
























技术领域technical field
本发明涉及显示技术领域,更具体地说,涉及一种像素结构、显示器件、投影显示系统和显示装置。The present invention relates to the field of display technology, and more particularly, to a pixel structure, a display device, a projection display system and a display device.
背景技术Background technique
人类对外部世界获取信息的80%来自视觉,因此,显示装置是现代人们获取信息的重要途径,显示技术是信息领域的重要发展方向。随着人们对信息的获取有更多更高的要求,对显示器的性能就有了更多的期待,显示技术及器件的研究也就越来越重要。80% of the information that humans obtain from the external world comes from vision. Therefore, display devices are an important way for modern people to obtain information, and display technology is an important development direction in the field of information. As people have more and higher requirements for the acquisition of information, there are more expectations for the performance of the display, and the research on display technology and devices is becoming more and more important.
现有的显示器件中,如图1所示,图1为现有的一种数字光处理显示器件中的数字微镜元件的结构示意图,其底部有两个电极,即电极1与电极2。并且,在反射镜面3上相应位置处同样具有电极。反射镜面3的中心通过一个“轴”与底部相连。该元件通过控制电极1和电极2的极性,与反射镜面3上的电极产生引力或斥力,来控制反射镜面3的倾斜方向(±12°)。In an existing display device, as shown in FIG. 1 , FIG. 1 is a schematic structural diagram of a digital micromirror element in an existing digital light processing display device, and there are two electrodes at the bottom, namely
当加在电极1和电极2上的某种极性使得电极1和电极2与反射镜面3上电极之间产生的静电力使得反射镜面3倾斜+12°时,从光源发出的光会被反射镜面3反射进入投影镜头实现亮态,改变电极1和电极2的极性,使得反射镜面3倾斜-12°时,从光源发出的光经反射镜面3反射后未进入投影镜头,被光吸收器吸收,实现了暗态。其中,通过调整反射镜面3停留在两个角度的时间比,就能产生不同的亮暗程度。When a certain polarity is applied to the
但是,该数字光处理显示器件的结构复杂,并且,在驱动反射镜面3倾斜±12°时,所需的驱动电压较高,导致数字光处理显示器件的功耗较高,不利于节能。However, the structure of the digital light processing display device is complex, and when driving the
发明内容SUMMARY OF THE INVENTION
有鉴于此,本发明提供了一种像素结构、显示器件、投影显示系统和显示装置,以简化结构、提高器件的集成度,并降低器件的功耗。In view of this, the present invention provides a pixel structure, a display device, a projection display system and a display device, so as to simplify the structure, improve the integration degree of the device, and reduce the power consumption of the device.
为实现上述目的,本发明提供如下技术方案:To achieve the above object, the present invention provides the following technical solutions:
一种像素结构,包括第一基板、第二基板和移动装置;A pixel structure includes a first substrate, a second substrate and a mobile device;
所述第一基板朝向所述第二基板的一侧具有第一反射膜,所述第二基板朝向所述第一基板的一侧具有第二反射膜,以使所述第一反射膜和所述第二反射膜构成法布里-珀罗腔,并利用所述法布里-珀罗腔的反射光或透射光进行显示;The side of the first substrate facing the second substrate has a first reflective film, and the side of the second substrate facing the first substrate has a second reflective film, so that the first reflective film and the The second reflective film constitutes a Fabry-Perot cavity, and the reflected light or transmitted light of the Fabry-Perot cavity is used for display;
所述移动装置用于带动所述第二基板和所述第二基板上的第二反射膜移动,或者,带动所述第二反射膜移动,以调整所述法布里-珀罗腔的厚度;The moving device is used to drive the second substrate and the second reflective film on the second substrate to move, or drive the second reflective film to move, so as to adjust the thickness of the Fabry-Perot cavity ;
所述移动装置朝向所述第一基板的一侧具有第一电极,所述移动装置朝向所述第二基板的一侧具有第二电极,以通过所述第一电极和所述第二电极之间的静电力以及所述移动装置的弹性力控制所述法布里-珀罗腔的厚度调整量,通过控制所述法布里-珀罗腔的厚度调整量控制所述法布里-珀罗腔的反射光或透射光的干涉光强,控制所述像素结构的显示亮度;或者,通过所述第一电极和所述第二电极之间的静电力以及所述移动装置的弹性力控制所述法布里-珀罗腔在第一厚度和第二厚度的时间比来控制所述像素结构的显示亮度,其中,当所述法布里-珀罗腔的厚度为第一厚度时,所述像素结构处于亮态,当所述法布里-珀罗腔的厚度为第二厚度时,所述像素结构处于暗态。The side of the moving device facing the first substrate has a first electrode, and the side of the moving device facing the second substrate has a second electrode, so as to pass through the gap between the first electrode and the second electrode. The electrostatic force between the two and the elastic force of the moving device controls the thickness adjustment of the Fabry-Perot cavity, and the Fabry-Perot cavity is controlled by controlling the thickness adjustment of the Fabry-Perot cavity. The display brightness of the pixel structure is controlled by the interference light intensity of the reflected light or the transmitted light of the cavity; or, controlled by the electrostatic force between the first electrode and the second electrode and the elastic force of the mobile device The display brightness of the pixel structure is controlled by the time ratio between the first thickness and the second thickness of the Fabry-Perot cavity, wherein, when the thickness of the Fabry-Perot cavity is the first thickness, The pixel structure is in a bright state, and when the thickness of the Fabry-Perot cavity is the second thickness, the pixel structure is in a dark state.
可选地,所述移动装置包括弹簧;Optionally, the moving device includes a spring;
所述弹簧位于所述第一反射膜和所述第二反射膜之间,所述第一电极位于所述弹簧朝向所述第一反射膜的一侧,所述第二电极位于所述弹簧朝向所述第二反射膜的一侧,以通过所述第一电极和所述第二电极之间的静电力以及所述弹簧的弹性力控制所述第二基板和所述第二基板上的第二反射膜的移动距离。The spring is located between the first reflective film and the second reflective film, the first electrode is located on the side of the spring facing the first reflective film, and the second electrode is located on the side facing the spring One side of the second reflective film to control the second substrate and the second substrate on the second substrate by the electrostatic force between the first electrode and the second electrode and the elastic force of the spring The moving distance of the second reflective film.
可选地,所述移动装置包括弹簧;Optionally, the moving device includes a spring;
所述弹簧位于所述第二反射膜和所述第二基板之间,且所述第二反射膜和所述弹簧之间还具有可动基板;The spring is located between the second reflective film and the second substrate, and a movable substrate is further provided between the second reflective film and the spring;
所述第一电极位于所述弹簧朝向所述可动基板的一侧,所述第二电极位于所述弹簧朝向所述第二基板的一侧,以通过所述第一电极和所述第二电极之间的静电力以及所述弹簧的弹性力控制所述第二反射膜的移动距离。The first electrode is located on the side of the spring facing the movable substrate, and the second electrode is located on the side of the spring facing the second substrate, so as to pass the first electrode and the second electrode The electrostatic force between the electrodes and the elastic force of the spring control the moving distance of the second reflective film.
可选地,所述移动装置包括移动板和锚定装置,所述锚定装置包括固定板和位于所述固定板内侧的卡合部,所述固定板位于所述第二基板上且位于所述移动板的四周,所述卡合部用于固定所述移动板的位置;Optionally, the moving device includes a moving plate and an anchoring device, the anchoring device includes a fixing plate and an engaging portion located inside the fixing plate, the fixing plate is located on the second base plate and is located at the Around the moving plate, the engaging portion is used to fix the position of the moving plate;
所述第二反射膜位于所述移动板朝向所述第一基板的一侧表面,所述第一电极位于所述移动板朝向所述第二基板的一侧表面,所述第二电极位于所述第二基板朝向所述第一基板的一侧表面,以通过所述第一电极和第二电极之间静电力以及所述锚定装置的弹性力控制所述移动板的移动距离。The second reflective film is located on the side surface of the moving plate facing the first substrate, the first electrode is located on the side surface of the moving plate facing the second substrate, and the second electrode is located on the side surface of the moving plate facing the second substrate. A side surface of the second substrate facing the first substrate is used to control the moving distance of the moving plate by the electrostatic force between the first electrode and the second electrode and the elastic force of the anchoring device.
一种显示器件,包括多个像素结构,所述像素结构为如上任一项所述的像素结构。A display device includes a plurality of pixel structures, wherein the pixel structures are the pixel structures described in any one of the above.
可选地,任意两个所述像素结构的法布里-珀罗腔的初始厚度以及最大厚度调整量相同。Optionally, the initial thickness and the maximum thickness adjustment amount of the Fabry-Perot cavities of any two pixel structures are the same.
可选地,所述显示器件包括多个像素单元,每个所述像素单元包括至少两个像素结构,同一个所述像素单元中的像素结构的法布里-珀罗腔的初始厚度以及最大厚度调整量各不相同。Optionally, the display device includes a plurality of pixel units, each of the pixel units includes at least two pixel structures, and the initial thickness and maximum thickness of the Fabry-Perot cavity of the pixel structures in the same pixel unit. The amount of thickness adjustment varies.
一种投影显示系统,包括窄带光源以及位于所述窄带光源出射光路上的显示器件,所述显示器件为如上所述的显示器件。A projection display system includes a narrow-band light source and a display device located on the exit light path of the narrow-band light source, and the display device is the above-mentioned display device.
可选地,所述窄带光源包括第一窄带光源、第二窄带光源和第三窄带光源,还包括光源控制模块;Optionally, the narrowband light source includes a first narrowband light source, a second narrowband light source and a third narrowband light source, and a light source control module;
所述第一窄带光源用于发射第一光线;the first narrow-band light source is used for emitting first light;
所述第二窄带光源用于发射第二光线;the second narrow-band light source is used for emitting second light;
所述第三窄带光源用于发射第三光线;the third narrow-band light source is used for emitting third light;
所述光源控制模块用于控制所述第一窄带光源、所述第二窄带光源和所述第三窄带光源依次发光;The light source control module is configured to control the first narrowband light source, the second narrowband light source and the third narrowband light source to emit light in sequence;
所述显示器件用于将特定光强的第一光线、第二光线和第三光线反射或透射至投影透镜,以通过人眼的视觉暂留效果将所述投影透镜出射的第一光线、第二光线和第三光线混合成彩色画面。The display device is used for reflecting or transmitting the first light, the second light and the third light with a specific light intensity to the projection lens, so that the first light, the third light emitted by the projection lens can be reflected or transmitted through the visual persistence effect of the human eye. The second and third rays are mixed into a colored picture.
可选地,所述第一光线为红光,所述显示器件中法布里-珀罗腔的厚度调整量范围为632.8nm~791nm或474.6nm~632.8nm;所述第二光线为蓝光,所述显示器件中法布里-珀罗腔的厚度调整量范围为530nm~662.5nm或397.5nm~530nm;所述第三光线为绿光,所述显示器件中法布里-珀罗腔的厚度调整量范围为450nm~562.5nm或337.5~450nm。Optionally, the first light is red light, and the thickness adjustment range of the Fabry-Perot cavity in the display device is 632.8 nm-791 nm or 474.6 nm-632.8 nm; the second light is blue light, The thickness adjustment range of the Fabry-Perot cavity in the display device is 530nm-662.5nm or 397.5nm-530nm; the third light is green light, and the thickness of the Fabry-Perot cavity in the display device The thickness adjustment range is 450 nm to 562.5 nm or 337.5 to 450 nm.
可选地,所述窄带光源包括第一窄带光源、第二窄带光源和第三窄带光源,所述显示器件包括第一显示器件、第二显示器件和第三显示器件,所述投影显示系统还包括第一半反半透镜、第二半反半透镜、第三半反半透镜和合光组件;Optionally, the narrow-band light source includes a first narrow-band light source, a second narrow-band light source, and a third narrow-band light source, the display device includes a first display device, a second display device, and a third display device, and the projection display system further It includes a first half mirror, a second half mirror, a third half mirror and a light combining assembly;
所述第一半反半透镜用于将所述第一窄带光源发出的第一光线反射至所述第一显示器件;所述第一显示器件对所述第一窄带光源发出的第一光线进行反射,并将特定光强的第一光线出射至所述第一半反半透镜;所述第一半反半透镜还用于将所述第一显示器件出射的第一光线透射至所述合光组件;The first semi-reflective semi-mirror is used to reflect the first light emitted by the first narrow-band light source to the first display device; reflect, and emit the first light with a specific light intensity to the first half mirror; the first half mirror is also used to transmit the first light emitted from the first display device to the combined optical components;
所述第二半反半透镜用于将所述第二窄带光源发出的第二光线反射至所述第二显示器件;所述第二显示器件对所述第二窄带光源发出的第二光线进行反射,并将特定光强的第二光线出射至所述第二半反半透镜;所述第二半反半透镜还用于将所述第二显示器件出射的第二光线透射至所述合光组件;The second half mirror is used to reflect the second light emitted by the second narrow-band light source to the second display device; the second display device performs the second light emitted by the second narrow-band light source. reflect, and emit the second light with a specific light intensity to the second semi-reflective semi-mirror; the second semi-reflective semi-mirror is also used to transmit the second light emitted from the second display device to the combined optical components;
所述第三半反半透镜用于将所述第三窄带光源发出的第三光线反射至所述第三显示器件;所述第三显示器件对所述第三窄带光源发出的第三光线进行反射,并将特定光强的第三光线出射至所述第三半反半透镜;所述第三半反半透镜还用于将所述第三显示器件出射的第三光线透射至所述合光组件;The third semi-reflective semi-mirror is used to reflect the third light emitted by the third narrowband light source to the third display device; the third display device performs the third light emitted by the third narrowband light source reflect, and emit the third light with a specific light intensity to the third semi-reflective semi-mirror; the third semi-reflective semi-mirror is also used to transmit the third light emitted from the third display device to the combined optical components;
所述合光组件用于将所述第一光线、所述第二光线和所述第三光线合成一束光,以利用所述合成的一束光进行投影。The light combining component is used for combining the first light, the second light and the third light into one light, so as to use the combined one light for projection.
可选地,所述窄带光源包括第一窄带光源、第二窄带光源和第三窄带光源,所述显示器件包括第一显示器件、第二显示器件和第三显示器件,所述投影显示系统还包括合光组件;Optionally, the narrow-band light source includes a first narrow-band light source, a second narrow-band light source, and a third narrow-band light source, the display device includes a first display device, a second display device, and a third display device, and the projection display system further Including light-combining components;
所述第一窄带光源用于发射第一光线;the first narrow-band light source is used for emitting first light;
所述第二窄带光源用于发射第二光线;the second narrow-band light source is used for emitting second light;
所述第三窄带光源用于发射第三光线;the third narrow-band light source is used for emitting third light;
所述第一显示器件将特定光强的第一光线透射至所述合光组件;The first display device transmits first light with a specific light intensity to the light combining component;
所述第二显示器件将特定光强的第二光线透射至所述合光组件;the second display device transmits second light with a specific light intensity to the light combining component;
所述第三显示器件将特定光强的第三光线透射至所述合光组件;The third display device transmits a third light with a specific light intensity to the light combining component;
所述合光组件用于将所述第一光线、所述第二光线和所述第三光线合成一束光,以利用所述合成的一束光进行投影。The light combining component is used for combining the first light, the second light and the third light into one light, so as to use the combined one light for projection.
可选地,所述第一显示器件中所述法布里-珀罗腔的厚度最大调整量为λ1/4,λ1为所述第一光线的波长;Optionally, the maximum adjustment amount of the thickness of the Fabry-Perot cavity in the first display device is λ1/4, and λ1 is the wavelength of the first light;
所述第二显示器件中所述法布里-珀罗腔的厚度最大调整量为λ2/4,λ2为所述第二光线的波长;The maximum adjustment amount of the thickness of the Fabry-Perot cavity in the second display device is λ2/4, and λ2 is the wavelength of the second light;
所述第三显示器件中所述法布里-珀罗腔的厚度最大调整量为λ3/4,λ3为所述第三光线的波长。The maximum adjustment amount of the thickness of the Fabry-Perot cavity in the third display device is λ3/4, where λ3 is the wavelength of the third light.
可选地,λ1=632.8nm,所述第一显示器件中法布里-珀罗腔的厚度调整量范围为632.8nm~791nm;λ2=530nm,所述第二显示器件中法布里-珀罗腔的厚度调整量范围为530nm~662.5nm;λ3=450nm,所述第三显示器件中法布里-珀罗腔的厚度调整量范围为450nm~562.5nm。Optionally, λ1=632.8nm, the thickness adjustment range of the Fabry-Perot cavity in the first display device is 632.8nm~791nm; λ2=530nm, the Fabry-Perot cavity in the second display device The thickness adjustment range of the Luo cavity is 530nm~662.5nm; λ3=450nm, and the thickness adjustment range of the Fabry-Perot cavity in the third display device is 450nm~562.5nm.
一种显示装置,包括窄带光源以及位于所述窄带光源出射光路上的显示器件,所述显示器件为如上所述的显示器件。A display device includes a narrow-band light source and a display device located on an exit light path of the narrow-band light source, and the display device is the above-mentioned display device.
可选地,所述窄带光源包括第一窄带光源、第二窄带光源和第三窄带光源;所述像素单元包括第一像素结构、第二像素结构和第三像素结构;Optionally, the narrow-band light source includes a first narrow-band light source, a second narrow-band light source, and a third narrow-band light source; the pixel unit includes a first pixel structure, a second pixel structure, and a third pixel structure;
所述第一像素结构用于反射或透射所述第一窄带光源发出的光线进行显示,所述第二像素结构用于反射或透射所述第二窄带光源发出的光线进行显示,所述第三像素结构用于反射或透射所述第三窄带光源发出的光线进行显示。The first pixel structure is used for reflecting or transmitting the light emitted by the first narrow-band light source for display, the second pixel structure is used for reflecting or transmitting the light emitted by the second narrow-band light source for display, and the third pixel structure is used for displaying. The pixel structure is used to reflect or transmit the light emitted by the third narrow-band light source for display.
可选地,所述第一像素结构中所述法布里-珀罗腔的厚度最大调整量为λ1/4,λ1为所述第一窄带光源发出的光线的波长;Optionally, the maximum adjustment amount of the thickness of the Fabry-Perot cavity in the first pixel structure is λ1/4, and λ1 is the wavelength of the light emitted by the first narrowband light source;
所述第二像素结构中所述法布里-珀罗腔的厚度最大调整量为λ2/4,λ2为所述第二窄带光源发出的光线的波长;The maximum adjustment amount of the thickness of the Fabry-Perot cavity in the second pixel structure is λ2/4, where λ2 is the wavelength of the light emitted by the second narrowband light source;
所述第三像素结构中所述法布里-珀罗腔的厚度最大调整量为λ3/4,λ3为所述第三窄带光源发出的光线的波长。In the third pixel structure, the maximum adjustment amount of the thickness of the Fabry-Perot cavity is λ3/4, and λ3 is the wavelength of the light emitted by the third narrow-band light source.
可选地,λ1=632.8nm,所述第一显示器件中法布里-珀罗腔的厚度调整量范围为632.8nm~791nm;λ2=530nm,所述第二显示器件中法布里-珀罗腔的厚度调整量范围为530nm~662.5nm;λ3=450nm,所述第三显示器件中法布里-珀罗腔的厚度调整量范围为450nm~562.5nm。Optionally, λ1=632.8nm, the thickness adjustment range of the Fabry-Perot cavity in the first display device is 632.8nm~791nm; λ2=530nm, the Fabry-Perot cavity in the second display device The thickness adjustment range of the Luo cavity is 530nm~662.5nm; λ3=450nm, and the thickness adjustment range of the Fabry-Perot cavity in the third display device is 450nm~562.5nm.
一种显示装置,包括显示器件和光源模组;A display device, comprising a display device and a light source module;
所述显示器件为如上所述的显示器件;The display device is the display device as described above;
所述背光源模组包括第一窄带光源、第二窄带光源、第三窄带光源和光源控制模块,所述第一窄带光源用于发射第一光线,所述第二窄带光源用于发射第二光线,所述第三窄带光源用于发射第三光线;The backlight module includes a first narrow-band light source, a second narrow-band light source, a third narrow-band light source, and a light source control module, the first narrow-band light source is used for emitting first light, and the second narrow-band light source is used for emitting second light. light, the third narrow-band light source is used to emit third light;
所述光源控制模块用于控制所述第一窄带光源、所述第二窄带光源和所述第三窄带光源依次发光;The light source control module is configured to control the first narrowband light source, the second narrowband light source and the third narrowband light source to emit light in sequence;
所述显示器件用于反射或透射特定光强的第一光线、第二光线和第三光线,以通过人眼的视觉暂留效果将所述显示器件出射的第一光线、第二光线和第三光线混合成彩色画面。The display device is used for reflecting or transmitting the first light, the second light and the third light with a specific light intensity, so as to pass the first light, the second light and the third light emitted from the display device through the visual persistence effect of the human eye. The three rays are mixed into a colorful picture.
可选地,所述第一光线为红光,所述显示器件中法布里-珀罗腔的厚度调整量范围为632.8nm~791nm或474.6nm~632.8nm;所述第二光线为蓝光,所述显示器件中法布里-珀罗腔的厚度调整量范围为530nm~662.5nm或397.5nm~530nm;所述第三光线为绿光,所述显示器件中法布里-珀罗腔的厚度调整量范围为450nm~562.5nm或337.5~450nm。Optionally, the first light is red light, and the thickness adjustment range of the Fabry-Perot cavity in the display device is 632.8 nm-791 nm or 474.6 nm-632.8 nm; the second light is blue light, The thickness adjustment range of the Fabry-Perot cavity in the display device is 530nm-662.5nm or 397.5nm-530nm; the third light is green light, and the thickness of the Fabry-Perot cavity in the display device The thickness adjustment range is 450 nm to 562.5 nm or 337.5 to 450 nm.
与现有技术相比,本发明所提供的技术方案具有以下优点:Compared with the prior art, the technical solution provided by the present invention has the following advantages:
本发明所提供的像素结构、显示器件、投影显示系统和显示装置,通过第一基板上的第一反射膜和第二基板上的第二反射膜构成的法布里-珀罗腔的反射光或透射光进行显示,通过第一电极和第二电极之间的静电力以及移动装置控制法布里-珀罗腔的厚度调整量,从而可以通过控制法布里-珀罗腔的厚度调整量控制法布里-珀罗腔的反射光或透射光的干涉光强,或者,通过第一电极和第二电极之间的静电力以及移动装置的弹性力控制法布里-珀罗腔在第一厚度和第二厚度的时间比来控制像素结构的显示亮度,即通过控制法布里-珀罗腔在亮态和暗态的时间比来控制像素结构的显示亮度,从而使得本发明提供的器件的结构简单,光能利用率高,并且,由于本发明提供的第二反射膜的移动距离很小(约几百nm),因此,可以显著降低显示器件的功耗。The pixel structure, display device, projection display system and display device provided by the present invention pass through the reflected light of the Fabry-Perot cavity formed by the first reflective film on the first substrate and the second reflective film on the second substrate or transmitted light for display, the thickness adjustment amount of the Fabry-Perot cavity can be controlled by the electrostatic force between the first electrode and the second electrode and the moving device, so that the thickness adjustment amount of the Fabry-Perot cavity can be controlled Control the interference light intensity of the reflected light or transmitted light of the Fabry-Perot cavity, or control the Fabry-Perot cavity in the first and second electrodes through the electrostatic force between the first electrode and the second electrode and the elastic force of the moving device. The display brightness of the pixel structure is controlled by the time ratio between the thickness and the second thickness, that is, the display brightness of the pixel structure is controlled by controlling the time ratio of the Fabry-Perot cavity in the bright state and the dark state, so that the The structure of the device is simple, the utilization rate of light energy is high, and because the moving distance of the second reflective film provided by the present invention is small (about several hundreds of nm), the power consumption of the display device can be significantly reduced.
附图说明Description of drawings
为了更清楚地说明本发明实施例或现有技术中的技术方案,下面将对实施例或现有技术描述中所需要使用的附图作简单地介绍,显而易见地,下面描述中的附图仅仅是本发明的实施例,对于本领域普通技术人员来讲,在不付出创造性劳动的前提下,还可以根据提供的附图获得其他的附图。In order to explain the embodiments of the present invention or the technical solutions in the prior art more clearly, the following briefly introduces the accompanying drawings that need to be used in the description of the embodiments or the prior art. Obviously, the accompanying drawings in the following description are only It is an embodiment of the present invention. For those of ordinary skill in the art, other drawings can also be obtained according to the provided drawings without creative work.
图1为现有的数字光处理显示器件的显示原理示意图;1 is a schematic diagram of the display principle of an existing digital light processing display device;
图2为本发明实施例提供的一种像素结构的结构示意图;FIG. 2 is a schematic structural diagram of a pixel structure provided by an embodiment of the present invention;
图3为本发明实施例提供的法布里-珀罗腔的反射光和透射光示意图;3 is a schematic diagram of reflected light and transmitted light of a Fabry-Perot cavity provided by an embodiment of the present invention;
图4为本发明实施例提供的像素结构的反射和透射特性随相位差的变化曲线图;4 is a graph showing the variation of reflection and transmission characteristics with phase difference of a pixel structure provided by an embodiment of the present invention;
图5为本发明实施例提供的像素结构的反射和透射特性随法布里-珀罗腔的厚度变化的曲线图;5 is a graph showing the variation of reflection and transmission characteristics of a pixel structure with the thickness of a Fabry-Perot cavity according to an embodiment of the present invention;
图6为本发明实施例提供的另一种像素结构的结构示意图;FIG. 6 is a schematic structural diagram of another pixel structure provided by an embodiment of the present invention;
图7为本发明实施例提供的另一种像素结构的结构示意图;FIG. 7 is a schematic structural diagram of another pixel structure provided by an embodiment of the present invention;
图8为本发明实施例提供的一种显示器件的俯视结构示意图;FIG. 8 is a schematic top-view structural diagram of a display device according to an embodiment of the present invention;
图9为本发明实施例提供的一种显示器件的剖面结构示意图;FIG. 9 is a schematic cross-sectional structure diagram of a display device according to an embodiment of the present invention;
图10为本发明实施例提供的另一种显示器件的剖面结构示意图;10 is a schematic cross-sectional structure diagram of another display device provided by an embodiment of the present invention;
图11为本发明实施例提供的另一种显示器件的剖面结构示意图;11 is a schematic cross-sectional structure diagram of another display device provided by an embodiment of the present invention;
图12为本发明实施例提供的另一种显示器件的剖面结构示意图;12 is a schematic cross-sectional structure diagram of another display device provided by an embodiment of the present invention;
图13为本发明实施例提供的一种反射式投影显示系统的结构示意图;13 is a schematic structural diagram of a reflective projection display system according to an embodiment of the present invention;
图14为本发明实施例提供的一种透射式投影显示系统的结构示意图;14 is a schematic structural diagram of a transmissive projection display system according to an embodiment of the present invention;
图15为本发明实施例提供的波长为632.8nm红光的透射强度调制曲线图;FIG. 15 is a transmission intensity modulation curve diagram of red light with a wavelength of 632.8 nm provided by an embodiment of the present invention;
图16为本发明实施例提供的波长为632.8nm红光的反射强度调制曲线图;FIG. 16 is a reflection intensity modulation curve diagram of red light with a wavelength of 632.8 nm provided by an embodiment of the present invention;
图17为本发明实施例提供的波长为530nm的绿光的透射强度调制曲线图;FIG. 17 is a transmission intensity modulation curve diagram of green light with a wavelength of 530 nm provided by an embodiment of the present invention;
图18为本发明实施例提供的波长为530nm的绿光的反射强度调制曲线图;18 is a graph showing the reflection intensity modulation of green light with a wavelength of 530 nm provided by an embodiment of the present invention;
图19为本发明实施例提供的波长为450nm蓝光的透射强度调制曲线图;Fig. 19 is a transmission intensity modulation curve diagram of blue light with a wavelength of 450 nm provided by an embodiment of the present invention;
图20为本发明实施例提供的波长为450nm蓝光的反射强度调制曲线图;FIG. 20 is a reflection intensity modulation curve diagram of blue light with a wavelength of 450 nm provided by an embodiment of the present invention;
图21为本发明实施例提供的另一种反射式投影显示系统的结构示意图;21 is a schematic structural diagram of another reflective projection display system provided by an embodiment of the present invention;
图22为本发明实施例提供的一种透射式场序投影显示系统结构示意图;22 is a schematic structural diagram of a transmissive field sequential projection display system according to an embodiment of the present invention;
图23为本发明实施例提供的一种反射式场序投影显示系统结构示意图;23 is a schematic structural diagram of a reflective field sequential projection display system according to an embodiment of the present invention;
图24为本发明实施例提供的一种透射式场序显示装置的结构示意图;24 is a schematic structural diagram of a transmissive field sequential display device according to an embodiment of the present invention;
图25为本发明实施例提供的一种反射式场序显示装置的结构示意图。FIG. 25 is a schematic structural diagram of a reflective field sequential display device according to an embodiment of the present invention.
具体实施方式Detailed ways
以上是本发明的核心思想,为使本发明的上述目的、特征和优点能够更加明显易懂,下面将结合本发明实施例中的附图,对本发明实施例中的技术方案进行清楚、完整地描述,显然,所描述的实施例仅仅是本发明一部分实施例,而不是全部的实施例。基于本发明中的实施例,本领域普通技术人员在没有做出创造性劳动前提下所获得的所有其他实施例,都属于本发明保护的范围。The above is the core idea of the present invention. In order to make the above objects, features and advantages of the present invention more obvious and easy to understand, the technical solutions in the embodiments of the present invention will be clearly and completely described below with reference to the accompanying drawings in the embodiments of the present invention. Description, it is obvious that the described embodiments are only some, but not all, embodiments of the present invention. Based on the embodiments of the present invention, all other embodiments obtained by those of ordinary skill in the art without creative efforts shall fall within the protection scope of the present invention.
本发明实施例提供了一种像素结构,如图2所示,该像素结构包括第一基板20、第二基板21和移动装置22。An embodiment of the present invention provides a pixel structure. As shown in FIG. 2 , the pixel structure includes a
其中,第一基板20朝向第二基板21的一侧具有第一反射膜23,第二基板21朝向第一基板21的一侧具有第二反射膜24,以使第一反射膜23和第二反射膜24构成法布里-珀罗腔(Fabry–Pérot,简称FP腔),并利用法布里-珀罗腔的反射光或透射光进行显示;Wherein, the side of the
移动装置22用于带动第二基板21和第二基板21上的第二反射膜24移动,或者,带动第二反射膜24移动,以调整法布里-珀罗腔的厚度;The moving
移动装置22朝向第一基板20的一侧具有第一电极,移动装置22朝向第二基板21的一侧具有第二电极,以通过第一电极和第二电极之间的静电力以及移动装置22的弹性力控制法布里-珀罗腔的厚度调整量,通过控制法布里-珀罗腔的厚度调整量控制法布里-珀罗腔的反射光或透射光的干涉光强,控制像素结构的显示亮度。或者,通过第一电极和第二电极之间的静电力以及移动装置22的弹性力控制法布里-珀罗腔在第一厚度和第二厚度的时间比来控制像素结构的显示亮度,其中,当法布里-珀罗腔的厚度为第一厚度时,像素结构处于亮态,当法布里-珀罗腔的厚度为第二厚度时,像素结构处于暗态。The side of the moving
本发明实施例中,通过第一电极和第二电极之间的静电力以及移动装置22的弹性力控制像素结构的显示亮度,在一定程度上简化了器件结构、提高了器件的集成度。并且,相比于现有的数字光处理显示器件,第一电极和第二电极所需的驱动电压更小,使得器件的功耗更小,更节能环保,光能利用率更高。In the embodiment of the present invention, the display brightness of the pixel structure is controlled by the electrostatic force between the first electrode and the second electrode and the elastic force of the
可选地,如图2所示,第一基板20和第二基板21之间为空气间隙。Optionally, as shown in FIG. 2 , an air gap is formed between the
可选地,第一基板20和第二基板21为透明基板,进一步可选为透明玻璃基板或透明塑料基板。可选地,第一电极和第二电极的材料为ITO(Indium Tin Oxide,氧化铟锡)、FTO(Fluorine Tin Oxide,掺氟氧化铟)或石墨烯(Graphene)等。Optionally, the
可选地,反射膜即第一反射膜23和第二反射膜24为MgF2、SiO2、Al2O3、ZrO2、TiO2或ZnS中的一种或多种形成的透明介质膜、金属反射膜或介质金属堆叠形成的反射膜,也就是说,第一反射膜23或第二反射膜24可以为SiO2、Al2O3、ZrO2、TiO2或ZnS中的多种构成的叠层结构。Optionally, the reflective films, that is, the first
需要说明的是,本发明中第一反射膜23和第二反射膜24的材料可以相同,也可以不同。同样,第一反射膜23和第二反射膜24的反射率可以相同,也可以不同。It should be noted that, in the present invention, the materials of the
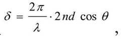
如图3所示,入射光0会在第一反射膜23和第二反射膜24构成的FP腔内进行多次反射和多次折射,入射光0在进入FP腔时被分割成反射光束1和折射光束,该折射光束在下表面反射的同时,又分割成透射光束1'和反射光束。如此反复地反射和折射,可得到无穷多个反射光束1、2、3、4…,以及无穷多个透射光束1'、2'、3'、4'…。其中,n为FP腔内介质的折射率,如FP腔内空气的折射率,d为FP腔的厚度,θ为FP腔内光线与法线的夹角。As shown in FIG. 3, the
其中,无论是反射光束还是透射光束,相邻的两束光之间都有固定的相位差如反射光束1和2之间以及透射光束1'和2'之间具有固定的相位差满足光相干的条件,因而可以发生干涉。而根据相位差公式可知,FP腔的厚度d变化可以引起相位差δ变化,从而引起FP腔反射光或透射光的干涉光强发生变化,进而引起像素结构的显示亮度发生变化。Among them, whether it is a reflected beam or a transmitted beam, there is a fixed phase difference between the two adjacent beams such as a fixed phase difference between
令r和t分别为光从FP腔外到FP腔内的振幅反射率和透射率,r'和t'分别为光从FP腔内到FP腔外的振幅反射率和透射率。由于FP腔两侧介质的折射率相同,满足斯托克斯倒逆关系,因此,r=-r',t2+tt'=1。Let r and t be the amplitude reflectance and transmittance of light from outside the FP cavity to the inside of the FP cavity, respectively, and r' and t' be the amplitude reflectance and transmittance of the light from inside the FP cavity to the outside of the FP cavity, respectively. Since the refractive index of the medium on both sides of the FP cavity is the same, the Stokes inverse relationship is satisfied, so r=-r', t2 +tt'=1.
假设入射光0的振幅为A,反射光复振幅为透射光复振幅为则可得到各束反射光与各束透射光的复振幅:Assuming that the amplitude of the
其中,反射光1的复振幅后的负号来源于半波损。Among them, the complex amplitude of the reflected
反射光的总复振幅为反射光的总光强IR为Total complex amplitude of reflected light for The total light intensity IR of thereflected light is
透射光的总复振幅为透射光的总光强IT为Total complex amplitude of transmitted light for The total light intensity IT of the transmitted light is
其中,j=1、2、3、4…。Among them, j=1, 2, 3, 4 . . .
当不考虑吸收时,光功率守恒导致总光强I0守恒,则有IR+IT=I0。由于反射光1存在半波损,考虑优先计算总透射光强IT,再通过IR=I0-IT得到总反射光强IR。When the absorption is not considered, the conservation of optical power leads to the conservation of the total light intensity I0 , then there is IR+IT =I0 . Since the reflected
由以上分析可得,透射光的总复振幅该级数之和为则透射光的总光强IT为:From the above analysis, the total complex amplitude of the transmitted light can be obtained The sum of the series is Then the total light intensity IT of the transmitted light is:
其中,R=r2为FP腔上下两表面的光强反射率,即为第一反射膜23和第二反射膜24的光强反射率,I0=A2为入射光的总光强。Wherein, R=r2 is the light intensity reflectivity of the upper and lower surfaces of the FP cavity, that is, the light intensity reflectivity of the first
反射光的总光强IR为:The total light intensityIR of the reflected light is:
如图4所示,图4为像素结构的FP腔的反射和透射特性随相位差的变化曲线。所用参数设置为:反射膜的反射率R=90%,入射光的波长λ=632.8nm,FP腔内光线与法线的夹角θ=0°。其中,实线为反射特性曲线,虚线为透射特性曲线。As shown in FIG. 4 , FIG. 4 is a graph showing the variation curve of the reflection and transmission characteristics of the FP cavity of the pixel structure with the phase difference. The parameters used are set as follows: the reflectivity of the reflective film is R=90%, the wavelength of the incident light is λ=632.8 nm, and the angle between the light in the FP cavity and the normal line is θ=0°. The solid line is the reflection characteristic curve, and the dashed line is the transmission characteristic curve.
需要说明的是,本发明实施例提供的像素结构既可以利用FP腔的反射光显示图像,也可以利用FP腔的透射光显示图像。It should be noted that, the pixel structure provided by the embodiment of the present invention can display an image by using the reflected light of the FP cavity, and can also display the image by using the transmitted light of the FP cavity.
当一束光强为I0的入射光垂直入射到像素结构表面时,若选取由上表面反射出的反射光1、2、3、4…来显示图像,其光强反射率IR/I0可表示为:When a beam of incident light with a light intensity of I0 is vertically incident on the surface of the pixel structure, if the reflected
其中,为FP腔的精细度,δ为在第一反射膜23处出射的相邻两束反射光的相位差;R为第一反射膜23和第二反射膜24的反射率;λ为窄带光源出射的入射光的波长;n为空气的折射率;d为第一反射膜23和第二反射膜24之间的距离,也为FP腔的厚度;θ为FP腔内光线与法线的夹角即入射光在FP腔内多次反射的倾角,此处,θ=0°。in, is the fineness of the FP cavity, δ is the phase difference between the two adjacent beams of reflected light emitted from the first
从图4中的实线可以看出,当相位差δ为π的奇数倍时,光强反射率IR/I0达到最大值,选此处作为显示图像的亮态;当相位差δ为π的偶数倍时,光强反射率IR/I0达到最小值,选此处作为显示图像的暗态。如第一电极和第二电极在某一电压下,由FP腔厚度d变化引起的反射光相位差正好处于δ/π=4的位置,则显示图像为全暗。通过改变第一电极和第二电极的外加电压,使得FP腔的厚度d发生改变,相位差δ发生变化,光强反射率IR/I0开始增大,当由FP腔的厚度d变化引起的相位差变化π时,到达δ/π=5的位置,此时光强反射率IR/I0最大,显示图像最亮。在4<δ/π<5之间,可作为中间亮度显示。该控制方式称为模拟方式。It can be seen from the solid line in Figure 4 that when the phase difference δ is an odd multiple of π, the light intensity reflectance IR/ I0 reaches the maximum value, and this is selected as the bright state of the displayed image; when the phase difference δ is When it is an even multiple of π, the light intensity reflectance IR /I0 reaches the minimum value, which is selected as the dark state of the displayed image. If the first electrode and the second electrode are under a certain voltage, the reflected light phase difference caused by the change of the thickness d of the FP cavity is exactly at the position of δ/π=4, then the displayed image is completely dark. By changing the applied voltage of the first electrode and the second electrode, the thickness d of the FP cavity changes, the phase difference δ changes, and the light intensity reflectance IR /I0 begins to increase. When the thickness d of the FP cavity changes, When the phase difference changes by π, it reaches the position of δ/π=5. At this time, the light intensity reflectivity IR /I0 is the largest, and the displayed image is the brightest. Between 4<δ/π<5, it can be displayed as intermediate brightness. This control method is called an analog method.
或者,本像素结构仅存在亮态和暗态两个状态,通过静电力和弹性力控制像素结构在亮态以及暗态所停留的时间比,进而控制像素结构的显示亮度。例如,当控制像素结构在亮态和暗态的时间比为t1/t2时,显示亮度为L1,当控制像素结构在亮态和暗态的时间比为t3/t4时,显示亮度为L2,以此类推。当像素结构为亮态时,FP腔的厚度为第一厚度,当像素结构为暗态时,FP腔的厚度为第二厚度,也就是说,通过控制FP腔的厚度在第一厚度和第二厚度之间交替变化,并控制FP腔在第一厚度和第二厚度的时间,即可控制像素结构的显示亮度。该控制方式称为数字方式。Alternatively, the pixel structure has only two states, a bright state and a dark state, and the time ratio of the pixel structure in the bright state and the dark state is controlled by electrostatic force and elastic force, thereby controlling the display brightness of the pixel structure. For example, when the time ratio of the control pixel structure in the bright state and the dark state is t1/t2, the display brightness is L1, and when the time ratio of the control pixel structure in the bright state and the dark state is t3/t4, the display brightness is L2, And so on. When the pixel structure is in the bright state, the thickness of the FP cavity is the first thickness, and when the pixel structure is in the dark state, the thickness of the FP cavity is the second thickness, that is, by controlling the thickness of the FP cavity between the first thickness and the second thickness The two thicknesses are alternately changed, and the display brightness of the pixel structure can be controlled by controlling the time between the first thickness and the second thickness of the FP cavity. This control method is called a digital method.
采用同样的入射光垂直入射像素结构表面,同样可以选取下表面透射出的透射光1'、2'、3'、4'…来显示图像,其光强透射率IT/I0可表示为:Using the same incident light perpendicular to the surface of the pixel structure, the transmitted light 1', 2', 3', 4'... transmitted from the lower surface can also be selected to display the image, and the light intensity transmittance IT /I0 can be expressed as :
同样,为FP腔的精细度,δ为在第二反射膜24处出射的相邻两束透射光的相位差;R为第一反射膜23和第二反射膜24的反射率;λ为窄带光源出射的入射光的波长;n为空气的折射率;d为第一反射膜23和第二反射膜24之间的距离,也为FP腔的厚度;θ为FP腔内光线与法线的夹角即入射光在FP腔内多次反射的倾角,此处,θ=0°。same, is the fineness of the FP cavity, δ is the phase difference between the two adjacent beams of transmitted light emitted at the second
如图4中虚线所示,当相位差δ为π的偶数倍时,光强透射率IT/I0达到最大值,选此处作为显示图像的亮态;当相位差δ为π的奇数倍时,光强透射率IT/I0达到最小值,选此处作为显示图像的暗态;假设在第一电极和第二电极的某一电压下,由FP腔的厚度d变化引起的透射光相位差正好处于δ/π=4的位置,则显示图像为全亮。通过改变第一电极和第二电极的外加电压,由FP腔的厚度d变化引起相位差δ发生变化,光强透射率IT/I0开始减小,当FP腔的厚度d变化引起的相位差变化π时,到达δ/π=5的位置,此刻光强透射率IT/I0最小,显示图像最暗。在4<δ/π<5之间,则可以作为中间亮度显示。或本像素结构仅存在亮态和暗态两个状态,通过控制像素在亮态以及暗态所停留的时间比,进而控制了像素的亮度。As shown by the dotted line in Figure 4, when the phase difference δ is an even multiple of π, the light intensity transmittance IT /I0 reaches the maximum value, which is selected as the bright state of the displayed image; when the phase difference δ is an odd number of π When the light intensity transmittance IT /I0 reaches the minimum value, this is selected as the dark state of the displayed image; it is assumed that under a certain voltage of the first electrode and the second electrode, the change in the thickness d of the FP cavity is caused by When the phase difference of the transmitted light is exactly at the position of δ/π=4, the displayed image is fully bright. By changing the applied voltage of the first electrode and the second electrode, the phase difference δ changes due to the change of the thickness d of the FP cavity, and the light intensity transmittance IT /I0 begins to decrease. When the thickness d of the FP cavity changes, the phase difference When the difference changes by π, it reaches the position of δ/π=5. At this moment, the light intensity transmittance IT /I0 is the smallest, and the displayed image is the darkest. Between 4<δ/π<5, it can be displayed as an intermediate brightness. Or this pixel structure only has two states of bright state and dark state, and the brightness of the pixel is further controlled by controlling the time ratio of the pixel in the bright state and the dark state.
如图5所示,图5为像素结构的反射透射特性随FP腔厚度d变化的曲线。所用参数设置为:R=90%,λ=632.8nm,θ=0°。其中,实线表示反射特性曲线,虚线表示透射特性曲线。从图5中也可以看出,随着FP腔厚度d的改变,透射光的光强或反射光的光强也会发生变化。As shown in FIG. 5 , FIG. 5 is a curve of the reflection and transmission characteristics of the pixel structure as a function of the thickness d of the FP cavity. The parameter settings used were: R=90%, λ=632.8 nm, θ=0°. The solid line represents the reflection characteristic curve, and the dashed line represents the transmission characteristic curve. It can also be seen from Fig. 5 that with the change of the thickness d of the FP cavity, the light intensity of the transmitted light or the light intensity of the reflected light also changes.
也就是说,本发明实施例中,通过在第一电极和第二电极上施加电压,可以使得FP腔的厚度d变化,使得FP腔的反射光或透射光的相位差δ在(4π,5π)之间变化,使得像素结构的显示亮度在最亮和最暗之间变化,实现了像素结构显示亮度的调整。或是通过在第一电极和第二电极上施加电压,以图4的反射特性为例,当δ/π=4时显示为暗态,而在另一电压下,FP腔的厚度与暗态不同,满足δ/π=5,显示为亮态。通过控制像素结构在亮态以及暗态所停留的时间比,进而控制了像素结构的亮度。That is to say, in the embodiment of the present invention, by applying a voltage on the first electrode and the second electrode, the thickness d of the FP cavity can be changed, so that the phase difference δ of the reflected light or the transmitted light of the FP cavity is between (4π, 5π ), so that the display brightness of the pixel structure changes between the brightest and the darkest, and the adjustment of the display brightness of the pixel structure is realized. Or by applying a voltage on the first electrode and the second electrode, taking the reflection characteristic of Figure 4 as an example, when δ/π=4, it shows a dark state, and at another voltage, the thickness of the FP cavity is related to the dark state. Different, δ/π=5 is satisfied, and it is displayed as a bright state. By controlling the time ratio that the pixel structure stays in the bright state and the dark state, the brightness of the pixel structure is controlled.
本发明的一个实施例中,如图2所示,移动装置22包括弹簧,当然,本发明并不仅限于此,在其他实施例中,还可以采用聚合物等具有相似功能的材料代替弹簧。In one embodiment of the present invention, as shown in FIG. 2 , the
其中,弹簧位于第一基板20和第二基板21之间,具体地,弹簧位于第一反射膜23和第二反射膜24之间,第一电极位于弹簧朝向第一反射膜23的一侧,第二电极位于弹簧朝向第二反射膜24的一侧,以通过第一电极和第二电极之间的静电力和弹簧的弹性力控制第二基板21和第二基板21上的第二反射膜23的移动距离,控制法布里-珀罗腔的厚度调整量。The spring is located between the
假设FP腔的初始厚度为d,匹配入射光的中心波长使像素结构的显示为亮态,之后通过改变第一电极和第二电极的电压,使得第一电极和第二电极之间的静电力变化,在弹簧的弹性力的共同作用下,控制第二基板21移动,当静电力和弹性力达到平衡后,第二基板21移动距离为△d,使d减小为d1,且d1=d-△d。此时,像素结构显示为暗态。Assuming that the initial thickness of the FP cavity is d, matching the central wavelength of the incident light makes the pixel structure display a bright state, and then by changing the voltage of the first electrode and the second electrode, the electrostatic force between the first electrode and the second electrode is made. Change, under the joint action of the elastic force of the spring, the movement of the
需要说明的是,对于上述像素结构而言,在控制FP腔厚度改变的过程中,需考虑静电下拉效应,这是因为第一基板20和第二基板21构成的是一个平行平板电容器,第一电极和第二电极施加电压时,两基板之间会产生静电力ε是介电常数,A是基板的面积,d是两基板的间距,也就是FP腔的厚度,V是所加的电压。It should be noted that, for the above pixel structure, in the process of controlling the change of the thickness of the FP cavity, the electrostatic pull-down effect needs to be considered. This is because the
在不加电压时,V=0,两板之间无静电力,忽略重力作用,弹簧的弹性力为0。当增加电压V1时,两板间静电力增大,使得两板距离减小,弹簧发生形变,当移动距离Δd时,两板间距变为d1=d-Δd,静电力为而弹簧弹性力为F2=kΔd,这里k为弹簧的弹性常数。当F1=F2时,弹性力等于静电力,方向相反,基板处于平衡位置,不再移动。而这里要求移动距离Δd<d/3。吸合位移量Δdpull-in=d/3的计算过程如下:When no voltage is applied, V=0, there is no electrostatic force between the two plates, ignoring the effect of gravity, the elastic force of the spring is 0. When the voltage V1 is increased, the electrostatic force between the two plates increases, so that the distance between the two plates decreases, and the spring is deformed. When the distance Δd is moved, the distance between the two plates becomes d1= d-Δd, and the electrostatic force is The elastic force of the spring is F2 =kΔd, where k is the elastic constant of the spring. When F1 =F2 , the elastic force is equal to the electrostatic force, the direction is opposite, and the substrate is in the equilibrium position and no longer moves. Here, the moving distance Δd<d/3 is required. The calculation process of pull-in displacement Δdpull-in =d/3 is as follows:
当位移为Δd时,由弹簧弹力等于静电力可得:When the displacement is Δd, the elastic force of the spring is equal to the electrostatic force, we can get:
由此可解得电压与位移量Δd的关系:From this, the relationship between voltage and displacement Δd can be solved:
对该式的V求导,使得dV/d(Δd)=0,在0<Δd<d范围内,即可求得位移量Δdpull-in=d/3,则该位置即为吸合(Pull-in)点,对应的电压称为吸合电压。Derivation of V of this formula makes dV/d(Δd)=0, within the range of 0<Δd<d, the displacement amount Δdpull-in = d/3 can be obtained, then the position is the pull-in ( Pull-in) point, the corresponding voltage is called the pull-in voltage.
也就是说,当位移量Δd>d/3后,第一基板20和第二基板21之间的静电力一直大于弹簧的弹性力,所以不存在受力平衡位置,使得第一基板20和第二基板21迅速贴合,使FP腔的厚度变为0。基于此,FP腔的厚度改变量应该在0<Δd<d/3的范围内。That is to say, when the displacement amount Δd>d/3, the electrostatic force between the
在本发明的另一个实施例中,如图6所示,移动装置22包括弹簧,其中,弹簧位于第二反射膜24和第二基板21之间,具体地,弹簧位于第二反射膜24和第二电极之间,且第二反射膜24和弹簧之间还具有可动基板25。第一电极位于弹簧朝向可动基板25的一侧,第二电极位于弹簧朝向第二基板21的一侧,以通过第一电极和第二电极之间的静电力和弹簧的弹性力控制第二反射膜24的移动距离,进而控制布里-珀罗腔的厚度调整量。In another embodiment of the present invention, as shown in FIG. 6 , the
在本发明的另一个实施例中,如图7所示,移动装置包括移动板220和锚定装置221,锚定装置221包括固定板2210和位于固定板2210内侧的卡合部2211,固定板2210位于第二基板21上且位于移动板220的四周,卡合部2211用于固定移动板220的位置;第二反射膜24位于移动板220朝向第一基板20的一侧表面,第一电极位于移动板220朝向第二基板21的一侧表面,第二电极位于第二基板21朝向第一基板20的一侧表面,以通过第一电极和第二电极之间的静电力和锚定装置221的弹性力控制移动板220的移动距离,控制法布里-珀罗腔的厚度调整量。其中,移动板220和第二基板21之间的间隙为空气间隙。可选地,锚定装置221的材料为具有弹性力的聚合物等。In another embodiment of the present invention, as shown in FIG. 7 , the moving device includes a moving
需要说明的是,在图7所示的结构中,第二基板21朝向第一基板20的一侧也具有可动基板。此外,还需要说明的是,在图6和图7所示的结构中,在控制FP腔厚度的变化过程中,仍需避免上述两电极之间的静电吸合效应。In addition, in the structure shown in FIG. 7, the side of the 2nd board|
上述实施例中的像素结构仅对单色光进行调制,例如,仅对红光、蓝光或绿光进行调制。当然,对不同颜色的单色光进行调制时,需对像素结构的参数如FP腔的厚度进行调整,在此不再赘述。The pixel structures in the above embodiments only modulate monochromatic light, for example, only red light, blue light or green light. Of course, when modulating monochromatic light of different colors, the parameters of the pixel structure, such as the thickness of the FP cavity, need to be adjusted, which will not be repeated here.
本发明实施例还提供了一种显示器件,如图8所示,该显示器件包括多个像素结构70,该像素结构70为上述任一实施例提供的像素结构。需要说明的是,本发明实施例提供的显示器件还包括向像素结构中的第一电极和第二电极提供电压的驱动电路等,在此不再赘述。An embodiment of the present invention further provides a display device. As shown in FIG. 8 , the display device includes a plurality of
可选地,如图9所示,显示器件中任意两个像素结构70的法布里-珀罗腔的初始厚度以及最大厚度调整量相同。当然,本发明实施例中的显示器件中的像素结构也可以是图6或图7所示的像素结构,本发明并不仅限于此。Optionally, as shown in FIG. 9 , the initial thickness and the maximum thickness adjustment amount of the Fabry-Perot cavity of any two
需要说明的是,该显示器件可以为单色显示器件,如该显示器件为红光显示器件、绿光显示器件、蓝光显示器件或其他颜色显示器件。若使用模拟调制方式时,该显示器件也可以为场序彩色显示器件,通过设置红绿蓝三色窄带光源,显示器件中法布里-珀罗腔的不同厚度对三色光的波长有不同的响应特性,即通过增大腔或减小腔的厚度,在避免静电吸合效应后,使其在可见光光谱范围内产生红色、蓝色、绿色等颜色,例如在30ms内,10ms显示为红色,10ms显示为蓝色,10ms显示为绿色,在三色光源快速切换以及显示器件中每个像素结构的厚度快速变化中,由于人眼的视觉暂留效果,通过场序彩色显示模式,使显示器件显示为需要显示的彩色。It should be noted that the display device may be a monochromatic display device, for example, the display device is a red light display device, a green light display device, a blue light display device or other color display devices. If the analog modulation method is used, the display device can also be a field sequential color display device. By setting red, green and blue narrow-band light sources, different thicknesses of the Fabry-Perot cavity in the display device have different effects on the wavelengths of the three colors of light. Response characteristics, that is, by increasing the cavity or reducing the thickness of the cavity, after avoiding the electrostatic pull-in effect, it can produce red, blue, green and other colors in the visible light spectrum range, for example, within 30ms, 10ms is displayed as red, 10ms is displayed as blue, 10ms is displayed as green, in the rapid switching of three-color light sources and the rapid change of the thickness of each pixel structure in the display device, due to the visual persistence effect of the human eye, through the field sequential color display mode, the display device is made. Displayed in the desired color.
可选地,显示器件包括多个像素单元,每个像素单元包括至少两个像素结构,同一个像素单元中的像素结构的法布里-珀罗腔的厚度以及厚度调整量各不相同。Optionally, the display device includes a plurality of pixel units, each pixel unit includes at least two pixel structures, and the thickness of the Fabry-Perot cavity and the thickness adjustment amount of the pixel structures in the same pixel unit are different.
如图10、11和12所示,每个像素单元9包括第一像素结构90、第二像素结构91和第三像素结构92,第一像素结构90、第二像素结构91和第三像素结构92的FP腔的厚度以及厚度调整量各不相同,以使第一像素结构90、第二像素结构91和第三像素结构92反射或透射不同颜色的单色光。如第一像素结构90反射或透射蓝光、第二像素结构91反射或透射绿光、第三像素结构92反射或透射红光,基于此,每个像素单元中的红光、蓝光和绿光混合后,可以显示彩色图像。也就是说,图10、11和12所示的显示器件为可显示彩色图像的显示器件。As shown in FIGS. 10 , 11 and 12 , each
需要说明的是,在图9或图10所示的结构中,第一电极可以是覆盖第一基板20的整层电极,第二电极为位于每个像素结构内的单块电极,不同像素结构的第二电极相互独立,也就是说,第一电极相当于现有显示装置中的公共电极,第二电极相当于现有显示装置中的像素电极。基于此,可以通过第一电极和第二电极之间的电场单独控制每个像素结构内FP腔的厚度或控制每个像素结构在亮暗态的时间比,从而控制每个像素结构的灰度,进而控制整个显示器件的显示图像为需要显示的图像。It should be noted that, in the structure shown in FIG. 9 or FIG. 10 , the first electrode may be a whole-layer electrode covering the
本发明实施例还提供了一种投影显示系统,包括窄带光源以及位于窄带光源出射光路上的显示器件,该显示器件为图9所示的显示器件。可选地,该投影显示系统可以应用于投影仪或电视等投影显示设备中。其中,投影仪包括影院、家庭影院以及教学或展厅所用的前投或背投式投影仪。可选地,该窄带光源为激光光源,当然,本发明并不仅限于此,在其他实施例中窄带光源也可以为LED光源等。An embodiment of the present invention further provides a projection display system, including a narrow-band light source and a display device located on an exit light path of the narrow-band light source, where the display device is the display device shown in FIG. 9 . Optionally, the projection display system can be applied to projection display devices such as projectors or televisions. Among them, projectors include theaters, home theaters, and front- or rear-projection projectors used in teaching or exhibition halls. Optionally, the narrow-band light source is a laser light source. Of course, the present invention is not limited to this. In other embodiments, the narrow-band light source may also be an LED light source or the like.
本发明实施例中,采用窄带光源照明,由于窄带光源的线宽很小(约1nm~2nm),而FP腔的反射率也不高,因此,使得FP腔的半高全宽(约10nm)相对于光源的线宽已经很宽,利用窄的光源发光光谱对法布里-珀罗腔的宽调制光谱进行“滤光”,不仅提高了光能利用率,而且显著提升了显示器件的色域覆盖率。In the embodiment of the present invention, a narrow-band light source is used for illumination. Since the line width of the narrow-band light source is very small (about 1 nm to 2 nm), and the reflectivity of the FP cavity is not high, the full width at half maximum (about 10 nm) of the FP cavity is relatively The linewidth of the light source is already very wide. Using a narrow light source emission spectrum to "filter" the wide modulation spectrum of the Fabry-Perot cavity not only improves the utilization of light energy, but also significantly improves the color gamut coverage of the display device. Rate.
如图13所示,该投影显示系统为反射式投影显示系统,窄带光源包括第一窄带光源101、第二窄带光源102和第三窄带光源103,显示器件包括第一显示器件104、第二显示器件105和第三显示器件106,投影显示系统还包括第一半反半透镜107、第二半反半透镜108、第三半反半透镜109和合光组件110。As shown in FIG. 13, the projection display system is a reflective projection display system, the narrowband light source includes a first narrowband
其中,第一半反半透镜107用于将第一窄带光源101发出的第一光线反射至第一显示器件104;第一显示器件104对第一窄带光源101发出的第一光线进行反射,并将特定光强的第一光线出射至第一半反半透镜107;第一半反半透镜107还用于将第一显示器件104出射的第一光线透射至合光组件110;The
第二半反半透镜108用于将第二窄带光源102发出的第二光线反射至第二显示器件105;第二显示器件105对第二窄带光源102发出的第二光线进行反射,并将特定光强的第二光线出射至第二半反半透镜108;第二半反半透镜108还用于将第二显示器件105出射的第二光线透射至合光组件110;The
第三半反半透镜109用于将第三窄带光源103发出的第三光线反射至第三显示器件106;第三显示器件106对第三窄带光源103发出的第三光线进行反射,并将特定光强的第三光线出射至第三半反半透镜109;第三半反半透镜109还用于将第三显示器件106出射的第三光线透射至合光组件110;The third
合光组件110用于将第一光线、第二光线和第三光线合成一束光,以利用合成的一束光进行投影。The
本发明的另一个实施例中,如图14所示,投影显示系统还可以为透射式投影显示系统,窄带光源包括第一窄带光源111、第二窄带光源112和第三窄带光源113,显示器件包括第一显示器件114、第二显示器件115和第三显示器件116,投影显示系统还包括合光组件117和投影透镜118。In another embodiment of the present invention, as shown in FIG. 14, the projection display system may also be a transmissive projection display system, the narrowband light source includes a first narrowband
其中,第一窄带光源111用于发射第一光线;第二窄带光源112用于发射第二光线;第三窄带光源113用于发射第三光线;第一显示器件114将特定光强的第一光线透射至合光组件117;第二显示器件115将特定光强的第二光线透射至合光组件117;第三显示器件116将特定光强的第三光线透射至合光组件117;合光组件117用于将第一光线、第二光线和第三光线合成一束光,以利用合成的一束光进行投影。The first narrow-
可选地,在图13和图14的结构中,第一显示器件中法布里-珀罗腔的厚度最大调整量为λ1/4,λ1为第一光线的波长;第二显示器件中法布里-珀罗腔的厚度最大调整量为λ2/4,λ2为第二光线的波长;第三显示器件中法布里-珀罗腔的厚度最大调整量为λ3/4,λ3为第三光线的波长。当然,本发明并不仅限于此,在其他实施例中,法布里-珀罗腔的厚度最大调整量可以大于λ/4,如前所述,只要避免静电吸合效应即可。Optionally, in the structures of FIGS. 13 and 14 , the maximum adjustment amount of the thickness of the Fabry-Perot cavity in the first display device is λ1/4, and λ1 is the wavelength of the first light; The maximum adjustment of the thickness of the Bry-Perot cavity is λ2/4, and λ2 is the wavelength of the second light; the maximum adjustment of the thickness of the Fabry-Perot cavity in the third display device is λ3/4, and λ3 is the third wavelength of light. Of course, the present invention is not limited to this, and in other embodiments, the maximum adjustment amount of the thickness of the Fabry-Perot cavity may be greater than λ/4, as described above, as long as the electrostatic pull-in effect is avoided.
可选地,λ1=632.8nm,即第一光线为波长为632.8nm的红光,FP腔的厚度调整量范围为632.8nm~791nm或474.6nm~632.8nm;λ2=530nm,即第二光线为波长为530nm的绿光,FP腔的厚度调整量范围为530nm~662.5nm或397.5nm~530nm;λ3=450nm,即第三光线为波长为450nm的绿光,FP腔的厚度调整量范围为450nm~562.5nm或337.5nm~450nm。Optionally, λ1=632.8nm, that is, the first light is red light with a wavelength of 632.8nm, and the thickness adjustment range of the FP cavity is 632.8nm~791nm or 474.6nm~632.8nm; λ2=530nm, that is, the second light is For green light with a wavelength of 530nm, the thickness adjustment range of the FP cavity is 530nm~662.5nm or 397.5nm~530nm; λ3=450nm, that is, the third light is green light with a wavelength of 450nm, and the thickness adjustment range of the FP cavity is 450nm ~562.5nm or 337.5nm ~450nm.
当第一窄带光源为发射波长为632.8nm红光的激光光源时,在第一电极和第二电极不加电压的情况下,FP腔反射或透射的相邻两束光的相位差δ=4πnd/λ(这里n=1),当相位差为π的偶数倍时,透射光最强,反射光最弱。令δ=4πnd/λ=4π,可以得到d=632.8nm,以此作为初始厚度,这样λ/4=158.2nm,d1=791nm。根据透射谱线半高全宽10nm计算出两反射膜的反射率为90%。When the first narrow-band light source is a laser light source that emits red light with a wavelength of 632.8 nm, the phase difference δ=4πnd between the two adjacent beams reflected or transmitted by the FP cavity under the condition that no voltage is applied to the first electrode and the second electrode /λ (where n=1), when the phase difference is an even multiple of π, the transmitted light is the strongest and the reflected light is the weakest. Let δ=4πnd/λ=4π, d=632.8nm can be obtained, which is taken as the initial thickness, so that λ/4=158.2nm, d1=791nm. The reflectivity of the two reflective films is calculated to be 90% according to the full width at half maximum of the transmission line of 10 nm.
若将第一窄带光源设置在第二基板21背离第一基板20的一侧,则使用FP腔的透射光作显示。如图15所示,其中实线、点线分别为d=632.8nm、d1=791nm的情况,虚线对应红光632.8nm波长,可以明显看出,不加电压时,实线与虚线交点光强最大,显示为亮态,此处便为FP腔的中心波长,此时FP腔透射峰的半高全宽约10nm,相对于光源的线宽(约1~2nm)已经很大,不考虑吸收散射效应,光利用效率接近100%。当加入电压改变FP腔厚度使得d1=791nm时,点线与虚线的交点光强最小,显示为暗态(亮度最低)。此方式亮态对光利用率很高,暗态几乎为黑色,所以用这种方式调制的透射光显示图像对比度高。If the first narrow-band light source is arranged on the side of the
若将第一窄带光源设置在第一基板20背离第二基板21的一侧,则使用FP腔的反射光作显示。如图16所示,实线、点线分别为d=632.8nm、d1=791nm的情况,虚线对应红光632.8nm波长,可以明显看出,第一电极和第二电极不加电压时,实线与虚线交点光强最大,显示为亮态,此时反射峰半高全宽极宽,相对于光源的线宽(约1~2nm)已经很大,不考虑吸收散射效应,光利用效率接近100%。当加入电压改变FP腔厚度使得d1=791nm时,点线与虚线的交点光强最小,显示为暗态(亮度最低)。同样可利用在亮暗两个态停留的时间来改变显示亮度。If the first narrow-band light source is arranged on the side of the
当第二窄带光源为发射波长为530nm绿光的激光光源时,令δ=4πnd/λ=4π,可以得到d=530nm,以此作为初始厚度,这样λ/4=132.5nm,d1=662.5nm,计算得反射膜的反射率R=89%。When the second narrow-band light source is a laser light source that emits green light with a wavelength of 530nm, let δ=4πnd/λ=4π, and d=530nm can be obtained as the initial thickness, so that λ/4=132.5nm, d1=662.5nm , the reflectivity of the reflective film is calculated as R=89%.
若将第二窄带光源设置在第二基板21背离第一基板20的一侧,则使用FP腔的透射光作显示。如图17所示,其中实线、点线分别为d=530nm、d1=662.5nm的情况,虚线对应绿光530nm波长,可以明显看出,不加电压时,实线与虚线交点光强最大,显示为亮态,此处便为FP腔的中心波长,此时FP腔透射峰的半高全宽约10nm,相对于光源的线宽(约1~2nm)已经很大,不考虑吸收散射效应,光利用效率接近100%。当加入电压改变FP腔厚度使得d1=662.5nm时,点线与虚线的交点光强最小,显示为暗态(亮度最低)。If the second narrow-band light source is arranged on the side of the
若将第二窄带光源设置在第一基板20背离第二基板21的一侧,则使用FP腔的反射光作显示。如图18所示,实线、点线分别为d=530nm、d1=662.5nm的情况,虚线对应绿光530nm波长,可以明显看出,第一电极和第二电极不加电压时,实线与虚线交点光强最大,显示为亮态,此时反射峰半高全宽极宽,相对于光源的线宽(约1~2nm)已经很大,不考虑吸收散射效应,光利用效率接近100%。当加入电压改变FP腔厚度使得d1=662.5nm时,点线与虚线的交点光强最小,显示为暗态(亮度最低)。If the second narrow-band light source is arranged on the side of the
当第三窄带光源为发射波长为450nm蓝光的激光光源时,令δ=4πnd/λ=4π,可以得到d=450nm,以此作为初始厚度,这样λ/4=112.5nm,d1=562.5nm,计算得反射膜的反射率R=87%。When the third narrow-band light source is a laser light source that emits blue light with a wavelength of 450nm, let δ=4πnd/λ=4π, and d=450nm can be obtained as the initial thickness, so that λ/4=112.5nm, d1=562.5nm, The calculated reflectance of the reflective film is R=87%.
若将第三窄带光源设置在第二基板21背离第一基板20的一侧,则使用FP腔的透射光作显示。如图19所示,其中实线、点线分别为d=450nm、d1=562.5nm的情况,虚线对应蓝光450nm波长,可以明显看出,不加电压时,实线与虚线交点光强最大,显示为亮态,此处便为FP腔的中心波长,此时FP腔透射峰的半高全宽约10nm,相对于光源的线宽(约1~2nm)已经很大,不考虑吸收散射效应,光利用效率接近100%。当加入电压改变FP腔厚度使得d1=562.5nm时,点线与虚线的交点光强最小,显示为暗态(亮度最低)。If the third narrow-band light source is arranged on the side of the
若将第三窄带光源设置在第一基板20背离的第二基板21一侧,则使用FP腔的反射光作显示。如图20所示,实线、点线分别为d=450nm、d1=562.5nm的情况,虚线对应蓝光450nm波长,可以明显看出,第一电极和第二电极不加电压时,实线与虚线交点光强最大,显示为亮态,此时反射峰半高全宽极宽,相对于光源的线宽(约2nm)已经很大,不考虑吸收散射效应,光利用效率接近100%。当加入电压改变FP腔厚度使得d1=562.5nm时,点线与虚线的交点光强最小,显示为暗态(亮度最低)。If the third narrow-band light source is arranged on the side of the
上述反射式投影显示系统中由于入射光均为垂直入射器件表面(即θ=0°),因此,使用半透半反镜来区分处于调制面板同侧的入射光和反射光,但系统中半透半反镜的使用虽区分开进入调制面板的入射光和经调制的出射光,但光每经过一次半透半反镜时均会有一半的光能损耗。此时需要提高窄带光源的发光强度来达到较高的亮度。这种情况仅限于垂直入射时。而当以一个小角度(1~2°)入射器件表面,如图21所示,入射至调制面板的入射光和经调制的出射光便不再重合,因而无需半透半反镜便可实现光调制。以小角度入射,其调制思想与上述实施例描述的完全相同,但上述器件的相应参数以及图15-20中的调制曲线均会发生变化,这是本领域技术人员能够轻易根据本发明的思想所想到的。In the above-mentioned reflective projection display system, since the incident light is perpendicular to the surface of the device (ie, θ=0°), a half mirror is used to distinguish the incident light and reflected light on the same side of the modulation panel, but the half mirror in the system is used. Although the use of the transflective mirror distinguishes the incident light entering the modulation panel and the modulated outgoing light, half of the light energy will be lost every time the light passes through the transflective mirror. At this time, it is necessary to increase the luminous intensity of the narrow-band light source to achieve higher brightness. This situation is limited to normal incidence. However, when the device surface is incident at a small angle (1 to 2°), as shown in Figure 21, the incident light entering the modulation panel and the modulated outgoing light will no longer overlap, so it can be achieved without a half mirror. light modulation. Incident at a small angle, the modulation idea is exactly the same as that described in the above embodiment, but the corresponding parameters of the above devices and the modulation curves in Figs. thought.
本发明实施例还提供了一种场序投影显示系统,该投影显示系统采用一个场序彩色显示器件代替上述投影显示系统中的三个显示器件,如图22和图23所示,该投影显示系统包括窄带光源以及位于窄带光源出射光路上的显示器件,显示器件为图9所示的显示器件。An embodiment of the present invention also provides a field sequential projection display system, which uses a field sequential color display device to replace the three display devices in the above-mentioned projection display system. As shown in FIG. 22 and FIG. 23 , the projection display system The system includes a narrow-band light source and a display device located on the exit light path of the narrow-band light source, and the display device is the display device shown in FIG. 9 .
其中,对于图22所示的系统,窄带光源包括第一窄带光源221、第二窄带光源222和第三窄带光源223,还包括光源控制模块;第一窄带光源221用于发射第一光线;第二窄带光源222用于发射第二光线;第三窄带光源223用于发射第三光线;光源控制模块用于控制第一窄带光源221、第二窄带光源222和第三窄带光源223依次发光;显示器件224用于将特定光强的第一光线、第二光线和第三光线反射或透射至投影透镜225,以通过人眼的视觉暂留效果将投影透镜225出射的第一光线、第二光线和第三光线混合成彩色画面。Wherein, for the system shown in FIG. 22, the narrowband light source includes a first narrowband
而对于图23所示的反射式场序投影显示系统,不仅包括第一窄带光源231、第二窄带光源232、第三窄带光源233、显示器件234和投影透镜235,还包括分光膜或分光棱镜236,以通过分光膜或分光棱镜236将第一窄带光源231、第二窄带光源232和第三窄带光源233出射的光线反射至显示器件234,将显示器件234出射的光线透射至投影透镜235。The reflective field sequential projection display system shown in FIG. 23 includes not only a first narrowband
需要说明的是,本实施例提供的场序投影显示系统中,显示器件的法布里-珀罗腔的厚度调整量可以大于λ/4,也就是在厚度改变的过程中,器件对可见光区域400nm-700nm的光均有光谱响应。It should be noted that, in the field sequential projection display system provided in this embodiment, the thickness adjustment amount of the Fabry-Perot cavity of the display device may be greater than λ/4, that is, during the thickness change process, the device affects the visible light region. 400nm-700nm light has spectral response.
可选地,第一光线为红光,显示器件中法布里-珀罗腔的厚度调整量范围为632.8nm~791nm或474.6nm~632.8nm;第二光线为蓝光,显示器件中法布里-珀罗腔的厚度调整量范围为530nm~662.5nm或397.5nm~530nm;第三光线为绿光,显示器件中法布里-珀罗腔的厚度调整量范围为450nm~562.5nm或337.5~450nm。Optionally, the first light is red light, and the thickness adjustment range of the Fabry-Perot cavity in the display device is 632.8nm-791nm or 474.6nm-632.8nm; the second light is blue light, and the Fabry-Perot cavity in the display device - The thickness adjustment range of the Perot cavity is 530nm~662.5nm or 397.5nm~530nm; the third light is green light, and the thickness adjustment range of the Fabry-Perot cavity in the display device is 450nm~562.5nm or 337.5~ 450nm.
本实施例中提供的投影显示系统,通过设置红绿蓝三色窄带光源,使显示器件在可见光光谱范围内产生红色、蓝色、绿色等颜色,在三色光源快速切换以及器件中每个像素结构厚度快速变化中,由于人眼的视觉暂留效果,通过场序彩色显示模式,使投影显示系统投影出需要显示的彩色图像。In the projection display system provided in this embodiment, by setting red, green, and blue narrow-band light sources, the display device can generate red, blue, green and other colors in the visible light spectrum range, and the three-color light sources can be quickly switched and each pixel in the device. When the thickness of the structure changes rapidly, due to the visual persistence effect of the human eye, the projection display system projects the color image to be displayed through the field sequential color display mode.
本发明实施例还提供了一种显示装置,该显示装置包括窄带光源以及位于所述窄带光源出射光路上的显示器件,所述显示器件为如图10、11和12所示的显示器件。可选地,该显示装置可以为电视、头戴显示设备、视频眼镜、手机、电脑、手表等,其中,电视包括激光电视、大屏幕投影电视等背投电视。An embodiment of the present invention also provides a display device, which includes a narrowband light source and a display device located on the exit light path of the narrowband light source, and the display device is the display device shown in FIGS. 10 , 11 and 12 . Optionally, the display device may be a TV, a head-mounted display device, video glasses, a mobile phone, a computer, a watch, etc., wherein the TV includes a rear-projection TV such as a laser TV and a large-screen projection TV.
其中,窄带光源包括第一窄带光源、第二窄带光源和第三窄带光源;像素单元中的至少三个像素结构包括第一像素结构90、第二像素结构91和第三像素结构92;第一像素结构90用于反射或透射第一窄带光源发出的光线进行显示,第二像素结构91用于反射或透射第二窄带光源发出的光线进行显示,第三像素结构92用于反射或透射第三窄带光源发出的光线进行显示。The narrow-band light source includes a first narrow-band light source, a second narrow-band light source and a third narrow-band light source; the at least three pixel structures in the pixel unit include a
可选地,第一窄带光源为发射红光的光源、第二窄带光源为发射绿光的光源、第三窄带光源为发射蓝光的光源。进一步可选地,第一窄带光源、第二窄带光源和第三窄带光源为激光光源,当然,本发明并不仅限于此,在其他实施例中,第一窄带光源、第二窄带光源和第三窄带光源还可以是LED光源等。Optionally, the first narrow-band light source is a light source that emits red light, the second narrow-band light source is a light source that emits green light, and the third narrow-band light source is a light source that emits blue light. Further optionally, the first narrowband light source, the second narrowband light source and the third narrowband light source are laser light sources. Of course, the present invention is not limited to this. In other embodiments, the first narrowband light source, the second narrowband light source and the third narrowband light source are The narrow-band light source may also be an LED light source or the like.
可选地,所述第一显示器件中所述法布里-珀罗腔的厚度最大调整量为λ1/4,λ1为所述第一光线的波长;所述第二显示器件中所述法布里-珀罗腔的厚度最大调整量为λ2/4,λ2为所述第二光线的波长;所述第三显示器件中所述法布里-珀罗腔的厚度最大调整量为λ3/4,λ3为所述第三光线的波长。Optionally, the maximum adjustment amount of the thickness of the Fabry-Perot cavity in the first display device is λ1/4, and λ1 is the wavelength of the first light; The maximum adjustment amount of the thickness of the Bry-Perot cavity is λ2/4, and λ2 is the wavelength of the second light; the maximum adjustment amount of the thickness of the Fabry-Perot cavity in the third display device is λ3/ 4. λ3 is the wavelength of the third light.
可选地,λ1=632.8nm,即第一光线为波长为632.8nm的红光,FP腔的厚度变化范围为632.8nm~791nm或474.6nm~632.8nm;λ2=530nm,即第二光线为波长为530nm的绿光,FP腔的厚度变化范围为530nm~662.5nm或397.5nm~530nm或337.5nm~450nm;λ3=450nm,即第三光线为波长为450nm的绿光,FP腔的厚度变化范围为450nm~562.5nm或337.5nm~450nm。Optionally, λ1=632.8 nm, that is, the first light is red light with a wavelength of 632.8 nm, and the thickness variation range of the FP cavity is 632.8 nm~791 nm or 474.6 nm~632.8 nm; λ2=530 nm, that is, the second light is a wavelength is 530nm green light, the thickness variation range of the FP cavity is 530nm~662.5nm or 397.5nm~530nm or 337.5nm~450nm; λ3=450nm, that is, the third light is green light with a wavelength of 450nm, and the thickness variation range of the FP cavity It is 450nm~562.5nm or 337.5nm~450nm.
本发明实施例还提供了一种场序显示装置,如图24和25所示,包括显示器件和光源模组;The embodiment of the present invention also provides a field sequential display device, as shown in FIGS. 24 and 25 , including a display device and a light source module;
显示器件为图9所示的显示器件;The display device is the display device shown in FIG. 9;
对于图24所示的系统,光源模组包括第一窄带光源241、第二窄带光源242、第三窄带光源243和光源控制模块,第一窄带光源241用于发射第一光线,第二窄带光源242用于发射第二光线,第三窄带光源243用于发射第三光线;光源控制模块用于控制第一窄带光源241、第二窄带光源242和第三窄带光源243依次发光;显示器件244用于反射或透射特定光强的第一光线、第二光线和第三光线,以通过人眼的视觉暂留效果将显示器件244出射的第一光线、第二光线和第三光线混合成彩色画面。For the system shown in FIG. 24, the light source module includes a first narrowband
而对于图25所示的反射式场序显示装置,不仅包括第一窄带光源251、第二窄带光源252、第三窄带光源253、显示器件254和显示器件255,还包括分光膜或分光棱镜256,以通过分光膜或分光棱镜256将第一窄带光源251、第二窄带光源252和第三窄带光源253出射的光线反射至显示器件254,将显示器件254出射的光线透射至显示器件255。For the reflective field sequential display device shown in FIG. 25 , it not only includes the first narrowband
需要说明的是,本实施例提供的场序显示装置中,显示器件的法布里-珀罗腔的厚度调整量可以大于λ/4,也就是在厚度改变的过程中,器件对可见光区域400nm-700nm的光均有光谱响应。It should be noted that, in the field sequential display device provided in this embodiment, the thickness adjustment amount of the Fabry-Perot cavity of the display device can be greater than λ/4, that is, during the thickness change process, the device has an effect of 400 nm on the visible light region. -700nm light has spectral response.
可选地,第一光线为红光,显示器件中法布里-珀罗腔的厚度调整量范围为632.8nm~791nm或474.6nm~632.8nm;第二光线为蓝光,显示器件中法布里-珀罗腔的厚度调整量范围为530nm~662.5nm或397.5nm~530nm;第三光线为绿光,显示器件中法布里-珀罗腔的厚度调整量范围为450nm~562.5nm或337.5~450nm。Optionally, the first light is red light, and the thickness adjustment range of the Fabry-Perot cavity in the display device is 632.8nm-791nm or 474.6nm-632.8nm; the second light is blue light, and the Fabry-Perot cavity in the display device - The thickness adjustment range of the Perot cavity is 530nm~662.5nm or 397.5nm~530nm; the third light is green light, and the thickness adjustment range of the Fabry-Perot cavity in the display device is 450nm~562.5nm or 337.5~ 450nm.
本实施例提供的显示装置,通过设置红绿蓝三色窄带光源,使显示器件在可见光光谱范围内产生红色、蓝色、绿色等颜色,在三色光源快速切换以及器件中每个像素结构厚度快速变化中,由于人眼的视觉暂留效果,通过场序彩色显示模式,使显示装置显示为需要显示的彩色图像。In the display device provided in this embodiment, by setting red, green and blue three-color narrow-band light sources, the display device can generate red, blue, green and other colors in the visible light spectrum range, and the three-color light sources can be quickly switched and the thickness of each pixel structure in the device can be quickly switched. During rapid changes, due to the visual persistence effect of the human eye, the display device can display the color image that needs to be displayed through the field sequential color display mode.
光源与透射率的对应关系如图15至图20所示,在此不再赘述。The corresponding relationship between the light source and the transmittance is shown in FIG. 15 to FIG. 20 , which will not be repeated here.
实际光的透射率可以从这个式子反应其中P(λ)是光源的强度谱线函数,T(λ)是器件透射率函数,λ1-λ2对应窄带光源发光光谱的波长范围。也就是说,对应于光源的每个波长,FP腔都有一个对应的透射率,用加权平均的思想来计算器件的透射率。实际光的反射率为其中P(λ)是光源的强度谱线函数,R(λ)是器件透射率函数。对应于光源的每个波长,FP腔都有一个对应的反射率,同样用加权平均的思想来计算器件的反射率。The actual transmittance of light can be reacted from this formula Among them, P(λ) is the intensity spectral line function of the light source, T(λ) is the device transmittance function, and λ1 -λ2 corresponds to the wavelength range of the emission spectrum of the narrow-band light source. That is to say, corresponding to each wavelength of the light source, the FP cavity has a corresponding transmittance, and the transmittance of the device is calculated by the idea of weighted average. The reflectivity of the actual light is where P(λ) is the intensity spectral line function of the light source, and R(λ) is the device transmittance function. Corresponding to each wavelength of the light source, the FP cavity has a corresponding reflectivity, and the idea of weighted average is also used to calculate the reflectivity of the device.
此外,由于本发明实施例提供的调整FP腔厚度的方式属于微光机电系统(MOEMS)范畴,其响应速度极快,在微秒量级,如同数字微镜元件,可以通过在一定时间内可动版的反复移动,每秒进行几千次的亮暗变化,因此,本发明实施例中可以通过控制像素结构在亮态或暗态的停留时间比例,来实现显示亮度的调节。此外,本发明实施例还可以通过控制像素结构在亮态或暗态的停留时间比例增加对比度。In addition, since the method for adjusting the thickness of the FP cavity provided by the embodiments of the present invention belongs to the category of micro-optical electromechanical systems (MOEMS), its response speed is extremely fast. The repeated movement of the moving plate results in thousands of bright and dark changes per second. Therefore, in the embodiment of the present invention, the display brightness can be adjusted by controlling the dwell time ratio of the pixel structure in the bright state or the dark state. In addition, the embodiment of the present invention can also increase the contrast ratio by controlling the dwell time ratio of the pixel structure in the bright state or the dark state.
以波长632.8nm的红光为例,如图15所示,当d=632.8nm时,通过计算加权平均透射率,透射率约97%,d1=791nm时,通过计算加权平均透射率,透射率约0.3%,对比度CFP=97%/0.3%=323:1。Taking the red light with wavelength of 632.8nm as an example, as shown in Figure 15, when d=632.8nm, by calculating the weighted average transmittance, the transmittance is about 97%, and when d1=791nm, by calculating the weighted average transmittance, the transmittance About 0.3%, contrast ratio CFP = 97%/0.3% = 323:1.
如图16所示,当d=632.8nm时,显示为暗态,通过计算加权平均反射率,反射率约99.7%,当d1=791nm时,显示亮态,通过计算加权平均反射率,反射率约2.7%,对比度CFP=99.7%/2.7%=37:1。此外,可以控制器件在亮态或暗态停留的时间,实际的器件对比度可由体现,如果Ton/Toff=100:1,那么,用FP腔透射光显示的器件的对比度就为32300:1,用FP腔反射光显示的器件的对比度为3700:1。也就是说,无论使用透射光还是反射光显示,只要CFP>1,就可以通过控制亮态和暗态的停留时间比来增大对比度,同时也可以通过控制停留时间比来改变显示亮度。As shown in Figure 16, when d=632.8nm, it shows a dark state. By calculating the weighted average reflectance, the reflectivity is about 99.7%. When d1=791nm, it shows a bright state. By calculating the weighted average reflectance, the reflectance About 2.7%, contrast ratio CFP = 99.7%/2.7% = 37:1. In addition, the time the device stays in the bright or dark state can be controlled, and the actual device contrast can be determined by It is embodied that if Ton /Toff =100:1, then the contrast ratio of the device displayed by the transmitted light of the FP cavity is 32300:1, and the contrast ratio of the device displayed by the reflected light of the FP cavity is 3700:1. That is to say, no matter using transmitted light or reflected light display, as long as CFP >1, the contrast ratio can be increased by controlling the dwell time ratio of the bright state and the dark state, and the display brightness can also be changed by controlling the dwell time ratio.
除以上所有提及的亮暗态之外,还可选取其他位置作为亮态或者暗态。以图15透射谱线为例,在不加电压时FP腔厚度d=632.8nm,显示最亮,当通过改变电压,使得FP腔的厚度增大到d=700nm,在此处也可以作为显示的暗态;同样,以图13反射谱线为例,在不加电压时FP腔厚度d=632.8nm,显示最暗,当通过增加电压,使得FP腔的厚度增大到d=700nm作为显示的亮态。以此方式在牺牲少量对比度的同时,减小了厚度变化范围,进而降低所需电压,减小了功耗。In addition to all the above-mentioned bright and dark states, other positions can also be selected as bright or dark states. Taking the transmission line in Figure 15 as an example, when no voltage is applied, the thickness of the FP cavity is d=632.8nm, and the display is the brightest. When the voltage is changed, the thickness of the FP cavity is increased to d=700nm, which can also be used as a display here. Similarly, taking the reflection line in Figure 13 as an example, when no voltage is applied, the thickness of the FP cavity is d=632.8nm, which shows the darkest state. When the voltage is increased, the thickness of the FP cavity is increased to d=700nm as a display bright state. In this way, while sacrificing a small amount of contrast, the thickness variation range is reduced, thereby reducing the required voltage and reducing power consumption.
在以上所提的所有实施例中,FP腔的厚度均增加λ/4,但根据本发明的思想FP腔的厚度亦可减小λ/4来实现上述的功能,仅需避免静电吸合效应。这是本领域技术人员能够轻易根据本发明的思想所想到的。In all the above-mentioned embodiments, the thickness of the FP cavity is increased by λ/4, but according to the idea of the present invention, the thickness of the FP cavity can also be reduced by λ/4 to achieve the above-mentioned functions, and it is only necessary to avoid the electrostatic pull-in effect. . This is easily thought by those skilled in the art according to the idea of the present invention.
本说明书中各个实施例采用递进的方式描述,每个实施例重点说明的都是与其他实施例的不同之处,各个实施例之间相同相似部分互相参见即可。对所公开的实施例的上述说明,使本领域专业技术人员能够实现或使用本发明。对这些实施例的多种修改对本领域的专业技术人员来说将是显而易见的,本文中所定义的一般原理可以在不脱离本发明的精神或范围的情况下,在其它实施例中实现。因此,本发明将不会被限制于本文所示的这些实施例,而是要符合与本文所公开的原理和新颖特点相一致的最宽的范围。The various embodiments in this specification are described in a progressive manner, and each embodiment focuses on the differences from other embodiments, and the same and similar parts between the various embodiments can be referred to each other. The above description of the disclosed embodiments enables any person skilled in the art to make or use the present invention. Various modifications to these embodiments will be readily apparent to those skilled in the art, and the generic principles defined herein may be implemented in other embodiments without departing from the spirit or scope of the invention. Thus, the present invention is not intended to be limited to the embodiments shown herein, but is to be accorded the widest scope consistent with the principles and novel features disclosed herein.
| Application Number | Priority Date | Filing Date | Title |
|---|---|---|---|
| CN201910270176.1ACN109901285B (en) | 2019-04-04 | 2019-04-04 | A pixel structure, display device, projection display system and display device |
| Application Number | Priority Date | Filing Date | Title |
|---|---|---|---|
| CN201910270176.1ACN109901285B (en) | 2019-04-04 | 2019-04-04 | A pixel structure, display device, projection display system and display device |
| Publication Number | Publication Date |
|---|---|
| CN109901285A CN109901285A (en) | 2019-06-18 |
| CN109901285Btrue CN109901285B (en) | 2020-11-10 |
| Application Number | Title | Priority Date | Filing Date |
|---|---|---|---|
| CN201910270176.1AActiveCN109901285B (en) | 2019-04-04 | 2019-04-04 | A pixel structure, display device, projection display system and display device |
| Country | Link |
|---|---|
| CN (1) | CN109901285B (en) |
| Publication number | Priority date | Publication date | Assignee | Title |
|---|---|---|---|---|
| US7370185B2 (en)* | 2003-04-30 | 2008-05-06 | Hewlett-Packard Development Company, L.P. | Self-packaged optical interference display device having anti-stiction bumps, integral micro-lens, and reflection-absorbing layers |
| US7733553B2 (en)* | 2005-09-21 | 2010-06-08 | Hewlett-Packard Development Company, L.P. | Light modulator with tunable optical state |
| US7561133B2 (en)* | 2005-12-29 | 2009-07-14 | Xerox Corporation | System and methods of device independent display using tunable individually-addressable fabry-perot membranes |
| GB2434877A (en)* | 2006-02-06 | 2007-08-08 | Qinetiq Ltd | MOEMS optical modulator |
| CN105911689B (en)* | 2016-06-08 | 2018-09-18 | 京东方科技集团股份有限公司 | Display base plate, display panel and display device |
| CN107479185A (en)* | 2017-09-30 | 2017-12-15 | 广东欧珀移动通信有限公司 | Optical filter, display device and electronic device |
| Publication number | Publication date |
|---|---|
| CN109901285A (en) | 2019-06-18 |
| Publication | Publication Date | Title |
|---|---|---|
| CN109828406B (en) | Pixel structure, display device and projection display system | |
| JP5478493B2 (en) | Translucent / semi-transmissive light emitting interference device | |
| JP5444255B2 (en) | Interferometric modulator in transmission mode. | |
| US10349488B2 (en) | Software configurable lighting device | |
| US7270428B2 (en) | 2D/3D data projector | |
| US7059728B2 (en) | 2D/3D data projector | |
| KR101142058B1 (en) | Method and device for manipulating color in a display | |
| TW202011080A (en) | Augmented/virtual reality near eye display with edge imaging spectacle lens | |
| JP2006113560A (en) | Method and device for reflectance with predetermined spectral response | |
| JP2012068681A (en) | Hybrid color synthesis for multistate reflective modulator display | |
| JP5866936B2 (en) | Image display system | |
| US11656466B2 (en) | Spatio-temporal multiplexed single panel based mutual occlusion capable head mounted display system and method | |
| CN114089537B (en) | Zoom device, AR equipment and myopia correction method | |
| CN109901285B (en) | A pixel structure, display device, projection display system and display device | |
| US10908408B2 (en) | Pixel structure, method for manufacturing pixel structure array substrate, and display device | |
| CN215117148U (en) | A Monolithic Field Sequential Projection Display System Based on Optical Interference Effect | |
| CN113552762A (en) | A Monolithic Field Sequential Projection Display System Based on Optical Interference Effect | |
| US6919885B2 (en) | Reflective display device and electronic device | |
| JP2008107379A (en) | projector | |
| EP4296776A1 (en) | Infrared light source module and projection device | |
| KR100358807B1 (en) | A color-filter embedded projection system | |
| US20220171265A1 (en) | Solid state illumination for optical projector using static phosphors | |
| CN102736381A (en) | Optical engine used for reflection-type mini-projector | |
| JPH11202223A (en) | Optical switching element and image display device |
| Date | Code | Title | Description |
|---|---|---|---|
| PB01 | Publication | ||
| PB01 | Publication | ||
| SE01 | Entry into force of request for substantive examination | ||
| SE01 | Entry into force of request for substantive examination | ||
| GR01 | Patent grant | ||
| GR01 | Patent grant |