Movatterモバイル変換


[0]ホーム

URL:


CN109745077B - A method for detecting elastic properties based on focused ultrasonic vibro-acoustic signals - Google Patents

A method for detecting elastic properties based on focused ultrasonic vibro-acoustic signals
Download PDF

Info

Publication number
CN109745077B
CN109745077BCN201910147443.6ACN201910147443ACN109745077BCN 109745077 BCN109745077 BCN 109745077BCN 201910147443 ACN201910147443 ACN 201910147443ACN 109745077 BCN109745077 BCN 109745077B
Authority
CN
China
Prior art keywords
probe
medium
ultrasonic
signal
excitation
Prior art date
Legal status (The legal status is an assumption and is not a legal conclusion. Google has not performed a legal analysis and makes no representation as to the accuracy of the status listed.)
Active
Application number
CN201910147443.6A
Other languages
Chinese (zh)
Other versions
CN109745077A (en
Inventor
许燕斌
张胜男
董峰
Current Assignee (The listed assignees may be inaccurate. Google has not performed a legal analysis and makes no representation or warranty as to the accuracy of the list.)
Tianjin University
Original Assignee
Tianjin University
Priority date (The priority date is an assumption and is not a legal conclusion. Google has not performed a legal analysis and makes no representation as to the accuracy of the date listed.)
Filing date
Publication date
Application filed by Tianjin UniversityfiledCriticalTianjin University
Priority to CN201910147443.6ApriorityCriticalpatent/CN109745077B/en
Publication of CN109745077ApublicationCriticalpatent/CN109745077A/en
Application grantedgrantedCritical
Publication of CN109745077BpublicationCriticalpatent/CN109745077B/en
Activelegal-statusCriticalCurrent
Anticipated expirationlegal-statusCritical

Links

Images

Landscapes

Abstract

Translated fromChinese

本发明涉及一种基于聚焦超声声振信号的弹性特性检测方法,所采用的检测系统包括信号发生器、超声脉冲收发器、功率放大器、激励探头、跟踪探头、NI采集卡和计算机,通过激发激励探头,使其在聚焦区域产生ARF,引起聚焦区域介质的振动,进而发射二次超声波,检测二次超声波的幅值信息,评估介质的弹性特性。

Figure 201910147443

The invention relates to an elastic characteristic detection method based on a focused ultrasonic acoustic vibration signal. The adopted detection system includes a signal generator, an ultrasonic pulse transceiver, a power amplifier, an excitation probe, a tracking probe, an NI acquisition card and a computer. The probe generates ARF in the focal area, causes the vibration of the medium in the focal area, and then emits secondary ultrasonic waves, detects the amplitude information of the secondary ultrasonic waves, and evaluates the elastic properties of the medium.

Figure 201910147443

Description

Elastic characteristic detection method based on focused ultrasonic sound vibration signal
Technical Field
The invention belongs to the technical field of ultrasonic elastography, and relates to a method for detecting the elastic property of a medium by using a secondary ultrasonic signal excited by focused ultrasonic acoustic radiation force, in particular to a method for detecting the elastic property based on a focused ultrasonic acoustic vibration signal.
Background
The elastic property of biological tissue is the inherent mechanical property in the organism, the elastic property of each part in different biological tissues (especially pathological tissues) in the human body has difference, and some pathological phenomena and physiological activities can cause the change of the elastic property of the biological tissue, so the biological tissue carries abundant physiological and pathological information. Palpation (palpart) is one of the most traditional methods for diagnosing the elastic properties of biological tissues, and is simple and easy to operate, but the diagnosis result depends greatly on the subjective judgment ability of doctors, and cannot be detected when the lesion is too small or located in a deep part of the body.
Ultrasonic waves cause a change in energy density due to absorption and reflection equivalents during propagation in biological tissue, thereby generating Acoustic Radiation Force (ARF). The ARF acts on the tissue to produce axial compressive tension and hence displacement, and produces shear waves that propagate transversely. And (3) evaluating the elastic characteristic parameters of the tissues by calculating the axial displacement or detecting information such as the wave speed of the shear wave. In 1990, Sugimoto (T Sugimoto, S Ueha and KItoh, Tissue hardness measurement using the radiation force of focused ultrasound, IEEE Symposium on ultrasounds, 1990,171591) was the first to evaluate the stiffness of Tissue using ARF generated by focused ultrasound. In recent years, an elastic characteristic detection method based on ARF excitation has become a popular subject in the field of ultrasonic medicine.
The research of the current ultrasonic elasticity detection method based on ARF excitation can be mainly summarized into the following aspects:
1. based on the excitation of the transient ARF, local displacement and shear waves which are transversely transmitted are generated in a focusing area, the displacement of the tissue is calculated by using ultrasonic echo signals before and after the ARF excitation, and the elastic characteristic of the tissue is estimated;
2. based on the excitation of the transient ARF, the shear wave which causes the local displacement and the transverse propagation of the focusing area is monitored by the magnetic resonance and other technologies, so as to realize the quantitative analysis of the elastic characteristic of the biological tissue;
3. based on the excitation of the harmonic ARF, the focusing area generates harmonic vibration, sound waves are radiated outwards, information such as amplitude and phase of the sound waves is detected by equipment such as a hydrophone and the like, and the elastic property of the tissue is evaluated.
The present document mentions that transient ARF excitation is used to calculate the local Displacement of the focal region, and in 2000, the research group (K R Nightingale, R W Nightingale, M L Palmeri, and G E track, a finish Element Model of remote page of break loss Using radial Displacement Force, Ultrasonic Imaging, 2000,22:35-54) led by Nightingale of the university of duck was first studied, and the Displacement of the Tissue caused by ARF was detected Using the conventional method (doppler/pulse echo detection Displacement), the elastic properties of the Tissue were estimated, and factors affecting the Displacement were proposed. In 2005, US patent (US 20050215899a1) disclosed a method and system for ARFI imaging.
The use of transient ARF excitation to monitor Shear wave propagation is currently mentioned in the literature, in 1998, for the first time, Shear wave elastography (Shear wave elastography, SWEI) was proposed by Sarvazyan (A P Sarvazyan, O V Rudenko, S D Swanson, J B Fowles and S Y Emelinov, Shear wave elastography: a new Ultrasound technology of medical diagnostics, Ultrasound in Medicine & Biology 1998,24: 1419-. The method uses a high-strength sound pressure signal to excite a focusing ultrasonic transducer, generates ARF to act on tissues to generate shear waves with longitudinal displacement and transverse propagation, and monitors the propagation of the shear waves by using a magnetic resonance technology, thereby realizing the quantitative analysis of the elastic characteristics of the biological tissues.
The detection of Acoustic information caused by vibrations using harmonic ARF excitation is mentioned in the literature, and in 1998, Fatemi et al (M Fatemi and J F Greenleaf, Ultrasound-Stimalated video-Acoustic Spectroscopy, Science, 1998,280:82-85) proposed an Acoustic-vibration imaging method and demonstrated the feasibility of the method by experimental verification. The method comprises the steps of respectively exciting two confocal ultrasonic transducers by using two sinusoidal signals with a small frequency difference delta f (generally hundreds of Hz to tens of kHz), generating ARF with periodic low-frequency oscillation in a focusing area, causing tissues to generate harmonic vibration, further radiating sound waves with the frequency delta f outwards, wherein the sound waves simultaneously contain elastic information and sound attenuation information of the tissues in the focusing area, and detecting information such as amplitude, phase and the like of the sound waves by using a hydrophone to evaluate the elastic properties of the tissues. The 2010 US patent (US 007785259B 2) discloses a method of vibro-acoustic imaging.
In the existing research of elastic characteristic detection based on transient ARF excitation, the excitation signal timing sequence comprises three parts: firstly, exciting a tracking probe to obtain an ultrasonic measurement signal of an initial position of a detected area; then exciting the excitation probe to generate ARF in a focusing area, and generating shear waves with longitudinal displacement and transverse propagation; and finally, exciting the tracking probe again to obtain the ultrasonic measurement signal after the displacement of the measured area. And processing the two groups of ultrasonic measurement signals by using algorithms such as cross correlation and the like to obtain information such as displacement of tissues or shear wave propagation speed and the like, and evaluating the elastic property of a focusing region. As can be seen from the steps, the method has more steps and needs longer time; because the displacement caused by the method is in a micron order, the method increases the data volume by using a measuring system with higher sampling frequency or using the technology of up-sampling and the like; and the detection resolution depends on different algorithms, different parameter selection and other factors. The existing method based on harmonic ARF excitation directly detects low-frequency sound waves excited by medium vibration, and has high resolution ratio due to low sound wave frequency and slow attenuation, but in the method, the harmonic ARF needs to be generated by a method of simultaneously exciting two confocal ultrasonic transducers with tiny frequency difference or modulating amplitude, the confocal ultrasonic transducers have complex structures, and two beams of ultrasonic waves can generate standing waves in the process of propagation to influence the detection precision; when using the amplitude modulation method, energy modulation occurs over the entire surface of the sensor, and the oscillating ARF affects the surface of the sensor.
Disclosure of Invention
The invention aims to provide an elastic characteristic detection method based on a focused ultrasonic sound vibration signal, which reduces the requirement on a measurement system, simplifies the detection steps, quickly detects the elastic characteristic of a medium in real time and improves the resolution of the detection of the elastic characteristic of biological tissues. In order to achieve the purpose, the invention adopts the technical scheme that:
a detection system comprises a signal generator, an ultrasonic pulse transceiver, a power amplifier, an excitation probe, a tracking probe, a data acquisition card and a computer, wherein the excitation probe is excited to generate ARF in a focusing area to cause the medium in the focusing area to vibrate, so that secondary ultrasonic waves are emitted, the amplitude information of the secondary ultrasonic waves is detected, and the elastic characteristic of the medium is evaluated, and the method comprises the following steps:
(1) measuring the focal length and the focal spot size of the excitation probe, determining the relative positions of the excitation probe, the tracking probe and the medium, and ensuring that the planes of the excitation probe and the tracking probe are parallel to the surface of the medium; selecting a scheme that an excitation probe and a tracking probe are vertically arranged;
(2) the equipment is connected, and the sound velocity of the ultrasonic wave propagating in the water and the sound velocity of the ultrasonic wave propagating in the medium are measured; the signal generated by the signal generator is amplified by the power amplifier and then used for exciting the exciting probe;
(3) adjusting the position of the tracking probe to enable the tracking probe to be positioned on the short axis extension line of the focal spot of the excitation probe;
(4) exciting the excitation probe by using a single frequency signal, generating ARF in a focusing area to cause medium vibration, and exciting a secondary ultrasonic wave in the focusing area, wherein the ultrasonic wave signal can reflect elastic information of the medium;
(5) the tracking probe receives a secondary ultrasonic signal, the signal is amplified by the ultrasonic pulse transceiver, and the acquired ultrasonic signal is sent to the computer;
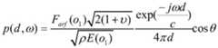
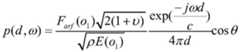
(6) extracting the amplitude p (d, omega) of the secondary ultrasonic signal as an index for evaluating the elastic property of the medium;
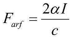
(7) young's modulus E (o) of the focus area medium was calculated according to the following formula1):
Figure BDA0001980471060000031
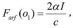
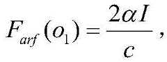
Wherein upsilon is the Poisson's ratio of the medium, ρ is the density of the medium, ω is the angular velocity of vibration, which is related to the center frequency of the excitation probe, and d is the vibration point o1And a detection point o2C is the ultrasonic wave velocity, theta is o1、o2Angle between the line of (A) and the major axis of the focal zone, Farf(o1) In order to focus the acoustic radiation force of the ultrasonic waves generated in the focal region due to the energy change,
Figure BDA0001980471060000041
where α is the attenuation coefficient of the ultrasonic wave propagating in the medium, and I is the sound intensity, which is proportional to the square of the sound pressure.
Compared with the traditional ultrasonic elastic characteristic detection technology, the invention uses a single frequency signal to excite the excitation probe, avoids the influence of standing wave in the harmonic ARF excitation process and improves the detection resolution; because only the information such as the amplitude of the secondary ultrasonic signal excited by the ARF is needed to be detected for simple data processing, the reference information of the initial position of the detected area is not needed to be obtained, and the displacement or shear wave speed and the like are calculated by using a related algorithm, the requirement on the sampling frequency of the measuring system is reduced, the influence of different algorithms and different parameters on the precision of the detection result is avoided, the detection steps are simplified, the time needed in the detection process is shortened, and the real-time detection on the tissue elasticity characteristic is expected to be realized.
Drawings
FIG. 1 is a schematic diagram of the system of the present invention;
FIG. 2 is a flow chart of the operation of the present invention;
FIG. 3 is a schematic diagram of the principles of the present invention;
FIG. 4 is an example of the present invention showing two secondary ultrasonic signals measured using the present invention containing replicas of the same concentration (5%), with different components (agar and gelatin).
Detailed Description
The elastic characteristic detection method based on the focused ultrasonic vibro-acoustic signal of the invention is explained with the accompanying drawings and the embodiment.
The invention provides a method for detecting the elastic characteristic based on a focused ultrasonic sound vibration signal by exciting an excitation probe by using a high-energy sound pressure signal to generate a larger ARF in a focusing area to cause the vibration of a medium in the focusing area, further transmitting a secondary ultrasonic wave and combining a method for detecting the elastic characteristic of the medium by using a sound wave amplitude in harmonic ARF excitation.
The system structure schematic diagram of the elastic characteristic detection method based on the focused ultrasonic sound vibration signal is shown in fig. 1 and mainly comprises a signal generator, an ultrasonic pulse transceiver, a power amplifier, an excitation probe, a tracking probe and an NI acquisition card; a signal generated by a signal generator CH1 channel is amplified by a power amplifier and then is used for exciting the excitation probe; the mode2 (receive mode) port of the ultrasound pulse transceiver is connected with the tracking probe, and the RF OUT port is connected with the NI acquisition card for acquisition of experimental data. In addition, a signal generated by a CH2 channel of the signal generator is connected with an NI acquisition card and used for realizing the positioning of the excitation time of the excitation probe. The operation flow chart of the elastic characteristic detection method based on the focused ultrasound vibro-acoustic signal is shown in fig. 2, and can be roughly divided into the following steps:
1. and establishing a model, measuring the focal length and the focal spot size of the excitation probe, and determining the relative positions of the excitation probe, the tracking probe and the medium.
The hydrophone is used for measuring the focal length and the focal spot size of the exciting probe, the planes of the exciting probe and the tracking probe are ensured to be parallel to the surface of the medium, and the exciting probe and the tracking probe are vertically placed. Because the amplitude of the secondary ultrasonic wave caused by the ARF is smaller than the amplitude of the sound pressure signal for exciting the exciting probe, if the tracking probe and the exciting probe are oppositely arranged, the transmission signal received by the tracking probe can submerge the generated secondary ultrasonic wave signal, so that the detection is failed, and therefore, the scheme that the exciting probe and the tracking probe are vertically arranged is selected.
2. The equipment is connected, and the sound velocity of the ultrasonic wave propagating in the water and the sound velocity of the ultrasonic wave propagating in the medium are measured.
The mode1 (self-transmitting and self-receiving mode) port of the ultrasonic pulse transceiver is firstly used to be connected with an excitation probe, and the sound velocity of ultrasonic waves propagating in water and the sound velocity of ultrasonic waves propagating in a medium are measured and calculated. The detection system of the method mainly comprises a signal generator, an ultrasonic pulse transceiver, a power amplifier, an excitation probe, a tracking probe and an oscilloscope. A signal generated by a signal generator CH1 channel is amplified by a power amplifier and then is used for exciting the excitation probe; the mode2 (receive mode) port of the ultrasound pulse transceiver is connected with the tracking probe, and the RF OUT port is connected with the NI acquisition card for acquisition of experimental data. In addition, a signal generated by a channel CH2 of the signal generator is connected with an oscilloscope and is used for realizing the positioning of the excitation moment of the excitation probe. The tracking probe can be replaced by a hydrophone and used for detecting ultrasonic signals.
3. And adjusting the position of the tracking probe to be positioned on the short axis extension line of the focal spot of the excitation probe.
And adjusting the position of the tracking probe to enable the tracking probe to be positioned on the short axis extension line of the focal spot of the excitation probe, and finishing the adjustment when the signal received by the tracking probe is the maximum.
4. And determining the amplitude and the time sequence of the excitation probe signal, and keeping the tracking probe from exciting.
A signal generator CH1 channel generates a sine wave signal with the center frequency of 1MHz, the duration of 5us and the PRF of 500Hz (2ms), and the peak value is 80V after the sine wave signal is amplified by a power amplifier; the CH2 channel produces a monocycle square wave signal centered at 1MHz with a PRF of 500Hz (2 ms).
5. The excitation probe is excited using the signals determined by the channel of the step 4 signal generator CH1 to generate ARF in the focal region and cause the medium to vibrate and excite secondary ultrasound in the focal region.
The ultrasonic wave causes the change of energy density due to the equivalent effects of absorption and reflection in the process of the propagation of biological tissues, thereby generating Acoustic Radiation Force (ARF), and the expression formula is
Figure BDA0001980471060000051
Where α is the attenuation coefficient of the tissue, c is the ultrasonic wave velocity, I is the sound intensity, which is proportional to the sound pressure p0Is squared, i.e.
Figure BDA0001980471060000061
Where ρ is the media density.
The ARF acts on the focal zone to vibrate the focal zone, thereby causing the surrounding medium to excite the sound field, as shown in FIG. 3, where the amplitude A can be expressed as
Figure BDA0001980471060000062
Wherein ZmIs the mechanical impedance of the medium, denoted as Zm=ρcT,cTIs the shear wave velocity of the medium, which is related to the elastic properties of the medium, and is expressed as
Figure BDA0001980471060000063
Upsilon is the poisson's ratio of the medium and is an elastic constant reflecting the transverse deformation of the medium.
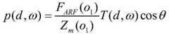
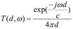
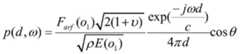
Since the method of the present invention is non-invasive,that is, the tracking probe is used to detect at the far-field end of the excitation sound field, and therefore, the transmission characteristics of the ultrasonic waves need to be considered. Suppose that in the focus area o1The sound radiation force generated by the point is FARF(o1) At o is located at2The sound pressure p (d, ω) detected by the tracking probe is expressed as
Figure BDA0001980471060000064
Where ω is the angular velocity of the vibration, related to the center frequency of the excitation probe, and d is the vibration point o1And a detection point o2A distance between, theta is o1、o2T (d) is the transmission characteristic of the ultrasonic wave and is expressed as
Figure BDA0001980471060000065
Therefore, the relationship between the secondary ultrasonic signal detected by the tracking probe and the Young's modulus of the medium is
Figure BDA0001980471060000066
It follows that the secondary ultrasonic signal is inversely proportional to the square root of the Young's modulus of the medium, i.e. the harder the medium, the smaller the amplitude of the generated ultrasonic signal.
6. The tracking probe detects the secondary ultrasound caused by step 5.
And (4) the tracking probe is not excited, only the secondary ultrasonic signal caused by the step (5) is received, the received ultrasonic signal is amplified by the ultrasonic pulse transceiver and transmitted to the NI acquisition card, and the amplification gain is 45 dB.
7. The ultrasonic signals detected in step 6 are processed to evaluate the elastic properties of the medium.
And 6, processing the data acquired by the oscilloscope in the step 6, and extracting the amplitude of the ultrasonic signal to directly serve as an index for evaluating the elastic characteristic of the medium. However, the extracted characteristic value is not limited to the amplitude of the signal, and information such as the phase and energy thereof may be detected.
The invention carries out experimental verification on two imitations with the same concentration (5%) and different components (agar and gelatin), and the sound velocity and the density of the measured water are v respectivelyWater (W)=1475.1m/s、ρWater (W)=1000kg/m3Sound velocity and density of agar vAgar-agar=1508.3m/s、ρAgar-agar=966kg/m3Acoustic velocity and density of gelatin vGelatin=1496.2m/s、ρGelatin=968kg/m3It can be calculated that the acoustic impedances of agar and gelatin are approximately equal to that of water, and the relationship between the Young's modulus E and the concentration C of agar and gelatin is respectively EAgar-agar=0.349C1.87、EGelatin=0.0034C2.09As can be seen from the formula, the hardness of the two materials is greatly different. The detected ultrasonic signal is shown in fig. 4.
The elastic characteristic detection method based on the focused ultrasonic sound vibration signal is mainly applied to the elastic characteristic detection of biological tissues, but can also be applied to the detection of other detected media with elastic characteristics.
In the embodiment, a high-energy sound pressure signal is used for exciting an exciting probe to generate a larger ARF in a focusing area, so that the medium in the focusing area is vibrated, a secondary ultrasonic wave is further emitted, and the amplitude, the phase, the energy and other information of the ultrasonic wave are detected by using a tracking probe (or a hydrophone), so that the elastic characteristic of the focusing area is evaluated. The method has the advantages of reducing the requirement on a measuring system, simplifying the detection steps, quickly detecting the elastic characteristic of the medium in real time and improving the resolution of the detection of the elastic characteristic of the biological tissue.

Claims (1)

1. A detection system used in the method comprises a signal generator, an ultrasonic pulse transceiver, a power amplifier, an excitation probe, a tracking probe, a data acquisition card and a computer, wherein the excitation probe is excited to generate ARF in a focusing area to cause the medium in the focusing area to vibrate, so that secondary ultrasonic waves are emitted, the amplitude information of the secondary ultrasonic waves is detected, and the elastic characteristic of the medium is evaluated; the method comprises the following steps:
(1) measuring the focal length and the focal spot size of the excitation probe, determining the relative positions of the excitation probe, the tracking probe and the medium, and ensuring that the planes of the excitation probe and the tracking probe are parallel to the surface of the medium; selecting a scheme that an excitation probe and a tracking probe are vertically arranged;
(2) the equipment is connected, and the sound velocity of the ultrasonic wave propagating in the water and the sound velocity of the ultrasonic wave propagating in the medium are measured; the signal generated by the signal generator is amplified by the power amplifier and then used for exciting the exciting probe;
(3) adjusting the position of the tracking probe to enable the tracking probe to be positioned on the short axis extension line of the focal spot of the excitation probe;
(4) exciting the excitation probe by using a single frequency signal, generating ARF in a focusing area to cause medium vibration, and exciting a secondary ultrasonic wave in the focusing area, wherein the ultrasonic wave signal can reflect elastic information of the medium;
(5) the tracking probe receives a secondary ultrasonic signal, the signal is amplified by the ultrasonic pulse transceiver, and the acquired ultrasonic signal is sent to the computer;
(6) extracting the amplitude p (d, omega) of the secondary ultrasonic signal as an index for evaluating the elastic property of the medium;
(7) young's modulus E (o) of the focus area medium was calculated according to the following formula1):
Figure FDA0001980471050000011
Wherein upsilon is the Poisson's ratio of the medium, ρ is the density of the medium, ω is the angular velocity of vibration, which is related to the center frequency of the excitation probe, and d is the vibration point o1And a detection point o2C is the ultrasonic wave velocity, theta is o1、o2Angle between the line of (A) and the major axis of the focal zone, Farf(o1) In order to focus the acoustic radiation force of the ultrasonic waves generated in the focal region due to the energy change,
Figure FDA0001980471050000012
where α is the attenuation coefficient of the ultrasonic wave propagating in the medium, and I is the sound intensity, which is proportional to the square of the sound pressure.
CN201910147443.6A2019-02-272019-02-27 A method for detecting elastic properties based on focused ultrasonic vibro-acoustic signalsActiveCN109745077B (en)

Priority Applications (1)

Application NumberPriority DateFiling DateTitle
CN201910147443.6ACN109745077B (en)2019-02-272019-02-27 A method for detecting elastic properties based on focused ultrasonic vibro-acoustic signals

Applications Claiming Priority (1)

Application NumberPriority DateFiling DateTitle
CN201910147443.6ACN109745077B (en)2019-02-272019-02-27 A method for detecting elastic properties based on focused ultrasonic vibro-acoustic signals

Publications (2)

Publication NumberPublication Date
CN109745077A CN109745077A (en)2019-05-14
CN109745077Btrue CN109745077B (en)2021-04-27

Family

ID=66407791

Family Applications (1)

Application NumberTitlePriority DateFiling Date
CN201910147443.6AActiveCN109745077B (en)2019-02-272019-02-27 A method for detecting elastic properties based on focused ultrasonic vibro-acoustic signals

Country Status (1)

CountryLink
CN (1)CN109745077B (en)

Families Citing this family (6)

* Cited by examiner, † Cited by third party
Publication numberPriority datePublication dateAssigneeTitle
CN110243950B (en)*2019-05-152021-10-08天津大学 Pulse excitation method of acoustic radiation force based on amplitude modulation
CN110927729B (en)*2019-11-092022-04-01天津大学Acoustic radiation force pulse elastography method based on displacement attenuation characteristics
CN113116381A (en)*2019-12-302021-07-16重庆融海超声医学工程研究中心有限公司Method for detecting change in property of biological tissue, method for controlling denaturation, and corresponding device
CN112168212B (en)*2020-09-252021-12-28西安交通大学 A transcranial shear wave brain tissue viscoelastic imaging device
CN113030816B (en)*2021-04-152022-03-11上海交通大学 Method, system and medium for improving the resolution of magnetic resonance elastography modulus calculation
CN114224382B (en)*2021-12-172023-09-15重庆医科大学Viscoelasticity measuring method and system thereof

Citations (3)

* Cited by examiner, † Cited by third party
Publication numberPriority datePublication dateAssigneeTitle
KR101306491B1 (en)*2012-06-192013-09-09대진대학교 산학협력단A method for measuring shear modulus of tissue
US8622909B1 (en)*2010-10-192014-01-07Quantason, LLCMethod of locating the position of a microcalcification in a human breast
CN105232085A (en)*2015-11-182016-01-13中国人民解放军第三军医大学第三附属医院Ultrasonic shearing wave elastic imaging method based on dynamic aperture control

Family Cites Families (2)

* Cited by examiner, † Cited by third party
Publication numberPriority datePublication dateAssigneeTitle
US7785259B2 (en)*2003-10-032010-08-31Mayo Foundation For Medical Education And ResearchDetection of motion in vibro-acoustography
US10863968B2 (en)*2014-09-302020-12-15Wisconsin Alumni Research FoundationUltrasonic imaging system with angularly compounded acoustic radiation force excitation

Patent Citations (3)

* Cited by examiner, † Cited by third party
Publication numberPriority datePublication dateAssigneeTitle
US8622909B1 (en)*2010-10-192014-01-07Quantason, LLCMethod of locating the position of a microcalcification in a human breast
KR101306491B1 (en)*2012-06-192013-09-09대진대학교 산학협력단A method for measuring shear modulus of tissue
CN105232085A (en)*2015-11-182016-01-13中国人民解放军第三军医大学第三附属医院Ultrasonic shearing wave elastic imaging method based on dynamic aperture control

Non-Patent Citations (2)

* Cited by examiner, † Cited by third party
Title
On the Feasibility of Multi-Characteristic ParameterOn the Feasibility of Multi-Characteristic Parameter Imaging of Tissues;Zhang Shengnan 等;《2018 IEEE International Instrumentation and Measurement Technology Conference (I2MTC)》;20180612;全文*
Vibro-acoustography: An imaging modality based on ultrasound-stimulated acoustic emission;MOSTAFA FATEMI 等;《Proc. Natl. Acad. Sci. USA》;19990630;第96卷;全文*

Also Published As

Publication numberPublication date
CN109745077A (en)2019-05-14

Similar Documents

PublicationPublication DateTitle
CN109745077B (en) A method for detecting elastic properties based on focused ultrasonic vibro-acoustic signals
CN109730722B (en)Elastic imaging method based on focused ultrasonic acoustic vibration signal
CN109077754B (en) A method and equipment for measuring tissue mechanical property parameters
US5810731A (en)Method and apparatus for elasticity imaging using remotely induced shear wave
US5921928A (en)Acoustic force generation by amplitude modulating a sonic beam
CN100438833C (en) Device and method for measuring elasticity of human or animal organs
JP6761866B2 (en) Elasticity detection method and equipment
US20050004466A1 (en)Harmonic motion imaging
JP2018531138A6 (en) Elasticity detection method and apparatus
IL277011A (en) Hybrid elastographic method, probe and device for hybrid elastography
CN109717904B (en)Elastography system
Barannik et al.Doppler ultrasound detection of shear waves remotely induced in tissue phantoms and tissue in vitro
CN110243950B (en) Pulse excitation method of acoustic radiation force based on amplitude modulation
CN110151270A (en) Vibration puncture device, frequency adjustment method and ultrasonic imaging system
CN103330576B (en)Micro-elasticity imaging method based on tissue microbubble dynamics model
JP2015109987A (en)Method for generating mechanical waves by generation of interfacial acoustic radiation force
CN109875608B (en) Elastography method
Barannik et al.The influence of viscosity on the shear strain remotely induced by focused ultrasound in viscoelastic media
CN110927729B (en)Acoustic radiation force pulse elastography method based on displacement attenuation characteristics
Ma et al.Small aperture, dual frequency ultrasound transducers for intravascular contrast imaging
WO2024109835A1 (en)Microbubble backscattering coefficient measurement method and apparatus, device and storage medium
CN116026919A (en)Method, device, equipment and storage medium for measuring acoustic characteristics of contrast agent microbubbles
CN210447159U (en) Vibration puncture device and ultrasonic imaging system
Amador et al.Effects of phase aberration on acoustic radiation force-based shear wave generation
CN209899435U (en)Probe for elastography

Legal Events

DateCodeTitleDescription
PB01Publication
PB01Publication
SE01Entry into force of request for substantive examination
SE01Entry into force of request for substantive examination
GR01Patent grant
GR01Patent grant

[8]ページ先頭

©2009-2025 Movatter.jp