Movatterモバイル変換


[0]ホーム

URL:


CN109917340B - MIMO radar waveform modulation and demodulation method - Google Patents

MIMO radar waveform modulation and demodulation method
Download PDF

Info

Publication number
CN109917340B
CN109917340BCN201910337714.4ACN201910337714ACN109917340BCN 109917340 BCN109917340 BCN 109917340BCN 201910337714 ACN201910337714 ACN 201910337714ACN 109917340 BCN109917340 BCN 109917340B
Authority
CN
China
Prior art keywords
doppler
transmitting
dimension
distance
receiving
Prior art date
Legal status (The legal status is an assumption and is not a legal conclusion. Google has not performed a legal analysis and makes no representation as to the accuracy of the status listed.)
Active
Application number
CN201910337714.4A
Other languages
Chinese (zh)
Other versions
CN109917340A (en
Inventor
请求不公布姓名
陈启生
Current Assignee (The listed assignees may be inaccurate. Google has not performed a legal analysis and makes no representation or warranty as to the accuracy of the list.)
Zhejiang Libang Hexin Automotive Brake System Co ltd
Original Assignee
Zhejiang Libang Hexin Automotive Brake System Co ltd
Priority date (The priority date is an assumption and is not a legal conclusion. Google has not performed a legal analysis and makes no representation as to the accuracy of the date listed.)
Filing date
Publication date
Application filed by Zhejiang Libang Hexin Automotive Brake System Co ltdfiledCriticalZhejiang Libang Hexin Automotive Brake System Co ltd
Priority to CN201910337714.4ApriorityCriticalpatent/CN109917340B/en
Publication of CN109917340ApublicationCriticalpatent/CN109917340A/en
Application grantedgrantedCritical
Publication of CN109917340BpublicationCriticalpatent/CN109917340B/en
Activelegal-statusCriticalCurrent
Anticipated expirationlegal-statusCritical

Links

Images

Classifications

Landscapes

Abstract

The invention discloses a MIMO radar waveform modulation and demodulation method, which comprises the following steps: according to different transmitting channels of a transmitting end, modulating the periodic target detection baseband signal in Doppler dimension to code different phases; the echo signals received by all receiving channels of the receiving end are converted into digital echo signals after being preprocessed, and windowing Fourier transformation is carried out according to the distance dimension; converting the digital echo signals subjected to windowing Fourier transformation into a matrix in a distance-Doppler 2-dimensional form, and decoding in the Doppler dimension; and carrying out Doppler dimension coherent processing on the decoded signals, and separating out each transmitting channel to obtain two-dimensional output of the distance-Doppler frequency. The waveform modulation and demodulation method generates different frequency offsets in Doppler dimension through phase coding, thereby achieving the purpose of distinguishing different transmitting channels and solving the problem of inter-channel mutual interference caused by the increase of the number of transmitting and receiving antennas; meanwhile, the real-time bandwidth of the signal and the consumption of calculation resources are not increased.

Description

MIMO radar waveform modulation and demodulation method
Technical Field
The invention belongs to the technical field of MIMO radars, and relates to a wave phase encoding technology for MIMO radars and a corresponding receiving end signal processing technology.
Background
The vehicle radar is used as one of the core sensors for providing environment sensing information, and is widely applied to the fields of intelligent braking, unmanned driving and the like of automobiles. In practical applications, the number of receiving antennas is relatively small in consideration of the size of the radar sensor, so that a high and reliable angular resolution cannot be achieved. Multiple-Input Multiple-Output (MIMO) radars can achieve relatively high angular resolution through a virtual array with fewer receiving antennas, so that the currently mainstream vehicle radars generally adopt a centralized MIMO system. One of the core problems of MIMO radar is that each receiving antenna can distinguish different transmitting signals, but the difficulty of channel separation at the transmitting end increases with the increase of the number of transmitting and receiving antennas. In addition, the complex variability of the road environment brings higher requirements on the sensing capability of the automobile environment, the next-generation vehicle-mounted radar with the characteristics of high spatial resolution, high detection precision, high real-time performance, reliability and the like gradually becomes trend, the number of the receiving and transmitting antennas is required to be greatly increased, and the method clearly brings great challenges to the waveform modulation and demodulation method of the millimeter wave radar, the channel separation of a receiving end and other signal processing algorithms.
In order to obtain higher azimuth angle measurement performance, currently mainstream millimeter wave radars generally adopt a multiple-input multiple-output (MIMO) system, and the characteristics of constructing a virtual array by using the MIMO radars are utilized to increase the aperture of a receiving antenna, so that the angle resolution is improved.
A basic condition of the MIMO system is that each receiving antenna can distinguish different transmission signals, under the condition of omni-directional energy radiation, the transmission signals are required to maintain orthogonality, and common methods for maintaining orthogonality of different transmission channels mainly include time division multiplexing-MIMO (TDM-MIMO), frequency division multiplexing-MIMO (FDM-MIMO) and code division multiplexing-MIMO (CDM-MIMO), wherein TDM-MIMO mainly relies on different time slots to transmit signals, so as to distinguish signals of different transmission channels in the time domain. FDM-MIMO is to add different frequency shifts to the baseband signals of different transmission channels, so as to distinguish the different transmission channels in the frequency domain; however, these two systems have the following problems:
(1) The TDM-MIMO time division transmission system increases time overhead, especially when the number of transmission antennas is large, resulting in poor system real-time performance.
(2) For a moving target, since the TDM-MIMO transmits signals in different transmission channels in a time-sharing manner, phase differences caused by small distance changes caused by target speeds can be generated between different channels, and the phase differences need to be compensated before FFT calculation of angles is performed, so that algorithm processing complexity is further increased.
(3) The FDM-MIMO mode, such as OFDM-MIMO technology, adds frequency shift to different transmission channels based on baseband signals, which clearly increases the instantaneous bandwidth of the signals, and further increases the requirements for data storage and hardware cost.
CDM-MIMO modulates different orthogonal codes for transmission signals of different transmission channels, and since the orthogonal codes have high autocorrelation characteristics and extremely low cross correlation characteristics, different transmission channels can be distinguished by decoding at a receiving end. In addition, the signal coding of Doppler dimension (Doppler dimension) of different transmitting channels does not increase the real-time bandwidth and memory resources of the signals, compared with the FDM-MIMO system, the cost is lower, and the CDM-MIMO signals of all channels are transmitted simultaneously, so that the defect of the TDM-MIMO system is avoided. The conventional CDM-MIMO scheme is BPSK-MIMO, but the BPSK-MIMO system suffers from a great deterioration in speed-dimensional signal-to-noise ratio (SNR) with an increase in the number of transmit antennas, and even a false target. However, the increase of the number of the transmitting antennas is one of the necessary requirements for high resolution, so that the BPSK-MIMO system does not conform to the trend of high resolution in space.
In view of this, the present inventors studied this, and developed a MIMO radar waveform modulation and demodulation method specifically.
Disclosure of Invention
The invention aims to provide a MIMO radar waveform modulation and demodulation method, which generates different frequency offsets in Doppler dimension through phase coding, so as to achieve the purpose of distinguishing different transmitting channels and solve the problem of inter-channel mutual interference caused by the increase of the number of receiving and transmitting antennas.
In order to achieve the above object, the solution of the present invention is:
the MIMO radar waveform modulation and demodulation method is applied to a multi-input multi-output radar system, wherein a transmitting end of the radar system comprises a plurality of transmitting antennas, a receiving end of the radar system comprises a plurality of receiving antennas, and the waveform modulation and demodulation method comprises the following steps:
modulating and encoding different phases of periodic target detection baseband signals in Doppler dimension according to different transmission channels of a transmitting end, so that the transmission signals of different transmission channels obtain different frequency offsets in the Doppler dimension;
the echo signals received by all receiving channels of the receiving end are converted into digital echo signals after being preprocessed, and windowing Fourier transformation is carried out according to the distance dimension;
converting the digital echo signals subjected to the windowing Fourier transform into a matrix in a distance-Doppler 2-dimensional form, and decoding in the Doppler dimension;
and carrying out Doppler dimension coherent processing on the decoded signals, and separating out each transmitting channel to obtain two-dimensional output of the distance-Doppler frequency.
Preferably, the phaseBit encoding
Figure BDA0002039713780000031
Wherein h=0, 1,2, …, H-1, H represents the number of signals in a frame, l=0, 1,2, …, L-1, L is the total number of transmitting antennas, P represents the length of the phase shifter, and P is not less than L; p (l) represents one of the phase shifters corresponding to the first transmitting antenna, and P (l) epsilon P;
Figure BDA0002039713780000032
Representing the phase as a function of the transmit antenna.
Preferably, the converting the echo signal received by each receiving channel of the receiving end into a digital echo signal after preprocessing includes: and carrying out quadrature mixing on echo signals received by each receiving channel of the receiving end, and obtaining digital echo signals after low-pass filtering and ADC (analog-to-digital conversion).
Preferably, the vector of the digital echo signal
Figure BDA0002039713780000033
Sequentially performing distance dimension windowing Fourier transform on the digital echo signals of each receiving channel to obtain
Figure BDA0002039713780000034
Where n=0, 1,2, …, N-1, represents the number of range gates,
Figure BDA0002039713780000035
doppler vector representing target,/->
Figure BDA0002039713780000036
Indicates the phase encoding vector of the first transmitting antenna, +.mix (n, l, M) represents a portion after the received signal and the local reference signal Dechirp, m=0, 1,2, …, M-1, M is the total number of received channels; s is Smix (kR ,l,m)=FFT[smix (n,l,m)],N(kR ,m)=FFT[n(n,m)],FFT[·]Is a fourier transform operation.
Preferably, the digital echo signals after the windowing Fourier transform are converted into a matrix in a distance-Doppler 2-dimensional form, and the matrix is obtained
Figure BDA0002039713780000037
Wherein the method comprises the steps of
Figure BDA0002039713780000038
The kth sample point representing the mth received pulse of the mth antenna, h=0, 1,2, …, H-1, m=0, 1,2, …, M-1, k=0, 1,2, …, KR -1,KR Sampling the number of points for the distance dimension;
and in the matrix Doppler dimension, for SR (m) performing decoding processing:
Sdecode (l,m)=Ml SR (m)
decoding matrix of the first antenna:
Figure BDA0002039713780000041
* For complex conjugate operation, ++>
Figure BDA0002039713780000042
Preferably, the decoded signals are processed by Doppler dimension phase correlation, and each transmitting channel is separated to obtain two-dimensional output of distance-Doppler frequency
Y(l,m)=AH Sdecode (l,m)
Wherein the fourier transform matrix
Figure BDA0002039713780000043
And +.>
Figure BDA0002039713780000044
Figure BDA0002039713780000045
Is->
Figure BDA0002039713780000046
H is complex conjugate transpose operation, Tr For pulse repetition periods. Y (l, m) represents a distance-velocity spectrum of the first transmitting antenna and the mth receiving antenna.
According to the MIMO radar waveform modulation and demodulation method, different phase codes are modulated in Doppler dimension (Doppler dimension), and different frequency offsets are generated in the Doppler dimension through the phase codes, so that the purpose of distinguishing different transmitting channels is achieved, and the problem of inter-channel mutual interference caused by the increase of the number of transmitting and receiving antennas is solved; in addition, frequency offset is generated in the Doppler dimension for channel separation, so that the real-time bandwidth of the signal and the consumption of calculation resources are not increased.
The invention is described in further detail below with reference to the accompanying drawings and specific examples.
Drawings
Fig. 1 is a flowchart of a MIMO radar waveform modulation and demodulation method according to the present embodiment;
fig. 2 is a coding diagram of a transmission channel l in the present embodiment;
fig. 3 is a diagram of the separation result of the 1 st antenna channel at the receiving end in this embodiment.
Detailed Description
The method for modulating and demodulating the waveform of the MIMO radar is applied to a multi-input multi-output radar system, a transmitting end of the radar system comprises a plurality of transmitting antennas, each transmitting antenna forms a transmitting channel, a receiving end comprises a plurality of receiving antennas, each receiving antenna forms a receiving channel, and the L-transmitting M-receiving radar system is taken as an example, and the method for modulating and demodulating the waveform of the MIMO radar comprises the following steps:
s101, modulating and encoding different phases of periodic target detection baseband signals in Doppler dimension according to different transmission channels of a transmitting end, so that the transmission signals of different transmission channels obtain different frequency offsets in the Doppler dimension; the method comprises the following steps:
for the transmitting antenna l, the phase code m is added to the multi-period target detection baseband signal according to the period2 (h,l),As shown in the figure 2 of the drawings,
Figure BDA0002039713780000051
where h=0, 1,2, …, H-1, H represents the number of signals in a frame, l=0, 1,2, …, L-1, L is the total number of transmitting antennas, L represents the first transmitting antenna, P represents the length of the phase shifter, and P is equal to or greater than L, P (L) represents one of the phase shifters corresponding to the first transmitting antenna, P (L) e P, and the values of the P (L) typically are different for different transmitting antennas>
Figure BDA0002039713780000057
Indicating a certain phase that varies with the change of the transmitting antenna.
Taking a linear frequency modulation (Linear Frequency Modulated, LFM) signal as an example, the multi-period target detection baseband signal complex envelope sT (t, l) is
Figure BDA0002039713780000052
Wherein the method comprises the steps of
Figure BDA0002039713780000053
0≤t≤Tc ,Tc For the duration of the Chirp sweep, μm1 Frequency modulation slope of (t), m2 (h, l) is phase encoding, +.>
Figure BDA0002039713780000054
Tr For the pulse repetition period, H is the number of chirps contained in a frame signal, i.e., the number of signals in a frame.
Different frequency offsets are obtained in Doppler dimension by phase coding of different transmitting signals (the coding is irrelevant to the waveform of the transmitting baseband signal), and different transmitting channels are positioned at different frequency offset positions, so that the aim of distinguishing different transmitting channels is achieved, and the separated channels have smaller mutual interference. Meanwhile, frequency offset is generated in the Doppler dimension for channel separation, so that the real-time bandwidth of signals and the consumption of computing resources are not increased.
S201, converting echo signals received by all receiving channels of a receiving end into digital echo signals after preprocessing, and performing windowing Fourier transform according to a distance dimension, wherein the preprocessing comprises quadrature mixing, low-pass filtering and ADC (analog-to-digital conversion); taking the receiving channel of the kth antenna as an example, the digital echo signal vector after ADC analog-to-digital conversion can be expressed as
Figure BDA0002039713780000055
Where n=0, 1,2, …, N-1, represents the number of range gates,
Figure BDA0002039713780000056
doppler vector representing target,/->
Figure BDA0002039713780000061
Indicating the phase encoding vector of the first transmitting antenna, +.is Hadamard product, and n (n, m) indicates the noise or clutter vector on the m-th receiving antenna range gate n. R is the target distance, fd For the Doppler frequency of the target dm For the receive antenna spacing, m=0, 1,2, …, M-1, M is the number of receive channels, dl For the interval between the transmitting antennas, θ is the target azimuth angle, fc For carrier frequency, fs And c is the light speed value, which is the sampling frequency of the ADC.
Order the
Figure BDA0002039713780000062
The term represents the part of the received signal after the local reference signal Dechirp, the ADC digital echo signal vector can be further simplified to
Figure BDA0002039713780000063
Sequentially performing distance-dimensional windowing FFT processing on the digital echo signals of each receiving channel
Figure BDA0002039713780000064
Wherein w isrng (n) is a window function, commonly used window functions such as rectangular window, chebyshev window, etc., in order to obtain a suitable main-side lobe ratio. Distance dimension post-FFT result SR (kR M) can be further expressed as
Figure BDA0002039713780000065
Wherein S ismix (kR ,l,m)=FFT[smix (n,l,m)],N(kR ,m)=FFT[n(n,m)],FFT[·]Is a fourier transform operation.
S301, converting the digital echo signals subjected to windowing Fourier transformation into a matrix in a distance-Doppler 2-dimensional form, and decoding in the Doppler dimension;
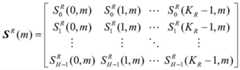
representing the digital echo signals after the distance dimension FFT as a distance-Doppler 2 dimension matrix form to obtain
Figure BDA0002039713780000066
Wherein the method comprises the steps of
Figure BDA0002039713780000067
The kth sample point representing the mth received pulse of the mth antenna, h=0, 1,2, …, H-1, m=0, 1,2, …, M-1, k=0, 1,2, …, KR -1,KR The number of points is sampled for the distance dimension.
Then in the matrix Doppler dimension, for SR (m) performing decoding processing:
Sdecode (l,m)=Ml SR (m)
decoding matrix of the first antenna:
Figure BDA0002039713780000071
* For complex conjugate operation, ++>
Figure BDA0002039713780000072
S401, performing Doppler dimension coherent processing on the decoded signals, and separating out each transmitting channel to obtain two-dimensional output of distance-Doppler frequency.
Coherent processing of the decoded signal in the Doppler dimension, separating the individual transmit channels, i.e
Y(l,m)=AH Sdecode (l,m)
Wherein the fourier transform matrix
Figure BDA0002039713780000073
And +.>
Figure BDA0002039713780000074
Figure BDA0002039713780000075
Is->
Figure BDA0002039713780000076
H is a complex conjugate transpose operation. Y (l, m) represents a distance-velocity spectrum of the first transmitting antenna and the mth receiving antenna.
So far, the whole waveform encoding and decoding process is completed at the transmitting end and the receiving end.
The following describes the effects of a 3-transmission 4-reception MIMO radar as an example:
let MIMO radar be 3 send 4 receive, the space between transmitting antenna be lambda/2, lambda be carrier wave wavelength, carrier frequency be fc =76.5 GHz. Let p=32, the code phases on the 1 st to 3 rd transmit antennas be P (1) =0, P (2) =2, and P (3) =6, respectively;
Figure BDA0002039713780000077
the number of accumulated pulses was 512./>
The 3-transmission 4-reception radar waveform modulation and demodulation method comprises the following steps:
1) For the first transmitting antenna, it transmits the signal complex envelope sT (t, l) is
Figure BDA0002039713780000078
Wherein m is1 (T) detecting the baseband signal for the target, Tr For periodic cyclical transmission, commonly used are e.g. chirped (Linear Frequency Modulated, LFM) signals:
Figure BDA0002039713780000079
0≤t≤Tc wherein mu is m1 Frequency modulation slope of (T), Tr For pulse repetition period, Tc For the Chirp sweep frequency duration, the number of Chirp contained in one frame of signal is 512, the number of transmitting antennas is 3, and Doppler dimension phase coding is +.>
Figure BDA0002039713780000081
P represents the length of the phase shifter, taken 32 in this example; p (l) represents a certain stage in the phase shifter corresponding to the first transmitting antenna, and p values of different antennas are generally different, in this example, p (0) =0, p (1) =2, and p (2) =6 are respectively taken;
Figure BDA00020397137800000810
Indicating a certain phase which varies with the variation of the transmitting antenna, in this case
Figure BDA0002039713780000082
The Doppler phase codes in this example are therefore respectively: m is m2 (h,0)=1,
Figure BDA0002039713780000083
Different frequency offsets (0,/in this example) are obtained in the Doppler dimension for different transmitted signals by phase encoding>
Figure BDA0002039713780000084
) Different transmitting channels are positioned at different frequency offset positions, so that the purpose of distinguishing different transmitting channels is achieved, and the separated channels have small mutual interference. Meanwhile, frequency offset is generated in the Doppler dimension for channel separation, so that the real-time bandwidth of signals and the consumption of computing resources are not increased.
2) At the radar receiving end, a single-target detection scene (multi-target can be expanded by analogy) is considered for simplifying the problem, and the echo signal of each receiving channel is converted into a digital signal after quadrature mixing, low-pass filtering and ADC digital-to-analog conversion. The output signal vector after the analog-to-digital conversion of the k antenna received signal can be expressed as
Figure BDA0002039713780000085
Where n=0, 1,2, …,511, represents the number of range gates,
Figure BDA0002039713780000086
doppler vector representing target, fd For the target Doppler frequency:
Figure BDA0002039713780000087
Wherein the speed is set to v=10.76 m/s, the carrier wavelength λ=0.0039 m, < >>
Figure BDA0002039713780000088
Indicating the phase encoding vector of the first transmitting antenna, +.is Hadamard product, and n (n, m) indicates the noise or clutter vector on the m-th receiving antenna range gate n. R is the target distance, dm For receiving antenna spacing>
Figure BDA0002039713780000089
m=0, 1,2, …, M-1 is the number of receive channels, dl To transmit the inter-antenna spacing dl =2λ, θ is target azimuth, carrier frequency fc =76.5GHz,fs And c is the light speed value, which is the sampling frequency of the ADC.
Order the
Figure BDA0002039713780000091
The term represents the part of the received signal after the local reference signal Dechirp, the ADC output signal vector can be further reduced to +.>
Figure BDA0002039713780000092
Sequentially performing distance-dimensional windowing FFT processing on echo data of each receiving channel
Figure BDA0002039713780000093
Wherein w isrng (n) is a window function, commonly used window functions such as rectangular window, chebyshev window, etc., in order to obtain a suitable main-side lobe ratio. Distance dimension post-FFT result SR (kR M) can be further expressed as
Figure BDA0002039713780000094
Wherein S ismix (kR ,l,m)=FFT[smix (n,l,m)],N(kR ,m)=FFT[n(n,m)],FFT[·]Is a fourier transform operation.
3) The echo sampling data after the distance dimension FFT is expressed in a distance-Doppler 2 dimension matrix form to obtain
Figure BDA0002039713780000095
Wherein the method comprises the steps of
Figure BDA0002039713780000096
The kth sample point representing the mth received pulse of the mth antenna, h=0, 1,2, …,511, m=0, 1,2,3, k=0, 1,2, …,511.
Then in the Doppler dimension, for SR (m) performing decoding processing:
Sdecode (l,m)=Ml SR (m)
decoding matrix of the first antenna:
Figure BDA0002039713780000097
* In the form of a complex conjugate of the two,
Figure BDA0002039713780000098
4) The decoded signal is obtained by Doppler dimension FFT
Y(l,m)=AH Sdecode (l,m)
Wherein the fourier transform matrix
Figure BDA0002039713780000099
And +.>
Figure BDA0002039713780000101
Figure BDA0002039713780000102
Is->
Figure BDA0002039713780000103
H is a complex conjugate transpose operation. Y (l, m) represents a distance-velocity spectrum of the first transmitting antenna and the mth receiving antenna.
Under the simulation condition, the verification of the validity of the phase encoding and decoding scheme in the embodiment mainly comprises the characteristics of verification of the separation validity of a transmitting channel, verification of low mutual interference of channels and the like. Fig. 3 shows the separation result of the 1 st antenna channel of the 3-transmit 4-receive radar receiving end, and can obtain peak values at positions where the FFT points are 101, 133 and 197, which respectively represent the transmittingchannels 0,1 and 2. The phase coding is to separate signals of a plurality of transmitting antennas on a spectrogram, and then extract corresponding signals; in addition, the processing gain caused by Fourier transformation is higher, so that the mutual interference between the separated channels is lower, and the signal quality of each channel is ensured.
The MIMO system radar receiving end has larger mutual interference when making channel separation, and the problem is more serious when the number of receiving and transmitting antennas is increased. The MIMO radar waveform modulation-demodulation method spreads the phase code into M system in the Doppler dimension to solve the problem of inter-channel interference caused by the increase of the number of receiving and transmitting antennas, and meanwhile, the method is different from a CDM-MIMO system, namely, the method does not depend on the correlation of orthogonal codes to distinguish transmitting channels, but is similar to FDM-MIMO, and generates different frequency deviations in the Doppler dimension through the phase code, thereby achieving the purpose of distinguishing different transmitting channels. Meanwhile, frequency offset is generated in the Doppler dimension for channel separation, so that the real-time bandwidth of signals and the consumption of computing resources are not increased.
Other embodiments of the invention will be apparent to those skilled in the art from consideration of the specification and practice of the invention disclosed herein. This application is intended to cover any variations, uses, or adaptations of the invention following, in general, the principles of the invention and including such departures from the present disclosure as come within known or customary practice within the art to which the invention pertains. It is intended that the specification and examples be considered as exemplary only, with a true scope and spirit of the invention being indicated by the following claims.

Claims (5)

1. The MIMO radar waveform modulation and demodulation method is applied to a multiple-input multiple-output radar system, a transmitting end of the radar system comprises a plurality of transmitting antennas, and a receiving end of the radar system comprises a plurality of receiving antennas, and is characterized in that: the waveform modulation and demodulation method comprises the following steps:
modulating and encoding different phases of periodic target detection baseband signals in Doppler dimension according to different transmission channels of a transmitting end, so that the transmission signals of different transmission channels obtain different frequency offsets in the Doppler dimension;
the echo signals received by all receiving channels of the receiving end are converted into digital echo signals after being preprocessed, and windowing Fourier transformation is carried out according to the distance dimension;
converting the digital echo signals subjected to the windowing Fourier transform into a matrix in a distance-Doppler 2-dimensional form, and decoding in the Doppler dimension;
performing Doppler dimension coherent processing on the decoded signals, and separating out each transmitting channel to obtain two-dimensional output of distance-Doppler frequency;
vector of the digital echo signal
Figure FDA0004086020280000011
Sequentially performing distance dimension windowing Fourier transform on the digital echo signals of each receiving channel to obtain
Figure FDA0004086020280000012
Where n=0, 1,2, …, N-1, represents the number of range gates,
Figure FDA0004086020280000013
doppler vector representing target,/->
Figure FDA0004086020280000014
Indicates the phase encoding vector of the first transmitting antenna, +.mix (n, l, M) represents a portion after the received signal and the local reference signal Dechirp, m=0, 1,2, …, M-1, M is the total number of received channels; s is Smix (kR ,l,m)=FFT[smix (n,l,m)],N(kR ,m)=FFT[n(n,m)],FFT[·]Is a fourier transform operation.
2. The MIMO radar waveform modulation-demodulation method of claim 1, wherein: the phase encoding
Figure FDA0004086020280000015
Wherein h=0, 1,2, …, H-1, H represents the number of signals in a frame, l=0, 1,2, …, L-1, L is the total number of transmitting antennas, P represents the length of the phase shifter, and P is not less than L; p (l) represents one of the phase shifters corresponding to the first transmitting antenna, and P (l) epsilon P;
Figure FDA0004086020280000016
Representing the phase as a function of the transmit antenna.
3. The MIMO radar waveform modulation-demodulation method of claim 1, wherein: the step of converting the echo signals received by each receiving channel of the receiving end into digital echo signals after preprocessing comprises the following steps: and carrying out quadrature mixing on echo signals received by each receiving channel of the receiving end, and obtaining digital echo signals after low-pass filtering and ADC (analog-to-digital conversion).
4. The MIMO radar waveform modulation-demodulation method of claim 1, wherein: converting the digital echo signals subjected to the windowing Fourier transform into a matrix in a distance-Doppler 2-dimensional form to obtain
Figure FDA0004086020280000021
Wherein the method comprises the steps of
Figure FDA0004086020280000022
The kth sample point representing the mth received pulse of the mth antenna, h=0, 1,2, …, H-1, m=0, 1,2, …, M-1, k=0, 1,2, …, KR -1,KR Sampling the number of points for the distance dimension;
and in the matrix Doppler dimension, for SR (m) performing decoding processing:
Sdecode (l,m)=Ml SR (m)
decoding matrix of the first antenna:
Figure FDA0004086020280000023
* For complex conjugate operation, ++>
Figure FDA0004086020280000024
5. The MIMO radar waveform modulation-demodulation method of claim 4, wherein: coherent processing the decoded signals according to Doppler dimension, separating each transmitting channel, and obtaining two-dimensional output of distance-Doppler frequency
Y(l,m)=AH Sdecode (l,m)
Wherein the fourier transform matrix
Figure FDA0004086020280000025
And +.>
Figure FDA0004086020280000026
Is->
Figure FDA0004086020280000027
H is complex conjugate transpose operation, Tr For the pulse repetition period, Y (l, m) represents the distance-velocity spectrum of the first transmitting antenna and the mth receiving antenna. />
CN201910337714.4A2019-04-252019-04-25MIMO radar waveform modulation and demodulation methodActiveCN109917340B (en)

Priority Applications (1)

Application NumberPriority DateFiling DateTitle
CN201910337714.4ACN109917340B (en)2019-04-252019-04-25MIMO radar waveform modulation and demodulation method

Applications Claiming Priority (1)

Application NumberPriority DateFiling DateTitle
CN201910337714.4ACN109917340B (en)2019-04-252019-04-25MIMO radar waveform modulation and demodulation method

Publications (2)

Publication NumberPublication Date
CN109917340A CN109917340A (en)2019-06-21
CN109917340Btrue CN109917340B (en)2023-05-09

Family

ID=66978370

Family Applications (1)

Application NumberTitlePriority DateFiling Date
CN201910337714.4AActiveCN109917340B (en)2019-04-252019-04-25MIMO radar waveform modulation and demodulation method

Country Status (1)

CountryLink
CN (1)CN109917340B (en)

Families Citing this family (22)

* Cited by examiner, † Cited by third party
Publication numberPriority datePublication dateAssigneeTitle
CN110308445B (en)*2019-07-182022-10-04中国电子科技集团公司第二十九研究所Imaging method based on vehicle-mounted digital array frequency modulation continuous wave radar
DE102019215107A1 (en)*2019-09-272021-04-01Robert Bosch Gmbh Method and device for emitting electromagnetic radiation and receiving partial radiation reflected from the objects
DE102019214949A1 (en)*2019-09-272021-04-01Robert Bosch Gmbh Method and device for recognizing an absorptive radome coating
WO2021138270A1 (en)*2019-12-302021-07-08Waymo LlcMethods and systems for signal transmission using orthogonal doppler coding
CN113109785A (en)*2020-01-102021-07-13江西商思伏沌科技有限公司Multi-channel separation method for MIMO radar
CN111257846B (en)*2020-02-282022-09-02加特兰微电子科技(上海)有限公司Sensor, sensor module, radar, target detection method, device and equipment
CN113466867B (en)*2020-03-302024-04-12华为技术有限公司 Interference suppression method and detection device
CN113625240B (en)*2020-05-062022-05-24华为技术有限公司Signal detection method and device and radar system
WO2021258292A1 (en)*2020-06-232021-12-30华为技术有限公司Signal processing method and device, radar device and storage medium
WO2021258358A1 (en)*2020-06-242021-12-30华为技术有限公司Target detection method and apparatus, radar, and vehicle
CN116209918B (en)*2020-08-142025-06-06华为技术有限公司Radar signal processing unit and waveform processing method
CN111965617B (en)*2020-08-182024-01-16西安电子科技大学GPU-based time division MIMO radar signal processing method
CN113534125B (en)*2021-06-042024-06-07惠州市德赛西威汽车电子股份有限公司 A method for estimating target blur velocity
CN113325372B (en)*2021-06-252023-07-25谭文举 A random coding waveform modulation method for vehicle-grade MIMO radar
CN113267751A (en)*2021-06-292021-08-17珠海上富电技股份有限公司Anti-interference method for vehicle-mounted millimeter wave radar
CN113504526B (en)*2021-09-032024-02-27南京隼眼电子科技有限公司Target detection method and device based on MIMO radar, electronic equipment and storage medium
CN114415121B (en)*2021-10-272025-06-17西安空间无线电技术研究所 A target detection method for anti-interference space-based TDM-MIMO radar system
CN114137528B (en)*2021-11-302025-04-29中汽创智科技有限公司 Vehicle millimeter wave radar signal processing method, device, electronic device and storage medium
CN114488154B (en)*2022-01-202025-09-30森思泰克河北科技有限公司 MIMO radar signal processing method, device, radar and storage medium
CN117388814A (en)*2022-07-112024-01-12加特兰微电子科技(上海)有限公司 Signal processing methods, devices, radars, media, program products and terminals
CN115436945A (en)*2022-09-262022-12-06浙江大华技术股份有限公司 Precision radar low-delay detection method, device, storage medium and electronic device
CN117233705B (en)*2023-09-222024-04-12南京楚航科技有限公司Three-transmission four-reception method, system and device based on BPSK phase modulation mode

Family Cites Families (9)

* Cited by examiner, † Cited by third party
Publication numberPriority datePublication dateAssigneeTitle
US20070104286A1 (en)*2005-11-082007-05-10Juinn-Horng DengEquipment and method for MIMO SC-FED communication system
CN103885037B (en)*2014-04-112016-04-06中国人民解放军国防科学技术大学MIMO-SAR signal based on Space Time Coding is launched and method of reseptance
CN104166141B (en)*2014-08-112017-05-24中国电子科技集团公司第三十八研究所Method for designing multiple-input-multiple-output synthetic aperture radar system on basis of sub-band synthesis
US9541638B2 (en)*2014-11-112017-01-10Nxp B.V.MIMO radar system
CN105699953B (en)*2016-01-282018-04-17西安电子科技大学Frequency diversity MIMO radar is apart from the decoupling Beamforming Method of angle
JP6716352B2 (en)*2016-06-092020-07-01株式会社東芝 Radar system and radar signal processing method thereof
EP3339894A1 (en)*2016-12-222018-06-27Airbus Defence and Space GmbHA multiple input multiple output, mimo, radar system
CN108983226B (en)*2018-07-202021-01-12北京航空航天大学 A MIMO radar communication integration method based on antenna array modulation
CN109444891B (en)*2019-01-082024-07-23浙江力邦合信智能制动系统股份有限公司Millimeter wave radar antenna system and decoupling method

Also Published As

Publication numberPublication date
CN109917340A (en)2019-06-21

Similar Documents

PublicationPublication DateTitle
CN109917340B (en)MIMO radar waveform modulation and demodulation method
CN113567928A (en)MIMO radar apparatus and MIMO radar method
CN110412558B (en)Method for resolving speed ambiguity of vehicle-mounted FMCW radar based on TDM MIMO
CN108594233B (en)Speed ambiguity resolving method based on MIMO automobile radar
WangMIMO SAR OFDM chirp waveform diversity design with random matrix modulation
CN112771401B (en) Target detection method, device, radar, and vehicle
CN108693511B (en) Calculation method of moving target angle for time-division multiplexing MIMO radar
US12146949B2 (en)Phase modulated continuous wave radar system that uses velocity labeled multiplexing for generating detections
CN111239721B (en) A Method of Entropy Solution for Velocity Ambiguity of Vehicle-mounted MIMO Radar
CN113777577A (en)Target detection method and device based on MIMO radar and electronic equipment
Dokhanchi et al.Performance analysis of mmWave bi-static PMCW-based automotive joint radar-communications system
JP3241975U (en) MIMO radar device
CN117784077B (en)Weak and small target detection method, terminal and medium based on frequency accumulation
CN118566921B (en) A two-dimensional ambiguity suppression method for phase-coded multi-beam SAR imaging
CN111257879A (en) A method for solving target splitting of millimeter-wave MIMO radar based on two-norm
CN114325595A (en) Airborne MIMO-SAR Range Fuzzy Separation Method Based on Combined Transmitting Array and Pulse Coding
CN113109785A (en)Multi-channel separation method for MIMO radar
Sichani et al.Waveform selection for FMCW and PMCW 4D-imaging automotive radar sensors
US11269052B2 (en)Signal processing method
CN118311524A (en)Millimeter wave radar target detection method based on composite orthogonal waveform and electronic equipment
CN116418644B (en)ISAC method, equipment and network based on orthogonal multi-carrier FSCM signal
Hassanien et al.Resolving target ambiguities in automotive radar using DDMA techniques
Hadizadehmoghaddam et al.Simultaneous execution of multiple radar tasks using OFDMA
Bezoušek et al.MIMO radar signals with better correlation characteristics
Graff et al.Signal Identification and Entrainment for Practical FMCW Radar Spoofing Attacks

Legal Events

DateCodeTitleDescription
PB01Publication
PB01Publication
SE01Entry into force of request for substantive examination
SE01Entry into force of request for substantive examination
GR01Patent grant
GR01Patent grant

[8]ページ先頭

©2009-2025 Movatter.jp