Movatterモバイル変換


[0]ホーム

URL:


CN109694380B - Dihydropyrazolone compound and preparation method and medical application thereof - Google Patents

Dihydropyrazolone compound and preparation method and medical application thereof
Download PDF

Info

Publication number
CN109694380B
CN109694380BCN201811237690.7ACN201811237690ACN109694380BCN 109694380 BCN109694380 BCN 109694380BCN 201811237690 ACN201811237690 ACN 201811237690ACN 109694380 BCN109694380 BCN 109694380B
Authority
CN
China
Prior art keywords
compound
triazol
pyrazol
dihydro
pyrimidin
Prior art date
Legal status (The legal status is an assumption and is not a legal conclusion. Google has not performed a legal analysis and makes no representation as to the accuracy of the status listed.)
Active
Application number
CN201811237690.7A
Other languages
Chinese (zh)
Other versions
CN109694380A (en
Inventor
殷惠军
闫旭
宗利斌
窦浩帅
王卓
米帧
田卫学
Current Assignee (The listed assignees may be inaccurate. Google has not performed a legal analysis and makes no representation or warranty as to the accuracy of the list.)
National Institutes of Pharmaceutical R&D Co Ltd
Original Assignee
National Institutes of Pharmaceutical R&D Co Ltd
Priority date (The priority date is an assumption and is not a legal conclusion. Google has not performed a legal analysis and makes no representation as to the accuracy of the date listed.)
Filing date
Publication date
Application filed by National Institutes of Pharmaceutical R&D Co LtdfiledCriticalNational Institutes of Pharmaceutical R&D Co Ltd
Publication of CN109694380ApublicationCriticalpatent/CN109694380A/en
Application grantedgrantedCritical
Publication of CN109694380BpublicationCriticalpatent/CN109694380B/en
Activelegal-statusCriticalCurrent
Anticipated expirationlegal-statusCritical

Links

Images

Classifications

Landscapes

Abstract

The invention relates to a dihydropyrazolone compound, a preparation method and medical application thereof. In particular, the invention relates to a compound shown in a general formula (I), a preparation method thereof, a pharmaceutical composition containing the compound, and application of the compound as a Proline Hydroxylase (PHD) inhibitor, wherein the compound and the pharmaceutical composition containing the compound can be used for treating and/or preventing diseases related to the activity of PHD, such as cardiovascular diseases, chronic kidney diseases, anemia, wounds, cancers, autoimmune diseases and the like. Wherein the definition of each substituent in the general formula (I) is the same as that in the specification.

Description

Dihydropyrazolone compound and preparation method and medical application thereof
Technical Field
The invention belongs to the technical field of medicines, and particularly relates to a dihydropyrazolone compound, a preparation method thereof, a pharmaceutical composition containing the dihydropyrazolone compound, and an application of the dihydropyrazolone compound in regulating the activity of Proline Hydroxylase (PHD) and further treating and/or preventing diseases related to the PHD activity.
Background
In hypoxic environments, the body is able to spontaneously develop hypoxic reactions to maintain the body's oxygen-acquisition capacity. In 1992, Semenza et al discovered that a protein, known as Hypoxia Inducible Factor (HIF), was able to specifically bind to Hypoxia Responsive Elements (HREs) of the erythropoietin gene and affect expression of certain genes (Semenza GL et al, mol. cell biol.,1992,12, 5447-. HIF has a wide range of target genes that can affect the body's hematopoietic function, angiogenesis, iron ion transport, glucose utilization, resistance to oxidative stress, cell differentiation, cell survival and apoptosis, extracellular matrix homeostasis, and tumorigenesis. HIF is a heterodimer composed of alpha and beta subunits, the alpha subunit belongs to a functional subunit, is very sensitive to changes of intracellular oxygen concentration, is highly regulated, and has the function of regulating HIF activity; the beta subunit is a structural subunit, also known as an aryl hydrocarbon receptor nuclear transport protein (ARNT), which is stably expressed in cells, and whose mRNA transcription and protein expression levels are not affected by changes in oxygen concentration. The alpha and beta subunits of HIF belong to members of the basic helix-loop-helix transcription factor superfamily. Human HIF α has three subtypes HIF-1 α, HIF-2 α, and HIF-3 α. HIF-1 alpha is generally distributed in vivo and plays an important role in the angiogenesis process induced by ischemia or hypoxia of local tissues, but has little influence on the iron metabolic process; HIF-2 alpha presents localized distribution, have important effects in EPO (erythropoietin) gene expression of renal tissue and synthetic process, in addition, also through regulating the cytochrome of duodenum and expression of divalent metal transporter-1 and improving iron in the absorption of the enteric canal, and have effects of reducing the expression of the liver bactericidal peptide, play a leading role in the metabolic process of iron; HIF-3. alpha. has a structure different from other subtypes, and does not affect gene expression without a DNA binding domain. Studies have shown that HIF-3 α may have a negative regulatory role in HIF-mediated gene expression. Thus, HIF-1. alpha. and HIF-2. alpha. play a role in the hypoxia response. In a mouse experiment in which HIF-1 alpha and HIF-2 alpha genes are deleted, the necessity of HIF-1 alpha and HIF-2 alpha in the hypoxia response process is confirmed. In the development of compounds for treating chronic renal anemia, HIF-2 α changes are more important than HIF-1 α.
2001 found that HIF-PHD can convert O2 And 2-OG as a substrate, specifically hydroxylates HIF alpha proline residues, thereby regulating HIF bioactivity. Catalytic cycling of HIF-PHD in Fe2+ And 2-OG to the PHD active site. PHD then binds to HIF alpha proline residues using O2 The hydroxylation is completed by replacing the water molecule. Ascorbic acid is an essential catalyst in the overall process, Fe2+ 、O2 2-OG are indispensable factors.
HIF-PHD possesses three distinct subtypes, PHD1, PHD2, and PHD3, exhibits distinct tissue distribution, and selectively hydroxylates HIF α subtypes. PH valueD1 is stably expressed, can not be induced by hypoxia, and has certain effect in maintaining oxygen balance in vivo; PHD2 plays an important role in the response to oxygen-dependent regulation of HIF α activity; under the normoxic environment, PHD2 and PHD3 respectively selectively act on HIF-1 alpha and HIF-2 alpha, respectively hydroxylate proline residues at 402 th and 564 th positions of the HIF-1 alpha and 405 th and 531 th positions of the HIF-2 alpha, and the hydroxylated HIF-1 alpha and HIF-2 alpha can be combined with a VHL E3 ubiquitin ligase complex to be ubiquitinated and then enter a protease body to be degraded. When the cell is in a hypoxia environment, the activity factors of PHD2 and PHD3 are O2 Scarcely inhibited, undegraded HIF-1 alpha and HIF-2 alpha enter nucleus to be combined with HIF-beta, and act on Hypoxia Response Element (HRE) under the coordination of p300/CBP, thereby promoting the expression of related genes (such as EPO), increasing protein level, promoting erythropoiesis, and correcting anemia symptoms.
In the study of the gene defects related to the human HIF-PHD system, pVHL (Von Hippel-Lindau tumor suppressor gene product, which is involved in mediating the degradation of ubiquitinated HIF) mutation, PHD deletion and body change under the condition of HIF deletion are involved. The pVHL mutation can induce human bodies to generate pVHL related diseases to cause vascular tumors; when the mutation occurs from the C end 598 to the T end of the pVHL, congenital polycythemia can be caused. In a renal cancer patient caused by pVHL deletion, HIF-1 alpha is also mutated, which indicates that the occurrence and development of renal cancer may be related to the mutation of HIF-1 alpha. Secondary erythrocytosis is easy to occur in the population with HIF-2 alpha missense mutation and PHD2 mutation, thereby increasing the incidence of thrombosis.
In view of the starting action of HIF-PHD on the degradation process of HIF, the HIF-PHD inhibitor can increase the HIF level, thereby promoting the expression of target genes such as EPO, VEGF, iNOS, GLUT-1 and the like, and achieving the effect of treating diseases related to the PHD activity. Thus, therapeutic uses of PHD inhibitors include, but are not limited to: treating and/or preventing cardiovascular diseases, in particular cardiac insufficiency, coronary heart disease, angina pectoris, myocardial infarction, stroke, arteriosclerosis, primary, pulmonary and malignant hypertension and peripheral arterial occlusive disease; treatment and/or prevention of hematopoietic disorders, such as primary anemia, renal anemia and anemia associated with neoplastic disease (especially chemotherapy-induced anemia), infection (especially HIV infection), or other inflammatory diseases, such as rheumatoid arthritis; for the supportive treatment of anemia due to blood loss, iron deficiency anemia, vitamin deficiency anemia (e.g. due to vitamin B12 deficiency or due to folate deficiency), aplastic anemia and aplastic anemia or hemolytic anemia, or for the supportive treatment of anemia due to iron utilization disorders (iron-utilizing anemia) or due to other endocrine disorders (e.g. hypothyroidism); treatment and/or prevention of surgically-related ischemic conditions and their continuous symptoms following surgery, in particular cardiac interventions using a heart-lung machine (e.g. bypass surgery, heart valve transplantation), carotid interventions, aortic interventions and interventions using an instrument opening or penetration of the calvaria; general treatment and/or prevention with the aim of accelerating wound healing and shortening recovery time in surgery; treatment and/or prevention of cancer and for the treatment and/or prevention of damage to the health status that occurs during cancer therapy, particularly after the use of cytostatics, antibiotics and radiation therapy; the treatment and/or prevention of a range of diseases in the rheumatic form and other disease forms which are considered autoimmune diseases, in particular for the treatment and/or prevention of impairment of the health status which occurs during pharmacotherapy of such diseases; treatment and prevention of the continuous symptoms of acute and prolonged cerebral ischemic conditions (e.g. stroke, childbirth asphyxia).
In view of the potential therapeutic use against a variety of diseases, the development of PHD inhibitor drugs has progressed in recent years. In particular, Roxadustat from Fibrogen, Vadadustat from Akebia, Molidustat from Bayer (Bay-85-3934), and Daprodustat from GSK have been studied in clinical studies, and have been shown to have a better therapeutic effect in the treatment of chronic kidney disease, renal anemia, trauma, etc. However, these compounds generally have disadvantages such as low activity. Thus, there is a continuing need for new or improved agents with higher HIF-PHD inhibitory activity for the development of new, more effective agents for the treatment of cardiovascular disease, chronic kidney disease, anemia, trauma, cancer, and autoimmune diseases.
Disclosure of Invention
The inventor designs and synthesizes a series of compounds containing a dihydropyrazolone skeleton through intensive research, screens the PHD activity of the compounds, and shows that the compounds have outstanding anti-PHD activity and can be developed into medicaments for treating diseases related to the PHD activity.
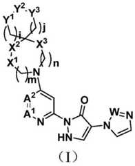
Therefore, the object of the present invention is to provide a compound represented by the general formula (I) or a racemic, enantiomeric, diastereomeric, or mixture thereof, a prodrug thereof, or a pharmaceutically acceptable salt thereof,
Figure BDA0001838585190000031
wherein:
w is N or CH;
A1 and A2 Each independently selected from CH and N;
X1 、X2 and X3 Each independently selected from the group consisting of single bonds, -CR1 R2 -、-O-、-S-、-NR3 -、-SO-、-SO2 -or-CO-;
Y1 、Y2 and Y3 Each independently selected from the group consisting of single bonds, -CR4 R5 -、-O-、-NR6 -、-S-、-SO-、-SO2 -or-CO-;
R1 and R2 Each independently selected from hydrogen, halogen, amino, nitro, cyano, hydroxyl, mercapto, carboxyl, ester group, alkyl, alkoxy, alkenyl, alkynyl, cycloalkyl, heterocyclyl, aryl, heteroaryl, wherein the alkyl, alkoxy, alkenyl, alkynyl, cycloalkyl, heterocyclyl, aryl, heteroaryl are optionally further substituted with one or more groups selected from halogen, amino, nitro, cyano, hydroxyl, mercapto, carboxyl, ester group, alkyl, alkoxy, alkenyl, alkynyl, cycloalkyl, heterocyclyl, aryl, heteroaryl;
R3 selected from hydrogen, alkyl, cycloalkyl; wherein said alkyl, cycloalkyl is optionally further selected from halogenOne or more substituents of amino, nitro, cyano, oxo, hydroxyl, mercapto, carboxyl, ester, alkyl, alkoxy, alkenyl, alkynyl, cycloalkyl, heterocyclyl, aryl, heteroaryl;
R4 and R5 Each independently selected from hydrogen, halogen, amino, nitro, cyano, hydroxyl, mercapto, carboxyl, ester group, alkyl, alkoxy, alkenyl, alkynyl, cycloalkyl, heterocyclyl, aryl, heteroaryl, wherein the alkyl, alkoxy, alkenyl, alkynyl, cycloalkyl, heterocyclyl, aryl, heteroaryl are optionally further substituted with one or more groups selected from halogen, amino, nitro, cyano, hydroxyl, mercapto, carboxyl, ester group, alkyl, alkoxy, alkenyl, alkynyl, cycloalkyl, heterocyclyl, aryl, heteroaryl;
R6 selected from hydrogen, alkyl, cycloalkyl; wherein said alkyl, cycloalkyl is optionally further substituted with one or more groups selected from halogen, amino, nitro, cyano, oxo, hydroxy, mercapto, carboxyl, ester, alkyl, alkoxy, alkenyl, alkynyl, cycloalkyl, heterocyclyl, aryl, heteroaryl;
m is an integer of 0 to 3;
n is an integer of 0 to 3;
i is an integer of 0 to 3;
j is an integer of 0 to 3.
In a preferred embodiment of the present invention, the compound of formula (I) according to the present invention, which is a compound of formula (II) or its racemate, enantiomer, diastereomer, or mixture thereof, prodrug thereof, or pharmaceutically acceptable salt thereof,
Figure BDA0001838585190000041
wherein, X1 、X2 、X3 、Y1 、Y2 、Y3 M, n, I, j are as defined for formula (I).
In another preferred embodiment of the present invention, the compounds of formula (I) according to the present invention or their racemates, enantiomers, diastereomers, or their mixtures, prodrugs or pharmaceutically acceptable salts thereof,
wherein,
X1 、X2 and X3 Each independently selected from a single bond or-CR1 R2 -;
n is an integer of 0 to 2;
m is an integer of 0 to 2;
R1 、R2 as defined by general formula (I).
In another preferred embodiment of the present invention, the compounds of formula (I) according to the present invention or their racemates, enantiomers, diastereomers, or their mixtures, prodrugs or pharmaceutically acceptable salts thereof,
wherein,
X1 is a single bond or-CR1 R2 -;
X2 is-CR1 R2 -;
X3 Is a single bond or-CR1 R2 -;
n is 1;
m is 0;
R1 、R2 as defined by general formula (I).
In another preferred embodiment of the present invention, the compounds of formula (I) according to the present invention or their racemates, enantiomers, diastereomers, or their mixtures, prodrugs or pharmaceutically acceptable salts thereof,
wherein,
R1 and R2 Each independently selected from hydrogen, halogen, amino, nitro, cyano, hydroxyl, mercapto, carboxyl, ester, alkyl, alkoxy, alkenyl, alkynyl, cycloalkyl, heterocyclyl, aryl, heteroaryl, preferably hydrogen or halogen.
In another preferred embodiment of the present invention, the compounds of formula (I) according to the present invention or their racemates, enantiomers, diastereomers, or the mixtures thereof, prodrugs thereof or pharmaceutically acceptable salts thereof,
wherein,
Y1 、Y2 and Y3 Each independently selected from a single bond or-CR4 R5 -;
R4 And R5 Each independently selected from hydrogen, halogen, amino, nitro, cyano, hydroxyl, mercapto, carboxyl, ester, alkyl, alkoxy, alkenyl, alkynyl, cycloalkyl, heterocyclyl, aryl, heteroaryl, preferably hydrogen or halogen;
i is 0 or 1;
j is 0 or 1.
In another preferred embodiment of the present invention, the compounds of formula (I) according to the present invention or their racemates, enantiomers, diastereomers, or their mixtures, prodrugs or pharmaceutically acceptable salts thereof,
wherein,
Y1 、Y2 and Y3 Each independently selected from the group consisting of a single bond, -CR4 R5 -、-O-、-NR6 -、-S-、-SO-、-SO2 -or-CO-;
R4 and R5 Each independently selected from hydrogen, halogen, amino, nitro, cyano, hydroxyl, mercapto, carboxyl, ester, alkyl, alkoxy, alkenyl, alkynyl, cycloalkyl, heterocyclyl, aryl, heteroaryl, preferably hydrogen or halogen;
R6 selected from hydrogen, alkyl, cycloalkyl, alkanoyl, aminoacyl, alkylaminoacyl, alkylsulfonyl, alkylaminosulfonyl, preferably hydrogen or alkyl;
i is 0 or 1;
j is 0 or 1.
Typical compounds of the invention include, but are not limited to:
Figure BDA0001838585190000061
Figure BDA0001838585190000071
Figure BDA0001838585190000081
Figure BDA0001838585190000091
Figure BDA0001838585190000101
or a racemate, enantiomer, diastereomer or mixture thereof, a prodrug thereof or a pharmaceutically acceptable salt thereof.
In another aspect, the present invention provides a method for preparing a compound represented by the general formula (I) or its racemate, enantiomer, diastereomer, or mixture thereof, prodrug thereof, or pharmaceutically acceptable salt thereof, according to the present invention, comprising the steps of:
Figure BDA0001838585190000102
reacting compound If with compound Ig under high temperature and alkaline condition to obtain the compound of general formula (I), wherein the alkaline reagent is potassium carbonate, and the temperature is preferably 100 ℃;
wherein X1 、X2 、X3 、Y1 、Y2 、Y3 、A1 、A2 W, m, n, I, j are as defined in formula (I).
Another aspect of the present invention relates to a pharmaceutical composition comprising an effective amount of a compound of formula (I) or its racemate, enantiomer, diastereomer, or mixture thereof, prodrug thereof, or pharmaceutically acceptable salt thereof, and a pharmaceutically acceptable carrier, diluent, or excipient. The invention also relates to a method for preparing the composition, which comprises the step of mixing the compound shown in the general formula (I) or the raceme, the enantiomer, the diastereoisomer, the mixture form, the prodrug or the pharmaceutically acceptable salt thereof with a pharmaceutically acceptable carrier, diluent or excipient.
The invention further relates to a compound shown in the general formula (I) or a racemate, an enantiomer, a diastereoisomer, a mixture form, a prodrug or a pharmaceutically acceptable salt thereof or a pharmaceutical composition containing the compound and application thereof in preparing a PHD inhibitor.
The invention further relates to the application of the compound shown in the general formula (I) or its raceme, enantiomer, diastereoisomer, or mixture form, prodrug or pharmaceutically acceptable salt or pharmaceutical composition containing the same in preparing medicines for preventing and/or treating diseases related to PHD activity. The diseases associated with PHD activity may be selected from cardiovascular diseases, in particular cardiac insufficiency, coronary heart disease, angina pectoris, myocardial infarction, stroke, arteriosclerosis, primary, pulmonary and malignant hypertension and peripheral arterial occlusive diseases; chronic kidney disease; hematopoietic disorders, such as primary anemia, renal anemia, and anemia associated with neoplastic disease (particularly chemotherapy-induced anemia); infection (particularly HIV infection) or other inflammatory diseases, such as rheumatoid arthritis; anemia due to blood loss, iron deficiency anemia, vitamin deficiency anemia (e.g. due to vitamin B12 deficiency or due to folate deficiency), aplastic anemia and aplastic anemia or hemolytic anemia, anemia due to iron utilization disorders (iron-loss anemia) or due to other endocrine disorders (e.g. hypothyroidism); post-surgical procedures associated with ischemic conditions and their subsequent symptoms, particularly cardiac interventions using heart-lung machines (e.g. bypass surgery, heart valve transplantation), carotid interventions, aortic interventions and interventions using instrument openings or penetrating calvarial; surgical wound healing; cancer and the damage of the health state that occurs during the treatment of cancer, in particular after treatment with cytostatics, antibiotics and radiation, diseases ranging from the rheumatic forms and other diseases considered as autoimmune diseases, in particular the damage of the health state that occurs during the pharmacological treatment of such diseases; continuous symptoms of acute and prolonged cerebral ischemic states (e.g., stroke, childbirth asphyxia).
The invention also relates to a compound shown in the general formula (I) or a racemate, an enantiomer, a diastereoisomer, a mixture form, a prodrug or a pharmaceutically acceptable salt thereof or a pharmaceutical composition containing the compound, and application of the compound serving as a PHD inhibitor.
The invention further relates to a compound shown in the general formula (I) or a racemate, an enantiomer, a diastereoisomer, a mixture form, a prodrug or a pharmaceutically acceptable salt thereof or a pharmaceutical composition containing the compound, and application of the compound or the racemate, the enantiomer, the diastereoisomer, the mixture form, the prodrug or the pharmaceutically acceptable salt thereof in preparation of medicines for preventing and/or treating diseases related to PHD activity. The diseases associated with PHD activity may be selected from cardiovascular diseases, in particular cardiac insufficiency, coronary heart disease, angina pectoris, myocardial infarction, stroke, arteriosclerosis, primary, pulmonary and malignant hypertension and peripheral arterial occlusive diseases; chronic kidney disease; hematopoietic disorders, such as primary anemia, renal anemia, and anemia associated with neoplastic disease (particularly chemotherapy-induced anemia); infections (particularly HIV infections) or other inflammatory diseases such as rheumatoid arthritis; anemia due to blood loss, iron deficiency anemia, vitamin deficiency anemia (e.g. due to vitamin B12 deficiency or due to folate deficiency), aplastic anemia and aplastic anemia or hemolytic anemia, anemia due to iron utilization disorders (iron-deprivation anemia) or due to other endocrine disorders (e.g. hypothyroidism); post-surgical procedures associated with ischemic conditions and their subsequent symptoms, particularly cardiac interventions using heart-lung machines (e.g. bypass surgery, heart valve transplantation), carotid interventions, aortic interventions and interventions using instrument openings or penetrating calvarial; surgical wound healing; cancer and the damage to the health status that occurs during cancer therapy, particularly after treatment with cytostatics, antibiotics and radiation, a range of diseases in the rheumatic form and other disease forms considered as autoimmune diseases, particularly the damage to the health status that occurs during drug treatment of such diseases; continuous symptoms of acute and prolonged cerebral ischemic conditions (e.g. stroke, childbirth asphyxia).
The present invention further relates to a method for inhibiting PHD, which comprises administering an effective dose of a compound represented by the general formula (I) or its racemate, enantiomer, diastereomer, or mixture form thereof, prodrug thereof or pharmaceutically acceptable salt thereof, or pharmaceutical composition comprising the same, to a patient in need thereof.
The present invention further relates to a method for preventing and/or treating a disease associated with PHD activity, which comprises administering an effective dose of a compound represented by the general formula (I) or its racemate, enantiomer, diastereomer, or mixture thereof, a prodrug thereof or a pharmaceutically acceptable salt thereof, or a pharmaceutical composition comprising the same, to a patient in need thereof. The diseases associated with PHD activity may be selected from cardiovascular diseases, in particular cardiac insufficiency, coronary heart disease, angina pectoris, myocardial infarction, stroke, arteriosclerosis, primary, pulmonary and malignant hypertension and peripheral arterial occlusive diseases; chronic kidney disease; hematopoietic disorders, such as primary anemia, renal anemia, and anemia associated with neoplastic disease (particularly chemotherapy-induced anemia); infection (particularly HIV infection) or other inflammatory diseases, such as rheumatoid arthritis; anemia due to blood loss, iron deficiency anemia, vitamin deficiency anemia (e.g. due to vitamin B12 deficiency or due to folate deficiency), aplastic anemia and aplastic anemia or hemolytic anemia, anemia due to iron utilization disorders (iron-loss anemia) or due to other endocrine disorders (e.g. hypothyroidism); post-surgical procedures associated with ischemic conditions and their subsequent symptoms, particularly cardiac interventions using heart-lung machines (e.g. bypass surgery, heart valve transplantation), carotid interventions, aortic interventions and interventions using instrument openings or penetrating calvarial; surgical wound healing; cancer and the damage of the health state that occurs during the treatment of cancer, in particular after treatment with cytostatics, antibiotics and radiation, diseases ranging from the rheumatic forms and other diseases considered as autoimmune diseases, in particular the damage of the health state that occurs during the pharmacological treatment of such diseases; continuous symptoms of acute and prolonged cerebral ischemic conditions (e.g. stroke, childbirth asphyxia).
The compounds of formula (I) of the present invention may form pharmaceutically acceptable acid addition salts with acids according to conventional methods in the art to which the present invention pertains. The acid includes inorganic acids and organic acids, and particularly preferably hydrochloric acid, hydrobromic acid, sulfuric acid, phosphoric acid, methanesulfonic acid, ethanesulfonic acid, p-toluenesulfonic acid, benzenesulfonic acid, naphthalenedisulfonic acid, acetic acid, propionic acid, lactic acid, trifluoroacetic acid, maleic acid, citric acid, fumaric acid, oxalic acid, tartaric acid, benzoic acid, and the like.
The compound shown in the general formula (I) can be used for generating pharmaceutically acceptable basic addition salts with alkali. The base includes inorganic base and organic base, acceptable organic base includes diethanolamine, ethanolamine, N-methylglucamine, triethanolamine, tromethamine, etc., acceptable inorganic base includes aluminum hydroxide, calcium hydroxide, potassium hydroxide, sodium carbonate, sodium hydroxide, etc.
In addition, the invention also comprises a prodrug of the compound shown in the general formula (I). Prodrugs of the invention are derivatives of compounds of formula (I) which may themselves be less active or even inactive, but which, upon administration, are converted under physiological conditions (e.g., by metabolism, solvolysis, or otherwise) to the corresponding biologically active form.
The pharmaceutical compositions containing the active ingredient may be in a form suitable for oral use, for example, as tablets, troches, lozenges, aqueous or oily suspensions, dispersible powders or granules, emulsions, hard or soft capsules, or syrups or elixirs. Oral compositions may be prepared according to any method known in the art for preparing pharmaceutical compositions, and such compositions may contain one or more ingredients selected from the group consisting of: sweetening agents, flavoring agents, coloring agents and preserving agents in order to provide a pleasant to the eye and palatable pharmaceutical preparation. Tablets contain the active ingredient in admixture with non-toxic pharmaceutically acceptable excipients which are suitable for the manufacture of tablets. These excipients may be inert excipients, such as calcium carbonate, sodium carbonate, lactose, calcium phosphate or sodium phosphate; granulating and disintegrating agents, such as microcrystalline cellulose, croscarmellose sodium, corn starch or alginic acid; binding agents, for example starch, gelatin, polyvinylpyrrolidone or acacia; and lubricating agents, such as magnesium stearate, stearic acid or talc. These tablets may be uncoated or they may be coated by known techniques which mask the taste of the drug or delay disintegration and absorption in the gastrointestinal tract and thereby provide a sustained action over a longer period. For example, water soluble taste masking substances such as hydroxypropylmethyl cellulose or hydroxypropyl cellulose, or time extending substances such as ethyl cellulose, cellulose acetate butyrate may be used.
Oral formulations may also be presented as hard gelatin capsules wherein the active ingredient is mixed with an inert solid diluent, for example, calcium carbonate, calcium phosphate or kaolin, or as soft gelatin capsules wherein the active ingredient is mixed with a water soluble carrier, for example polyethylene glycol, or an oil vehicle, for example peanut oil, liquid paraffin or olive oil.
Aqueous suspensions contain the active materials in admixture with excipients suitable for the manufacture of aqueous suspensions. Such excipients are suspending agents, for example sodium carboxymethylcellulose, methylcellulose, hydroxypropylmethylcellulose, sodium alginate, polyvinylpyrrolidone and acacia; dispersing or wetting agents may be a naturally occurring phosphatide, for example lecithin, or condensation products of an alkylene oxide with fatty acids, for example polyoxyethylene stearate, or condensation products of ethylene oxide with long chain aliphatic alcohols, for example heptadecaethyleneoxycetanol (heptadecaethyleneoxy cetanol), or condensation products of ethylene oxide with partial esters derived from fatty acids and a hexitol such as polyethylene oxide sorbitol monooleate, or condensation products of ethylene oxide with partial esters derived from fatty acids and hexitol anhydrides, for example polyethylene oxide sorbitan monooleate. The aqueous suspensions may also contain one or more preservatives, for example ethyl or n-propyl paraben, one or more colouring agents, one or more flavouring agents and one or more sweetening agents, such as sucrose, saccharin or aspartame.
Oil suspensions may be formulated by suspending the active ingredient in a vegetable oil, for example arachis oil, olive oil, sesame oil or coconut oil, or in a mineral oil such as liquid paraffin. The oil suspensions may contain a thickening agent, for example beeswax, hard paraffin or cetyl alcohol. Sweetening agents such as those set forth above, and flavoring agents may be added to provide a palatable preparation. These compositions can be preserved by the addition of antioxidants such as butylated hydroxyanisole or alpha-tocopherol.
Dispersible powders and granules suitable for preparation of an aqueous suspension by the addition of water may provide the active ingredient in admixture with a dispersing or wetting agent, suspending agent or one or more preservatives. Suitable dispersing or wetting agents and suspending agents are as described above. Other excipients, for example sweetening, flavoring and coloring agents, may also be present. These compositions are preserved by the addition of an antioxidant such as ascorbic acid.
The pharmaceutical compositions of the invention may also be in the form of oil-in-water emulsions. The oily phase may be a vegetable oil, for example olive oil or arachis oil, or a mineral oil, for example liquid paraffin or mixtures thereof. Suitable emulsifying agents may be naturally-occurring phosphatides, for example soy bean lecithin, and esters or partial esters derived from fatty acids and hexitol anhydrides, for example sorbitan monooleate, and condensation products of the said partial esters with ethylene oxide, for example polyethylene oxide sorbitol monooleate. The emulsions may also contain sweetening, flavoring, preservative and antioxidant agents. Syrups and elixirs may be formulated with sweetening agents, for example glycerol, propylene glycol, sorbitol or sucrose. Such formulations may also contain a demulcent, a preservative, a colorant and an antioxidant.
The pharmaceutical compositions of the present invention may be in the form of a sterile injectable aqueous solution. Among the acceptable vehicles and solvents that may be employed are water, ringer's solution and isotonic sodium chloride solution. The sterile injectable preparation may be a sterile injectable oil-in-water microemulsion, in which the active ingredient is dissolved in the oil phase. For example, the active ingredient is dissolved in a mixture of soybean oil and lecithin. The oil solution is then treated to form a microemulsion by adding it to a mixture of water and glycerol. The injection solution or microemulsion may be injected into the bloodstream of a patient by local bolus injection. Alternatively, it may be desirable to administer the solutions and microemulsions in a manner that maintains a constant circulating concentration of the compounds of the present invention. To maintain such a constant concentration, a continuous intravenous delivery device may be used.
The pharmaceutical compositions of the present invention may be in the form of sterile injectable aqueous or oleaginous suspensions for intramuscular and subcutaneous administration. The suspension may be formulated according to the known art using those suitable dispersing or wetting agents and suspending agents which have been mentioned above. The sterile injectable preparation may also be a sterile injectable solution or suspension prepared in a non-toxic parenterally-acceptable diluent or solvent, for example as a solution in 1, 3-butanediol. In addition, sterile, fixed oils are conventionally employed as a solvent or suspending medium. For this purpose, any blend fixed oil may be used, including synthetic mono-or diglycerides. In addition, fatty acids such as oleic acid find use in the preparation of injectables.
The compounds of the present invention may be administered in the form of suppositories for rectal administration. These pharmaceutical compositions can be prepared by mixing the drug with a suitable non-irritating excipient which is solid at ordinary temperatures but liquid in the rectum and therefore will melt in the rectum to release the drug. Such materials include cocoa butter, glycerogelatin, hydrogenated vegetable oils, polyethylene glycols of various molecular weights and mixtures of fatty acid esters of polyethylene glycols.
It is well known to those skilled in the art that the dosage of a drug administered depends on a variety of factors, including, but not limited to: the activity of the particular compound employed, the age of the patient, the weight of the patient, the health of the patient, the patient's integument, the patient's diet, the time of administration, the mode of administration, the rate of excretion, the combination of drugs, and the like. In addition, the optimal treatment regimen, such as mode of treatment, daily amount of the compound of formula (la) or type of pharmaceutically acceptable salt, can be verified according to conventional treatment protocols.
The compound containing the dihydropyrazolone skeleton shown in the general formula (I) and pharmaceutically acceptable salts, hydrates or solvates thereof are used as active ingredients, mixed with pharmaceutically acceptable carriers or excipients to prepare a composition, and prepared into clinically acceptable dosage forms. The derivatives of the present invention may be used in combination with other active ingredients as long as they do not produce other adverse effects, such as allergic reactions and the like. The compounds of the present invention may be used as the sole active ingredient or in combination with other agents for the treatment of diseases associated with PHD activity. Combination therapy is achieved by administering the individual therapeutic components simultaneously, separately or sequentially.
The compounds of the present invention have significant PHD-modulating activity through PHD activity test, so that the compounds of the present invention can be used for treating and/or preventing diseases related to the PHD activity, such as cardiovascular diseases, chronic kidney diseases, anemia, wounds, cancers, autoimmune diseases or other diseases. In particular for the treatment and/or prevention of cardiac insufficiency, chronic kidney disease, essential anemia, renal anemia, anemia associated with neoplastic disease, HIV infection, rheumatoid arthritis, anemia resulting from blood loss, iron deficiency anemia, vitamin deficiency anemia, aplastic anemia and aplastic anemia or hemolytic anemia, anemia resulting from iron utilization disorders or endocrine disorders, post-surgical ischemic conditions associated with surgery and its consecutive symptoms, trauma.
Detailed description of the invention
Unless stated to the contrary, the terms used in the specification and claims have the following meanings.
The term "alkyl" refers to a saturated aliphatic hydrocarbon group which is a straight or branched chain group containing 1 to 20 carbon atoms, preferably an alkyl group containing 1 to 12 carbon atoms, more preferably an alkyl group containing 1 to 6 carbon atoms. Non-limiting examples include methyl, ethyl, n-propyl, isopropyl, n-butyl, isobutyl, tert-butyl, sec-butyl, n-pentyl, 1-dimethylpropyl, 1, 2-dimethylpropyl, 2-dimethylpropyl, 1-ethylpropyl, 2-methylbutyl, 3-methylbutyl, n-hexyl, 1-ethyl-2-methylpropyl, 1, 2-trimethylpropyl, 1-dimethylbutyl, 1, 2-dimethylbutyl, 2-dimethylbutyl, 1, 3-dimethylbutyl, 2-ethylbutyl, 2-methylpentyl, 3-methylpentyl, 4-methylpentyl, 2, 3-dimethylbutyl, n-heptyl, 2-methylhexyl, 3-methylhexyl, 4-methylhexyl, 5-methylhexyl, 2, 3-dimethylpentyl, 2, 4-dimethylpentyl, 2-dimethylpentyl, 3-dimethylpentyl, 2-ethylpentyl, 3-ethylpentyl, n-octyl, 2, 3-dimethylhexyl, 2, 4-dimethylhexyl, 2, 5-dimethylhexyl, 2-dimethylhexyl, 3-dimethylhexyl, 4-dimethylhexyl, 2-ethylhexyl, 3-ethylhexyl, 4-ethylhexyl, 2-methyl-2-ethylpentyl, 2-methyl-3-ethylpentyl, n-nonyl, 2-methyl-2-ethylhexyl, 2-methyl-3-ethylhexyl, 2-dimethylpentyl, 2-dimethylhexyl, 3-dimethylpentyl, 2-ethylhexyl, 3-dimethylhexyl, 2-ethylhexyl, 2-dimethylhexyl, 2-ethylhexyl, 2-dimethylhexyl, 2-dimethylhexyl, 2-dimethylhexyl, 2-ethylhexyl, 2-ethyl, 2-2, 2-2, 2-2, or, 2, 2-diethylpentyl, n-decyl, 3-diethylhexyl, 2-diethylhexyl, and various branched chain isomers thereof, and the like. More preferred are lower alkyl groups having 1 to 6 carbon atoms, non-limiting examples of which include methyl, ethyl, n-propyl, isopropyl, n-butyl, isobutyl, tert-butyl, sec-butyl, n-pentyl, 1-dimethylpropyl, 1, 2-dimethylpropyl, 2-dimethylpropyl, 1-ethylpropyl, 2-methylbutyl, 3-methylbutyl, n-hexyl, 1-ethyl-2-methylpropyl, 1, 2-trimethylpropyl, 1-dimethylbutyl, 1, 2-dimethylbutyl, 2-dimethylbutyl, 1, 3-dimethylbutyl, 2-ethylbutyl, 2-methylpentyl, 3-methylpentyl, 4-methylpentyl, 2, 3-dimethylbutyl and the like. Alkyl groups may be substituted or unsubstituted, and when substituted, the substituent may be substituted at any available point of attachment, preferably one or more groups independently selected from alkyl, alkenyl, alkynyl, alkoxy, alkylthio, alkylamino, halo, mercapto, hydroxy, nitro, cyano, cycloalkyl, heterocycloalkyl, aryl, heteroaryl, cycloalkoxy, heterocycloalkoxy, cycloalkylthio, heterocycloalkylthio, oxo, carboxy or carboxylate.
The term "alkenyl" refers to an alkyl group as defined above consisting of at least two carbon atoms and at least one carbon-carbon double bond, e.g., ethenyl, 1-propenyl, 2-propenyl, 1-, 2-or 3-butenyl, and the like. The alkenyl group may be substituted or unsubstituted, and when substituted, the substituents are preferably one or more groups independently selected from alkyl, alkenyl, alkynyl, alkoxy, alkylthio, alkylamino, halogen, mercapto, hydroxy, nitro, cyano, cycloalkyl, heterocycloalkyl, aryl, heteroaryl, cycloalkoxy, heterocycloalkoxy, cycloalkylthio, heterocycloalkylthio.
The term "alkynyl" refers to an alkyl group as defined above consisting of at least two carbon atoms and at least one carbon-carbon triple bond, e.g., ethynyl, propynyl, butynyl, and the like. Alkynyl groups may be substituted or unsubstituted, and when substituted, the substituents are preferably one or more groups independently selected from alkyl, alkenyl, alkynyl, alkoxy, alkylthio, alkylamino, halogen, mercapto, hydroxy, nitro, cyano, cycloalkyl, heterocycloalkyl, aryl, heteroaryl, cycloalkoxy, heterocycloalkoxy, cycloalkylthio, heterocycloalkylthio.
The term "cycloalkyl" refers to a saturated or partially unsaturated monocyclic or polycyclic cyclic hydrocarbon substituent, the cycloalkyl ring containing from 3 to 20 carbon atoms, preferably from 3 to 12 carbon atoms, more preferably from 3 to 6 carbon atoms. Non-limiting examples of monocyclic cycloalkyl groups include cyclopropyl, cyclobutyl, cyclopentyl, cyclopentenyl, cyclohexyl, cyclohexenyl, cyclohexadienyl, cycloheptyl, cycloheptatrienyl, cyclooctyl, and the like; polycyclic cycloalkyl groups include spiro, fused and bridged cycloalkyl groups.
The term "spirocycloalkyl" refers to a 5 to 20 membered polycyclic group sharing one carbon atom (referred to as a spiro atom) between monocyclic rings, which may contain one or more double bonds, but none of the rings have a completely conjugated pi-electron system. Preferably 6 to 14, more preferably 7 to 10. Spirocycloalkyl groups are classified into a single spirocycloalkyl group, a double spirocycloalkyl group or a multi spirocycloalkyl group, preferably a single spirocycloalkyl group and a double spirocycloalkyl group, according to the number of spiro atoms shared between rings. More preferably 4-membered/4-membered, 4-membered/5-membered, 4-membered/6-membered, 5-membered/5-membered or 5-membered/6-membered. Non-limiting examples of spirocycloalkyl groups include:
Figure BDA0001838585190000161
the term "fused cyclic alkyl" refers to a 5 to 20 membered all carbon polycyclic group in which each ring in the system shares an adjacent pair of carbon atoms with other rings in the system, wherein one or more of the rings may contain one or more double bonds, but none of the rings has a completely conjugated pi-electron system. Preferably 6 to 14, more preferably 7 to 10. They may be classified into bicyclic, tricyclic, tetracyclic or polycyclic fused ring alkyls according to the number of constituent rings, preferably bicyclic or tricyclic, more preferably 5-or 6-membered bicycloalkyl. Non-limiting examples of fused ring alkyl groups include:
Figure BDA0001838585190000162
the term "bridged cycloalkyl" refers to a 5 to 20 membered all carbon polycyclic group in which any two rings share two carbon atoms not directly attached, which may contain one or more double bonds, but none of the rings have a completely conjugated pi-electron system. Preferably 6 to 14, more preferably 7 to 10. They may be classified as bicyclic, tricyclic, tetracyclic or polycyclic bridged cycloalkyl groups, preferably bicyclic, tricyclic or tetracyclic, more preferably bicyclic or tricyclic, depending on the number of constituent rings. Non-limiting examples of bridged cycloalkyl groups include:
Figure BDA0001838585190000171
the cycloalkyl ring may be fused to an aryl, heteroaryl or heterocycloalkyl ring, where the ring to which the parent structure is attached is cycloalkyl, non-limiting examples of which include indanyl, tetrahydronaphthyl, benzocycloheptanyl, and the like. Cycloalkyl groups may be optionally substituted or unsubstituted, and when substituted, the substituents are preferably one or more groups independently selected from alkyl, alkenyl, alkynyl, alkoxy, alkylthio, alkylamino, halogen, mercapto, hydroxy, nitro, cyano, cycloalkyl, heterocycloalkyl, aryl, heteroaryl, cycloalkoxy, heterocycloalkoxy, cycloalkylthio, heterocycloalkylthio, oxo, carboxy or carboxylate.
The term "heterocyclyl" means saturatedAnd or a partially unsaturated monocyclic or polycyclic cyclic hydrocarbon substituent comprising 3 to 20 ring atoms, wherein one or more of the ring atoms is selected from nitrogen, oxygen or S (O)m (wherein m is an integer from 0 to 2) but excludes the ring moiety of-O-O-, -O-S-, or-S-S-, the remaining ring atoms being carbon. Preferably 3 to 12 ring atoms, of which 1 to 4 are heteroatoms; most preferably 3 to 8 ring atoms, of which 1 to 3 are heteroatoms; most preferably 5 to 7 ring atoms, of which 1 to 2 or 1 to 3 are heteroatoms. Non-limiting examples of monocyclic heterocyclyl groups include pyrrolidinyl, imidazolidinyl, tetrahydrofuranyl, tetrahydrothienyl, dihydroimidazolyl, dihydrofuranyl, dihydropyrazolyl, dihydropyrrolyl, piperidinyl, piperazinyl, morpholinyl, thiomorpholinyl, homopiperazinyl, pyranyl, and the like, preferably 1,2, 5-oxadiazolyl, pyranyl, or morpholinyl. Polycyclic heterocyclic groups include spiro, fused and bridged heterocyclic groups.
The term "spiroheterocyclyl" refers to a 5-to 20-membered polycyclic heterocyclic group in which one atom (referred to as the spiro atom) is shared between monocyclic rings, and in which one or more ring atoms is selected from nitrogen, oxygen, or S (O)m (wherein m is an integer of 0 to 2) and the remaining ring atoms are carbon. It may contain one or more double bonds, but no ring has a completely conjugated pi-electron system. Preferably 6 to 14, more preferably 7 to 10. The spiro heterocyclic group is classified into a mono-spiro heterocyclic group, a di-spiro heterocyclic group or a multi-spiro heterocyclic group, preferably a mono-spiro heterocyclic group and a di-spiro heterocyclic group, according to the number of spiro atoms shared between rings. More preferred are 4-membered/4-membered, 4-membered/5-membered, 4-membered/6-membered, 5-membered/5-membered or 5-membered/6-membered mono spiroheterocyclic groups. Non-limiting examples of spiro heterocyclyl groups include:
Figure BDA0001838585190000172
the term "fused heterocyclyl" refers to a 5 to 20 membered polycyclic heterocyclic group in which each ring in the system shares an adjacent pair of atoms with other rings in the system, one or more of the rings may contain one or more double bonds, but none of the rings has a fully conjugated pi-electron system in which one or more of the ring atomsIs selected from nitrogen, oxygen or S (O)m (wherein m is an integer of 0 to 2) and the remaining ring atoms are carbon. Preferably 6 to 14, more preferably 7 to 10. They may be classified into bicyclic, tricyclic, tetracyclic or polycyclic fused heterocyclic groups according to the number of constituent rings, preferably bicyclic or tricyclic, more preferably 5-or 6-membered bicyclic fused heterocyclic groups. Non-limiting examples of fused heterocyclic groups include:
Figure BDA0001838585190000181
the term "bridged heterocyclyl" refers to a 5 to 14 membered polycyclic heterocyclic group in which any two rings share two atoms not directly attached which may contain one or more double bonds, but none of the rings have a fully conjugated pi-electron system in which one or more of the ring atoms is selected from nitrogen, oxygen or S (O)m (wherein m is an integer of 0 to 2) and the remaining ring atoms are carbon. Preferably 6 to 14, more preferably 7 to 10. They may be classified into bicyclic, tricyclic, tetracyclic or polycyclic bridged heterocyclic groups according to the number of constituent rings, preferably bicyclic, tricyclic or tetracyclic, more preferably bicyclic or tricyclic. Non-limiting examples of bridged heterocyclic groups include:
Figure BDA0001838585190000182
the heterocyclyl ring may be fused to an aryl, heteroaryl or cycloalkyl ring, wherein the ring to which the parent structure is attached is heterocyclyl, non-limiting examples of which include:
Figure BDA0001838585190000183
and the like.
The heterocyclyl group may be optionally substituted or unsubstituted, and when substituted, the substituents are preferably one or more groups independently selected from alkyl, alkenyl, alkynyl, alkoxy, alkylthio, alkylamino, halogen, mercapto, hydroxy, nitro, cyano, cycloalkyl, heterocycloalkyl, aryl, heteroaryl, cycloalkoxy, heterocycloalkoxy, cycloalkylthio, heterocycloalkylthio, oxo, carboxy or carboxylate.
The term "aryl" refers to a 6 to 14 membered all carbon monocyclic or fused polycyclic (i.e., rings which share adjacent pairs of carbon atoms) group having a conjugated pi-electron system, preferably 6 to 10 membered, such as phenyl and naphthyl. More preferably phenyl. The aryl ring may be fused to a heteroaryl, heterocyclyl or cycloalkyl ring, wherein the ring attached to the parent structure is an aryl ring, non-limiting examples of which include:
Figure BDA0001838585190000184
Figure BDA0001838585190000191
the aryl group may be substituted or unsubstituted, and when substituted, the substituent is preferably one or more groups independently selected from alkyl, alkenyl, alkynyl, alkoxy, alkylthio, alkylamino, halogen, mercapto, hydroxy, nitro, cyano, cycloalkyl, heterocycloalkyl, aryl, heteroaryl, cycloalkoxy, heterocycloalkoxy, cycloalkylthio, heterocycloalkylthio, carboxy or carboxylate.
The term "heteroaryl" refers to a heteroaromatic system comprising 1 to 4 heteroatoms, 5 to 14 ring atoms, wherein the heteroatoms are selected from oxygen, sulfur and nitrogen. Heteroaryl is preferably 5 to 10 membered, containing 1 to 3 heteroatoms; more preferably 5 or 6 membered, containing 1 to 2 heteroatoms; preferably, for example, imidazolyl, furyl, thienyl, thiazolyl, pyrazolyl, oxazolyl, pyrrolyl, tetrazolyl, pyridyl, pyrimidinyl, thiadiazole, pyrazinyl and the like, preferably imidazolyl, thiazolyl, pyrazolyl or pyrimidinyl, thiazolyl; more preferably pyrazolyl or thiazolyl. The heteroaryl ring may be fused to an aryl, heterocyclyl or cycloalkyl ring, wherein the ring joined together with the parent structure is a heteroaryl ring, non-limiting examples of which include:
Figure BDA0001838585190000192
heteroaryl groups may be optionally substituted or unsubstituted, and when substituted, the substituents are preferably one or more groups independently selected from alkyl, alkenyl, alkynyl, alkoxy, alkylthio, alkylamino, halogen, mercapto, hydroxyl, nitro, cyano, cycloalkyl, heterocycloalkyl, aryl, heteroaryl, cycloalkoxy, heterocycloalkoxy, cycloalkylthio, heterocycloalkylthio, carboxyl or carboxylate groups.
The term "alkoxy" refers to-O- (alkyl) and-O- (unsubstituted cycloalkyl), wherein alkyl is as defined above. Non-limiting examples of alkoxy groups include: methoxy, ethoxy, propoxy, butoxy, cyclopropyloxy, cyclobutoxy, cyclopentyloxy, cyclohexyloxy. Alkoxy groups may be optionally substituted or unsubstituted, and when substituted, the substituents are preferably one or more groups independently selected from alkyl, alkenyl, alkynyl, alkoxy, alkylthio, alkylamino, halogen, mercapto, hydroxy, nitro, cyano, cycloalkyl, heterocycloalkyl, aryl, heteroaryl, cycloalkoxy, heterocycloalkoxy, cycloalkylthio, heterocycloalkylthio, carboxy or carboxylate groups.
The term "haloalkyl" refers to an alkyl group substituted with one or more halogens, wherein the alkyl group is as defined above.
The term "haloalkoxy" refers to an alkoxy group substituted with one or more halogens, wherein the alkoxy group is as defined above.
The term "hydroxyalkyl" refers to an alkyl group substituted with a hydroxy group, wherein alkyl is as defined above.
The term "hydroxy" refers to an-OH group.
The term "halogen" refers to fluorine, chlorine, bromine or iodine.
The term "amino" refers to the group-NH2
The term "cyano" refers to — CN.
The term "nitro" means-NO2
The term "oxo" refers to ═ O.
The term "carboxy" refers to-C (O) OH.
The term "mercapto" refers to-SH.
The term "ester group" means-C (O) O (alkyl) or-C (O) O (cycloalkyl), wherein alkyl and cycloalkyl are as defined above.
The term "acyl" refers to compounds containing the group-C (O) R, where R is alkyl, cycloalkyl, heterocyclyl, aryl, heteroaryl.
The term "sulfonic acid group" means-S (O)2 OH。
The term "sulfonate group" means-S (O)2 O (alkyl) or-S (O)2 O (cycloalkyl), wherein alkyl and cycloalkyl are as defined above.
The term "sulfonyl" refers to-S (O)2 Compounds of the group R, wherein R is alkyl, cycloalkyl, heterocyclyl, aryl, heteroaryl.
The term "aminoacyl" refers to-c (o) -NRR ', where R, R' are each independently hydrogen, alkyl, cycloalkyl, heterocyclyl, aryl, heteroaryl.
The term "aminosulfonyl" refers to-S (O)2 -NRR ', wherein R, R' are each independently hydrogen, alkyl, cycloalkyl, heterocyclyl, aryl, heteroaryl.
"optional" or "optionally" means that the subsequently described event or circumstance may, but need not, occur, and that the description includes instances where the event or circumstance occurs or does not. For example, "a heterocyclic group optionally substituted with an alkyl" means that an alkyl group may, but need not, be present, and the description includes the case where the heterocyclic group is substituted with an alkyl group and the heterocyclic group is not substituted with an alkyl group.
"substituted" means that one or more, preferably up to 5, more preferably 1 to 3, hydrogen atoms in the group are independently substituted with a corresponding number of substituents. It goes without saying that the substituents are only in their possible chemical positions, and that the person skilled in the art is able to determine (experimentally or theoretically) possible or impossible substitutions without undue effort. For example, amino or hydroxyl groups having free hydrogen may be unstable in combination with carbon atoms having unsaturated (e.g., olefinic) bonds.
"pharmaceutical composition" means a mixture containing one or more compounds described herein, or a physiologically/pharmaceutically acceptable salt or prodrug thereof, and other chemical components, as well as other components such as physiological/pharmaceutically acceptable carriers and excipients. The purpose of the pharmaceutical composition is to facilitate administration to an organism, facilitate absorption of the active ingredient, and exert biological activity.
"pharmaceutically acceptable salts" refers to salts of the compounds of the present invention which are safe and effective for use in the body of a mammal and which possess the requisite biological activity.
Synthesis of the Compounds of the invention
In order to achieve the purpose of the invention, the invention adopts the following technical scheme.
The preparation method of the compound shown in the general formula (I) or the salt thereof comprises the following steps:
Figure BDA0001838585190000211
scheme 1
The compounds of general formula (I) can be obtained by alkylation, condensation, ring closure and substitution reactions starting from compound Ia according to the process of scheme 1.
Synthesis of scheme 1:
reacting compound Ia with ethyl bromoacetate at room temperature under basic conditions to give compound Ib, the reagent providing basic conditions preferably DIPEA; reacting the compound Ib with the DMA under the high-temperature condition to obtain a compound Ic, wherein the temperature is preferably 60 ℃; reacting the compound Id with hydrazine hydrate at room temperature to obtain a compound Ie; under high-temperature acidic conditions, carrying out condensation reaction on the compound Ic and the compound Ie, and then carrying out ring closure reaction under room-temperature basic conditions to obtain a compound If, wherein a reagent for providing acidic conditions is preferably TFA, a reagent for providing basic conditions is preferably sodium methoxide, and the temperature of the condensation reaction is preferably 80 ℃; reacting compound If with Ig under alkaline conditions at elevated temperature to obtain the compound of formula (I), preferably, the reagent providing alkaline conditionsK2 CO3 The temperature is preferably 100 ℃.
Wherein X1 、X2 、X3 、Y1 、Y2 、Y3 、A1 、A2 W, m, n, I, j are as defined in formula (I).
Drawings
FIG. 1 shows the effects of compounds of examples 4,6, 8, 22 and Bay-85-3934 of the present invention in promoting EPO secretion from Hep3B cells at concentrations of 1, 3.3 and 10. mu.M, respectively.
FIG. 2 shows the effect of the compounds of examples 4,6, 8, 22 and Bay-85-3934 of the present invention on EPO secretion in mice at 0.88 and 1.75mg/kg doses, respectively.
FIG. 3 shows the effect of the compounds of examples 4,6, 8, 22 and Bay-85-3934 of the present invention on the percent of mouse reticulocytes at doses of 1.75 and 3.5mg/kg, respectively.
FIGS. 4A and 4B are 5/6 nephrectomy-induced changes in red blood cell and hemoglobin levels in rat models of renal anemia 4 weeks after administration of compound of example 6 of the invention ([ p ] p < 0.05; [ p ] p < 0.01; [ p ] p < 0.001). FIG. 4A is a graph of the change in Red Blood Cell (RBCs) levels; fig. 4B is a graph of the change in Hemoglobin (HGB) level.
FIGS. 5A and 5B show the change in red blood cell and hemoglobin levels (p < 0.05;. p <0.01) after 5 weeks of administration of the compound of example 6 of the present invention to rats in a rat model of adenine-induced renal anemia. FIG. 5A is a graph of the change in Red Blood Cell (RBCs) levels; fig. 5B is the change in Hemoglobin (HGB) level.
Detailed Description
The present invention is further described below with reference to examples, which are not intended to limit the scope of the present invention.
The structure of the compounds is determined by Nuclear Magnetic Resonance (NMR) or/and Mass Spectrometry (MS). NMR shift at 10-6 The units in (ppm) are given. NMR was measured using a Brukerdps model 300 nuclear magnetic spectrometer using deuterated dimethyl sulfoxide (DMSO-d) as the solvent6 ) Deuterated chloroform (CDCl)3 ) Deuterated methanol (CD)3 OD), internal standard Tetramethylsilane (TMS).
MS was measured using a 1100Series LC/MSD Trap (ESI) mass spectrometer (manufacturer: Agilent).
Liquid phase preparation lc3000 HPLC and lc6000 HPLC (manufacturer: Innovation Consumer) were used.
HPLC was measured using Shimadzu LC-20AD high pressure liquid chromatograph (Agilent TC-C18250X 4.6mm5 μm column) and Shimadzu LC-2010AHT high pressure liquid chromatograph (Phenomenex C18250X 4.6mm5 μm column).
Average inhibition rate of kinase and IC50 The values were measured using a multifunctional staining 3 microplate reader (Biotech, USA).
The thin layer chromatography silica gel plate is Qingdao ocean chemical GF254 silica gel plate, the specification of the silica gel plate used by Thin Layer Chromatography (TLC) is 0.15 mm-0.2 mm, and the specification of the thin layer chromatography separation and purification product is 0.4 mm-0.5 mm.
Column chromatography generally uses Qingdao marine silica gel 100-200 meshes and 200-300 meshes as a carrier.
Known starting materials of the present invention can be synthesized by or according to methods known in the art, or can be purchased from the companies such as cyber-mart, beijing coup, Sigma, carbofuran, yishiming, shanghai kaya, enokay, nanjing yashi, ann naiji chemical, and the like.
In the examples, the reaction can be carried out in an argon atmosphere or a nitrogen atmosphere, unless otherwise specified.
An argon atmosphere or nitrogen atmosphere means that the reaction flask is connected to a balloon of argon or nitrogen with a volume of about 1L.
The microwave reaction was carried out using a CEM Discover SP type microwave reactor.
In the examples, the solution means an aqueous solution unless otherwise specified.
In the examples, the reaction temperature is, unless otherwise specified, from 20 ℃ to 30 ℃ at room temperature.
The progress of the reaction in the examples was monitored by Thin Layer Chromatography (TLC) using a developing solvent system of: a: dichloromethane and methanol system, B: n-hexane and ethyl acetate system, C: petroleum ether and ethyl acetate system, D: the volume ratio of acetone and solvent is adjusted according to the polarity of the compound.
The eluent system for column chromatography and the developing agent system for thin-layer chromatography used for purifying compounds comprise: a: dichloromethane and methanol system, B: petroleum ether, ethyl acetate and dichloromethane system, C: the volume ratio of the solvent in the petroleum ether and ethyl acetate system is adjusted according to the different polarities of the compounds, and a small amount of basic or acidic reagents such as triethylamine, acetic acid and the like can be added for adjustment.
Example 1: preparation of 2- (6- (2-thia-6-aza-spiro [3.3] hept-6-yl) pyrimidin-4-yl) -4- (1H-1,2, 3-triazol-1-yl) -1, 2-dihydro-3H-pyrazol-3-one
Figure BDA0001838585190000231
Step 1: synthesis of ethyl 2- (1H-1,2, 3-triazol-1-yl) acetate (intermediate 1A)
1H-1,2, 3-triazole (100g, 1.45mol) was added to a 1L reaction flask, to which ethyl acetate (300mL), DIPEA (252mL, 1.45mol) were added, and stirred for 3 minutes under ice bath. Ethyl bromoacetate (152mL, 1.38mol) was added to 200mL of ethyl acetate, which was then slowly added dropwise to the reaction flask, after which it was stirred at room temperature overnight. After completion of the reaction, filtration was carried out, and the filtrate was washed once with water and saturated brine, dried over anhydrous sodium sulfate, filtered, and concentrated under reduced pressure to obtain 100g of the title product as a yellow oil in yield: 44.3 percent.
Step 2: synthesis of ethyl 3- (dimethylamino) -2- (1H-1,2, 3-triazol-1-yl) acrylate (intermediate 1B)
Ethyl 2- (1H-1,2, 3-triazol-1-yl) acetate (100g, 0.64mol) and DMA (100mL) were added to a single-necked flask, and the reaction was stirred at 60 ℃ for 1 hour. After the reaction was completed, the reaction solution was cooled to room temperature and concentrated to dryness under reduced pressure, 300mL of water and 300mL of dichloromethane were added for extraction, the organic phase was concentrated until dichloromethane was substantially not remained, 400mL of methyl t-butyl ether was added with stirring, stirred at room temperature for 1 hour, and filtered to obtain 62.2g of the title product as a pale yellow solid in yield: 45.9 percent.
And 3, step 3: synthesis of 4-chloro-6-hydrazinopyrimidine (intermediate 1C)
4, 6-dichloropyrimidine (10g, 68mmol) and ethanol (350mL) were charged into a 1L reaction flask, hydrazine hydrate (6.05g, 122mmol) was added dropwise at room temperature, while turbidity occurred, ethanol (200mL) was added thereto, and after the addition, the mixture was stirred at room temperature for 12 hours. After the reaction was completed, the reaction mixture was filtered, and the filter cake was washed twice with water and petroleum ether, respectively, and dried to obtain 6.3g of the title product as a yellow solid in a yield of 65.6%.
And 4, step 4: synthesis of 2- (4-chloropyrimidin-2-yl) -4- (1H-1,2, 3-triazol-1-yl) -1, 2-dihydro-3H-pyrazol-3-one (intermediate 1D)
4-chloro-6-hydrazinopyrimidine (5.19g, 36.3mmol), ethyl 3- (dimethylamino) -2- (1H-1,2, 3-triazol-1-yl) acrylate (6.25g, 29.7mmol), ethanol (63mL), TFA (1.37g, 8.8mmol) were sequentially added to a 250mL reaction flask, and the mixture was heated to reflux with stirring for 12 hours. And cooling the reaction liquid to room temperature, dropwise adding 40mL of dioxane hydrochloric acid gas, stirring for 1 hour after dropwise adding is finished, and filtering. The filter cake was added to 90mL of ethanol, and 32mL of a 25% sodium methoxide solution in methanol was added thereto, followed by stirring at room temperature for 2 hours, and then the pH was adjusted to 4-5 with 1N hydrochloric acid, followed by stirring at room temperature for 2 hours. After the reaction was complete, filtration was carried out and the filter cake was washed once with ethanol and dried to give 6.9g of the title product as a yellow solid in yield: 87.8 percent.
And 5: synthesis of 2- (6- (2-thia-6-aza-spiro [3.3] heptan-6-yl) pyrimidin-4-yl) -4- (1H-1,2, 3-triazol-1-yl) -1, 2-dihydro-3H-pyrazol-3-one (Compound 1)
2- (4-Chloropyrimidin-2-yl) -4- (1H-1,2, 3-triazol-1-yl) -1, 2-dihydro-3H-pyrazol-3-one (100mg, 0.39mmol), 2-thia-6-azaspiro [3.3] heptane hemioxalate (58mg, 0.2mmol), DMF 20mL, and potassium carbonate (160mg, 1.17mmol) were sequentially added to a 50mL reaction flask, heated to 100 ℃ and stirred overnight. After the reaction was complete, cooled to room temperature, concentrated to dryness, adjusted to pH 4-5 with acetic acid, filtered, and dried to give 20mg of the title product as a white solid, yield: 15.4%, purity: 95 percent.
MS:m/z=343.1[M+H]+
1 H NMR(300MHz,DMSO):δppm 3.44(m,4H),4.26(m,4H),6.94(s,1H),7.85(s,1H),8.23(s,1H),8.37(s,1H),8.49(s,1H)。
Example 2: preparation of 2- (6- (2, 2-dioxo-2-thia-6-aza-spiro [3.3] hept-6-yl) pyrimidin-4-yl) -4- (1H-1,2, 3-triazol-1-yl) -1, 2-dihydro-3H-pyrazol-3-one
Figure BDA0001838585190000241
The title compound was obtained in the same manner as the preparation of example 1 except that 2-thia-6-aza-spiro [3.3] heptane-2, 2-dioxide hydrochloride was used instead of 2-thia-6-aza-spiro [3.3] heptane hemioxalate.
MS:m/z=375.4[M+H]+
1 H NMR(300MHz,DMSO):δppm 4.35(m,4H),4.50(m,4H),7.18(s,1H),7.80(s,1H),8.08(s,1H),8.38(s,1H),8.46(s,1H)。
Example 3: preparation of 2- (6- (2, 6-diazaspiro [3.3] heptan-2-yl) pyrimidin-4-yl) -4- (1H-1,2, 3-triazol-1-yl) -1, 2-dihydro-3H-pyrazol-3-one
Figure BDA0001838585190000251
The title compound was obtained in the same manner as the preparation of example 1 except that 2-thia-6-azaspiro [3.3] heptane hemioxalate was replaced with 2, 6-diazaspiro [3.3] heptane-2-carboxylic acid tert-butyl hemioxalate.
MS:m/z=326.2[M+H]+
1 H NMR(300MHz,DMSO):δppm 4.20(m,4H),4.36(m,4H),7.00(s,1H),7.86(s,1H),8.26(s,1H),8.36(s,1H),8.49(s,1H)。
Example 4: preparation of 2- (6- (2-oxa-7-azaspiro [3.5] non-7-yl) pyrimidin-4-yl) -4- (1H-1,2, 3-triazol-1-yl) -1, 2-dihydro-3H-pyrazol-3-one
Figure BDA0001838585190000252
The title compound was obtained in the same manner as the preparation of example 1 except that 2-oxa-7-azaspiro [3.5] nonane hemioxalate was used in place of 2-thia-6-azaspiro [3.3] heptane hemioxalate.
MS:m/z=355.4[M+H]+
1 H NMR(300MHz,DMSO):δppm 1.99(m,4H),3.80(m,4H),4.52(m,4H),7.35(s,1H),7.82(s,1H),8.03(s,1H),8.28(s,1H),8.43(s,1H)。
Example 5: preparation of 2- (6- (2-oxa-6-azaspiro [3.3] hept-6-yl) pyrimidin-4-yl) -4- (1H-1,2, 3-triazol-1-yl) -1, 2-dihydro-3H-pyrazol-3-one
Figure BDA0001838585190000253
The title compound was obtained in the same manner as in the preparation of example 1 except that 2-oxa-6-azaspiro [3.3] heptane hemioxalate was used in place of 2-thia-6-azaspiro [3.3] heptane hemioxalate.
MS:m/z=327.8[M+H]+
1 H NMR(300MHz,DMSO):δppm 4.35(m,4H),4.74(m,4H),6.94(s,1H),7.84(s,1H),8.20(s,1H),8.37(s,1H),8.48(s,1H)。
Example 6: preparation of 2- (6- (7-oxa-2-azaspiro [3.5] non-2-yl) pyrimidin-4-yl) -4- (1H-1,2, 3-triazol-1-yl) -1, 2-dihydro-3H-pyrazol-3-one
Figure BDA0001838585190000261
The title compound was obtained in the same manner as in the preparation of example 1 except that 7-oxa-2-azaspiro [3.5] nonane hemioxalate was used in place of 2-thia-6-azaspiro [3.3] heptane hemioxalate.
MS:m/z=355.2[M+H]+
1 H NMR(300MHz,DMSO):δppm 1.89(m,4H),3.70(m,4H),4.02(m,4H),6.97(s,1H),7.84(s,1H),8.02(s,1H),8.32(s,1H),8.42(s,1H)。
Example 7: preparation of 2- (6- (6-oxa-2-azaspiro [3.4] oct-2-yl) pyrimidin-4-yl) -4- (1H-1,2, 3-triazol-1-yl) -1, 2-dihydro-3H-pyrazol-3-one
Figure BDA0001838585190000262
The title compound was obtained in the same manner as the preparation of example 1 except that 6-oxa-2-azaspiro [3.4] octane hemioxalate was used in place of 2-thia-6-azaspiro [3.3] heptane hemioxalate.
MS:m/z=341.3[M+H]+
1 H NMR(300MHz,DMSO):δppm 2.18(m,2H),3.74(m,2H),3.82(m,2H),4.16(m,4H),6.97(s,1H),7.84(s,1H),8.18(s,1H),8.36(s,1H),8.48(s,1H)。
Example 8: preparation of 2- (6- (2-oxa-8-azaspiro [4.5] decan-8-yl) pyrimidin-4-yl) -4- (1H-1,2, 3-triazol-1-yl) -1, 2-dihydro-3H-pyrazol-3-one
Figure BDA0001838585190000263
The title compound was obtained in the same manner as in the preparation of example 1 except that 2-oxa-8-azaspiro [4.5] decane hydrochloride was used in place of 2-thia-6-azaspiro [3.3] heptane hemioxalate.
MS:m/z=369.9[M+H]+
1 H NMR(300MHz,DMSO):δppm 1.60(m,4H),1.79(m,2H),3.77(m,8H),7.42(s,1H),7.85(s,1H),8.21(s,1H),8.37(s,1H),8.51(s,1H)。
Example 9: preparation of 2- (6- (2-oxa-6-azaspiro [3.4] oct-6-yl) pyrimidin-4-yl) -4- (1H-1,2, 3-triazol-1-yl) -1, 2-dihydro-3H-pyrazol-3-one
Figure BDA0001838585190000271
The title compound was obtained in the same manner as the preparation of example 1 except that 2-oxa-6-azaspiro [3.4] octane hemioxalate was used in place of 2-thia-6-azaspiro [3.3] heptane hemioxalate.
MS:m/z=341.7[M+H]+。
1H NMR(300MHz,DMSO):δppm 2.04(m,2H),2.43(m,2H),3.73(m,2H),4.16(m,2H),4.67(m,2H),6.72(s,1H),7.83(s,1H),8.14(s,1H),8.07(s,1H),8.39(s,1H)。
Example 10: preparation of 2- (6- (2-aza-spiro [4.4] non-2-yl) pyrimidin-4-yl) -4- (1H-1,2, 3-triazol-1-yl) -1, 2-dihydro-3H-pyrazol-3-one
Figure BDA0001838585190000272
The title compound was obtained in the same manner as the preparation of example 1 except that 2-azaspiro [4.4] nonane hemioxalate was used instead of 2-thia-6-azaspiro [3.3] heptane hemioxalate.
MS:m/z=354.2[M+H]+
1 H NMR(300MHz,DMSO):δppm 1.62(m,8H),1.91(m,2H),3.52(m,4H),7.07(s,1H),7.83(s,1H),8.14(s,1H),8.36(s,1H),8.50(s,1H)。
Example 11: preparation of 2- (6- (7-azaspiro [3.5] non-7-yl) pyrimidin-4-yl) -4- (1H-1,2, 3-triazol-1-yl) -1, 2-dihydro-3H-pyrazol-3-one
Figure BDA0001838585190000281
The title compound was obtained in the same manner as the preparation of example 1 except that 7-azaspiro [3.5] nonane hydrochloride was used in place of 2-thia-6-azaspiro [3.3] heptane hemioxalate.
MS:m/z=353.3[M+H]+
1 H NMR(300MHz,DMSO):δppm 1.62(m,4H),1.79(m,4H),1.88(m,2H),3.68(m,4H),7.40(s,1H),7.84(s,1H),8.19(s,1H),8.37(s,1H),8.50(s,1H)。
Example 12: preparation of 2- (6- (4, 4-difluoro-6-aza-spiro [2.5] oct-6-yl) pyrimidin-4-yl) -4- (1H-1,2, 3-triazol-1-yl) -1, 2-dihydro-3H-pyrazol-3-one
Figure BDA0001838585190000282
The title compound was obtained in the same manner as in the preparation of example 1 except that 4, 4-difluoro-6-azaspiro [2.5] octane hydrochloride was used instead of 2-thia-6-azaspiro [3.3] heptane hemioxalate.
MS:m/z=375.3[M+H]+
1 H NMR(300MHz,DMSO):δppm 0.62(m,2H),0.86(m,2H),1.68(m,2H),3.83(m,4H),7.60(s,1H),7.87(s,1H),8.35(s,1H),8.40(s,1H),8.56(s,1H)。
Example 13: preparation of 2- (6- (1, 1-difluoro-6-aza-spiro [2.5] oct-6-yl) pyrimidin-4-yl) -4- (1H-1,2, 3-triazol-1-yl) -1, 2-dihydro-3H-pyrazol-3-one
Figure BDA0001838585190000283
The title compound was obtained in the same manner as the preparation of example 1 except that 1, 1-difluoro-6-azaspiro [2.5] octane hydrochloride was used in place of 2-thia-6-azaspiro [3.3] heptane hemioxalate.
MS:m/z=375.4[M+H]+
1 H NMR(300MHz,DMSO):δppm 1.41(m,2H),1.64(m,2H),1.73(m,2H),3.71(m,2H),3.89(m,2H),7.47(s,1H),7.85(s,1H),8.23(s,1H),8.37(s,1H),8.53(s,1H)。
Example 14: preparation of 2- (6- (2-azaspiro [3.3] heptan-2-yl) pyrimidin-4-yl) -4- (1H-1,2, 3-triazol-1-yl) -1, 2-dihydro-3H-pyrazol-3-one
Figure BDA0001838585190000291
The title compound was obtained in the same manner as in the preparation of example 1 except that 2-azaspiro [3.3] heptane hemioxalate was used in place of 2-thia-6-azaspiro [3.3] heptane hemioxalate.
MS:m/z=325.3[M+H]+
1 H NMR(300MHz,DMSO):δppm 1.82(m,2H),2.22(m,4H),4.15(m,4H),6.92(s,1H),7.83(s,1H),8.14(s,1H),8.36(s,1H),8.46(s,1H)。
Example 15: preparation of 2- (6- (2-aza-spiro [3.4] oct-2-yl) pyrimidin-4-yl) -4- (1H-1,2, 3-triazol-1-yl) -1, 2-dihydro-3H-pyrazol-3-one
Figure BDA0001838585190000292
The title compound was obtained in the same manner as the preparation of example 1 except that 2-azaspiro [3.4] octane hemioxalate was used in place of 2-thia-6-azaspiro [3.3] heptane hemioxalate.
MS:m/z=339.3[M+H]+
1 H NMR(300MHz,DMSO):δppm 1.60(m,4H),1.82(m,4H),4.02(m,4H),6.94(s,1H),7.83(s,1H),8.14(s,1H),8.37(s,1H),8.47(s,1H)。
Example 16: preparation of 2- (6- (8-oxa-2-azaspiro [4.5] decan-2-yl) pyrimidin-4-yl) -4- (1H-1,2, 3-triazol-1-yl) -1, 2-dihydro-3H-pyrazol-3-one
Figure BDA0001838585190000293
The title compound was obtained in the same manner as the preparation of example 1 except that 8-oxa-2-azaspiro [4.5] decane hydrochloride was used in place of 2-thia-6-azaspiro [3.3] heptane hemioxalate.
MS:m/z=369.9[M+H]+
1 H NMR(300MHz,DMSO):δppm 1.55(m,4H),1.95(m,2H),3.50(m,6H),3.64(m,2H),7.05(s,1H),7.84(s,1H),8.17(s,1H),8.36(s,1H),8.52(s,1H)。
Example 17: preparation of 2- (6- (2, 2-difluoro-7-azaspiro [3.5] non-7-yl) pyrimidin-4-yl) -4- (1H-1,2, 3-triazol-1-yl) -1, 2-dihydro-3H-pyrazol-3-one
Figure BDA0001838585190000301
The title compound was obtained in the same manner as in the preparation of example 1 except that 2, 2-difluoro-7-azaspiro [3.5] nonane hydrochloride was used instead of 2-thia-6-azaspiro [3.3] heptane hemioxalate.
MS:m/z=389.3[M+H]+
1 H NMR(300MHz,DMSO):δppm 1.70(m,4H),2.47(m,4H),3.70(m,4H),7.44(s,1H),7.85(s,1H),8.22(s,1H),8.37(s,1H),8.51(s,1H)。
Example 18: preparation of 2- (6- (1, 1-difluoro-5-azaspiro [2.3] hex-5-yl) pyrimidin-4-yl) -4- (1H-1,2, 3-triazol-1-yl) -1, 2-dihydro-3H-pyrazol-3-one
Figure BDA0001838585190000302
The title compound was obtained in the same manner as in the preparation of example 1 except that 1, 1-difluoro-5-azaspiro [2.3] hexane hydrochloride was used instead of 2-thia-6-azaspiro [3.3] heptane hemioxalate.
MS:m/z=347.1[M+H]+
1 H NMR(300MHz,DMSO):δppm 1.87(m,2H),4.31(m,4H),7.07(s,1H),7.86(s,1H),8.27(s,1H),8.38(s,1H),8.54(s,1H)。
Example 19: preparation of 2- (6- (8, 8-difluoro-2-azaspiro [4.5] decan-2-yl) pyrimidin-4-yl) -4- (1H-1,2, 3-triazol-1-yl) -1, 2-dihydro-3H-pyrazol-3-one
Figure BDA0001838585190000311
The title compound was obtained in the same manner as the preparation of example 1 except that 8, 8-difluoro-2-azaspiro [4.5] decane hydrochloride was used in place of 2-thia-6-azaspiro [3.3] heptane hemioxalate.
MS:m/z=403.4[M+H]+
1H NMR(300MHz,DMSO):δppm 1.65(m,4H),1.93(m,6H),3.62(m,2H),3.73(m,2H),7.05(s,1H),7.84(s,1H),8.16(s,1H),8.36(s,1H),8.52(s,1H)。
Example 20: preparation of 2- (6- (6-aza-spiro [2.5] oct-6-yl) pyrimidin-4-yl) -4- (1H-1,2, 3-triazol-1-yl) -1, 2-dihydro-3H-pyrazol-3-one
Figure BDA0001838585190000312
The title compound was obtained in the same manner as the preparation of example 1 except that 6-azaspiro [2.5] octane hydrochloride was used in place of 2-thia-6-azaspiro [3.3] heptane hemioxalate.
MS:m/z=339.4[M+H]+
1 H NMR(300MHz,DMSO):δppm 0.41(m,4H),1.44(m,4H),3.80(m,4H),7.42(s,1H),7.85(s,1H),8.20(s,1H),8.37(s,1H),8.52(s,1H)。
Example 21: preparation of 2- (6- (1-oxa-7-azaspiro [3.5] non-7-yl) pyrimidin-4-yl) -4- (1H-1,2, 3-triazol-1-yl) -1, 2-dihydro-3H-pyrazol-3-one
Figure BDA0001838585190000313
The title compound was obtained in the same manner as the preparation of example 1 except that 1-oxa-7-azaspiro [3.5] nonane hemioxalate was used in place of 2-thia-6-azaspiro [3.3] heptane hemioxalate.
MS:m/z=355.4[M+H]+
1 H NMR(300MHz,DMSO):δppm 1.45(m,2H),1.87(m,2H),2.42(m,2H),3.58(m,4H),4.44(m,2H),7.11(s,1H),7.85(s,1H),8.21(s,1H),8.37(s,1H),8.50(s,1H)。
Example 22: preparation of 2- (6- (1-oxa-6-azaspiro [3.4] oct-6-yl) pyrimidin-4-yl) -4- (1H-1,2, 3-triazol-1-yl) -1, 2-dihydro-3H-pyrazol-3-one
Figure BDA0001838585190000321
The title compound was obtained in the same manner as the preparation of example 1 except that 1-oxa-6-azaspiro [3.4] octane hemioxalate was used in place of 2-thia-6-azaspiro [3.3] heptane hemioxalate.
MS:m/z=341.3[M+H]+
1 H NMR(300MHz,DMSO):δppm 2.71(m,2H),3.54(m,4H),3.62(m,2H),4.43(m,2H),7.11(s,1H),7.84(s,1H),8.19(s,1H),8.37(s,1H),8.51(s,1H)。
Biological evaluation of Compounds of the invention
Test example 1: evaluation of PHD inhibitory Activity of Compounds of the present invention
References Ingo Flammer et al, PLoS One,2014,9(11), e111838 and CN200980114292 examined the PHD inhibitory activity of the compounds of the present invention. The PHD inhibitory activity of the compounds of the present invention is shown in table 1.
In Table 1, A refers to IC where the compound inhibits HIF-PHD activity50 <1,000 nM; b is IC50 >1,000nM。
TABLE 1 inhibitory Activity of Compounds of the present invention on HIF-PHD
ExamplesPHD inhibitory Activity
1A
4A
6A
8A
14A
15A
22A
And (4) conclusion: as described in Table 1 above, compounds of the invention exhibit HIF-PHD inhibitory activity in vitro.
Test example 2: activity of the compound of the invention for inducing EPO secretion of Hep3B cells
Hep3B cells (ATCC), passaged well and seeded at5X 104 100 μ L of each cell was incubated overnight in a 96-well cell culture plate at 37 ℃ in a constant temperature incubator.
Bay-85-3934 is currently a PHD inhibitor in the clinical stage III, and has strong effects of promoting the expression of EPO by hepatocytes and improving anemia (Ingo Flammer et al, PLoS One,2014,9(11), e 111838). In this test example and test examples 3, 4, 5, 6, reference Ingo Flamme et al, PLoS One,2014,9(11), e111838 and CN200780048262 were prepared as positive controls.
A10. mu.L stock of 20mM test compound (positive control compound Bay-85-3934 (2.73 mg of the compound was weighed out in 435. mu.L DMSO) was taken, diluted to a first concentration of 10mM by adding 10. mu.L DMSO, and diluted in 3-fold gradients of 3 concentrations, and 1.5. mu.L of the prepared compound solution was taken and added to 500. mu.L cell culture medium (EMEM, 10% FBS, 1% streptomycin mixture), with a final concentration of 0.3% DMSO and final concentrations of 30, 10, and 3.3. mu.M compound.
Cell supernatants from the above 96-well cell culture plates were discarded and washed twice with PBS. 150. mu.L of the above medium to which the compound was added to a 96-well cell culture plate, and two wells were provided for each concentration. Incubate at 37 ℃ for 24 hours in a constant temperature incubator. The cell culture broth in the blank control group was not added with compound.
The ELISA plate was removed from the Human Erythropoietin ELISA Kit (Human Erythropoietin ELISA Kit (Abcam)), and the eluate was washed 2 times with 400. mu.L each. 100 μ L of cell supernatant (cell culture fluid after centrifugation) was added to the above ELISA plate, and the plate was sealed with a membrane plate and incubated overnight at 4 ℃. mu.L of 1 Xbiotin-Conjugated Antibody (Biotin Conjugated Antibody) was added to each well, and the wells were incubated for 1 hour at room temperature with shaking at 400 rpm. The liquid was removed from the ELISA plate and the eluate was washed 6 times in 400. mu.L volumes each. mu.L of HRP (horseradish peroxidase) -labeled secondary antibody was added to each well, and the plates were sealed with a membrane seal, shaken at 400rpm, and incubated at room temperature for half an hour. The eluate was washed 6 times in 400. mu.L volumes each. Add 100. mu.L of TMB substrate to each well, plate and membrane sealed, and incubate for 5 min at room temperature in the dark. Add 100. mu.L of STOP solution to each well and shake gently for several seconds. The absorbance at 450nm was read on an Envision multifunctional plate reader. The signal intensity was used to characterize the extent of activity of the compounds to induce EPO release from Hep3B cells.
FIG. 1 shows the results of the compounds of examples 4,6, 8, 22 and Bay-85-3934 of the present invention promoting EPO secretion from Hep3B cells at concentrations of 1, 3.3 and 10. mu.M, respectively. The results show that: the compounds of examples 4,6, 8, 14 and 22 showed significantly better EPO secretion from Hep3B cells than Bay-85-3934.
And (4) conclusion: the compound of the invention remarkably induces Hep3B cells to release EPO, which indicates that the compound of the invention can induce liver cells to express EPO, wherein the activity of the compounds of examples 4,6, 8, 14 and 22 is remarkably superior to that of BAY-85-3934.
Test example 3: effect of Compounds of the invention on Balb/C mouse EPO levels
The drug activity was tested by measuring changes in plasma EPO levels 4 hours after a single oral administration using a mouse rapid screening model.
Animals: Balb/C mice, male, 18-20 g; purchased from experimental animal technology limited of Viton Lihua, Beijing, SPF grade; animal production license number: SCXK (Jing) 2016-; issuing a certificate unit: the scientific and technical committee of Beijing.
Grouping: normal control group (0.5% CMC-Na vehicle group); positive control drugs Bay-85-3934(0.88mg/kg and 1.75 mg/kg); groups administered with the compound of the invention (0.88mg/kg and 1.75 mg/kg); each group contained 5 animals.
Sample preparation: the positive control drug and the compound of the invention are suspended in the vehicle 0.5% CMC-Na.
The animal is purchased and then adaptively fed for 5-7 days, and then used for testing, 4 hours after the animal is orally administrated once, blood (0.5 ml/animal) is collected by an orbital venous plexus blood collection method after isoflurane anesthesia for 3 minutes, and heparin sodium is anticoagulated. Centrifuging at 3500 rpm/min for 10 min, separating plasma, and storing at-20 deg.C.
The detection indexes and the method are as follows: the plasma EPO levels of mice were determined using an EPO ELISA kit (P137645, R & D System) and a microplate reader (rotation 3, BioTek).
FIG. 2 shows the effect of the compounds of examples 4,6, 8, 22 and Bay-85-3934 of the present invention on EPO secretion from mice at 0.88 and 1.75mg/kg doses, respectively, and the results indicate that: the compounds of examples 4,6, 8, 14 and 22 showed significantly better EPO-promoting effects in mice than Bay-85-3934.
And (4) conclusion: the compound provided by the invention can be used for remarkably improving the EPO level of Balb/C mice plasma, so that the compound can be used for remarkably promoting the EPO expression of Balb/C mice, wherein the drug effects of examples 4,6, 8, 14 and 22 are remarkably superior to those of Bay-85-3934.
Test example 4: effect of Compounds of the invention on Balb/C mouse reticulocyte levels
The drug activity was tested by measuring the change in reticulocyte levels in whole blood after 4 consecutive days of oral dosing using a mouse rapid screening model.
Animals: Balb/C mouse, male, 18-20 g; purchased from experimental animal technology limited of Viton Lihua, Beijing, SPF grade; animal production license number: SCXK (Jing) 2016-; issuing a certificate unit: the scientific and technical committee of Beijing.
Grouping: normal control group (0.5% CMC-Na vehicle group); control drugs Bay-85-3934(1.75mg/kg and 3.50 mg/kg); groups administered with the compound of the present invention (1.75mg/kg and 3.50 mg/kg); each group had 5 animals.
Sample preparation: the positive control drug and the compound of the invention are suspended in the vehicle 0.5% CMC-Na.
After the animals are purchased and adaptively fed for 5-7 days, the animals are used for the test, after the mice are continuously orally administrated for 4 days (once per day), the mice are anesthetized by isoflurane for 3min, and blood is collected by an orbital venous plexus blood collecting method, and EDTA is anticoagulated (0.5 ml/mouse).
The detection indexes and the method are as follows: reticulocytes were examined at room temperature using a fully automated hematology analyzer (ADVIA 2120, Siemens) and their percentages were calculated.
FIG. 3 shows the effect of the compounds of examples 4,6, 8, 22 of the present invention and Bay-85-3934 on the percent of mouse reticulocytes at doses of 1.75 and 3.5mg/kg, respectively, showing that: the compounds of examples 4,6, 8, 14 and 22 showed significantly better enhancement of the percent of mouse reticulocytes than Bay-85-3934.
And (4) conclusion: the compound can obviously improve the reticulocyte percentage of Balb/C mice, which shows that the compound can obviously promote the reticulocyte generation of Balb/C mice, wherein the drug effect of the compounds in examples 4,6, 8 and 22 is obviously superior to Bay-85-3934.
Test example 5: drug effect research of 5/6 nephrectomy for establishing renal anemia rat model
Animals: wistar rat, male, 120-150 g; purchased from experimental animal technology limited of Viton Lihua, Beijing, SPF grade; animal production license number: SCXK (Jing) 2016-; issuing a certificate unit: the scientific and technical committee of Beijing.
Molding: after one week of adaptive feeding, 10% chloral hydrate (0.3ml/kg) is used for intraperitoneal injection and anesthesia, prone position fixation, local skin preparation and conventional skin disinfection. 5/6 nephrectomy is carried out by two-step method, wherein a cut of 3-4cm is made on the right side obliquely and outwards (renal region), the right side kidney is fully exposed, the renal capsule is separated, the renal pedicle is ligated, when the kidney becomes dark due to ischemia, the right kidney is excised, sutured and disinfected. The 2 nd operation is performed 7-10 days later. The left side of the kidney is cut 3-4cm in a direction obliquely outward from the lower side (renal area) to fully expose the left side of the kidney, and the renal capsule is peeled off. Clamping the upper and lower poles of the kidney, rapidly cutting off the upper and lower poles and the outer edge of the left kidney when the clamped area becomes purple black due to ischemia, cutting off 2/3 kidney tissues together (the upper and lower poles respectively cut off 1/3 of the kidney), compressing the wound surface with gelatin sponge to stop bleeding, washing with normal saline, injecting penicillin into the abdominal cavity, suturing muscle layer and skin, closing the abdominal cavity, and sterilizing. The two procedures were performed to remove about 5/6 kidney. After the rat revives, the rat is placed into a single cage for breeding, and the respiratory tract is kept smooth. After the operation, the patient is fasted for 24 hours, and the skin incision, the mental state and the food and water intake conditions are closely observed after the operation without water prohibition. The sham group did not excise kidney tissue, and only given 2 anaesthesia and isolated double renal fat capsules.
Blood samples were collected by orbital bleeding every 2 weeks after nephrectomy and tested for hematology (EDTA-2K anticoagulation) and renal function index creatinine and urea nitrogen (anticoagulation). All rats which accord with the characteristics of renal anemia are considered to be successfully modeled and are included in the subsequent intragastric administration test. Rats successfully molded were included in the compound in vivo pharmacodynamic evaluation study.
Grouping: sham group (0.5% CMC-Na vehicle); model group (0.5% CMC-Na vehicle); control Bay-85-3934 group (2.5 and 5.0 mg/kg); the compound of the present invention administration groups (2.5 and 5.0mg/kg) (compound of example 6); each group contained 10 animals.
Sample preparation: the positive control drug and the compound of the invention are suspended in the vehicle 0.5% CMC-Na.
Administration: the preparation is administered by intragastric administration once a day. Sham and model groups were given daily vehicle 0.5% CMC-Na; positive control drug and compound of the invention were given daily to suspensions of the compound at the corresponding doses.
Molding detection indexes: (1) detecting the blood routine index (EDTA anticoagulation), the erythrocyte count and the hemoglobin level by a full-automatic blood cell analyzer (Mythic22, Osofield, Switzerland); (2) renal function indexes: the levels of serum urea nitrogen (BUN) and creatinine (Scr) were detected using a colorimetric assay kit (beijing, keleyidai medical technology ltd).
The main detection indexes of the drug effect evaluation are as follows: the conventional indices of blood, red blood cell count and hemoglobin level, were measured using a Mythic22 fully automatic hematology analyzer.
As shown in fig. 4A and 4B, the compound of example 6 significantly increased the level of erythrocytes (fig. 4A) and hemoglobin (fig. 4B) in the nephrectomized rat model after 4 weeks of administration, indicating that the compound of the invention significantly improved anemia in the nephrectomized rat model.
And (4) conclusion: the compound can obviously improve the level of red blood cells and hemoglobin of a nephrectomized rat model, has obvious improvement effect on anemia of the nephrectomized rat model, and the drug effect of example 6 is obviously superior to Bay-85-3934.
Test example 6: drug effect research of compound of the invention on adenine-induced renal anemia rat model
Animals: wistar rat, male, 120-150 g; purchased from experimental animal technology limited of Viton Lihua, Beijing, SPF grade; animal production license number: SCXK (Jing) 2016-; issuing a certificate unit: the scientific and technical committee of Beijing.
Molding: rats were classified into 2 groups after one week of acclimation in the laboratory: normal control group, rats were fed maintenance pellet feed (beijing, aosynergic feed ltd); model group, fed with feed containing 0.75% adenine (Beijing Olympic feed Co., Ltd.). All animals had free access to water in 5 rats per cage.
After feeding adenine feed, blood samples are collected by an orbital blood collection method every 2 weeks, and blood routine (EDTA-2K anticoagulation) and kidney function index creatinine and urea nitrogen (anticoagulation) are detected. The successful modeling of rats which meet the characteristics of renal anemia (obviously increased levels of creatinine and urea nitrogen; obviously decreased levels of hemoglobin and erythrocytes) is considered to be included in the subsequent intragastric administration test.
Grouping: normal control group (0.5% CMC-Na); model group (0.5% CMC-Na); bay-85-3934 low dose group (1.25 mg/kg); bay-85-3934 high dose group (2.5 mg/kg); the compound of example 6 of the present invention was administered in a low dose group (1.25 mg/kg); the compound of example 6 of the present invention was administered in a high dose group (2.5 mg/kg). Each group contained 10 animals.
Sample preparation: suspending the positive control drug and the compound of the invention in a solvent of 0.5 percent CMC-Na
Administration: the preparation is administered by intragastric administration once a day. The normal control group and the model group were administered with vehicle 0.5% CMC-Na daily; the administration group was given daily the corresponding dose of positive control and the compound suspension of the present invention.
Molding detection indexes: (1) detecting the blood routine index (EDTA anticoagulated) erythrocyte count and hemoglobin level by a full-automatic blood cell analyzer (Mythic22, Osofield, Switzerland); (2) renal function indexes: the levels of serum urea nitrogen (BUN) and creatinine (Scr) were detected using a colorimetric assay kit (beijing, keleyidai medical technology ltd).
The main detection indexes of the drug effect evaluation are as follows: the conventional indices of blood, red blood cell count and hemoglobin level, were measured using a Mythic22 fully automatic hematology analyzer.
The test results are shown in fig. 5A and 5B, and the compound of example 6 of the present invention significantly increased the level of erythrocytes (fig. 5A) and hemoglobin (fig. 5B) in the nephrectomized rat model 5 weeks after administration, indicating that the compound of the present invention has a significant ameliorating effect on anemia in the nephrectomized rat model.
And (4) conclusion: the compound can obviously improve the level of erythrocyte and hemoglobin of an adenine-induced rat model, has obvious improvement effect on anemia of the adenine rat model, and the drug effect of example 6 is obviously superior to Bay-85-3934.

Claims (21)

1. A compound represented by the general formula (I) or a pharmaceutically acceptable salt thereof,
Figure FDA0003728481040000011
wherein:
w is N;
A1 is CH;
A2 is N;
X1 、X2 and X3 Each independently selected from the group consisting of single bonds, -CR1 R2 -;
Y1 、Y2 And Y3 Each independently selected from the group consisting of single bonds, -CR4 R5 -、-NR6 -、-O-、-S-;
R1 And R2 Each independently selected from hydrogen, halogen;
R4 and R5 Each independently selected from hydrogen, halogen;
R6 selected from hydrogen;
m is an integer of 0 to 3;
n is an integer of 0 to 3;
i is an integer of 0 to 3;
j is an integer of 0 to 3.
2. The compound of the general formula (I) or a pharmaceutically acceptable salt thereof according to claim 1,
wherein,
X1 、X2 and X3 Each independently selected from a single bond or-CR1 R2 -;
n is an integer of 0 to 2;
m is an integer of 0 to 2;
R1 、R2 as defined in claim 1.
3. The compound of the general formula (I) or a pharmaceutically acceptable salt thereof according to claim 1,
wherein,
X1 is a single bond or-CR1 R2 -;
X2 is-CR1 R2 -;
X3 Is a single bond or-CR1 R2 -;
n is 1;
m is 0;
R1 、R2 as defined in claim 1.
4. The compound of the general formula (I) or a pharmaceutically acceptable salt thereof according to claim 1,
wherein,
Y1 、Y2 and Y3 Each independently selected from a single bond or-CR4 R5 -;
R4 And R5 Each independently selected from hydrogen, halogen;
i is 0 or 1;
j is 0 or 1.
5. The compound of the general formula (I) or a pharmaceutically acceptable salt thereof according to claim 1,
wherein,
i is 0 or 1;
j is 0 or 1.
6. The compound of general formula (I) or a pharmaceutically acceptable salt thereof according to any one of claims 1 to 5, wherein the compound is selected from:
2- (6- (2-thia-6-aza-spiro [3.3] hept-6-yl) pyrimidin-4-yl) -4- (1H-1,2, 3-triazol-1-yl) -1, 2-dihydro-3H-pyrazol-3-one;
2- (6- (2, 6-diazaspiro [3.3] hept-2-yl) pyrimidin-4-yl) -4- (1H-1,2, 3-triazol-1-yl) -1, 2-dihydro-3H-pyrazol-3-one;
2- (6- (2-oxa-7-azaspiro [3.5] non-7-yl) pyrimidin-4-yl) -4- (1H-1,2, 3-triazol-1-yl) -1, 2-dihydro-3H-pyrazol-3-one;
2- (6- (2-oxa-6-azaspiro [3.3] hept-6-yl) pyrimidin-4-yl) -4- (1H-1,2, 3-triazol-1-yl) -1, 2-dihydro-3H-pyrazol-3-one;
2- (6- (7-oxa-2-azaspiro [3.5] non-2-yl) pyrimidin-4-yl) -4- (1H-1,2, 3-triazol-1-yl) -1, 2-dihydro-3H-pyrazol-3-one;
2- (6- (6-oxa-2-azaspiro [3.4] oct-2-yl) pyrimidin-4-yl) -4- (1H-1,2, 3-triazol-1-yl) -1, 2-dihydro-3H-pyrazol-3-one;
2- (6- (2-oxa-8-azaspiro [4.5] decan-8-yl) pyrimidin-4-yl) -4- (1H-1,2, 3-triazol-1-yl) -1, 2-dihydro-3H-pyrazol-3-one;
2- (6- (2-oxa-6-azaspiro [3.4] oct-6-yl) pyrimidin-4-yl) -4- (1H-1,2, 3-triazol-1-yl) -1, 2-dihydro-3H-pyrazol-3-one;
2- (6- (2-aza-spiro [4.4] non-2-yl) pyrimidin-4-yl) -4- (1H-1,2, 3-triazol-1-yl) -1, 2-dihydro-3H-pyrazol-3-one;
2- (6- (7-azaspiro [3.5] non-7-yl) pyrimidin-4-yl) -4- (1H-1,2, 3-triazol-1-yl) -1, 2-dihydro-3H-pyrazol-3-one;
2- (6- (4, 4-difluoro-6-aza-spiro [2.5] oct-6-yl) pyrimidin-4-yl) -4- (1H-1,2, 3-triazol-1-yl) -1, 2-dihydro-3H-pyrazol-3-one;
2- (6- (1, 1-difluoro-6-aza-spiro [2.5] oct-6-yl) pyrimidin-4-yl) -4- (1H-1,2, 3-triazol-1-yl) -1, 2-dihydro-3H-pyrazol-3-one;
2- (6- (2-azaspiro [3.3] heptan-2-yl) pyrimidin-4-yl) -4- (1H-1,2, 3-triazol-1-yl) -1, 2-dihydro-3H-pyrazol-3-one;
2- (6- (2-aza-spiro [3.4] oct-2-yl) pyrimidin-4-yl) -4- (1H-1,2, 3-triazol-1-yl) -1, 2-dihydro-3H-pyrazol-3-one;
2- (6- (8-oxa-2-azaspiro [4.5] decan-2-yl) pyrimidin-4-yl) -4- (1H-1,2, 3-triazol-1-yl) -1, 2-dihydro-3H-pyrazol-3-one;
2- (6- (2, 2-difluoro-7-azaspiro [3.5] non-7-yl) pyrimidin-4-yl) -4- (1H-1,2, 3-triazol-1-yl) -1, 2-dihydro-3H-pyrazol-3-one;
2- (6- (1, 1-difluoro-5-azaspiro [2.3] hex-5-yl) pyrimidin-4-yl) -4- (1H-1,2, 3-triazol-1-yl) -1, 2-dihydro-3H-pyrazol-3-one;
2- (6- (8, 8-difluoro-2-azaspiro [4.5] decan-2-yl) pyrimidin-4-yl) -4- (1H-1,2, 3-triazol-1-yl) -1, 2-dihydro-3H-pyrazol-3-one;
2- (6- (6-aza-spiro [2.5] oct-6-yl) pyrimidin-4-yl) -4- (1H-1,2, 3-triazol-1-yl) -1, 2-dihydro-3H-pyrazol-3-one;
2- (6- (1-oxa-7-azaspiro [3.5] non-7-yl) pyrimidin-4-yl) -4- (1H-1,2, 3-triazol-1-yl) -1, 2-dihydro-3H-pyrazol-3-one;
2- (6- (1-oxa-6-azaspiro [3.4] oct-6-yl) pyrimidin-4-yl) -4- (1H-1,2, 3-triazol-1-yl) -1, 2-dihydro-3H-pyrazol-3-one.
7. A process for the preparation of a compound of formula (la) or a pharmaceutically acceptable salt thereof, as claimed in claim 1, which comprises the steps of:
Figure FDA0003728481040000031
reacting a compound If with a compound Ig under the high-temperature alkaline condition to obtain a compound of a general formula (I);
wherein X1 、X2 、X3 、Y1 、Y2 、Y3 、A1 、A2 W, m, n, i, j are as defined in claim 1.
8. The method of claim 7, wherein the agent that provides basic conditions is potassium carbonate.
9. The production method according to claim 7, wherein the high temperature is 100 ℃.
10. A pharmaceutical composition comprising a compound of general formula (I) according to any one of claims 1 to 6 or a pharmaceutically acceptable salt thereof, and a pharmaceutically acceptable carrier.
11. Use of a compound of general formula (I) according to any one of claims 1 to 6 or a pharmaceutically acceptable salt thereof or a pharmaceutical composition according to claim 10 for the preparation of a PHD inhibitor.
12. Use of a compound of general formula (I) according to any one of claims 1 to 6 or a pharmaceutically acceptable salt thereof, or a pharmaceutical composition according to claim 10, for the manufacture of a medicament for the treatment of a disease associated with PHD activity.
13. The use according to claim 12, wherein the disease associated with PHD activity is selected from cardiovascular diseases, chronic kidney disease, hematopoietic disorders, infections, surgically associated ischemic states and continuous symptoms thereof after surgery, surgical wound healing, cancer and health state injuries occurring during cancer treatment, diseases ranging from rheumatic forms and autoimmune diseases, continuous symptoms of acute and prolonged cerebral ischemic states.
14. The use according to claim 13, wherein the cardiovascular disease is cardiac insufficiency, coronary heart disease, angina pectoris, myocardial infarction, stroke, arteriosclerosis, hypertension or peripheral arterial occlusive disease.
15. The use of claim 13, wherein the hematopoietic disorder is primary anemia, renal anemia, or anemia with neoplastic disease.
16. The use of claim 13, wherein the infection is an HIV infection.
17. The use according to claim 13, wherein the disease is rheumatoid arthritis.
18. The use according to claim 13, wherein the diseases are anemia due to blood loss, iron deficiency anemia, vitamin deficiency anemia, aplastic anemia and aplastic anemia or hemolytic anemia, anemia due to iron utilization disorders or due to endocrine disorders.
19. The use of claim 13, wherein the surgery is cardiac intervention using a heart-lung machine, carotid artery intervention, aortic intervention, and intervention using an instrument opening or penetrating a skull cap.
20. The use of claim 13, wherein the cancer treatment is treatment with cytostatics, antibiotics or radiation.
21. The use according to claim 13, wherein the continuous symptom of acute and prolonged cerebral ischemic conditions is stroke or labor asphyxia.
CN201811237690.7A2017-10-232018-10-23Dihydropyrazolone compound and preparation method and medical application thereofActiveCN109694380B (en)

Applications Claiming Priority (2)

Application NumberPriority DateFiling DateTitle
CN20171099396102017-10-23
CN2017109939612017-10-23

Publications (2)

Publication NumberPublication Date
CN109694380A CN109694380A (en)2019-04-30
CN109694380Btrue CN109694380B (en)2022-09-27

Family

ID=66230115

Family Applications (1)

Application NumberTitlePriority DateFiling Date
CN201811237690.7AActiveCN109694380B (en)2017-10-232018-10-23Dihydropyrazolone compound and preparation method and medical application thereof

Country Status (1)

CountryLink
CN (1)CN109694380B (en)

Families Citing this family (1)

* Cited by examiner, † Cited by third party
Publication numberPriority datePublication dateAssigneeTitle
CN118021977A (en)*2024-02-192024-05-14南开大学Application of prolyl hydroxylase inhibitor in preparation of medicines for preventing and/or treating platelet thrombosis

Citations (2)

* Cited by examiner, † Cited by third party
Publication numberPriority datePublication dateAssigneeTitle
WO2009129945A1 (en)*2008-04-232009-10-29Bayer Schering Pharma AktiengesellschaftSubstituted dihydropyrazolones as inhibitors of hif-prolyl-4-hydroxylases
CN101631785A (en)*2006-10-262010-01-20拜耳先灵制药股份公司Substituted dihydropyrazolones for the treatment of cardiovascular and hematological disorders

Patent Citations (3)

* Cited by examiner, † Cited by third party
Publication numberPriority datePublication dateAssigneeTitle
CN101631785A (en)*2006-10-262010-01-20拜耳先灵制药股份公司Substituted dihydropyrazolones for the treatment of cardiovascular and hematological disorders
WO2009129945A1 (en)*2008-04-232009-10-29Bayer Schering Pharma AktiengesellschaftSubstituted dihydropyrazolones as inhibitors of hif-prolyl-4-hydroxylases
CN102015685A (en)*2008-04-232011-04-13拜耳先灵制药股份公司Substituted dihydropyrazolones as inhibitors of HIF-prolyl-4-hydroxylases

Also Published As

Publication numberPublication date
CN109694380A (en)2019-04-30

Similar Documents

PublicationPublication DateTitle
TW202220985A (en)Fused imidazole derivative, preparation method thereof, and medical use thereof
RU2634900C2 (en)Spirocyclic pyrrolopyrazine(piperidine)amides as ionic channels modulators
CN117813312A (en)SHP2 inhibitor, pharmaceutical composition comprising same and use thereof
TW202039470A (en)Thrβ receptor agonist compound and preparation method and use thereof
CN110372693B (en) A compound targeting degrading BET protein and its application
TWI718113B (en)Pyridinecarboxamides derivatives, preparation process and pharmaceutical use thereof
EP2643300A1 (en)Inhibitors of the activity of complex iii of the mitochondrial electron transport chain and use thereof for treating diseases
WO2021190417A1 (en)Novel aminopyrimidine egfr inhibitor
TW202321263A (en)Sulfonamide derivatives, their preparation methods and their medical use
CN111295380B (en) A highly active CSF1R inhibitor compound
JP7720906B2 (en) Pyrrolidine compounds and uses thereof
KR20210123337A (en) Aromatic ring or heteroaromatic ring compound, preparation method thereof and medical use thereof
CN118176198A (en) Nitrogen-containing tetracyclic compound, preparation method thereof and application thereof in medicine
CN114149423B (en)Tetrahydropyridopyrimidinedione derivative, preparation method thereof and application thereof in medicine
TW200810752A (en)Modulators of muscarinic receptors
CN108794453A (en)It is a kind of targeting degradation FAK albumen compound and its application
TW202227420A (en)Triazinedione derivatives, preparation method and medical use thereof
CN115594695A (en)Macrocyclic compound, preparation method and medical application thereof
KR20250053961A (en) Exatecan-derived topoisomerase-1 inhibitor pharmaceutical composition and use thereof
TW202227402A (en)Pyrimidinedione derivatives, preparation method and medical use thereof
CN109694380B (en)Dihydropyrazolone compound and preparation method and medical application thereof
CN112689635A (en)1, 7-naphthyridine derivative and preparation method and application thereof
WO2024104462A1 (en)Gpr17 modulators and uses thereof
WO2024148932A1 (en)Egfr c797s mutation inhibitor and pharmaceutical use thereof
CN109206435B (en)Thieno [3,2-d ] pyrimidine compound and preparation method and medical application thereof

Legal Events

DateCodeTitleDescription
PB01Publication
PB01Publication
SE01Entry into force of request for substantive examination
SE01Entry into force of request for substantive examination
GR01Patent grant
GR01Patent grant

[8]ページ先頭

©2009-2025 Movatter.jp