


技术领域technical field
本发明属于功率变换器控制领域,涉及一种基于动态权重的新型定频模型预测电流控制方法,该方法可应用于电机调速、可再生能源发电等领域。The invention belongs to the field of power converter control, and relates to a novel fixed-frequency model predictive current control method based on dynamic weights, which can be applied to the fields of motor speed regulation, renewable energy power generation and the like.
背景技术Background technique
随着永磁同步电机系统功率等级的提升,传统功率器件组成的拓扑结构已无法满足高电压、大功率应用场合需求。为满足实际工程需求,国内外科研人员采用多重化变流技术,将传统两电平六开关拓扑结构进行组合,构成多重化变流器拓扑结构。由于拓扑结构本身的特点,在系统运行时,多重化变流器结构母线电压存在二倍频波动。因此,在对系统进行控制时,若采用传统定频模型预测电流控制,在系统数学模型准确时,具有快速响应的能力,但不能够削弱母线电压波动在稳态时对控制性能的影响,而比例谐振控制(Proportional Resonant,简称PR)可以实现交流信号无静差跟踪,因此,PR控制算法能够削弱母线电压波动对控制性能的影响,但是,PR控制算法在动态过程中存在调节滞后的缺点。With the improvement of the power level of the permanent magnet synchronous motor system, the topology structure composed of traditional power devices can no longer meet the requirements of high voltage and high power applications. In order to meet the actual engineering needs, domestic and foreign researchers have adopted the multiplexed converter technology to combine the traditional two-level six-switch topology to form a multiplexed converter topology. Due to the characteristics of the topology itself, when the system is running, there are double frequency fluctuations in the bus voltage of the multiplexed converter structure. Therefore, when controlling the system, if the traditional fixed frequency model is used to predict the current control, when the mathematical model of the system is accurate, it has the ability to respond quickly, but it cannot weaken the influence of the bus voltage fluctuation on the control performance in the steady state. Proportional resonant control (PR for short) can realize AC signal tracking without static error. Therefore, the PR control algorithm can weaken the influence of bus voltage fluctuation on the control performance. However, the PR control algorithm has the disadvantage of adjustment lag in the dynamic process.
发明内容SUMMARY OF THE INVENTION
本发明的目的在于克服现有技术的上述不足,提供一种基于动态权重的新型定频模型预测电流控制方法,能够实现控制系统在动、稳态过程中均具有良好控制性能,且具有实现简单,可靠性高的优点。本发明的一种基于动态变权重的新型定频模型预测电流控制方法,包括以下步骤:The purpose of the present invention is to overcome the above-mentioned deficiencies of the prior art, and to provide a novel fixed-frequency model predictive current control method based on dynamic weights, which can realize that the control system has good control performance in both dynamic and steady-state processes, and is easy to implement. , the advantages of high reliability. A novel fixed-frequency model predictive current control method based on dynamic variable weights of the present invention includes the following steps:
步骤一,在k时刻,对控制系统所需信号进行采样,具体包括:三组直流母线电压Udc1,Udc2,Udc3、电网侧输入三相电压eA、eB、eC以及三相电流iA、iB、iC;Step 1, at time k, sample the signals required by the control system, which specifically include: three groups of DC bus voltages Udc1 , Udc2 , Udc3 , grid side input three-phase voltages eA , eB , eC and three-phase voltages Current iA , iB , iC ;
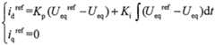
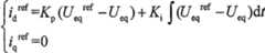
步骤二,令q轴给定电流为零,根据电压外环给定值与反馈值之间的差值,经过比例积分控制器得到d轴电流给定值idref;idref与idref的表达式分别为:Step 2: Set the q-axis given current to zero, and obtain the d-axis current given valueid ref through the proportional integral controller according to the difference between the voltage outer loop given value and the feedback value;idref andidd The expressions ofref are:
式中idref、iqref分别为d-q轴给定电流值,Kp为电压外环PI控制器比例系数,Ki为电压外环PI控制器积分系数,Ueqref为电压给定值,Ueq为两倍的反馈电压均值。where idref and iqref are the given current values of the dq axis respectively, Kp is the proportional coefficient of the voltage outer loop PI controller, Ki is the integral coefficient of the voltage outer loop PI controller, and Ueqref is the voltage given value , Ueq is twice the average feedback voltage.
步骤三,将k采样得到的电压eA、eB、eC经过锁相环运算,得到位置信息θ,并将交流输入电压信号(采样得到)与电流信号(采样与计算得到)通过坐标变换理论,变换为α-β轴系下电压、电流分量;该步骤表达式如下:In
式中eα(k)、eβ(k)为k时刻交流侧输入电压在α-β轴系下电压分量,eA(k)、eB(k)、eC(k)为k时刻交流侧输入三相电压;In the formula, eα (k) and eβ (k) are the voltage components of the AC side input voltage at time k under the α-β axis system, and eA (k), eB (k), and eC (k) are the time k. AC side input three-phase voltage;
式中iα(k)、iβ(k)为k时刻交流侧输入电流在α-β轴系下电流分量,iA(k)、iB(k)、iC(k)为k时刻交流侧输入三相电流;In the formula, iα (k) and iβ (k) are the current components of the AC side input current under the α-β axis system at time k, and iA (k), iB (k), and iC (k) are the time k. AC side input three-phase current;
式中iαref、iβref分别为给定电流在α-β轴系下电流分量,idref、iqref分别为d-q轴给定电流值,θ为位置信息;where iαref and iβref are the current components of the given current in the α-β axis system, respectively, idref and iqref are the given current values of thedq axis, respectively, and θ is the position information;
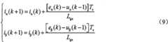
步骤四,利用k时刻电流、电压采样值,根据系统离散化数学模型,对模型预测控制延时补偿电流值进行计算;其表达式如下:Step 4: Use the current and voltage sampling values at time k to calculate the model predictive control delay compensation current value according to the discrete mathematical model of the system; its expression is as follows:
式中iα(k+1)、iβ(k+1)分别为k+1时刻交流侧输入电流在α-β轴系下电流分量,即延时补偿电流值。Ts为系统控制周期,Lgx为等效后的交流侧电感,uα(k-1)、uβ(k-1)分别为k-1时刻输出电压矢量在α-β轴系下电压分量;In the formula, iα (k+1) and iβ (k+1) are the current components of the AC side input current under the α-β axis system at the time of k+1, that is, the delay compensation current value. Ts is the system control period, Lgx is the equivalent AC side inductance, uα (k-1), uβ (k-1) are the voltage of the output voltage vector at the time of k-1 under the α-β axis system, respectively weight;
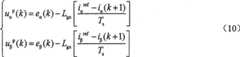
步骤五,根据步骤四所得到的延时补偿值,将延时补偿值iα,β(k+1)代替k时刻电流值iα,β(k),代入系统离散化数学模型,求解α-β轴系下,模型预测控制输出电压矢量;其表达式如下:Step 5: According to the delay compensation value obtained in step 4, replace the delay compensation value iα, β (k+1) with the current value iα, β (k) at time k, and substitute it into the system discretization mathematical model to solve α. Under the -β axis system, the model predictive control output voltage vector; its expression is as follows:
式中uαp(k)、uβp(k)为模型预测控制输出在α-β轴系下电压分量;where uαp (k) and uβp (k) are the voltage components of the model predictive control output under the α-β axis system;
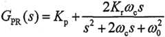
步骤六,根据系统离散化数学模型,求解α-β轴系下,PR控制器输出电压矢量;其表达式为:Step 6: According to the discrete mathematical model of the system, solve the output voltage vector of the PR controller under the α-β axis system; its expression is:
式中uαpr(k)、uβpr(k)为PR控制器输出在α-β轴系下电压分量,GPR(s)为PR控制器的传递函数,如下式所示:where uαpr (k) and uβpr (k) are the output voltage components of the PR controller under the α-β axis, and GPR (s) is the transfer function of the PR controller, as shown in the following formula:
式中Kp与Kr分别为PR控制器的比例系数与谐振系数,ωc、ω0分别为截止频率与谐振频率;where Kp and Kr are the proportional coefficient and resonance coefficient of the PR controller, respectively, and ωc and ω0 are the cut-off frequency and resonance frequency, respectively;
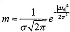
步骤七,将PR控制作为模型预测电流控制的补偿环节,构建动态变权重新型定频模型预测电流控制。以d轴电流误差值作为判断依据,根据钟型曲线中高斯分布函数,设计时变权重函数m,并对m最大值为1进行限幅;其表达式为:In step 7, the PR control is used as the compensation link of the model predictive current control, and the dynamic variable weight re-type fixed frequency model predictive current control is constructed. Taking the d-axis current error value as the judgment basis, according to the Gaussian distribution function in the bell curve, the time-varying weight function m is designed, and the maximum value of m is 1 to limit the amplitude; its expression is:
式中,uαend(k)、uβend(k)为最终参考电压矢量,m为时变权重函数,其表达式为:In the formula, uαend (k), uβend (k) are the final reference voltage vector, m is the time-varying weight function, and its expression is:
式中,Δid为d轴电流误差值,σ为标准差,恒大于0;假设控制系统稳态时d轴电流差值在±0.2A之间进行波动,在对m函数进行参数整定时,需按照以下规则:In the formula, Δid is the d-axis current error value, σ is the standard deviation, which is always greater than 0; assuming that the d-axis current difference fluctuates between ±0.2A when the control system is in a steady state, when the m function is parameterized, The following rules apply:
1)当系统处于稳态过程且无采样误差时,d轴电流差值在±0.2A之间进行波动,此时希望为PR控制,因此将0.2A作为一个转折点,当误差绝对值小于等于0.2A时,m恒为1。1) When the system is in a steady state process and there is no sampling error, the d-axis current difference fluctuates between ±0.2A. At this time, PR control is desired, so 0.2A is taken as a turning point. When the absolute value of the error is less than or equal to 0.2 When A, m is always 1.
2)当系统处于稳态过程且出现采样误差时,电流差值的绝对值将大于0.2A,此时希望m在0到1之间缓慢变化,两种控制算法同时作用,达到快速响应且削弱母线电压波动对控制性能影响的目的。2) When the system is in a steady state process and there is a sampling error, the absolute value of the current difference will be greater than 0.2A. At this time, it is hoped that m varies slowly between 0 and 1, and the two control algorithms work at the same time to achieve fast response and weakening. The purpose of the influence of bus voltage fluctuation on control performance.
3)当系统处于动态过程且无采样误差时,假设动态过程电流差值变1A,此时希望模型预测电流控制占据主导作用,m应迅速减小到0。3) When the system is in a dynamic process and there is no sampling error, it is assumed that the current difference in the dynamic process changes to 1A. At this time, it is hoped that the model predicts the current control to play a leading role, and m should decrease to 0 quickly.
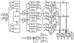
步骤八,根据k时刻所获得的位置信息θ、三组母线电压,将最终获得的参考电压矢量uαend(k)、uβend(k)除以2,分别由三个SVPWM计算单元进行占空比计算,在SVPWM计算单元计算时,三个SVPWM计算单元的载波相位不同,其中第二、第三SVPWM计算单元的载波相位同时滞后于计算单元一1/3个控制周期,从而进行PWM占空比计算,并将所得到PWM信号进行重组,在k+1时刻进行占空比更新,同时在k+1时刻重复步骤一至步骤七,以此进行循环。Step 8: Divide the finally obtained reference voltage vectors uαend (k) and uβend (k) by 2 according to the position information θ obtained at time k and the three groups of bus voltages, respectively, which are carried out by three SVPWM calculation units. In the duty cycle calculation, when the SVPWM calculation unit calculates, the carrier phases of the three SVPWM calculation units are different, and the carrier phases of the second and third SVPWM calculation units lag behind the calculation unit - 1/3 control cycle at the same time, so as to perform PWM Calculate the duty cycle, recombine the obtained PWM signal, update the duty cycle at the time k+1, and repeat steps 1 to 7 at the time k+1, so as to cycle.
与现有技术相比,本发明所具有的效果为:Compared with the prior art, the effect that the present invention has is:
(1)本发明在动态过程中采用模型预测电流控制,相比于PR控制具有动态响应迅速的优点。(1) The present invention adopts model predictive current control in the dynamic process, which has the advantage of rapid dynamic response compared with PR control.
(2)受三重化系统直流母线电压二倍频波动影响,模型预测电流控制无法获得良好稳态性能,本发明采用PR控制对模型预测电流控制进行补偿,能够削弱母线电压二倍频波动对系统控制性能的影响,相比于传统模型预测电流控制具有良好的稳态性能。(2) Affected by the double frequency fluctuation of the DC bus voltage of the triple system, the model predicted current control cannot obtain good steady-state performance. The present invention uses PR control to compensate the model predicted current control, which can weaken the effect of the double frequency fluctuation of the bus voltage on the system. Compared with the traditional model, the current control has good steady-state performance.
附图说明Description of drawings
图1:线电压级联型三重化变流器拓扑图;Figure 1: Topological diagram of line voltage cascade triple converter;
图2:线电压级联型三重化变流器等效电路;Figure 2: Equivalent circuit of line voltage cascade triple converter;
图3:系统控制结构图Figure 3: System Control Structure Diagram
具体实施方式Detailed ways
当三重化变流器作为电网侧整流电路时,其拓扑结构如图1所示。忽略交流侧输入线路电阻其对系统的影响,将图1中单元1与单元2构成的回路进行推广,可以得到以下关系:When the triple converter is used as a grid-side rectifier circuit, its topology is shown in Figure 1. Ignoring the influence of the input line resistance on the AC side on the system, and generalizing the loop formed by unit 1 and unit 2 in Figure 1, the following relationship can be obtained:
式中UAB、UBC、UCA为三重化LVC-VSC交流侧线电压,EAB、EBC、ECA为电网输入线电压,Iai、Ibi、Ici分别为组成单元i中各相的相电流,Uaibi、Ubici、Uciai分别为组成单元i中交流侧ab、bc、ca相相间线电压基波分量,其中,i=1、2、3。Ub1a2、Uc2b3、Ua1c3分别为连接各单元之间限流电感的电压。In the formula, UAB , UBC , and UCA are the line voltages of the triple LVC-VSC AC side, EAB , EBC , and ECA are the input line voltages of the power grid, and Iai , Ibi , and Ici are the respective phases in the constituent unit i. The phase currents Uaibi , Ubici , and Uciai are the fundamental wave components of the phase-to-phase line-to-phase voltages on the AC side ab, bc, and ca in the constituent unit i, respectively, where i=1, 2, and 3. Ub1a2 , Uc2b3 , and Ua1c3 are respectively the voltages connecting the current-limiting inductors between the units.
根据上述分析可知,三重化变流可以等效为一个传统两电平功率变换器,如图2所示。图中,Lgx为等效后的交流侧电感,其表达式为:According to the above analysis, the triple converter can be equivalent to a traditional two-level power converter, as shown in Figure 2. In the figure, Lgx is the equivalent AC side inductance, and its expression is:
式中,kL为Lg与Lx之间比值,即:In the formula, kL is the ratio between Lg and Lx , namely:
由于等效开关电路的交流侧线电压等于相邻两个级联的VSC单元线电压之和,则等效后的直流母线电压Ueq等于两倍Uav,Uav表示3组直流母线电压的平均值。根据图2可以得到三重化变流器等效开关电路在α-β轴系下的数学模型表达式为:Since the AC side line voltage of the equivalent switching circuit is equal to the sum of the line voltages of two adjacent cascaded VSC units, the equivalent DC bus voltage Ueq is equal to twice Uav , and Uav represents the average of the three groups of DC bus voltages value. According to Figure 2, the mathematical model expression of the equivalent switching circuit of the triple converter under the α-β axis system can be obtained as:
式中eα、eβ、iα、iβ分别为α-β轴系下电网电压与电网电流,其获取方式如步骤三所述,可以分别表示为:In the formula, eα , eβ , iα , and iβ are the grid voltage and grid current under the α-β axis system, respectively. The acquisition method is as described in
式中eα(k)、eβ(k)为k时刻交流侧输入电压在α-β轴系下电压分量,eA(k)、eB(k)、eC(k)为k时刻交流侧输入三相电压。In the formula, eα (k) and eβ (k) are the voltage components of the AC side input voltage at time k under the α-β axis system, and eA (k), eB (k), and eC (k) are the time k. AC side input three-phase voltage.
式中iα(k)、iβ(k)为k时刻交流侧输入电流在α-β轴系下电流分量,iA(k)、iB(k)、iC(k)为k时刻交流侧输入三相电流。In the formula, iα (k) and iβ (k) are the current components of the AC side input current under the α-β axis system at time k, and iA (k), iB (k), and iC (k) are the time k. Three-phase current is input on the AC side.
步骤二中,通过电压外环PI控制器计算控制系统d轴给定电流值,可以表示为:In step 2, the given current value of the d-axis of the control system is calculated by the voltage outer loop PI controller, which can be expressed as:
式中idref、iqref分别为电网侧d-q轴给定电流值,Kp为电压外环PI控制器比例系数,Ki为电压外环PI控制器积分系数,Ueqref为电压给定值,Ueq为两倍的反馈电压均值。将式(7)按照步骤三中所述进行坐标变换,可以得到:In the formula, idref and iqref are the given current values of the dq axis on the grid side respectively, Kp is the proportional coefficient of the voltage outer loop PI controller, Ki is the integral coefficient of the voltage outer loop PI controller, and Ueqref is the voltage supply A fixed value, Ueq is twice the average value of the feedback voltage. The coordinate transformation of formula (7) as described in
式中iαref、iβref分别为给定电流在α-β轴系下电流分量,idref、iqref分别为d-q轴给定电流值,θ为位置信息。In the formula, iαref and iβref are the current components of the given current in the α-β axis system, respectively, idref and iqref are the given current values of thedq axis, respectively, and θ is the position information.
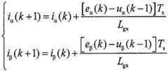
步骤四中对模型预测控制延时补偿进行计算,即根据式(4)求解iα,β(k+1),将式(4)离散化,并求解。可以得到:In the fourth step, the model predictive control delay compensation is calculated, that is, iα, β (k+1) is solved according to the formula (4), and the formula (4) is discretized and solved. You can get:
式中iα(k+1)、iβ(k+1)分别为k+1时刻交流侧输入电流在α-β轴系下电流分量,即延时补偿电流值。Ts为系统控制周期,uα(k-1)、uβ(k-1)分别为k-1时刻给定电压矢量在α-β轴系下电压分量。In the formula, iα (k+1) and iβ (k+1) are the current components of the AC side input current under the α-β axis system at the time of k+1, that is, the delay compensation current value. Ts is the system control period, and uα (k-1) and uβ (k-1) are the voltage components of the given voltage vector at the time of k-1 under the α-β axis system, respectively.
步骤五中根据步骤四所得延时补偿电流值,对模型预测控制输出电压矢量uαp、uβp进行计算,可以表示为:In step 5, the model predictive control output voltage vectors uαp and uβp are calculated according to the delay compensation current value obtained in step 4, which can be expressed as:
步骤六中对PR控制补偿环节输出电压矢量uαpr(k),uβpr(k)进行计算,可以表示为:In step 6, the output voltage vectors uαpr (k) and uβpr (k) of the PR control compensation link are calculated, which can be expressed as:
式中GPR(s)为PR控制的传递函数,如下式所示:where GPR (s) is the transfer function of PR control, as shown in the following formula:
式中Kp与Kr分别为PR控制器的比例系数与谐振系数,ωc、ω0分别为截止频率与谐振频率。In the formula, Kp and Kr are the proportional coefficient and resonance coefficient of the PR controller, respectively, and ωc and ω0 are the cut-off frequency and the resonance frequency, respectively.
步骤七中,构建动态变权重新型定频模型预测电流控制,可以表示为:In step 7, a dynamic variable weight remodeling fixed frequency model is constructed to predict the current control, which can be expressed as:
式中uαend(k)、uβend(k)为最终参考电压矢量,m为时变权重函数,其表达式为:where uαend (k) and uβend (k) are the final reference voltage vector, m is the time-varying weight function, and its expression is:
式中Δid为d轴电流误差值,σ为标准差,恒大于0。同时,可以根据实际运行工况的需求,选择合适的σ来构造函数m,由于不同的σ可能使m大于1,因此需对m最大值为1进行限幅。where Δid is thed -axis current error value, and σ is the standard deviation, which is always greater than 0. At the same time, a suitable σ can be selected to construct the function m according to the requirements of the actual operating conditions. Since different σ may make m greater than 1, it is necessary to limit the maximum value of m to 1.
步骤八,根据三重化变流器结构特点与现有载波移相调制策略,在对系统进行控制时,需采用三个SVPWM计算单元,且各SVPWM计算单元均采用2Uav/3作为空间矢量坐标系中坐标轴的模长,其中Uav为直流侧三组电容电压的平均值。因此,k时刻所获得的参考电压矢量uαend(k)、uβend(k)需乘以1/2作为各SVPWM计算单元的最终参考电压矢量,在SVPWM计算单元计算时,三个SVPWM计算单元的载波相位不同,其中第二、第三SVPWM计算单元的载波相位同时滞后于计算单元一1/3个控制周期,从而进行PWM占空比计算,并将所得到PWM信号进行重组,在k+1时刻进行占空比更新以及重复步骤一至步骤七,以此循环。此时系统控制框图如图3所示。Step 8: According to the structural characteristics of the triple converter and the existing carrier phase-shift modulation strategy, when controlling the system, three SVPWM calculation units are required, and each SVPWM calculation unit adopts 2Uav /3 as the space vector coordinate. The modulo length of the coordinate axis in the system, where Uav is the average value of the three groups of capacitor voltages on the DC side. Therefore, the reference voltage vectors uαend (k) and uβend (k) obtained at time k need to be multiplied by 1/2 as the final reference voltage vector of each SVPWM calculation unit. When the SVPWM calculation unit calculates, the three SVPWM The carrier phases of the calculation units are different, and the carrier phases of the second and third SVPWM calculation units lag behind the calculation unit by 1/3 control period at the same time, so as to calculate the PWM duty cycle, and recombine the obtained PWM signals. The duty cycle is updated at time k+1 and steps 1 to 7 are repeated, and the cycle is repeated. At this time, the system control block diagram is shown in Figure 3.
| Application Number | Priority Date | Filing Date | Title |
|---|---|---|---|
| CN201910022417.0ACN109600061B (en) | 2019-01-10 | 2019-01-10 | Novel fixed-frequency model prediction current control method based on dynamic weight |
| Application Number | Priority Date | Filing Date | Title |
|---|---|---|---|
| CN201910022417.0ACN109600061B (en) | 2019-01-10 | 2019-01-10 | Novel fixed-frequency model prediction current control method based on dynamic weight |
| Publication Number | Publication Date |
|---|---|
| CN109600061A CN109600061A (en) | 2019-04-09 |
| CN109600061Btrue CN109600061B (en) | 2020-08-21 |
| Application Number | Title | Priority Date | Filing Date |
|---|---|---|---|
| CN201910022417.0AActiveCN109600061B (en) | 2019-01-10 | 2019-01-10 | Novel fixed-frequency model prediction current control method based on dynamic weight |
| Country | Link |
|---|---|
| CN (1) | CN109600061B (en) |
| Publication number | Priority date | Publication date | Assignee | Title |
|---|---|---|---|---|
| CN112713796B (en)* | 2020-12-18 | 2022-05-17 | 国创移动能源创新中心(江苏)有限公司 | DC/AC control method and device of bidirectional direct current charger in off-grid mode |
| CN113364372B (en)* | 2021-06-04 | 2023-05-12 | 深圳市振邦智能科技股份有限公司 | Electroless control method for compressor |
| CN115276393B (en)* | 2022-08-12 | 2025-08-12 | 中国电子科技集团公司第五十八研究所 | Digital duty ratio self-adaptive soft switching method based on Gaussian function |
| Publication number | Priority date | Publication date | Assignee | Title |
|---|---|---|---|---|
| US6641746B2 (en)* | 2001-09-28 | 2003-11-04 | Agere Systems, Inc. | Control of semiconductor processing |
| CN102447268B (en)* | 2011-12-19 | 2013-07-17 | 湖南大学 | Robust dicyclic photovoltaic grid-connected control method based on power feedforward |
| CN102723885B (en)* | 2012-06-26 | 2014-03-19 | 天津大学 | Proportional resonant control method for triple modular redundant line voltage cascaded rectifier |
| CN106788045B (en)* | 2017-02-17 | 2019-03-12 | 天津工业大学 | A kind of permanent magnet synchronous motor model prediction PI changeable weight concurrency control method |
| Publication number | Publication date |
|---|---|
| CN109600061A (en) | 2019-04-09 |
| Publication | Publication Date | Title |
|---|---|---|
| Hannan et al. | Switching techniques and intelligent controllers for induction motor drive: Issues and recommendations | |
| CN102723885B (en) | Proportional resonant control method for triple modular redundant line voltage cascaded rectifier | |
| Zhang et al. | Optimized switching finite control set model predictive control of NPC single-phase three-level rectifiers | |
| EP2811641A1 (en) | Controlling the operation of an converter having a plurality of semiconductor switches for converting high power electric signals from DC to AC or from AC to DC | |
| Wei et al. | Autoregressive moving average model-free predictive current control for PMSM drives | |
| CN109600061B (en) | Novel fixed-frequency model prediction current control method based on dynamic weight | |
| Abd Ali et al. | Improved indirect field-oriented control of induction motor drive based PSO algorithm | |
| Mencou et al. | Advanced torque and speed control techniques for induction motor drives: A review | |
| Liao et al. | Robust dichotomy solution-based model predictive control for the grid-connected inverters with disturbance observer | |
| CN111740635A (en) | Double-loop control method of single-phase LC inverter | |
| Fu et al. | Finite-time command filtered control of three-phase AC/DC converter under unbalanced grid conditions | |
| Mehedi et al. | Feedforward neural network-DTC of multi-phase permanent magnet synchronous motor using five-phase neural space vector pulse width modulation strategy | |
| Jeeranantasin et al. | Sliding mode control of three-phase AC/DC converters using exponential rate reaching law | |
| Acikgoz et al. | Experimental evaluation of dynamic performance of three‐phase AC–DC PWM rectifier with PD‐type‐2 fuzzy neural network controller | |
| Wei et al. | Model-free predictive control using sinusoidal generalized universal model for PMSM drives | |
| Reghioui et al. | Enhancement of space vector modulation based-direct torque control using fuzzy PI controller for doubly star induction motor | |
| Essoussi et al. | Power Quality Improvement using a New DPC Switching Table for a Three-Phase SAPF | |
| Mohamed et al. | A new robust control using adaptive fuzzy sliding mode control for a DFIG supplied by a 19-level inverter with less number of switches | |
| CN1913320B (en) | Control method of digitally controlled inverter power supply | |
| Belkacem et al. | Reduction of torque ripple in DTC for induction motor using input-output feedback linearization | |
| Zhu et al. | Sliding mode model predictive power control of single-phase active neutral point clamped five-level rectifiers | |
| Xiao et al. | An improved precise power control of voltage sensorless-MPC for PWM rectifiers | |
| Wang et al. | A novel deadbeat predictive current control of permanent magnet synchronous motor based on oversampling scheme | |
| Fekik et al. | A new super-twisting sliding mode control based direct instantaneous power control of PWM-rectifier connected to grid | |
| González-Castaño et al. | Model-Free Predictive Control of Five-Level T-Type Nested Neutral Point Clamped Converter |
| Date | Code | Title | Description |
|---|---|---|---|
| PB01 | Publication | ||
| PB01 | Publication | ||
| SE01 | Entry into force of request for substantive examination | ||
| SE01 | Entry into force of request for substantive examination | ||
| GR01 | Patent grant | ||
| GR01 | Patent grant |