDL-C concentration (mmol/L)
Figure BDA0001524619770000271
TABLE 18 influence of GalNAc-siRNA on TC concentration (mmol/L)
Figure BDA0001524619770000281
<110> Yangzhou Ribo Biotech Co., ltd
<120> a modified siRNA molecule and uses thereof
<130> GNCLN171642
<160> 83
<170> PatentIn version 3.5
<210> 1
<211> 21
<212> RNA
<213> Artificial sequence
<220>
<221> misc_feature
<222> (20)..(21)
<223> PS backbone connection
<220>
<221> misc_feature
<222> (20)..(21)
<223> Each nucleotide was modified by 2' OMe
<400> 1
cccaugucga cuacaucgau u 21
<210> 2
<211> 21
<212> RNA
<213> Artificial sequence
<220>
<221> misc_feature
<222> (20)..(21)
<223> PS backbone connection
<220>
<221> misc_feature
<222> (20)..(21)
<223> Each nucleotide was modified by 2' OMe
<400> 2
ucgauguagu cgacaugggg c 21
<210> 3
<211> 21
<212> RNA
<213> Artificial sequence
<220>
<221> misc_feature
<222> (20)..(21)
<223> PS backbone connection
<220>
<221> misc_feature
<222> (20)..(21)
<223> Each nucleotide was modified by 2' OMe
<400> 3
gaggaggacu ccucugucuu u 21
<210> 4
<211> 21
<212> RNA
<213> Artificial sequence
<220>
<221> misc_feature
<222> (20)..(21)
<223> PS backbone connection
<220>
<221> misc_feature
<222> (20)..(21)
<223> Each nucleotide was modified by 2' OMe
<400> 4
agacagagga guccuccucg a 21
<210> 5
<211> 21
<212> RNA
<213> Artificial sequence
<220>
<221> misc_feature
<222> (20)..(21)
<223> PS backbone connection
<220>
<221> misc_feature
<222> (20)..(21)
<223> Each nucleotide was modified by 2' OMe
<400> 5
ggcagagacu gauccacuuu u 21
<210> 6
<211> 21
<212> RNA
<213> Artificial sequence
<220>
<221> misc_feature
<222> (20)..(21)
<223> PS backbone connection
<220>
<221> misc_feature
<222> (20)..(21)
<223> Each nucleotide was modified by 2' OMe
<400> 6
aaguggauca gucucugccu c 21
<210> 7
<211> 21
<212> RNA
<213> Artificial sequence
<220>
<221> misc_feature
<222> (20)..(21)
<223> PS backbone connection
<220>
<221> misc_feature
<222> (20)..(21)
<223> Each nucleotide was modified by 2' OMe
<400> 7
gggucauggu caccgacuuu u 21
<210> 8
<211> 21
<212> RNA
<213> Artificial sequence
<220>
<221> misc_feature
<222> (20)..(21)
<223> PS backbone connection
<220>
<221> misc_feature
<222> (20)..(21)
<223> Each nucleotide was modified by 2' OMe
<400> 8
aagucgguga ccaugacccu g 21
<210> 9
<211> 21
<212> RNA
<213> Artificial sequence
<220>
<221> misc_feature
<222> (20)..(21)
<223> PS backbone connection
<220>
<221> misc_feature
<222> (20)..(21)
<223> Each nucleotide was modified by 2' OMe
<400> 9
ggucuggaau gcaaagucau u 21
<210> 10
<211> 21
<212> RNA
<213> Artificial sequence
<220>
<221> misc_feature
<222> (20)..(21)
<223> PS backbone connection
<220>
<221> misc_feature
<222> (20)..(21)
<223> Each nucleotide was modified by 2' OMe
<400> 10
ugacuuugca uuccagaccu g 21
<210> 11
<211> 21
<212> RNA
<213> Artificial sequence
<220>
<221> misc_feature
<222> (20)..(21)
<223> PS backbone connection
<220>
<221> misc_feature
<222> (20)..(21)
<223> Each nucleotide was modified by 2' OMe
<400> 11
caggucugga augcaaaguu u 21
<210> 12
<211> 21
<212> RNA
<213> Artificial sequence
<220>
<221> misc_feature
<222> (20)..(21)
<223> PS backbone connection
<220>
<221> misc_feature
<222> (20)..(21)
<223> Each nucleotide was modified by 2' OMe
<400> 12
acuuugcauu ccagaccugg g 21
<210> 13
<211> 21
<212> RNA
<213> Artificial sequence
<220>
<221> misc_feature
<222> (20)..(21)
<223> PS backbone connection
<220>
<221> misc_feature
<222> (20)..(21)
<223> Each nucleotide was modified by 2' OMe
<400> 13
ccagcaagug ugacagucau u 21
<210> 14
<211> 21
<212> RNA
<213> Artificial sequence
<220>
<221> misc_feature
<222> (20)..(21)
<223> PS backbone connection
<220>
<221> misc_feature
<222> (20)..(21)
<223> Each nucleotide was modified by 2' OMe
<400> 14
ugacugucac acuugcuggc c 21
<210> 15
<211> 21
<212> RNA
<213> Artificial sequence
<220>
<221> misc_feature
<222> (20)..(21)
<223> PS backbone connection
<220>
<221> misc_feature
<222> (20)..(21)
<223> Each nucleotide was modified by 2' OMe
<400> 15
gguggaggug uaucuccuau u 21
<210> 16
<211> 21
<212> RNA
<213> Artificial sequence
<220>
<221> misc_feature
<222> (20)..(21)
<223> PS backbone connection
<220>
<221> misc_feature
<222> (20)..(21)
<223> Each nucleotide was modified by 2' OMe
<400> 16
uaggagauac accuccacca g 21
<210> 17
<211> 21
<212> RNA
<213> Artificial sequence
<220>
<221> misc_feature
<222> (20)..(21)
<223> PS backbone connection
<220>
<221> misc_feature
<222> (20)..(21)
<223> Each nucleotide was modified by 2' OMe
<400> 17
ggacccgcuu ccacagacau u 21
<210> 18
<211> 21
<212> RNA
<213> Artificial sequence
<220>
<221> misc_feature
<222> (20)..(21)
<223> PS backbone connection
<220>
<221> misc_feature
<222> (20)..(21)
<223> Each nucleotide was modified by 2' OMe
<400> 18
ugucugugga agcggguccc g 21
<210> 19
<211> 25
<212> RNA
<213> Artificial sequence
<220>
<221> misc_feature
<222> (1)..(7)
<223> Each nucleotide was modified by 2' OMe
<220>
<221> misc_feature
<222> (19)..(25)
<223> Each nucleotide was modified by 2' OMe
<400> 19
cauaggccug gaguuuauuc ggaaa 25
<210> 20
<211> 25
<212> RNA
<213> Artificial sequence
<220>
<223>
<400> 20
uuuccgaaua aacuccaggc cuaug 25
<210> 21
<211> 25
<212> RNA
<213> Artificial sequence
<220>
<221> misc_feature
<222> (1)..(7)
<223> Each nucleotide was modified by 2' OMe
<220>
<221> misc_feature
<222> (19)..(25)
<223> Each nucleotide was modified by 2' OMe
<400> 21
gcacccucau aggccuggag uuuau 25
<210> 22
<211> 25
<212> RNA
<213> Artificial sequence
<220>
<223>
<400> 22
auaaacucca ggccuaugag ggugc 25
<210> 23
<211> 25
<212> RNA
<213> Artificial sequence
<220>
<221> misc_feature
<222> (1)..(7)
<223> Each nucleotide was modified by 2' OMe
<220>
<221> misc_feature
<222> (19)..(25)
<223> Each nucleotide was modified by 2' OMe
<400> 23
cacccucaua ggccuggagu uuauu 25
<210> 24
<211> 25
<212> RNA
<213> Artificial sequence
<220>
<223>
<400> 24
aauaaacucc aggccuauga gggug 25
<210> 25
<211> 25
<212> RNA
<213> Artificial sequence
<220>
<221> misc_feature
<222> (1)..(7)
<223> Each nucleotide was modified by 2' OMe
<220>
<221> misc_feature
<222> (19)..(25)
<223> Each nucleotide was modified by 2' OMe
<400> 25
caccaagauc cugcaugucu uccau 25
<210> 26
<211> 25
<212> RNA
<213> Artificial sequence
<220>
<223>
<400> 26
auggaagaca ugcaggaucu uggug 25
<210> 27
<211> 25
<212> RNA
<213> Artificial sequence
<220>
<221> misc_feature
<222> (1)..(7)
<223> Each nucleotide was modified by 2' OMe
<220>
<221> misc_feature
<222> (19)..(25)
<223> Each nucleotide was modified by 2' OMe
<400> 27
ccugcauguc uuccauggcc uucuu 25
<210> 28
<211> 25
<212> RNA
<213> Artificial sequence
<220>
<223>
<400> 28
aagaaggcca uggaagacau gcagg 25
<210> 29
<211> 25
<212> RNA
<213> Artificial sequence
<220>
<221> misc_feature
<222> (1)..(7)
<223> Each nucleotide was modified by 2' OMe
<220>
<221> misc_feature
<222> (19)..(25)
<223> Each nucleotide was modified by 2' OMe
<400> 29
acaggccagc aagugugaca gucau 25
<210> 30
<211> 25
<212> RNA
<213> Artificial sequence
<220>
<223>
<400> 30
augacuguca cacuugcugg ccugu 25
<210> 31
<211> 25
<212> RNA
<213> Artificial sequence
<220>
<221> misc_feature
<222> (1)..(7)
<223> Each nucleotide was modified by 2' OMe
<220>
<221> misc_feature
<222> (19)..(25)
<223> Each nucleotide was modified by 2' OMe
<400> 31
gggcucccug auuaauggag gcuua 25
<210> 32
<211> 25
<212> RNA
<213> Artificial sequence
<220>
<223>
<400> 32
uaagccucca uuaaucaggg agccc 25
<210> 33
<211> 25
<212> RNA
<213> Artificial sequence
<220>
<221> misc_feature
<222> (1)..(7)
<223> Each nucleotide was modified by 2' OMe
<220>
<221> misc_feature
<222> (19)..(25)
<223> Each nucleotide was modified by 2' OMe
<400> 33
ggaggcuuag cuuucuggau ggcau 25
<210> 34
<211> 25
<212> RNA
<213> Artificial sequence
<220>
<223>
<400> 34
augccaucca gaaagcuaag ccucc 25
<210> 35
<211> 21
<212> RNA
<213> Artificial sequence
<220>
<221> misc_feature
<222> (20)..(21)
<223> Each nucleotide is a deoxyribonucleotide
<400> 35
gccuggaguu uauucggaat t 21
<210> 36
<211> 21
<212> RNA
<213> Artificial sequence
<220>
<221> misc_feature
<222> (20)..(21)
<223> Each nucleotide is a deoxyribonucleotide
<400> 36
uuccgaauaa acuccaggct t 21
<210> 37
<211> 19
<212> RNA
<213> Artificial sequence
<220>
<223>
<400> 37
gguggaggug uaucuccua 19
<210> 38
<211> 21
<212> RNA
<213> Artificial sequence
<220>
<223>
<400> 38
uaggagauac accuccacca g 21
<210> 39
<211> 19
<212> RNA
<213> Artificial sequence
<220>
<223>
<400> 39
cuggcuuccu ggugaagau 19
<210> 40
<211> 21
<212> RNA
<213> Artificial sequence
<220>
<223>
<400> 40
aucuucacca ggaagccagg a 21
<210> 41
<211> 19
<212> RNA
<213> Artificial sequence
<220>
<223>
<400> 41
gacaacacgu guguaguca 19
<210> 42
<211> 21
<212> RNA
<213> Artificial sequence
<220>
<223>
<400> 42
ugacuacaca cguguugucu a 21
<210> 43
<211> 19
<212> RNA
<213> Artificial sequence
<220>
<223>
<400> 43
gcaccugcuu ugugucaca 19
<210> 44
<211> 21
<212> RNA
<213> Artificial sequence
<220>
<223>
<400> 44
ugugacacaa agcaggugcu g 21
<210> 45
<211> 19
<212> RNA
<213> Artificial sequence
<220>
<223>
<400> 45
ggcagagacu gauccacuu 19
<210> 46
<211> 21
<212> RNA
<213> Artificial sequence
<220>
<223>
<400> 46
aaguggauca gucucugccu c 21
<210> 47
<211> 19
<212> RNA
<213> Artificial sequence
<220>
<223>
<400> 47
ggucuggaau gcaaaguca 19
<210> 48
<211> 21
<212> RNA
<213> Artificial sequence
<220>
<223>
<400> 48
ugacuuugca uuccagaccu g 21
<210> 49
<211> 19
<212> RNA
<213> Artificial sequence
<220>
<223>
<400> 49
gugucacaga gugggacau 19
<210> 50
<211> 21
<212> RNA
<213> Artificial sequence
<220>
<223>
<400> 50
augucccacu cugugacaca a 21
<210> 51
<211> 19
<212> RNA
<213> Artificial sequence
<220>
<223>
<400> 51
cagcaagugu gacagucau 19
<210> 52
<211> 21
<212> RNA
<213> Artificial sequence
<220>
<223>
<400> 52
augacuguca cacuugcugg c 21
<210> 53
<211> 19
<212> RNA
<213> Artificial sequence
<220>
<223>
<400> 53
caggucugga augcaaagu 19
<210> 54
<211> 21
<212> RNA
<213> Artificial sequence
<220>
<223>
<400> 54
acuuugcauu ccagaccugg g 21
<210> 55
<211> 19
<212> RNA
<213> Artificial sequence
<220>
<223>
<400> 55
cccaugucga cuacaucga 19
<210> 56
<211> 21
<212> RNA
<213> Artificial sequence
<220>
<223>
<400> 56
ucgauguagu cgacaugggg c 21
<210> 57
<211> 19
<212> RNA
<213> Artificial sequence
<220>
<223>
<400> 57
cuagacacca gcauacaga 19
<210> 58
<211> 21
<212> RNA
<213> Artificial sequence
<220>
<223>
<400> 58
ucuguaugcu ggugucuagg a 21
<210> 59
<211> 19
<212> RNA
<213> Artificial sequence
<220>
<223>
<400> 59
gccuggaguu uauucggaa 19
<210> 60
<211> 21
<212> RNA
<213> Artificial sequence
<220>
<223>
<400> 60
uuccgaauaa acuccaggcc u 21
<210> 61
<211> 22
<212> RNA
<213> Artificial sequence
<220>
<223>
<400> 61
auaaacucca ggccuaugag gg 22
<210> 62
<211> 19
<212> RNA
<213> Artificial sequence
<220>
<223>
<400> 62
auaaacucca ggccuauga 19
<210> 63
<211> 25
<212> RNA
<213> Artificial sequence
<220>
<221> misc_feature
<222> (2)..(2)
<223> modification by 2' OMe
<400> 63
auaaacucca ggccuaugag ggugc 25
<210> 64
<211> 25
<212> RNA
<213> Artificial sequence
<220>
<221> misc_feature
<222> (1)..(1)
<223> deoxyribonucleotides
<220>
<221> misc_feature
<222> (2)..(2)
<223> modification by 2' OMe
<220>
<221> misc_feature
<222> (3)..(8)
<223> Each nucleotide is a deoxyribonucleotide
<400> 64
auaaactcca ggccuaugag ggugc 25
<210> 65
<211> 22
<212> RNA
<213> Artificial sequence
<220>
<221> misc_feature
<222> (1)..(1)
<223> deoxyribonucleotides
<220>
<221> misc_feature
<222> (2)..(2)
<223> modified by 2' OMe
<220>
<221> misc_feature
<222> (3)..(8)
<223> Each nucleotide is a deoxyribonucleotide
<400> 65
auaaactcca ggccuaugag gg 22
<210> 66
<211> 19
<212> RNA
<213> Artificial sequence
<220>
<221> misc_feature
<222> (1)..(1)
<223> deoxyribonucleotides
<220>
<221> misc_feature
<222> (2)..(2)
<223> modification by 2' OMe
<220>
<221> misc_feature
<222> (3)..(8)
<223> Each nucleotide is a deoxyribonucleotide
<400> 66
auaaactcca ggccuauga 19
<210> 67
<211> 25
<212> RNA
<213> Artificial sequence
<220>
<221> misc_feature
<222> (2)..(2)
<223> modified by 2' F
<220>
<221> misc_feature
<222> (6)..(9)
<223> Each nucleotide was modified with 2' F
<220>
<221> misc_feature
<222> (13)..(15)
<223> Each nucleotide was modified with 2' F
<220>
<221> misc_feature
<222> (17)..(17)
<223> modified by 2' F
<220>
<221> misc_feature
<222> (23)..(23)
<223> modified with 2' F
<220>
<221> misc_feature
<222> (25)..(25)
<223> modified with 2' F
<400> 67
auaaacucca ggccuaugag ggugc 25
<210> 68
<211> 25
<212> RNA
<213> Artificial sequence
<220>
<221> misc_feature
<222> (1)..(1)
<223> deoxyribonucleotides
<220>
<221> misc_feature
<222> (2)..(2)
<223> modified with 2' F
<220>
<221> misc_feature
<222> (3)..(8)
<223> Each nucleotide is a deoxyribonucleotide
<220>
<221> misc_feature
<222> (9)..(9)
<223> modified with 2' F
<220>
<221> misc_feature
<222> (13)..(15)
<223> Each nucleotide was modified with 2' F
<220>
<221> misc_feature
<222> (17)..(17)
<223> modified by 2' F
<220>
<221> misc_feature
<222> (23)..(23)
<223> modified by 2' F
<220>
<221> misc_feature
<222> (25)..(25)
<223> modified with 2' F
<400> 68
auaaactcca ggccuaugag ggugc 25
<210> 69
<211> 25
<212> RNA
<213> Artificial sequence
<220>
<221> misc_feature
<222> (1)..(7)
<223> Each nucleotide was modified by 2' OMe
<220>
<221> misc_feature
<222> (16)..(16)
<223> modification by 2' OMe
<220>
<221> misc_feature
<222> (19)..(25)
<223> Each nucleotide was modified by 2' OMe
<400> 69
gcacccucau aggccuggag uuuau 25
<210> 70
<211> 25
<212> RNA
<213> Artificial sequence
<220>
<221> misc_feature
<222> (1)..(7)
<223> Each nucleotide was modified by 2' OMe
<220>
<221> misc_feature
<222> (8)..(8)
<223> modified with 2' F
<220>
<221> misc_feature
<222> (10)..(10)
<223> modified with 2' F
<220>
<221> misc_feature
<222> (12)..(12)
<223> modification by 2' OMe
<220>
<221> misc_feature
<222> (14)..(15)
<223> Each nucleotide was modified with 2' F
<220>
<221> misc_feature
<222> (16)..(16)
<223> modification by 2' OMe
<220>
<221> misc_feature
<222> (19)..(25)
<223> Each nucleotide was modified by 2' OMe
<400> 70
gcacccucau aggccuggag uuuau 25
<210> 71
<211> 19
<212> RNA
<213> Artificial sequence
<220>
<223>
<400> 71
ucauaggccu ggaguuuau 19
<210> 72
<211> 21
<212> RNA
<213> Artificial sequence
<220>
<223>
<400> 72
auaaacucca ggccuaugag g 21
<210> 73
<211> 21
<212> RNA
<213> Artificial sequence
<220>
<221> misc_feature
<222> (1)..(2)
<223> each nucleotide was modified by 2' F
<220>
<221> misc_feature
<222> (2)..(5)
<223> nucleotides are linked by PS backbone
<220>
<221> misc_feature
<222> (3)..(5)
<223> Each nucleotide is a deoxyribonucleotide
<220>
<221> misc_feature
<222> (6)..(9)
<223> each nucleotide was modified by 2' F
<220>
<221> misc_feature
<222> (13)..(15)
<223> each nucleotide was modified by 2' F
<220>
<221> misc_feature
<222> (17)..(17)
<223> modified by 2' F
<220>
<221> misc_feature
<222> (19)..(21)
<223> nucleotides are linked by PS backbone
<220>
<221> misc_feature
<222> (20)..(21)
<223> Each nucleotide was modified by 2' OMe
<400> 73
auaaacucca ggccuaugag g 21
<210> 74
<211> 21
<212> RNA
<213> Artificial sequence
<220>
<221> misc_feature
<222> (1)..(2)
<223> Each nucleotide was modified with 2' F
<220>
<221> misc_feature
<222> (2)..(5)
<223> nucleotides are linked by PS backbone
<220>
<221> misc_feature
<222> (3)..(5)
<223> Each nucleotide is a deoxyribonucleotide
<220>
<221> misc_feature
<222> (6)..(10)
<223> Each nucleotide was modified with 2' F
<220>
<221> misc_feature
<222> (11)..(12)
<223> Each nucleotide was modified by 2' OMe
<220>
<221> misc_feature
<222> (13)..(15)
<223> Each nucleotide was modified with 2' F
<220>
<221> misc_feature
<222> (16)..(16)
<223> modification by 2' OMe
<220>
<221> misc_feature
<222> (17)..(17)
<223> modified with 2' F
<220>
<221> misc_feature
<222> (18)..(21)
<223> Each nucleotide was modified by 2' OMe
<220>
<221> misc_feature
<222> (19)..(21)
<223> nucleotides are linked by PS backbone
<400> 74
auaaacucca ggccuaugag g 21
<210> 75
<211> 21
<212> RNA
<213> Artificial sequence
<220>
<221> misc_feature
<222> (1)..(1)
<223> modified with 2' F
<220>
<221> misc_feature
<222> (2)..(2)
<223> modification by 2' OMe
<220>
<221> misc_feature
<222> (3)..(5)
<223> Each nucleotide was modified with 2' F
<220>
<221> misc_feature
<222> (5)..(7)
<223> nucleotides are linked by PS backbone
<220>
<221> misc_feature
<222> (6)..(7)
<223> Each nucleotide is a deoxyribonucleotide
<220>
<221> misc_feature
<222> (8)..(9)
<223> Each nucleotide was modified by 2' OMe
<220>
<221> misc_feature
<222> (10)..(12)
<223> each nucleotide was modified by 2' F
<220>
<221> misc_feature
<222> (12)..(14)
<223> nucleotides are linked by PS backbone
<220>
<221> misc_feature
<222> (13)..(14)
<223> Each nucleotide is a deoxyribonucleotide
<220>
<221> misc_feature
<222> (15)..(16)
<223> Each nucleotide was modified by 2' OMe
<220>
<221> misc_feature
<222> (17)..(19)
<223> each nucleotide was modified by 2' F
<220>
<221> misc_feature
<222> (19)..(21)
<223> nucleotides are linked by PS backbone
<220>
<221> misc_feature
<222> (20)..(21)
<223> Each nucleotide was modified by 2' OMe
<400> 75
auaaactcca ggccuaugag g 21
<210> 76
<211> 19
<212> RNA
<213> Artificial sequence
<220>
<221> misc_feature
<222> (1)..(3)
<223> Each nucleotide was modified by 2' OMe
<220>
<221> misc_feature
<222> (4)..(4)
<223> modified with 2' F
<220>
<221> misc_feature
<222> (5)..(7)
<223> Each nucleotide was modified by 2' OMe
<220>
<221> misc_feature
<222> (8)..(10)
<223> each nucleotide was modified by 2' F
<220>
<221> misc_feature
<222> (11)..(12)
<223> Each nucleotide was modified by 2' OMe
<220>
<221> misc_feature
<222> (13)..(13)
<223> modified with 2' F
<220>
<221> misc_feature
<222> (14)..(14)
<223> modification by 2' OMe
<220>
<221> misc_feature
<222> (15)..(16)
<223> each nucleotide was modified by 2' F
<220>
<221> misc_feature
<222> (17)..(19)
<223> Each nucleotide was modified by 2' OMe
<400> 76
ucauaggccu ggaguuuau 19
<210> 77
<211> 21
<212> RNA
<213> Artificial sequence
<220>
<221> misc_feature
<222> (2)..(2)
<223> modified with 2' F
<220>
<221> misc_feature
<222> (2)..(5)
<223> nucleotides are linked by PS backbone
<220>
<221> misc_feature
<222> (3)..(5)
<223> Each nucleotide is a deoxyribonucleotide
<220>
<221> misc_feature
<222> (6)..(9)
<223> each nucleotide was modified by 2' F
<220>
<221> misc_feature
<222> (11)..(12)
<223> Each nucleotide was modified by 2' OMe
<220>
<221> misc_feature
<222> (13)..(15)
<223> Each nucleotide was modified with 2' F
<220>
<221> misc_feature
<222> (17)..(17)
<223> modified by 2' F
<220>
<221> misc_feature
<222> (19)..(21)
<223> nucleotides are linked by PS backbone
<220>
<221> misc_feature
<222> (20)..(21)
<223> Each nucleotide was modified by 2' OMe
<400> 77
auaaacucca ggccuaugag g 21
<210> 78
<211> 21
<212> RNA
<213> Artificial sequence
<220>
<221> misc_feature
<222> (2)..(2)
<223> modified by 2' F
<220>
<221> misc_feature
<222> (2)..(5)
<223> nucleotides are linked by PS backbone
<220>
<221> misc_feature
<222> (3)..(5)
<223> Each nucleotide is a deoxyribonucleotide
<220>
<221> misc_feature
<222> (6)..(9)
<223> Each nucleotide was modified with 2' F
<220>
<221> misc_feature
<222> (11)..(12)
<223> Each nucleotide was modified by 2' OMe
<220>
<221> misc_feature
<222> (13)..(15)
<223> Each nucleotide was modified with 2' F
<220>
<221> misc_feature
<222> (17)..(19)
<223> each nucleotide was modified by 2' F
<220>
<221> misc_feature
<222> (19)..(21)
<223> nucleotides are linked by PS backbone
<220>
<221> misc_feature
<222> (20)..(21)
<223> Each nucleotide was modified by 2' OMe
<400> 78
auaaacucca ggccuaugag g 21
<210> 79
<211> 21
<212> RNA
<213> Artificial sequence
<220>
<221> misc_feature
<222> (1)..(2)
<223> each nucleotide was modified by 2' F
<220>
<221> misc_feature
<222> (2)..(5)
<223> nucleotides are linked by PS backbone
<220>
<221> misc_feature
<222> (3)..(5)
<223> Each nucleotide is a deoxyribonucleotide
<220>
<221> misc_feature
<222> (6)..(10)
<223> Each nucleotide was modified with 2' F
<220>
<221> misc_feature
<222> (13)..(15)
<223> each nucleotide was modified by 2' F
<220>
<221> misc_feature
<222> (17)..(19)
<223> Each nucleotide was modified with 2' F
<220>
<221> misc_feature
<222> (19)..(21)
<223> nucleotides are linked by PS backbone
<220>
<221> misc_feature
<222> (20)..(21)
<223> Each nucleotide was modified by 2' OMe
<400> 79
auaaacucca ggccuaugag g 21
<210> 80
<211> 21
<212> RNA
<213> Artificial sequence
<220>
<221> misc_feature
<222> (1)..(2)
<223> Each nucleotide was modified with 2' F
<220>
<221> misc_feature
<222> (2)..(5)
<223> nucleotides are linked by PS backbone
<220>
<221> misc_feature
<222> (3)..(5)
<223> Each nucleotide is a deoxyribonucleotide
<220>
<221> misc_feature
<222> (6)..(9)
<223> Each nucleotide was modified with 2' F
<220>
<221> misc_feature
<222> (11)..(15)
<223> Each nucleotide was modified with 2' F
<220>
<221> misc_feature
<222> (16)..(16)
<223> modified by 2' OMe
<220>
<221> misc_feature
<222> (17)..(19)
<223> Each nucleotide was modified with 2' F
<220>
<221> misc_feature
<222> (19)..(21)
<223> nucleotides are linked by PS backbone
<220>
<221> misc_feature
<222> (20)..(21)
<223> Each nucleotide was modified by 2' OMe
<400> 80
auaaacucca ggccuaugag g 21
<210> 81
<211> 25
<212> RNA
<213> Artificial sequence
<220>
<223>
<400> 81
gcacccucau aggccuggag uuuau 25
<210> 82
<211> 21
<212> RNA
<213> Artificial sequence
<220>
<221> misc_feature
<222> (1)..(1)
<223> 5' terminal modified with Cy5
<220>
<221> misc_feature
<222> (1)..(2)
<223> Each nucleotide was modified with 2' F
<220>
<221> misc_feature
<222> (2)..(5)
<223> nucleotides are linked by PS backbone
<220>
<221> misc_feature
<222> (3)..(5)
<223> Each nucleotide is a deoxyribonucleotide
<220>
<221> misc_feature
<222> (6)..(9)
<223> Each nucleotide was modified with 2' F
<220>
<221> misc_feature
<222> (13)..(15)
<223> Each nucleotide was modified with 2' F
<220>
<221> misc_feature
<222> (17)..(17)
<223> modified with 2' F
<220>
<221> misc_feature
<222> (19)..(21)
<223> nucleotides are linked by PS backbone
<220>
<221> misc_feature
<222> (20)..(21)
<223> Each nucleotide was modified by 2' OMe
<400> 82
auaaacucca ggccuaugag g 21
<210> 83
<211> 21
<212> RNA
<213> Artificial sequence
<220>
<221> misc_feature
<222> (1)..(1)
<223> 5' terminal modified with Cy5
<220>
<221> misc_feature
<222> (1)..(2)
<223> each nucleotide was modified by 2' F
<220>
<221> misc_feature
<222> (2)..(5)
<223> nucleotides are linked by PS backbone
<220>
<221> misc_feature
<222> (3)..(5)
<223> Each nucleotide is a deoxyribonucleotide
<220>
<221> misc_feature
<222> (6)..(9)
<223> each nucleotide was modified by 2' F
<220>
<221> misc_feature
<222> (11)..(15)
<223> each nucleotide was modified by 2' F
<220>
<221> misc_feature
<222> (16)..(16)
<223> modified by 2' OMe
<220>
<221> misc_feature
<222> (17)..(19)
<223> each nucleotide was modified by 2' F
<220>
<221> misc_feature
<222> (19)..(21)
<223> nucleotides are linked by PS backbone
<220>
<221> misc_feature
<222> (20)..(21)
<223> Each nucleotide was modified by 2' OMe
<400> 83
auaaacucca ggccuaugag g 21

Claims (6)

1. An siRNA molecule that inhibits PCSK9 gene expression, characterized by: the sense strand structure of the siRNA molecule is shown as (A1); the antisense strand structure of the siRNA molecule is shown as (A2) or (A3) or (A4);
(A1)mUmCmAfUmAmGmGfCfCfUmGmGfAmGfUfUmUmAmU;
(A2)fAfU(s)dA(s)dA(s)dAfCfUfCfCAGGfCfCfUAfUGA(s)mG(s)mG;(A3)fAfU(s)dA(s)dA(s)dAfCfUfCfCfAGGfCfCfUAfUfGfA(s)mG(s)mG;(A4)
fAfU(s)dA(s)dA(s)dAfCfUfCfCAfGfGfCfCfUmAfUfGfA(s)mG(s)mG;
wherein dA represents deoxyribonucleotide A; mA, mU, mC and mG respectively represent ribonucleotides A, U, C and G modified by 2' -O-methyl; fA. fU, fC and fG represent 2' -fluoro-modified ribonucleotides A, U, C and G, respectively; (s) indicates that the two nucleotides before and after are linked by a phosphorothioate backbone.
2. An siRNA molecule according to claim 1, wherein: the siRNA molecule is also modified by a ligand, and the ligand modification is that 3N-acetylgalactosamine derivatives are modified at the 3' end of the siRNA molecule;
the structure of a single N-acetylgalactosamine derivative is shown as the formula I:
Figure FDA0004074771970000011
wherein n is 3 or 8.
3. An siRNA molecule according to claim 2, wherein: the sense strand structure of the siRNA molecule is shown as (B2); the antisense strand structure of the siRNA molecule is shown as (B4) or (B5) or (B6) or (B7);
(B2)mUmCmAfUmAmGmGfCfCfUmGmGfAmGfUfUmUmAmU-ZZZ;
(B4)
Cy5/-fAfU(s)dA(s)dA(s)dAfCfUfCfCAGGfCfCfUAfUGA(s)mG(s)mG;(B5)
Cy5/-fAfU(s)dA(s)dA(s)dAfCfUfCfCAfGfGfCfCfUmAfUfGfA(s)mG(s)mG;
(B6)fAfU(s)dA(s)dA(s)dAfCfUfCfCAGGfCfCfUAfUGA(s)mG(s)mG;(B7)
fAfU(s)dA(s)dA(s)dAfCfUfCfCAfGfGfCfCfUmAfUfGfA(s)mG(s)mG;
wherein dA represents deoxyribonucleotide A; mA, mU, mC and mG represent ribonucleotides A, U, C and G modified by 2' -O-methyl, respectively; fA. fU, fC and fG represent 2' -fluoro-modified ribonucleotides A, U, C and G, respectively; (s) indicates that the two nucleotides before and after are linked by a phosphorothioate backbone;
the structure of a single Z is shown as formula I in claim 2; ZZZ represents three connected Zs, and two adjacent Zs are connected through a phosphodiester bond or a phosphorothioate diester bond; ZZZ is linked to the 3' terminal nucleotide of the siRNA sense strand nucleotide sequence via a phosphodiester linkage or phosphorothioate diester linkage.
4. An siRNA molecule according to claim 3, characterized in that: in the ZZZ, the values of n in three Z structures are equal.
5. The biomaterial related to the siRNA of any one of claims 1-4, being any one of:
(B) A vector capable of expressing the siRNA of any one of claims 1-4;
(C) An agent or kit comprising the siRNA of any one of claims 1-4 or the vector of (B);
(D) A pharmaceutical composition consisting of the siRNA molecule of any one of claims 1-4 and a pharmaceutically acceptable additional component.
6. The application is any one of the following:
(I) Use of the siRNA of any one of claims 1 to 4 or the biomaterial of claim 5 in the manufacture of a product for inhibiting PCSK9 gene expression;
(II) use of the siRNA of any one of claims 1 to 4 or the biomaterial of claim 5 in the manufacture of a product for reducing the concentration of low density lipoprotein and/or low density lipoprotein cholesterol in serum;
(III) use of an siRNA according to any of claims 1 to 4 or a biomaterial according to claim 5 in the manufacture of a product for the prevention and/or treatment of a disease mediated by the PCSK9 gene;
(IV) use of the siRNA of any one of claims 1 to 4 or the biomaterial of claim 5 in the manufacture of a product for alleviating the symptoms of a disease mediated by the PCSK9 gene; the diseases mediated by the PCSK9 gene are cardiovascular diseases or neoplastic diseases; the cardiovascular disease is hyperlipidemia, hypercholesterolemia, non-familial hypercholesterolemia, polygenic hypercholesterolemia, familial hypercholesterolemia, homozygous familial hypercholesterolemia, or heterozygous familial hypercholesterolemia in a mammal; the tumor disease is PCSK 9-related melanoma or metastatic liver cancer.
CN201711429565.1A2017-12-262017-12-26Modified siRNA molecule and application thereofActiveCN109957565B (en)

Priority Applications (1)

Application NumberPriority DateFiling DateTitle
CN201711429565.1ACN109957565B (en)2017-12-262017-12-26Modified siRNA molecule and application thereof

Applications Claiming Priority (1)

Application NumberPriority DateFiling DateTitle
CN201711429565.1ACN109957565B (en)2017-12-262017-12-26Modified siRNA molecule and application thereof

Publications (2)

Publication NumberPublication Date
CN109957565A CN109957565A (en)2019-07-02
CN109957565Btrue CN109957565B (en)2023-04-07

Family

ID=67021829

Family Applications (1)

Application NumberTitlePriority DateFiling Date
CN201711429565.1AActiveCN109957565B (en)2017-12-262017-12-26Modified siRNA molecule and application thereof

Country Status (1)

CountryLink
CN (1)CN109957565B (en)

Families Citing this family (14)

* Cited by examiner, † Cited by third party
Publication numberPriority datePublication dateAssigneeTitle
WO2019006455A1 (en)2017-06-302019-01-03Solstice Biologics, Ltd.Chiral phosphoramidite auxiliaries and methods of their use
CN112111524B (en)*2020-01-102024-02-27深圳瑞吉生物科技有限公司Preparation method of mRNA-GalNAc targeting molecule, in-vivo delivery system and application thereof
WO2022089486A1 (en)*2020-10-282022-05-05江苏柯菲平医药股份有限公司Sirna for inhibiting pcsk9 gene expression and modifier thereof and use thereof
WO2022088342A1 (en)*2020-10-282022-05-05苏州吉玛基因股份有限公司Sirna targeting foxp3 gene and modification method therefor
CN114480382A (en)*2020-11-122022-05-13北京大学RNAi agents and compositions for inhibiting SURF4 gene expression
CN113980966B (en)*2021-09-292024-09-20阿格纳生物制药有限公司Nucleic acid sequence for inhibiting PCSK9 target gene expression and application thereof
CN114214327B (en)*2021-12-162023-05-02安可来(重庆)生物医药科技有限公司sgRNA for targeted degradation of PCSK9mRNA, gene editing vector and application thereof
CN114410627B (en)*2021-12-202023-08-08硅羿科技(上海)有限公司siRNA for specifically knocking down TNF-alpha gene expression and application thereof
EP4464781A1 (en)*2022-01-132024-11-20CSPC Zhongqi Pharmaceutical Technology (Shijiazhuang) Co., Ltd.Rnai agent inhibiting pcsk9 gene expression and application thereof
AU2023295621A1 (en)*2022-06-142025-01-09Rona Bioscience, LimitedSirna molecule for regulating pcsk9 gene activity
CN118086311B (en)*2023-05-252024-08-09苏州时安生物技术有限公司SiRNA for inhibiting PCSK9 gene expression, conjugate, pharmaceutical composition and application thereof
CN118147134B (en)*2023-11-062025-02-25北京悦康科创医药科技股份有限公司 siRNA targeting and regulating PCSK9 gene expression and its application
CN117384907B (en)*2023-12-112024-03-29上海鼎新基因科技有限公司 siRNA molecules that inhibit PCSK9 expression and their applications
CN119530223A (en)*2024-10-282025-02-28源生生物科技(青岛)有限责任公司 Double-stranded miRNA, pharmaceutical composition containing the same, anti-aging product and use thereof

Citations (3)

* Cited by examiner, † Cited by third party
Publication numberPriority datePublication dateAssigneeTitle
CN101484588A (en)*2006-05-112009-07-15阿尔尼拉姆医药品有限公司Compositions and methods for inhibiting expression of PCSK9 gene
CN102124107A (en)*2006-07-172011-07-13瑟纳治疗公司RNA interference mediated inhibition of proprotein convertase subtilisin Kexin 9 (PCSK9) gene expression using short interfering nucleic acid (siNA)
CN106244590A (en)*2016-08-182016-12-21广州市锐博生物科技有限公司Modified siRNA molecule, RNAi molecule mixture and application thereof

Family Cites Families (2)

* Cited by examiner, † Cited by third party
Publication numberPriority datePublication dateAssigneeTitle
AU2009213147A1 (en)*2008-02-112009-08-20Rxi Pharmaceuticals Corp.Modified RNAi polynucleotides and uses thereof
MX367076B (en)*2012-12-052019-08-05Alnylam Pharmaceuticals IncPCSK9 iRNA COMPOSITIONS AND METHODS OF USE THEREOF.

Patent Citations (3)

* Cited by examiner, † Cited by third party
Publication numberPriority datePublication dateAssigneeTitle
CN101484588A (en)*2006-05-112009-07-15阿尔尼拉姆医药品有限公司Compositions and methods for inhibiting expression of PCSK9 gene
CN102124107A (en)*2006-07-172011-07-13瑟纳治疗公司RNA interference mediated inhibition of proprotein convertase subtilisin Kexin 9 (PCSK9) gene expression using short interfering nucleic acid (siNA)
CN106244590A (en)*2016-08-182016-12-21广州市锐博生物科技有限公司Modified siRNA molecule, RNAi molecule mixture and application thereof

Also Published As

Publication numberPublication date
CN109957565A (en)2019-07-02

Similar Documents

PublicationPublication DateTitle
CN109957565B (en)Modified siRNA molecule and application thereof
US10329568B2 (en)Interfering RNA molecules
EP4610356A1 (en)Rna inhibitor for inhibiting lpa gene expression and use thereof
CN116801886A (en)LPA inhibitors and uses thereof
US20150291957A1 (en)METHODS AND COMPOSITIONS TO PRODUCE ss-RNAi ACTIVITY WITH ENHANCED POTENCY
CN109957567B (en)siRNA molecule for inhibiting PCSK9 gene expression and application thereof
EP4464781A1 (en)Rnai agent inhibiting pcsk9 gene expression and application thereof
CN114716518A (en)Molecular structure capable of inhibiting expression of PCSK9 and pharmaceutical composition
CN116814621B (en)RNA inhibitor for inhibiting APOC3 gene expression and application thereof
WO2024153166A1 (en)Modified nucleoside monomer and double-stranded ribonucleic acid
AU2017445584B2 (en)SiRNA molecule inhibiting the expression of the PCSK9 gene and use thereof
CN119563025A (en) A dsRNA molecule for inhibiting LP(a) gene expression and its application
ProhaskaDIPLOMARBEIT/DIPLOMA THESIS
CN119343449A (en) RNAI agents for inhibiting ANGPTL3 expression and their applications

Legal Events

DateCodeTitleDescription
PB01Publication
PB01Publication
SE01Entry into force of request for substantive examination
SE01Entry into force of request for substantive examination
CB03Change of inventor or designer information
CB03Change of inventor or designer information

Inventor after:Zhang Biliang

Inventor after:Yang Xiuqun

Inventor after:Wang Wei

Inventor before:Zhang Biliang

Inventor before:Yang Xiuqun

Inventor before:Wang Wei

Inventor before:Craig Merlow

GR01Patent grant
GR01Patent grant

[8]ページ先頭

©2009-2025 Movatter.jp