Movatterモバイル変換


[0]ホーム

URL:


CN109772450B - Alkaline resin supported nano-gold catalyst and preparation and application thereof - Google Patents

Alkaline resin supported nano-gold catalyst and preparation and application thereof
Download PDF

Info

Publication number
CN109772450B
CN109772450BCN201711101823.3ACN201711101823ACN109772450BCN 109772450 BCN109772450 BCN 109772450BCN 201711101823 ACN201711101823 ACN 201711101823ACN 109772450 BCN109772450 BCN 109772450B
Authority
CN
China
Prior art keywords
vinyl
gold
catalyst
hydrogen
alkyl
Prior art date
Legal status (The legal status is an assumption and is not a legal conclusion. Google has not performed a legal analysis and makes no representation as to the accuracy of the status listed.)
Active
Application number
CN201711101823.3A
Other languages
Chinese (zh)
Other versions
CN109772450A (en
Inventor
黄家辉
王奂
Current Assignee (The listed assignees may be inaccurate. Google has not performed a legal analysis and makes no representation or warranty as to the accuracy of the list.)
Dalian Institute of Chemical Physics of CAS
Original Assignee
Dalian Institute of Chemical Physics of CAS
Priority date (The priority date is an assumption and is not a legal conclusion. Google has not performed a legal analysis and makes no representation as to the accuracy of the date listed.)
Filing date
Publication date
Application filed by Dalian Institute of Chemical Physics of CASfiledCriticalDalian Institute of Chemical Physics of CAS
Priority to CN201711101823.3ApriorityCriticalpatent/CN109772450B/en
Publication of CN109772450ApublicationCriticalpatent/CN109772450A/en
Application grantedgrantedCritical
Publication of CN109772450BpublicationCriticalpatent/CN109772450B/en
Activelegal-statusCriticalCurrent
Anticipated expirationlegal-statusCritical

Links

Classifications

Landscapes

Abstract

Translated fromChinese

本发明公开了一种碱性树脂负载纳米金催化剂,为以碱性树脂为载体,所述的金纳米粒子在催化剂中所占质量分数为0.2~18%;所述的碱性树脂为二乙烯基苯类单体与碱性乙烯基单体的交联共聚所得;所述的金纳米粒子尺寸范围为1~6nm。本发明催化剂催化效率高,在水介质中以氧气为唯一氧化剂催化不饱和脂肪醇的选择性氧化反应时对醛的选择性高、可以达到100%,反应结束后,催化剂可通过离心或过滤分离循环利用,绿色环保,更加符合可持续发展的要求。The invention discloses a basic resin-supported nano-gold catalyst. The basic resin is used as a carrier, and the mass fraction of the gold nanoparticles in the catalyst is 0.2-18%; the basic resin is diethylene It is obtained by cross-linking copolymerization of benzene-based monomers and basic vinyl monomers; the size of the gold nanoparticles ranges from 1 to 6 nm. The catalyst of the invention has high catalytic efficiency, and when oxygen is used as the only oxidant in an aqueous medium to catalyze the selective oxidation reaction of unsaturated aliphatic alcohol, the selectivity to aldehyde is high, which can reach 100%. After the reaction, the catalyst can be separated by centrifugation or filtration. Recycling, green and environmental protection, more in line with the requirements of sustainable development.

Description

Alkaline resin supported nano-gold catalyst and preparation and application thereof
Technical Field
The invention relates to the technical field of catalyst design, in particular to an alkaline resin-loaded nano-gold catalyst and a preparation method thereof, and application of the alkaline resin-loaded nano-gold catalyst in catalyzing selective oxidation of unsaturated fatty alcohol in an aqueous medium to prepare unsaturated fatty aldehyde.
Background
The catalytic oxidation of unsaturated fatty alcohols to aldehydes is an important functional group conversion reaction in organic chemistry, and generally, the oxidation of unsaturated fatty alcohols requires the use of stoichiometric amounts of inorganic oxidants such as permanganate and chromate. These reagents efficiently oxidize unsaturated fatty alcohols to desired products while also generating a large amount of harmful by-products, which are costly, difficult to separate, and environmentally unfriendly. Oxygen is taken as an oxidant, and the byproduct is only water. However, oxygen molecules are more difficult to activate than most other oxidizing agents, and once activated, the reaction is difficult to control over oxidation to inhibit the formation of acids and esters, and to avoid oxidation and isomerization of unsaturated double bonds. In addition, the use of a large amount of an organic solvent in an oxygen atmosphere is likely to cause danger.
At present, the catalyst for the oxidation of unsaturated fatty alcohol mainly comprises supported palladium, gold, platinum, ruthenium and the like, but the catalytic effect is not satisfactory, and further optimization and improvement are needed. Therefore, in the present day that green chemistry is increasingly regarded as important, from the viewpoint of environmental protection and sustainable development, and from the viewpoint of improvement of economic benefits, there is an urgent need to develop a green high-efficiency oxidation system using hydrogen peroxide or oxygen to replace the conventional oxidation system and using water as a solvent, and it is very important to develop a novel, high-efficiency, high-selectivity catalyst for aldehydes suitable for aqueous media.
The invention designs the nano gold catalyst loaded by the synthetic alkaline polyester aiming at the characteristic of selective oxidation reaction in the aqueous medium, is applied to the selective oxidation of unsaturated fatty alcohol into unsaturated fatty aldehyde, has the selectivity of the reaction on the aldehyde as high as 100 percent, avoids the oxidation and isomerization of unsaturated double bonds, inhibits excessive oxidation to a great extent, and saves a great deal of energy consumption for later separation.
Disclosure of Invention
The invention provides the basic resin supported nano-gold catalyst which is high in catalytic efficiency, good in selectivity and easy to recover.
The invention also provides a preparation method of the alkaline resin supported nano gold catalyst, which is simple to operate, easy to control and suitable for industrial production.
The invention also provides an application method of the alkaline resin supported nano gold catalyst in selective oxidation of unsaturated fatty alcohol in an aqueous medium, the selectivity of the catalyst on aldehyde is high, and the catalyst in the method can be recycled and reused.
A basic resin supported nano gold catalyst is characterized in that: taking alkaline resin as a carrier, wherein the mass fraction of the gold nanoparticles in the catalyst is 0.2-18%; the preferable range is 2-10%, the carrier waste can be caused when the loading amount is too small, and the gold particle size is easily larger when the loading amount is too high, so that the total specific surface area of gold is reduced, and the use efficiency is reduced
The basic resin supported nano gold catalyst is characterized in that the basic resin is obtained by cross-linking copolymerization of a divinylbenzene monomer and a basic vinyl monomer;
the mole ratio of the divinyl benzene monomer to the basic vinyl monomer in the copolymer is 0.5-20: 1, preferably 1-10: 1, the number of coordination sites in the carrier can be reduced due to the fact that the content of the divinyl benzene monomer is too high, so that loading of gold is not facilitated, and the generation of isomers due to the fact that the basicity of a catalytic system is stronger due to the fact that the content of the basic vinyl monomer is too high
Wherein the divinyl benzene monomer is a compound shown in a structural formula (I), the basic vinyl monomer is one or more than two compounds shown in a structural formula (II) or a structural formula (III):
formula (I);
Figure BDA0001463504710000021
in the formula (I), R1、R2、R3、R4And R5Identical or different, R1Is hydrogen, alkyl or vinyl with 1 to 4 carbon atoms, R2Is hydrogen, alkyl or vinyl with 1 to 4 carbon atoms, R3Is hydrogen, alkyl or vinyl with 1 to 4 carbon atoms, R4Is hydrogen, alkyl or vinyl with 1 to 4 carbon atoms, R5Is hydrogen, alkyl or vinyl with 1 to 4 carbon atoms, R1、R2、R3、R4And R5The same or different, and at least one is a vinyl group;
formula (II);
Figure BDA0001463504710000022
in the formula (II), R6Is hydrogen, alkyl or vinyl with 1 to 4 carbon atoms, R7Is hydrogen, alkyl or vinyl with 1 to 4 carbon atoms, R8Is hydrogen, alkyl or vinyl with 1 to 4 carbon atoms, R9Is hydrogen, alkyl or vinyl with 1 to 4 carbon atoms, R6、R7、R8And R9The same or different, and at least one is a vinyl group;
formula (III);
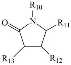
Figure BDA0001463504710000023
in the formula (III), R10Is hydrogen, alkyl or vinyl with 1 to 4 carbon atoms, R11Is hydrogen, alkyl or vinyl with 1 to 4 carbon atoms, R12Is hydrogen,Alkyl or vinyl groups having 1 to 4 carbon atoms, R13Is hydrogen, alkyl or vinyl with 1 to 4 carbon atoms, R10、R11、R12And R13Identical or different and at least one is a vinyl group.
The size range of the gold nanoparticles is 1-6 nm, and preferably 2-5 nm.
According to the preparation method of the alkaline resin supported nano-gold catalyst, the alkaline resin supported nano-gold catalyst is a compound obtained by impregnating alkaline resin in an alcoholic solution of gold salt and then reducing the alkaline resin in sodium borohydride.
The gold salt is gold chloride or gold nitrate, the mass ratio of the gold salt to the alkaline resin is 5-40: 100, and the alcohol is C1~C4The molar ratio of the sodium borohydride to the gold salt is 5-20: 1.
The preparation method of the basic resin supported nano gold catalyst comprises the following steps: according to the mass ratio of the gold chloride to the alkaline resin, immersing the alkaline resin into a methanol solution containing the gold chloride and vigorously stirring for 8-24 hours, immersing a solid obtained by coordination of gold ions and nitrogen in the alkaline resin into the methanol solution prepared according to the molar ratio of the gold chloride to the sodium borohydride, and vigorously stirring for 8-18 hours to obtain the alkaline resin supported nano-gold catalyst.
A process for the selective oxidation of unsaturated fatty alcohols in an aqueous medium comprising adding to the aqueous medium a catalyst and an unsaturated fatty alcohol and carrying out the oxidation of the unsaturated fatty alcohol in the presence of a molecular oxygen-containing gas, characterized in that: the catalyst is the basic resin supported nano gold catalyst as set forth in any one of claims 1 to 4.
The temperature of the oxidation reaction is 50-100 ℃, the time of the oxidation reaction is 2-20 hours, preferably 6-16 hours, the too short reaction time is not beneficial to improving the conversion rate, and the too long reaction time is easy to cause excessive oxidation, so that the selectivity to aldehyde is reduced;
the oxidation reaction comprises the following raw materials in a molar ratio:
unsaturated fatty alcohol 1;
the gold in the catalyst is 0.002-0.1.
The oxygen-containing gas is oxygen, air or a gas formed by mixing oxygen and inert gas in various proportions (the volume proportion of the oxygen is more than 0), and the oxygen is used for oxidation in the mixed gas.
The unsaturated fatty alcohol is one of isopentenol, crotyl alcohol, geraniol, allyl alcohol, 2-methylallyl alcohol, 1, 4-butenediol, vaseline 2, 4-hexadiene-1-alcohol, 3-buten-2-alcohol, 2-methylene-1, 3-propanediol, cis-2-pentenol and cinnamyl alcohol.
The raw materials and reagents of the invention can adopt products sold in the market.
Compared with the prior art, the invention has the following remarkable progress:
the catalyst combines the characteristics of the nano gold particles and the basic polymer resin; the alkaline polymer resin has a spatial network structure, and trivalent gold ions are still fixed in the network after being subjected to coordination reduction with nitrogen in the trivalent gold ions; part of units in the carrier and the substrate have certain hydrophobicity, so that the concentration of the substrate can be locally increased, and meanwhile, the concentration of the catalyst is also locally increased by fixing the gold nanoparticles in the carrier, so that the oxidation reaction rate and the catalyst efficiency are effectively improved; after the gold nanoparticles are loaded on the basic resin, the basic resin can only swell but not dissolve, and can be recycled through simple filtration or centrifugation after the catalytic reaction is finished. The water solubility of unsaturated alcohol such as isopentenol is greatly improved after the unsaturated alcohol is oxidized into unsaturated aldehyde, so that the unsaturated alcohol can be quickly diffused into a water medium, the separation of a product and an active site is accelerated, and further, the further oxidation of the aldehyde is inhibited, and the enrichment of a substrate to the vicinity of an active center is promoted. When the catalyst is used for the selective oxidation of unsaturated fatty alcohol, the selectivity of the catalyst on unsaturated fatty aldehyde is 100%, the subsequent separation steps are reduced, and the utilization rate of raw materials is improved. Meanwhile, the synthetic method of the invention is simple and easy to implement, green and environment-friendly, safe and nontoxic, has wide development space and great market application value, and the unsaturated fatty alcohol oxidation reaction under the action of the catalyst takes water as a solvent and oxygen as an oxidant, does not need other additive auxiliaries, and meets the requirements of sustainable development.
Detailed Description
Example 1 preparation of basic resin-supported nanogold catalyst
In a three-necked flask, Divinylbenzene (DVB) (2.7g, 20mmol), Vinylimidazole (VI) (0.1932g, 2mmol), azobisisobutyronitrile (0.07g), and ethyl acetate (30ml) were added under nitrogen. After the reaction was completed at 100 ℃ for 24 hours, the solvent was dried to obtain 2.68g of a white powder which was a copolymer of divinylbenzene and vinylimidazole (PDVB-VI).
200mg of the white powder is immersed into a methanol solution (10mL) of gold chloride (10mg), stirred vigorously for 16h, centrifuged, washed with methanol, put into a methanol solution (10mL) of sodium borohydride (10mg), stirred vigorously for 16h, centrifuged, washed with methanol, and the basic resin supported nanogold catalyst with gold loading of 1.57% is obtained. The size of the gold nanoparticles is observed to be 1-4 nm through a transmission electron microscope
Examples 2 to 7
Basic resin supported nanogold catalyst was prepared by the method of example 1, except that the molar ratio of DVB to vinyl basic monomer was changed in the synthesis of PDVB-VI, as shown in table 1:
examples 8 to 11
Basic resin-supported nanogold catalyst was prepared by the method of example 1, except that the amount of gold chloride was changed, as shown in table 2:
EXAMPLE 12 Selective Oxidation of unsaturated fatty alcohols in aqueous media
In a jacketed reaction vessel equipped with a stirring paddle, a thermometer and a gas inlet and outlet, isopentenol (0.26mL, 2.5mmol) and 25mL of distilled water were added, and after stirring uniformly, the temperature of the reaction vessel was raised to 90 ℃, 54mg of the catalyst prepared in example 1 (Au/isopentenol-1/200) was added, oxygen was introduced, and the reaction was carried out for 6 hours at a stirring speed of 600 rotor/min. Extracting with ethyl acetate, centrifugally separating to recover catalyst, and recovering catalyst in 98.6% yield. The ethyl acetate solution was analyzed by gas chromatography to obtain isoamylene alcohol conversion 95.3%, product selectivity: 100% of iso-pentenal.
Examples 13 to 18
The method of example 12 was followed for the selective oxidation of unsaturated fatty alcohols in aqueous medium, except that the catalysts prepared in examples 2-7 were used, respectively, and the reaction results are shown in Table 3:
examples 19 to 22
The method of example 12 was followed for the selective oxidation of unsaturated fatty alcohols in aqueous medium, except that the catalysts prepared in examples 8-11 were used, respectively, and the reaction results are shown in Table 4:
examples 23 to 24
The selective oxidation of unsaturated aliphatic alcohols in an aqueous medium was carried out according to the procedure of example 12 except that the catalysts prepared in examples 2 and 3, respectively, were used in which the molar ratios of gold to monomer were 1/50, 1/100, respectively, and the results are shown in Table 5:
example 25
The selective oxidation of unsaturated fatty alcohols in aqueous medium was carried out as in example 12, except that isoamylol was replaced with allyl alcohol (0.39g, 2.5 mmol). The catalyst recovery rate is 97.8%, the allyl alcohol conversion rate is 90.3%, and the product selectivity is as follows: allyl aldehyde 100 percent.
Example 26
The selective oxidation of unsaturated fatty alcohols in aqueous medium was carried out according to the procedure of example 12, except that oxygen was replaced by air, the catalyst recovery was 96.7%, the isoamylene alcohol conversion was 92.1%, the product selectivity: 100% of iso-pentenal.
Example 27
The selective oxydehydrogenation of unsaturated fatty alcohols in aqueous medium was carried out as in example 12, except that the reaction temperature was 60 ℃ and the reaction time 12 hours. The catalyst recovery rate is 97.0%, the isoamylene alcohol conversion rate is 90.7%, and the product selectivity is as follows: 100% of iso-pentenal.
Example 28
Unsaturated fatty alcohol was selectively oxidized in aqueous medium according to the procedure of example 12 except that the catalyst obtained was recovered using example 23. The conversion rate of isoamylene alcohol is 87.8 percent, and the product selectivity is as follows: 100% of iso-pentenal.
TABLE 1
Figure BDA0001463504710000051
TABLE 2
Example numberGold chloride dosage (mg)Gold loading (%)
850.61
9202.80
10252.85
11302.9
TABLE 3
Figure BDA0001463504710000061
TABLE 4
Figure BDA0001463504710000062
TABLE 5
Figure BDA0001463504710000063

Claims (8)

1. A process for the selective oxidation of an unsaturated fatty alcohol in an aqueous medium comprising adding to the aqueous medium a catalyst and the unsaturated fatty alcohol and carrying out the oxidation of the unsaturated fatty alcohol in the presence of a molecular oxygen-containing gas, characterized in that: the catalyst is an alkaline resin loaded nano-gold catalyst, the alkaline resin is used as a carrier, and the mass fraction of the gold nanoparticles in the catalyst is 0.2-18%;
the basic resin is obtained by cross-linking copolymerization of a divinylbenzene monomer and a basic vinyl monomer;
the molar ratio of the divinyl benzene monomer to the basic vinyl monomer in the copolymer is 0.5-20: 1;
wherein the divinyl benzene monomer is a compound shown in a structural formula (I), the basic vinyl monomer is one or more than two compounds shown in a structural formula (II) or a structural formula (III):
formula (I);
Figure 349205DEST_PATH_IMAGE001
in the formula (I), R1、R2、R3、R4And R5Identical or different, R1Is hydrogen, alkyl or vinyl with 1 to 4 carbon atoms, R2Is hydrogen, alkyl or vinyl with 1 to 4 carbon atoms, R3Is hydrogen, alkyl or vinyl with 1 to 4 carbon atoms, R4Is hydrogen, alkyl or vinyl with 1 to 4 carbon atoms, R5Is hydrogen, alkyl or vinyl with 1 to 4 carbon atoms, R1、R2、R3、R4And R5The same or different, and at least one is a vinyl group;
formula (II);
Figure 299581DEST_PATH_IMAGE002
in the formula (II), R6Is hydrogen, alkyl or vinyl with 1 to 4 carbon atoms, R7Is hydrogen, alkyl or vinyl with 1 to 4 carbon atoms, R8Is hydrogen, alkyl or vinyl with 1 to 4 carbon atoms, R9Is hydrogen, alkyl or vinyl with 1 to 4 carbon atoms, R6、R7、R8And R9The same or different, and at least one is a vinyl group;
formula (III);
Figure 225949DEST_PATH_IMAGE003
in the formula (III), R10Is hydrogen, alkyl or vinyl with 1 to 4 carbon atoms, R11Is hydrogen, alkyl or vinyl with 1 to 4 carbon atoms, R12Is hydrogen, alkyl or vinyl with 1 to 4 carbon atoms, R13Is hydrogen, alkyl or vinyl with 1 to 4 carbon atoms, R10、R11、R12And R13Identical or different and at least one is a vinyl group.
2. The method of claim 1, wherein the gold nanoparticles are in the size range of 1 to 6 nm.
3. The method of any of claims 1-2, wherein: the basic resin supported nano gold catalyst is a compound obtained by impregnating basic resin in an alcoholic solution of gold salt and then reducing the basic resin by sodium borohydride.
4. The method according to claim 3, wherein the gold salt is gold chloride or gold nitrate, the mass ratio of the gold salt to the alkaline resin is 5-40: 100, and the alcohol is C1~C4The molar ratio of the sodium borohydride to the gold salt is 5-20: 1.
5. A method as claimed in claim 3, comprising the steps of: according to the mass ratio of the gold chloride to the alkaline resin, immersing the alkaline resin into a methanol solution containing the gold chloride and vigorously stirring for 8-24 hours, immersing a solid obtained by coordination of gold ions and nitrogen in the alkaline resin into the methanol solution prepared according to the molar ratio of the gold chloride to the sodium borohydride, and vigorously stirring for 8-18 hours to obtain the alkaline resin supported nano-gold catalyst.
6. The process according to claim 1 for the selective oxidation of unsaturated fatty alcohols in an aqueous medium, characterized in that: the temperature of the oxidation reaction is 50-100 ℃, and the time of the oxidation reaction is 2-20 hours;
the oxidation reaction comprises the following raw materials in a molar ratio:
unsaturated fatty alcohol 1;
the gold in the catalyst is 0.002-0.1.
7. The method according to claim 1, wherein the oxygen-containing gas is oxygen, air, or a mixture of oxygen and an inert gas in various proportions, wherein the volume proportion of oxygen is greater than 0, and the oxygen is used for oxidation in the mixture.
8. The method of claim 1, wherein the unsaturated fatty alcohol is one or more of isopentenol, crotyl alcohol, geraniol, allyl alcohol, 2-methylallyl alcohol, 1, 4-butenediol, trans 2, 4-hexadiene-1-ol, 3-buten-2-ol, 2-methylene-1, 3-propanediol, cis-2-pentenol, and cinnamyl alcohol.
CN201711101823.3A2017-11-102017-11-10Alkaline resin supported nano-gold catalyst and preparation and application thereofActiveCN109772450B (en)

Priority Applications (1)

Application NumberPriority DateFiling DateTitle
CN201711101823.3ACN109772450B (en)2017-11-102017-11-10Alkaline resin supported nano-gold catalyst and preparation and application thereof

Applications Claiming Priority (1)

Application NumberPriority DateFiling DateTitle
CN201711101823.3ACN109772450B (en)2017-11-102017-11-10Alkaline resin supported nano-gold catalyst and preparation and application thereof

Publications (2)

Publication NumberPublication Date
CN109772450A CN109772450A (en)2019-05-21
CN109772450Btrue CN109772450B (en)2022-01-11

Family

ID=66484428

Family Applications (1)

Application NumberTitlePriority DateFiling Date
CN201711101823.3AActiveCN109772450B (en)2017-11-102017-11-10Alkaline resin supported nano-gold catalyst and preparation and application thereof

Country Status (1)

CountryLink
CN (1)CN109772450B (en)

Citations (1)

* Cited by examiner, † Cited by third party
Publication numberPriority datePublication dateAssigneeTitle
CN104507507A (en)*2012-06-222015-04-08Z-医疗有限责任公司 hemostatic device

Patent Citations (1)

* Cited by examiner, † Cited by third party
Publication numberPriority datePublication dateAssigneeTitle
CN104507507A (en)*2012-06-222015-04-08Z-医疗有限责任公司 hemostatic device

Non-Patent Citations (2)

* Cited by examiner, † Cited by third party
Title
Aerobic oxidation of benzyl alcohol in water catalyzed by gold nanoparticles supported on imidazole containing crosslinked polymer;Huan Wang等;《Applied Catalysis A: General》;20170217;第536卷;第27-34页*
Huan Wang等.Aerobic oxidation of benzyl alcohol in water catalyzed by gold nanoparticles supported on imidazole containing crosslinked polymer.《Applied Catalysis A: General》.2017,第536卷第27-34页.*

Also Published As

Publication numberPublication date
CN109772450A (en)2019-05-21

Similar Documents

PublicationPublication DateTitle
CN108712931B (en) Catalyst for preparing 2,5-furandicarboxylic acid and method for preparing 2,5-furandicarboxylic acid using catalyst
Katryniok et al.Selective catalytic oxidation of glycerol: perspectives for high value chemicals
Mirza-Aghayan et al.Ultrasound assisted direct oxidative esterification of aldehydes and alcohols using graphite oxide and Oxone
CN111167515B (en) Single-molecule heteropolyacid embedded honeycomb carbon material-supported nano-metal catalyst and its preparation method and application
CN111408392A (en) Cobalt-nitrogen co-doped porous carbon material catalyst, preparation method and application thereof
CN113058596A (en)High-stability CO2Preparation and application of catalyst for preparing ethanol by hydrogenation
CN111054437A (en)Catalyst for preparing isooctylaldehyde through selective hydrogenation of isooctenal, preparation method and application
Ishida et al.Aerobic oxidation of glucose and 1-phenylethanol over gold nanoparticles directly deposited on ion-exchange resins
CN109438153B (en) Method for preparing 2,6-dimethyl-2-heptene by selective decarbonylation of citronellal
CN101619048A (en)Method for synthesizing propylene oxide
CN109772450B (en)Alkaline resin supported nano-gold catalyst and preparation and application thereof
CN107349960B (en)Nitrogen-containing cross-linked polymer supported nano-gold catalyst, preparation thereof and application thereof in alcohol selective oxidation reaction in aqueous medium
CN108097318A (en)Graphene oxide immobilized four(4- hydroxy phenyls)The preparation method and catalytic applications of manganoporphyrin catalysis material
CN102964230B (en)Method for preparing benzaldehyde from methylbenzene through liquid-phase catalytic oxidation
CN117358291B (en)Catalyst for preparing oxabicyclo hexadecene, and preparation method and application thereof
CN104151133A (en)Method for preparing benzaldehyde by selective oxidation of methylbenzene
CN117486838B (en) A photocatalytic synthesis method for 2(5H)-furanone compounds
CN113061123A (en) A kind of method for preparing 2(5H)-furanone and maleic acid by selective oxidation of furfural
CN109833909B (en)Preparation and application of alkaline cross-linked copolymer supported nano palladium catalyst
CN112246240A (en)Preparation and application of dimethyl carbonate catalyst
CN107540520B (en)Method for preparing pyromellitic acid or trimellitic acid from pinacol
CN101450324A (en)Polymer-bound tripe amino-acid schiff base metal copper complexes catalyst and synthesis method thereof
CN112892588B (en)Preparation method and application of atomic-scale monodisperse transition metal catalyst for preparing acetic acid by low-temperature catalytic oxidation of methane
CN112225640B (en) A method for preparing enols by selective hydrogenation of alkynols
Pina et al.Liquid Phase Oxidation of Organic Compounds by Supported Metal‐Based Catalysts with a Focus on Gold

Legal Events

DateCodeTitleDescription
PB01Publication
PB01Publication
SE01Entry into force of request for substantive examination
SE01Entry into force of request for substantive examination
GR01Patent grant
GR01Patent grant

[8]ページ先頭

©2009-2025 Movatter.jp