Movatterモバイル変換


[0]ホーム

URL:


CN109948954B - A bidirectional blocking scheduling method for distribution network for distributed resources of power system - Google Patents

A bidirectional blocking scheduling method for distribution network for distributed resources of power system
Download PDF

Info

Publication number
CN109948954B
CN109948954BCN201910268961.3ACN201910268961ACN109948954BCN 109948954 BCN109948954 BCN 109948954BCN 201910268961 ACN201910268961 ACN 201910268961ACN 109948954 BCN109948954 BCN 109948954B
Authority
CN
China
Prior art keywords
power
agg
resources
scheduling
plan
Prior art date
Legal status (The legal status is an assumption and is not a legal conclusion. Google has not performed a legal analysis and makes no representation as to the accuracy of the status listed.)
Active
Application number
CN201910268961.3A
Other languages
Chinese (zh)
Other versions
CN109948954A (en
Inventor
胡俊杰
李阳
周华嫣然
胡春凤
Current Assignee (The listed assignees may be inaccurate. Google has not performed a legal analysis and makes no representation or warranty as to the accuracy of the list.)
North China Electric Power University
Original Assignee
North China Electric Power University
Priority date (The priority date is an assumption and is not a legal conclusion. Google has not performed a legal analysis and makes no representation as to the accuracy of the date listed.)
Filing date
Publication date
Application filed by North China Electric Power UniversityfiledCriticalNorth China Electric Power University
Priority to CN201910268961.3ApriorityCriticalpatent/CN109948954B/en
Publication of CN109948954ApublicationCriticalpatent/CN109948954A/en
Application grantedgrantedCritical
Publication of CN109948954BpublicationCriticalpatent/CN109948954B/en
Activelegal-statusCriticalCurrent
Anticipated expirationlegal-statusCritical

Links

Images

Landscapes

Abstract

Translated fromChinese

本发明公开了属于配电自动化技术领域的一种面向电力系统分布式资源的配电网双向阻塞调度方法。以配电网中渗透率较高的电动汽车和光伏发电单元的分布式发用电资源为研究对象,首先给出了管理电动汽车和光伏资源的分布式调度模型,该模型共分为两层,上层由DSO负责对Agg的功率计划进行网络校核,以保证配网安全运行;下层由Agg作为分布式资源的管理者,负责对电动汽车的充放电行为和光伏的上网电量进行合理管理。如果Agg上报的功率计划未通过DSO的网络安全校核。本发明通过不断调整功率控制信号,引导Agg对下层资源制定合理的发用电计划,保证配电线路的安全运行,解决了配网双向阻塞问题。

Figure 201910268961

The invention discloses a bidirectional blocking scheduling method of a power distribution network oriented to distributed resources of a power system, belonging to the technical field of power distribution automation. Taking the distributed power generation and consumption resources of electric vehicles and photovoltaic power generation units with high penetration rate in the distribution network as the research object, firstly, a distributed scheduling model for managing electric vehicles and photovoltaic resources is given. The model is divided into two layers. In the upper layer, DSO is responsible for network verification of Agg's power plan to ensure the safe operation of the distribution network; at the lower layer, Agg, as the manager of distributed resources, is responsible for the reasonable management of the charging and discharging behavior of electric vehicles and the on-grid power of photovoltaics. If the power plan reported by Agg fails the DSO's cybersecurity check. By continuously adjusting the power control signal, the invention guides the Agg to formulate a reasonable power generation and consumption plan for the lower resources, ensures the safe operation of the distribution line, and solves the problem of bidirectional blocking of the distribution network.

Figure 201910268961

Description

Power distribution network bidirectional blocking scheduling method for distributed resources of power system
Technical Field
The invention belongs to the technical field of distribution automation, and particularly relates to a power distribution network bidirectional blocking scheduling method for distributed resources of a power system.
Background
In recent years, with the increasing permeability of novel controllable loads such as distributed Photovoltaic (PV) power generation and Electric Vehicles (EVs) in a power distribution network, the traditional power distribution network powered in a single direction gradually changes to a novel power distribution network with a tidal current flowing in two directions. Considering the social welfare of both environmental protection and economy of flexible and controllable distributed resources, the potential for reasonable optimization and allocation of the distributed resources is huge. Under the push of releasing the power selling side in a new power change, more and more price-response type distributed resources in the power distribution network are willing to participate in the power market to reduce the power consumption expenditure of the power market. However, distributed resources are mostly small and medium-sized power generation and utilization users scattered at the bottom layer of the system structure, and the flexibility level of the flexible resources cannot reach the threshold value of participating in the power market. In order to integrate demand response resources and enable idle medium and small-sized power generation users with regulation capability to participate in the market, new market body concepts such as load aggregators, park operators, power retailers and the like are proposed in succession. However, the scheduling result of the distributed resources, which are unconstrained, unguided or Agg (load Aggregator), considering only the electricity cost of the user, is likely to result in concentrated electricity or concentrated discharge at certain times, causing load spikes in the forward or reverse direction, and even causing bidirectional blocking of the distribution network. Therefore, it is necessary to research a day-ahead optimization scheduling strategy of distributed resources under the constraint of network security operation.
Most of the research at the present stage is limited to the guiding action of price signals of an electric power market, only the optimized scheduling of the electricity utilization cost of users is considered, and only the power flow constraint in a single direction is considered, and the problem of reverse line blockage caused by adjustable photovoltaic high-power backflow in a distribution network is not considered. Therefore, the problem of bidirectional power flow caused by distributed resources such as electric vehicles and photovoltaics becomes an urgent problem to be solved in the day-ahead optimized scheduling process of the novel power distribution network.
Disclosure of Invention
The invention aims to provide a power distribution network bidirectional blocking scheduling method facing distributed resources of a power system, which is characterized in that electric vehicles and photovoltaic power generation units with higher permeability in the power distribution network are taken as research objects at present, the characteristics of wide distribution of the electric vehicles and the photovoltaic resources and small adjustment amount of monomers are considered, if DSO directly schedules the distributed resources, the problem of overlarge variable dimension can be faced, and therefore, great communication burden is brought to a scheduling process, and protection of power generation and utilization privacy information of users is not facilitated. Obviously, this is not practical. Therefore, the distributed scheduling model for managing the electric automobile and the photovoltaic resources is provided, the distributed resources in the power Distribution network are managed by Agg (Aggregator load Aggregator) in the lower layer through control and communication equipment installed on a user side, and the power plan of the Agg is subjected to network check by DSO (Distribution system operator) in the upper layer, so that the safe operation of the power Distribution network is ensured. By introducing the cluster management and scheduling of the Agg to the user resources, the interactive response between the power distribution network and the distributed resources can be effectively realized, and the problem of bidirectional blockage of the power distribution network caused by the distributed resources in the process of participating in power market competition is avoided. The method specifically comprises the following steps:
1) and each Agg collects the vehicle using habits of the owners of the electric vehicles managed by the Agg and the vehicle type information of the electric vehicles, and then arranges the data of the electric vehicle resources. By collecting information such as installation condition and weather condition of the distributed photovoltaic, the maximum output of the distributed photovoltaic resources managed by the distributed photovoltaic resources is predicted.
2) And establishing an energy management model of each Agg. And each Agg reasonably optimizes and schedules the two resources by considering the power utilization safety and cost of the electric automobile and the maximum output condition of the photovoltaic resources.
3) And the DSO checks the network security. And according to the power plan reported by the Agg, the DSO checks the network security, and if the network security fails to check, the DSO calculates a power transmission and utilization power adjustment signal according to the line blocking amount and sends the power transmission and utilization power adjustment signal to the Agg to guide the Agg to adjust the power.
4) And determining a final dispatching plan.
The information of step 1) comprises: the system comprises the maximum charging power of the electric automobile, the network access and network leaving time of an automobile owner, battery state information of the electric automobile, the charging requirement of the automobile owner, the maximum generating capacity information of photovoltaic and day-ahead market price information.
The step 2) comprises the following steps: establishing an optimized scheduling model of Agg layer electric vehicles and photovoltaic resources based on the step 1), equally dividing 24 hours before the day into NT time intervals, wherein the time length of each time interval is delta t, each Agg takes the minimum electricity cost as a target, and the form of an objective function of the optimized scheduling model is as follows:
Figure BDA0002017746950000031
the distributed resource constraints are expressed as follows:
0≤pev i,m,t≤Pmax
Figure BDA0002017746950000032
Figure BDA0002017746950000033
Figure BDA0002017746950000034
wherein p isev i,m,tCharging power of the mth electric automobile under Aggi in a t dispatching time period; pmaxThe maximum charging power of the electric automobile; ecap,mThe battery capacity of the mth electric automobile; SOC0,mIs the initial state of charge, SOC, of the m-th vehiclemax,mIs the state of charge, η, of the mth vehicle when it is off-gridmFor the charging efficiency of the mth electric vehicle, Δ t is the length of each scheduling period; t is tm0The time interval for starting to receive dispatching for the mth electric automobile to access the network, tmdIndicating a time period during which the m-th vehicle departs; the charging and discharging power of the electric automobile is 0 in the non-scheduling period; p is a radical ofpv j,tThe actual active output value of the photovoltaic at the tth moment of the node j is obtained;
according to the model, a preliminary power plan P of electric automobile and photovoltaic resource power generation and utilization under each Agg can be obtainedev i,j,tAnd ppv i,j,t
The DSO network security check of the step 3) is to check whether a power plan submitted to the DSO by Agg can meet line security constraints, wherein the constraints are expressed as:
Figure BDA0002017746950000041
Figure BDA0002017746950000042
in the formula:
Figure BDA0002017746950000043
lagrangian multipliers corresponding to the safety constraints of the upper limit and the lower limit of the line; d is a power transmission distribution transfer factor;
Figure BDA0002017746950000044
and
Figure BDA0002017746950000045
the upper limit and the lower limit of active power allowed to flow through the branch circuit l are respectively set; ptInjecting a power matrix for the total active power of each node at the time t;
Figure BDA0002017746950000046
describing a node position matrix connected with EV in Aggi;
Figure BDA0002017746950000047
the node position matrix connected with the photovoltaic in the Aggi is described. p is a radical ofload j,tIs the fixed load value of each node j at time t.
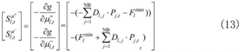
The scheduling adjustment guided by the power generation and utilization power adjustment signal in the step 3) is performed under the condition that a power plan submitted by Agg does not meet the line safety constraint, and mainly comprises the following steps: calculating the power generation and utilization power adjustment signals of the electric automobile and the photovoltaic resource and adjusting the Agg optimization scheduling scheme, and specifically comprising the following steps of:
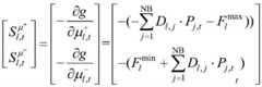
the calculation method of the power generation and power utilization power adjustment signal comprises the following steps:
Figure BDA0002017746950000048
Figure BDA0002017746950000049
wherein
Figure BDA00020177469500000410
A signal for directing the electric vehicle power schedule to power adjust for node j at time t,
Figure BDA00020177469500000411
and the signal is used for adjusting the grid-surfing electric quantity of the photovoltaic power generation resource at the moment t for the guide node j.
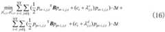
5B, according to the power generation and utilization power adjustment signals reflecting the network blocking condition, the objective function of each Agg for changing the power control scheme is as follows:
Figure BDA0002017746950000051
and the Agg respectively re-optimizes the charging scheme of the electric automobile and the on-line power generation plan of the photovoltaic resource according to the power generation and utilization power adjusting signals, and iterates until the requirement of an iteration convergence criterion is met.
The step 5A comprises the following steps:
step 5A 1: computing lagrangian multipliers corresponding to security constraints on a line
Figure BDA0002017746950000052
Sub-gradient S oftComprises the following steps:
Figure BDA0002017746950000053
step 5A 2:
Figure BDA0002017746950000054
starting from an initial value of 0, it is updated at each iteration:
Figure BDA0002017746950000055
Figure BDA0002017746950000056
step 5A 3: iterative convergence criterion:
Figure BDA0002017746950000057
the determination of the dispatch plan in step 4) includes: electric automobile and photovoltaic power generation and utilization function reported by DSO according to AggThe rate plan is checked with the network security as a formula
Figure BDA0002017746950000058
And determining whether the Agg can participate in the day-ahead power market according to the reported power plan, if the Agg can participate in the day-ahead market trading according to the reported power plan, otherwise, returning to the step 5A.
The model has the advantages that the model comprehensively utilizes the schedulable characteristics of the electric automobile and the photovoltaic, considers the electricity generation and utilization cost of the distributed resources and the safe operation constraint of the network line, and solves the problem of bidirectional blockage of the distribution network.
Drawings
Fig. 1 is a schematic diagram of a framework of a bidirectional blocking scheduling method for a power distribution network facing distributed resources of a power system.
FIG. 2 is a flowchart of a power distribution network bidirectional blocking scheduling method for distributed resources of a power system
FIG. 3 is a network topology diagram and electric vehicle and photovoltaic resource distribution
FIG. 4.1 is abranch 1 power case where (a) power changes from 12: 00-next day 12: 00; (b) power changes from 1:00 to 6: 00;
FIG. 4.2 is abranch 29 power case where (a) power changes 12: 00-next day 12: 00; (b) power changes from 12:00 to 14: 30;
FIG. 5 illustrates power changes before and after congestion scheduling; wherein a is the power change condition before and after EV power blocking scheduling of the 1node Agg 1; b is the power change situation before and after PV blocking scheduling of the 30-node Agg 2;
FIG. 6 is a convergence curve of the power control signal; wherein, a is that thenode 1 is at a position of 3: 00 power control signal b atnode 30 at 12: 30, power control signal.
Detailed Description
The invention provides a bidirectional blocking scheduling method for a power distribution network of distributed resources of a power system, which is further explained by combining the attached drawings and an embodiment.
1. A modified IEEE33 node system was used to illustrate the effectiveness of the present algorithm. The topology of the system and the resource distribution of Agg are shown in fig. 3.The maximum charging power of the electric automobile is 7kw, and the charging efficiency is 0.95. This patent assumes 15 minutes as a scheduling period, for today 12:00 to the next day 12:00 carries out optimized scheduling, namely, the scheduling period of 24 hours before the day is divided into 96 periods. The iteration coefficient is 1e-4, the convergence parameter sum is 1e-3, and the price sensitivity coefficient is 1e-4DKK/KWh2
2. Blocking scheduling effect
Under the action of the power control signal, the branch 1 (node 33-1) power situation as shown in fig. 4.1, where (a) the 12: 00-next day 12:00 power changes; (b) power changes from 1:00 to 6: 00; as shown in fig. 4.2 for the change before and after power blocking of the network 29 (nodes 28-29). It can be clearly found that after congestion scheduling, the line power is within the range of the upper and lower limits of the line.
The charging power change of the electric automobile in the 1 node Agg1 and the PV power change of the 30 node Agg2 before and after the blocking scheduling are given, and are respectively shown as a and b in fig. 5.
3. Node flexibility resource power change before and after blocking scheduling
4. Convergence analysis
FIG. 6 is a graph showing the convergence of the power control signal; wherein, a is that thenode 1 is at a position of 3: 00 power control signal b atnode 30 at 12: 30, power control signal.Node 1 is shown at 3: 00 andnode 30 nodes at 12: 30, converges on the curve. In order to relieve the problem of forward circuit blockage of the branch 1 (node 33-1), the DSO raises the electricity purchase and sale price of the Agg at the node through a positive electricity generation and utilization power control signal, tries to guide the Agg to reduce the electricity consumption of the electric automobile at the node, increases the electricity generation amount of the photovoltaic resource of the node, and keeps the power control signal unchanged after the electricity generation and utilization power control signal is continuously adjusted to be iteratively converged. Similarly,node 30 is at 12: and 30, using the convergence condition of the electric power control signal.
The line power before and after the blocking management, the power adjustment of the electric automobile and the photovoltaic and the convergence of the power generation and utilization power control signals show the effectiveness of the method. The method effectively solves the problem of bidirectional blocking of the power distribution network caused by the power generation and utilization behavior of the distributed resources.
A schematic of the research framework for this approach is shown in fig. 1. Electric Vehicles (EV) which can be dispatched and distributed photovoltaic power generation units (PV) which can directly participate in the electric power market through Agg are taken as research objects, and the dispatching process is as follows: firstly, each Agg respectively models the flexibility of various flexible resources (EV and PV) under the owned node according to the electricity utilization information such as the adjustable time range and the controllable load capacity provided by the Agg, then the Agg optimally manages the power of the adjustable EV and PV by taking the minimum electricity utilization cost of the managed resources as a target according to the predicted day-ahead market electricity price, reports the preliminary power plan to the DSO for network security check, and if the preliminary power plan passes the check, the Agg participates in the day-ahead market according to the reported power plan; if the power distribution network does not pass the network security check, the DSO guides the Agg to perform power adjustment again according to the blocking condition of the network and the power utilization power adjustment signal, and the iteration is repeated until the Agg submits the power generation and utilization power scheme of the DSO to meet the requirement of the safe operation of the power distribution network.
The DSO considers the bidirectional power flow constraint of network branches, and can simultaneously realize the adjustment of the electric power for the distributed photovoltaic power generation units and the adjustable EV load by respectively determining the power generation and utilization power adjustment signals, thereby effectively solving the problem of bidirectional blocking of the power distribution network caused by forward and reverse load peaks.
Under the above scheduling framework, the present invention is described in detail below.
And A, each Agg acquires user information and market price information of distributed resources managed by the Agg.
The information to be collected includes: the system comprises the maximum charging power of the electric automobile, the network access and network leaving time of an automobile owner, battery state information of the electric automobile, the charging requirement of the automobile owner, the maximum generating capacity information of photovoltaic and day-ahead market price information. And B, each Agg considers the electricity consumption cost of the user to carry out optimized scheduling on the distributed resources.
Since Agg does not know the electricity rate information of the next trading day until the market is cleared in the past, it is necessary to predict the electricity rate based on the history data and the prediction information of the next trading day. Each Agg optimizes the distributed resources that it is willing to accept Agg scheduling to give an initial power plan based on the predicted market clearing price at that time. The patent selects a linear market price model that depends on the total power demand of the nodes to predict clearing prices.
The electricity price model is shown as follows:
yt=ct+βpt (1)
in the formula: beta represents the sensitivity coefficient of active demand to node electricity price, and the value is obtained by evaluating and predicting the historical electricity price data of the market at the day before. c. CtAnd ptThe predicted day-ahead basic electricity price at each time t and the active demand of the distributed resources are respectively.
Dividing 24 hours before the day into NT time intervals, wherein the time length of each time interval is delta t, each Agg manages the owned distributed resources (EV and PV) by taking a node as a unit, and adopting an electricity price model of a formula (7), wherein each Agg takes the minimum electricity cost of a user as a target, and the form is as follows:
Figure BDA0002017746950000091
due to the influence of the life habits of the car owners, human factors become a link which has to be considered for describing the EV charging flexibility. Therefore, the patent comprehensively considers owner information and EV information to establish an electric vehicle constraint model. This constraint is expressed as follows:
0≤pev i,m,t≤Pmax (3)
Figure BDA0002017746950000092
Figure BDA0002017746950000093
the Agg of each node provides photovoltaic maximum output prediction information for distributed photovoltaic power generation units managed under the Agg according to the distributed photovoltaic power generation units
Figure BDA0002017746950000094
The active output of the photovoltaic power generation unit is optimally scheduled, so that the active output is mainly limited by:
Figure BDA0002017746950000095
in the formula: p is a radical ofpvj,tAnd the actual active output value of the photovoltaic at the tth moment of the node j is obtained.
According to the method, the preliminary power plan P of the power generation and utilization of the distributed resources under each Agg can be obtainedevi,j,tAnd ppvi,j,t
And C: scheduling adjustment under guidance of DSO network security check and power adjustment signals
Step C1: DSO network security check
The preliminary power plan submitted by the DSO for Agg determines whether safety constraints are met, as follows:
Figure BDA0002017746950000096
Figure BDA0002017746950000101
in the formula:
Figure BDA0002017746950000102
lagrangian multipliers corresponding to the safety constraints of the upper limit and the lower limit of the line; d is a power transmission distribution transfer factor; flmaxAnd FlminRespectively, the upper and lower limits of the active power allowed to flow through branch i. PtAnd injecting a power matrix for the total active power of each node at the time t.
Figure BDA0002017746950000103
Describing a node position matrix connected with EV in Aggi;
Figure BDA0002017746950000104
the node position matrix connected with the photovoltaic in the Aggi is described. p is a radical ofloadFor each node j fixed load value at time t
Step C2: dispatching adjustment guided by power generation and utilization power adjustment signals
Step C21 generation and generation of electric power adjustment signal
Dividing 24 hours before the day into NT time intervals, wherein the time length of each time interval is delta t, and establishing a DSO global optimization scheduling model by considering network bidirectional power flow constraint with the aim of minimizing the power consumption cost of all Agg users as a target, wherein the form is as follows:
Figure BDA0002017746950000105
s.t.(2)-(8)
in the formula: b is a price sensitivity coefficient matrix, and Na is the number of Aggs in the distribution network. OmegaiA distribution network node set connected with distributed resources managed by Aggi;
Figure BDA0002017746950000106
describing an EV node position matrix connected in Aggi;
Figure BDA0002017746950000107
the node position matrix connected with the photovoltaic in the Aggi is described.
And decomposing the DSO global optimization scheduling model based on the Lagrange dual decomposition principle and iteratively solving by means of a secondary gradient method to obtain a calculation method of power generation and power utilization power adjustment signals so as to realize distributed optimization scheduling of the DSO on electric vehicles and photovoltaic resources.
The DSO global optimization problem is solved in a distributed mode by using a Lagrange dual decomposition method, namely, a large-scale optimization problem which originally contains all Agg owned resources and network constraints is decomposed into a series of independent small optimization problems, and each small optimization problem only contains resource variables related to the Agg. Therefore, through the observation DSO global optimization problem, the problem is found,the objective function is directly decomposed, the constraints (2) - (6) are independent for each Agg, and still can be directly decomposed, and only the constraint (7) contains a coupling variable PtThe decomposition cannot be done directly, so it needs to be decoupled first.
Lagrange multiplier corresponding to constraint condition (7)
Figure BDA0002017746950000111
Part of the lagrangian function is constructed as follows:
Figure BDA0002017746950000112
in the formula: NL is the total number of branches in the distribution network, and NB is the total number of nodes.
It can be seen that after the coupling constraint (7) is added to the objective function in a weighted summation manner by introducing the lagrangian multiplier, part of the lagrangian functions of the DSO global optimization problem can be decoupled. Obviously, its dual function will also be decouplable.
The dual problem of the DSO global optimization scheduling problem is:
Figure BDA0002017746950000113
therefore, the Agg subproblems after the duality decomposition of the above formula is carried out according to the Lagrange duality decomposition principle [25] are as follows:
Figure BDA0002017746950000114
Figure BDA0002017746950000115
Figure BDA0002017746950000116
s.t, (2) - (6) it can be seen that,
Figure BDA0002017746950000117
an electric power regulation signal for the electric vehicle at the t-th time point of the node j,
Figure BDA0002017746950000121
And the generated power adjusting signals are the generated power adjusting signals of the photovoltaic resource of the node j at the t-th moment respectively.
It can be seen that the adjustment signal also reflects the impact of the line security constraints on the Agg resource scheduling plan.
The visible dual problem (11) is an optimization problem in a nested form, and the outer layer is a dual-pair optimization problem related to Lagrange multipliers
Figure BDA0002017746950000122
The variables are maximized, and the inner layer is used for power variables related to each distributed resource
Figure BDA0002017746950000123
And (5) obtaining a minimum value.
Step C21.1: computing on lagrange multipliers
Figure BDA0002017746950000124
Sub-gradient S oft
About Lagrange multiplier for dual function
Figure BDA0002017746950000125
The outer layer optimization problem is solved by adopting a secondary gradient method. The secondary gradient method is an iterative solving method for solving the convex function problem, because of the dual function
Figure BDA0002017746950000126
Is a concave function, and
Figure BDA0002017746950000127
is a convex function, thus
Figure BDA0002017746950000128
And solving by adopting a secondary gradient method.
Function(s)
Figure BDA0002017746950000129
Sub-gradient S with respect to the Lagrange multipliertComprises the following steps:
Figure BDA00020177469500001210
step C21.2:
Figure BDA00020177469500001211
starting from an initial value of 0, it is updated at each iteration:
Figure BDA00020177469500001212
in the formula:
Figure BDA00020177469500001213
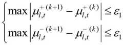
is a constant step size coefficient; and k is the current iteration number. Because the target function of the dual problem is differentiable, the convergence of the secondary gradient method can be ensured by selecting a proper constant step length for iteration. According to equation (12), the lagrange multiplier must be non-negative during the iteration, and therefore should be set to 0 if a negative value occurs in the iteration. Wherein
Figure BDA00020177469500001214
Can be respectively regarded as marginal price of network cost caused by a blocking part when the system is blocked due to the forward and reverse direction crossing of branch power described by the formula (7). That is, when the power generation and utilization plan submitted by the Agg cannot meet the network constraint, the corresponding marginal price of electricity returns a positive number, otherwise, the power generation and utilization plan is 0.
Step C21.3: iterative convergence criterion:
two lagrangian multipliers introduced in this patent
Figure BDA00020177469500001215
Plays a crucial role in determining iteration convergence. When iterating to
Figure BDA0002017746950000131
Is 0, the line constraint (7) is just met. The convergence criterion for the iteration is shown as follows:
Figure BDA0002017746950000132
in the formula: epsilon1Is an iterative convergence parameter.
Step C22: according to the power generation and utilization power adjustment signals reflecting the network blocking condition, each Agg changes the objective function in the optimized scheduling process as follows:
Figure BDA0002017746950000133
and the Agg re-optimizes the generation and utilization electric power plans of the photovoltaic and electric vehicles according to the generation and utilization electric power adjusting signals, and iterates until the requirements of iteration convergence criteria are met.
4) Determining the dispatch plan
And D, the DSO checks the network security according to the transmission electric power plan of the distributed resources reported by the Agg, determines whether the Agg can participate in the day-ahead electric power market according to the reported power plan, if the Agg can participate in the trading activity of the day-ahead electric power market according to the reported power plan, and if the Agg can participate in the trading activity of the day-ahead electric power market according to the reported power plan, the step C is returned to.
In summary, the calculation flow of the power distribution network bidirectional blocking scheduling method for distributed resources of a power system proposed herein is as follows:
(1) initialization: is provided with
Figure BDA0002017746950000134
And the initial value of iteration of the iteration times k is 0.
(2) Each Agg is bisected according to formulas (2) - (6), (12)Optimally scheduling distributed resources (which can be solved by using a Cplex solver), and then planning power by taking nodes as units
Figure BDA0002017746950000135
Reporting to the DSO.
(3) DSO calculates power generation and utilization power adjustment signals for guiding Agg according to equations (12) - (14) in consideration of network safe operation constraints
Figure BDA0002017746950000136
And
Figure BDA0002017746950000137
(4) the iteration number k is set to k +1, convergence determination is performed according to equation (15), and if the convergence is determined, the calculation is ended, and Agg obtains a final generation electric power plan. Otherwise, returning to the step (2), and sending the new power control signal to the Agg to guide the Agg to carry out power adjustment again. The algorithm flow is shown in figure 2.

Claims (7)

1. A bidirectional blocking scheduling method for a power distribution network facing distributed resources of a power system is characterized in that electric automobiles and photovoltaic power generation units are taken as research objects, a distributed scheduling control strategy for managing the electric automobiles and the adjustable photovoltaic resources is given firstly, the strategy is divided into two layers, the lower layer is used for managing the distributed resources in the power distribution network by a load aggregator Agg through control and communication equipment arranged on a user side, and the upper layer is used for network check on a power plan of the Agg by a power distribution system operator DSO to ensure the safe operation of the power distribution network; the method specifically comprises the following steps:
1) each Agg collects the driving habits of owners of the electric vehicles managed by the Agg and the vehicle type information of the electric vehicles, then sorts the data of the electric vehicle resources, and predicts the maximum output of the distributed photovoltaic resources managed by the Agg by collecting the installation condition and weather condition information of the distributed photovoltaic;
2) establishing an energy management model of each Agg, and reasonably optimizing and scheduling each Agg by considering the power utilization safety and cost of the electric automobile and the maximum output condition of the photovoltaic resource;
3) the DSO checks the network security, calculates a power generation and power utilization power adjustment signal according to the line blocking amount and sends the power generation and power utilization power adjustment signal to the Agg to guide the Agg to adjust the power according to the power plan reported by the Agg;
4) and determining a final dispatching plan.
2. The method for bidirectional blocking scheduling of the power distribution network facing distributed resources of the power system as recited in claim 1, wherein the step 1) of collecting the vehicle usage habits of the owners of the electric vehicles and the vehicle type information of the electric vehicles managed by each Agg comprises: the system comprises the maximum charging power of the electric automobile, the network access and network leaving time of an owner, battery state information of the electric automobile, the charging requirement of the owner, the maximum generating capacity information of photovoltaic and day-ahead market price information.
3. The bidirectional blocking scheduling method for the power distribution network of distributed resources of the power system according to claim 1, wherein the step 2) comprises: based on the step 1), aiming at electric vehicles and photovoltaic resources, an Agg layer day-ahead optimization scheduling model is established, 24 hours day-ahead is divided into NT time intervals, the time length of each time interval is delta t, each Agg establishes an optimization scheduling model by taking the minimum cost as a target, and the form of an objective function is as follows:
Figure FDA0002950408650000021
the distributed resource constraints are expressed as follows:
0≤pev i,m,t≤Pmax
Figure FDA0002950408650000022
Figure FDA0002950408650000023
Figure FDA0002950408650000024
wherein p isev i,m,tCharging power of the mth electric automobile under Aggi in a t dispatching time period; pmaxThe maximum charging power of the electric automobile; ecap,mThe battery capacity of the mth electric automobile; SOC0,mIs the initial state of charge, SOC, of the m-th vehiclemax,mIs the state of charge, η, of the mth vehicle when it is off-gridmFor the charging efficiency of the mth electric vehicle, Δ t is the length of each scheduling period; t is tm0The time interval for starting to receive dispatching for the mth electric automobile to access the network, tmdIndicating a time period during which the m-th vehicle departs; the charging and discharging power of the electric automobile is 0 in the non-scheduling period; p is a radical ofpv i,j,tThe actual active output value of the photovoltaic at the tth moment of the node j under Aggi is obtained;
according to the model, a preliminary power plan P of the power generation and utilization of the distributed resources under each Agg can be obtainedev i,j,tAnd ppv i,j,t
4. The method for bidirectional blocking scheduling of power distribution network facing distributed resources of power system as claimed in claim 1, wherein the DSO of step 3) performs network security check to check whether the preliminary power plan calculated by Agg can satisfy the line security constraint expressed as
Figure FDA0002950408650000031
Figure FDA0002950408650000032
5. The method for bidirectional blocking scheduling of the power distribution network facing distributed resources of the power system according to claim 1, wherein the guiding process of the power generation and utilization power adjustment signal of step 3) is a case that a power plan submitted by Agg does not satisfy a line safety constraint, and includes:
the calculation method of the power generation and power utilization power adjustment signal comprises the following steps:
Figure FDA0002950408650000033
Figure FDA0002950408650000034
5B, according to the power generation and utilization power adjustment signals reflecting the network blocking condition, each Agg changes the objective function in the optimized scheduling process as follows:
Figure FDA0002950408650000035
and the Agg re-optimizes the generation and utilization electric power plan of the electric automobile and the photovoltaic resource according to the generation and utilization electric power adjusting signals, and iterates until the requirement of an iteration convergence criterion is met.
6. The method for bidirectional blocking scheduling of the power distribution network for distributed resources of the power system according to claim 5, wherein the step 5A comprises:
step 5A 1: computing lagrange multipliers corresponding to network constraints
Figure FDA0002950408650000036
Sub-gradient S oftComprises the following steps:
Figure FDA0002950408650000041
step 5A 2:
Figure FDA0002950408650000042
starting from an initial value of 0, it is updated at each iteration:
Figure FDA0002950408650000043
Figure FDA0002950408650000044
step 5A 3: iterative convergence criterion:
Figure FDA0002950408650000045
7. the method for bidirectional blocking scheduling of the power distribution network facing distributed resources of the power system according to claim 1, wherein the determining of the final scheduling plan in step 4) includes: DSO checks the network security according to the electric power plan reported by Agg for the electric automobile and the distributed photovoltaic resources, as shown in formula Flmin≤-D·Pt≤Flmax
Figure FDA0002950408650000046
And determining whether the Agg can participate in the day-ahead power market according to the reported power plan, if the Agg can participate in the day-ahead power market according to the reported power plan, entering the day-ahead power market according to the reported power plan, and otherwise, returning to the step 5A 1.
CN201910268961.3A2019-04-042019-04-04 A bidirectional blocking scheduling method for distribution network for distributed resources of power systemActiveCN109948954B (en)

Priority Applications (1)

Application NumberPriority DateFiling DateTitle
CN201910268961.3ACN109948954B (en)2019-04-042019-04-04 A bidirectional blocking scheduling method for distribution network for distributed resources of power system

Applications Claiming Priority (1)

Application NumberPriority DateFiling DateTitle
CN201910268961.3ACN109948954B (en)2019-04-042019-04-04 A bidirectional blocking scheduling method for distribution network for distributed resources of power system

Publications (2)

Publication NumberPublication Date
CN109948954A CN109948954A (en)2019-06-28
CN109948954Btrue CN109948954B (en)2021-07-13

Family

ID=67013847

Family Applications (1)

Application NumberTitlePriority DateFiling Date
CN201910268961.3AActiveCN109948954B (en)2019-04-042019-04-04 A bidirectional blocking scheduling method for distribution network for distributed resources of power system

Country Status (1)

CountryLink
CN (1)CN109948954B (en)

Families Citing this family (8)

* Cited by examiner, † Cited by third party
Publication numberPriority datePublication dateAssigneeTitle
CN110472826B (en)*2019-07-092022-11-18大连理工大学 A real-time adaptive method for cascade hydropower station load change considering daily power deviation
CN110247435B (en)*2019-07-172020-12-22南方电网科学研究院有限责任公司 A Blocking and Scheduling Method of Distribution Network
CN111416394A (en)*2020-03-162020-07-14国网河北省电力有限公司电力科学研究院AC/DC flexible power distribution network coordinated optimization scheduling method considering blocking management
CN111612248B (en)*2020-05-202023-09-08云南电网有限责任公司电力科学研究院 A distribution network side source-load coordination method and system
CN111932075B (en)*2020-07-092024-10-18中国电力科学研究院有限公司 Active distribution network multi-region dispatching method, system, device and readable storage medium
CN111900728B (en)*2020-07-162023-08-04江苏电力交易中心有限公司 Block chain-based method and system for eliminating congestion in distribution network
CN113469435B (en)*2021-06-302022-12-23上海电力大学Power distribution network blocking management method considering financial power transmission right
CN113689031B (en)*2021-08-092024-04-26上海电力大学Power distribution network blocking management method based on improved sub-gradient algorithm

Citations (1)

* Cited by examiner, † Cited by third party
Publication numberPriority datePublication dateAssigneeTitle
EP2806520A1 (en)*2013-05-222014-11-26Vito NVPower supply network control system and method

Family Cites Families (8)

* Cited by examiner, † Cited by third party
Publication numberPriority datePublication dateAssigneeTitle
EP2147359A2 (en)*2007-05-092010-01-27Gridpoint, Inc.Method and system for scheduling the discharge of distributed power storage devices and for levelizing dispatch participation
EP2806521A1 (en)*2013-05-222014-11-26Vito NVSystem for electricity grids for adjusting or matching the electrical demand
CN104517158B (en)*2014-12-072017-12-15国网浙江省电力公司电动汽车服务分公司A kind of meter and the distribution system congestion control method of electric automobile and controllable burden
CN107092985A (en)*2017-04-132017-08-25大连理工大学A kind of active distribution network congestion Dispatching Method towards the flexible charge and discharge electroresponse of electric automobile group
CN107248010A (en)*2017-06-062017-10-13重庆大学 Optimal dispatch method considering load aggregator and electric vehicle response reliability
CN108470239B (en)*2018-03-012020-09-04国网福建省电力有限公司Active power distribution network multi-target layered planning method considering demand side management and energy storage
CN108667018A (en)*2018-06-082018-10-16河海大学 A calculation method for electricity price of distribution network nodes considering electric vehicles and heat pumps
CN109256816B (en)*2018-09-112021-09-07河海大学 A Short-term Congestion Management Method for Transmission and Distribution Coordinated Transmission Network

Patent Citations (1)

* Cited by examiner, † Cited by third party
Publication numberPriority datePublication dateAssigneeTitle
EP2806520A1 (en)*2013-05-222014-11-26Vito NVPower supply network control system and method

Also Published As

Publication numberPublication date
CN109948954A (en)2019-06-28

Similar Documents

PublicationPublication DateTitle
CN109948954B (en) A bidirectional blocking scheduling method for distribution network for distributed resources of power system
Sachan et al.Stochastic charging of electric vehicles in smart power distribution grids
Yang et al.Resilient residential energy management with vehicle-to-home and photovoltaic uncertainty
CN104269849B (en)Energy management method based on building photovoltaic micro and system
Hao et al.A V2G-oriented reinforcement learning framework and empirical study for heterogeneous electric vehicle charging management
Tushar et al.Cost minimization of charging stations with photovoltaics: An approach with EV classification
CN109398149A (en)Intelligent electric automobile charge-discharge system and its progress control method based on distributed energy application
Debnath et al.Energy storage model with gridable vehicles for economic load dispatch in the smart grid
CN106651059A (en)Optimal configuration method for electric automobile charging pile
CN118739276A (en) A control method and system based on distributed photovoltaic energy storage
CN116468220A (en)Vehicle network interaction optimization control method for balancing battery aging cost and electric power market income
CN116742654A (en) A scheduling optimization method and system for charging stations to participate in the energy-frequency regulation market
Wang et al.Event-based electric vehicle scheduling considering random user behaviors
CN118469249B (en) Vehicle endurance management method, device, storage medium and system
Ireshika et al.Optimal power tracking for autonomous demand side management of electric vehicles
CN110070210B (en)Multi-microgrid system energy management and contribution degree evaluation method and system
Zhang et al.Transfer deep reinforcement learning-based large-scale V2G continuous charging coordination with renewable energy sources
CN104112168B (en)A kind of smart home optimization method based on multi-agent system
CN115587645A (en) A charging management method and system for electric vehicles considering the randomness of charging behavior
Shi et al.Bidding strategy for wireless charging roads with energy storage in real-time electricity markets
Wang et al.Bounded rational real‐time charging pricing strategy under the traffic‐grid coupling network
CN118449194A (en) Distribution network resource scheduling method, device, computer equipment, and storage medium
CN115983441A (en)Flexible probability prediction and random optimization regulation and control method for electric vehicle cluster
CN112109580B (en) A charging and discharging control system for microgrid electric vehicles with self-distribution of electricity
Ahmadigorji et al.A robust optimization-based model for smart charging of PEV under multiple uncertainties

Legal Events

DateCodeTitleDescription
PB01Publication
PB01Publication
SE01Entry into force of request for substantive examination
SE01Entry into force of request for substantive examination
GR01Patent grant
GR01Patent grant

[8]ページ先頭

©2009-2025 Movatter.jp