














技术领域technical field
本发明涉及一种基于DAUPF(双自适应采样无极卡尔曼粒子滤波算法)的锂离子电池寿命预测方法,属于锂电池健康管理技术领域。The invention relates to a lithium ion battery life prediction method based on DAUPF (Dual Adaptive Sampling Stepless Kalman Particle Filter Algorithm), and belongs to the technical field of lithium battery health management.
背景技术Background technique
锂离子电池已成功应用于许多消费电子产品(如手机,笔记本电脑和电动汽车),并逐步扩展到军事通信,导航,航空,航天等领域。锂离子电池的安全性受到越来越多人的重视。电池以充放电的循环次数或使用年限来定义电池寿命。电池中的化学物质会随着电池工作时间的增加而逐渐老化,电池故障会造成很严重的后果。美国加州消防局称,一辆特斯拉Model S汽车在一个停车场中自燃,几小时后在拖车场中再度起火,两次自燃期间该车没有过碰撞及其他操作。所以准确预测锂离子电池的使用寿命是非常重要的。健康状态估计(SOH)和剩余寿命预测是电池健康管理的关键,它们能够确保锂离子电池的安全使用。Lithium-ion batteries have been successfully used in many consumer electronic products (such as mobile phones, notebook computers and electric vehicles), and gradually expanded to military communications, navigation, aviation, aerospace and other fields. The safety of lithium-ion batteries has been paid more and more attention by more and more people. The battery life is defined by the number of charge-discharge cycles or years of use. The chemical substances in the battery will gradually age as the battery operating time increases, and battery failure can cause serious consequences. Cal Fire said a Tesla Model S spontaneously ignited in a parking lot and reignited in a trailer a few hours later. Therefore, it is very important to accurately predict the service life of lithium-ion batteries. State-of-health (SOH) estimation and remaining life prediction are the keys to battery health management, which can ensure the safe use of lithium-ion batteries.
目前,锂电池的预测方法有两类。一类为非参数模型法,一类为参数模型法。At present, there are two types of prediction methods for lithium batteries. One is the non-parametric model method, and the other is the parametric model method.
非参数法有神经网络法、机器学习法等。吴等人使用前馈神经网络(FFNN)与蒙特卡洛(IS)法估算锂离子电池的剩余使用寿命(RUL)。张等人使用基于长短期记忆型神经网络(LSTM)去预测电池剩余使用寿命。机器学习法有支持向量分类(SVM)、支持向量回归(SVR)、相关向量机(RVM)法等。Tobar等人将改进核自适应滤波的方法运用在电动自行车电池电压的预测。Nonparametric methods include neural network methods and machine learning methods. Wu et al. used a feedforward neural network (FFNN) with a Monte Carlo (IS) method to estimate the remaining useful life (RUL) of lithium-ion batteries. Zhang et al. used a long short-term memory-based neural network (LSTM) to predict the remaining battery life. Machine learning methods include support vector classification (SVM), support vector regression (SVR), correlation vector machine (RVM) and so on. Tobar et al. applied the improved kernel adaptive filtering method to the prediction of electric bicycle battery voltage.
参数模型法最常见的是各种滤波算法。其中,粒子滤波(PF)法是一种基于蒙特卡洛仿真的近似贝叶斯滤波算法。其核心思想是用一些离散的随机采样点来近似系统随机变量的概率密度函数。苗等人通过粒子滤波的方法预测电池的剩余使用寿命,得出粒子滤波可以很好地预测锂离子电池的剩余寿命。B.Saha等人建立电池系统框架,通过PF预测电池在不同放电率下的剩余使用寿命。粒子滤波方法适用于任何非线性非高斯环境,但好坏取决于所选的参考分布与状态后验估计。The most common parametric model method is various filtering algorithms. Among them, the particle filter (PF) method is an approximate Bayesian filtering algorithm based on Monte Carlo simulation. The core idea is to use some discrete random sampling points to approximate the probability density function of the random variables of the system. Miao et al. used particle filtering to predict the remaining service life of batteries, and concluded that particle filtering can well predict the remaining service life of lithium-ion batteries. B.Saha et al. established a battery system framework to predict the remaining service life of batteries at different discharge rates by PF. The particle filter method is suitable for any nonlinear non-Gaussian environment, but depends on the chosen reference distribution and state posterior estimates.
扩展卡尔曼(EKF)与无迹卡尔曼(UKF)是改进的卡尔曼滤波(KF)算法。EKF的优点在于它拥有弱非线性,在噪声较小的环境中有较好的预测效果。董等人基于递归最小二乘法提出自适应扩展卡尔曼(AEKF)算法,得出AEKF能很好地抑制噪声。H.S.Ramadan等人分析比较多种EKF算法,得出预测电池荷电状态(SOC)需要精确的参数模型,而EKF算法的好坏与模型的精确程度息息相关。UKF的优点在于模型上没有损失,计算精度相对较高。郑提出一种集成的UKF方法来预测电池RUL,利用未来残差估计电池的参数,能精确预测电池的短期容量,但由于UKF无法调整模型参数,预测精度无法进一步提升。Extended Kalman (EKF) and Unscented Kalman (UKF) are improved Kalman Filter (KF) algorithms. The advantage of EKF is that it has weak nonlinearity and has a better prediction effect in a less noisy environment. Dong et al. proposed the Adaptive Extended Kalman (AEKF) algorithm based on the recursive least squares method, and concluded that AEKF can suppress noise well. H.S. Ramadan et al. analyzed and compared various EKF algorithms, and concluded that predicting the battery state of charge (SOC) requires an accurate parameter model, and the quality of the EKF algorithm is closely related to the accuracy of the model. The advantage of UKF is that there is no loss on the model and the calculation accuracy is relatively high. Zheng proposed an integrated UKF method to predict the battery RUL, using the future residuals to estimate the battery parameters, which can accurately predict the short-term capacity of the battery, but since the UKF cannot adjust the model parameters, the prediction accuracy cannot be further improved.
粒子滤波与卡尔曼滤波各有优缺点,并且两种算法的优点可以弥补相互的不足,于是便有了扩展卡尔曼粒子滤波法和无迹卡尔曼粒子滤波法。苗等人通过使用无极卡尔曼粒子滤波(UPF)算法,成功地预测了电池的RUL。但该算法过于依赖粒子数、数据集大小以及历史数据质量等。张等人使用基于马尔科夫连蒙特卡洛的UPF算法,能维持粒子多样性对锂离子电池的剩余寿命进行预测。陈等人用二阶高斯模型和UPF对电池寿命进行预测。Particle filter and Kalman filter have their own advantages and disadvantages, and the advantages of the two algorithms can make up for each other's shortcomings, so there are extended Kalman particle filter and unscented Kalman particle filter. Miao et al. successfully predicted the RUL of the battery by using the infinite Kalman particle filter (UPF) algorithm. However, the algorithm relies too much on the number of particles, the size of the dataset, and the quality of historical data. Zhang et al. used a UPF algorithm based on Markov Linked Monte Carlo to predict the remaining life of lithium-ion batteries while maintaining particle diversity. Chen et al. used a second-order Gaussian model and UPF to predict battery life.
UPF算法是在采样阶段,用UKF算法指导粒子采样。采样完成后进行PF算法步骤,计算权重,进行归一化处理。判断是否进行重采样,对粒子集合进行复制和淘汰。计算粒子集合均值,得到估计输出值。迭代结束后分析数据。其结构如图1所示。The UPF algorithm uses the UKF algorithm to guide particle sampling in the sampling stage. After the sampling is completed, the PF algorithm steps are performed, the weights are calculated, and normalization is performed. Determine whether to perform resampling, copy and eliminate the particle collection. Calculate the particle set mean to get the estimated output value. Analyze the data after the iteration. Its structure is shown in Figure 1.
由于引入了UKF算法指导采样,UPF算法容易受到高斯噪声的约束以及参考分布的影响;另外,传统的UT(Unscented Transform)变换后会对状态值进行更新,更新后的状态值的sigma分布与未更新前的sigma分布之间有一定的误差,如果使用未更新前所用的sigma分布来计算观测预测值等参数,也会对预测结果产生一定的影响。Due to the introduction of the UKF algorithm to guide the sampling, the UPF algorithm is susceptible to the constraints of Gaussian noise and the influence of the reference distribution; in addition, the traditional UT (Unscented Transform) will update the state value after transformation, and the sigma distribution of the updated state value is different from the unscented transform. There is a certain error between the sigma distributions before the update. If the sigma distribution used before the update is used to calculate the observed predicted value and other parameters, it will also have a certain impact on the prediction results.
发明内容SUMMARY OF THE INVENTION
本发明的目的在于,针对上述问题,提出一种基于DAUPF的锂离子电池寿命预测方法,首先,为了解决UPF算法容易受到噪声和参考分布影响所带来的问题,我们在DAUPF算法中加入自适应因子。考虑到传统的UPF算法是UKF与PF算法的结合,于是分别在采样阶段与预测阶段加入自适应因子,自适应因子可以调整参数分布,从而弥补两种算法的不足。其次,采样阶段需要使用UKF算法给出概率密度,UKF在采样时会进行UT变换,由于需要在第一步UT变换后加入新的自适应因子,会使得UT变换给出的sigma分布不准确。另外,传统的UT变换后会对状态值进行更新,更新后的状态值的sigma分布与未更新前的sigma分布之间有一定的误差,如果使用未更新前所提出的sigma分布来计算观测预测值等参数,会对预测结果产生一定的影响。基于以上两点原因,本发明DAUPF算法在状态值更新后再进行一次UT变换,得到新的sigma点集,进而计算观测预测值等参数。本文用马里兰大学高级生命周期工程中心的锂电池实验数据验证DAUPF算法的有效性,并和扩展卡尔曼滤波、无迹卡尔曼滤波、粒子滤波、扩展卡尔曼粒子滤波、无迹卡尔曼粒子滤波进行对比。The purpose of the present invention is to propose a DAUPF-based lithium-ion battery life prediction method for the above-mentioned problems. First, in order to solve the problem that the UPF algorithm is easily affected by noise and reference distribution, we add an adaptive method to the DAUPF algorithm. factor. Considering that the traditional UPF algorithm is a combination of the UKF and PF algorithms, an adaptive factor is added in the sampling stage and the prediction stage respectively. The adaptive factor can adjust the parameter distribution to make up for the shortcomings of the two algorithms. Secondly, the UKF algorithm needs to be used to give the probability density in the sampling stage. UKF will perform UT transformation during sampling. Since a new adaptive factor needs to be added after the first UT transformation, the sigma distribution given by the UT transformation will be inaccurate. In addition, after the traditional UT transformation, the state value will be updated. There is a certain error between the sigma distribution of the updated state value and the sigma distribution before the update. If the sigma distribution proposed before the update is used to calculate the observation prediction The parameters such as the value will have a certain impact on the prediction results. Based on the above two reasons, the DAUPF algorithm of the present invention performs a UT transformation after the state value is updated to obtain a new sigma point set, and then calculates parameters such as the observed predicted value. This paper uses the lithium battery experimental data of the University of Maryland Advanced Life Cycle Engineering Center to verify the effectiveness of the DAUPF algorithm, and conducts experiments with extended Kalman filter, unscented Kalman filter, particle filter, extended Kalman particle filter, and unscented Kalman particle filter. Compared.
本发明一种基于DAUPF的锂离子电池寿命预测方法,为了解决上述问题所采用的技术方案为:首先采样部分,在UKF算法的基础上加入双自适应因子,然后指导Sigma点集一步预测,得到状态值和协方差,再进行一次UT变换,得到新的Sigma点集,带入观测方程,得到新的观测量,从而得到第一次循环的样本均值与协方差;在改进UKF算法部分完成一次循环后更新双自适应因子中的一个自适应因子,再进行下一次改进UKF算法循环。采样完成后进入PF过程,得到一次输出预测值后,更新另一自适应因子,完成一次DAUPF过程;最后,预测测试数据。A DAUPF-based lithium-ion battery life prediction method of the present invention, in order to solve the above problem, the technical scheme adopted is: firstly sampling part, adding dual adaptive factors on the basis of UKF algorithm, and then guiding the Sigma point set to predict in one step, obtaining State value and covariance, perform another UT transformation to obtain a new Sigma point set, bring it into the observation equation, and obtain a new observation value, thereby obtaining the sample mean and covariance of the first cycle; complete it once in the improved UKF algorithm part After the cycle, update one of the dual adaptive factors, and then perform the next cycle of improving the UKF algorithm. After the sampling is completed, it enters the PF process, and after obtaining an output predicted value, another adaptive factor is updated to complete a DAUPF process; finally, the test data is predicted.
本发明一种基于DAUPF的锂离子电池寿命预测方法,具体包括如下步骤:A DAUPF-based lithium-ion battery life prediction method of the present invention specifically includes the following steps:
Step1.初始化参数;Step1. Initialize parameters;
Step2.进入改进UKF中,指导粒子分布;Step2. Enter the improved UKF to guide particle distribution;
Step3.通过UT变换第一次计算Sigma点集,得到Step3. Calculate the Sigma point set for the first time through UT transformation, and get
Step4.加入双自适应因子,得到Step4. Add dual adaptive factors to get
Step5.通过step3得到的Sigma点集,计算均值与协方差Step5. Calculate the mean and covariance through the Sigma point set obtained in step3
Step6.用step5得到的均值与协方差,再进行一次UT变换,得到新的Sigma点集Step6. Use the mean and covariance obtained in step5, and perform UT transformation again to obtain a new Sigma point set
Step7.通过step6得到的新Sigma点集预测得到观测预测值用观测预测值、状态预测值通过无迹变换计算得到新的观测预测均值均值与协方差Step7. Obtain the observed predicted value by predicting the new Sigma point set obtained in step6 Use the observed predicted value and the state predicted value to calculate the new observed predicted mean value through unscented transformation mean and covariance
Step8.计算卡尔曼增益,方差及状态更新;Step8. Calculate Kalman gain, variance and state update;
Step9.更新第一个自适应因子值;Step9. Update the first adaptive factor value;
Step10.判断是否完成采样。如果完成,则进行下一步权值归一化处理,否则进入step2;Step10. Determine whether sampling is completed. If completed, proceed to the next step of weight normalization, otherwise go to step2;
Step11.用step1-9采样部分得到的均值与方差,归一化处理计算权重,得到归一化权值;Step11. Use the mean and variance obtained from the sampling part of step1-9, normalize the calculation weight, and obtain the normalized weight;
Step12.粒子重采样;更新数据,状态更新,方差更新,均值作为最终估计。Step12. Particle resampling; update data, state update, variance update, and mean as the final estimate.
Step13.得到预测值,更新自适应因子β值;Step13. Get the predicted value and update the adaptive factor β value;
Step14.判断是否完成迭代。如果完成,则评价算法,否则进入step2;Step14. Determine whether the iteration is completed. If completed, evaluate the algorithm, otherwise go to step2;
Step15.评价算法。Step15. Evaluation algorithm.
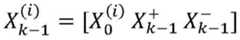
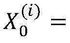
其中,所述Step1初始化的参数包括:初始化状态值其中,为观测方程初始状态值,为初始化协方差矩阵。Wherein, the parameters initialized in Step1 include: initialization state value in, is the initial state value of the observation equation, to initialize the covariance matrix.
其中,所述Step2为开始采样阶段,整个采样阶段循环N次,采样阶段为:Step2-Step9。Wherein, the Step2 is a start sampling stage, the whole sampling stage is cycled N times, and the sampling stages are: Step2-Step9.
其中,所述Step3具体为:计算2n+1个采样点的Sigma点集其中,点集由点Xk-1与组成,其中,为缩放比例函数。The
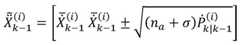
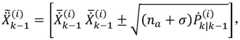
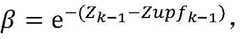
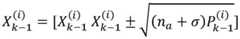
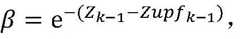
其中,所述Step4具体为:加入两个自适应因子,两个自适应因子初始值为1。第一个自适应因子为其中,Zk-1为前一个采样点的观测值,为前一次循环中Step7得到的观测预测均值。第二个自适应因子为其中,Zk-1为系统真实值,Zupfk-1为Step13步DAUPF算法完成前一周期循环后得到的预测值。Wherein, the Step4 is specifically: Two adaptive factors are added, and the initial value of the two adaptive factors is 1. The first adaptive factor is Among them, Zk-1 is the observation value of the previous sampling point, is the predicted mean of the observations obtained in Step7 in the previous cycle. The second adaptive factor is Among them, Zk-1 is the real value of the system, and Zupfk-1 is the predicted value obtained after the DAUPF algorithm in Step 13 completes the previous cycle.
其中,所述Step5为采样点的一步预测,均值为由计算得到,其中,由Step3中得到的Sigma点集代入非线性变换函数得到。协方差其中其中λ=α2(n+κ)-n;α=1;ρ=0;κ=2。Among them, the Step5 is the one-step prediction of the sampling point, and the mean is Depend on Calculated, where, It is obtained by substituting the Sigma point set obtained in
其中,所述Step6为第二次UT变换,产生新的Sigma点集,Among them, the Step6 is the second UT transformation to generate a new Sigma point set,
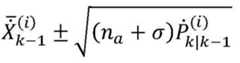
其中,点集由点与组成,其中,点为Step5中得到的均值。 Among them, the point set by point and composed of, where, points is the mean value obtained in
其中,所述Step7观测预测值由Step6中得到的新Sigma点集代入状态方程函数得到。新的观测预测均值由观测预测值加权得到。新的均值由新的观测预测均值与观测预测值加权得到。新的协方差由Step6中得到的新的Sigma点集Stap5中得到的均值新的观测预测均值与观测预测值加权得到。Among them, the Step7 observes the predicted value The new Sigma point set obtained in Step6 Substitute into the state equation function to get. new observed predicted mean Predicted values from observations weighted. new mean It is obtained by weighting the new observed predicted mean and the observed predicted value. new covariance The new Sigma point set obtained in Step6 Mean obtained in Stap5 The new observed predicted mean is weighted with the observed predicted value.
其中,所述Step8计算卡尔曼增益Kk,为Step7中新的均值与新的协方差逆矩阵的乘积。更新的系统协方差由卡尔曼增益Kk与新的均值计算得到。更新的状态由step6中新的Sigma点集卡尔曼增益Kk、当前采样点的观测值Zk与新的观测预测均值的差计算得到。Wherein, the Step8 calculates the Kalman gain Kk , is the new mean in Step7 with the new covariance Product of inverse matrices. updated system covariance GainK with the new mean by Kalman Calculated. updated status From the new Sigma point set in step6 The Kalman gain Kk , the observed value Zk of the current sampling point, and the new observation prediction mean difference is calculated.
其中,所述Step9更新第一个自适应因子,具体步骤同Step4。The Step 9 updates the first adaptive factor, and the specific steps are the same as the
其中,所述Step13得到预测值,预测值Zupfk为归一化后权值代入状态方程函数得到,更新第二个自适应因子。The step 13 obtains the predicted value, and the predicted value Zupfk is obtained by substituting the normalized weight into the state equation function, and the second adaptive factor is updated.
其中,所述Step14为判断步骤,判断算法是否完成。The Step 14 is a judging step, judging whether the algorithm is completed.
本发明一种基于DAUPF的锂离子电池寿命预测方法,其优点及功效在于:改善了UPF算法的采样部分,双自适应因子的加入令算法有更强的鲁棒性,两步UT变换使得自适应因子能更好的融入算法中,使算法预测效果更准确。A DAUPF-based lithium-ion battery life prediction method of the present invention has the advantages and effects that the sampling part of the UPF algorithm is improved, the addition of dual adaptive factors makes the algorithm more robust, and the two-step UT transformation makes the automatic The adaptation factor can be better integrated into the algorithm, so that the prediction effect of the algorithm is more accurate.
附图说明Description of drawings
图1所示为UPF算法流程图。Figure 1 shows the flow chart of the UPF algorithm.
图2所示为本发明方法流程图。Figure 2 shows a flow chart of the method of the present invention.
图3所示为马里兰大学4组锂离子电池数据A3、A5、A8、A12的容量变化曲线图。Figure 3 shows the capacity change curve diagram of four groups of lithium-ion battery data A3, A5, A8, and A12 of the University of Maryland.
图4a所示为A3电池数据真实值与四种算法结果对比图。Figure 4a shows the comparison between the real value of the A3 battery data and the results of the four algorithms.
图4b所示为A3电池数据真实值与四种算法的绝对误差图。Figure 4b shows the absolute error plot of the real value of the A3 battery data and the four algorithms.
图5a~图5d所示为A3电池数据真实值与四种算法的误差概率密度图。Figures 5a to 5d show the true value of the A3 battery data and the error probability density diagrams of the four algorithms.
图6a所示为A3电池数据101次循环的AME图。Figure 6a shows the AME plot for 101 cycles of A3 battery data.
图6b所示为A3电池数据101次循环的RMSE图。Figure 6b shows the RMSE plot of the A3 battery data for 101 cycles.
图6c所示为A8电池数据101次循环的AME图。Figure 6c shows the AME plot for 101 cycles of A8 battery data.
图6d所示为A8电池数据101次循环的RMSE图。Figure 6d shows the RMSE plot for 101 cycles of the A8 battery data.
图7a所示为不同电池数据下各算法的AME值。Figure 7a shows the AME values of each algorithm under different battery data.
图7b所示为不同电池数据下各算法的RMSE值。Figure 7b shows the RMSE values of each algorithm under different battery data.
具体实施方式Detailed ways
下面结合附图和实施例,对本发明的技术方案做进一步的说明。The technical solutions of the present invention will be further described below with reference to the accompanying drawings and embodiments.
如图2所示,本发明一种基于DAUPF的锂离子电池寿命预测方法,具体过程如下:As shown in Figure 2, a DAUPF-based lithium-ion battery life prediction method of the present invention, the specific process is as follows:
步骤一、初始化参数,包括:初始化状态值其中,为观测方程初始状态值,为初始化协方差矩阵。Step 1. Initialize parameters, including: initialization state value in, is the initial state value of the observation equation, to initialize the covariance matrix.
步骤二、进入改进UKF中,指导粒子分布。本步骤为开始采样阶段,整个采样阶段循环N次,整个采样阶段为:从步骤二至步骤九。Step 2: Enter the improved UKF to guide particle distribution. This step is the beginning of the sampling phase, the entire sampling phase is cycled N times, and the entire sampling phase is: from
步骤三、通过UT变换第一次计算Sigma点集,得到具体为:计算2n+1个采样点的Sigma点集其中,点集由点Xk-1与组成,其中,为缩放比例函数。
步骤四、加入双自适应因子,得到具体为:加入两个自适应因子,两个自适应因子初始值为1。第一个自适应因子为其中,Zk-1为前一个采样点的观测值,为前一次循环中的步骤七得到的观测预测均值。第二个自适应因子为其中,Zk-1为系统真实值,Zupfk-1为步骤十三DAUPF算法完成前一周期循环后得到的预测值。
步骤五、计算均值与协方差步骤五为采样点的一步预测,均值为由计算得到,其中,由步骤三中得到的Sigma点集代入非线性变换函数得到;协方差其中其中λ=α2(n+κ)-n;α=1;ρ=0;κ=2;
步骤六、再进行一次UT变换,得到新的Sigma点集。通过第二次UT变换,产生新的Sigma点集其中,点集由点与组成,其中,点为步骤五中得到的均值。Step 6: Perform UT transformation again to obtain a new Sigma point set. Through the second UT transformation, a new Sigma point set is generated Among them, the point set by point and composed of, where, points is the mean value obtained in
步骤七、预测得到观测预测值;用观测预测值、状态预测值通过无迹变换计算得到新的观测预测均值、均值与协方差;具体如下:Step 7: Predict to obtain the observed predicted value; use the observed predicted value and the state predicted value to calculate the new observed predicted mean value, mean value and covariance through unscented transformation; the details are as follows:
观测预测值observed predicted value
新的观测预测均值new observed predicted mean
新的均值由新的观测预测均值与观测预测值加权得到,即The new mean is obtained by weighting the new observed predicted mean and the observed predicted value, namely
新的协方差由步骤六中得到的新的Sigma点集步骤五中得到的均值新的观测预测均值与观测预测值加权得到,即The new covariance is the new set of Sigma points obtained in step six The mean value obtained in
步骤八:计算卡尔曼增益,方差及状态更新。Step 8: Calculate the Kalman gain, variance and state update.
卡尔曼增益Kalman Gain
更新的系统协方差由卡尔曼增益Kk与新的均值计算得到,即The updated system covariance is given by the Kalman gainK with the new mean calculated, that is
更新的状态由步骤六中新的Sigma点集卡尔曼增益Kk、当前采样点的观测值与新的观测预测均值的差计算得到,即The updated state is determined by the new set of Sigma points in step six Kalman gain Kk , the observed value of the current sampling point and the new observed predicted mean The difference of , is calculated, that is
步骤九、更新第一个自适应因子值。其中,Zk-1为前一个采样点的观测值,为前一次循环中的步骤七得到的观测预测均值。Step 9. Update the first adaptive factor value. Among them, Zk-1 is the observation value of the previous sampling point, Predicted mean for the observations from step seven in the previous cycle.
步骤十、判断是否完成采样。如果完成,则进行下一步权值归一化处理,否则返回步骤二;
步骤十一、用步骤一到步骤九完成的采样部分得到的均值与方差,归一化处理计算权重,得到归一化权值;Step 11: Use the mean value and variance obtained from the sampling part completed in Step 1 to Step 9, normalize the calculation weight, and obtain the normalized weight value;
步骤十二、粒子重采样。更新数据,状态更新,方差更新,均值作为最终估计;
步骤十三、得到预测值,更新自适应因子β值。预测值为归一化后权值代入状态方程函数得到,更新第二个自适应因子其中,Zk为系统真实值,Zupfk为步骤十三DAUPF算法完成一周期循环后得到的预测值。Step 13: Obtain the predicted value and update the adaptive factor β value. Predictive value In order to get the normalized weights into the state equation function, update the second adaptive factor Among them, Zk is the real value of the system, and Zupfk is the predicted value obtained after the DAUPF algorithm completes one cycle in step 13.
步骤十四、判断是否完成迭代。如果完成,则评价算法,否则返回步骤二;其中步骤二到步骤十三为DAUPF算法的一周期循环,DAUPF算法循环几次由需求设定。Step 14: Determine whether the iteration is completed. If completed, evaluate the algorithm, otherwise return to step 2; where
步骤十五、评价算法。Step 15: Evaluate the algorithm.
具体实施例:Specific examples:
本实验使用matlab进行仿真,基于马里兰大学高级生命周期工程中心的锂电池实验数据,实验选择No.03,05,08以及12作为实验数据,4组锂离子电池实验数据如图3所示,该实验使用具有不同容量降解速率的同类型同品牌电池,在相同工况下进行。锂电池的充放电测试方法为:在室温下运用ArbinBT2000电池测试系统进行充放电试验,当充电或放电电压达到制造商指定的截止电压时完成一次充电或放电过程。电池额定容量为0.9Ah,放电电流为0.4Ah。This experiment uses matlab for simulation. Based on the lithium battery experimental data of the Advanced Life Cycle Engineering Center of the University of Maryland, No.03, 05, 08 and 12 are selected as the experimental data. The experimental data of 4 groups of lithium-ion batteries are shown in Figure 3. The experiments were carried out under the same working conditions using the same type of batteries of the same brand with different capacity degradation rates. The charging and discharging test method of lithium battery is as follows: use the ArbinBT2000 battery test system to conduct the charging and discharging test at room temperature, and complete a charging or discharging process when the charging or discharging voltage reaches the cut-off voltage specified by the manufacturer. The rated capacity of the battery is 0.9Ah, and the discharge current is 0.4Ah.
下方初始值a、b、c、d为No.03,05,08,12拟合后得到的值。过程噪声与过程噪声方差分别设定为0.0001和0.001。本实验观测模型使用容量衰减模型Zk=a*exp(b*k)+c*exp(d*k)。The initial values a, b, c, and d below are the values obtained after fitting No. 03, 05, 08, and 12. Process noise and process noise variance were set to 0.0001 and 0.001, respectively. This experimental observation model uses the capacity decay model Zk =a*exp(b*k)+c*exp(d*k).
1.将初始值a=-0.0000083499;b=0.055237;c=0.90097;d=-0.00088543代入得到设Z0=0.9208。1. Substitute the initial value a=-0.0000083499; b=0.055237; c=0.90097; d=-0.00088543 get Let Z0 =0.9208.
2.采样阶段循环N次2. The sampling phase is cycled N times
3.3.
4.4.
5.进行第二次UT变换,5. Perform the second UT transformation,
Wj(m)=[0.3333 0.0833 0.0833 0.0833 0.0833 0.0833 0.0833 0.08330.0833]Wj(m) = [0.3333 0.0833 0.0833 0.0833 0.0833 0.0833 0.0833 0.08330.0833]
Wj(c)=[0.3333 0.0833 0.0833 0.0833 0.0833 0.0833 0.0833 0.08330.0833]Wj(c) = [0.3333 0.0833 0.0833 0.0833 0.0833 0.0833 0.0833 0.08330.0833]
6.6.
7.7.
R=0.0001R=0.0001
8.8.
9.更新自适应因子①9. Update the adaptive factor①
10.完成1次采样,后续采样重复步骤2-10。上述仅为一次循环的数据。10. Complete 1 sampling, and repeat steps 2-10 for subsequent sampling. The above data is only for one cycle.
11.采样部分得到的均值与方差,归一化处理计算权重,得到归一化权值。11. The mean and variance obtained in the sampling part are normalized to calculate the weight, and the normalized weight is obtained.
12.12.
更新自适应因子②Update
13.以上数值为进行一次DAUPF循环得到的预测数据Zupf,欲预测更多数据需继续进行运行程序。13. The above values are the predicted data Zupf obtained by performing one DAUPF cycle. If you want to predict more data, you need to continue to run the program.
以下通过用马里兰大学高级生命周期工程中心的锂电池实验数据验证DAUPF算法的有效性,并和扩展卡尔曼滤波、无迹卡尔曼滤波、粒子滤波、扩展卡尔曼粒子滤波、无迹卡尔曼粒子滤波进行对比。The validity of the DAUPF algorithm is verified by using the lithium battery experimental data of the Advanced Life Cycle Engineering Center of the University of Maryland. comparing.
本实验为了说明DAUPF预测效果的准确性,分别和UKF、PF、UPF进行了对比,四种算法的初始参数以及误差值与本发明DAUPF的初始参数值以及误差值保持一致。In order to illustrate the accuracy of the prediction effect of DAUPF, this experiment was compared with UKF, PF and UPF respectively. The initial parameters and error values of the four algorithms were consistent with the initial parameter values and error values of DAUPF of the present invention.
图4、图5对应电池数据A3,图4a,4b分别给出了其预测结果、绝对误差,图5a~图5d为误差概率密度图。Figures 4 and 5 correspond to the battery data A3. Figures 4a and 4b show the prediction results and absolute errors, respectively. Figures 5a to 5d are error probability density diagrams.
在图中,黑色曲线代表输出真实值;圆圈代表PF的预测结果;方格为UKF算法预测结果;菱形为UPF算法结果;交叉符号为DAUPF预测结果;横线是电池容量失效阈值。从图4a中可以看出,随着滤波方法的不断改进,预测效果有了显著的提升,其中DAUPF算法所表示的线更靠近真实值所代表的线。从绝对误差图4b中可以看出DAUPF的绝对误差是最小的,PF效果最差,并且越到失效点预测效果越差。从图5a~图5d中可以看出本发明DAUPF算法最为稳定,鲁棒性最强。In the figure, the black curve represents the actual output value; the circle represents the prediction result of PF; the square is the prediction result of the UKF algorithm; the diamond is the result of the UPF algorithm; the cross symbol is the prediction result of DAUPF; the horizontal line is the battery capacity failure threshold. As can be seen from Figure 4a, with the continuous improvement of the filtering method, the prediction effect has been significantly improved, in which the line represented by the DAUPF algorithm is closer to the line represented by the true value. From the absolute error in Figure 4b, it can be seen that the absolute error of DAUPF is the smallest, the PF effect is the worst, and the prediction effect is worse as it reaches the failure point. It can be seen from Fig. 5a to Fig. 5d that the DAUPF algorithm of the present invention is the most stable and has the strongest robustness.
本实验完整地进行了101次循环,将每次循环后的得到的MAE与RMSE记录,绘成折线图如图6a~6d所示。RMSE值与MAE值越接近于0,意味着预测方法越准确。从图中可以看出,不同的数据集A3、A8,不同的数据量,不同的过程噪声与观测噪声下,DAUPF算法预测值的MAE值与RMSE值相比于其他算法最小,比相对预测效果最好的UPF误差要小一倍,并且算法的稳定性也强于其他算法(从横轴上看,可以看出DAUPF算法可以减少各种大小的观测噪声以及过程噪声的影响)。因此,本发明DAUPF算法相比较与其他几种算法预测性能更好。This experiment carried out 101 cycles completely. The MAE and RMSE obtained after each cycle were recorded and drawn as a line graph as shown in Figures 6a-6d. The closer the RMSE value and MAE value are to 0, the more accurate the prediction method is. It can be seen from the figure that under different data sets A3, A8, different data amounts, different process noise and observation noise, the MAE value and RMSE value of the predicted value of the DAUPF algorithm are the smallest compared with other algorithms, and the relative prediction effect is better than that of other algorithms. The best UPF error is twice as small, and the stability of the algorithm is also stronger than other algorithms (from the horizontal axis, it can be seen that the DAUPF algorithm can reduce the influence of observation noise of various sizes and process noise). Therefore, the DAUPF algorithm of the present invention has better prediction performance compared with other algorithms.
从图7a、7b中可以看出,PF算法对于A3数据组预测效果不是很理想,即粒子滤波对数据点比较少的数据集的预测效果不好。UKF算法对于数据波动较大的数据有较好的预测效果。UPF算法对于不同数据集有很好的预测效果,但从数据上也能看出,数据点比较少的数据集对UPF算法的预测精度有一定的影响。本发明DAUPF算法在不同的数据集下的预测效果都优于其他算法,误差最小,并且最为稳定,鲁棒性更强。It can be seen from Figures 7a and 7b that the prediction effect of the PF algorithm for the A3 data set is not very satisfactory, that is, the particle filter has a poor prediction effect on the data set with few data points. The UKF algorithm has a better prediction effect for data with large data fluctuations. The UPF algorithm has a good prediction effect on different data sets, but it can also be seen from the data that the data set with fewer data points has a certain impact on the prediction accuracy of the UPF algorithm. The prediction effect of the DAUPF algorithm of the present invention is better than other algorithms under different data sets, with the smallest error, the most stable and stronger robustness.
| Application Number | Priority Date | Filing Date | Title |
|---|---|---|---|
| CN201910241178.8ACN109917292B (en) | 2019-03-28 | 2019-03-28 | A DAUPF-based Li-ion Battery Life Prediction Method |
| Application Number | Priority Date | Filing Date | Title |
|---|---|---|---|
| CN201910241178.8ACN109917292B (en) | 2019-03-28 | 2019-03-28 | A DAUPF-based Li-ion Battery Life Prediction Method |
| Publication Number | Publication Date |
|---|---|
| CN109917292A CN109917292A (en) | 2019-06-21 |
| CN109917292Btrue CN109917292B (en) | 2020-12-15 |
| Application Number | Title | Priority Date | Filing Date |
|---|---|---|---|
| CN201910241178.8AExpired - Fee RelatedCN109917292B (en) | 2019-03-28 | 2019-03-28 | A DAUPF-based Li-ion Battery Life Prediction Method |
| Country | Link |
|---|---|
| CN (1) | CN109917292B (en) |
| Publication number | Priority date | Publication date | Assignee | Title |
|---|---|---|---|---|
| WO2021004599A1 (en)* | 2019-07-05 | 2021-01-14 | Volvo Truck Corporation | A method for estimating an operating parameter of a battery unit |
| CN110492866B (en)* | 2019-07-22 | 2022-12-09 | 航天东方红卫星有限公司 | A Kalman Filter Method for Moving Targets |
| CN110442941B (en)* | 2019-07-25 | 2022-04-29 | 桂林电子科技大学 | Battery state and RUL prediction method based on particle filter and process noise fusion |
| CN111680848A (en)* | 2020-07-27 | 2020-09-18 | 中南大学 | Battery life prediction method and storage medium based on prediction model fusion |
| CN112285568B (en)* | 2020-10-21 | 2023-11-14 | 合肥工业大学 | A method for estimating the remaining discharge time based on the energy state of power lithium batteries |
| CN112560916B (en)* | 2020-12-09 | 2022-11-01 | 甘肃靖远航天风力发电有限公司 | Wind power tower barrel overturning intelligent diagnosis method based on tilt angle sensor information |
| CN112763929B (en)* | 2020-12-31 | 2024-03-08 | 华东理工大学 | Method and device for predicting health of battery monomer of energy storage power station system |
| CN115355910A (en)* | 2021-10-14 | 2022-11-18 | 北京航空航天大学 | UKF (unscented Kalman Filter) filtering algorithm based on second-level Sigma point |
| CN114791993B (en)* | 2022-05-16 | 2022-11-11 | 江苏大学 | A kind of power battery pack SOH prediction method and system |
| Publication number | Priority date | Publication date | Assignee | Title |
|---|---|---|---|---|
| US6064857A (en)* | 1997-04-15 | 2000-05-16 | Globalstar L.P. | Dual mode satellite telephone with hybrid battery/capacitor power supply |
| US6310789B1 (en)* | 1999-06-25 | 2001-10-30 | The Procter & Gamble Company | Dynamically-controlled, intrinsically regulated charge pump power converter |
| US7612532B2 (en)* | 2005-06-21 | 2009-11-03 | Gm Global Technology Operations, Inc. | Method for controlling and monitoring using a state estimator having variable forgetting factors |
| JP2009207332A (en)* | 2008-02-29 | 2009-09-10 | Techno Core International Kk | Charger apparatus for pack battery, and quality decision apparatus for pack battery |
| US8190384B2 (en)* | 2011-10-27 | 2012-05-29 | Sakti3, Inc. | Method and system for operating a battery in a selected application |
| KR20150047873A (en)* | 2013-10-25 | 2015-05-06 | 주식회사 엘지화학 | Non-aqueous electrolyte solution for lithium secondary battery and lithium secondary battery comprising the same |
| CN103675706B (en)* | 2013-12-13 | 2016-04-13 | 桂林电子科技大学 | A kind of power battery electric charge quantity estimation method |
| CN104267261B (en)* | 2014-10-29 | 2017-02-15 | 哈尔滨工业大学 | On-line secondary battery simplified impedance spectroscopy model parameter estimating method based on fractional order united Kalman filtering |
| CN104502851A (en)* | 2014-12-12 | 2015-04-08 | 广西科技大学 | SOC (Stress Optical Coefficient) estimation method based on AUKF (Adaptive Unscented Kalman Filter) algorithm |
| CN105277896B (en)* | 2015-10-26 | 2018-01-26 | 安徽理工大学 | Lithium battery remaining life prediction method based on ELM‑MUKF |
| CN105629175A (en)* | 2015-12-29 | 2016-06-01 | 北京航天测控技术有限公司 | Lithium ion battery life prediction method based on unscented Kalman filtering (UKF) |
| US10686321B2 (en)* | 2016-01-29 | 2020-06-16 | Robert Bosch Gmbh | Secondary battery management |
| CN105974329A (en)* | 2016-07-22 | 2016-09-28 | 深圳市沃特玛电池有限公司 | Method for estimating SOH of battery pack |
| CN107664751A (en)* | 2016-07-28 | 2018-02-06 | 中兴通讯股份有限公司 | The measuring method and measuring and calculating device of a kind of real-time state-of-charge of battery |
| US10099679B2 (en)* | 2016-10-20 | 2018-10-16 | Fca Us Llc | Battery state and parameter estimation using a mixed sigma-point kalman filtering and recursive least squares technique |
| CN108693472B (en)* | 2017-04-12 | 2020-11-10 | 上海蓝诺新能源技术有限公司 | Battery equivalent model parameter online identification method |
| CN107153163A (en)* | 2017-06-20 | 2017-09-12 | 福建工程学院 | A kind of lithium battery SOC estimation method based on adaptive UKF |
| CN107387064A (en)* | 2017-07-27 | 2017-11-24 | 河南科技学院 | A kind of new explosive-removal robot tunnel enters localization method |
| CN108875126A (en)* | 2018-04-27 | 2018-11-23 | 中国航空无线电电子研究所 | Electrolytic capacitor method for predicting residual useful life |
| CN108872870A (en)* | 2018-06-21 | 2018-11-23 | 浙江工业大学 | A kind of lithium battery SOC estimation method based on particle group optimizing expanded Kalman filtration algorithm |
| CN108594135A (en)* | 2018-06-28 | 2018-09-28 | 南京理工大学 | A kind of SOC estimation method for the control of lithium battery balance charge/discharge |
| CN109444757A (en)* | 2018-10-09 | 2019-03-08 | 杭州中恒云能源互联网技术有限公司 | A kind of residual capacity of power battery of electric automobile evaluation method |
| Publication number | Publication date |
|---|---|
| CN109917292A (en) | 2019-06-21 |
| Publication | Publication Date | Title |
|---|---|---|
| CN109917292B (en) | A DAUPF-based Li-ion Battery Life Prediction Method | |
| Dai et al. | A novel estimation method for the state of health of lithium-ion battery using prior knowledge-based neural network and Markov chain | |
| Yuchen et al. | Satellite lithium-ion battery remaining useful life estimation with an iterative updated RVM fused with the KF algorithm | |
| Shen et al. | Accurate state of charge estimation with model mismatch for li-ion batteries: A joint moving horizon estimation approach | |
| CN113109717B (en) | Lithium battery state of charge estimation method based on characteristic curve optimization | |
| Dong et al. | A method for state of energy estimation of lithium-ion batteries based on neural network model | |
| Wang et al. | On-line battery state-of-charge estimation based on an integrated estimator | |
| Saha et al. | Comparison of prognostic algorithms for estimating remaining useful life of batteries | |
| Dong et al. | Remaining dischargeable time prediction for lithium-ion batteries using unscented Kalman filter | |
| CN113219343A (en) | Lithium battery health state prediction method, system, equipment and medium based on elastic network | |
| CN111581904A (en) | Lithium battery SOC and SOH collaborative estimation method considering influence of cycle number | |
| JP2021520178A (en) | Battery status estimation method | |
| CN107132490B (en) | A method for realizing state of charge estimation of lithium battery pack | |
| CN110457789A (en) | A Lithium-ion Battery Remaining Life Prediction Method Based on Fusion of Improved Particle Filter and Double Exponential Decay Empirical Physical Model | |
| CN110442941A (en) | It is a kind of to be tracked and RUL prediction technique based on the battery status for improving particle filter and process noise features fusion algorithm | |
| Vedhanayaki et al. | Certain investigation and implementation of Coulomb counting based unscented Kalman filter for state of charge estimation of lithium-ion batteries used in electric vehicle application | |
| Shi et al. | The optimization of state of charge and state of health estimation for lithium‐ions battery using combined deep learning and Kalman filter methods | |
| CN112816874A (en) | RVM and PF algorithm fusion-based battery remaining service life prediction method | |
| CN109839596B (en) | SOC estimation method based on adaptive extended Kalman filter based on UD decomposition | |
| Duan et al. | Online parameter identification and state of charge estimation of battery based on multitimescale adaptive double Kalman filter algorithm | |
| Gu et al. | The modified multi-innovation adaptive EKF algorithm for identifying battery SOC | |
| Ozcan et al. | Online battery state-of-charge estimation based on sparse gaussian process regression | |
| CN117538764B (en) | A method and system for estimating state of charge of a power lithium battery | |
| Song et al. | Lithium-ion battery pack on-line degradation state prognosis based on the empirical model | |
| Chen et al. | State of charge estimation for lithium-ion batteries using an adaptive cubature Kalman filter based on improved generalized minimum error entropy criterion |
| Date | Code | Title | Description |
|---|---|---|---|
| PB01 | Publication | ||
| PB01 | Publication | ||
| SE01 | Entry into force of request for substantive examination | ||
| SE01 | Entry into force of request for substantive examination | ||
| GR01 | Patent grant | ||
| GR01 | Patent grant | ||
| TR01 | Transfer of patent right | ||
| TR01 | Transfer of patent right | Effective date of registration:20211210 Address after:532605 Building D, yizilian mahogany processing zone, No. 8, Youyiguan Industrial Park, Xiashi Town, Pingxiang City, Chongzuo City, Guangxi Zhuang Autonomous Region Patentee after:Guangxi Jubang Energy Co.,Ltd. Address before:100089 Beijing Haidian District 2 Huayuan Road peony Venture Building 4 floor 1424 room Patentee before:Beijing Zhonglian Technology Service Co.,Ltd. Effective date of registration:20211210 Address after:100089 Beijing Haidian District 2 Huayuan Road peony Venture Building 4 floor 1424 room Patentee after:Beijing Zhonglian Technology Service Co.,Ltd. Address before:No.56, Xisanhuan North Road, Haidian District, Beijing 100048 Patentee before:Capital Normal University | |
| CF01 | Termination of patent right due to non-payment of annual fee | ||
| CF01 | Termination of patent right due to non-payment of annual fee | Granted publication date:20201215 |