



技术领域technical field
本发明涉及一种基于区间观测器无人机编队系统故障检测方法,属于多智能体系统技术领域。The invention relates to a fault detection method for an unmanned aerial vehicle formation system based on an interval observer, and belongs to the technical field of multi-agent systems.
背景技术Background technique
近年来,随着计算机和通信网络等技术的发展,尤其在资源勘探、地震救援、环境监测、战场侦察等等领域,无人机编队的应用越来越广泛。相较于单架无人机,无人机编队系统在成本、鲁棒性、冗余性以及高效性有着无可比拟的优势。In recent years, with the development of technologies such as computers and communication networks, especially in the fields of resource exploration, earthquake rescue, environmental monitoring, battlefield reconnaissance, etc., the application of UAV formations has become more and more extensive. Compared with a single UAV, the UAV formation system has unparalleled advantages in cost, robustness, redundancy and efficiency.
无人机内部结构复杂,还需考虑到外界干扰,这对无人机成功完成任务造成了极大的挑战。当一个编队中的某架无人机发生故障时,由于故障会在编队网络中传播给其他健康的飞机,这将会对整个编队系统造成性能下降,甚至出现不稳定等等严重问题。因此,无人机编队故障诊断成为当今控制领域中的热点问题。The internal structure of the UAV is complex, and external interference needs to be considered, which poses a great challenge for the UAV to successfully complete the mission. When a UAV in a formation fails, the failure will be propagated to other healthy aircraft in the formation network, which will cause serious problems such as performance degradation and even instability of the entire formation system. Therefore, UAV formation fault diagnosis has become a hot issue in the field of control today.
几十年来,基于观测器的故障诊断方法被广泛地运用在无人机编队系统上。但是,基于传统观测器的故障诊断方案具有一定的局限性。瑞典皇家理工学院的西姆斯针对二阶时不变多智能体提出了未知输入观测器故障诊断方法,通过局部测量信息分析了该方案的可行性。清华大学的周东华教授提出了针对多机编队系统传感器故障,设计出分布式观测器进行故障诊断,该方法具有降低计算与通讯负载的优势。南京航空航天大学的姜斌教授提出了为有向通信拓扑的多智能体系统设计了自适应故障估计观测器。在现有的研究成果中,需要考虑到很多假设条件,例如忽略系统建模的不确定性、非线性以及观测器匹配条件等等。因此,针对基于传统观测器的无人机编队系统故障诊断方法还需要进一步改进,具有很大的保守性。For decades, observer-based fault diagnosis methods have been widely used in UAV formation systems. However, the traditional observer-based fault diagnosis scheme has certain limitations. Sims from the Royal Institute of Technology in Sweden proposed a fault diagnosis method for unknown input observers for second-order time-invariant multi-agents, and analyzed the feasibility of the scheme through local measurement information. Professor Zhou Donghua of Tsinghua University proposed to design a distributed observer for fault diagnosis of multi-machine formation system sensor faults. This method has the advantage of reducing computing and communication load. Professor Bin Jiang from Nanjing University of Aeronautics and Astronautics proposed to design an adaptive fault estimation observer for multi-agent systems with directed communication topology. In the existing research results, many assumptions need to be considered, such as ignoring the uncertainty of system modeling, nonlinearity, and observer matching conditions. Therefore, the fault diagnosis method for the UAV formation system based on traditional observers needs to be further improved, which is very conservative.
为了突破以上列出的种种限制,区间观测器故障检测方案不受模型不确定性以及观测器匹配条件的约束,提高了对编队系统故障检测的适应性,减小了保守性,具有十分重要的理论和现实意义。In order to break through the limitations listed above, the interval observer fault detection scheme is not constrained by model uncertainty and observer matching conditions, which improves the adaptability of formation system fault detection and reduces conservatism, which is of great importance. theoretical and practical implications.
发明内容SUMMARY OF THE INVENTION
发明目的:为了解决现有技术的不足,本发明提出了一种基于区间观测器的无人机编队系统故障检测方法,克服传统故障检测方法存在的缺陷,提高无人机编队系统故障检测方法的适应性,降低了其保守性。Purpose of the invention: In order to solve the deficiencies of the prior art, the present invention proposes a fault detection method for the UAV formation system based on an interval observer, which overcomes the defects of the traditional fault detection method and improves the performance of the UAV formation system fault detection method. adaptability, reducing its conservation.
技术方案:本发明提供了一种基于区间观测器的无人机编队故障检测方法,无需残差评价函数和阈值生成器,进行故障检测,该方法包括以下步骤:Technical solution: The present invention provides a UAV formation fault detection method based on an interval observer, which does not need a residual evaluation function and a threshold generator to perform fault detection, and the method includes the following steps:
(1)对无人机编队系统进行建模(1) Modeling the UAV formation system
通过图论、状态方程以及输出方程,建立编队系统中各无人机之间的通信连接拓扑,并用无向拓扑图来表示,同时计算出相应的邻接矩阵A和度矩阵D,从而得到拉普拉斯矩阵L;Through graph theory, state equation and output equation, the communication connection topology between UAVs in the formation system is established, and represented by an undirected topology graph, and the corresponding adjacency matrix A and degree matrix D are calculated at the same time, so as to obtain Lapp Lars matrix L;
(2)针对所建立的无人机编队系统模型,建立基于相对输出估计误差的故障检测区间观测器;(2) According to the established UAV formation system model, a fault detection interval observer based on relative output estimation error is established;
(3)通过理论推导得到无人机编队系统的全局估计误差方程,对该全局估计误差方程进行稳定性验证。(3) The global estimation error equation of the UAV formation system is obtained through theoretical derivation, and the stability of the global estimation error equation is verified.
进一步的,步骤(1)中所述无向切换拓扑图采用G={V,E,A}表示无人机编队系统的通信拓扑结构;其中,节点集合V={V1,...VN}表示所有的无人机,节点Vi表示第i个无人机,i=1,2,...N;边集合E表示各无人机之间的通信连接关系,E中的元素ε=(vi,vj)代表无人机vi的信息可以传送给无人机vj,其中, i,j=1,2,...,N;Ni={vj∈V|(vi,vj)∈E|}表示vi的邻居集合,即所有能与vi交互信息的节点集合;邻接矩阵A=[aij]N×N(aij≥0),其中如果(vi,vj)∈E,则aij=1,否则aij=0;度矩阵其中如果(vi,vj)∈E且(vj,vi)∈E,那么G为无向图;Further, the undirected switching topology diagram in step (1) uses G={V, E, A} to represent the communication topology of the UAV formation system; wherein, the node set V={V1 , … VN } represents all UAVs, node Vi represents the i-th UAV, i=1, 2,...N; the edge set E represents the communication connection between the UAVs, and the elements in E ε=(vi , vj ) represents that the information of the UAV vi can be transmitted to the UAV vj , where i, j=1, 2,...,N; Ni ={vj ∈V |(vi , vj )∈E |} represents the neighbor set of vi, that is, the set of all nodes that can exchange information withvi; the adjacency matrix A=[a ij]N×N (aij ≥0), where If (vi , vj )∈E, then aij =1, otherwise aij =0; degree matrix in If (vi , vj )∈E and (vj , vi )∈E, then G is an undirected graph;
所述拓扑描述矩阵具体为:The topology description matrix is specifically:
定义拉普拉斯矩阵L=D-ADefining Laplacian Matrix L=D-A
进一步的,所述的编队系统的每一架无人机的动态方程如下:Further, the dynamic equation of each UAV of the formation system is as follows:
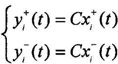
yi(t)=Cxi(t)yi (t)=Cxi (t)
其中,代表第i架无人机的状态向量,是第i架无人机的控制输入向量,代表第i架无人机的输出向量,代表外部扰动,是第i架无人机的执行器故障,其中s≤q<n;代表第i架无人机的系统矩阵,代表第i架无人机的输入矩阵,代表第i架无人机的输出矩阵,代表第i架无人机的状态干扰矩阵,代表第i架无人机的故障矩阵,其中D与E矩阵都是已知的列满秩矩阵。in, represents the state vector of the i-th UAV, is the control input vector of the i-th UAV, represents the output vector of the i-th UAV, stands for external disturbance, is the actuator failure of the i-th UAV, where s≤q<n; represents the system matrix of the i-th UAV, represents the input matrix of the i-th UAV, represents the output matrix of the i-th UAV, represents the state-disturbance matrix of the i-th UAV, Represents the failure matrix of the i-th UAV, where the D and E matrices are known full-rank matrices.
对于编队系统中的长机,将其记为0,其动态方程如下所示:For the leader in the formation system, it is recorded as 0, and its dynamic equation is as follows:
y0(t)=Cx0(t)y0 (t)=Cx0 (t)
其中,代表长机的状态向量,代表长机的输出向量。代表长机的系统矩阵,代表长机的输出矩阵。在图G中,长机能被一小部分无人机直接观测到。如果第i架无人机能直接获取到长机的信息,那么图G中存在边(v0,vi),并且控制权重gi>0,那么该无人机为图G中的被控节点。in, represents the state vector of the leader, Represents the output vector of the leader. represents the system matrix of the lead aircraft, Represents the output matrix of the leader. In Figure G, the long aircraft can be directly observed by a small number of UAVs. If the i-th UAV can directly obtain the information of the leader, then there is an edge (v0 , vi ) in graph G, and the control weight gi > 0, then the UAV is the controlled node in graph G .
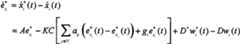
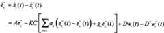
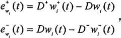
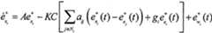
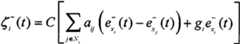
进一步的,步骤(2)中所述的故障检测观测器如下:Further, the fault detection observer described in step (2) is as follows:
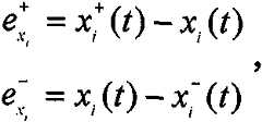
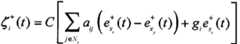
其中,与分别表示观测器中的状态向量的上界与下界,与分别表示外界扰动的上下界,矩阵A1是矩阵A与矩阵0的较大者,A2=A-A1,同理,D+为矩阵D与矩阵0 的较大者,D-=D-D+,K是观测器增益矩阵,与分别表示第i个无人机的相对输出估计误差的上下界,给出定义如下:in, and represent the upper and lower bounds of the state vector in the observer, respectively, and Respectively represent the upper and lower bounds of external disturbance, matrix A1 is the larger of matrix A and
其中,in,
针对第i架无人机,定义其误差上下界,分别为:For the i-th UAV, define the upper and lower bounds of its error, which are:
则but
可以被改写成: can be rewritten as:
在无故障情况下,对第i架无人机分别定义误差上下界动态方程:In the case of no fault, the upper and lower bounds of the error dynamic equations are defined for the i-th UAV:
为了便于阅读,将部分符号简化如下:For readability, some symbols are simplified as follows:
则得到:then get:
进一步的,步骤(3)中所述的无人机编队系统的全局估计误差方程如下:Further, the global estimation error equation of the UAV formation system described in step (3) is as follows:
其中,in,
IN为N维的单位矩阵,代表矩阵的克罗内克积。这样以便从全局角度来对基于长机-僚机的无人机编队系统进行故障检测研究。IN is an N-dimensional identity matrix, Represents the Kronecker product of a matrix. In this way, the fault detection research of the UAV formation system based on the leader-wingman can be carried out from a global perspective.
用到了如下引理:The following theorem is used:
考虑如下连续系统:Consider the following continuous system:
其中,矩阵A为梅茨勒矩阵,并且Among them, the matrix A is the Metzler matrix, and
如果系统初始状态x(0)≥0,那么当t≥0时,x(t)≥0恒成立。If the initial state of the system x(0)≥0, then when t≥0, x(t)≥0 is always established.
由此引出如下定理:This leads to the following theorem:
对于给定的通信拓扑,如果既是梅茨勒矩阵,又是赫尔维茨矩阵,那么当无人机编队系统无故障时,为区间观测器,并且使得成立。For a given communication topology, if It is both a Metzler matrix and a Hurwitz matrix, then when the UAV formation system has no faults, it is an interval observer, and makes established.
定理证明:考虑全局估计误差方程:Theorem Proof: Consider the global estimation error equation:
如果既是梅茨勒矩阵,又是赫尔维茨矩阵,那么对于t≥0,以下不等式成立:if is both a Metzler matrix and a Hurwitz matrix, then for t ≥ 0, the following inequality holds:
那么可以得到成立。then you can get established.
证明完成。Proof is complete.
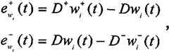
当无人机编队系统没有发生执行器故障时,区间观测器的输出定义为:When there is no actuator failure in the UAV formation system, the output of the interval observer is defined as:
那么第i架无人机的输出yi(t)应该满足:Then the output yi (t) of the i-th UAV should satisfy:
因此,当编队系统处于健康状态时,以下不等式应该成立:Therefore, when the formation system is in a healthy state, the following inequality should hold:
否则表明发生故障,应该报警发生故障。 Otherwise, it indicates that a failure occurs, and an alarm should be reported.
有益效果:在本领域中,本发明对每一架无人机都设计了与其对应的观测器,从而每一个观测器都能够达到对其对应的无人机进行执行器故障检测的目的。本发明设计了故障检测区间观测器的设计方案,大大降低了传统观测器设计的保守性。Beneficial effects: In the art, the present invention designs a corresponding observer for each UAV, so that each observer can achieve the purpose of performing actuator fault detection on its corresponding UAV. The invention designs the design scheme of the fault detection interval observer, which greatly reduces the conservativeness of the traditional observer design.
附图说明:Description of drawings:
图1是本发明方法的流程图;Fig. 1 is the flow chart of the inventive method;
图2是本发明实施例子的5架无人机编队系统的通讯拓扑图;Fig. 2 is the communication topology diagram of 5 unmanned aerial vehicle formation systems of the embodiment of the present invention;
图3为本发明实施例子的第一架无人机输出残差误差的上界;Fig. 3 is the upper bound of the output residual error of the first unmanned aerial vehicle according to the embodiment of the present invention;
图4为本发明实施例子的第二架无人机输出残差误差的上界。FIG. 4 is the upper bound of the output residual error of the second UAV according to the embodiment of the present invention.
具体实施方式Detailed ways
下面结合附图以及具体例子,对本发明创造做进一步的说明。The invention will be further described below with reference to the accompanying drawings and specific examples.
本发明以某种垂直起降的无人机模型为实施对象,针对无人机编队控制中发生的执行器故障,提出了一种基于区间观测器的故障检测方法,相较于传统故障检测方法,该故障检测方法不需要阈值生成器与残差评价函数,大大降低了观测器设计的保守性。The invention takes a certain vertical take-off and landing UAV model as the implementation object, and proposes a fault detection method based on interval observer for the actuator failure in the formation control of the UAV, which is compared with the traditional fault detection method. , the fault detection method does not need a threshold generator and a residual evaluation function, which greatly reduces the conservativeness of the observer design.
本发明实施例子模型参考南京航空航天大学姜斌教授的《Adaptive observer-based fast fault estimation》一文,具体如下所示:The example model of the present invention refers to the article "Adaptive observer-based fast fault estimation" by Professor Jiang Bin of Nanjing University of Aeronautics and Astronautics, which is as follows:
yi(t)=Cxi(t)yi (t)=Cxi (t)
其中,xi(t)=[Vh Vv q θ]T为每架无人机的状态向量,其中Vh,Vv,q,θ分别代表无人机的飞行速度沿机体轴的水平分量、垂直分量、俯仰角速度和俯仰角;ui(t)=[δc δl]T表示每架无人机的输入向量,其中,δc和δl分别表示总距变量和纵向周期性变距;yi(t)=[VhVv θ]T为每架无人机的输出向量,其中, Vh,Vv,θ分别代表无人机的飞行速度沿机体轴的水平分量、垂直分量和俯仰角;代表外部扰动,是每架无人机的执行器故障,其中s≤q<n。各个矩阵表示如下:Among them, xi (t)=[Vh Vv q θ]T is the state vector of each UAV, where Vh , Vv , q, θ represent the level of the flying speed of the UAV along the body axis, respectively component, vertical component, pitch rate and pitch angle; ui (t)=[δc δl ]T represents the input vector of each UAV, where δc and δl represent collective pitch variable and longitudinal periodicity, respectively Variable distance; yi (t)=[Vh Vv θ]T is the output vector of each UAV, where Vh , Vv , θ represent the horizontal component of the UAV’s flight speed along the body axis, respectively , vertical component and pitch angle; stands for external disturbance, is the actuator failure for each UAV, where s≤q<n. Each matrix is represented as follows:
D=[0.01 0.01 0.01 0.01]T。D=[0.01 0.01 0.01 0.01]T .
假设该无人机编队系统发生执行器故障,执行器故障发生在输入通道,因此令故障矩阵E=B;It is assumed that the actuator failure occurs in the UAV formation system, and the actuator failure occurs in the input channel, so the failure matrix E=B;
如图1所示,1-5表示该无向图具有5架无人机节点,0表示编队中的长机,无向图指的是编队系统连接图中的每条边都没有连接方向,因此相对于有向图,无向图保守性较低。从图1可以得出拉普拉斯矩阵L和自回路矩阵G分别为:As shown in Figure 1, 1-5 indicate that the undirected graph has 5 UAV nodes, 0 indicates the leader in the formation, and the undirected graph means that each edge in the connection graph of the formation system has no connection direction. Therefore, undirected graphs are less conservative than directed graphs. From Figure 1, it can be concluded that the Laplace matrix L and the self-loop matrix G are:
对于编队系统中的长机,将其记为0,其动态方程如下所示:For the leader in the formation system, it is recorded as 0, and its dynamic equation is as follows:
y0(t)=Cx0(t)y0 (t)=Cx0 (t)
其中,代表长机的状态向量,代表长机的输出向量。代表长机的系统矩阵,代表长机的输出矩阵。在图G中,长机能被一小部分无人机直接观测到。如果第i架无人机能直接获取到长机的信息,那么图G中存在边(v0,vi),并且控制权重gi>0,那么该无人机为图G中的被控节点。in, represents the state vector of the leader, Represents the output vector of the leader. represents the system matrix of the lead aircraft, Represents the output matrix of the leader. In Figure G, the long aircraft can be directly observed by a small number of UAVs. If the i-th UAV can directly obtain the information of the leader, then there is an edge (v0 , vi ) in graph G, and the control weight gi > 0, then the UAV is the controlled node in graph G .
进一步的,步骤2中所述的故障检测观测器如下:Further, the fault detection observer described in
其中,,与分别表示观测器中的状态向量的上界与下界,与分别表示外界扰动的上下界,矩阵A1是矩阵A与矩阵0的较大者,A2=A-A1,同理,D+为矩阵D与矩阵 0的较大者,D-=D-D+,K是观测器增益矩阵,其中,in,, and represent the upper and lower bounds of the state vector in the observer, respectively, and Respectively represent the upper and lower bounds of external disturbance, matrix A1 is the larger of matrix A and
与分别表示第i个无人机的相对输出估计误差的上下界,给出定义如下: and respectively represent the upper and lower bounds of the relative output estimation error of the i-th UAV, and the definitions are given as follows:
其中,in,
针对第i架无人机,定义其误差上下界,分别为:For the i-th UAV, define the upper and lower bounds of its error, which are:
则but
可以被改写成: can be rewritten as:
在无故障情况下,对第i架无人机分别定义误差上下界动态方程:In the case of no fault, the upper and lower bounds of the error dynamic equations are defined for the i-th UAV:
为了便于阅读,将部分符号简化如下:For readability, some symbols are simplified as follows:
则得到:then get:
进一步的,步骤3中所述的无人机编队系统的全局估计误差方程如下:Further, the global estimation error equation of the UAV formation system described in
其中,in,
IN为N维的单位矩阵,代表矩阵的克罗内克积。这样以便从全局角度来对基于长机-僚机的无人机编队系统进行故障检测研究。IN is an N-dimensional identity matrix, Represents the Kronecker product of a matrix. In this way, the fault detection research of the UAV formation system based on the leader-wingman can be carried out from a global perspective.
当无人机编队系统没有发生执行器故障时,区间观测器的输出定义为:When there is no actuator failure in the UAV formation system, the output of the interval observer is defined as:
那么第i架无人机的输出yi(t)应该满足:Then the output yi (t) of the i-th UAV should satisfy:
因此,当编队系统处于健康状态时,以下不等式应该成立:Therefore, when the formation system is in a healthy state, the following inequality should hold:
否则表明发生故障,应该报警发生故障。 Otherwise, it indicates that a failure occurs, and an alarm should be reported.
仿真示例:Simulation example:
定义参考输入ui(t)=[0.5 0.5]T,外界扰动wi=0.1sin(t)Define the reference inputui (t)=[0.5 0.5]T , the external disturbancewi =0.1sin(t)
假设t0=0,考虑以下故障模式:Assuming t0 =0, consider the following failure modes:
无人机1:f1(t)=[f11(t) f12(t)]TDrone 1: f1 (t)=[f11 (t) f12 (t)]T
无人机2:f2(t)=[f21(t) f22(t)]TDrone 2: f2 (t)=[f21 (t) f22 (t)]T
其中,in,
无人机3、无人机4和无人机5未发生故障。
为验证本发明故障检测方法的效果,应用Matlab中的Simulink模块进行仿真实验,假设无人机1发生的是常值执行器故障,无人机2发生的是时变执行器故障,其他无人机均保持正常飞行状态。当编队系统发生故障时,第一架无人机输出残差误差的上界曲线如图2所示,第二架无人机输出残差误差的上界曲线如图3所示。In order to verify the effect of the fault detection method of the present invention, the Simulink module in Matlab is used to carry out a simulation experiment. It is assumed that the failure of the constant value actuator occurs in the
从仿真结果可以得出,当无人机编队系统中一架或者多架无人机发生执行器故障时,本发明所设计的区间观测器故障检测方案可以检测出发生故障的节点,且不需要阈值生成器与残差评价函数,很大程度上降低了保守性,有着较强的适应性。本发明对于在执行器故障情况下的无人机编队系统的故障检测具有重要的适用参考价值。From the simulation results, it can be concluded that when one or more UAVs in the UAV formation system have actuator failures, the interval observer failure detection scheme designed in the present invention can detect the failed nodes without requiring The threshold generator and residual evaluation function greatly reduce the conservatism and have strong adaptability. The invention has important applicable reference value for the failure detection of the UAV formation system in the case of actuator failure.
以上具体实施方式是对本发明提出的一种基于区间观测器的无人机编队故障检测方法技术思想的具体支持,不能以此限定本发明的保护范围,凡是按照本发明提出的技术思想,在本发明技术方案基础之上所做的任何改动,均仍属于本发明技术方案的保护范围。The above specific embodiment is a concrete support for the technical idea of a UAV formation fault detection method based on an interval observer proposed by the present invention, and cannot limit the protection scope of the present invention. Any changes made on the basis of the technical solution of the invention still belong to the protection scope of the technical solution of the invention.
| Application Number | Priority Date | Filing Date | Title |
|---|---|---|---|
| CN201910274124.1ACN109884902B (en) | 2019-04-04 | 2019-04-04 | A fault detection method for UAV formation system based on interval observer |
| Application Number | Priority Date | Filing Date | Title |
|---|---|---|---|
| CN201910274124.1ACN109884902B (en) | 2019-04-04 | 2019-04-04 | A fault detection method for UAV formation system based on interval observer |
| Publication Number | Publication Date |
|---|---|
| CN109884902A CN109884902A (en) | 2019-06-14 |
| CN109884902Btrue CN109884902B (en) | 2021-09-07 |
| Application Number | Title | Priority Date | Filing Date |
|---|---|---|---|
| CN201910274124.1AExpired - Fee RelatedCN109884902B (en) | 2019-04-04 | 2019-04-04 | A fault detection method for UAV formation system based on interval observer |
| Country | Link |
|---|---|
| CN (1) | CN109884902B (en) |
| Publication number | Priority date | Publication date | Assignee | Title |
|---|---|---|---|---|
| CN112291810B (en)* | 2020-11-02 | 2022-02-08 | 北京邮电大学 | Network splitting detection method and device for unmanned aerial vehicle network |
| CN112947391B (en)* | 2021-04-05 | 2022-04-01 | 西北工业大学 | A Micro-fault Diagnosis Method for Flight Control System Actuators Based on TOMFIR Residuals |
| CN113467517A (en)* | 2021-07-30 | 2021-10-01 | 河北科技大学 | Flight control method and system of unmanned aerial vehicle cluster under fault condition |
| CN114326715B (en)* | 2021-12-09 | 2023-10-03 | 东南大学 | Formation control method and device for variable-dimension multi-agent system |
| CN115328200A (en)* | 2022-08-23 | 2022-11-11 | 苏州大学 | Consistent control method of aircraft swarm system based on state estimation |
| CN116224807B (en)* | 2023-05-08 | 2023-07-21 | 西北工业大学 | Unmanned aerial vehicle formation fault detection method based on distributed observer |
| CN118897499B (en)* | 2024-10-09 | 2025-03-14 | 中国人民解放军海军航空大学 | Distributed topology switching cooperative control method |
| Publication number | Priority date | Publication date | Assignee | Title |
|---|---|---|---|---|
| CN105242544A (en)* | 2015-10-30 | 2016-01-13 | 山东科技大学 | Non-linear multi-unmanned-aerial-vehicle-system fault-tolerance formation control method with consideration of random disturbance |
| CN107329083A (en)* | 2017-07-28 | 2017-11-07 | 南京航空航天大学 | For the method for diagnosing faults of bullet train traction electric machine nonlinear system sensor |
| CN109491244A (en)* | 2017-09-13 | 2019-03-19 | 南京航空航天大学 | A kind of unmanned plane fleet system method for diagnosing faults based on sliding mode observer |
| Publication number | Priority date | Publication date | Assignee | Title |
|---|---|---|---|---|
| CN105242544A (en)* | 2015-10-30 | 2016-01-13 | 山东科技大学 | Non-linear multi-unmanned-aerial-vehicle-system fault-tolerance formation control method with consideration of random disturbance |
| CN107329083A (en)* | 2017-07-28 | 2017-11-07 | 南京航空航天大学 | For the method for diagnosing faults of bullet train traction electric machine nonlinear system sensor |
| CN109491244A (en)* | 2017-09-13 | 2019-03-19 | 南京航空航天大学 | A kind of unmanned plane fleet system method for diagnosing faults based on sliding mode observer |
| Title |
|---|
| Adaptive observer-based fast fault estimation of a leader-follower linear multi-agent system with actuator faults;Liu Guosheng等;《2015 34th Chinese Control Conference (CCC)》;IEEE;20150914;第6340-6344页* |
| Interval observer-based fault detection in finite frequency domain for discrete-time fuzzy systems;Zhi-HuiZhang等;《Neurocomputing》;Elsevier;20180523;第310卷;第38-45页* |
| 具有切换拓扑结构的多智能体系统故障诊断研究;崔阳;《中国优秀硕士学位论文全文数据库 信息科技辑》;中国学术期刊(光盘版)电子杂志社;20190215(第02期);第1-69页* |
| 分布式飞行控制系统故障诊断研究;刘国胜;《中国优秀硕士学位论文全文数据库 工程科技Ⅱ辑》;中国学术期刊(光盘版)电子杂志社;20180315(第03期);摘要、第11-12、17-20页* |
| Publication number | Publication date |
|---|---|
| CN109884902A (en) | 2019-06-14 |
| Publication | Publication Date | Title |
|---|---|---|
| CN109884902B (en) | A fault detection method for UAV formation system based on interval observer | |
| CN109557818B (en) | Sliding mode fault-tolerant control method of multi-agent tracking system with multiple faults | |
| Yu et al. | Distributed finite-time fault-tolerant containment control for multiple unmanned aerial vehicles | |
| CN105204499B (en) | Helicopter collaboration formation method for diagnosing faults based on Unknown Input Observer | |
| CN108427401B (en) | Flight control system cooperative fault diagnosis method with joint connectivity topology | |
| CN107797454B (en) | Multi-agent system based on finite-time control cooperates with fault tolerant control method | |
| CN110161847B (en) | A sensor fault estimation method for UAV formation system based on distributed singular observers | |
| CN106444701B (en) | Leader-follower type multi-agent system finite time Robust Fault Diagnosis design method | |
| CN113268084B (en) | Intelligent fault-tolerant control method for unmanned aerial vehicle formation | |
| CN110414125B (en) | Event-driven spacecraft rendezvous fault diagnosis and filter design method | |
| CN107422741B (en) | Learning-based cluster flight distributed attitude tracking control method for preserving preset performance | |
| CN110058519A (en) | A kind of active formation fault tolerant control method based on quick self-adapted technology | |
| CN108803317A (en) | Adaptive multivariable quadrotor drone finite time fault tolerant control method | |
| CN111142549B (en) | A UAV attitude control system anti-jamming attack detection and self-healing controller and control method | |
| Gai et al. | Dynamic Event-Triggered Hᵢ/H∞ Optimization Approach to Fault Detection for Unmanned Aerial Vehicles | |
| CN107315421B (en) | A Distributed Speed Sensor Fault Diagnosis Method for Delayed UAV Formation | |
| CN116692031A (en) | Spacecraft cluster attitude cooperative control method under interference fault mixing condition | |
| CN117148863B (en) | A fault-tolerant collaborative control method for swarm drones under compound faults | |
| Liu et al. | Integrated adaptive fault-tolerant h infinity output feedback control with adaptive fault identification | |
| CN105182990A (en) | Robust control method of three-DOF model helicopter with output limits | |
| CN108646712A (en) | Fault tolerant control system with indeterminate system of actuator failure | |
| CN117177208A (en) | A collaborative fault-tolerant control method for clustered UAVs considering random communication delays | |
| Yuan et al. | Dynamic event-triggered fault-tolerant cooperative resilient tracking control with prescribed performance for UAVs | |
| Cui et al. | Fixed‐time disturbance observer based distributed cooperative containment control with fixed‐time anti‐saturation compensator for multi‐unmanned aerial vehicles | |
| Guo et al. | Adaptive event-triggered PIO-based anti-disturbance fault-tolerant control for MASs with process and sensor faults |
| Date | Code | Title | Description |
|---|---|---|---|
| PB01 | Publication | ||
| PB01 | Publication | ||
| SE01 | Entry into force of request for substantive examination | ||
| SE01 | Entry into force of request for substantive examination | ||
| GR01 | Patent grant | ||
| GR01 | Patent grant | ||
| CF01 | Termination of patent right due to non-payment of annual fee | Granted publication date:20210907 | |
| CF01 | Termination of patent right due to non-payment of annual fee |