Movatterモバイル変換


[0]ホーム

URL:


CN109558006B - Wireless distributed limb motion capture device - Google Patents

Wireless distributed limb motion capture device
Download PDF

Info

Publication number
CN109558006B
CN109558006BCN201811414785.1ACN201811414785ACN109558006BCN 109558006 BCN109558006 BCN 109558006BCN 201811414785 ACN201811414785 ACN 201811414785ACN 109558006 BCN109558006 BCN 109558006B
Authority
CN
China
Prior art keywords
motion capture
node
sub
processed
limb
Prior art date
Legal status (The legal status is an assumption and is not a legal conclusion. Google has not performed a legal analysis and makes no representation as to the accuracy of the status listed.)
Active
Application number
CN201811414785.1A
Other languages
Chinese (zh)
Other versions
CN109558006A (en
Inventor
周文奇
熊鹏航
李美宏
邱轶琛
Current Assignee (The listed assignees may be inaccurate. Google has not performed a legal analysis and makes no representation or warranty as to the accuracy of the list.)
Wuhan Hexacercle Technology Co ltd
Original Assignee
Wuhan Hexacercle Technology Co ltd
Priority date (The priority date is an assumption and is not a legal conclusion. Google has not performed a legal analysis and makes no representation as to the accuracy of the date listed.)
Filing date
Publication date
Application filed by Wuhan Hexacercle Technology Co ltdfiledCriticalWuhan Hexacercle Technology Co ltd
Priority to CN201811414785.1ApriorityCriticalpatent/CN109558006B/en
Publication of CN109558006ApublicationCriticalpatent/CN109558006A/en
Application grantedgrantedCritical
Publication of CN109558006BpublicationCriticalpatent/CN109558006B/en
Activelegal-statusCriticalCurrent
Anticipated expirationlegal-statusCritical

Links

Images

Classifications

Landscapes

Abstract

The invention discloses wireless distributed limb motion capture equipment, which comprises a motion capture sub-node and a motion capture central node, wherein the motion capture sub-node is arranged on a limb; the motion capture sub-node is used for capturing gesture data to be processed of the limb part where the motion capture sub-node is located and sending the gesture data to be processed to the motion capture central node; the motion capture central node is used for receiving to-be-processed attitude data sent by each motion capture sub-node and obtaining a motion result according to the to-be-processed attitude data; according to the scheme, the motion capture is from a plurality of capture sub-nodes which are not connected with each other through electric cables and are embedded with the gesture sensors, the gesture of the user can be directly captured, the constraint of electric connecting cables is eliminated, and the gesture capture device has the advantages of being rapid and accurate in motion capture, convenient to detach and replace equipment components, comfortable in user experience and the like.

Description

Wireless distributed limb motion capture device
Technical Field
The invention relates to the field of body language semantic recognition, in particular to wireless distributed body motion capture equipment.
Background
With the increasing variety and quantity of electronic devices and the increasing popularity, the man-machine interaction mode of the user and the electronic device is also developed from a simple interaction mode by using peripherals such as a remote controller, a mouse and a keyboard to a diversified interaction mode by using voice interaction, somatosensory interaction, eye movement interaction, gesture interaction and the like. The limb action interaction mode is natural and convenient, and has great requirements in many application scenes.
The body motion interaction or recognition needs to be carried out, but the existing motion capture scheme through optics or video images has larger motion capture error in practical use because the existing motion capture scheme indirectly captures the body posture of a user. By adopting the body motion capture scheme based on the gesture sensor, although the body gesture of the user is directly captured, the user needs to wear a whole set of devices such as the motion capture clothes and the like, the device is limited by the constraint of clothes and electric connection cables, and the wearing experience effect of the user is not good, so that the user experience effect can be greatly improved by designing the motion capture device which can directly capture the body gesture of the user and get rid of the electric connection cables.
The existing limb motion capturing scheme can be divided into two types, the first type is the motion capturing scheme based on optics or video images, the steps of gray processing, edge detection, morphological transformation, feature extraction and the like need to be combined, a calculation object takes pixels as a unit, the calculation data amount is huge, the real-time performance of motion recognition is poor, and as the calculation object belongs to the indirect capturing of the limb posture of a user, the motion capturing error is larger in the actual use; the second category is represented by motion capture clothes based on attitude sensors, which are limited by the constraint of clothes and electrical connection cables, and the wearing experience effect of users is poor. The two are unbalanced in comfort and real-time performance and accuracy, so that the user experience is greatly reduced.
The above is only for the purpose of assisting understanding of the technical aspects of the present invention, and does not represent an admission that the above is prior art.
Disclosure of Invention
The invention mainly aims to provide wireless distributed limb motion capture equipment, and aims to solve the technical problems that wearing experience is poor and errors are large when a user carries out motion capture in the prior art.
In order to achieve the above object, the present invention provides a wireless distributed limb motion capture device, where the wireless distributed limb motion capture device includes a motion capture sub-node and a motion capture central node, and the motion capture sub-node is disposed on a limb; wherein,
the motion capture sub-node is used for capturing the posture data to be processed of the limb part where the motion capture sub-node is located and sending the posture data to be processed to the motion capture central node;
the motion capture central node is used for receiving the gesture data to be processed sent by each motion capture sub-node and obtaining a motion result according to the gesture data to be processed.
Preferably, the motion capture sub-node is further configured to perform real-time noise reduction processing on the to-be-processed posture data.
Preferably, the motion capture sub-node is further configured to determine a window length according to a sampling frequency of an attitude sensor, perform window division on the attitude data to be processed according to the window length, obtain a signal to be processed in each window, and perform noise reduction on the signal to be processed in each window based on empirical mode decomposition.
Preferably, the motion capture sub-node is further configured to perform empirical mode decomposition on the signal to be processed to obtain an inherent modal component; performing fast Fourier transform on the inherent modal component to obtain the center frequency of the inherent modal component; and when the central frequency is not less than the effective frequency threshold, deleting the signal to be processed from the attitude data to be processed to obtain the current attitude data.
Preferably, the motion capture central node is further configured to recognize the current posture data to obtain a motion result.
Preferably, the motion capture central node is further configured to monitor an online state, power information, and a working state of each motion capture child node.
Preferably, the motion capture sub-nodes and the motion capture central node are both in a wireless distributed structure.
Preferably, the motion capture sub-node comprises an attitude sensor, a microprocessor and a wireless communication unit.
Preferably, the motion capture sub-node is disposed on the limb through an adhesive type fixing structure, a sewing type fixing structure, a nylon hasp type fixing structure or an elastic bandage type fixing structure.
The wireless distributed limb motion capture equipment comprises a motion capture sub-node and a motion capture central node, wherein the motion capture sub-node is arranged on a limb; the motion capture sub-node is used for capturing gesture data to be processed of the limb part where the motion capture sub-node is located and sending the gesture data to be processed to the motion capture central node; the motion capture central node is used for receiving to-be-processed attitude data sent by each motion capture sub-node and obtaining a motion result according to the to-be-processed attitude data; according to the scheme, the motion capture is from a plurality of capture sub-nodes which are not connected with each other through electric cables and are embedded with the gesture sensors, the gesture of the user can be directly captured, the constraint of electric connecting cables is eliminated, and the gesture capture device has the advantages of being rapid and accurate in motion capture, convenient to detach and replace equipment components, comfortable in user experience and the like.
Drawings
FIG. 1 is a functional block diagram of an embodiment of a wireless distributed limb motion capture device of the present invention;
FIG. 2 is a schematic diagram of a multi-head star topology according to an embodiment of the wireless distributed body motion capture device of the present invention;
FIG. 3 is a schematic diagram of a mesh topology of an embodiment of the wireless distributed limb motion capture device of the present invention;
FIG. 4 is a schematic structural diagram of a motion capture sub-node according to an embodiment of the wireless distributed limb motion capture device of the present invention;
FIG. 5 is a schematic diagram illustrating the installation locations of motion capture sub-nodes according to an embodiment of the wireless distributed limb motion capture device of the present invention;
FIG. 6 is a schematic diagram of a glue-type mounting of a motion capture sub-node according to an embodiment of the wireless distributed limb motion capture device of the present invention;
FIG. 7 is a schematic diagram of a sewing-type installation of a motion capture sub-node according to an embodiment of the wireless distributed limb motion capture device of the present invention;
FIG. 8 is a schematic diagram of a Velcro type mounting of the motion capture sub-nodes of an embodiment of the wireless distributed limb motion capture device of the present invention;
FIG. 9 is a schematic diagram of an embodiment of a wireless distributed limb motion capture device according to the present invention, wherein the motion capture sub-nodes are mounted by elastic straps;
fig. 10 is a schematic flow chart of a real-time denoising process performed by the motion capture sub-node on the gesture data to be processed in the embodiment of the wireless distributed limb motion capture device of the present invention.
The implementation, functional features and advantages of the present invention will be further described with reference to the accompanying drawings.
Detailed Description
It should be understood that the specific embodiments described herein are merely illustrative of the invention and are not intended to limit the invention.
Referring to fig. 1, fig. 1 is a functional block diagram of a first embodiment of a wireless distributed limb motion capture device according to the invention.
In the first embodiment, the wireless distributed limb motion capture device comprises a motion capture sub-node 10 and a motion capture central node 20, wherein the motion capture sub-node 10 is arranged on a limb; wherein,
the motion capture sub-node 10 is configured to capture to-be-processed posture data of a limb part where the motion capture sub-node is located, and send the to-be-processed posture data to the motion capture central node 20;
the motion capture central node 20 is configured to receive the to-be-processed posture data sent by each motion capture sub-node, and obtain a motion result according to the to-be-processed posture data.
It should be noted that, the motion capture sub-nodes 10 are generally multiple, and attached to the limbs, and can sense the posture of the attached position; the motion capture central node 20 may be one or more that receive and process the pose data returned by all or a particular number of the motion capture sub-nodes. The number of the motion capture sub-nodes 10 and the number of the motion capture central nodes 20 can be set by a user in a user-defined mode, and the motion capture sub-nodes 10 are attached to the limbs to directly capture the postures of the limbs of the user instead of indirectly capture the postures of the limbs of the user, so that the limb motion capture accuracy of the user is high.
The motion capture sub-nodes 10 and the motion capture central node 20 are both wireless distributed structures. The nodes are communicated with each other in a Wireless mode, and the communication mode includes but is not limited to Wireless-Fidelity (WIFI), bluetooth, ultra-low power Bluetooth, zigbee, 2.4GHz, 433MHz, 470MHz and the like. Through the wireless distributed structure, the constraint of an electrical connection cable of a common motion capture suit is eliminated, the number of motion capture sub-nodes or motion capture central nodes can be increased or decreased at any time, the motion capture sub-nodes can be replaced mutually, and when a certain motion capture sub-node fails, the motion capture sub-nodes can be completely replaced, so that the use is not influenced, and the equipment components are convenient to disassemble and replace.
Data transmission links are mutually established among the action capturing sub-nodes in an ad hoc network mode, a multi-head star (shown in figure 2) or a network topology structure (shown in figure 3) can be adopted between the central node and each sub-node, so that the central node can receive posture data returned by all or specific action capturing sub-nodes, the real-time performance of limb action capturing is improved, and the action capturing equipment is enabled to react more sensitively.
Further, the motion capture central node 20 may be a hardware device having a microprocessor, a display unit and a wireless communication unit, and may also exist in the form of an executable program or APP running on a terminal with wireless communication capability, such as a PC, a tablet, a mobile phone, and the like, which is not limited in this embodiment.
The motion capture central node 20 has a role as a relay station and a role as a client, and is mainly used for collecting attitude data returned from each motion capture child node; according to the current posture data of the limb part where each motion capture sub-node is located, the current motion is calculated and recognized through an algorithm; the identified action result is displayed to a user or forwarded to a designated terminal; and monitoring the online state, the electric quantity information, the working state and the like of each motion capture sub-node.
Further, the motion capture sub-node 10 includes an attitude sensor, a microprocessor, and a wireless communication unit.
It should be understood that the attitude sensor is a high performance three dimensional motion attitude measurement system based on micro electro mechanical systems technology. The device comprises auxiliary motion sensors such as a three-axis gyroscope, a three-axis accelerometer, a three-axis electronic compass and the like, outputs calibrated angular velocity, acceleration, magnetic data and the like through an embedded low-power-consumption processor, measures the motion attitude through a sensor data algorithm based on quaternion, and outputs zero-drift three-dimensional attitude data expressed by quaternion, euler angle and the like in real time.
It should be noted that the gesture sensor is configured to sense current gesture data of the limb part where the motion capture sub-node 10 is located; the microprocessor is used for capturing data of the attitude sensor, carrying out real-time noise reduction processing and integrating effective information; the wireless communication unit is used for establishing wireless communication links with other motion capture sub-nodes and the motion capture central node and wirelessly transmitting effective data obtained by the operation of the microprocessor to the other motion capture sub-nodes and the motion capture central node.
In addition, the motion capture sub-node 10 is mounted to the limb and should ensure as rigid synchronization as possible with the limb motion. The number and the limb parts of the motion capture sub-nodes 10 can be adjusted arbitrarily according to the requirements of users. Referring to fig. 5, typical limb motion capture requires 16 motion capture sub-nodes, and the attachment positions are at the hand (1 on each of the left and right), forearm (1 on each of the left and right), shoulder (1 on each of the left and right), head, waist, thigh (1 on each of the left and right), calf (1 on each of the left and right), and foot (1 on each of the left and right).
The motion capture sub-node 10 may be mounted on the limb in various ways, including: but sticky formula, sewing formula, nylon hasp formula elasticity bandage formula etc. the user can be installed according to the action seizure demand of oneself, and user experience is more comfortable.
Referring to fig. 6, fig. 6 shows an adhesive type fixing structure, that is, the bottom surface of the motion capture sub-node is adhered to the motion capture garment by using gel.
Referring to fig. 7, fig. 7 is a sewing type fixing structure, namely, a threading hole is reserved on the shell of the motion capture sub-node, and the motion capture sub-node is sewn on the motion capture clothes by using a needle and a thread.
Referring to fig. 8, fig. 8 is a velcro-type fixing structure, i.e., a sub-buckle of the velcro is covered on the bottom surface of the motion capture sub-node, a female buckle of the velcro is covered on the motion capture clothes, the motion capture clothes and the female buckle are mutually buckled to complete the fixation, and the disassembly and replacement are very convenient.
Referring to fig. 9, fig. 9 is a fastening structure of an elastic bandage type, that is, the bottom surface of the motion capture sub-node is provided with an elastic bandage, and when in use, the motion capture sub-node is directly tied to a human body and is convenient to use.
The following is the scenario in which the wireless distributed limb motion capture device is applied to "teaching":
usually, a piano training teacher can only train a few students intensively in the same time period, and if a large-scale collective teaching mode is adopted, the teaching quality is reduced because one-to-one explanation guidance cannot be realized for each student. If the wireless distributed type limb motion capturing device is adopted, the limb language of the student can be collected in real time and converted into a data format, then the data of the teachers is used as standard data, the limb language data of the student is compared with the standard data, the difference of the motion can be represented through the difference of the data, and finally, the teacher can learn and exercise the teacher by eliminating the difference, so that the teachers can guide each student one-to-one in a collective teaching mode.
Further, the data of the attitude sensor captured by the motion capture sub-node 10 is inevitably doped with noise signals due to the defects of the design principle of the sensor, external electromagnetic interference, high-frequency coupling of lines and other reasons, so that errors are brought to the subsequent identification of the motion attitude. Therefore, the present embodiment proposes to perform real-time noise reduction processing on the attitude data, specifically, perform real-time noise reduction processing on the attitude data based on empirical mode decomposition, and the motion capture sub-node 10 forwards the attitude sensor data to the central node after processing the attitude sensor data by the real-time noise reduction algorithm.
Referring to fig. 10, the specific steps of the motion capture sub-node 10 performing real-time noise reduction processing on the attitude data include:
s10: and determining the window length according to the sampling frequency of the attitude sensor, and carrying out window division on the attitude data to be processed according to the window length to obtain signals to be processed in each window.
It can be understood that, according to the data sampling frequency of the attitude sensor, the window length of applying the empirical mode decomposition is determined, and the data in the window containing the latest acquired data is used as the signal to be processed. Considering that the number of sampling points and the identifiable frequency domain are in a positive correlation relationship, this embodiment indicates that the window length should be equal to the sampling frequency, which can ensure a higher frequency domain identification range, and can also ensure that the algorithm calculation is not too complex, thereby ensuring the real-time performance.
S20: and carrying out empirical mode decomposition on the signal to be processed to obtain an inherent mode component.
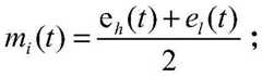
Specifically, all maximum value points and minimum value point sequences of the signal x (t) to be processed are found and are respectively fitted into an upper envelope line e and a lower envelope line e by a cubic spline functionh (t) and el (t) calculating the average m of the two envelopesi (t):
Figure BDA0001877430650000071
Subtracting the mean value m of the upper envelope and the lower envelope from the original data sequence x (t)i (t) obtaining a new sequence hi (t), namely:
hi (t)=x(t)-mi (t);
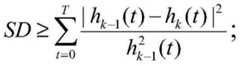
h obtained by two successive iterationsk-1 And hk Normalized mean square error of as the judgment sequence hi Whether the normalized mean square error is the criterion of the inherent modal component or not is imf if the normalized mean square error is not higher than the threshold value SD (0.2-0.3 is recommended)i (t)=hi (t), otherwise hi As the new sequence x (t) continues the iterative computation:
Figure BDA0001877430650000072
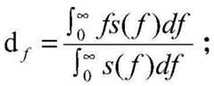
s30: and carrying out fast Fourier transform on the inherent modal component to obtain the center frequency of the inherent modal component.
It will be appreciated that if a modal component imf is obtainedi (t), utilization speedThe fast fourier transform algorithm analyzes the frequency domain components to obtain the center frequency of the natural modal component, and the calculation formula of the center frequency may be:
Figure BDA0001877430650000073
wherein d isf For the center frequency, f is the frequency component and s (f) is the amplitude spectrum.
It should be noted that the center frequency may also be determined according to the value of the highest peak in the frequency spectrum, or determined by other methods, which is not limited in this embodiment.
S40: and when the central frequency is not less than the effective frequency threshold, deleting the signal to be processed from the attitude data to be processed to obtain the current attitude data.
It should be noted that when the window length is equal to the sampling frequency, the time span of the data in the current time window is 1 second, so the effective frequency threshold can be set to 50Hz, which can both eliminate clutter noise and retain useful attitude data. When the window length is greater than the acquisition frequency, the effective frequency threshold should be increased appropriately, and conversely, the effective frequency threshold should be decreased appropriately. Of course, the effective frequency threshold may also be set to other fixed values or an adaptive dynamic threshold, which is not limited in this embodiment.
If the central frequency is greater than or equal to the effective frequency threshold, that means that the inherent modal component belongs to a noise domain and needs to be removed from the data, the remaining signals are:
rj+1 (t)=rj (t)-imfi (t);
wherein r is0 (t) = x (t). For the residual signal rj+1 (t) continuing to decompose to obtain the next natural modal component imfi+1 (t) of (d). This is repeated.
If the central frequency is less than the effective frequency threshold, the inherent modal component is a part of effective data and cannot be removed, therefore, after the noise reduction processing, the noise reduction processing is carried outIs given as rj And (t), finishing the algorithm operation.
It can be understood that, since the empirical mode decomposition decomposes the natural mode component according to the order of the frequencies from high to low, the empirical mode decomposition of the signal to be processed may be stopped when the center frequency is smaller than the effective frequency threshold, so as to save the calculation time and achieve the purpose of fast real-time noise reduction.
By performing real-time noise reduction processing on the data in the motion capture sub-node 10, the interference of noise data is reduced, and simultaneously, the huge data processing amount of a motion capture central node is avoided, the load of the central node is reduced, and the real-time performance is improved.
In the embodiment, the gesture data to be processed of the limb part where the motion capture sub-node is located is captured through the motion capture sub-node, and the gesture data to be processed is sent to the motion capture central node; the motion capture central node receives to-be-processed attitude data sent by each motion capture sub-node and obtains a motion result according to the to-be-processed attitude data; according to the scheme, the motion capture is from a plurality of capture sub-nodes which are not connected with each other through electric cables and are embedded with the gesture sensors, the limb gestures of the user can be directly captured, the constraint of electric connection cables is eliminated, and the motion capture system has the advantages of rapidness and accuracy in motion capture, convenience in equipment component replacement, comfort in user experience and the like.
It should be noted that, in this document, the terms "comprises," "comprising," or any other variation thereof, are intended to cover a non-exclusive inclusion, such that a process, method, article, or system that comprises a list of elements does not include only those elements but may include other elements not expressly listed or inherent to such process, method, article, or system. Without further limitation, an element defined by the phrase "comprising a … …" does not exclude the presence of another identical element in a process, method, article, or system that comprises the element.
The above description is only a preferred embodiment of the present invention, and is not intended to limit the scope of the present invention, and all equivalent structures or equivalent processes performed by the present invention or directly or indirectly applied to other related technical fields are also included in the scope of the present invention.

Claims (7)

1. A wireless distributed limb motion capture device is characterized in that the wireless distributed limb motion capture device comprises a motion capture sub-node and a motion capture central node, wherein the motion capture sub-node is arranged on a limb; wherein,
the motion capture sub-nodes are used for capturing to-be-processed attitude data of the limb part where the motion capture sub-nodes are located and sending the to-be-processed attitude data to the motion capture central node, and the motion capture sub-nodes mutually establish data transmission links by adopting an ad hoc network mode, and the motion capture central node is used for receiving the to-be-processed attitude data sent by each motion capture sub-node and obtaining an action result according to the to-be-processed attitude data;
the motion capture sub-node is further configured to determine a window length according to a sampling frequency of an attitude sensor, perform window division on the attitude data to be processed according to the window length to obtain a signal to be processed in each window, perform noise reduction on the signal to be processed in each window based on empirical mode decomposition, and the window length is equal to the sampling frequency of the attitude sensor;
the motion capture sub-node is further configured to perform empirical mode decomposition on the signal to be processed to obtain an inherent modal component; performing fast Fourier transform on the inherent modal component to obtain the center frequency of the inherent modal component; when the central frequency is not less than the effective frequency threshold, deleting the signal to be processed from the attitude data to be processed to obtain current attitude data;
the motion capture sub-node is further configured to analyze frequency domain components of the natural modal component by using a fast fourier transform algorithm to obtain a center frequency of the natural modal component, where a calculation formula of the center frequency is:
Figure FDF0000019444570000011
wherein d isf For the center frequency, f is the frequency component, s (f) is the amplitude spectrum;
the number of the motion capture center nodes can be set in a user-defined mode, and the motion capture center nodes are used for capturing attitude data returned by all or a specific motion capture sub-center.
2. The wireless distributed limb motion capture device of claim 1, wherein the motion capture sub-node is further configured to perform real-time noise reduction on the pose data to be processed.
3. The wireless distributed limb motion capture device of claim 1, wherein the motion capture central node is further configured to recognize the current pose data and obtain a motion result.
4. The wireless distributed limb motion capture device of claim 3, wherein the motion capture central node is further configured to monitor the online status, the power information and the operating status of each motion capture sub-node.
5. The wireless distributed limb motion capture device of claim 1, wherein the motion capture sub-node and the motion capture central node are each a wireless distributed architecture.
6. The wireless distributed limb motion capture device of claim 5, wherein the motion capture sub-node comprises a gesture sensor, a microprocessor, and a wireless communication unit.
7. The wireless distributed limb motion capture device of claim 6, wherein the motion capture sub-node is disposed on the limb by an adhesive fixation structure, a sewn fixation structure, a velcro-type fixation structure, or an elastic bandage-type fixation structure.
CN201811414785.1A2018-11-232018-11-23Wireless distributed limb motion capture deviceActiveCN109558006B (en)

Priority Applications (1)

Application NumberPriority DateFiling DateTitle
CN201811414785.1ACN109558006B (en)2018-11-232018-11-23Wireless distributed limb motion capture device

Applications Claiming Priority (1)

Application NumberPriority DateFiling DateTitle
CN201811414785.1ACN109558006B (en)2018-11-232018-11-23Wireless distributed limb motion capture device

Publications (2)

Publication NumberPublication Date
CN109558006A CN109558006A (en)2019-04-02
CN109558006Btrue CN109558006B (en)2022-11-18

Family

ID=65867216

Family Applications (1)

Application NumberTitlePriority DateFiling Date
CN201811414785.1AActiveCN109558006B (en)2018-11-232018-11-23Wireless distributed limb motion capture device

Country Status (1)

CountryLink
CN (1)CN109558006B (en)

Families Citing this family (2)

* Cited by examiner, † Cited by third party
Publication numberPriority datePublication dateAssigneeTitle
CN110517750A (en)*2019-08-212019-11-29兰州交通大学A kind of more human action method for catching of fusion WIFI positioning and inertia sensing
CN112423020B (en)*2020-05-072022-12-27上海哔哩哔哩科技有限公司Motion capture data distribution and acquisition method and system

Citations (2)

* Cited by examiner, † Cited by third party
Publication numberPriority datePublication dateAssigneeTitle
JP2010049584A (en)*2008-08-252010-03-04Hitachi-Ge Nuclear Energy LtdSensor node and sensor network system
CN102824177A (en)*2012-07-252012-12-19王哲龙Three-dimensional human body gait quantitative analysis system and method

Family Cites Families (6)

* Cited by examiner, † Cited by third party
Publication numberPriority datePublication dateAssigneeTitle
JP5010985B2 (en)*2007-05-302012-08-29株式会社日立製作所 Sensor node
KR100957215B1 (en)*2008-03-072010-05-11한국전자통신연구원 Location Estimation Method of Mobile Node in Wireless Sensor Network
CN104635223A (en)*2015-01-082015-05-20南京大学Laser echo denoising method based on empirical mode decomposition and fractional Fourier transformation
CN105592535A (en)*2015-12-282016-05-18山东大学Bluetooth 4.0-based inertia motion capturing system used for realizing low-power wireless data transmission, and data transmission method thereof
CN106095099B (en)*2016-06-122018-11-02南京邮电大学A kind of user behavior motion detection recognition methods
CN106108897A (en)*2016-07-202016-11-16西安中科比奇创新科技有限责任公司A kind of electromyographic signal filtering method based on empirical mode decomposition

Patent Citations (2)

* Cited by examiner, † Cited by third party
Publication numberPriority datePublication dateAssigneeTitle
JP2010049584A (en)*2008-08-252010-03-04Hitachi-Ge Nuclear Energy LtdSensor node and sensor network system
CN102824177A (en)*2012-07-252012-12-19王哲龙Three-dimensional human body gait quantitative analysis system and method

Non-Patent Citations (1)

* Cited by examiner, † Cited by third party
Title
结合WAMS的低频振荡模式信息在线检测算法研究;易建波等;《仪器仪表学报》;20130715;第卷(第07期);178-186*

Also Published As

Publication numberPublication date
CN109558006A (en)2019-04-02

Similar Documents

PublicationPublication DateTitle
Wang et al.Hear sign language: A real-time end-to-end sign language recognition system
Gu et al.Paws: Passive human activity recognition based on wifi ambient signals
US10061389B2 (en)Gesture recognition system and gesture recognition method
KR20200024324A (en) Armband to track hand motion using electrical impedance measurement background
LiuHuman motion state recognition based on MEMS sensors and Zigbee network
CN104147770A (en)Inertial-sensor-based wearable hemiplegia rehabilitation apparatus and strap-down attitude algorithm
CN108245880A (en)Body-sensing detection method for visualizing and system based on more wearing annulus sensor fusions
CN109558006B (en)Wireless distributed limb motion capture device
CN110134245A (en) Eye control device and eye control method based on EOG and attitude sensor
Jia et al.BeAware: Convolutional neural network (CNN) based user behavior understanding through WiFi channel state information
CN204537060U (en)A kind of human-computer interaction device based on myoelectricity stream and multi-sensor cooperation effect
CN106950927B (en)A kind of method and intelligent wearable device controlling smart home
CN105997094A (en)A posture identification device and method
US10748320B2 (en)Animation simulation of biomechanics
CN113021349A (en)Remote operation control method, device, system, equipment and storage medium
CN114964225A (en)Gait recognition system design method based on single-node sensor
CN112075938B (en)Distributed data acquisition system, method and storage medium
He et al.Design and implementation of low-cost inertial sensor-based human motion capture system
CN209564121U (en)Intelligent clothing and compensatory activity detection system based on it
KR20190047644A (en)Method and wearable device for providing feedback on exercise
CN115904086A (en) Sign language recognition method based on wearable computing
Zhang[Retracted] Research on the Design of Bright Clothing for the Elderly Based on Intelligent Detection of Lower Limb Posture Antifall Sensors
Yi et al.System architecture and design flow of smart mobile sensing systems
Prabhuraj et al.Gesture controlled home automation for differently challenged people
CN206021199U (en)A kind of based on motion-captured Wearable body feeling interaction system

Legal Events

DateCodeTitleDescription
PB01Publication
PB01Publication
SE01Entry into force of request for substantive examination
SE01Entry into force of request for substantive examination
GR01Patent grant
GR01Patent grant

[8]ページ先頭

©2009-2025 Movatter.jp