




技术领域technical field
本发明涉及文档转换与提取技术,具体涉及一种PowerPoint演示文稿向Beamer演示文稿转换方法及系统。The invention relates to document conversion and extraction technology, in particular to a method and system for converting a PowerPoint presentation to a Beamer presentation.
背景技术Background technique
随着云计算和移动互联网的兴起,办公软件正迎来了市场和技术层面的深刻变革。演示文稿作为办公软件之一,一般由文字、图片等制作而成,其中可以添加一些动态显示效果的音视频文件,在商业、教育、政府机构等领域的应用非常广泛。With the rise of cloud computing and mobile Internet, office software is ushering in profound changes in the market and technology. As one of the office software, presentations are generally made of text, pictures, etc., and some audio and video files with dynamic display effects can be added to them. They are widely used in business, education, government agencies and other fields.
Microsoft PowerPoint,简称PowerPoint,是一个由Microsoft公司开发的演示文稿程序,是Microsoft Office系统中的其中一个组件。它被商业人员、教师、学生和培训人员广泛使用。根据微软开发商的数据表明,每年大约有3亿个演示文稿是用PowerPoint制作的。Microsoft PowerPoint, referred to as PowerPoint, is a presentation program developed by Microsoft Corporation and is one of the components in the Microsoft Office system. It is widely used by business people, teachers, students and trainers. According to Microsoft developer data, about 300 million presentations are made with PowerPoint every year.
Beamer是基于LaTeX的免费演示文稿制作工具,由于TeX的优秀的数学公式控制和文件排版功能,一般专业性比较强的研讨或是会议的报告都使用Beamer演示文稿,它在专业报告和科学研究等领域有着广泛的使用。Beamer is a free presentation creation tool based on LaTeX. Due to TeX's excellent mathematical formula control and file typesetting functions, Beamer presentations are generally used in professional seminars or conference reports. It is used in professional reports and scientific research, etc. field is widely used.
迁移学习,是人工智能和机器学习的学科中新潮的研究方向,也是一种新的学习思想和模式。机器学习是人工智能的一类重要方法,也是目前发展最迅速、效果最显著的方法。机器学习解决的是让机器自主地从数据中获取知识,应用于新的问题中。迁移学习作为机器学习的一个重要分支,侧重于将已经学习过的知识迁移应用于新的问题,重点在解决当原始数据不足时,将其他领域的数据迁移、扩充原始数据,以提高算法精度。Transfer learning is a trendy research direction in the disciplines of artificial intelligence and machine learning, as well as a new learning idea and model. Machine learning is an important method of artificial intelligence, and it is also the most rapidly developing and most effective method at present. Machine learning solves the problem of allowing machines to autonomously acquire knowledge from data and apply it to new problems. As an important branch of machine learning, transfer learning focuses on the transfer of learned knowledge to new problems, focusing on solving when the original data is insufficient, transferring and expanding the original data in other fields to improve the accuracy of the algorithm.
聚类算法是有名的非监督学习算法,对于聚类来说,给定一个数据集,将该数据集依照某个“指标”,把相似指标的数据归纳在一起,形成不同的类。K-means聚类是应用最广泛的聚类算法。和大部分传统机器学习算法一样,算法效果受原始数据限制,当原始数据不足时,算法精确度有限。Clustering algorithm is a well-known unsupervised learning algorithm. For clustering, given a data set, the data set is grouped together according to a certain "index" to form different classes. K-means clustering is the most widely used clustering algorithm. Like most traditional machine learning algorithms, the effect of the algorithm is limited by the original data. When the original data is insufficient, the accuracy of the algorithm is limited.
使用Beamer制作演示文稿的过程相对于用PowerPoint来说比较复杂,单一使用传统机器学习算法细粒度不足,需要使用者具备专业的文件制作能力和编程能力。因此,采用迁移学习和聚类算法实现文稿的快速和精确转换,可降低非专业人员制作Beamer演示文稿的难度,提高Beamer演示文稿的适用性和普遍性。The process of using Beamer to create a presentation is more complicated than using PowerPoint, and the single use of traditional machine learning algorithms is not fine-grained enough, requiring users to have professional file production and programming capabilities. Therefore, using transfer learning and clustering algorithms to achieve fast and accurate conversion of documents can reduce the difficulty of non-professionals in making beamer presentations, and improve the applicability and universality of beamer presentations.
发明内容SUMMARY OF THE INVENTION
本发明要解决的技术问题在于,针对上述PowerPoint演示文稿与Beamer演示文稿无法灵活转换的问题,尤其是使用传统机器学习算法针对单一文件分类细粒度不足的问题,提供一种PowerPoint演示文稿向Beamer演示文稿转换方法及系统。The technical problem to be solved by the present invention is to provide a PowerPoint presentation to Beamer for the problem that the above-mentioned PowerPoint presentation and Beamer presentation cannot be flexibly converted, especially the problem of insufficient fine-grained classification of a single file using traditional machine learning algorithms. Document conversion method and system.
一种PowerPoint演示文稿向Beamer演示文稿转换方法,包括:A method for converting PowerPoint presentations to Beamer presentations, including:
S1、引入Apache POI实现PowerPoint源文件的数据提取:对源文件进行预处理,获取源文件段落信息,接着进行包含文本、图片、表格、公式的数据提取并保存;S1. Introduce Apache POI to realize data extraction of PowerPoint source files: preprocess the source files, obtain paragraph information of the source files, and then extract and save data including text, pictures, tables, and formulas;
S2、进行源文件数据分析:根据对PowerPoint源文件提取的内容,将每个段落的文本对应的字号、行数、水平布局位置汇总作为源数据集Ta,预设的PowerPoint转换Beamer历史信息作为迁移数据集Tb,将二者合并为训练数据集T;定义用于K-means聚类算法的欧氏距离函数disted和最小化平方误差函数E;执行迁移学习算法,初始化段落的权重向量w,并计算用于数据集T上的权重分布pt;执行聚类算法对数据集T进行聚类,通过调用欧氏距离函数disted和最小化平方误差函数E,将不同的段落划归到k类,再计算迁移错误率∈t更新权值向量迭代运行设定多次以获得最终分类器ht,并将文本、图片、表格、公式的分类结果保存;对公式做放缩、去噪、二值化处理,再通过OCR和语义转换技术转化目标公式,生成格式化的Beamer演示文稿公式;S2. Perform source file data analysis: According to the content extracted from the PowerPoint source file, the font size, number of lines, and horizontal layout position corresponding to the text of each paragraph are summarized as the source data set Ta , and the preset PowerPoint conversion Beamer historical information is used as Migrate the data set Tb and combine the two into the training data set T; define the Euclidean distance function disted and the minimized square error function E for the K-means clustering algorithm; execute the transfer learning algorithm, and initialize the weight vector of the paragraph w, and calculate the weight distribution pt for the data setT ; perform the clustering algorithm to cluster the data set T, and classify different paragraphs by calling the Euclidean distance function disted and minimizing the squared error function E Go to class k, and then calculate the migration error rate ∈t to update the weight vector Iteratively run and set multiple times to obtain the final classifier ht , and save the classification results of text, pictures, tables, and formulas; perform scaling, denoising, and binarization on formulas, and then transform them through OCR and semantic conversion technology Target formulas, which generate formatted Beamer presentation formulas;
S3、引入JACOB实现Beamer目标文件生成:对保存的文本、图片、表格、公式确定在预设Beamer模板中的写入位置,将文本、图片、表格、公式依次写入目标的Beamer文件中,完成演示文稿的转换。S3. Introduce JACOB to realize beamer target file generation: determine the writing position of the saved text, picture, table and formula in the preset beamer template, and write the text, picture, table and formula into the target beamer file in turn, and complete Transformation of presentations.
进一步的,步骤S1的引入Apache POI实现源文件数据提取的具体方法包括:Further, the specific method of introducing Apache POI to realize source file data extraction in step S1 includes:
S11、调用系统文件中的选择对话框FileDialog,供用户上传待转换的MicrosoftPowerPoint演示文稿;S11. Invoke the selection dialog FileDialog in the system file for the user to upload the Microsoft PowerPoint presentation to be converted;
S12、上传完成后,通过POI中HSLFSlideShow对象提供的getSlides方法,得到该PowerPoint演示文稿中所有的幻灯片数据信息;S12. After the upload is completed, obtain all the slide data information in the PowerPoint presentation through the getSlides method provided by the HSLFSlideShow object in the POI;
S13、文本数据的提取,通过JACOB组件中提供的“Item”、“Range”、“Text”、“Font”、“Size”参数读取文件中的文本内容、文本字体大小、段落格式、段落索引号信息;S13. Extract text data, read the text content, text font size, paragraph format, paragraph index in the file through the "Item", "Range", "Text", "Font", and "Size" parameters provided in the JACOB component number information;
S14、其余格式的数据提取,通过POI的GETALLPictures方法获取演示文稿中的图片,通过GETTables方法获取表格、提取FileOutputStream的图片、提取Clipboard的公式,并将提取的数据保存。S14. For data extraction in other formats, obtain the pictures in the presentation through the GETALLPictures method of POI, obtain tables through the GETTables method, extract the pictures of FileOutputStream, extract the formulas of Clipboard, and save the extracted data.
进一步的,步骤S2的源文件数据分析的具体方法包括:Further, the specific method of the source file data analysis in step S2 includes:
S21、统计文本数据在PowerPoint存储的方式,将每个段落文本对应的字号、行数、水平布局位置汇总作为源数据集Ta,其长度为m,按照相同格式加载预设的PowerPoint转换Beamer历史信息作为迁移数据集Tb,其长度为n;将二者合并为训练数据集T,其长度为m+n;S21. In the way that the statistical text data is stored in PowerPoint, the font size, the number of lines, and the horizontal layout position corresponding to each paragraph text are summarized as the source data set Ta , whose length is m, and the preset PowerPoint conversion beamer history is loaded in the same format. The information is used as a migration data set Tb , whose length is n; the two are combined into a training data set T whose length is m+n;
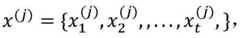
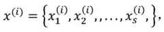
S22、定义数据集文本数据段落样本表示为质心表示为其中i=1,2,...,s表示段落索引号,j=1,2,...,t表示特征数,再根据上述符号定义用于K-means算法计算每簇质心和该段落距离的欧氏距离函数:S22, define the text data paragraph sample of the dataset to be represented as The centroid is expressed as where i=1, 2, ..., s represents the paragraph index number, j=1, 2, ..., t represents the number of features, and then according to the above symbol definition, the K-means algorithm is used to calculate the centroid of each cluster and the paragraph Euclidean distance function for distance:
定义K-means算法拟合簇质心的最小化平方误差函数:Define the minimum squared error function for the K-means algorithm to fit cluster centroids:
其中x是簇Ci的均值向量;in x is the mean vector of clusters Ci ;
S23、执行迁移算法,初始化段落的权重向量,w表示每个段落文本的初始权重,该权重用于调整迁移数据对源数据的影响作用:S23. Execute the migration algorithm to initialize the weight vector of the paragraph, w represents the initial weight of each paragraph text, and the weight is used to adjust the effect of the migration data on the source data:
S24、计算用于数据集T上的权重分布pt,用于K-means算法训练数据的权值项,其权重分布pt根据权重向量wt计算得到:S24. Calculate the weight distribution pt used on the data setT , the weight item used for the training data of the K-means algorithm, and the weight distributionpt is calculated according to the weight vectorwt :
S25:执行聚类算法对数据集T进行聚类,通过调用欧氏距离函数disted和最小化平方误差函数E,将不同的段落划归到k类;S25: Execute the clustering algorithm to cluster the data set T, and classify different paragraphs into k categories by calling the Euclidean distance function disted and the minimized square error function E;
S26:根据K-means算法的聚类结果,计算迁移错误率∈t:S26: Calculate the migration error rate ∈t according to the clustering result of the K-means algorithm:
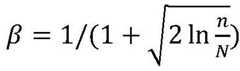
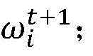
ht表示分类器在Ta上分类结果,c表示聚类算法分类在Ta上分类结果,设置和βt=∈t/(1-∈t)并根据该错误率计算并更新权值向量:ht represents the classification result of the classifier onTa ,c represents the classification result of the clustering algorithm on Ta, set and βt = ∈t /(1-∈t ) and calculate and update the weight vector according to this error rate:
S27:返回步骤S24进行迭代,直到达到设置的迭代次数N为止,以获得最终分类器ht,并将分类结果保存;S27: Return to step S24 for iteration until the set number of iterations N is reached, to obtain the final classifier ht , and save the classification result;
S28、对于不同的公式类型,当公式为图片格式时,对PowerPoint演示文稿的公式图片做放缩、去噪、二值化处理,再通过OCR和语义转换技术转化目标公式,生成格式化的Beamer演示文稿公式。S28. For different formula types, when the formula is in image format, perform scaling, denoising, and binarization processing on the formula image of the PowerPoint presentation, and then convert the target formula through OCR and semantic conversion technology to generate a formatted beamer Presentation formula.
进一步的,步骤S3的引入JACOB实现目标文件生成的方法包括:Further, the method of introducing JACOB in step S3 to realize target file generation includes:
S31、读取分类结果,将存储的标题、文本内容、表格、图片以及公式与源文件对应数据建立映射关系;S31, read the classification result, and establish a mapping relationship between the stored title, text content, table, picture and formula and the corresponding data of the source file;
S32、内置Bergen、Berkeley、Ilmaneau、Marburg四种目标Beamer模板,根据用户选择,使用JACOB组件定义一个新的Beamer演示文稿,根据上述映射关系确定生成文件中的目标元素的位置;S32, built-in Bergen, Berkeley, Ilmaneau, Marburg four target beamer templates, according to the user's choice, use JACOB component to define a new beamer presentation, and determine the position of the target element in the generated file according to the above mapping relationship;
S33、通过目标元素生成目标文件的数据流,将目标文件数据流依次写入到目标Beamer文件中,生成最终的Beamer演示文稿。S33 , generating a data stream of the target file through the target element, and sequentially writing the data stream of the target file into the target beamer file to generate a final beamer presentation.
一种PowerPoint演示文稿向Beamer演示文稿转换系统,包括:A PowerPoint presentation to Beamer presentation conversion system, including:
源文件数据提取模块:用于引入Apache POI实现PowerPoint源文件的数据提取:首先对源文件进行预处理,获取源文件段落信息,接着进行包含文本、图片、表格、公式的数据提取并保存;Source file data extraction module: It is used to introduce Apache POI to realize data extraction of PowerPoint source files: first, preprocess the source file to obtain the paragraph information of the source file, and then extract and save the data including text, pictures, tables and formulas;
源文件数据分析模块:用于根据对PowerPoint源文件提取的内容,将每个段落的文本对应的字号、行数、水平布局位置汇总作为源数据集Ta,预设的PowerPoint转换Beamer历史信息作为迁移数据集Tb,将二者合并为训练数据集T;定义用于K-means聚类算法的欧氏距离函数disted和最小化平方误差函数E;执行迁移学习算法,初始化段落的权重向量w,并计算用于数据集T上的权重分布pt;执行聚类算法对数据集T进行聚类,通过调用欧氏距离函数disted和最小化平方误差函数E,将不同的段落划归到k类,再计算迁移错误率∈t更新权值向量迭代运行设定多次以获得最终分类器ht,并将文本、图片、表格、公式的分类结果保存;对公式做放缩、去噪、二值化处理,再通过OCR和语义转换技术转化目标公式,生成格式化的Beamer演示文稿公式;Source file data analysis module: It is used to summarize the font size, line number and horizontal layout position corresponding to the text of each paragraph as the source data set Ta according to the content extracted from the PowerPoint source file, and the preset PowerPoint conversion Beamer historical information as Migrate the data set Tb and combine the two into the training data set T; define the Euclidean distance function disted and the minimized square error function E for the K-means clustering algorithm; execute the transfer learning algorithm, and initialize the weight vector of the paragraph w, and calculate the weight distribution pt for the data setT ; perform the clustering algorithm to cluster the data set T, and classify different paragraphs by calling the Euclidean distance function disted and minimizing the squared error function E Go to class k, and then calculate the migration error rate ∈t to update the weight vector Iteratively run and set multiple times to obtain the final classifier ht , and save the classification results of text, pictures, tables, and formulas; perform scaling, denoising, and binarization on formulas, and then transform them through OCR and semantic conversion technology Target formulas, which generate formatted Beamer presentation formulas;
目标文件生成模块:引入JACOB实现Beamer目标文件生成:对保存的文本、图片、表格、公式确定在预设Beamer模板中的写入位置,将文本、图片、表格、公式依次写入目标的Beamer文件中,完成演示文稿的转换。Target file generation module: Introduce JACOB to realize beamer target file generation: determine the writing position of the saved text, pictures, tables and formulas in the preset beamer template, and write the text, pictures, tables and formulas into the target beamer file in turn , complete the conversion of the presentation.
与现有技术相比,本发明优势在于:填补了实现PowerPoint演示文稿与Beamer演示文稿转换的技术空白,降低了非专业人员制作Beamer演示文稿的难度;使用新颖的迁移学习技术,提供细粒度更好的文件数据分析方案,提高了Beamer演示文稿的适用性和普遍性。Compared with the prior art, the present invention has the advantages that it fills the technical gap of realizing the conversion between PowerPoint presentations and beamer presentations, and reduces the difficulty for non-professionals to make beamer presentations; uses novel transfer learning technology to provide fine-grained A good document data analysis scheme increases the applicability and generality of Beamer presentations.
附图说明Description of drawings
下面结合附图及实施例对本发明作进一步说明,附图中:The present invention will be further described below in conjunction with the accompanying drawings and embodiments, in the accompanying drawings:
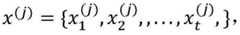
图1是本发明实例中一种PowerPoint演示文稿向Beamer演示文稿转换方法的流程图;Fig. 1 is the flow chart of a kind of PowerPoint presentation in the example of the present invention to Beamer presentation conversion method;
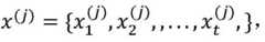
图2本发明实施例中源文件数据中迁移学习准确分析的流程图;2 is a flowchart of accurate analysis of transfer learning in source file data in an embodiment of the present invention;
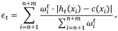
图3本发明实施例中转换的四种模板效果图;Figure 3 is an effect diagram of four kinds of templates converted in the embodiment of the present invention;
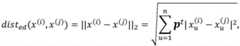
图4本发明实施例中转换目录界面效果图;4 is an effect diagram of a directory conversion interface in the embodiment of the present invention;
图5本发明实施例中转换的整体转换效果图。FIG. 5 is an overall conversion effect diagram of conversion in an embodiment of the present invention.
具体实施方式Detailed ways
为了对本发明的技术特征、目的和效果有更加清楚的理解,现对照附图详细说明本发明的具体实施方式。In order to have a clearer understanding of the technical features, objects and effects of the present invention, the specific embodiments of the present invention will now be described in detail with reference to the accompanying drawings.
本发明提供一种PowerPoint演示文稿向Beamer演示文稿转换方法,如图1所示,包括源文件数据提取、源文件数据分析、目标文件生成。The present invention provides a method for converting a PowerPoint presentation to a Beamer presentation, as shown in FIG. 1 , including source file data extraction, source file data analysis, and target file generation.
1、源PowerPoint演示文稿分别数据提取、数据分析、文件生成得到目标Beamer演示文稿。下面分别对三个步骤进行描述。1. From the source PowerPoint presentation, data extraction, data analysis, and file generation are performed to obtain the target Beamer presentation. The three steps are described below.
S1:源文件数据提取。源文件数据提取中首先对文件进行预处理,获取源文件段落信息,接着进行文本数据源提取和其它格式数据的提取。本发明根据不同的源PowerPoint演示文稿数据对象采用不同的提取方式,并将提取后的数据再处理,以更好的适应目标文件的数据格式。S1: Source file data extraction. In the source file data extraction, the file is preprocessed first to obtain the paragraph information of the source file, and then the text data source extraction and other format data extraction are performed. The invention adopts different extraction methods according to different source PowerPoint presentation data objects, and reprocesses the extracted data to better adapt to the data format of the target file.
S2:源文件数据分析。源文件数据分析的功能是对源文件内容的准确分类和对源文件公式的转换。其中准确分类是通过迁移学习技术提供细粒度更好的源文件数据分析方案。考虑Beamer演示文稿内部元素位置及关联信息,在保证基本的转换效果前提下,对源PowerPoint演示文稿中的内容分类,使转换效果更符合实际文件情况。源文件公式的转换是因为PowerPoint演示文稿和目标Beamer演示文稿种格式不同,需要单独对公式进行分析。S2: Source file data analysis. The function of source file data analysis is to accurately classify the content of the source file and transform the formula of the source file. Among them, accurate classification is to provide a fine-grained and better source file data analysis scheme through transfer learning technology. Considering the position and associated information of the internal elements of the Beamer presentation, on the premise of ensuring the basic conversion effect, the content in the source PowerPoint presentation is classified to make the conversion effect more in line with the actual file situation. The conversion of the source file formula is because the PowerPoint presentation and the target Beamer presentation have different formats, and the formula needs to be analyzed separately.
S3:目标文件生成。在系统将存储的文本、图片、表格、公式数据,根据源文件分析得到位置记录,进行目标文件数据流分析。载入预设Beamer模板,将文件数据流依次写入目标的Beamer文件中,完成演示文稿的转换。S3: Object file generation. In the system, the stored text, pictures, tables, and formula data are analyzed according to the source file to obtain the location record, and the target file data flow analysis is performed. Load the preset beamer template, write the file data stream into the target beamer file in turn, and complete the conversion of the presentation.
2、本发明引入Apache POI实现源文件的数据提取,具体流程如下:2. The present invention introduces Apache POI to realize data extraction of source files, and the specific process is as follows:
S11:程序运行,点击上传按钮,调用系统文件中的选择对话框FileDialog,供用户选择待转换的Microsoft PowerPoint演示文稿;S11: The program runs, click the upload button, and call the selection dialog FileDialog in the system file for the user to select the Microsoft PowerPoint presentation to be converted;
S12:上传完成后,通过POI中HSLFSlideShow对象提供的getSlides方法,返回幻灯片中找到的所有普通幻灯片的数组,得到该PowerPoint演示文稿中所有的幻灯片数据信息。S12: After the upload is completed, return the array of all common slides found in the slides through the getSlides method provided by the HSLFSlideShow object in the POI, and obtain all the slide data information in the PowerPoint presentation.
S13:文本数据的提取,通过JACOB组件中提供的“Item”、“Range”、“Text”、“Font”、“Size”参数读取文件中的文本内容、文本字体大小、段落格式、段落索引号信息。S13: Extract text data, read the text content, text font size, paragraph format, paragraph index in the file through the "Item", "Range", "Text", "Font", "Size" parameters provided in the JACOB component number information.
S14:其他格式的数据提取,通过POI的GETALLPictures方法获取演示文稿中的图片,通过GETTables方法获取表格、提取FileOutputStream的图片、提取Clipboard的公式,并将提取的数据保存,进行下一步的分析。S14: For data extraction in other formats, obtain the pictures in the presentation through the GETALLPictures method of POI, obtain the table through the GETTables method, extract the pictures of FileOutputStream, extract the formula of Clipboard, and save the extracted data for further analysis.
3、在本发明的数据分析步骤的准确分析阶段,使用迁移学习的改进后的聚类算法对源PowerPoint演示文稿的内容进行分类。如图2所示,图2是本发明实例中源文件数据分析使用迁移学习算法准确分析的流程图。研究发现,单一的使用聚类算法并不能得到很好的文件内容分类结果,尤其是当文件过短时,分类错误的现象很容易发生。因为文件文本中的格式差异显著,数据分析可以自动将相同格式的文本自动聚类,再对不同格式文本内容自动区分,并通过迁移学习算法利用系统历史文件分类经验帮助新文件分类,提高弱分类器的分类准确度。在聚类K-means算法中,定义了一个欧氏距离函数和平均质心距离函数,将源PowerPoint演示文稿中相似的文本内容划归到同一类别中。其实质上是使用了历史数据中于待分类文件相同特征的部分来帮助待分类文件的分类。因为经过迁移后的文件扩充了源文件,所以提高了分类的准确度。从而区分出不同的字号表示的是一级标题、二级标题、正文、公式等,提高了分类的准确度、适用性能以及适用范围。流程如下:3. In the accurate analysis phase of the data analysis step of the present invention, the content of the source PowerPoint presentation is classified using the improved clustering algorithm of transfer learning. As shown in FIG. 2 , FIG. 2 is a flowchart of accurate analysis of source file data analysis using a migration learning algorithm in an example of the present invention. The study found that the single use of clustering algorithm can not get a good classification result of file content, especially when the file is too short, the phenomenon of classification error is easy to occur. Because the formats in the file texts are significantly different, data analysis can automatically cluster the texts of the same format, and then automatically distinguish the content of the texts in different formats, and use the system historical file classification experience through the transfer learning algorithm to help classify new files and improve weak classification. classification accuracy of the device. In the clustering K-means algorithm, a Euclidean distance function and an average centroid distance function are defined to classify similar text content in the source PowerPoint presentation into the same category. In essence, it uses the part of the historical data with the same characteristics as the document to be classified to help the classification of the document to be classified. Because the migrated files augment the source files, the classification accuracy is improved. Thus, it can be distinguished that different font sizes represent first-level headings, second-level headings, body text, formulas, etc., which improves the classification accuracy, applicable performance and applicable scope. The process is as follows:
S21:读取在源文件数据提取中记录的源文件中文本数据,通过统计文本数据在PowerPoint存储的方式,将每段的字号、行数、水平布局作为K-means聚类算法的输入矩阵,将其设置为源数据集Ta,其长度为m,按照相同格式加载历史转换文件信息,作为迁移数据集Tb,其长度为n;将二者合并为训练数据集T,其长度为m+n;S21: Read the text data in the source file recorded in the source file data extraction, and use the font size, number of lines and horizontal layout of each segment as the input matrix of the K-means clustering algorithm by means of statistical text data stored in PowerPoint, Set it as the source dataset Ta , whose length is m, and load the historical conversion file information in the same format as the migration dataset Tb , whose length is n; combine the two into a training dataset T whose length is m +n;
S22:定义数据集文本数据段落样本表示为质心表示为其中i=1,2,...,s表示段落索引号,j=1,2,...,t表示特征数,即位置信息种类数,再根据上述符号定义一个欧氏距离函数:S22: Define the dataset text data paragraph sample representation as The centroid is expressed as Where i=1, 2,..., s represents the paragraph index number, j=1, 2,..., t represents the number of features, that is, the number of types of location information, and then define a Euclidean distance function according to the above symbols:
用于计算每簇质心和该段落距离,并根据该距离划分簇。再根据k-means算法针对聚类所的簇划分C={C1,C2,....,Ck},定义最小化平方误差函数:Used to calculate the centroid of each cluster and the paragraph distance, and divide the clusters according to this distance. Then according to the k-means algorithm, according to the cluster division C={C1 , C2 , ...., Ck }, the minimized square error function is defined:
其中x是簇Ci的均值向量。in x is the mean vector of clustersCi .
S23:执行迁移算法,初始化段落的权重向量,该权重用于调整迁移数据对源数据的影响作用,权重越小,作用越小,通过权值的大小区分迁移文数据中的可迁移文数据与不可迁移数据:S23: Execute the migration algorithm to initialize the weight vector of the paragraph. The weight is used to adjust the influence of the migration data on the source data. The smaller the weight, the smaller the effect. The value of the weight is used to distinguish the migrated text data in the migration text data from the migration text data. Non-migrating data:
其中,w表示每个段落文本的初始权重。where w represents the initial weight of each paragraph text.
S24:计算用于数据集T上的权重分布pt,用于K-means算法训练数据的权值项,其权重分布pt根据权重向量wt计算得到:S24: Calculate the weight distribution pt used on the data setT , the weight item used for the training data of the K-means algorithm, and the weight distributionpt is calculated according to the weight vectorwt :
S25:统计k种不同的字号数,表示有k种分类,将其作为K-means聚类算法的超参数,执行聚类算法对数据集T进行聚类,通过调用欧氏距离函数disted和最小化平方误差函数E,将不同的段落划归到k类。S25: Count the number of k different font sizes, indicating that there are k categories, and use it as the hyperparameter of the K-means clustering algorithm, execute the clustering algorithm to cluster the data set T, and call the Euclidean distance function disted and Minimize the squared error function E to classify different paragraphs into k classes.
S26:根据K-means算法的聚类结果,计算迁移错误率:S26: Calculate the migration error rate according to the clustering result of the K-means algorithm:
ht表示分类器在Ta上分类结果,c表示聚类算法分类在Ta上分类结果。设置和βt=∈t/(1-∈t)并根据该错误率更新权值向量。通过其计算迁移数据的新权重,错误则减小其权重,正确则增加其权重。权重向量的更新计算公式如下:ht represents the classification result of the classifier onTa , andc represents the classification result of the clustering algorithm on Ta. set up and βt =∈t /(1-∈t ) and update the weight vector according to this error rate. It calculates the new weight of the migrated data, reducing its weight if it is wrong, and increasing its weight if it is correct. The update calculation formula of the weight vector is as follows:
S27:重新执行S24到S26步骤,直到达到设置的迭代次数N为止。迁移算法迭代分析数据过程中,逐步降低不可迁移数据的权重,逐渐的将历史数据中可迁移的数据和不可迁移的数据区分开,当迭代次数达到设定值时停止迁移算法。此时历史数据中可迁移的数据和待分类的数据的特征分布趋向一致。此时获得了最终分类器ht,并将分类结果保存。S27: Re-execute steps S24 to S26 until the set number of iterations N is reached. During the process of iteratively analyzing the data, the migration algorithm gradually reduces the weight of the non-migratory data, gradually distinguishes the data that can be migrated from the data that cannot be migrated in the historical data, and stops the migration algorithm when the number of iterations reaches the set value. At this time, the feature distributions of the data that can be migrated in the historical data and the data to be classified tend to be consistent. At this point, the final classifier ht is obtained, and the classification result is saved.
S28:公式转化处理部分。公式的转换需要对源文件进行进一步的分析,对于不同的公式类型,当公式为图片格式时,首先参照PowerPoint演示文稿的位置信息,对公式图片做放缩、去噪、二值化处理,再通过OCR和语义转换技术转化目标公式,生成格式化的Beamer演示文稿公式。S28: Formula conversion processing part. The conversion of the formula requires further analysis of the source file. For different formula types, when the formula is in the picture format, first refer to the location information of the PowerPoint presentation, and perform scaling, denoising, and binarization on the formula picture, and then Transform target formulas through OCR and semantic transformation techniques to generate formatted Beamer presentation formulas.
4、本发明引入JACOB实现目标文件生成,具体流程如下:4. The present invention introduces JACOB to realize target file generation, and the specific process is as follows:
S31:读取分类结果,将存储的标题、文本内容以及表格、图片、公式格式数据与源文件位置数据建立映射关系。S31: Read the classification result, and establish a mapping relationship between the stored title, text content, table, picture, formula format data and the source file location data.
S32:内置Bergen、Berkeley、Ilmaneau、Marburg四种目标Beamer模板,根据用户选择,使用JACOB组件定义一个新的Beamer演示文稿,根据上述映射关系确定生成文件中的目标元素的位置。S32: Built-in Bergen, Berkeley, Ilmaneau, Marburg four target beamer templates, according to the user's choice, use JACOB component to define a new beamer presentation, and determine the position of the target element in the generated file according to the above mapping relationship.
S33:通过目标元素生成目标文件的文件数据流,将目标文件数据流依次写入到目标Beamer文件中,生成最终的Beamer演示文稿。S33: Generate the file data stream of the target file through the target element, write the target file data stream into the target beamer file in turn, and generate the final beamer presentation.
图3本发明实施例中转换的四种模板效果图;图4本发明实施例中转换目录界面效果图;图5本发明实施例中转换的整体转换效果图。FIG. 3 is an effect diagram of four templates converted in an embodiment of the present invention; FIG. 4 is an effect diagram of a conversion directory interface in an embodiment of the present invention; and FIG. 5 is an overall conversion effect diagram of conversion in an embodiment of the present invention.
本发明具有的理论意义和实际应用价值:解决了传统文档编辑软件难以支持多种类型文档相互转化的问题,尤其解决了使用传统机器学习算法针对单一文件分类细粒度不足的问题,为满足用户对不同文档类型在线转换提供了工具支持。降低了专业演示文稿的制作难度,提高了专业演示文稿制作的高效性,为高校师生、科研人员等提供快捷的演示文稿转换方法。The invention has theoretical significance and practical application value: it solves the problem that traditional document editing software is difficult to support the mutual conversion of multiple types of documents, especially solves the problem of insufficient fine-grained classification for a single file using traditional machine learning algorithms. Online conversion of different document types provides tool support. It reduces the difficulty of making professional presentations, improves the efficiency of making professional presentations, and provides a quick presentation conversion method for college teachers, students, and scientific researchers.
上面结合附图对本发明的实施例进行了描述,但是本发明并不局限于上述的具体实施方式,上述的具体实施方式仅仅是示意性的,而不是限制性的,本领域的普通技术人员在本发明的启示下,在不脱离本发明宗旨和权利要求所保护的范围情况下,还可做出很多形式,这些均属于本发明的保护之内。The embodiments of the present invention have been described above in conjunction with the accompanying drawings, but the present invention is not limited to the above-mentioned specific embodiments, which are merely illustrative rather than restrictive. Under the inspiration of the present invention, without departing from the scope of protection of the present invention and the claims, many forms can be made, which all belong to the protection of the present invention.
| Application Number | Priority Date | Filing Date | Title |
|---|---|---|---|
| CN201910097017.6ACN109885818B (en) | 2019-01-31 | 2019-01-31 | Method and system for converting PowerPoint presentation to Beamer presentation |
| Application Number | Priority Date | Filing Date | Title |
|---|---|---|---|
| CN201910097017.6ACN109885818B (en) | 2019-01-31 | 2019-01-31 | Method and system for converting PowerPoint presentation to Beamer presentation |
| Publication Number | Publication Date |
|---|---|
| CN109885818A CN109885818A (en) | 2019-06-14 |
| CN109885818Btrue CN109885818B (en) | 2020-11-27 |
| Application Number | Title | Priority Date | Filing Date |
|---|---|---|---|
| CN201910097017.6AActiveCN109885818B (en) | 2019-01-31 | 2019-01-31 | Method and system for converting PowerPoint presentation to Beamer presentation |
| Country | Link |
|---|---|
| CN (1) | CN109885818B (en) |
| Publication number | Priority date | Publication date | Assignee | Title |
|---|---|---|---|---|
| CN111046841A (en)* | 2019-12-26 | 2020-04-21 | 中孚安全技术有限公司 | Character extraction method, system, terminal and storage medium of PowerPoint file |
| CN114064564B (en)* | 2020-07-31 | 2025-08-26 | 中移(苏州)软件技术有限公司 | Data processing method, device, terminal and storage medium |
| CN112560406B (en)* | 2020-12-17 | 2021-09-07 | 中科三清科技有限公司 | Method and device for generating forecast consultation demonstration manuscript |
| CN119477627B (en)* | 2025-01-16 | 2025-04-18 | 北京全道智源教育科技院 | Digital teaching material writing method and system based on action logic |
| Publication number | Priority date | Publication date | Assignee | Title |
|---|---|---|---|---|
| US9147129B2 (en)* | 2011-11-18 | 2015-09-29 | Honeywell International Inc. | Score fusion and training data recycling for video classification |
| CN104142961B (en)* | 2013-05-10 | 2017-08-25 | 北大方正集团有限公司 | The logic processing device of composite diagram and logical process method in format document |
| CN107357765B (en)* | 2017-07-14 | 2018-11-09 | 北京神州泰岳软件股份有限公司 | Word document flaking method and device |
| CN107526106B (en)* | 2017-08-28 | 2021-03-30 | 电子科技大学 | Rapid seismic waveform classification method based on semi-supervised algorithm |
| Publication number | Publication date |
|---|---|
| CN109885818A (en) | 2019-06-14 |
| Publication | Publication Date | Title |
|---|---|---|
| CN109885818B (en) | Method and system for converting PowerPoint presentation to Beamer presentation | |
| US12354396B2 (en) | System for information extraction from form-like documents | |
| US20230042221A1 (en) | Modifying digital images utilizing a language guided image editing model | |
| CN109615014B (en) | KL divergence optimization-based 3D object data classification system and method | |
| CN109657204B (en) | Automatically pairing fonts using asymmetric metric learning | |
| US12118813B2 (en) | Continuous learning for document processing and analysis | |
| CN110222317B (en) | A method and system for converting a PowerPoint presentation to a Word document | |
| CN107220220A (en) | Electronic equipment and method for text-processing | |
| CN109918351B (en) | A method and system for converting beamer presentation to PowerPoint presentation | |
| US20230134218A1 (en) | Continuous learning for document processing and analysis | |
| US20200364463A1 (en) | Intelligently generating digital note compilations from digital video | |
| CN114821610B (en) | A Method of Generating Web Page Code from Image Based on Tree Neural Network | |
| CN112434533A (en) | Entity disambiguation method, apparatus, electronic device, and computer-readable storage medium | |
| CN118941423A (en) | Educational resource sharing method and sharing system based on education cloud platform | |
| CN118095205A (en) | Information extraction method, device and equipment of layout file and storage medium | |
| WO2023134075A1 (en) | Text topic generation method and apparatus based on artificial intelligence, device, and medium | |
| CN115545036A (en) | Reading order detection in documents | |
| CN115712723A (en) | Training method of matching model, method for obtaining matching degree, matching method and device | |
| US11816184B2 (en) | Ordering presentation of training documents for machine learning | |
| CN115661846A (en) | Data processing method and device, electronic equipment and storage medium | |
| CN109918622B (en) | A Method of Converting from Word Document to LaTeX Document Based on JAVA | |
| US20220301330A1 (en) | Information extraction system and non-transitory computer readable recording medium storing information extraction program | |
| CN117077679A (en) | Named entity recognition method and device | |
| CN116612488A (en) | Book cover recognition method, device, electronic device and storage medium | |
| JP2023021946A (en) | Data retrieval method and system |
| Date | Code | Title | Description |
|---|---|---|---|
| PB01 | Publication | ||
| PB01 | Publication | ||
| SE01 | Entry into force of request for substantive examination | ||
| SE01 | Entry into force of request for substantive examination | ||
| GR01 | Patent grant | ||
| GR01 | Patent grant | ||
| EE01 | Entry into force of recordation of patent licensing contract | ||
| EE01 | Entry into force of recordation of patent licensing contract | Application publication date:20190614 Assignee:WUHAN TIMES GEOSMART TECHNOLOGY Co.,Ltd. Assignor:CHINA University OF GEOSCIENCES (WUHAN CITY) Contract record no.:X2022420000021 Denomination of invention:A conversion method and system from PowerPoint presentation to beamer presentation Granted publication date:20201127 License type:Common License Record date:20220302 |