Movatterモバイル変換


[0]ホーム

URL:


CN109655826B - Low-slow small target track filtering method and device - Google Patents

Low-slow small target track filtering method and device
Download PDF

Info

Publication number
CN109655826B
CN109655826BCN201811538436.0ACN201811538436ACN109655826BCN 109655826 BCN109655826 BCN 109655826BCN 201811538436 ACN201811538436 ACN 201811538436ACN 109655826 BCN109655826 BCN 109655826B
Authority
CN
China
Prior art keywords
target
model
motion model
representing
probability
Prior art date
Legal status (The legal status is an assumption and is not a legal conclusion. Google has not performed a legal analysis and makes no representation as to the accuracy of the status listed.)
Active
Application number
CN201811538436.0A
Other languages
Chinese (zh)
Other versions
CN109655826A (en
Inventor
鲁瑞莲
胥秋
金敏
汪宗福
邹江波
Current Assignee (The listed assignees may be inaccurate. Google has not performed a legal analysis and makes no representation or warranty as to the accuracy of the list.)
Chengdu Huirong Guoke Microsystem Technology Co ltd
Original Assignee
Chengdu Huirong Guoke Microsystem Technology Co ltd
Priority date (The priority date is an assumption and is not a legal conclusion. Google has not performed a legal analysis and makes no representation as to the accuracy of the date listed.)
Filing date
Publication date
Application filed by Chengdu Huirong Guoke Microsystem Technology Co ltdfiledCriticalChengdu Huirong Guoke Microsystem Technology Co ltd
Priority to CN201811538436.0ApriorityCriticalpatent/CN109655826B/en
Publication of CN109655826ApublicationCriticalpatent/CN109655826A/en
Application grantedgrantedCritical
Publication of CN109655826BpublicationCriticalpatent/CN109655826B/en
Activelegal-statusCriticalCurrent
Anticipated expirationlegal-statusCritical

Links

Images

Classifications

Landscapes

Abstract

Hair brushThe invention discloses a low-slow small target track filtering method based on interactive multi-model-Kalman filtering, which comprises the following steps: step 1: obtaining an estimated value X of a target initial state through a track initial algorithm0And initial state estimate covariance matrix P0(ii) a Step 2: setting a target motion model set, and obtaining a corresponding state transition matrix and a radar measurement matrix according to motion characteristics; and step 3: calculating model prediction probability and mixing probability corresponding to the kth moment; and 4, step 4: calculating a mixing state and a mixing covariance at the kth moment; and 5: calculating a one-step predicted value and a predicted covariance matrix of each model mixed state at the (k + 1) th moment and a measured one-step predicted value and a predicted covariance matrix; step 6: calculating a target state estimation value and an estimated covariance matrix at the (k + 1) th moment, and calculating a likelihood function and a model probability; the value of k is incremented by 1 and then step 3 is performed again. The invention improves the success rate of point trace correlation and finally improves the radar detection precision.

Description

Low-slow small target track filtering method and device
Technical Field
The invention belongs to the technical field of radars, and particularly relates to a low-slow small target track filtering method and device based on interactive multi-model-Kalman filtering.
Background
The traditional radar can not effectively detect a high-altitude fast large target (short for a high-altitude fast target) and a low-altitude slow small target (short for a low-altitude slow small target), and along with the rapid development of low-altitude openness and unmanned aerial vehicle technology, the traditional radar can not effectively prevent low-altitude safety. In view of the above, a low-slow small-target detection radar is developed, which can timely find low-slow small-flight targets within a certain range and adopt corresponding treatment means. However, when the unmanned aerial vehicle is detected at low altitude, the target association result can be influenced by various clutter and interference, and especially when a target close to the ground is detected, the detection error of the radar and the angle measurement precision of a stronger ground clutter target in the pitching direction can be greatly influenced, so that the noise pitch angle precision is sharply deteriorated, the pitching error is multiplied, the association result is greatly influenced, the track is greatly irregular, and the detection precision and the tracking precision of the radar are influenced finally.
In summary, the prior art has the following disadvantages: the traditional radar cannot effectively detect the low-altitude low-speed small target, and the detection precision and the tracking precision of the existing low-speed small target detection radar are poor.
Disclosure of Invention
In order to solve the technical problems, the invention provides a low-speed small target track filtering method and device based on interactive multi-model-Kalman filtering.
A low-slow small target track filtering method based on interactive multi-model-Kalman filtering comprises the following steps:
step 1: obtaining an estimated value X of a target initial state through a track initial algorithm0And initial state estimate covariance matrix P0
Step 2: setting a target motion model set, and obtaining a corresponding state transition matrix and a radar measurement matrix according to the target motion state;
and step 3: calculating the prediction probability and the mixing probability of the target motion model corresponding to the kth moment;
and 4, step 4: calculating a target motion model mixed state and a mixed covariance corresponding to the kth moment;
and 5: calculating a one-step predicted value and a predicted covariance matrix of the mixed state of each target motion model at the (k + 1) th moment and a measured one-step predicted value and a predicted covariance matrix;
step 6: calculating a target state estimation value and an estimated covariance matrix at the (k + 1) th moment, and calculating a likelihood function and a target motion model probability;
the value of k is incremented by 1 and then step 3 is performed again.
In a preferred embodiment, the track initiation algorithm comprises: a logic track starting algorithm or a track starting algorithm based on Hough transformation; the detection form of the radar detector comprises the following steps: square rate detection or linear detection.
In a preferred embodiment, the set of object motion models is defined as [ M [ ]1,M2,...,Mn]The corresponding state transition matrix is defined as [ F ]1,F2,...,Fn]The radar measurement matrix is defined as [ H ]1,H2,...,Hn]Wherein n represents the number of target motion models in a target motion model set, the target motion model set is a target motion model set obtained according to different motion states and motion characteristics of a target, the target motion model comprises a uniform velocity linear motion model, a uniform acceleration linear motion model and a cooperative turning model, wherein M is the number of target motion models in the target motion model set, and M is the number of target motion models in the target motion modeliRepresenting the motion model of the ith object, FiRepresenting the state transition matrix corresponding to the ith object motion model, HiAnd (3) representing a radar measurement matrix corresponding to the ith target motion model, wherein i is a positive integer greater than or equal to 1.
In a preferred embodiment, the object motion model predicts a probability
Figure RE-GDA0001990840380000021
And mixed probabilities
Figure RE-GDA0001990840380000022
Is obtained by the following steps:
3a) wherein the object motion model predicts the probability
Figure RE-GDA0001990840380000031
Representing the probability of the motion model of the ith object from time k to time k +1,
Figure RE-GDA0001990840380000032
representing the probability of the occurrence of the jth target motion model at the kth time, and calculating the prediction probability of the target motion model by using the following formula
Figure RE-GDA0001990840380000033
Figure RE-GDA0001990840380000034
Wherein, gamma isi|j=Pr{rk+1=i|rkJ, wherein said Γ ″i|jRepresenting the probability of a transition from an object motion model j to an object motion model i when the object is moving, where rk、rk+1Respectively representing target motion models of a target at the k moment and the k +1 moment, Pr {. is used for solving the probability of occurrence of an event, and Σ is used for summing operation;
3b) wherein the probability of mixing
Figure RE-GDA0001990840380000035
Representing the probability of transferring from the ith target motion model to the jth target motion model from the k time to the k +1 time when the target moves, and calculating the mixed probability by using the result obtained in the step 3a) and the following formula
Figure RE-GDA0001990840380000036
Figure RE-GDA0001990840380000037
Wherein c represents a normalization constant, the magnitude of c and
Figure RE-GDA0001990840380000038
as a result of the calculation, k represents the kth time, and k is a positive integer of 1 or more.
In a preferred embodiment, the time k mixing state is obtained by the following steps
Figure RE-GDA0001990840380000039
Sum and mixture covariance
Figure RE-GDA00019908403800000310
4a) Wherein
Figure RE-GDA00019908403800000311
And
Figure RE-GDA00019908403800000312
representing the interaction result of the state and the covariance, and calculating the mixed state at the k-th time by using the result obtained in the step 3b) and the following formula
Figure RE-GDA00019908403800000313
Sum and mixture covariance
Figure RE-GDA00019908403800000314
Figure RE-GDA00019908403800000315
Wherein
Figure RE-GDA00019908403800000316
And
Figure RE-GDA00019908403800000317
updated values representing the hybrid state and hybrid covariance of the target at time k (.)TRepresenting a matrix transpose operation.
In a preferred embodiment, each target motion model M at the k +1 th moment is calculated by the following stepsiOne-step prediction of hybrid states
Figure RE-GDA0001990840380000041
And a prediction covariance matrix
Figure RE-GDA0001990840380000042
And one-step prediction value of measurement
Figure RE-GDA0001990840380000043
And the prediction covariance momentMatrix of
Figure RE-GDA0001990840380000044
Where i represents the ith object motion model:
5a) calculating a one-step predicted value of the mixing state at the k +1 th time by using the following formula
Figure RE-GDA0001990840380000045
And the prediction covariance matrix
Figure RE-GDA0001990840380000046
Figure RE-GDA0001990840380000047
Wherein u isiRepresenting the process noise matrix of the ith target motion model, wherein the known process noise obeys the mean value of 0 and the standard deviation is sigmauNormal distribution of (2); qik+1|kRepresenting a process noise covariance matrix of an ith target motion model from a kth time to a (k + 1) th time;
5b) calculating a predicted value of one step measured from the k-th time to the k + 1-th time by using the result obtained in the step 5a) and the following formula
Figure RE-GDA0001990840380000048
And a prediction covariance matrix
Figure RE-GDA0001990840380000049
Figure RE-GDA00019908403800000410
Wherein R isik+1|kRepresenting the measured noise covariance matrix of the ith target motion model from the kth moment to the (k + 1) th moment, wherein the measured noise covariance matrix has the following size: rik+1|k=wik+1|k(wik+1|k)TWherein w isik+1|kIndicating the movement of the ith objectMeasuring noise matrixes from the kth moment to the (k + 1) th moment of the model, wherein the known measuring noise obeys a mean value of 0 and a standard deviation of sigmawWhere i is 1,2, … n.
In a preferred embodiment of the present invention,
Figure RE-GDA00019908403800000411
wherein σuRepresenting the process noise standard deviation, TsRepresenting the scan period of the radar antenna.
In a preferred embodiment, the target state estimate at time k +1 of the ith moving target model is calculated by
Figure RE-GDA0001990840380000051
And estimate covariance matrix
Figure RE-GDA0001990840380000052
And calculating likelihood functions
Figure RE-GDA0001990840380000053
Probability of target motion model
Figure RE-GDA0001990840380000054
6a) Calculating the target state estimation value of the ith moving target model at the (k + 1) th moment according to the calculation result of the step 5 and the following formula
Figure RE-GDA0001990840380000055
And estimate covariance matrix
Figure RE-GDA0001990840380000056
Figure RE-GDA0001990840380000057
Wherein z isk+1Indicating the measured value of the target at the k +1 th time,(·)TFor matrix transposition operations, (.)-1Performing matrix inversion operation;
6b) calculating the likelihood function at the k +1 th time using the following formula based on the result obtained in step 6a)
Figure RE-GDA0001990840380000058
Figure RE-GDA0001990840380000059
Where exp (-) denotes solving a power series based on the natural logarithm e, det (-) denotes the value of the determinant,
Figure RE-GDA00019908403800000510
represents the square root operation;
6c) calculating the probability of the target motion model at the k +1 th moment according to the likelihood function obtained by calculation in the step 6b) and the following formula
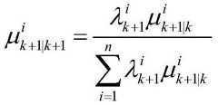
Figure RE-GDA00019908403800000511
Figure RE-GDA00019908403800000512
The target association algorithm comprises the following steps: a nearest neighbor data association algorithm, a probability data interconnection algorithm or a joint probability data interconnection algorithm.
The invention discloses a low-slow small target track filtering device based on interactive multi-model-Kalman filtering, which comprises:
a processor;
a memory in electronic communication with the processor, the memory having stored therein instructions that, when executed by the processor, are capable of causing the apparatus to perform the method of any one of claims 1-8.
The present invention discloses a computer readable storage medium having stored thereon instructions which, when executed by a processor, implement a method as in one of the above.
The invention has the beneficial effects that: the method can be applied to targets (such as unmanned aerial vehicles, birds and the like) which are low in flying height, low in flying speed and small in size and difficult to detect, and filtering operation after correlation is completed. According to the method, an interactive multi-model-Kalman filtering algorithm is added in the radar data processing process, so that smooth target tracks can be realized, the association accuracy is improved, and the radar detection precision is improved compared with the traditional process of directly taking the measured data as final track update data.
Drawings
FIG. 1 is a general flow chart for implementing the low-slow small target trajectory filtering method based on the interactive multi-model-Kalman filtering.
Detailed Description
The following detailed description of embodiments of the invention refers to the accompanying drawings.
Fig. 1 is a general flowchart of an implementation of a low-slow small target trajectory filtering method based on an interactive multi-model-kalman filtering, and as shown in the figure, the low-slow small target trajectory filtering method of the present invention includes the following steps:
step 1 is performed at block 101: obtaining an estimated value X of a target initial state through a track initial algorithm0And initial state estimate covariance matrix P0
Step 2 is performed at block 102: setting a target motion model set, and obtaining a corresponding state transition matrix and a radar measurement matrix according to motion characteristics;
step 3 is performed at block 103: calculating model prediction probability and mixing probability corresponding to the kth moment;
step 4 is performed at block 104: calculating a mixing state and a mixing covariance at the kth moment;
step 5 is performed at block 105: calculating a one-step predicted value and a predicted covariance matrix of each model mixed state at the (k + 1) th moment and a measured one-step predicted value and a predicted covariance matrix;
step 6 is performed at block 106: calculating a target state estimation value and an estimated covariance matrix at the (k + 1) th moment, and calculating a likelihood function and a model probability;
the value of k is incremented by 1 and then step 3 is performed again.
The detailed calculation method of the present invention is described below: in step 1, firstly initializing parameters, setting the initial output of the detector to be 0, and waiting for the detector to receive signals; obtaining the initial state estimation X of the target track through the target track initial algorithm0And a state estimation covariance matrix P0(ii) a The target track initiation algorithm includes a logic track initiation algorithm and a track initiation algorithm based on Hough transformation, and the example selects but is not limited to the track initiation algorithm based on Hough transformation. The detection form of the radar detector includes square rate detection, linear detection, etc., and the square rate detector is selected but not limited in this example.
In step 2, a set of object motion models is set to [ M [ ]1,M2,...,Mn]According to the motion characteristics, the corresponding state transition matrix is obtained as [ F ]1,F2,...,Fn]The radar measurement matrix is [ H ]1,H2,...,Hn]Wherein n represents the number of models in the model set;
the target motion model is a model set obtained according to different motion states and motion characteristics of the target, and common target motion models comprise a uniform velocity linear motion model, a uniform acceleration linear motion model, a cooperative turning model and the like. In the embodiment, but not limited to, a uniform linear motion model and a uniform acceleration linear motion model are selected to form a target motion model set.
This example was verified based on measured data with the following model parameters:
three-dimensional uniform linear motion model state transition matrix F1Comprises the following steps:
Figure RE-GDA0001990840380000081
wherein T issIndicating the scanning period of the radar antenna, in this example T is chosens=3s。
The three-dimensional uniform linear motion model measurement matrix is as follows:
Figure RE-GDA0001990840380000082
three-dimensional uniform acceleration linear motion model state transition matrix F1Comprises the following steps:
Figure RE-GDA0001990840380000083
the three-dimensional uniform acceleration linear motion model measurement matrix is as follows:
Figure RE-GDA0001990840380000084
step 3, obtaining the model M according to the step 2i(where i ═ 1, 2.. times, n) and the corresponding model prediction probabilities are calculated by the measurement matrix
Figure RE-GDA0001990840380000085
And mixed probabilities
Figure RE-GDA0001990840380000086
3a) Calculating model prediction probability using the following equation
Figure RE-GDA0001990840380000087
Figure RE-GDA0001990840380000091
Wherein, gamma isi|j=Pr{rk+1=i|rkJ, the probability of the transition from model j to model i when representing the object motion is Γi|j,rk、rk+1Respectively representing target motion models of a target at the k moment and the k +1 moment, Pr {. is used for solving the probability of occurrence of an event, and Σ is used for summing operation;
3b) calculating a mixture probability using the result obtained in step 3a) and the following formula
Figure RE-GDA0001990840380000092
Figure RE-GDA0001990840380000093
Wherein c represents a normalization constant, magnitude and
Figure RE-GDA0001990840380000094
the calculation results are related;
step 4, calculating the mixing state at the kth moment according to the model prediction probability and the mixing probability obtained in the step 3
Figure RE-GDA0001990840380000095
Sum and mixture covariance
Figure RE-GDA0001990840380000096
4a) Calculating the mixing state at the k-th time by using the result obtained in the step 3b) and the following formula
Figure RE-GDA0001990840380000097
Sum and mixture covariance
Figure RE-GDA0001990840380000098
Figure RE-GDA0001990840380000099
Wherein
Figure RE-GDA00019908403800000910
And
Figure RE-GDA00019908403800000911
represents the state update value of the target at time k (.)TRepresenting a matrix transpose operation.
Step 5, calculating each model M at the k +1 th moment according to the state transition matrix obtained in the step 2 and the mixed state obtained in the step 4i(where i ═ 1, 2.., n) one-step predictive value of the mixing regime
Figure RE-GDA00019908403800000912
And covariance matrix
Figure RE-GDA00019908403800000913
5a) Calculating a one-step predicted value of the mixing state at the k +1 th time by using the following formula
Figure RE-GDA00019908403800000914
And the prediction covariance matrix
Figure RE-GDA00019908403800000915
Figure RE-GDA00019908403800000916
Wherein u isiRepresenting a process noise matrix, known as the process noise obeys a mean of 0 and a standard deviation of σuNormal distribution of (2); qik+1|kRepresents the process noise covariance matrix from time k to time k +1, in this example taking the form:
Figure RE-GDA0001990840380000101
wherein σuExpressing the process noise standard deviation, take σp=0.1。
Step 6, calculating the one-step prediction of the measurement at the k +1 th moment according to the measurement matrix obtained in the step 2 and the state one-step prediction state and covariance matrix obtained in the step 5
Figure RE-GDA0001990840380000102
And variance
Figure RE-GDA0001990840380000103
6a) Calculating a predicted value measured at the k +1 th moment by using the result obtained in the step 5 and the following formula
Figure RE-GDA0001990840380000104
And a prediction covariance matrix
Figure RE-GDA0001990840380000105
Figure RE-GDA0001990840380000106
Wherein R isik+1|kRepresenting the measured noise covariance matrix of the ith model from the kth time to the (k + 1) th time, with the magnitude: rik+1|k=wik+1|k(wik+1|k)TWherein w isik+1|kRepresenting the measurement noise matrix of the ith model from the kth time to the kth +1 time, wherein the known measurement noise obeys a mean value of 0 and a standard deviation of sigmawNormal distribution of (2);
step 7, updating the target state estimation at the (k + 1) th moment according to the results of the step 5 and the step 6 by a track association algorithm
Figure RE-GDA0001990840380000107
And estimate covariance
Figure RE-GDA0001990840380000108
And calculating likelihood functions
Figure RE-GDA0001990840380000109
7a) Calculating the estimated value of the target state at the k +1 th moment according to the calculation results of the step 5 and the step 6 and the following formula
Figure RE-GDA00019908403800001010
And estimate covariance matrix
Figure RE-GDA00019908403800001011
Figure RE-GDA00019908403800001012
Wherein z isk+1Represents the measured value of the target at the k +1 th time, (.)TFor matrix transposition operations, (.)-1A matrix inversion operation is performed.
7b) Calculating the likelihood function at the k +1 th time using the following formula based on the result obtained in step 7a)
Figure RE-GDA0001990840380000111
Figure RE-GDA0001990840380000112
Wherein,
Figure RE-GDA0001990840380000113
representing the probability of the occurrence of the ith moving object model at the time point k +1, exp (-) representing the solution to the power series based on the natural logarithm e, det (-) representing the value of the determinant,
Figure RE-GDA0001990840380000114
indicating a square root operation.
The target association algorithm comprises a nearest neighbor data association algorithm, a probability data interconnection algorithm, a joint probability data interconnection algorithm and the like, and because the relative clutter density of the experimental simulation environment is low and the target is a single target, the nearest neighbor data interconnection algorithm is selected but not limited in the embodiment.
Step 8, calculating the model probability of the k +1 th moment
Figure RE-GDA0001990840380000115
Returning to the step 4 to carry out the operation at the next moment.
8a) Calculated according to step 7a)The probability of the model at the k +1 th time is calculated by the following formula
Figure RE-GDA0001990840380000116
Figure RE-GDA0001990840380000117
The effect of the present invention will be further explained with the simulation experiment. According to the simulation experiment result, wherein the simulation data source is as follows: the data signals mainly contain distance measurement information of x, y and z axes of a target under a Cartesian three-dimensional rectangular coordinate system. The simulation content comprises: the motion state of the simulation target is not subjected to the data processing of the invention and is compared with the motion state of the simulation target after the data processing of the invention. As can be seen from the simulation results, after the data processing of the invention, the track can be seen to be obviously smooth on the x-z plane reflecting the target pitching precision; and due to the serious irregularity of the original track, part of the traces deviate from the real international distance to be too large to be associated, so that the radar detection probability is reduced. After the track is smooth, the observed point track is more stable relative to the track, so that the point track association success rate is improved to a certain extent, and the aims of improving the radar detection precision and the tracking precision are finally fulfilled. In conclusion, the simulation experiment verifies the correctness, the effectiveness and the reliability of the method.
It will be evident to those skilled in the art that the embodiments of the present invention are not limited to the details of the foregoing illustrative embodiments, and that the embodiments of the present invention are capable of being embodied in other specific forms without departing from the spirit or essential attributes thereof. The present embodiments are therefore to be considered in all respects as illustrative and not restrictive, the scope of the embodiments being indicated by the appended claims rather than by the foregoing description, and all changes which come within the meaning and range of equivalency of the claims are therefore intended to be embraced therein. Any reference sign in a claim should not be construed as limiting the claim concerned. Furthermore, it is obvious that the word "comprising" does not exclude other elements or steps, and the singular does not exclude the plural. Several units, modules or means recited in the system, apparatus or terminal claims may also be implemented by one and the same unit, module or means in software or hardware. The terms first, second, etc. are used to denote names, but not any particular order.
Finally, it should be noted that the above embodiments are only used for illustrating the technical solutions of the embodiments of the present invention and not for limiting, and although the embodiments of the present invention are described in detail with reference to the above preferred embodiments, it should be understood by those skilled in the art that modifications or equivalent substitutions can be made on the technical solutions of the embodiments of the present invention without departing from the spirit and scope of the technical solutions of the embodiments of the present invention.

Claims (9)

1. A low-slow small target track filtering method based on interactive multi-model-Kalman filtering is characterized by comprising the following steps:
step 1: obtaining an estimated value X of a target initial state through a track initial algorithm0And initial state estimate covariance matrix P0
Step 2: setting a target motion model set, and obtaining a corresponding state transition matrix and a radar measurement matrix according to the target motion state;
and step 3: calculating the prediction probability and the mixing probability of the target motion model corresponding to the kth moment;
and 4, step 4: calculating a target motion model mixed state and a mixed covariance corresponding to the kth moment;
and 5: calculating a one-step predicted value and a predicted covariance matrix of the mixed state of each target motion model at the (k + 1) th moment and a measured one-step predicted value and a predicted covariance matrix;
step 6: calculating a target state estimation value and an estimated covariance matrix at the (k + 1) th moment, and calculating a likelihood function and a target motion model probability;
adding 1 to the k value, and then executing the step 3 again;
the step 5: calculating a one-step predicted value and a prediction covariance matrix of a mixed state of each target motion model at the (k + 1) th moment and a measured one-step predicted value and a prediction covariance matrix, wherein the method comprises the following steps of:
5a) calculating a one-step predicted value of the mixing state at the k +1 th time by using the following formula
Figure FDA0003021241740000011
And the prediction covariance matrix
Figure FDA0003021241740000012
Figure FDA0003021241740000013
Wherein u isiRepresenting the process noise matrix of the ith target motion model, wherein the known process noise obeys the mean value of 0 and the standard deviation is sigmauNormal distribution of (2);
Figure FDA0003021241740000014
representing a process noise covariance matrix of an ith target motion model from a kth time to a (k + 1) th time;
Figure FDA0003021241740000015
indicating a mixing state at the k-th time;
Figure FDA0003021241740000016
representing a one-step predicted value of the mixed state of each target motion model at the k +1 th moment;
Figure FDA0003021241740000017
the prediction covariance matrix, F, representing the mixture state of each target motion model at time k +1iRepresenting a state transition matrix corresponding to the ith target motion model, wherein i is a positive integer greater than or equal to 1;
5b) calculating a predicted value of one step measured from the k-th time to the k + 1-th time by using the result obtained in the step 5a) and the following formula
Figure FDA0003021241740000021
And a prediction covariance matrix
Figure FDA0003021241740000022
Figure FDA0003021241740000023
Wherein R isik+1|kRepresenting the measured noise covariance matrix of the ith target motion model from the kth moment to the (k + 1) th moment, wherein the measured noise covariance matrix has the following size: rik+1|k=wik+1|k(wik+1|k)TWherein w isik+1|kRepresenting a measurement noise matrix of the ith target motion model from the kth moment to the kth +1 moment, wherein the known measurement noise obeys a mean value of 0 and a standard deviation of sigmawWherein i is 1,2, … n; hiAnd (3) representing a radar measurement matrix corresponding to the ith target motion model, wherein i is a positive integer greater than or equal to 1.
2. The interactive multi-model-Kalman filtering-based low-slow small target trajectory filtering method according to claim 1, characterized in that the track initiation algorithm comprises: a logic track starting algorithm or a track starting algorithm based on Hough transformation; the detection form of the radar detector comprises the following steps: square rate detection or linear detection.
3. The interactive multi-model-Kalman filtering based low-slow small target trajectory filtering method of claim 2, characterized in that the set of target motion models is defined as [ M1,M2,...,Mn]The corresponding state transition matrix is defined as [ F ]1,F2,...,Fn]The radar measurement matrix is defined as [ H ]1,H2,...,Hn]Wherein n represents the object in the object motion model setThe number of the target motion models is the target motion model set obtained according to different motion states and motion characteristics of the target, the target motion models comprise a uniform velocity linear motion model, a uniform acceleration linear motion model and a cooperative turning model, wherein M isiRepresenting the ith object motion model.
4. The interactive multi-model-Kalman filtering based low-slow small target trajectory filtering method according to claim 3, characterized in that the target motion model predicts probability
Figure FDA0003021241740000024
And mixed probabilities
Figure FDA0003021241740000025
Is obtained by the following steps:
3a) wherein the object motion model predicts the probability
Figure FDA0003021241740000026
Representing the probability of the motion model of the ith object from time k to time k +1,
Figure FDA0003021241740000031
representing the probability of the occurrence of the jth target motion model at the kth time, and calculating the prediction probability of the target motion model by using the following formula
Figure FDA0003021241740000032
Figure FDA0003021241740000033
Wherein, gamma isi|j=Pr{rk+1=i|rkJ, wherein said Γ ″i|jRepresenting the probability of a transition from an object motion model j to an object motion model i when the object is moving, where rk、rk+1Respectively representing target motion models of a target at the k moment and the k +1 moment, Pr {. is used for solving the probability of occurrence of an event, and Σ is used for summing operation;
3b) wherein the probability of mixing
Figure FDA0003021241740000034
Representing the probability of transferring from the ith target motion model to the jth target motion model from the k time to the k +1 time when the target moves, and calculating the mixed probability by using the result obtained in the step 3a) and the following formula
Figure FDA0003021241740000035
Figure FDA0003021241740000036
Wherein c represents a normalization constant, the magnitude of c and
Figure FDA0003021241740000037
as a result of the calculation, k represents the kth time, and k is a positive integer of 1 or more.
5. The method for filtering low-slow small target track based on interactive multi-model-Kalman filtering according to claim 4, characterized in that the k-th time mixing state is obtained by the following steps
Figure FDA0003021241740000038
Sum and mixture covariance
Figure FDA0003021241740000039
4a) Wherein
Figure FDA00030212417400000310
And
Figure FDA00030212417400000311
representing interaction of state and covarianceUsing the result, the mixed state at the k-th time is calculated by using the result obtained in the step 3b) and the following formula
Figure FDA00030212417400000312
Sum and mixture covariance
Figure FDA00030212417400000313
Figure FDA00030212417400000314
Wherein
Figure FDA00030212417400000315
And
Figure FDA00030212417400000316
updated values representing the hybrid state and hybrid covariance of the target at time k (.)TRepresenting a matrix transpose operation.
6. The method of claim 5, wherein the low-slow small target trajectory filtering method based on the interactive multi-model-Kalman filtering,
Figure FDA0003021241740000041
wherein σuRepresenting the process noise standard deviation, TsRepresenting the scan period of the radar antenna.
7. The method for filtering low-slow small target track based on interactive multi-model-Kalman filtering as claimed in claim 5, characterized in that the target state estimation value at the k +1 th moment of the ith moving target model is calculated by the following steps
Figure FDA0003021241740000042
And estimate covarianceMatrix array
Figure FDA0003021241740000043
And calculating likelihood functions
Figure FDA0003021241740000044
Probability of target motion model
Figure FDA0003021241740000045
6a) Calculating the target state estimation value of the ith moving target model at the (k + 1) th moment according to the calculation result of the step 5 and the following formula
Figure FDA0003021241740000046
And estimate covariance matrix
Figure FDA0003021241740000047
Figure FDA0003021241740000048
Wherein z isk+1Represents the measured value of the target at the k +1 th time, (.)TFor matrix transposition operations, (.)-1Performing matrix inversion operation;
6b) calculating the likelihood function at the k +1 th time using the following formula based on the result obtained in step 6a)
Figure FDA0003021241740000049
Figure FDA00030212417400000410
Wherein,
Figure FDA00030212417400000411
represents the probability of the occurrence of the ith moving object model at the time k +1, exp (·)) Representing the solution to a power series based on the natural logarithm e, det (-) representing the value of the determinant,
Figure FDA00030212417400000412
represents the square root operation;
6c) calculating the probability of the target motion model at the k +1 th moment according to the likelihood function obtained by calculation in the step 6b) and the following formula
Figure FDA00030212417400000413
Figure FDA0003021241740000051
The target association algorithm comprises the following steps: a nearest neighbor data association algorithm, a probability data interconnection algorithm or a joint probability data interconnection algorithm.
8. A low-slow small target track filtering device based on interactive multi-model-Kalman filtering is characterized by comprising:
a processor;
a memory in electronic communication with the processor, the memory having stored therein instructions that, when executed by the processor, are capable of causing the apparatus to perform the method of any one of claims 1-7.
9. A computer-readable storage medium storing instructions which, when executed by a processor, implement the method of any one of claims 1-7.
CN201811538436.0A2018-12-162018-12-16Low-slow small target track filtering method and deviceActiveCN109655826B (en)

Priority Applications (1)

Application NumberPriority DateFiling DateTitle
CN201811538436.0ACN109655826B (en)2018-12-162018-12-16Low-slow small target track filtering method and device

Applications Claiming Priority (1)

Application NumberPriority DateFiling DateTitle
CN201811538436.0ACN109655826B (en)2018-12-162018-12-16Low-slow small target track filtering method and device

Publications (2)

Publication NumberPublication Date
CN109655826A CN109655826A (en)2019-04-19
CN109655826Btrue CN109655826B (en)2021-06-08

Family

ID=66114395

Family Applications (1)

Application NumberTitlePriority DateFiling Date
CN201811538436.0AActiveCN109655826B (en)2018-12-162018-12-16Low-slow small target track filtering method and device

Country Status (1)

CountryLink
CN (1)CN109655826B (en)

Families Citing this family (9)

* Cited by examiner, † Cited by third party
Publication numberPriority datePublication dateAssigneeTitle
CN111398948B (en)*2020-04-082021-12-10成都汇蓉国科微系统技术有限公司Maneuvering small target track association method under strong clutter background
CN112528763B (en)*2020-11-242024-06-21浙江华锐捷技术有限公司Target detection method, electronic equipment and computer storage medium
CN112989260B (en)*2021-02-072022-11-01湖北理工学院Interactive multi-model filtering method of automatic feeding weighing system
CN113030959B (en)*2021-04-012023-07-04成都汇蓉国科微系统技术有限公司Radar and photoelectric linkage anti-low small-target 3D map picture jitter eliminating method
CN113376626A (en)*2021-06-232021-09-10西安电子科技大学High maneuvering target tracking method based on IMMPDA algorithm
CN113628254B (en)*2021-08-132024-12-31长沙祥云瑞风信息技术有限公司 Target trajectory determination method based on mobile platform and related equipment
CN114895298B (en)*2022-04-082024-07-12西安电子科技大学Method and device for measuring and correcting Bernoulli filtering of radar slow weak maneuvering target
CN116383966B (en)*2023-03-302023-11-21中国矿业大学Multi-unmanned system distributed cooperative positioning method based on interaction multi-model
CN118520374B (en)*2024-07-242024-11-08四川九洲电器集团有限责任公司 A method for long-term target trajectory prediction based on interacting multiple models

Family Cites Families (5)

* Cited by examiner, † Cited by third party
Publication numberPriority datePublication dateAssigneeTitle
CN103853908B (en)*2012-12-042017-11-14中国科学院沈阳自动化研究所A kind of maneuvering target tracking method of adaptive interaction formula multi-model
CN107045125B (en)*2017-03-172020-01-14电子科技大学Interactive multi-model radar target tracking method based on predicted value measurement conversion
CN107728140B (en)*2017-11-222019-12-24中国电子科技集团公司第二十八研究所 A Multi-Target Multi-Channel Parallel Tracking Processing Method for Warning Radar
CN108226920B (en)*2018-01-092021-07-06电子科技大学 A Maneuvering Target Tracking System and Method Based on Predicted Value Processing Doppler Measurement
CN108896986B (en)*2018-04-232022-06-03电子科技大学 A Predictive Value-Based Measurement-Transformation Sequential Filtering Method for Maneuvering Target Tracking

Also Published As

Publication numberPublication date
CN109655826A (en)2019-04-19

Similar Documents

PublicationPublication DateTitle
CN109655826B (en)Low-slow small target track filtering method and device
US11466992B2 (en)Method, apparatus, device and medium for detecting environmental change
CN114830138A (en)Training trajectory scoring neural networks to accurately assign scores
CN110609290A (en) Lidar matching and positioning method and device
CN112433934A (en)Simulation test method, simulation test device, computer equipment and storage medium
CN104199022B (en)Target modal estimation based near-space hypersonic velocity target tracking method
CN111077518B (en) A tracking filtering method and device based on range-Doppler measurement
CN110751266A (en)Unmanned aerial vehicle trajectory prediction module and prediction method thereof
CN114820749B (en) Unmanned vehicle underground positioning method, system, equipment and medium
CN113128272B (en)Collision prediction method, device, storage medium and server
CN115128597A (en) Maneuvering target tracking method under non-Gaussian noise based on IMM-STEKF
Xia et al.Extended object tracking using hierarchical truncation measurement model with automotive radar
US11386248B2 (en)Method and device for simulating atomic dynamics
CN115495707B (en)Interactive multi-model maneuvering target tracking method based on fuzzy self-adaptive UKF
Ge et al.Task-driven controllable scenario generation framework based on AOG
CN114819135B (en) Detection model training method, target detection method, device and storage medium
CN114002650B (en) A multi-sensor space-time deviation calibration and maneuvering target tracking method
US20240311269A1 (en)Simulator metrics for autonomous driving
CN117593340B (en)Method, device and equipment for determining swing angle of carrier rocket servo mechanism
CN117710418A (en)Unmanned aerial vehicle track tracking method based on interactive multimode Kalman filtering
CN115222023B (en) Non-cooperative target control strategy identification method and system based on neural network
CN115345030A (en)Method and device for simulating electromagnetic scattering characteristics of space dynamic cluster target
Yang et al.SLAM based on double layer unscented Kalman filter
CN114577213B (en)Distributed multi-platform underwater multi-target association and passive positioning method
CN120318500B (en)Target detection method, device and storage medium based on self-adaptive anchor alignment

Legal Events

DateCodeTitleDescription
PB01Publication
PB01Publication
SE01Entry into force of request for substantive examination
SE01Entry into force of request for substantive examination
GR01Patent grant
GR01Patent grant

[8]ページ先頭

©2009-2025 Movatter.jp