Movatterモバイル変換


[0]ホーム

URL:


CN109889978B - Base station positioning method and device - Google Patents

Base station positioning method and device
Download PDF

Info

Publication number
CN109889978B
CN109889978BCN201910136418.8ACN201910136418ACN109889978BCN 109889978 BCN109889978 BCN 109889978BCN 201910136418 ACN201910136418 ACN 201910136418ACN 109889978 BCN109889978 BCN 109889978B
Authority
CN
China
Prior art keywords
positioning
base station
slave
positioning base
terminal
Prior art date
Legal status (The legal status is an assumption and is not a legal conclusion. Google has not performed a legal analysis and makes no representation as to the accuracy of the status listed.)
Active
Application number
CN201910136418.8A
Other languages
Chinese (zh)
Other versions
CN109889978A (en
Inventor
裴玉奎
夏天琪
Current Assignee (The listed assignees may be inaccurate. Google has not performed a legal analysis and makes no representation or warranty as to the accuracy of the list.)
Guangzhou Tuguiyao Information Technology Co ltd
Research Institute Of Tsinghua Pearl River Delta
Original Assignee
Guangzhou Tuguiyao Information Technology Co ltd
Research Institute Of Tsinghua Pearl River Delta
Priority date (The priority date is an assumption and is not a legal conclusion. Google has not performed a legal analysis and makes no representation as to the accuracy of the date listed.)
Filing date
Publication date
Application filed by Guangzhou Tuguiyao Information Technology Co ltd, Research Institute Of Tsinghua Pearl River DeltafiledCriticalGuangzhou Tuguiyao Information Technology Co ltd
Priority to CN201910136418.8ApriorityCriticalpatent/CN109889978B/en
Publication of CN109889978ApublicationCriticalpatent/CN109889978A/en
Application grantedgrantedCritical
Publication of CN109889978BpublicationCriticalpatent/CN109889978B/en
Activelegal-statusCriticalCurrent
Anticipated expirationlegal-statusCritical

Links

Images

Landscapes

Abstract

The disclosure provides a base station positioning method and device. The method comprises the following steps: receiving a first positioning signal sent by a main positioning base station and acquiring clock information t at the current moment0(ii) a Receiving at least three second positioning signals sent by the slave positioning base station after receiving the first positioning signals, and respectively acquiring clock information t when receiving the second positioning signalsiThe second positioning signal carries the clock information T when receiving the first positioning signal from the positioning base stationi0Clock information T when transmitting the second positioning signal from the positioning base stationi(ii) a Based on t0T of at least three slave positioning base stationsi、Ti0And TiRespectively determining first distance differences R from the positioning terminal to at least three slave positioning base stations and to the master positioning base stationi0(ii) a Based on Ri0Determining the position information of the positioning terminal according to the position information of the main positioning base station and the position information of the at least three slave positioning base stations; the main positioning base station and the at least three slave positioning base stations are not located on the same plane, and the positioning base stations located on the same plane are not located on the same straight line.

Description

Base station positioning method and device
Technical Field
The present disclosure relates to the field of positioning technologies, and in particular, to a base station positioning method and apparatus.
Background
With the development of scientific technology, the application of positioning technology is more and more extensive, and great convenience is brought to the life of users. The positioning of a base station is an important positioning method, and can position a positioning terminal in a radio coverage area.
In the prior art, TOA (Time Of Arrival) is a positioning method based on reverse link, and can measure the propagation Time Of the signal Of the positioning terminal arriving at a plurality Of positioning base stations, and then convert the propagation Time into distance, thereby determining the position Of the positioning terminal.
However, in the prior art, on one hand, the positioning terminal needs to obtain the positioning result from the server, which results in a large positioning delay, and on the other hand, the positioning base station needs to perform bidirectional communication with each positioning terminal, and the communication processes with each positioning terminal cannot overlap in time, so that the number of positioning terminals performing positioning is limited by the communication channel capacity and the upper limit of the refresh frequency of the positioning system, and it is difficult to provide positioning services to a large number of positioning terminals.
Disclosure of Invention
The present disclosure provides a method and an apparatus for positioning a base station, so as to reduce positioning delay, avoid the positioning being limited by the communication channel capacity and the refresh frequency of the positioning system, and improve the capacity of the positioning system.
In order to achieve the above purpose, the technical scheme adopted by the disclosure is as follows:
in a first aspect, the present disclosure provides a base station positioning method, applied to a positioning terminal, the method including:
receiving a first positioning signal sent by a main positioning base station and acquiring clock information t at the current moment0
Receiving at least three second positioning signals sent by the slave positioning base station after receiving the first positioning signals, and respectively acquiring clock information t when receiving the second positioning signalsiThe second positioning signal carries clock information T when receiving the first positioning signal from a positioning base stationi0Clock information T when the slave positioning base station transmits the second positioning signaliI is the number of the slave positioning base station;
based on t0T of the at least three slave positioning base stationsi、Ti0And TiRespectively determining first distance differences R from the positioning terminal to the at least three slave positioning base stations and to the master positioning base stationi0
Based on first distance differences R of the positioning terminal to the at least three slave positioning base stations and to the master positioning base stationi0Determining the position information of the positioning terminal according to the position information of the main positioning base station and the position information of the at least three slave positioning base stations;
the main positioning base station and the at least three slave positioning base stations are not located on the same plane, and the positioning base stations located on the same plane are not located on the same straight line.
In a second aspect, the present disclosure further provides a base station positioning apparatus, applied in a positioning terminal, where the apparatus includes:
a first receiving module, configured to receive a first positioning signal sent by a master positioning base station, and obtain clock information t of a current time0
A second receiving module, configured to receive at least three second positioning signals sent by the slave positioning base station after receiving the first positioning signal, and respectively obtain clock information t when the second positioning signals are receivediThe second positioning signal carries clock information T when receiving the first positioning signal from a positioning base stationi0Clock information T when the slave positioning base station transmits the second positioning signaliI is the number of the slave positioning base station;
a first determination module for determining a first threshold value based on t0T of the at least three slave positioning base stationsi、Ti0And TiRespectively determining first distance differences R from the positioning terminal to the at least three slave positioning base stations and to the master positioning base stationi0
A second determining module for determining a second positioning base station based on a second distance difference R between the positioning terminal and the at least three secondary positioning base stationsi0Determining the position information of the positioning terminal according to the position information of the main positioning base station and the position information of the at least three slave positioning base stations;
the main positioning base station and the at least three slave positioning base stations are not located on the same plane, and the positioning base stations located on the same plane are not located on the same straight line.
In a third aspect, the present disclosure also provides an electronic device, including a computer-readable storage medium storing a computer program and a processor, where the computer program is read by the processor and executed to implement the method in the first aspect.
In a fourth aspect, the present disclosure also proposes a computer-readable storage medium, on which a computer program is stored, which, when read and executed by a processor, implements the method of the first aspect.
In this disclosure, the positioning terminal may receive a first positioning signal sent by the master positioning base station and determine clock information when the first positioning signal is received, receive second positioning signals of at least three slave positioning base stations and determine clock information when each second positioning signal is received, where the first positioning signal carries position information of the master positioning base station, and each second positioning signal carries clock information when the slave positioning base station receives the first positioning signal and clock information when the second positioning signal is sent. Since the transmission speed of the signal is fixed, the difference between the transmission of the signal between the positioning terminal and the slave positioning base station and the transmission of the signal between the positioning terminal and the master positioning base station can be determined based on the clock information, and then the difference between the distance between the positioning terminal and each slave positioning base station and the distance between the positioning terminal and the master positioning base station can be determined, and since the position information of the master positioning base station and each slave positioning base station is determined, the position information of the positioning terminal can be determined, thereby completing the positioning. The positioning terminal completes the positioning process of the positioning terminal, so that the time delay of obtaining the positioning result from the server is avoided, the positioning timeliness is improved, the positioning is also avoided being limited by the communication channel capacity and the refreshing frequency of the positioning system, the positioning capacity is greatly improved, and the positioning service can be provided for a large number of positioning.
Additional features and advantages of the disclosure will be set forth in the description which follows, and in part will be obvious from the description, or may be learned by the practice of the disclosure. The objectives and other advantages of the disclosure may be realized and attained by the structure particularly pointed out in the written description and claims hereof as well as the appended drawings.
Drawings
To more clearly illustrate the technical solutions of the present disclosure, the drawings needed for the embodiments will be briefly described below, it should be understood that the following drawings only illustrate some embodiments of the present disclosure, and therefore should not be considered as limiting the scope, and those skilled in the art can also obtain other related drawings based on the drawings without inventive efforts.
Fig. 1 shows a schematic structural diagram of a base station positioning system provided by the present disclosure;
fig. 2 shows a schematic structural diagram of another base station positioning system provided by the present disclosure;
fig. 3 is a flowchart illustrating a base station positioning method provided by the present disclosure;
FIG. 4 illustrates a schematic diagram of a base transceiver station provided by the present disclosure;
fig. 5 is a flow chart illustrating another base station positioning method provided by the present disclosure;
fig. 6 shows a functional block diagram of a base station positioning apparatus provided by the present disclosure;
fig. 7 shows a functional block diagram of another base station positioning apparatus provided by the present disclosure;
fig. 8 shows a functional block diagram of another base station positioning apparatus provided by the present disclosure;
fig. 9 shows a functional block diagram of another base station positioning apparatus provided by the present disclosure;
fig. 10 shows a functional module schematic diagram of an electronic device provided by the present disclosure.
Detailed Description
The technical solutions in the present disclosure will be described clearly and completely with reference to the accompanying drawings in the present disclosure, and it is to be understood that the described embodiments are only a part of the embodiments of the present disclosure, and not all of the embodiments. All other embodiments, which can be derived by a person skilled in the art from the embodiments of the disclosure without making creative efforts, shall fall within the protection scope of the disclosure.
It should be noted that like reference numerals and letters refer to like items in the following figures, and thus, once an item is defined in one figure, it need not be further defined and explained in subsequent figures.
It should also be noted that, in the description of the present disclosure, the terms "first", "second", and the like are used only for distinguishing the description, and are not to be construed as indicating or implying relative importance.
Before explaining the present disclosure in detail, an application scenario of the present disclosure will be described.
Base station positioning has been widely used in various indoor or outdoor scenes such as warehouses, nursing homes, prisons, shopping malls, exhibition halls, tunnels, squares, airports, stadiums, and the like, to position various objects such as persons, articles, vehicles, and the like.
Referring to fig. 1, the base station positioning system includes a plurality ofpositioning base stations 101, aserver 102 and apositioning terminal 103. Thepositioning base stations 101 and theserver 102 may be arranged in a scene where base station positioning is required, thepositioning terminal 103 may be arranged (for example, externally arranged, embedded, or carried, for example, when positioning a person, thepositioning terminal 103 may include a watch or a bracelet to be worn on the person, and when positioning an article, thepositioning terminal 103 may be embedded in the article) on an object in the scene where base station positioning is required, and eachpositioning base station 101 may be in communication connection with theserver 102 and otherpositioning base stations 101 in a wired or wireless manner, and thepositioning base station 101 may also be in communication connection with thepositioning terminal 103 in a wireless manner.
Thepositioning base station 101 refers to a radio transceiver station capable of communicating information with thepositioning terminal 103 in a certain radio coverage area.
It should be noted that the plurality ofpositioning base stations 101 disposed in the same scenario may include one masterpositioning base station 101 and at least three slavepositioning base stations 101, and eachpositioning base station 101 as the masterpositioning base station 101 or the slavepositioning base station 101 may be determined by theserver 102.
For example, in order to increase the robustness of the system, the plurality ofpositioning base stations 101 may be configured as masterpositioning base stations 101 by turns and otherpositioning base stations 101 may be configured as slavepositioning base stations 101 by theserver 102.
Among them, the masterpositioning base station 101 may transmit and receive wireless communication signals, and the slavepositioning base station 101 may receive only wireless communication signals and may transmit wireless communication signals to the server.
In the base station positioning system, the masterpositioning base station 101 and the at least three slavepositioning base stations 101 are not located on the same plane, and the positioning base stations located on the same plane are not located on the same straight line. And when the number of the slavepositioning base stations 101 is larger, the higher the resolution redundancy of the position where thepositioning terminal 103 can be determined is, so that the accuracy of positioning thepositioning terminal 103 is higher.
Note that, in order to facilitate thepositioning terminal 103 to recognize each slavepositioning base station 101 and to accurately receive a signal from each slavepositioning base station 101, the base station identifier of each slavepositioning base station 101 may be determined in advance.
The base station identifier is information for identifying the positioning base station, and for example, the base station identifier may include a base station number, a base station name, or a base station ID (Identification card).
Thepositioning terminal 103 can communicate with thepositioning base station 101.
The Wireless communication signals may include UWB (Ultra wide band), RFID (Radio Frequency Identification), WIFI (Wireless-Fidelity), bluetooth, ZIGBEE (ZIGBEE) and other Wireless communication signals.
Theserver 102 is a device with computing capabilities, such as a tablet computer, a Personal computer, or a PDA (Personal Digital Assistant). Theserver 102 may manage eachpositioning base station 101 and process data from eachpositioning base station 101, such as configuring, controlling, upgrading, detecting heartbeats, etc. for eachpositioning base station 101.
For example, theserver 102 may be provided with an upper computer solution unit and a database.
In practical applications, theserver 102 may communicate with thepositioning terminal 103 through the aforementioned wireless communication signal.
The clock information is information that can indicate time obtained according to the system clock, and for example, the clock information may include a timestamp.
Fig. 2 is a schematic structural diagram of a base station positioning system according to the present disclosure. As shown in fig. 2, a plurality ofpositioning base stations 101 in the base station positioning system may be distributed at different positions in a scene that needs positioning, and include one masterpositioning base station 101 and at least three slavepositioning base stations 101, and a positioning terminal 103 (drone) moves in the scene. When positioning is performed by the above-described positioning system, each positioning base station may transmit a signal in the form of a broadcast (as in fig. 2, signal propagation is indicated by a dotted line). The masterpositioning base station 101 transmits a first positioning signal, and each slavepositioning base station 101 receives the first positioning signal and sequentially transmits a second positioning signal to thepositioning terminal 103. Since the signal transmission speed is fixed, the positioning terminal 103 sequentially receives the first positioning signal and the at least three second positioning signals, determines the difference between the distances to the at least three slavepositioning base stations 101 and the distance to the masterpositioning base station 101 based on the timings of receiving the first positioning signal and the at least three second positioning signals, and determines the position information of thepositioning terminal 103 based on the position information of the masterpositioning base station 101 and the at least three slavepositioning base stations 101, thereby completing the positioning.
The first positioning signal is a signal transmitted by the masterpositioning base station 101 and used for positioning thepositioning terminal 103.
The second positioning signal is a signal transmitted from positioningbase station 101 to positionpositioning terminal 103.
As is apparent from the foregoing description, each positioning base station can transmit signals in a broadcast manner, and therefore, in order to reduce the possibility of signal interference of a plurality of positioning base stations, ensure that thepositioning terminal 103 can receive any signal from thepositioning base station 101, and further improve the reliability of positioning, eachpositioning base station 101 can transmit signals to thepositioning terminal 103 in a time division manner. For example, a token passing manner may be adopted, after the masterpositioning base station 101 sends the first positioning signal, each slavepositioning base station 101 may receive the first positioning signal, and after receiving the first positioning signal, sequentially send the second positioning signals according to a preset order or a random order, so that each second positioning signal reaches thepositioning terminal 103 at different times. For example, when the slave positioning base stations sequentially transmit the second positioning signals in a preset order, the slave positioning base station that is ranked earlier may transmit the second positioning signal first, and for any slavepositioning base station 101, may receive the second positioning signal and determine the number of the slavepositioning base station 101 from which the currently received second positioning signal is received, and when it is determined that the own terminal is the next slavepositioning base station 101 that transmits the second positioning signal based on the number and the number of the own terminal, the second positioning signal is transmitted in a broadcast form. Accordingly, thepositioning terminal 103 may receive the first positioning signal and each second positioning signal in turn. Of course, in practical applications, each slavepositioning base station 101 may also transmit the second positioning signal by other methods, so as to ensure that thepositioning terminal 103 can accurately receive the second positioning signal of each slavepositioning base station 101.
It should be further noted that the masterpositioning base station 101 may send the first positioning signal according to a specific frequency, and correspondingly, each slavepositioning base station 101 may send the second positioning signal after receiving the first positioning signal each time, so that the positioning terminal may determine the position information of the positioning terminal according to the specific frequency, thereby achieving the purpose of periodic or real-time positioning.
For example, when the base station positioning system includes 8 positioning base stations (one master positioning base station and 7 slave positioning base stations), each positioning base station sequentially transmits a signal once, and the positioning terminal can complete positioning once. And because the time for each positioning base station to transmit signals is about 3 milliseconds, the time required by the positioning terminal to perform positioning once is less than or equal to 25 milliseconds, that is, the maximum frequency for the positioning terminal to perform positioning can reach 250 hertz.
The location information is used to describe the location of the positioning base station or the positioning terminal, and may include coordinates or longitude and latitude.
After the application scenario of the present disclosure is introduced, the base station positioning method provided by the present disclosure will be described in detail.
Fig. 3 is a schematic flow chart of a base station positioning method according to the present disclosure. The method is applied to the positioning terminal. It should be noted that the base station positioning method described in the present disclosure is not limited by the specific sequence shown in fig. 3 and described below, and it should be understood that, in other embodiments, the sequence of some steps in the base station positioning method described in the present disclosure may be interchanged according to actual needs, or some steps may be omitted or deleted. The flow shown in fig. 3 will be explained in detail below.
Step 301, receiving a first positioning signal sent by a master positioning base station, and obtaining clock information t of the current time0
In order to ensure that the subsequent positioning terminal can position the positioning terminal according to the transmission of the received signal between the positioning terminal to the master positioning base station and to the at least three slave positioning base stations, the positioning terminal may receive the first positioning signal of the master positioning base station and determine the clock information when the first positioning signal is received.
It should be noted that the first positioning signal may also carry more information, such as the location information of the primary positioning base station.
The location information of the master positioning base station may be determined in advance by the master positioning base station, for example, the master positioning base station may obtain the location information of the master positioning base station by receiving the location information sent by the server.
Referring to fig. 4, the master positioning base station sends a first positioning signal, and each of the slave positioning base stations and the positioning terminal can receive the first positioning signal. Wherein, when the positioning terminal receives the first positioning signal, it generates the clock information t0
Where the boxes in figure 4 represent the antenna delay.
It should be noted that the first positioning signal may carry a base station identifier (such as a base station number) of the master positioning base station, so that the slave positioning base station or the positioning terminal determines that the received signal is the first positioning signal from the master positioning base station.
In astep 302 of the method,receiving at least three second positioning signals sent by the slave positioning base station after receiving the first positioning signals, and respectively acquiring clock information t when receiving the second positioning signalsiThe second positioning signal carries the clock information T when receiving the first positioning signal from the positioning base stationi0Clock information T when the second positioning signal is transmitted from the positioning base stationiAnd i is the number of the slave positioning base station.
The main positioning base station and the at least three slave positioning base stations are not located on the same plane, and the positioning base stations located on the same plane are not located on the same straight line.
In order to ensure that the subsequent positioning terminal can position the positioning terminal according to the transmission of the signals between the positioning terminal to the master positioning base station and to the at least three slave positioning base stations, the positioning terminal may receive the second positioning signals sent by the at least three slave positioning base stations and determine the clock information when the second positioning signals are received.
Referring to fig. 4, after the master positioning base station sends the first positioning signal, each slave positioning base station receives the first positioning signal, and determines the clock information T when receiving the first positioning signali0. Each slave positioning base station sequentially transmits a second positioning signal and determines clock information T when the second positioning signal is transmittediWill Ti0And TiCarried in the second positioning signal. For example, in fig. 4, the slave positioning base stations include the slave positioning base station 1, the slave positioning base station 2, the slave positioning base station 3, and the slave positioning base station 4, and after the master positioning base station transmits the first positioning signal, the slave positioning base station 1, the slave positioning base station 2, the slave positioning base station 3, and the slave positioning base station 4 may sequentially transmit the second positioning signal. Correspondingly, the positioning terminal can receive each second positioning signal and determine the clock information T when receiving the second positioning signali
It should be noted that i may be a positive integer.
It should also be noted that the second positioning signal may also carry more information, such as the position information of the slave positioning base station transmitting the second positioning signal.
Step 303, based on t0ToT of less than three slave positioning base stationsi、Ti0And TiRespectively determining first distance differences R from the positioning terminal to the at least three slave positioning base stations and to the master positioning base stationi0
Since the speed of signal transmission is fixed (i.e., the speed of light), it can be based on t0T of at least three slave positioning base stationsi、Ti0And TiAnd determining the difference between the transmission time length of the signals between the positioning terminal and each slave positioning base station and the transmission time length of the signals between the positioning terminal and the master positioning base station, and further determining the first distance difference from the positioning terminal to the at least three slave positioning base stations and to the master positioning base station.
Wherein R isi0May be the difference between the measured distance of the positioning terminal to the slave positioning base station and the measured distance of the positioning terminal to the master positioning base station.
304, based on the first distance differences R between the positioning terminal to the at least three slave positioning base stations and the master positioning base stationi0The position information of the positioning terminal is determined according to the position information of the main positioning base station and the position information of the at least three slave positioning base stations.
The first distance differences from the positioning terminal to the at least three slave positioning base stations and the master positioning base station respectively are determined, and the position information of each slave positioning base station and the master positioning base station is determined, so that the position of the positioning terminal can be determined. That is, the positioning terminal can receive the first positioning signal of the master positioning base station and the second positioning signals of at least three slave positioning base stations for positioning, and the positioning process does not depend on the server any more, so that the delay of obtaining the positioning result from the server is avoided, the positioning timeliness is improved, the positioning is also prevented from being limited by the communication channel capacity and the refreshing frequency of the positioning system, the positioning capacity is greatly improved, and the positioning service can be provided for a large number of positioning.
For example, the positioning terminal may receive the position information of the master positioning base station and the slave positioning base station submitted by the user during initialization, or the positioning terminal may obtain the position information of the master positioning base station and the slave positioning base station at least one positioning base station or a server during initialization. Of course, in practical applications, the positioning terminal may also obtain the position information of the master positioning base station and the slave positioning base station by other manners.
It should be noted that, as can be seen from the foregoing, the base station positioning system may include more than three slave positioning base stations, and the positioning terminal may perform positioning by receiving signals of the master positioning base station and at least three slave positioning base stations, therefore, when the base station positioning system includes more than three slave positioning base stations, the positioning terminal may perform positioning immediately when determining that the first positioning signal of the master positioning base station and the second positioning signals of the three slave positioning base stations are received, or may perform positioning when receiving the first positioning signal of the master positioning base station and the second positioning signals of each slave positioning base station in the base station positioning system; alternatively, the positioning may be performed immediately upon receiving the first positioning signal of the master positioning base station and the second positioning signals of the three slave positioning base stations, and the positioning may be performed again every time the second positioning signal of one slave positioning base station is additionally received thereafter. Of course, in practical applications, the positioning terminal may also perform positioning by receiving signals of the master positioning base station and at least three slave positioning base stations in other manners.
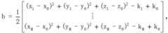
The position information of the positioning terminal can be determined and obtained through a chan algorithm or a least square method based on the position information among the positioning terminal, the main positioning base station and the at least three slave positioning base stations and the relation between the distances from the positioning terminal to the main positioning base station and the distances from the positioning terminal to the at least three positioning base stations.
The Chan algorithm is a positioning algorithm with an analytical expression solution based on TDOA (Time Difference of Arrival) technique.
TDOA is a method for determining the distance between a location terminal and a location base station through the transmission duration of signals between the location terminal and the location base station. By comparing the time difference of the signals transmitted by the positioning terminal reaching each positioning base station, a hyperbola with the positioning base station as the focus and the distance difference as the major axis can be formed, and the intersection point of the hyperbolas is the position of the positioning terminal.
The least square method is a mathematical optimization method, which can find the best function matching of data by minimizing the square sum of errors, and can easily find unknown data by using the least square method, and make the square sum of errors between the found data and actual data minimum.
In this disclosure, the positioning terminal may receive a first positioning signal sent by the master positioning base station and determine clock information when the first positioning signal is received, receive second positioning signals of at least three slave positioning base stations and determine clock information when each second positioning signal is received, where the first positioning signal carries position information of the master positioning base station, and each second positioning signal carries clock information when the slave positioning base station receives the first positioning signal and clock information when the second positioning signal is sent. Since the transmission speed of the signal is fixed, the difference between the transmission of the signal between the positioning terminal and the slave positioning base station and the transmission of the signal between the positioning terminal and the master positioning base station can be determined based on the clock information, and then the difference between the distance between the positioning terminal and each slave positioning base station and the distance between the positioning terminal and the master positioning base station can be determined, and since the position information of the master positioning base station and each slave positioning base station is determined, the position information of the positioning terminal can be determined, thereby completing the positioning. The positioning terminal completes the positioning process of the positioning terminal, so that the time delay of obtaining the positioning result from the server is avoided, the positioning timeliness is improved, the positioning is also avoided being limited by the communication channel capacity and the refreshing frequency of the positioning system, the positioning capacity is greatly improved, and the positioning service can be provided for a large number of positioning.
Fig. 5 is a schematic flow chart of a positioning method according to the present disclosure. The base station positioning method is applied to positioning terminals. It should be noted that the base station positioning method described in the present disclosure is not limited by the specific sequence shown in fig. 5 and described below, and it should be understood that, in other embodiments, the sequence of some steps in the base station positioning method described in the present disclosure may be interchanged according to actual needs, or some steps may be omitted or deleted. The flow shown in fig. 4 will be explained in detail below.
Step 501, a positioning terminal receives a first positioning signal sent by a main positioning base station, and acquires clock information t of a current time0
The positioning terminal receives a first positioning signal sent by a main positioning base station and acquires clock information t at the current moment0For the manner of (1), reference may be made to the related description instep 301, and details are not repeated here.
Step 502, the positioning terminal receives at least three second positioning signals sent by the slave positioning base station after receiving the first positioning signal, and respectively obtains the clock information t when receiving the second positioning signalsiThe second positioning signal carries the clock information T when receiving the first positioning signal from the positioning base stationi0Clock information T when the second positioning signal is transmitted from the positioning base stationiAnd i is the number of the slave positioning base station.
The positioning terminal receives at least three second positioning signals sent from the positioning base station and respectively acquires clock information t when the second positioning signals are receivediFor the manner of (1), reference may be made to the related description in the foregoingstep 302, and details are not repeated here.
Instep 503, the positioning terminal determines that receiving at least three second positioning signals transmitted from the positioning base station is completed.
In order to facilitate the positioning terminal to determine the position information of the positioning terminal through subsequent steps after determining that the second positioning signal is completed, the problem that the received second positioning signal is too few to accurately position is solved, the problem that the positioning real-time performance is poor due to too many second positioning signals is also solved, namely the positioning accuracy and efficiency are improved, and the positioning terminal can judge whether the receiving of at least three second positioning signals sent from the positioning base station is completed.
The positioning terminal may determine whether receiving at least three second positioning signals transmitted from the positioning base station is completed in at least one of the following manners.
In a first mode, if the position information of the positioning terminal is not determined after the first positioning signal sent by the master positioning base station is received for the last time, and the first positioning signal sent by the master positioning base station is received again, it is determined that the receiving of the second positioning signals sent by at least three slave positioning base stations is completed.
As can be seen from the foregoing, the master positioning base station can transmit the first positioning signal at the specific frequency, and thus, if the first positioning signal is received again when the first positioning signal is received the last time and positioning is not performed, it can be determined that reception of each of the second positioning signals required during the previous positioning is completed.
In the second mode, if no second positioning signal is received within the preset time length after the second positioning signal is received for the last time, it is determined that the receiving of at least three second positioning signals sent from the positioning base station is completed.
The preset time length can be obtained by determining in advance.
In a third manner, the second positioning signal may carry a base station identifier of the slave positioning base station, and correspondingly, if it is determined that the base station identifier is the last slave positioning base station of the at least three slave positioning base stations that sends the second positioning signal, it is determined that receiving the at least three second positioning signals sent by the slave positioning base stations is completed.
The at least three slave positioning base stations which transmit the second positioning signal last in the positioning base station may be determined in advance, for example, when an order of transmitting the second positioning signal by the at least three slave positioning base stations is determined in advance, the last slave positioning base station in the order is the slave positioning base station which transmits the second positioning signal last in the at least three slave positioning base stations.
And if the positioning terminal determines to receive at least three second positioning signals, determining to finish receiving at least three second positioning signals sent from the positioning base station.
Of course, if the positioning terminal determines that receiving at least three second positioning signals transmitted from the positioning base station is not completed, the positioning terminal may continue receiving the second positioning signals until determining that receiving at least three second positioning signals transmitted from the positioning base station is completed.
For example, as shown in fig. 4, when the positioning system includes one master positioning base station and 4 slave positioning base stations, and the 4 slave positioning base stations sequentially transmit the second positioning signals according to numbers, the positioning terminal may determine that receiving the second positioning signals transmitted by the at least three slave positioning base stations is completed after receiving the second positioning signals transmitted by the slave positioning base station 3, or may determine that receiving the second positioning signals transmitted by the at least three slave positioning base stations is completed after receiving the second positioning signals transmitted by the slave positioning base station 4.
Step 504, positioning the terminal based on t0T of at least three slave positioning base stationsi、Ti0And TiRespectively determining first distance differences R from the positioning terminal to the at least three slave positioning base stations and to the master positioning base stationi0
Alternatively, the positioning terminal may base the T of at least three slave positioning base stationsi0And TiDetermining the clock differences F between the at least three slave positioning base stations transmitting the second positioning signal and receiving the first positioning signali0Based on t0And t of the at least three slave positioning base stationsiDetermining the clock differences f between the at least three received second positioning signals and the first positioning signalsi0Based on the respective distances dis from the at least three slave positioning base stations to the master positioning base stationi0、Fi0And fi0Determining first distance differences R between the positioning terminal and the at least three slave positioning base stations and the master positioning base stationi0
Wherein T can bei0And TiIs taken as Fi0Will t0And tiIs obtained as the difference of fi0
Dis can be based on equation 1i0、Fi0And fi0Determination of Ri0
Ri0=(fi0*coeftag-Fi0*coefbsi)c-disi0tagi(formula 1)
Wherein coeftagFor locating the clock conversion coefficient of the terminal, the clock conversion coefficient is used for the time t0、Ti0、Ti、ti、Fi0Or fi0When the clock information comprises a time stamp, converting the time stamp into physical time; coefbsiConverting the clock conversion coefficient of the ith slave positioning base station; c is the speed of light; tau istagDelaying an antenna for positioning a terminal; tau isiThe antenna delay for the ith slave positioning base station.
The coef is defined astag、coefbsi、disi0、c、τtagAnd τiCan be obtained by presetting, for example, disi0Can be determined by the position information of the master positioning base station and each slave positioning base station.
Step 505, the positioning terminal determines a first distance difference R between the positioning terminal and at least three slave positioning base stations and a master positioning base station based on the positioning terminali0The position information of the positioning terminal is determined according to the position information of the main positioning base station and the position information of the at least three slave positioning base stations.
Suppose the location information of the primary positioning base station is [ x ]0 y0 z0]TThe location information of the ith slave positioning base station is [ x ]i yizi]TThe position information of the positioning terminal is [ x y z ]]T. Based on the first distance difference between the positioning terminal and the ith slave positioning base station and the master positioning base station, equation 2 can be constructed:
Figure BDA0001974114940000171
wherein 1 is<i<M, M is the number of at least three slave positioning base stations, and an intermediate variable is introduced
Figure BDA0001974114940000172
The distance between the positioning terminal and the main positioning base station is represented, and the linearization processing can be performed on the formula 2 to obtain a formula 3:
au ═ b (formula 3)
Wherein,
Figure BDA0001974114940000173
Figure BDA0001974114940000174
u=[x-x0,y-y0,z-z0,r]T,k0=[x02+y02+z02]T,ki=[xi2+yi2+zi2]T
from equation 3, u ═ aTA)-1ATb, obtaining the position information of the positioning terminal.
Also, in another alternative embodiment disclosed, if the coordinates of any axis of the positioning terminal are known, the above equation can be reduced from 4 dimensions to 3 dimensions, so that equation 3 can be simplified. For example, when the z-axis coordinate of the positioning terminal is determined in advance by a barometer measurement or the like, that is, the z-axis coordinate of the positioning terminal is known, equation 3 can be simplified:
Figure BDA0001974114940000175
Figure BDA0001974114940000176
zassumpto locate the z-axis coordinate of the terminal, u ═ x, y, r]T
Step 506, the positioning terminal performs coordinate conversion on the position information based on the preset position information conversion parameter to obtain the converted position information.
In order to facilitate uniform identification of the positions of the positioning terminals and improve positioning reliability, the position information of the positioning terminals can be converted.
The preset position information conversion parameter is a parameter for converting the position information. The preset position information conversion parameter may be obtained by setting in advance.
The preset position information conversion parameters may include a coordinate system origin longitude and latitude and a coordinate system origin height.
It should be noted that the coordinate system may be a relative coordinate system in which the positioning terminal, the slave positioning base station, and the master positioning base station are located.
For example, the coordinate system has an origin at a latitude of λ0(ii) a Longitude of origin of coordinate system is phi0(ii) a The height of the origin of the coordinate system is h0(ii) a Theta is an included angle between the x axis and the due north direction, and the clockwise direction is positive; the latitude of the positioning terminal is lambda; the longitude of the positioning terminal is phi; the terminal is positioned to be h, so that the constant of the coordinate conversion ruler can be determined
Figure BDA0001974114940000181
The coordinates of the positioning terminal in the relatively-orthogonal coordinate system can thus be converted to geographical coordinates by the following equations 4, 5 and 6:
Figure BDA0001974114940000182
Figure BDA0001974114940000183
h=h0+ z (equation 6)
That is, the position information before conversion may include three-axis coordinates of the positioning terminal in x, y, and z axes in a relative coordinate system, and the position information after conversion may include longitude, latitude, and altitude.
Alternatively, the positioning terminal may determine second distance differences r from the positioning terminal to at least three slave positioning base stations and to the master positioning base station respectively based on the position information of the positioning terminali0Based on the first distance differences R between the positioning terminal to the at least three slave positioning base stations and the master positioning base stationi0And a second distance difference ri0And determining the positioning precision information.
To accurately illustrate the reliability of the determined positioning information, the positioning terminal may determine the positioning accuracy of the current positioning.
The distances from the positioning terminal to the master positioning base station and the three slave positioning base stations can be determined based on the determined position information of the positioning terminal, the position information of the master positioning base station and the position information of at least three slave positioning base stations participating in the determination of the positioning terminal, and the second distance differences r from the positioning terminal to the slave positioning base stations and the master positioning base station can be determined based on the distances from the positioning terminal to the master positioning base station and the three slave positioning base stationsi0R to be determinedi0And Ri0Are compared to obtain ri0And Ri0The normalized error can be used as the positioning accuracy information, and when the normalized error is smaller, the positioning accuracy is higher.
Wherein r isi0May be the difference between the actual distance of the positioning terminal from the slave positioning base station and the actual distance of the positioning terminal from the master positioning base station.
Alternatively, the positioning terminal may output a positioning result, which may include position information before the conversion and/or position information after the conversion.
Of course, in practical applications, in order to facilitate displaying more information related to positioning to the user, and thus facilitate further processing of the positioning result, the positioning result may further include more information, such as at least one of the number of base stations participating in positioning, the distance between the positioning terminal and each positioning base station, and the positioning accuracy information.
In addition, as can be seen from the foregoing, when the number of the slave base stations participating in positioning exceeds 4, in a positioning process, the positioning terminal may use different positioning base stations to perform a combination calculation, so as to determine and obtain a plurality of pieces of position information.
In this disclosure, first, the positioning terminal may receive a first positioning signal sent by the master positioning base station and determine clock information when the first positioning signal is received, receive second positioning signals of at least three slave positioning base stations and determine clock information when each second positioning signal is received, where the first positioning signal carries position information of the master positioning base station, and each second positioning signal carries clock information when the slave positioning base station receives the first positioning signal and clock information when the second positioning signal is sent. Since the transmission speed of the signal is fixed, the difference between the transmission of the signal between the positioning terminal and the slave positioning base station and the transmission of the signal between the positioning terminal and the master positioning base station can be determined based on the clock information, and then the difference between the distance between the positioning terminal and each slave positioning base station and the distance between the positioning terminal and the master positioning base station can be determined, and since the position information of the master positioning base station and each slave positioning base station is determined, the position information of the positioning terminal can be determined, thereby completing the positioning. The positioning terminal completes the positioning process of the positioning terminal, so that the time delay of obtaining the positioning result from the server is avoided, the positioning timeliness is improved, the positioning is also avoided being limited by the communication channel capacity and the refreshing frequency of the positioning system, the positioning capacity is greatly improved, and the positioning service can be provided for a large number of positioning.
In addition, the position information can be converted according to the preset position information conversion parameters, so that the position information obtained by positioning can be conveniently identified in a unified mode, and the positioning reliability is improved.
In addition, second distance differences from the positioning terminal to at least three slave positioning base stations and to the master positioning base station can be respectively determined according to the position information obtained by positioning, so that positioning accuracy is determined according to the second distance differences and the corresponding first distance differences, and the reliability of positioning is further improved.
Fig. 6 is a functional block diagram of a basestation positioning apparatus 600 according to the present disclosure. The base station positioning device is applied to positioning terminals. It should be noted that the basic principle and the technical effects of the basestation positioning apparatus 600 provided in the present embodiment are the same as those of the corresponding method embodiments described above, and for the sake of brief description, reference may be made to corresponding contents in the method embodiments for parts that are not mentioned in the present embodiment. The basestation positioning apparatus 600 includes:
afirst receiving module 601, configured to receive a first positioning signal sent by a master positioning base station, and obtain clock information t of a current time0
Asecond receiving module 602, configured to receive at least three second positioning signals sent by the slave positioning base station after receiving the first positioning signal, and respectively obtain clock information t when the second positioning signals are receivediThe second positioning signal carries clock information T when receiving the first positioning signal from a positioning base stationi0Clock information T when the slave positioning base station transmits the second positioning signaliI is the number of the slave positioning base station;
a first determiningmodule 603 for determining a first threshold value based on t0T of the at least three slave positioning base stationsi、Ti0And TiRespectively determining first distance differences R from the positioning terminal to the at least three slave positioning base stations and to the master positioning base stationi0
A second determiningmodule 604, configured to determine a first distance difference R between the positioning terminal and the at least three slave positioning base stations and the master positioning base station based on the first distance difference Ri0Determining the position information of the positioning terminal according to the position information of the main positioning base station and the position information of the at least three slave positioning base stations;
the main positioning base station and the at least three slave positioning base stations are not located on the same plane, and the positioning base stations located on the same plane are not located on the same straight line.
Optionally, the first determiningmodule 603 is specifically configured to:
positioning a base station based on T of the at least three slavei0And TiDetermining the clock difference F between the second positioning signal sent by the at least three slave positioning base stations and the first positioning signal received by the at least three slave positioning base stations respectivelyi0
Based on t0And t of said at least three slave positioning base stationsiDetermining the clock difference f between the second positioning signal received by the at least three slave positioning base stations and the first positioning signal received by the at least three slave positioning base stations respectivelyi0
Based on distances dis of the at least three slave positioning base stations to the master positioning base station, respectivelyi0、Fi0And fi0Determining first distance differences R from the positioning terminal to the at least three slave positioning base stations and to the master positioning base stationi0
Optionally, referring to fig. 7, the apparatus further includes:
aconversion module 605, configured to perform coordinate conversion on the location information based on a preset location information conversion parameter, so as to obtain converted location information.
Optionally, referring to fig. 8, the apparatus further includes:
a third determiningmodule 606, configured to determine that receiving the at least three second positioning signals sent from the positioning base station is completed.
Optionally, referring to fig. 9, the apparatus further includes:
a fourth determining module, configured to determine second distance differences r from the positioning terminal to the at least three slave positioning base stations and to the master positioning base station based on the position information of the positioning terminal respectivelyi0
A fifth determining module, configured to determine a first distance difference R between the positioning terminal and the at least three slave positioning base stations and the master positioning base station based on the first distance difference Ri0And a second distance difference ri0And determining the positioning accuracy.
The above-mentioned apparatus is used for executing the method provided by the foregoing embodiment, and the implementation principle and technical effect are similar, which are not described herein again.
These above modules may be one or more integrated circuits configured to implement the above methods, such as: one or more Application Specific Integrated Circuits (ASICs), or one or more microprocessors (DSPs), or one or more Field Programmable Gate Arrays (FPGAs), among others. For another example, when one of the above modules is implemented in the form of a Processing element scheduler code, the Processing element may be a general-purpose processor, such as a Central Processing Unit (CPU) or other processor capable of calling program code. For another example, these modules may be integrated together and implemented in the form of a system-on-a-chip (SOC).
Fig. 10 is a schematic diagram of functional modules of an electronic device according to the present disclosure. The electronic device may include a computer-readable storage medium 1001 storing a computer program and aprocessor 1002, and theprocessor 1002 may call the computer program stored in the computer-readable storage medium 1001. When read and executed by theprocessor 1002, the computer program may implement the above-described method embodiments. The specific implementation and technical effects are similar, and are not described herein again.
Optionally, the present disclosure also provides a computer-readable storage medium, on which a computer program is stored, and when the computer program is read and executed by a processor, the above method embodiments may be implemented.
In the embodiments provided in the present disclosure, it should be understood that the disclosed apparatus and method may be implemented in other ways. For example, the above-described apparatus embodiments are merely illustrative, and for example, the division of the units is only one logical division, and other divisions may be realized in practice, for example, a plurality of units or components may be combined or integrated into another system, or some features may be omitted, or not executed. The integrated unit can be realized in a form of hardware, or in a form of hardware plus a software functional unit.
It should be noted that, in this document, the terms "comprises," "comprising," or any other variation thereof, are intended to cover a non-exclusive inclusion, such that a process, method, article, or apparatus that comprises a list of elements does not include only those elements but may include other elements not expressly listed or inherent to such process, method, article, or apparatus. Without further limitation, an element defined by the phrase "comprising an … …" does not exclude the presence of other identical elements in a process, method, article, or apparatus that comprises the element.
The above description is only a preferred embodiment of the present disclosure and is not intended to limit the present disclosure, and various modifications and changes may be made to the present disclosure by those skilled in the art. Any modification, equivalent replacement, improvement and the like made within the spirit and principle of the present disclosure should be included in the protection scope of the present disclosure.

Claims (10)

1. A base station positioning method is applied to a positioning terminal, and the method comprises the following steps:
receiving a first positioning signal sent by a main positioning base station and acquiring clock information t at the current moment0
Receiving at least three second positioning signals sent by the slave positioning base station after receiving the first positioning signals, and respectively acquiring clock information t when receiving the second positioning signalsiThe second positioning signal carries clock information T when receiving the first positioning signal from a positioning base stationi0Clock information T when the slave positioning base station transmits the second positioning signaliI is the number of the slave positioning base station;
based on t0T of the at least three slave positioning base stationsi、Ti0And TiRespectively determining first distance differences R from the positioning terminal to the at least three slave positioning base stations and to the master positioning base stationi0
Based on first distance differences R of the positioning terminal to the at least three slave positioning base stations and to the master positioning base stationi0Determining the position information of the positioning terminal according to the position information of the main positioning base station and the position information of the at least three slave positioning base stations;
the main positioning base station and the at least three slave positioning base stations are not located on the same plane, and the positioning base stations located on the same plane are not located on the same straight line.
2. The base station positioning method of claim 1, wherein the t-based0T of the at least three slave positioning base stationsi、Ti0And TiRespectively determining first distance differences R from the positioning terminal to the at least three slave positioning base stations and to the master positioning base stationi0The method comprises the following steps:
positioning a base station based on T of the at least three slavei0And TiDetermining the clock difference F between the second positioning signal sent by the at least three slave positioning base stations and the first positioning signal received by the at least three slave positioning base stations respectivelyi0
Based on t0And t of said at least three slave positioning base stationsiDetermining the clock difference f between the second positioning signal received by the positioning terminal and the first positioning signal received by the positioning terminali0
Based on distances dis of the at least three slave positioning base stations to the master positioning base station, respectivelyi0、Fi0And fi0Determining first distance differences R from the positioning terminal to the at least three slave positioning base stations and to the master positioning base stationi0
3. The method of claim 1, wherein a first distance difference R between the terminal based on the positioning and the at least three slave positioning base stations and the master positioning base station is defined asi0After the position information of the positioning terminal is determined, the position information of the master positioning base station and the position information of the at least three slave positioning base stations, the method further comprises:
and performing coordinate conversion on the position information based on a preset position information conversion parameter to obtain the converted position information.
4. The base station positioning method of claim 1, wherein said t-based0The at least three slavesPositioning t of base stationi、Ti0And TiRespectively determining first distance differences R from the positioning terminal to the at least three slave positioning base stations and to the master positioning base stationi0Previously, the method further comprises:
determining that receiving the at least three second positioning signals transmitted from the positioning base station is complete.
5. The method of claim 1, wherein a first distance difference R between the terminal based on the positioning and the at least three slave positioning base stations and the master positioning base station is defined asi0After the position information of the positioning terminal is determined, the position information of the master positioning base station and the position information of the at least three slave positioning base stations, the method further comprises:
respectively determining second distance differences r from the positioning terminal to the at least three slave positioning base stations and to the master positioning base station based on the position information of the positioning terminali0
Based on first distance differences R of the positioning terminal to the at least three slave positioning base stations and to the master positioning base stationi0And a second distance difference ri0And determining the positioning accuracy.
6. A base station positioning apparatus, applied to a positioning terminal, the apparatus comprising:
a first receiving module, configured to receive a first positioning signal sent by a master positioning base station, and obtain clock information t of a current time0
A second receiving module, configured to receive at least three second positioning signals sent by the slave positioning base station after receiving the first positioning signal, and respectively obtain clock information t when the second positioning signals are receivediThe second positioning signal carries clock information T when receiving the first positioning signal from a positioning base stationi0Clock information T when the slave positioning base station transmits the second positioning signaliI is the number of the slave positioning base station;
a first determination module for determining a first threshold value based on t0T of the at least three slave positioning base stationsi、Ti0And TiRespectively determining first distance differences R from the positioning terminal to the at least three slave positioning base stations and to the master positioning base stationi0
A second determining module for determining a second positioning base station based on a second distance difference R between the positioning terminal and the at least three secondary positioning base stationsi0Determining the position information of the positioning terminal according to the position information of the main positioning base station and the position information of the at least three slave positioning base stations;
the main positioning base station and the at least three slave positioning base stations are not located on the same plane, and the positioning base stations located on the same plane are not located on the same straight line.
7. The base station positioning apparatus of claim 6, wherein the first determining module is specifically configured to:
positioning a base station based on T of the at least three slavei0And TiDetermining the clock difference F between the second positioning signal sent by the at least three slave positioning base stations and the first positioning signal received by the at least three slave positioning base stations respectivelyi0
Based on t0And t of said at least three slave positioning base stationsiDetermining the clock difference f between the second positioning signal received by the positioning terminal and the first positioning signal received by the positioning terminali0
Based on distances dis of the at least three slave positioning base stations to the master positioning base station, respectivelyi0、Fi0And fi0Determining first distance differences R from the positioning terminal to the at least three slave positioning base stations and to the master positioning base stationi0
8. The base station positioning apparatus of claim 6, wherein the apparatus further comprises:
and the conversion module is used for carrying out coordinate conversion on the position information based on the preset position information conversion parameters to obtain the converted position information.
9. The base station positioning apparatus of claim 6, wherein the apparatus further comprises:
and a third determining module, configured to determine that receiving the at least three second positioning signals sent from the positioning base station is completed.
10. The base station positioning apparatus of claim 6, wherein the apparatus further comprises:
a fourth determining module, configured to determine second distance differences r from the positioning terminal to the at least three slave positioning base stations and to the master positioning base station based on the position information of the positioning terminal respectivelyi0
A fifth determining module, configured to determine a first distance difference R between the positioning terminal and the at least three slave positioning base stations and the master positioning base station based on the first distance difference Ri0And a second distance difference ri0And determining the positioning accuracy.
CN201910136418.8A2019-02-202019-02-20Base station positioning method and deviceActiveCN109889978B (en)

Priority Applications (1)

Application NumberPriority DateFiling DateTitle
CN201910136418.8ACN109889978B (en)2019-02-202019-02-20Base station positioning method and device

Applications Claiming Priority (1)

Application NumberPriority DateFiling DateTitle
CN201910136418.8ACN109889978B (en)2019-02-202019-02-20Base station positioning method and device

Publications (2)

Publication NumberPublication Date
CN109889978A CN109889978A (en)2019-06-14
CN109889978Btrue CN109889978B (en)2021-01-08

Family

ID=66929143

Family Applications (1)

Application NumberTitlePriority DateFiling Date
CN201910136418.8AActiveCN109889978B (en)2019-02-202019-02-20Base station positioning method and device

Country Status (1)

CountryLink
CN (1)CN109889978B (en)

Families Citing this family (4)

* Cited by examiner, † Cited by third party
Publication numberPriority datePublication dateAssigneeTitle
CN110376551B (en)*2019-07-042021-05-04浙江大学 A TDOA localization method based on time-frequency joint distribution of acoustic signals
CN112351381B (en)*2019-08-072022-05-17华为云计算技术有限公司 A positioning method and device
CN112073905B (en)*2020-09-152022-10-28Oppo广东移动通信有限公司Distance difference determining method, data frame transmission method and related product
CN115236712A (en)*2021-04-232022-10-25海能达通信股份有限公司Positioning method and device

Citations (3)

* Cited by examiner, † Cited by third party
Publication numberPriority datePublication dateAssigneeTitle
CN103179659A (en)*2011-12-262013-06-26中国电信股份有限公司Multi-base-station hybrid location method and device
CN103841636A (en)*2012-11-232014-06-04华为技术有限公司Method for positioning UE, UE and base station
CN104270814A (en)*2014-09-302015-01-07南京沃旭通讯科技有限公司Locating method and system based on mixed TDOA and ToF

Family Cites Families (1)

* Cited by examiner, † Cited by third party
Publication numberPriority datePublication dateAssigneeTitle
KR102604366B1 (en)*2016-07-192023-11-24한국전자통신연구원System and method for location measurement

Patent Citations (3)

* Cited by examiner, † Cited by third party
Publication numberPriority datePublication dateAssigneeTitle
CN103179659A (en)*2011-12-262013-06-26中国电信股份有限公司Multi-base-station hybrid location method and device
CN103841636A (en)*2012-11-232014-06-04华为技术有限公司Method for positioning UE, UE and base station
CN104270814A (en)*2014-09-302015-01-07南京沃旭通讯科技有限公司Locating method and system based on mixed TDOA and ToF

Also Published As

Publication numberPublication date
CN109889978A (en)2019-06-14

Similar Documents

PublicationPublication DateTitle
CN109889978B (en)Base station positioning method and device
KR102009791B1 (en)3D position tracking system using UWB
CN110650439B (en)Target searching method and device, storage medium and computer equipment
CN109922425B (en)Method and device for determining positioning area
CN109618284A (en)Three-dimensional base station positioning method and device
US11356803B2 (en)Navigation system and navigation method
CN109831820B (en)Method and device for calibrating clock synchronization of positioning base station
WO2020062531A1 (en)Positioning device and positioning method therefor
CN107850658A (en)Enhanced Passive Positioning with adaptive positive location
CN104602340A (en)Positioning system and method based on ultra-wide band technology
CN113490145B (en)Ad hoc network positioning system based on UWB
CN111741431B (en)Indoor positioning method and device, terminal and storage medium
KR101814698B1 (en)Method for simultaneously setting coordinates of anchor and tag using wireless transmission / reception and communication system thereof
CN103618997B (en)Indoor positioning method and device based on signal intensity probability
CN110764048A (en)Target searching method and device, storage medium and computer equipment
KR20080027564A (en) Mobile communication terminal for providing location information and method
CN110673092A (en)Ultra-wideband-based time-sharing positioning method, device and system
Lashkari et al.WIFI-based indoor positioning system
CN112799014A (en)Ultra-wideband positioning system and method based on ellipsoid intersection, wireless terminal and server
US12143195B1 (en)Angle of arrival (AoA) determination for Bluetooth® Low Energy (BLE)
CN104039011A (en)Positioning method and device
CN109922426B (en)Planar two-dimensional base station positioning method and device
CN108966341A (en)A kind of localization method and positioning device
CN106604391A (en)Indoor wifi positioning method and server
CN111800853A (en) Device group localization method based on signal RSSI

Legal Events

DateCodeTitleDescription
PB01Publication
PB01Publication
SE01Entry into force of request for substantive examination
SE01Entry into force of request for substantive examination
GR01Patent grant
GR01Patent grant

[8]ページ先頭

©2009-2025 Movatter.jp