Movatterモバイル変換


[0]ホーム

URL:


CN109758143B - An Enhancement Method of Simultaneously Recorded Multi-channel ECG Signals - Google Patents

An Enhancement Method of Simultaneously Recorded Multi-channel ECG Signals
Download PDF

Info

Publication number
CN109758143B
CN109758143BCN201910135294.1ACN201910135294ACN109758143BCN 109758143 BCN109758143 BCN 109758143BCN 201910135294 ACN201910135294 ACN 201910135294ACN 109758143 BCN109758143 BCN 109758143B
Authority
CN
China
Prior art keywords
channel
qrs
signal
template
peak
Prior art date
Legal status (The legal status is an assumption and is not a legal conclusion. Google has not performed a legal analysis and makes no representation as to the accuracy of the status listed.)
Active
Application number
CN201910135294.1A
Other languages
Chinese (zh)
Other versions
CN109758143A (en
Inventor
刘红星
陈艺娟
庄建军
Current Assignee (The listed assignees may be inaccurate. Google has not performed a legal analysis and makes no representation or warranty as to the accuracy of the list.)
Nanjing University
Original Assignee
Nanjing University
Priority date (The priority date is an assumption and is not a legal conclusion. Google has not performed a legal analysis and makes no representation as to the accuracy of the date listed.)
Filing date
Publication date
Application filed by Nanjing UniversityfiledCriticalNanjing University
Priority to CN201910135294.1ApriorityCriticalpatent/CN109758143B/en
Publication of CN109758143ApublicationCriticalpatent/CN109758143A/en
Application grantedgrantedCritical
Publication of CN109758143BpublicationCriticalpatent/CN109758143B/en
Activelegal-statusCriticalCurrent
Anticipated expirationlegal-statusCritical

Links

Images

Landscapes

Abstract

Translated fromChinese

一种对同步记录的多通道心电信号进行增强的方法,其特征在于,包括以下步骤:(1)读入同步记录的多通道心电信号,设为X=[x1;x2;…;xi…;xm],它可以是直接记录的m通道心电信号,也可以是经过一定预处理的m通道心电信号,预处理可指去直流、基线漂移、50Hz干扰等基本预处理,也可指从腹壁电去除母体心电这样的综合性预处理;(2)对读入的m个通道心电信号X进行R峰的初检或者叫预检,在R峰初检的基础上并制作m个通道心电信号QRS波群模板矩阵XQRS=[xQRS1;xQRS2;…;xQRSi;…;xQRSm];(3)求解一个最大化问题

Figure DSA0000179480420000011
求得最优点woptimized(行向量);(4)计算y=woptimizedX,即为要增强信号,并输出之。

Figure 201910135294

A method for enhancing synchronously recorded multi-channel ECG signals, comprising the following steps: (1) reading in the synchronously recorded multi-channel ECG signals, set as X=[x1 ; x2 ;  … ; xi ...; xm ], it can be the m-channel ECG signal recorded directly, or it can be the m-channel ECG signal that has undergone a certain preprocessing. Processing can also refer to a comprehensive preprocessing such as removing the maternal ECG from the abdominal wall electricity; (2) the read-in ECG signal X of m channels is subjected to a preliminary inspection of the R peak or pre-examination. On the basis and make m channel ECG signal QRS complex template matrix XQRS = [xQRS1 ; xQRS2 ;...; xQRSi ;...; xQRSm ]; (3) Solve a maximization problem

Figure DSA0000179480420000011
Obtain the optimal point woptimized (row vector); (4) Calculate y=woptimized X, that is, to enhance the signal, and output it.

Figure 201910135294

Description

Method for enhancing multichannel electrocardiosignal recorded synchronously
Technical Field
The application relates to a method for enhancing synchronously recorded multichannel electrocardiosignals based on a computer program.
In practice, a scene of synchronously recording multi-channel electrocardiosignals exists. For example, people often go to hospitals to carry out standard 12-lead rest electrocardiographic examination, and actually and synchronously record human electrocardiosignals of 8 channels; when a fetus is subjected to electrocardiographic monitoring or resting electrocardiographic examination, 3 to 4 channels of pregnant woman abdominal wall electric signals are often synchronously recorded, and 1 or more channels of pregnant woman chest wall electric signals are sometimes additionally and synchronously recorded as reference; conventional electrocardiographic monitors and dynamic electrocardiograms (holters) are more common in the case of synchronously recording multi-channel electrocardiographic signals.
The cost of the acquisition system is increased compared with the method for synchronously recording multi-channel electrocardiosignals, but the method makes the enhancement of the electrocardiosignals realized by the fusion of the multi-channel electrocardiosignals possible, and people can synthesize a path of electrocardiosignals with high signal-to-noise ratio by linearly synthesizing the synchronously recorded multi-channel electrocardiosignals so as to improve the effects of R wave detection and other analysis of the electrocardiosignals.
Especially, it is necessary to enhance the multi-channel electrocardio signal for the occasions with low signal-to-noise ratio of the recorded signals such as fetal electrocardio, dynamic electrocardio and the like. Taking the separation of fetal electrocardio problems from abdominal wall electricity as an example, in the estimation stage of maternal electrocardio components, a multichannel electrocardio signal enhancement method can be used for enhancing the maternal electrocardio components, and in the fetal electrocardio enhancement stage after the removal of maternal electrocardio, a multichannel electrocardio signal enhancement method can also be used for enhancing the fetal electrocardio signals.
Background
Electrocardiosignal X ═ X with m channels recorded synchronously1;x2;…;xi…;xm]It is a matrix of m rows, where the row vector xiWhen i is 1, 2, …, m is the recorded electrocardiosignal of the ith channel, so-called multi-channel electrocardiosignal enhancement requires an m-dimensional unit combination vector w (row vector) to make the electrocardiosignal y calculated according to y wX strongest under a certain standard. Different criteria, the obtained combination vectors w are different and correspond to different methods.
The principle of Principal Component Analysis (PCA) method to determine the combination vector w is: its standard or objective function is max wXXTwT s.t.||w||21, that is, a unit vector w is obtained to make the transformed signal y have the maximum energy; in specific solving, the matrix XX can be solvedTIs characterized byValues and eigenvectors, let w be equal to the eigenvector corresponding to the largest eigenvalue. The signal with the maximum energy obtained by the method is not necessarily the signal with the strongest signal-to-noise ratio.
The principle of Independent Component Analysis (ICA) method for determining the combination vector w is: solving an optimization problem such that the transformed signal y has maximum non-gaussian according to y-wX, the signal with maximum non-gaussian is considered to be an independent source signal or source component, and its objective function is generally defined as kurtosis (kurtosis) maximum or negative entropy maximum of wX, defining | | | w | |21. However, an independent source signal obtained by the method is not necessarily exactly the independent source signal that you want, and a problem of further identification exists. The independent source is not equivalent to the strongest signal-to-noise ratio.
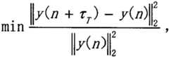
The principle of determining the combination vector w by a Periodic Component Analysis (pi CA) method is as follows: solving an optimization problem such that the signal y transformed according to y-wX has the best periodicity, its basic objective function being described as
Figure BSA0000179480440000021
Where y (n), i.e. y, wX, y (n + τ)T) Y (n) τ of yTThe unit left delay minus y. The optimization problem can be further deduced as
Figure BSA0000179480440000022
Wherein X' is X (: n + tau)T) -X (: n), i.e. X' is τ for XTThe unit left delay minus X; because the electrocardiosignal is not a strict periodic signal and has heart rate variability, tau is calculated by the formula (1)TThe number of the R wave peaks should not be a constant, and when the solution of X' in the formula (1) is performed, the initial detection or the pre-detection of the R wave peaks needs to be performed on the recorded multichannel signal X, and the quality of the initial detection of the R wave peaks affects the enhancement effect. Also, the best periodicity is not equivalent to the strongest signal-to-noise ratio.
The above common main multi-channel enhancement methods seem to have fundamental limitations in principle, because the transformed signal quality is not directly pursued to be the highest and the signal-to-noise ratio is the strongest.
Reference documents:
[1]Andreotti F,Riedl M,Himmelsbach T,et al.Robust fetal ECG extraction and detection from abdominal leads[J].Physiological Measurement,2014,35(8):1551-1567.
[2]Radek M,Radana K,Janusz J,et al.Comparative Effectiveness of ICA and PCA in Extraction of Fetal ECG From Abdominal Signals:Toward Non-invasive Fetal Monitoring[J].Frontiers in Physiology,2018,9:648-.
[3]Di Maria C,Liu C,Zheng D,et al.Extracting fetal heart beats from maternal abdominal recordings:selection of the optimal principal components[J].Physiological Measurement,2014,35(8):1649-1664.
[4]Sameni R,Jutten C,Shamsollahi M B.Multichannel Electrocardiogram Decomposition Using Periodic Component Analysis[J].IEEE Transactions on Biomedical Engineering,2008,55(8):1935-1940.
[5]Zhang J W,Liu X,Dong J.CCDD:AN ENHANCED STANDARD ECG DATABASE WITH ITS MANAGEMENT AND ANNOTATION TOOLS[J].International Journal on Artificial Intelligence Tools,2012,21(05):1240020.
[6]Yan H,Liu H,Huang X,et al.Invariant heart beat span versus variant heart beat intervals and its application to fetal ECG extraction[J].BioMedical Engineering OnLine,2014,13(1):1-12.
[7]Qiong Yu,Qun Guan,et al.Wavelet optimization for applying continuous wavelet transform to maternal electrocardiogram component enhancing[J].Chinese Physics B,2017(11):558-564.
[8]The MIT-BIH Normal Sinus Rhythm Database.[Online].http://www.physionet.org/physiobank/database/nsrdb/
disclosure of Invention
The invention aims to provide a novel method.
Provides a method for more effectively enhancing the multi-channel electrocardiosignals recorded synchronously.
The technical scheme is as follows.
A method of enhancing a synchronously recorded multi-channel cardiac signal, comprising the steps of: (1) reading in the multichannel electrocardiosignals recorded synchronously, and setting X as [ X ]1;x2;…;xi…;xm]The matrix of m rows formed by the electrocardiosignals of m channels can be directly recorded electrocardiosignals of m channels, or electrocardiosignals of m channels after certain pretreatment, and the pretreatment can refer to basic pretreatment of removing direct current, baseline drift, 50Hz interference and the like, or comprehensive pretreatment of removing maternal electrocardio from abdominal wall electricity; (2) performing initial detection or pre-detection of R peak on read m channel electrocardiosignals X, wherein the initial detection is to perform R peak detection again after signal enhancement, and creating a QRS complex template matrix X of the m channel electrocardiosignals on the basis of the initial detection of the R peakQRS=[xQRS1;xQRS2;…;xQRSi;…;xQRSm]Wherein the row vector xQRSii is 1, 2, …, m represents QRS complex template of the ith channel; (3) solving a maximization problem
Figure BSA0000179480440000031
Finding the optimal point woptimized(row vectors); (4) calculating y as woptimizedX is the signal to be enhanced and output. The method is shown in the block diagram of the attached figure 1.
According to the method for enhancing the multichannel electrocardiosignals synchronously recorded, the step (2) carries out initial detection or called pre-detection of R peaks on the read m channel electrocardiosignals X and manufactures a QRS complex template matrix of the m channel electrocardiosignals, and is characterized by comprising the following steps of (a) carrying out R peak detection on the read m channel electrocardiosignals X and optionally one channel electrocardiosignal; (b) for each channel electrocardiosignal of m channels, intercepting data of 0.05-0.25 s before and after each R peak time position detected in the step (a) as oneCalculating the average of all QRS wave groups obtained by the channel as a primary template of the channel; (c) for each channel, performing correlation operation on each QRS complex and the obtained initial template, selecting k QRS complexes with larger correlation coefficients, and averaging the K QRS complexes to obtain a final QRS complex template; (d) obtaining the final QRS wave group template x of each channelQRSii is 1, 2, …, m, thereby constructing a template matrix XQRS=[xQRS1;xQRS2;…;xQRSi;…;xQRSm]。
According to the method for enhancing the multichannel electrocardiosignals synchronously recorded, the step (2) carries out initial detection or called pre-detection of R peaks on the read m channel electrocardiosignals X and manufactures a QRS complex template matrix of the m channel electrocardiosignals, and is characterized by comprising the following steps of (a) carrying out R peak detection on the read m channel electrocardiosignals X and optionally one channel electrocardiosignal; (b) intercepting data of 0.05-0.25 s before and after each R peak time position detected in the step (a) of each channel electrocardiosignal of m channels as a QRS complex; (c) for each channel, performing cluster analysis on all the cut QRS complexes according to the similarity, taking out k QRS complexes in a cluster with the most clustered members, and averaging the K QRS complexes to obtain a QRS complex template of the channel; (d) obtaining the final QRS wave group template x of each channelQRSii is 1, 2, …, m, thereby constructing a template matrix XQRS=[xQRS1;xQRS2;…;xQRSi;…;xQRSm]。
According to the method for enhancing the multichannel electrocardiosignals synchronously recorded, the step (2) carries out initial detection or called pre-detection of R peaks on the read m channel electrocardiosignals X and manufactures a QRS wave template matrix of the m channel electrocardiosignals, and is characterized by comprising the following steps of (a) carrying out R peak detection on each channel electrocardiosignal of the read m channel electrocardiosignals X; (b) using the R peak detection result of each channel signal, constructing a set of QRS complex template matrix X according to three steps (b), (c) and (d) of any one scheme of the two natural sectionsQRS=[xQRS1;xQRS2;…;xQRSi;…;xQRSm]Then, m sets of QRS complex template matrixes X are constructed in totalQRS(ii) a (c) Selecting one of the m sets of QRS complex template matrixes for construction as the set with the highest total similarity value among the QRS complexes for template averaging as the QRS complex template matrix X of the final constructionQRS=[xQRS1;xQRS2;…;xQRSi;…;xQRSm]。
A method for enhancing multi-channel electrocardiosignals recorded synchronously according to the method, wherein the step (3) solves a maximization problem
Figure BSA0000179480440000041
Finding the optimal point woptimized(Row vector) characterized by the fact that a symmetric matrix is written
Figure BSA0000179480440000042
And CX=XXTCan be represented by (C)XQRS,CX) Solving for w by generalized eigenvalue decompositionoptimizedAnd it takes the eigenvector corresponding to the maximum generalized eigenvalue.
It should be noted that, the above technical solution solves the maximization problem
Figure BSA0000179480440000043
By itself, it is meant that the goal is to maximize the energy of its repeated component of the QRS complex after the combination of the multichannel signal, which is in full accord with the enhancement goal of improving the signal-to-noise ratio of the signal by linear combination. Such a method is not limited to the Repetitive Component Analysis (RCA) method.
Has the beneficial effects.
The inventors performed comparative testing experiments on the proposed solution. Two evaluation indices were used. The first index is represented by the document [7 ]]Proposed, defined as a noise to signal ratio NSR ═ aNoisePeak||1/||ARwavePeak||1I.e. the ratio of the sum of the interference peaks between all R peaks divided by the sum of the peaks of all R peaks, the smaller the NSR value, sayThe better the enhancement effect of the method. The second evaluation index is defined based on the R-peak detection accuracy for the enhanced signal, and a common R-peak detection accuracy index F1 is 2TP/(2TP + FP + FN), where TP is the number of correctly detected R-peak events, FP is the number of multi-detection R-peaks, and FN is the number of missed detection R-peaks. In the experiment, the R wave detection algorithm adopts a classical PT algorithm. A higher F1 means a better enhanced signal quality.
And (5) carrying out a first experiment. The experimental data are from The databases setA and setB of The PhysioNet/Computing in Cardiology Challenge 2013. There were 75 groups of data for SetA and 100 groups of data for Set B. Each group of data has the duration of 1 minute and comprises 4 paths of pregnant woman abdominal wall electric signals, and the sampling frequency is 1 kHz. The data set has no official calibrated parent R wave position, and the correct parent R wave position is marked in the experiment in a mode of software primary inspection and human eye correction. By adopting the technical scheme, the enhancement calculation of the multichannel electrocardiosignals is carried out on 175 groups of data, wherein the enhancement is the maternal electrocardiosignals, and two evaluation indexes of one path of enhancement signals of each group are calculated. And simultaneously calculating two evaluation indexes of the enhanced signal of the three enhancement methods of PCA, ICA and pi CA and the signal before enhancement. Table 1 shows the statistical average of the evaluation indexes after the contrast test was completed for all of the 175 sets of data.
TABLE 1175 test results for Competition data
Figure BSA0000179480440000051
And (5) carrying out experiment II. In the first experiment, the enhancement effect of the method is close to that of the pi CA method, and the method is considered to be mainly the reason that the number of channels is small and the overall quality is high before signal enhancement. Therefore, a group of abdominal wall electrical data of 8 channels is artificially constructed by using 95830 th group data and 95847 th group data on the MIT ccdd database, so that the data has the characteristics of large interference and irregular maternal heart rate, and is used as simulation data to further test the enhancement effect of the pi CA method and the method disclosed by the invention, as shown in figure 2. Through calculation, the indexes of NSR and F1 of the channel of signal enhanced by the pi CA method are respectively 0.4404 and 0.8511, while the indexes of NSR and F1 of the channel of signal enhanced by the method are respectively 0 and 1, which shows that the method has more remarkable enhancing effect. FIG. 3 shows the contrast of the enhancement effect of the two methods, wherein abdominal in FIG. 3 is 1 channel signal in the constructed 8-channel abdominal wall electrocardiogram, total is the simulated fetal electrocardio component therein, matenal is the simulated maternal electrocardio component therein, 'pi CA' is a channel of maternal electrocardio signal enhanced by the pi CA method, and my work is a channel of maternal electrocardio signal enhanced by the method of the present invention; obviously, the method of the invention has more obvious enhancement effect than the pi CA method.
Drawings
FIG. 1, a block diagram of the method of the present invention
FIG. 2 is a set of 8-channel electrical data waveforms of abdominal wall
FIG. 3 is a graph showing the effect of enhancement by the method of the present invention and the π CA method
Examples
According to the steps of the technical scheme of the invention, firstly, the simulated synchronously recorded multichannel electrocardiosignals are read in step (1), and X is ═ X1;x2;…;xi…;xm]Here, the number of channels m is 8, as shown in fig. 2; step (2), performing initial detection or called pre-detection on R peaks of the read-in m channel electrocardiosignals X, and constructing a set of QRS complex template matrix X on the basis of the initial detection position of the R peak of each channelQRS=[xQRS1;xQRS2;…;xQRSi;…;xQRSm]Forming 8 sets of QRS complex template matrixes, and selecting a set of QRS complex template matrix X with the maximum total similarity according to the total similarity value among all QRS complexes averaged by the QRS complex templates in the process of forming the QRS complex templatesQRS=[xQRS1;xQRS2;…;xQRSi;…;xQRSm]As the final template matrix, the specific interception method of the QRS wave group when each set of template matrix is constructed is that a section of waveform of 0.25s is intercepted before and after the position of the R peak; step (3) of solving a maximization problem
Figure BSA0000179480440000061
Finding the optimal point woptimized(line vector) function eig is decomposed using the generalized eigenvalues in matlabMaking; step (4), calculating an enhanced signal y ═ woptimizedX, as shown in figure 3.

Claims (5)

Translated fromChinese
1.一种对同步记录的多通道心电信号进行增强的方法,其特征在于,包括以下步骤:(1)读入同步记录的多通道心电信号,设为X=[x1;x2;…;xi…;xm],即m个通道心电信号构成的一个m行的矩阵,它可以是直接记录的m通道心电信号,也可以是经过一定预处理的m通道心电信号,这个预处理可指去直流、基线漂移、50Hz干扰等基本预处理,也可指从腹壁电去除母体心电这样的综合性预处理;(2)对读入的m个通道心电信号X进行R峰的初检或者叫预检,这里的初检相对于信号增强后一般还要再次进行的R峰检测而言,在R峰初检的基础上并制作m个通道心电信号QRS波群模板矩阵XQRS=[xQRS1;xQRS2;…;xQRSi;…;xQRSm],其中行向量xQRSii=1,2,…,m表示制作的第i个通道的QRS波群模板;(3)求解一个最大化问题
Figure FSA0000179480430000011
求得最优点woptimized(行向量);(4)计算y=woptimizedX,即为要增强信号,并输出之。1. a method for enhancing the multi-channel electrocardiogram signal of synchronous recording, is characterized in that, comprises the following steps: (1) read in the multi-channel electrocardiographic signal of synchronous recording, be set as X=[x1 ; x2 ;...;xi ...;xm ], that is, a matrix of m rows composed of m-channel ECG signals, which can be directly recorded m-channel ECG signals or m-channel ECG signals that have undergone certain preprocessing Signal, this preprocessing can refer to basic preprocessing such as DC removal, baseline drift, 50Hz interference, etc., and can also refer to comprehensive preprocessing such as removing maternal ECG from abdominal wall electricity; (2) For the read-in m channel ECG signals X performs the initial detection of the R peak or pre-detection. The initial detection here is compared to the R peak detection that is generally performed again after the signal is enhanced. On the basis of the initial detection of the R peak, m channels of ECG signal QRS are produced. Complex template matrix XQRS =[xQRS1 ; xQRS2 ;...;xQRSi ;...;xQRSm ], wherein the row vector xQRSi i=1, 2,..., m represents the produced QRS complex of the i-th channel template; (3) solve a maximization problem
Figure FSA0000179480430000011
Obtain the optimal point woptimized (row vector); (4) Calculate y=woptimized X, that is, to enhance the signal, and output it.2.根据权利要求1所述的一种对同步记录的多通道心电信号进行增强的方法,第(2)步对读入的m个通道心电信号X进行R峰的初检或者叫预检,并制作m个通道心电信号QRS波群模板矩阵,其特征在于,包括如下步骤,(a)对读入的m个通道心电信号X,任选一个通道心电信号进行R峰的检测;(b)对m个通道的每个通道心电信号,根据(a)步骤检得的每个R峰时间位置,截取其前后各0.05~0.25s的数据,作为一个QRS波群,再求取此通道截得的所有QRS波群的均值作为这个通道的初步模板;(c)对每个通道,让各个QRS波群与求得的初步模板做相关运算,挑选出相关系数较大的k个QRS波群,由它们的平均得到最终QRS波群模板;(d)得到了各个通道的最终QRS波群模板xQRSii=1,2,…,m,由此构造模板矩阵XQRS=[xQRS1;xQRS2;…;xQRSi;…;xQRSm]。2. a kind of method that the multi-channel electrocardiogram signal of synchronous recording is enhanced according to claim 1, the (2) step carries out the initial inspection of the R peak to the m passage electrocardiogram signal X of the read-in or is called pre-test. Detect, and make m channel ECG signal QRS complex template matrix, it is characterized in that, comprise the following steps, (a) to read in m channel ECG signal X, choose one channel ECG signal to carry out R peak Detection; (b) for each channel ECG signal of m channels, according to the time position of each R peak detected in step (a), intercept the data of 0.05-0.25s before and after it, as a QRS complex, and then Obtain the mean value of all QRS complexes intercepted by this channel as the preliminary template of this channel; (c) for each channel, perform correlation operation between each QRS complex and the obtained preliminary template, and select the one with a larger correlation coefficient. The k QRS complexes are averaged to obtain the final QRS complex template; (d) the final QRS complex template xQRSi i = 1, 2, ..., m is obtained for each channel, and the template matrix XQRS = [xQRS1 ;xQRS2 ;...;xQRSi ;...;xQRSm ].3.根据权利要求1所述的一种对同步记录的多通道心电信号进行增强的方法,第(2)步对读入的m个通道心电信号X进行R峰的初检或者叫预检,并制作m个通道心电信号QRS波群模板矩阵,其特征在于,包括如下步骤,(a)对读入的m个通道心电信号X,任选一个通道心电信号进行R峰的检测;(b)对m个通道的每个通道心电信号,根据(a)步骤检得的每个R峰时间位置,截取其前后各0.05~0.25s的数据,作为一个QRS波群;(c)对每个通道,将截得的所有QRS波群按照相似度进行聚类分析,将聚得的成员最多的一簇中的k个QRS波群拿出来,由它们的平均得到该通道的最终QRS波群模板;(d)得到了各个通道的最终QRS波群模板xQRSii=1,2,…,m,由此构造模板矩阵XQRS=[xQRS1;xQRS2;…;xQRSi;…;xQRSm]。3. a kind of method that the multi-channel electrocardiogram signal of synchronous recording is enhanced according to claim 1, the (2) step carries out the initial inspection of the R peak to the m passage electrocardiogram signal X of the read-in or is called pre-test. Detect, and make m channel ECG signal QRS complex template matrix, it is characterized in that, comprise the following steps, (a) to read in m channel ECG signal X, choose one channel ECG signal to carry out R peak Detection; (b) For each channel ECG signal of m channels, according to the time position of each R peak detected in step (a), intercept the data of 0.05-0.25s before and after it, as a QRS complex; ( c) For each channel, perform cluster analysis on all the intercepted QRS complexes according to the similarity, take out the k QRS complexes in the cluster with the most members, and obtain the average of the QRS complexes of the channel. The final QRS complex template; (d) the final QRS complex template xQRSi i = 1, 2, ..., m of each channel is obtained, and the template matrix XQRS = [xQRS1 ; xQRS2; ;…;xQRSm ].4.根据权利要求1所述的一种对同步记录的多通道心电信号进行增强的方法,第(2)步对读入的m个通道心电信号X进行R峰的初检或者叫预检,并制作m个通道心电信号QRS波模板矩阵,其特征在于,包括如下步骤,(a)对读入的m个通道心电信号X的每个通道心电信号都进行R峰的检测;(b)利用每一个通道信号的R峰检测结果,按照上述权利要求2或权利要求3中的任何一种方案的(b)、(c)和(d)三步构造出一套QRS波群模板矩阵XQRS=[xQRS1;xQRS2;…;xQRSi;…;xQRSm],则总共构造出m套QRS波群模板矩阵XQRS;(c)在构造的m套QRS波群模板矩阵中,选择一套它在构造时用于模板平均的各QRS波群间总相似度值最高的一套作为最终构造的QRS波群模板矩阵XQRS=[xQRS1;xQRS2;…;xQRSi;…;xQRSm]。4. a kind of method that the multi-channel electrocardiogram signal of synchronous recording is enhanced according to claim 1, the (2) step carries out the initial inspection of R peak to the m channel electrocardiogram signal X of read-in or is called pre-test. Detecting, and making m channel ECG signal QRS wave template matrix, it is characterized in that, comprises the following steps, (a) each channel ECG signal of read m channel ECG signal X is all carried out R peak detection (b) utilize the R peak detection result of each channel signal, construct a set of QRS wave according to (b), (c) and (d) three steps of any scheme in above-mentioned claim 2 or claim 3 Group template matrix XQRS =[xQRS1 ; xQRS2 ;...;xQRSi ;...;xQRSm ], then construct m sets of QRS complex template matrix XQRS in total; (c) m sets of QRS complex templates constructed in In the matrix, select a set of QRS complex template matrix XQRS = [xQRS1 ; xQRS2 ;...; xQRSi ;...;xQRSm ].5.根据权利要求1所述的一种对同步记录的多通道心电信号进行增强的方法,第(3)步求解一个最大化问题
Figure FSA0000179480430000021
求得最优点woptimized(行向量),其特征在于,记实对称矩阵
Figure FSA0000179480430000022
和CX=XXT,可以通过(CXQRS,CX)的广义特征值分解求解woptimized,它取最大的广义特征值对应的特征向量。
5. a kind of method for enhancing the multi-channel electrocardiogram signal of synchronous recording according to claim 1, the (3) step solves a maximization problem
Figure FSA0000179480430000021
Find the optimal point woptimized (row vector), characterized by the fact that the symmetric matrix is recorded
Figure FSA0000179480430000022
and CX =XXT , woptimized can be solved by the generalized eigenvalue decomposition of (CXQRS , CX ), which takes the eigenvector corresponding to the largest generalized eigenvalue.
CN201910135294.1A2019-02-222019-02-22 An Enhancement Method of Simultaneously Recorded Multi-channel ECG SignalsActiveCN109758143B (en)

Priority Applications (1)

Application NumberPriority DateFiling DateTitle
CN201910135294.1ACN109758143B (en)2019-02-222019-02-22 An Enhancement Method of Simultaneously Recorded Multi-channel ECG Signals

Applications Claiming Priority (1)

Application NumberPriority DateFiling DateTitle
CN201910135294.1ACN109758143B (en)2019-02-222019-02-22 An Enhancement Method of Simultaneously Recorded Multi-channel ECG Signals

Publications (2)

Publication NumberPublication Date
CN109758143A CN109758143A (en)2019-05-17
CN109758143Btrue CN109758143B (en)2021-07-27

Family

ID=66456366

Family Applications (1)

Application NumberTitlePriority DateFiling Date
CN201910135294.1AActiveCN109758143B (en)2019-02-222019-02-22 An Enhancement Method of Simultaneously Recorded Multi-channel ECG Signals

Country Status (1)

CountryLink
CN (1)CN109758143B (en)

Families Citing this family (2)

* Cited by examiner, † Cited by third party
Publication numberPriority datePublication dateAssigneeTitle
CN114052752B (en)*2021-10-092024-03-29复旦大学 Filtering method for center electromagnetic QRS wave group interference in multi-channel surface electromyographic signals
CN117598710B (en)*2024-01-232024-05-14富纳德科技(北京)有限公司Remote electrocardiosignal monitoring method and system

Citations (9)

* Cited by examiner, † Cited by third party
Publication numberPriority datePublication dateAssigneeTitle
US7343197B2 (en)*2000-05-302008-03-11Vladimir ShustermanMulti-scale analysis and representation of physiological and health data
US7509159B2 (en)*2004-04-152009-03-24Ge Medical Systems Information Technologies, Inc.Method and apparatus for detecting cardiac repolarization abnormality
CN101554325A (en)*2009-05-152009-10-14南京大学Method for extracting fetal electrocardiograms (FECG) by separation
CN101596108A (en)*2009-06-192009-12-09南京大学 A Nonlinear Separation and Extraction Method of Fetal Electrocardiogram
EP2057942B1 (en)*2007-11-122012-05-16Werner BystrickyModeling the electrical activity of the heart by a single dipole, concurrently estimating subject and measurement related conditions
CN104921722A (en)*2015-07-152015-09-23西南民族大学Double-lead combined with electrocardiogram QRS wave detection method
CN107292292A (en)*2017-07-202017-10-24浙江好络维医疗技术有限公司A kind of QRS complex sorting technique based on SVMs
CN108537100A (en)*2017-11-172018-09-14吉林大学A kind of electrocardiosignal personal identification method and system based on PCA and LDA analyses
CN109199375A (en)*2018-11-302019-01-15东南大学A kind of noninvasive Fetal ECG detection device and ecg signal data processing method

Family Cites Families (6)

* Cited by examiner, † Cited by third party
Publication numberPriority datePublication dateAssigneeTitle
CN102613970B (en)*2012-02-132014-08-06南京大学Method for expanding channel number of collected multichannel fetal electrocardiosignals
US8788024B1 (en)*2013-03-152014-07-22Apn Health, LlcMulti-channel cardiac measurements
US20150282755A1 (en)*2014-04-022015-10-08King Fahd University Of Petroleum And MineralsSystem and method for detecting seizure activity
CN104382589B (en)*2014-12-092017-02-22南京大学Fetal electrocardiogram separation extraction method based on partial resampling by segments
CN104462867A (en)*2014-12-112015-03-25中国人民解放军重庆通信学院T wave dynamic modeling and multi channel estimation fusion method
CN109157220B (en)*2018-09-112021-05-07上海宏桐实业有限公司Respiratory index extraction system based on multi-channel dynamic monitoring and working method

Patent Citations (9)

* Cited by examiner, † Cited by third party
Publication numberPriority datePublication dateAssigneeTitle
US7343197B2 (en)*2000-05-302008-03-11Vladimir ShustermanMulti-scale analysis and representation of physiological and health data
US7509159B2 (en)*2004-04-152009-03-24Ge Medical Systems Information Technologies, Inc.Method and apparatus for detecting cardiac repolarization abnormality
EP2057942B1 (en)*2007-11-122012-05-16Werner BystrickyModeling the electrical activity of the heart by a single dipole, concurrently estimating subject and measurement related conditions
CN101554325A (en)*2009-05-152009-10-14南京大学Method for extracting fetal electrocardiograms (FECG) by separation
CN101596108A (en)*2009-06-192009-12-09南京大学 A Nonlinear Separation and Extraction Method of Fetal Electrocardiogram
CN104921722A (en)*2015-07-152015-09-23西南民族大学Double-lead combined with electrocardiogram QRS wave detection method
CN107292292A (en)*2017-07-202017-10-24浙江好络维医疗技术有限公司A kind of QRS complex sorting technique based on SVMs
CN108537100A (en)*2017-11-172018-09-14吉林大学A kind of electrocardiosignal personal identification method and system based on PCA and LDA analyses
CN109199375A (en)*2018-11-302019-01-15东南大学A kind of noninvasive Fetal ECG detection device and ecg signal data processing method

Non-Patent Citations (5)

* Cited by examiner, † Cited by third party
Title
Comparative Effectiveness of ICA and PCA in Extraction of Fetal ECG From Abdominal Signals: Toward Non-invasive Fetal Monitoring;Martinek R, Kahankova R, Jezewski J, et al.;《Front Physiol》;20180530;第4页第2栏-第7页*
Fusion of detected multi-channel maternal electrocardiogram (ECG) R-wave peak locations;Yu, Q., Guan, Q., Li, P. et al.;《BioMed Eng OnLine》;20160108;第2页第4段、第4页第3段*
Principal Component Analysis in ECG Signal Processing;Castells,et al.;《EURASIP Journal on Advances in Signal Processing》;20071231;第1-21页*
基因表达数据的相似性度量和特征提取研究;王文俊;《中国博士学位论文全文数据库》;20130315;正文第39页-第46页*
胎儿心电信号采集及基于盲信号理论的胎儿心电信号提取研究;谭越;《中国优秀硕士学位论文全文数据库》;20130215;第I136-65页*

Also Published As

Publication numberPublication date
CN109758143A (en)2019-05-17

Similar Documents

PublicationPublication DateTitle
US9125577B2 (en)Extraction of fetal cardiac signals
Lo et al.Deep learning for detection of fetal ECG from multi-channel abdominal leads
Slama et al.Application of statistical features and multilayer neural network to automatic diagnosis of arrhythmia by ECG signals
Ghaffari et al.Robust fetal QRS detection from noninvasive abdominal electrocardiogram based on channel selection and simultaneous multichannel processing
CN109758143B (en) An Enhancement Method of Simultaneously Recorded Multi-channel ECG Signals
Qiao et al.A dual self-calibrating framework for noninvasive fetal ECG R-peak detection
CN109009088B (en)TWA multichannel fusion estimation method based on tensor decomposition
CN103876731B (en) A kind of fetal electrocardiogram signal extraction device and method
Souriau et al.Fetal heart rate monitoring by fusion of estimations from two modalities: A modified Viterbi’s algorithm
Zhang et al.Fetal ECG subspace estimation based on cyclostationarity
Zhang et al.A fast adaptive LPCA method for fetal ECG extraction based on multichannel signals
Diery et al.Automated ECG diagnostic P-wave analysis using wavelets
Padmavathi et al.Detection of atrial fibrillation using continuous wavelet transform and wavelet coherence
SuganthyAnalysis of R-peaks in fetal electrocardiogram to detect heart disorder using fuzzy clustering
Aravind et al.ECG classification and arrhythmia detection using Wavelet transform and convolutional neural network
Zhang et al.An approach for fetal QRS complex detection from abdominal ECG recordings
Gupta et al.Principal component and independent component calculation of ECG signal in different posture
Gómez-Herrero et al.Relative estimation of the Karhunen-Loève transform basis functions for detection of ventricular ectopic beats
Gupta et al.Dissimilarity factor based classification of inferior myocardial infarction ECG
DeogireMulti lead fetal QRS detection with principal component analysis
Kharabian et al.Fetal R-wave detection from multichannel abdominal ECG recordings in low SNR
Adeluyi et al.R-READER: A lightweight algorithm for rapid detection of ECG signal R-peaks
Mazidi et al.Detection of heart attack using cross wavelet transformation and support vector machine
El B'Charri et al.An efficient wavelet-based feature extraction scheme for electrocardiogram signals
Da Poian et al.Sparse representation for fetal QRS detection in abdominal ECG recordings

Legal Events

DateCodeTitleDescription
PB01Publication
PB01Publication
SE01Entry into force of request for substantive examination
SE01Entry into force of request for substantive examination
GR01Patent grant
GR01Patent grant

[8]ページ先頭

©2009-2025 Movatter.jp