Movatterモバイル変換


[0]ホーム

URL:


CN109813639B - Infrared light modulation technology-based synchronous measurement device and measurement method for concentration of particulate matters and gas - Google Patents

Infrared light modulation technology-based synchronous measurement device and measurement method for concentration of particulate matters and gas
Download PDF

Info

Publication number
CN109813639B
CN109813639BCN201910013989.2ACN201910013989ACN109813639BCN 109813639 BCN109813639 BCN 109813639BCN 201910013989 ACN201910013989 ACN 201910013989ACN 109813639 BCN109813639 BCN 109813639B
Authority
CN
China
Prior art keywords
gas
signal
concentration
harmonic
light intensity
Prior art date
Legal status (The legal status is an assumption and is not a legal conclusion. Google has not performed a legal analysis and makes no representation as to the accuracy of the status listed.)
Active
Application number
CN201910013989.2A
Other languages
Chinese (zh)
Other versions
CN109813639A (en
Inventor
周宾
陈慈伟
祝仰坤
王一红
梁伟灿
Current Assignee (The listed assignees may be inaccurate. Google has not performed a legal analysis and makes no representation or warranty as to the accuracy of the list.)
Southeast University
Original Assignee
Southeast University
Priority date (The priority date is an assumption and is not a legal conclusion. Google has not performed a legal analysis and makes no representation as to the accuracy of the date listed.)
Filing date
Publication date
Application filed by Southeast UniversityfiledCriticalSoutheast University
Priority to CN201910013989.2ApriorityCriticalpatent/CN109813639B/en
Publication of CN109813639ApublicationCriticalpatent/CN109813639A/en
Application grantedgrantedCritical
Publication of CN109813639BpublicationCriticalpatent/CN109813639B/en
Activelegal-statusCriticalCurrent
Anticipated expirationlegal-statusCritical

Links

Images

Landscapes

Abstract

The invention discloses a synchronous measurement device for particulate matter and gas concentration based on an infrared light modulation technology, and also discloses a synchronous measurement method for particulate matter and gas concentration based on the infrared light modulation technology. The method couples the light scattering measurement light path with the wavelength modulation measurement light path to realize the synchronous measurement of the concentration of the low-concentration particulate matter and the gas, does not need to additionally consider low-frequency noise such as background dark current and the like of a detector, effectively improves the signal-to-noise ratio of the measurement of the concentration of the low-concentration particulate matter and the gas, has higher sensitivity, and reduces the detection lower limit of the concentration of the existing particulate matter and the gas, so the technology has important application value for realizing the synchronous online monitoring of the concentration of the particulate matter to be measured and the gas in a coal-fired power plant with ultra-low emission requirement.

Description

Infrared light modulation technology-based synchronous measurement device and measurement method for concentration of particulate matters and gas
Technical Field
The invention relates to a synchronous measurement device for particulate matter and gas concentration based on a light scattering and spectroscopy technology, and further relates to a measurement method of the synchronous measurement device for particulate matter and gas concentration based on an infrared light modulation technology, belonging to the technical field of optical measurement.
Background
In recent years, with the increasing importance of the country on environmental protection and the need for ensuring the safe and efficient operation of industrial production, accurate monitoring of the concentrations of particulate matters and pollutant gas components has important significance for controlling air pollution emission. In order to facilitate the supervision and management of environmental protection departments to minimize the emission of pollutants, research and manufacture of techniques and equipment capable of accurately and rapidly measuring the concentration of gases and the concentration of particulate matters are urgent.
The existing methods applied to the measurement of the concentration of the pollutant gas are divided into two methods, namely a non-optical analysis method and an optical analysis method, according to the working principle. The non-optical analysis methods mainly include ultrasonic technology, gas-sensitive method, thermal catalysis method, gas chromatography, etc., but are very susceptible to environmental factors such as temperature, pressure, humidity, etc., and thus are difficult to apply to field gas analysis. An optical gas concentration analysis method is mainly based on the basic principle of spectroscopy, when the laser frequency is the same as the transition frequency of a gas absorption component, laser energy is absorbed, an absorption value along a light path can be obtained by comparing the incident light intensity with the transmitted light intensity, and then physical parameters such as gas temperature, gas concentration and the like are determined.
The spectroscopy mainly includes fourier transform infrared spectroscopy (FTIR), laser photoacoustic spectroscopy (PAS), tunable laser diode absorption spectroscopy (TDLAS), and the like. The FTIR technology is mainly based on the Michelson interferometer principle, and the infrared light source sends the parallel light after collimating by collimating lens, is received by the telescope system after the gaseous absorption of awaiting measuring, assembles the detector through the interferometer again to obtain the interference signal of the gaseous of awaiting measuring, can obtain the absorption spectrum information of gaseous under the different concentrations after Fourier transform, thereby calculate gaseous concentration. However, FTIR devices are bulky, have relatively slow response speed and are relatively expensive, and therefore will need to be developed in the future. The PAS technology is a gas concentration measuring method utilizing a photoacoustic effect, laser velocity energy emitted by a laser diode is absorbed by gas to be measured and then converted into heat energy, so that the temperature of local gas is changed, meanwhile, the change of gas pressure is caused, photoacoustic waves are generated, generated frontal sound waves are detected by a sound wave microphone, and the inversion of the gas concentration is completed according to the amplitude of the sound waves. However, the resonance mode is easily interfered by environmental noise, and the measurement precision is influenced. The TDLAS technology is a spectral measurement method based on the narrow linewidth characteristic of a semiconductor laser, can realize simultaneous measurement of multiple components and multiple parameters of mixed gas, has very strong universality and high measurement resolution, and can measure the concentration of trace gas by selecting a combined type characteristic absorption spectral line of gas to be measured.
The measurement methods of particulate matter concentration can be generally classified into two categories: sampling and non-sampling. The non-sampling method has been widely used because it does not need to sample the object to be measured, can directly measure the particulate matter, and does not generate disturbance to the object to be measured. The non-sampling method can be classified into a blackness method, a turbidity method, a light scattering method, and the like. The blackness method is also called the ringer-Mannheim method. The method is based on the fact that monitoring personnel visually observe the blackness of emitted particulate matters by using glass sheets with different black areas, then the blackness of the smoke to be detected is determined after the blackness is compared with the Ringelmann blackness (six levels in total), and then the smoke emission concentration is obtained according to a Ringelmann blackness level and particulate matter concentration comparison table. The turbidity method is mainly based on the Beer-Lambert law, and the transmitted light intensity is related to the size and concentration of particles so as to determine the mass concentration of the particles. The light scattering method is based on the principle of light scattering, when a light beam is incident on a particle, the light beam is scattered to the periphery of a space, and each scattering parameter of the light is closely related to the concentration of the particle. The light scattering method is widely applied to the measurement of the concentration of the particulate matters in the coal-fired power plant due to the advantages of high measurement sensitivity, low measurement lower limit and the like.
When particulate matter concentration is extremely low, scattering light intensity is minimum, receives external light source's influence easily, and light path shake, mechanical vibration and detector noise all can cause the influence to the detected signal to make the SNR can not satisfy the demand of measuring. Meanwhile, it is urgent to research and manufacture techniques and devices capable of accurately and rapidly measuring the gas concentration and the particulate matter concentration to meet the demand of on-site measurement. Therefore, it is important to develop a device and a method for synchronously measuring the concentration of particles and gas, which can reduce low-frequency noise and improve the signal-to-noise ratio.
Disclosure of Invention
The purpose of the invention is as follows: the invention aims to provide a synchronous measuring device for particulate matter and gas concentration based on an infrared light modulation technology.
The invention also aims to solve the technical problem of providing the measuring method of the device for synchronously measuring the concentration of the particulate matter and the gas based on the infrared light modulation technology, and the measuring method can greatly improve the signal-to-noise ratio of measurement and is suitable for synchronously measuring the low-concentration particulate matter and the gas.
In order to solve the technical problems, the technical scheme adopted by the invention is as follows:
a synchronous measuring device for particulate matter and gas concentration based on an infrared light modulation technology sequentially comprises a signal generating module, a particulate matter and gas measuring module, a signal receiving module and a signal processing module; the signal generation module comprises a function generator, a laser controller, a distributed feedback laser (DFB), an optical fiber beam splitter and an optical power amplifier; the particle and gas measuring module comprises an optical etalon, a heat tracing pipe belt, a measuring pool and a heating module wrapped outside the measuring pool; the signal receiving module consists of three photoelectric detectors; preheating particles to be measured and gas through a heat tracing pipe belt, and then, feeding the particles to be measured and the gas into a measuring tank, wherein a heating module enables the measuring tank to be maintained at a set temperature; the function generator inputs scanning superposition modulation signals into the laser controller, the laser controller tunes the output wavelength and light intensity of the distributed feedback laser, laser output by the distributed feedback laser is divided into three beams by the optical fiber beam splitter, one beam enters the measuring cell from the laser emission end through the optical power amplifier, is absorbed by gas to be measured and scattered by particles, is received by the photoelectric detector and is converted into an electric signal, and a scattered light intensity signal is obtained; one beam is received by a photoelectric detector after passing through an optical etalon to obtain an etalon signal; the other light signal is directly received by the photoelectric detector to obtain a background signal, and the three signals are transmitted to the signal processing module by the corresponding photoelectric detector to be processed.
The distributed feedback laser can continuously emit stable infrared laser, and the wavelength of the stable infrared laser depends on the gas to be measured.
The measuring method of the synchronous measuring device for the concentration of the particulate matters and the gas based on the infrared light modulation technology comprises the following steps:
step 1, inputting a scanning superposition modulation signal into a laser controller by a function generator, and tuning the output wavelength and light intensity of a distributed feedback laser by the laser controller;
step 2, dividing the modulated light in the step 1 into three beams through an optical fiber beam splitter, wherein one beam enters a measuring cell from a laser emitting end through an optical power amplifier, and a scattered light intensity signal is collected by a photoelectric detector; one beam passes through the optical etalon, and an etalon signal is collected by the photoelectric detector; the other beam is directly used for obtaining a background light intensity signal by a photoelectric detector;
step 3, obtaining a time-frequency response characteristic upsilon (t) from the etalon signal, and carrying out digital phase locking and low-pass filtering processing on the background light intensity signal and the scattered light intensity signal to obtain respective first harmonic signal and second harmonic signal;
step 4, further processing the first harmonic and the second harmonic of the scattered light intensity signal according to the Beer-Lambert law and the Lorenz-Mie theory, and calculating a gas concentration value according to the normalized second harmonic peak height and the time frequency response characteristic obtained in thestep 3;
step 5, calculating gas absorbance according to the time frequency response characteristics obtained in thestep 3 and the gas concentration value obtained in the step 4, subtracting the gas absorbance from the scattering light intensity signal measured in the step 2 to obtain a scattering light signal without gas absorption, and performing digital phase locking and low-pass filtering processing in thestep 3 to obtain a first harmonic signal thereof;
and 6, taking the mean value of the first harmonic signals obtained in the step 5 as a characteristic value for measuring the concentration of the particulate matters, wherein the characteristic value and the concentration of the particulate matters are in a linear relation, and obtaining the concentration value of the particulate matters through a calibration curve.
Compared with the prior art, the technical scheme of the invention has the beneficial effects that:
compared with the existing wavelength modulation spectrum technology, the method disclosed by the invention has the advantages that the light scattering measurement light path and the wavelength modulation measurement light path are coupled, the synchronous measurement of the concentration of the low-concentration particulate matter and the gas is realized, the low-frequency noise such as background dark current of a detector and the like is not additionally considered, the signal-to-noise ratio of the low-concentration particulate matter and the gas concentration measurement is effectively improved, the sensitivity is higher, and the detection lower limit of the existing particulate matter and the gas concentration is reduced, so that the technology disclosed by the invention has an important application value for realizing the synchronous online monitoring of the concentration of the particulate matter to be detected and the gas in a coal-fired power plant with an ultralow emission requirement.
Drawings
FIG. 1 is a schematic diagram of a system of a synchronous measuring device for particle and gas concentration based on infrared light modulation technology according to the present invention;
fig. 2 is a flow chart of the method for synchronously measuring the concentration of particulate matters and gas based on the infrared light modulation technology.
Detailed Description
The technical solutions of the present invention are further described below with reference to the accompanying drawings, but the scope of the claimed invention is not limited thereto.
As shown in fig. 1, the device for synchronously measuring the concentration of particulate matter and gas based on the infrared light modulation technology sequentially comprises a signal sending module 1, a particulate matter and gas measuring module 2, asignal receiving module 3 and a signal processing module 4; the signal generation module 1 comprises a function generator 5, alaser controller 6, a distributed feedback laser (DFB)7, an opticalfiber beam splitter 8 and an optical power amplifier 9; the particle and gas measuring module 2 comprises anoptical etalon 10, a heat tracing pipe belt 13, a measuring cell 11 and a heating module 12 wrapped outside the measuring cell 11; thesignal receiving module 3 is composed of threephotoelectric detectors 15; preheating particles to be measured andgas 14 through a heat tracing pipe belt 13, then entering a measuring cell 11, and maintaining the measuring cell 11 at a set temperature through a heating module 12; the function generator 5 inputs scanning superposition modulation signals into thelaser controller 6, thelaser controller 6 tunes the output wavelength and light intensity of the DFB laser 7, laser emitted by the DFB laser 7 is divided into three beams by the opticalfiber beam splitter 8, one beam enters the measuring cell 11 from a laser emitting end after passing through the optical power amplifier 9, and scattered light with gas absorption signals is received by thephotoelectric detector 15 and converted into electric signals to obtain scattered light intensity signals; one beam passes through theoptical etalon 10 and is received by thephotoelectric detector 15 to obtain an etalon signal; the other light signal is directly received by thephotoelectric detector 15 to obtain a background signal; the three signals are all transmitted to the signal processing module 4 for processing.
As shown in fig. 2, the method for synchronously measuring the concentration of particulate matter and gas based on the infrared light modulation technology of the present invention comprises the following steps:
step 1, the function generator sets the scanning frequency to be fsSignal superimposed modulation frequency fmInputting the signal into a laser controller, and tuning the output wavelength and light intensity of the DFB laser by the laser controller;
step 2, dividing the modulated light in the step 1 into three beams through an optical fiber beam splitter, enabling one beam to pass through an optical power amplifier and enter a measuring cell filled with gas and particles from a laser emitting end, and collecting scattered light intensity signals through a photoelectric detector
Figure GDA0003075158550000051
One beam passes through the optical etalon and the etalon signal is collected by the photoelectric detector
Figure GDA0003075158550000052
The other beam is directly collected by the photoelectric detector to obtain the background light intensity signal
Figure GDA0003075158550000053
Step 3, using the etalon signal
Figure GDA0003075158550000054
Obtaining a time frequency response characteristic upsilon (t) and a background light intensity signal
Figure GDA0003075158550000055
And scattered light intensity signal
Figure GDA0003075158550000056
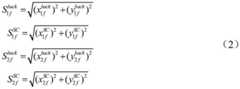
Carrying out digital phase locking and low-pass filtering processing with the same parameter setting to obtain corresponding first harmonic signal and second harmonic signal:
Figure GDA0003075158550000057
Figure GDA0003075158550000058
in the formula (1), the reaction mixture is,
Figure GDA0003075158550000059
as a background light intensity signal
Figure GDA00030751585500000510
The corresponding first and second harmonic x and y components,
Figure GDA00030751585500000511
respectively, scattered light signals
Figure GDA00030751585500000512
The corresponding first and second harmonic x and y components, and F is a low pass filter.
In the formula (2), the reaction mixture is,
Figure GDA00030751585500000513
as a background light intensity signal
Figure GDA00030751585500000514
The first and second harmonic signals of (1),
Figure GDA00030751585500000515
for scattering optical signals
Figure GDA00030751585500000516
First and second harmonic signals.
And 4, according to the Beer-Lambert law and the Lorenz-Mie theory, the relationship between the scattered light signals and the concentrations of the particles and the gas can be expressed as follows:
Figure GDA00030751585500000517
in the formula (3), V is the volume of the flue gas to be measured, theta is a scattering angle, r is the distance between an observation point and scattering particles, rho is the density of the particles in the flue gas to be measured, and XparticleIs the mass concentration of particulate matter, i1(θ, upsilon, D, n) and i2(θ, upsilon, D, n) is a scattering intensity function, fr(D) As a function of the particle size distribution, Dmin、DmaxRespectively the lower limit and the upper limit of the particle size, n is the refractive index of the particles, P is the total pressure of the gas, T is the temperature of the gas, and X isgasIs the gas concentration and L is the optical path length. Phi (upsilon) is a linear function, S (T) is the line intensity of transition spectral line,
Figure GDA0003075158550000061
the light intensity signal is an original light intensity signal without influence of gas absorption and particle scattering.
Background-subtracted intensity signal
Figure GDA0003075158550000062
Normalized second harmonic signal of
Figure GDA0003075158550000063
Can be expressed as:
Figure GDA0003075158550000064
the normalized second harmonic signal withholds the influence of the fluctuation of the concentration of the particulate matter on the light intensity signal, and the influence is on the center upsilon of the spectral line0At its peak height
Figure GDA0003075158550000065
With gas concentration XgasAnd (4) correlating. For experimental measurement signals, the normalized second harmonic peak heights at different gas concentrations were simulated from the HITRAN2016 spectral database under known temperature conditions
Figure GDA0003075158550000066
The measured gas concentration is obtained after interpolation calculationDegree Xgas
And 5, calculating gas absorbance tau (upsilon) according to the time-frequency response characteristic upsilon (t) obtained in thestep 3 and the gas concentration value obtained in the step 4:
v(υ)=exp{-PS(T)Φ[υ(t)]XgasL} (5)
the scattered light intensity signal measured in the step 2 is processed
Figure GDA0003075158550000067
Deducting gas absorbance tau (upsilon) to obtain scattered light signal without gas absorption
Figure GDA0003075158550000068
Figure GDA0003075158550000069
Will be provided with
Figure GDA00030751585500000610
Carrying out digital phase locking and low-pass filtering processing by adopting the same parameters in thestep 3 to obtain a first harmonic signal thereof
Figure GDA00030751585500000611
Can be expressed as:
Figure GDA00030751585500000612
in the formula (7), G is the gain coefficient of the detector, i1The first order modulation amplitude of the light intensity.
And 6, taking the mean value of the first harmonic signals obtained in the step 5 as a characteristic value for measuring the concentration of the particulate matters, wherein the characteristic value and the concentration of the particulate matters are in a linear relation, and obtaining the concentration value of the particulate matters through a calibration curve.

Claims (3)

1. A measuring method of a synchronous measuring device for particulate matter and gas concentration based on an infrared light modulation technology is characterized in that the measuring device sequentially comprises a signal generating module, a particulate matter and gas measuring module, a signal receiving module and a signal processing module; the signal generation module comprises a function generator, a laser controller, a distributed feedback laser, an optical fiber beam splitter and an optical power amplifier; the particle and gas measuring module comprises an optical etalon, a heat tracing pipe belt, a measuring pool and a heating module wrapped outside the measuring pool; the signal receiving module consists of three photoelectric detectors; preheating particles to be measured and gas through a heat tracing pipe belt, and then, feeding the particles to be measured and the gas into a measuring tank, wherein a heating module enables the measuring tank to be maintained at a set temperature; the function generator inputs scanning superposition modulation signals into the laser controller, the laser controller tunes the output wavelength and light intensity of the distributed feedback laser, laser output by the distributed feedback laser is divided into three beams by the optical fiber beam splitter, one beam enters the measuring cell from the laser emission end through the optical power amplifier, is absorbed by gas to be measured and scattered by particles, is received by the photoelectric detector and is converted into an electric signal, and a scattered light intensity signal is obtained; one beam is received by a photoelectric detector after passing through an optical etalon to obtain an etalon signal; the other beam of optical signal is directly received by the photoelectric detector to obtain a background signal, and the three signals are transmitted to the signal processing module by the corresponding photoelectric detector to be processed;
the measuring method of the measuring device specifically comprises the following steps:
step 1, the function generator sets the scanning frequency to be fsSignal superimposed modulation frequency fmInputting the signal into a laser controller, and tuning the output wavelength and light intensity of the DFB laser by the laser controller;
step 2, dividing the modulated light in the step 1 into three beams through an optical fiber beam splitter, enabling one beam to pass through an optical power amplifier and enter a measuring cell filled with gas and particles from a laser emitting end, and collecting scattered light intensity signals through a photoelectric detector
Figure FDA0003199860540000011
One beam passes through the optical etalon and the etalon signal is collected by the photoelectric detector
Figure FDA0003199860540000012
The other beam is directly collected by the photoelectric detector to obtain the background light intensity signal
Figure FDA0003199860540000013
Step 3, using the etalon signal
Figure FDA0003199860540000014
Obtaining a time frequency response characteristic upsilon (t) and a background light intensity signal
Figure FDA0003199860540000015
And scattered light intensity signal
Figure FDA0003199860540000016
Carrying out digital phase locking and low-pass filtering processing with the same parameter setting to obtain corresponding first harmonic signal and second harmonic signal:
step 4, further processing the first harmonic and the second harmonic of the scattered light intensity signal according to the Beer-Lambert law and the Lorenz-Mie theory, and calculating a gas concentration value according to the normalized second harmonic peak height and the time frequency response characteristic obtained in the step 3;
and 5, calculating gas absorbance tau (upsilon) according to the time-frequency response characteristic upsilon (t) obtained in the step 3 and the gas concentration value obtained in the step 4:
τ(υ)=exp{-PS(T)Φ[υ(t)]XgasL} (5)
in the formula (5), P is total gas pressure, S (T) is the line intensity of transition spectral line, phi [ upsilon (t)]As a linear function, XgasIs the gas concentration, and L is the optical path length;
the scattered light intensity signal measured in the step 2 is processed
Figure FDA0003199860540000021
Deducting gas absorbance tau (upsilon) to obtain scattered light signal without gas absorption
Figure FDA0003199860540000022
Figure FDA0003199860540000023
In the formula (6), K is a scattering coefficient term, and V is the volume of the smoke to be detected; r is the distance between the observation point and the scattering particles; rho is the density of the particulate matter in the measured flue gas; xparticleIs the mass concentration of the particulate matter, I0(t) the intensity of the incident light;
will be provided with
Figure FDA0003199860540000024
Carrying out digital phase locking and low-pass filtering processing by adopting the same parameters in the step 3 to obtain a first harmonic signal thereof
Figure FDA0003199860540000025
Can be expressed as:
Figure FDA0003199860540000026
in the formula (7), G is the gain coefficient of the detector, i1The first order modulation amplitude of the light intensity; k is a scattering coefficient term, and V is the volume of the smoke to be detected; r is the distance between the observation point and the scattering particles; rho is the density of the particulate matter in the measured flue gas; xparticleIs the mass concentration of the particulate matter, I1The laser intensity is the laser intensity when no modulation is applied;
and 6, taking the mean value of the first harmonic signals obtained in the step 5 as a characteristic value for measuring the concentration of the particulate matters, wherein the characteristic value and the concentration of the particulate matters are in a linear relation, and obtaining the concentration value of the particulate matters through a calibration curve.
2. The measurement method according to claim 1, characterized in that: in step 3, the specific calculation formula is as follows:
Figure FDA0003199860540000027
Figure FDA0003199860540000028
Figure FDA0003199860540000031
in the formula (1), the reaction mixture is,
Figure FDA0003199860540000032
as a background light intensity signal
Figure FDA0003199860540000033
The corresponding first and second harmonic x and y components,
Figure FDA0003199860540000034
respectively, scattered light signals
Figure FDA0003199860540000035
Corresponding first and second harmonic x and y components, F is a low pass filter, F is a low pass filtermIs the modulation frequency, t is time;
in the formula (2), the reaction mixture is,
Figure FDA0003199860540000036
as a background light intensity signal
Figure FDA0003199860540000037
The first and second harmonic signals of (1),
Figure FDA0003199860540000038
for scattering optical signals
Figure FDA0003199860540000039
First and second harmonic signals.
3. The measurement method according to claim 1, characterized in that: in step 4, according to Beer-Lambert law and Lorenz-Mie theory, the relationship between the scattered light intensity signal and the concentrations of the particulate matter and the gas can be expressed as follows:
Figure FDA00031998605400000310
in the formula (3), V is the volume of the flue gas to be measured, theta is a scattering angle, r is the distance between an observation point and scattering particles, rho is the density of the particles in the flue gas to be measured, and XparticleIs the mass concentration of particulate matter, i1(θ, upsilon, D, n) and i2(θ, upsilon, D, n) is a scattering intensity function, fr(D) As a function of the particle size distribution, Dmin、DmaxRespectively the lower limit and the upper limit of the particle size, n is the refractive index of the particles, P is the total pressure of the gas, T is the temperature of the gas, and X isgasIs the gas concentration, L is the optical path length, phi (upsilon) is a linear function, S (T) is the line intensity of the transition spectral line,
Figure FDA00031998605400000311
the light intensity signal is an original light intensity signal without influence of gas absorption and particle scattering, D is particle size of particles, upsilon is wave number, and K is a scattering coefficient term; phi [ upsilon (t)]Is a linear function;
background-subtracted intensity signal
Figure FDA00031998605400000312
Normalized second harmonic signal of
Figure FDA00031998605400000313
Can be expressed as:
Figure FDA00031998605400000314
in the formula (4), the reaction mixture is,
Figure FDA00031998605400000315
as a background light intensity signal
Figure FDA00031998605400000316
The first harmonic of the signal (c) is,
Figure FDA00031998605400000317
for scattering optical signals
Figure FDA00031998605400000318
The first harmonic of the signal (c) is,
Figure FDA00031998605400000319
as a background light intensity signal
Figure FDA00031998605400000320
The corresponding second harmonic x-and y-components,
Figure FDA00031998605400000321
respectively, scattered light signals
Figure FDA00031998605400000322
The corresponding second harmonic x and y components;
the normalized second harmonic signal eliminates the influence of the fluctuation of the concentration of the particulate matter on the light intensity signal, and the peak value height of the normalized second harmonic signal at the center of the spectral line
Figure FDA0003199860540000041
With gas concentration XgasCorrelation, for experimental measurement signals, normalized second harmonic peak heights at different gas concentrations were simulated from the HITRAN2016 spectral database at known temperatures
Figure FDA0003199860540000042
The measured gas concentration X is obtained after interpolation calculationgas
CN201910013989.2A2019-01-072019-01-07Infrared light modulation technology-based synchronous measurement device and measurement method for concentration of particulate matters and gasActiveCN109813639B (en)

Priority Applications (1)

Application NumberPriority DateFiling DateTitle
CN201910013989.2ACN109813639B (en)2019-01-072019-01-07Infrared light modulation technology-based synchronous measurement device and measurement method for concentration of particulate matters and gas

Applications Claiming Priority (1)

Application NumberPriority DateFiling DateTitle
CN201910013989.2ACN109813639B (en)2019-01-072019-01-07Infrared light modulation technology-based synchronous measurement device and measurement method for concentration of particulate matters and gas

Publications (2)

Publication NumberPublication Date
CN109813639A CN109813639A (en)2019-05-28
CN109813639Btrue CN109813639B (en)2021-09-28

Family

ID=66604078

Family Applications (1)

Application NumberTitlePriority DateFiling Date
CN201910013989.2AActiveCN109813639B (en)2019-01-072019-01-07Infrared light modulation technology-based synchronous measurement device and measurement method for concentration of particulate matters and gas

Country Status (1)

CountryLink
CN (1)CN109813639B (en)

Families Citing this family (7)

* Cited by examiner, † Cited by third party
Publication numberPriority datePublication dateAssigneeTitle
CN111474138B (en)*2020-04-202023-03-28东南大学Gas concentration measuring device and method based on high-frequency reference optical frequency division multiplexing technology
CN111650097B (en)*2020-04-302022-12-02张家港谱析传感科技有限公司High-speed sampling data processing method of aerodynamic particle size and concentration detector
CN113588585B (en)*2021-06-252024-08-06张玉芝Rapid detection method for composite gas component
CN113884417B (en)*2021-06-252023-10-27张玉芝Comprehensive detection device for composite gas
CN115015113B (en)*2022-05-052025-04-04东南大学 Spectral gas parameter measurement method and device based on signal power spectrum analysis
CN114813622B (en)*2022-05-062025-08-26杭州电子科技大学平湖数字技术创新研究院有限公司 A method for detecting sucrose solution concentration
CN119935925B (en)*2024-12-202025-09-23中国科学院地理科学与资源研究所 A gas carbon concentration monitoring system and monitoring method

Citations (8)

* Cited by examiner, † Cited by third party
Publication numberPriority datePublication dateAssigneeTitle
EP0738887A1 (en)*1995-04-211996-10-23L'air Liquide, Societe Anonyme Pour L'etude Et L'exploitation Des Procedes Georges ClaudeMethod and device for the analysis of traces of impurities in a gas sample using a laser diode
CN102706832A (en)*2012-06-012012-10-03吉林大学Laser infrared gas analyzer based on TDLAS-WMS (tunable diode laser absorption spectroscopy-wavelength modulation spectroscopy)
CN103728229A (en)*2013-12-092014-04-16太原科技大学Measuring device and method for measuring average particulate size and concentration of atmospheric particulates
CN204649618U (en)*2015-05-262015-09-16上海禾赛光电科技有限公司Detect the device of particle and gas simultaneously
CN105738310A (en)*2016-04-202016-07-06华北理工大学 A device and method for detecting the concentration of three gases including SO2, NO2 and NO in a dusty environment
CN106483088A (en)*2016-12-272017-03-08东南大学A kind of gas concentration measuring apparatus based on ultraviolet light modulation and method
CN107063553A (en)*2017-03-312017-08-18东南大学A kind of apparatus and method of utilization Wavelength modulation spectroscopy measurement gas pressure intensity and concentration of component
CN108680474A (en)*2018-04-132018-10-19东南大学A kind of measuring concentration of granules in certain device and its measurement method based on modulation scattered light intensity

Patent Citations (8)

* Cited by examiner, † Cited by third party
Publication numberPriority datePublication dateAssigneeTitle
EP0738887A1 (en)*1995-04-211996-10-23L'air Liquide, Societe Anonyme Pour L'etude Et L'exploitation Des Procedes Georges ClaudeMethod and device for the analysis of traces of impurities in a gas sample using a laser diode
CN102706832A (en)*2012-06-012012-10-03吉林大学Laser infrared gas analyzer based on TDLAS-WMS (tunable diode laser absorption spectroscopy-wavelength modulation spectroscopy)
CN103728229A (en)*2013-12-092014-04-16太原科技大学Measuring device and method for measuring average particulate size and concentration of atmospheric particulates
CN204649618U (en)*2015-05-262015-09-16上海禾赛光电科技有限公司Detect the device of particle and gas simultaneously
CN105738310A (en)*2016-04-202016-07-06华北理工大学 A device and method for detecting the concentration of three gases including SO2, NO2 and NO in a dusty environment
CN106483088A (en)*2016-12-272017-03-08东南大学A kind of gas concentration measuring apparatus based on ultraviolet light modulation and method
CN107063553A (en)*2017-03-312017-08-18东南大学A kind of apparatus and method of utilization Wavelength modulation spectroscopy measurement gas pressure intensity and concentration of component
CN108680474A (en)*2018-04-132018-10-19东南大学A kind of measuring concentration of granules in certain device and its measurement method based on modulation scattered light intensity

Non-Patent Citations (3)

* Cited by examiner, † Cited by third party
Title
Simultaneous measurement on gas concentration and particle mass concentration by tunable diode laser;F.Wang et al.;《Flow Measurement and Instrumentation》;Elsevier;20100930;第21卷(第3期);全文*
利用激光吸收光谱测量火焰中的碳烟颗粒浓度、温度以及气体浓度;吴奇;《中国博士学位论文全文数据库(工程科技Ⅱ辑)》;20180615(第6期);第65-68页*
颗粒物与气体浓度同步测量方法研究;陈慈伟等;《光学学报》;20190630;第39卷(第6期);全文*

Also Published As

Publication numberPublication date
CN109813639A (en)2019-05-28

Similar Documents

PublicationPublication DateTitle
CN109813639B (en)Infrared light modulation technology-based synchronous measurement device and measurement method for concentration of particulate matters and gas
CN109991189B (en)Fixed point wavelength modulation gas concentration measuring device based on wave number drift correction and measuring method thereof
CN107144549B (en) Trace CO gas concentration detection device and method based on TDLAS
CN106802288B (en) Gas detection device and method based on tunable laser and supercontinuum laser
CN103115894B (en)Stable isotopic abundance ratio real-time online monitoring device and method
CN111122496B (en)Calibration-free gas concentration measuring device and method
CN106483088A (en)A kind of gas concentration measuring apparatus based on ultraviolet light modulation and method
CN109085133B (en)Off-axis integral cavity atmosphere CH based on real-time reflectivity correction4Concentration measuring device and measuring method thereof
CN106124410A (en)Single photoacoustic cell measures the new method of aerosol multi-wavelength absorptance simultaneously
CN114778475B (en)Variable optical path NDIR wide-range gas detection method and system
CN111474138A (en)Gas concentration measuring device and method based on high-frequency reference optical frequency division multiplexing technology
CN105388120B (en)Calibration Wavelength modulation spectroscopy gas detection method is exempted from based on WMRF models
CN114397273B (en) Gas concentration measurement device and measurement method based on second-fourth harmonic combination
CN118566172B (en)Off-axis multichannel wide-range trace gas concentration detection device and method
Xia et al.Probing greenhouse gases in turbulent atmosphere by long-range open-path wavelength modulation spectroscopy
CN109270027A (en)A kind of gas absorptivity On-line Measuring Method based on the fitting of Sine Modulated time domain
CN113155742A (en)Single resonant cavity photoacoustic spectroscopy system and method for simultaneously detecting multiple gases
CN218512308U (en)Gas concentration detection device based on multi-harmonic information fusion laser absorption spectroscopy technology
CN107560754B (en) A laser beam deflection correction device and method based on modulated sawtooth wave signal
CN1727875A (en) A kind of detection method of hydrogen concentration
CN103411923B (en)A kind of normalization noise-reduction method adopting two-path tunable laser absorption spectrum technology
CN111272736A (en) A combined measurement system and method for breakdown spectroscopy and absorption spectroscopy
CN215574610U (en)Single resonant cavity photoacoustic spectroscopy system for simultaneously detecting multiple gases
CN206862883U (en)Detection means based on TDLAS trace CO gas concentrations
CN117990641A (en) Synchronous measurement method of trace gases in natural gas leaks based on mid-infrared absorption spectroscopy

Legal Events

DateCodeTitleDescription
PB01Publication
PB01Publication
SE01Entry into force of request for substantive examination
SE01Entry into force of request for substantive examination
GR01Patent grant
GR01Patent grant

[8]ページ先頭

©2009-2025 Movatter.jp