Movatterモバイル変換


[0]ホーム

URL:


CN109514041B - Vehicle body tracking method and crawling welding robot - Google Patents

Vehicle body tracking method and crawling welding robot
Download PDF

Info

Publication number
CN109514041B
CN109514041BCN201811496547.XACN201811496547ACN109514041BCN 109514041 BCN109514041 BCN 109514041BCN 201811496547 ACN201811496547 ACN 201811496547ACN 109514041 BCN109514041 BCN 109514041B
Authority
CN
China
Prior art keywords
tracking
vehicle body
angle
sensor
driving device
Prior art date
Legal status (The legal status is an assumption and is not a legal conclusion. Google has not performed a legal analysis and makes no representation as to the accuracy of the status listed.)
Active
Application number
CN201811496547.XA
Other languages
Chinese (zh)
Other versions
CN109514041A (en
Inventor
冯消冰
潘百蛙
陈尚成
张磊
Current Assignee (The listed assignees may be inaccurate. Google has not performed a legal analysis and makes no representation or warranty as to the accuracy of the list.)
Beijing Bo Tsing Technology Co Ltd
Original Assignee
Beijing Bo Tsing Technology Co Ltd
Priority date (The priority date is an assumption and is not a legal conclusion. Google has not performed a legal analysis and makes no representation as to the accuracy of the date listed.)
Filing date
Publication date
Application filed by Beijing Bo Tsing Technology Co LtdfiledCriticalBeijing Bo Tsing Technology Co Ltd
Priority to CN201811496547.XApriorityCriticalpatent/CN109514041B/en
Publication of CN109514041ApublicationCriticalpatent/CN109514041A/en
Application grantedgrantedCritical
Publication of CN109514041BpublicationCriticalpatent/CN109514041B/en
Activelegal-statusCriticalCurrent
Anticipated expirationlegal-statusCritical

Links

Images

Classifications

Landscapes

Abstract

The embodiment of the invention provides a vehicle body tracking method and a crawling welding robot. The vehicle body tracking method comprises the steps of receiving a vehicle body attitude angle acquired and sent by the attitude sensor in the tracking process and the middle point position information of a welding line acquired by the linear displacement sensor; taking the midpoint position information as the input of a PID (proportion integration differentiation) regulation model to calculate the weld joint trend angle of the weld joint; and comparing the attitude angle of the vehicle body with the trend angle of the welding seam, and controlling the first driving device to drive the vehicle body to adjust the tracking angle according to the comparison result so as to realize the tracking of the welding seam by the crawling welding robot. The invention can effectively prevent the problem of track oscillation after overshoot during vehicle body tracking and improve the straightness of the vehicle body tracking track.

Description

Vehicle body tracking method and crawling welding robot
Technical Field
The invention relates to the technical field of robot design, in particular to a vehicle body tracking method and a crawling welding robot.
Background
At present, a crawling robot mostly adopts interval sectional type tracking, namely a crawling track is an S-shaped track, and a long time is needed from the beginning of tracking to a stable state every time, so that the problems that the steering angle is difficult to control, the steering response is slow, and the straightness of a vehicle body tracking track is poor exist in the conventional crawling robot.
Disclosure of Invention
In view of the above, an object of the embodiments of the present invention is to provide a vehicle body tracking method and a crawling welding robot to improve the above problems.
On one hand, the vehicle body tracking method in the preferred embodiment of the invention is applied to a tracking controller on a crawling welding robot, and the crawling welding robot further comprises a vehicle body, a first driving device, an attitude sensor and a linear displacement sensor; the vehicle body tracking method includes:
receiving the vehicle body attitude angle acquired and sent by the attitude sensor in the tracking process and the midpoint position information of the welding line acquired by the linear displacement sensor;
taking the midpoint position information as the input of a PID (proportion integration differentiation) regulation model to calculate the weld joint trend angle of the weld joint;
and comparing the attitude angle of the vehicle body with the trend angle of the welding seam, and controlling the first driving device to drive the vehicle body to adjust the tracking angle according to the comparison result so as to realize the tracking of the welding seam by the crawling welding robot.
Optionally, the step of calculating the weld bead strike angle θ includes that θ is (Max/N) × y, where Max is a preset maximum weld bead strike angle, N is a normal number, y is a digital quantity corresponding to the central position information acquired by the linear displacement sensor calculated by the PID adjustment model, and-N is not less than y not more than N.
Optionally, the vehicle body attitude angle includes a pitch angle and a roll angle, the vehicle body attitude angle is compared with the weld seam strike angle, and the step of adjusting the tracking angle of the vehicle body driven by the first driving device is controlled, including:
when the rolling angle is larger than a first preset value or smaller than a second preset value, comparing the welding seam trend angle with the pitch angle, and if the welding seam trend angle is larger than the pitch angle, controlling the first driving device to drive the vehicle body to operate according to a first travel rule so as to adjust the tracking angle; or
And when the pitch angle is larger than a first preset value or smaller than a second preset value, comparing the welding seam trend angle with the rolling angle, and if the welding seam trend angle is larger than the rolling angle, controlling the first driving device to drive the vehicle body to operate according to a second advancing rule so as to adjust the tracking angle.
Optionally, the first preset value includes 45 degrees, and the second preset value includes-45 degrees.
Optionally, the crawling welding machine further comprises a second driving device, a tracking slider and an image acquisition sensor, wherein the image acquisition sensor and the linear displacement sensor are mounted on the tracking slider; before the step of receiving the vehicle body attitude angle acquired and transmitted by the attitude sensor in the tracking process is executed, the vehicle body tracking method includes:
receiving a real-time image of the weld groove acquired by the image acquisition sensor in the tracking process, and calculating to obtain a current midpoint coordinate value of the weld based on the real-time image of the weld groove;
comparing a transverse coordinate value in the current midpoint coordinate value with a target adjusting value, and if the transverse coordinate value is deviated from the target adjusting value, calculating a deviation amount between the transverse coordinate value and the target adjusting value;
and controlling the second driving device to drive the tracking sliding block to move according to the deviation amount so as to adjust the position, so that the tracking of the image acquisition sensor and the linear displacement sensor on the position of the middle point of the welding seam is realized in the tracking process.
Optionally, the target adjustment value is obtained by:
when the vehicle body tracking starts, controlling the image acquisition sensor to acquire a welding seam groove image at the current moment, calculating a midpoint coordinate value of the welding seam based on the welding seam groove image, and taking an abscissa in the midpoint coordinate value as the target adjusting value.
Optionally, before the tracking process is started, the vehicle body tracking method further includes:
receiving a welding seam groove image which is acquired and sent by an image acquisition sensor;
and judging whether the reliability of the current data is greater than a third preset value or not according to the welding seam groove image, if so, judging that a vehicle body tracking process can be entered, and executing the processes of receiving the vehicle body attitude angle acquired and sent by the attitude sensor in the tracking process and the midpoint position information of the welding seam acquired by the linear displacement sensor.
Optionally, the method further comprises:
and in the vehicle body tracking process, judging whether the variation amplitude of the vehicle body tracking angle received in a preset time length is smaller than a fourth preset value, and if so, storing the vehicle body tracking angle and a corresponding tracking strategy.
On the other hand, the preferred embodiment of the invention also provides a crawling welding robot, which is used for realizing vehicle body tracking in the welding process, and comprises a tracking controller, a first driving device, a second driving device, a vehicle body, a tracking sliding block, an attitude sensor, a linear displacement sensor and an image acquisition sensor;
the tracking controller is respectively connected with the first driving device, the second driving device, the attitude sensor, the linear displacement sensor and the image acquisition sensor, the vehicle body is connected with the first driving device, the attitude sensor is arranged on the vehicle body, the tracking slide block is connected with the second driving device, and the linear displacement sensor and the image acquisition sensor are arranged on the tracking slide block;
the tracking controller is used for receiving the vehicle body attitude angle acquired and sent by the attitude sensor in the tracking process and the midpoint position information of the welding seam acquired by the linear displacement sensor; taking the midpoint position information as the input of a PID (proportion integration differentiation) regulation model to calculate the weld joint trend angle of the weld joint; the tracking controller is also used for comparing the vehicle body attitude angle with the weld seam trend angle and controlling the first driving device to drive the vehicle body to adjust the tracking angle according to the comparison result so as to realize the tracking of the welding seam by the crawling welding robot.
Optionally, the image acquisition sensor comprises one of a CCD sensor, a CMOS sensor, a structured light sensor.
Compared with the prior art, the embodiment of the invention provides a vehicle body tracking method and a crawling welding robot, wherein the vehicle body tracking method is based on a multi-sensor fusion technology, welding seam groove information in a tracking process is detected in real time, a tracking track of a vehicle body is adjusted in real time through the offset of a welding seam midpoint detected by a linear displacement sensor relative to a target midpoint, and the accuracy and the high efficiency of vehicle body tracking are realized. Meanwhile, the accuracy of the vehicle body tracking angle can be effectively ensured through the vehicle body attitude angle acquired by the attitude sensor, the track oscillation after the vehicle body tracking is over-adjusted is prevented, and the straightness of the vehicle body tracking track is improved.
In order to make the aforementioned and other objects, features and advantages of the present invention comprehensible, preferred embodiments accompanied with figures are described in detail below.
Drawings
In order to more clearly illustrate the technical solutions of the embodiments of the present invention, the drawings needed to be used in the embodiments will be briefly described below, it should be understood that the following drawings only illustrate some embodiments of the present invention and therefore should not be considered as limiting the scope, and for those skilled in the art, other related drawings can be obtained according to the drawings without inventive efforts.
Fig. 1 is a schematic block structure diagram of a crawling robot according to an embodiment of the present invention.
Fig. 2 is a schematic flow chart of a vehicle body tracking method according to an embodiment of the present invention.
Fig. 3 is another schematic flow chart of a vehicle body tracking method according to an embodiment of the present invention.
FIG. 4 is a schematic flow chart of the regulation principle of the PID regulation model.
Fig. 5 is a schematic flow chart of another flow chart of the vehicle body tracking method according to the embodiment of the invention.
Icon: 10-crawling welding robot; 11-a tracking controller; 12-a first drive; 13-a second drive; 14-a vehicle body; 15-tracking the slider; 16-a linear displacement sensor; 17-an image acquisition sensor; 18-attitude sensor.
Detailed Description
In order to make the objects, technical solutions and advantages of the embodiments of the present invention clearer, the technical solutions in the embodiments of the present invention will be clearly and completely described below with reference to the drawings in the embodiments of the present invention, and it is obvious that the described embodiments are some, but not all, embodiments of the present invention. The components of embodiments of the present invention generally described and illustrated in the figures herein may be arranged and designed in a wide variety of different configurations.
Thus, the following detailed description of the embodiments of the present invention, presented in the figures, is not intended to limit the scope of the invention, as claimed, but is merely representative of selected embodiments of the invention. All other embodiments, which can be derived by a person skilled in the art from the embodiments given herein without making any creative effort, shall fall within the protection scope of the present invention.
It should be noted that: like reference numbers and letters refer to like items in the following figures, and thus, once an item is defined in one figure, it need not be further defined and explained in subsequent figures.
As shown in fig. 1, a block structure diagram of acrawling welding robot 10 according to a preferred embodiment of the present invention is provided, and thecrawling welding robot 10 includes atracking controller 11, afirst driving device 12, a second driving device 13, avehicle body 14, a tracking slider 15, anattitude sensor 18, a linear displacement sensor 16, and animage capturing sensor 17. Thetracking controller 11 is connected with thefirst driving device 12, the second driving device 13, theattitude sensor 18, the linear displacement sensor 16 and theimage acquisition sensor 17 respectively, thevehicle body 14 is connected with thefirst driving device 12, theattitude sensor 18 is arranged on thevehicle body 14, the tracking slider 15 is connected with the second driving device 13, and the linear displacement sensor 16 and theimage acquisition sensor 17 are arranged on the tracking slider 15. It is understood that thebody 14 may be provided with a welding gun for welding.
Theattitude sensor 18 is used for acquiring a vehicle attitude angle in a vehicle crawling process and sending the vehicle attitude angle to thetracking controller 11; the vehicle body attitude angle may include a roll angle or a pitch angle, or the like. Optionally, the actual type of theattitude sensor 18 may be flexibly selected according to the requirement, and the embodiment is not limited herein. In addition, in this embodiment, theattitude sensor 18 and thetracking controller 11 may be connected by, but not limited to, an RS232 serial bus or an RS485 serial bus, so as to improve the anti-interference capability during data transmission.
The linear displacement sensor 16 is used for acquiring the welding seam midpoint position information of the welding seam in the crawling process of thevehicle body 14 in real time and sending the welding seam midpoint position information to thetracking controller 11.
Theimage acquisition sensor 17 is used for acquiring a weld groove image of the weld in the crawling process of thevehicle body 14 and sending the weld groove image to thetracking controller 11. Alternatively, theimage capturing sensor 17 may be, but is not limited to, one or more of a CCD (charge coupled Device) sensor, a CMOS (Complementary Metal oxide semiconductor) sensor, and a structured light sensor.
Thefirst driving device 12 is used for driving thevehicle body 14 to track the weld joint under the control of thetracking controller 11, so as to accurately weld the weld joint. The second driving device 13 is used for driving the tracking slider 15 to move relative to thevehicle body 14 under the control of thetracking controller 11 so as to realize the tracking of the welding seam by the linear displacement sensor 16 and theimage acquisition sensor 17 which are positioned on the tracking slider 15. Alternatively, thefirst driving device 12 and the second driving device may be, but not limited to, servo drivers, such as ac servo drivers, and the like, and further, thefirst driving device 12 and the second driving device 13 may be analog voltage driving devices, and the like.
Thetracking controller 11 is configured to perform data processing on data collected and sent by each sensor, and control thefirst driving device 12 or the second driving device 13 to drive a corresponding component to execute a corresponding action according to a processing result. It should be noted that, in the present embodiment, thetracking controller 11 may be installed with image processing software and a relative coordinate system preset for image processing, so that thetracking controller 11 may process the weld groove image acquired by theimage acquisition sensor 17 based on the image processing software and the relative coordinate system. Alternatively, thetracking controller 11 may be, but is not limited to, a computer device, a single chip, a microprocessor, etc. having data processing capability.
Further, based on the description of the crawlingwelding robot 10 given above, as shown in fig. 2, the embodiment of the present invention further provides a vehicle body tracking method, which is applied to thetracking controller 11 in thecrawling welding robot 10, and the specific process and flow of the vehicle body tracking method will be described below with reference to the steps given in fig. 2.
Step S11, receiving the vehicle body attitude angle collected and sent by theattitude sensor 18 in the tracking process and the welding seam midpoint position information collected by the linear displacement sensor 16;
step S12, using the midpoint position information as an input of a PID (proportional, Integral, Differential) adjustment model to calculate a weld strike angle of the weld;
and step S13, comparing the vehicle body attitude angle with the weld seam strike angle, and controlling thefirst driving device 12 to drive thevehicle body 14 to adjust the tracking angle according to the comparison result so as to realize the tracking of the welding seam by the crawlingwelding robot 10.
In the vehicle body tracking method provided in the steps S11 to S13, weld seam tracking is quickly and accurately achieved by analyzing and processing weld seam groove information detected in real time, for example, the tracking state of thevehicle body 14 on the weld seam is controlled in real time by the offset of the linear displacement sensor 16 relative to the midpoint of the weld seam, so that the problems of poor control sensitivity and the like caused by interval sectional tracking in the prior art can be avoided.
In detail, in the above steps S11 and S12, since the linear displacement sensor 16 is mounted on the tracking slider 15, when the tracking slider 15 moves to drive the linear displacement sensor 16 to move, the signal value of the middle point position of the weld seam collected by the linear displacement sensor 16 will shift left and right along with the coordinate value of the middle point of the weld seam, and therefore, the present invention can realize the tracking of the weld seam by thevehicle body 14 based on the output quantity of the linear displacement sensor 16.
In this embodiment, the output value of the linear displacement sensor 16 may be, but is not limited to, a voltage value, and it is assumed that the linear displacement sensor 16 is a sensor capable of outputting a voltage signal of 0 to 5V, and the detected voltage at the middle point of the weld is 2.5V, and a 12-bit analog quantity acquisition module is preset in the trackingcontroller 11 to perform analog-to-digital conversion on the received voltage signal sent by the linear displacement sensor 16, for example, the digital quantity value corresponding to the voltage of 0 to 5V may be 0 to 2048. Then, before starting tracking, the tracking slider 15 may be centered, that is, the output of the linear displacement sensor 16 is 2.5V, the corresponding digital quantity is 1024, 1024 is used as a target value for position tracking of the PID adjustment model, the digital quantity acquired by the linear displacement sensor 16 is used as an input quantity of the PID adjustment model, and the weld strike angle of the weld is obtained based on the limiting and mathematical conversion of the PID adjustment model on the input quantity. The calculation step of the weld joint trend angle theta comprises the steps of theta being (Max/N) multiplied by y, wherein Max is a preset maximum weld joint trend angle, N is a normal number, y is a digital quantity corresponding to the central position information acquired by the linear displacement sensor 16 and calculated by the PID adjusting model, and-N is not less than y and not more than N.
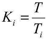
It should be noted that, in this embodiment, the PID adjusting model may be
Figure GDA0002684576000000081
Wherein it is assumed that
Figure GDA0002684576000000082
The value of the integral coefficient is represented by,
Figure GDA0002684576000000083
represents a differential coefficient, then Kp、Ki、KdThe three parameters may directly affect the dynamic tracking performance of the PID tuning model. After a large number of experiments and verifications, the embodiment aims at the requirement of lock-type seam tracking, and the performance of the PID adjustment model is excellent, for example, the requirement of fast response and zero drift is met, the adjustment parameter of the PID adjustment model may be, but is not limited to, the sampling period T being 0.1s, Kp=2.68、Ki=0.15、KdWhen the value is 0.06.
Further, during the crawling of the crawlingwelding robot 10, the vehicle body attitude angle may include a pitch angle and a roll angle, and then the actual implementation process in step S13 may include: and when the roll angle is greater than a first preset value or less than a second preset value, comparing the welding seam trend angle with the pitch angle, and if the welding seam trend angle is greater than the pitch angle, controlling thevehicle body 14 to operate according to a first travel rule so as to realize the adjustment of the tracking angle. Alternatively, the first travel rule may be, but is not limited to, controlling thebody 14 of the crawlingwelding robot 10 to turn left when the pitch angle is less than the weld strike angle, and vice versa to turn right.
And when the pitch angle is larger than a first preset value or smaller than a second preset value, comparing the welding seam trend angle with the rolling angle, and if the welding seam trend angle is larger than the rolling angle, controlling thevehicle body 14 to operate according to a second advancing rule so as to realize the adjustment of the tracking angle. Alternatively, the second travel rule may be, but is not limited to, controlling thebody 14 of the crawlingwelding robot 10 to turn right when the roll angle is less than the weld strike angle, and vice versa to turn left.
In one embodiment, in the PID control model, when T is 0.02s and Kp=12.0、Ki=1.14、KdWhen the value is 1.75; the expression of converting the position information into the strike angle of the welding seam is
Figure GDA0002684576000000091
Wherein theta is the converted vehicle body attitude angle, 45 degrees is the maximum vehicle body attitude angle, 1024 is the sum of unilateral digital quantity of the linear displacement sensor 16, y is the digital quantity corresponding to the actual position of the position sensor, and y is more than or equal to-1024 and less than or equal to 1024. And calculating a y value through a PID (proportion integration differentiation) regulation model, limiting the value range of the y value, obtaining a vehicle body tracking angle through a position conversion angle formula, and controlling thefirst driving device 12 to drive thevehicle body 14 to carry out position adjustment by the trackingcontroller 11 according to thevehicle body 14 tracking angle, thereby realizing the tracking of thevehicle body 14 on a welding line. It should be noted that, in this practical implementation, the first preset value may include, but is not limited to, 45 degrees, and the second preset value includes, but is not limited to, -45 degrees.
In addition, according to actual requirements, the process of controlling thefirst driving device 12 to drive thevehicle body 14 to perform attitude adjustment by the trackingcontroller 11 includes: assuming that the control mode of the first driving device 12 (e.g. servo driver) is a speed control mode, in which the signal input to thefirst driving device 12 by the trackingcontroller 11 is an analog voltage of-10V to 10V, and the corresponding rotation speed of thefirst driving device 12 is a reverse rotation 3000r/min when the analog voltage is-10V, a rotation speed of 0r/min when the analog voltage is 0V, and a forward rotation 3000r/min when the analog voltage is 10V, it can be seen that the relationship between the analog voltage output to thefirst driving device 12 by the trackingcontroller 11 and the rotation speed of thefirst driving device 12 is: where n is the motor speed in thefirst drive device 12 and x is the analog voltage value output, is (3000 × x)/10. If there is a deviation between the weld midpoint position acquired by the linear displacement sensor 16 and the target value at a certain time, thefirst driving device 12 executes a speed control command under the control of the trackingcontroller 11 until the speed command is 0. Further, in order to effectively improve the accuracy in the vehicle body tracking process, before the step S11-step S13 are executed in the embodiment, as shown in fig. 3, the vehicle body tracking method may further include the step S14-step S16, which is specifically described as follows.
Step S14, receiving the real-time image of the weld groove acquired by theimage acquisition sensor 17 during the tracking process, and calculating to obtain the current midpoint coordinate value of the weld based on the real-time image of the weld groove;
step S15, comparing the transverse coordinate value in the current midpoint coordinate value with a target adjusting value, if the transverse coordinate value and the target adjusting value have deviation, calculating the deviation amount between the transverse coordinate value and the target adjusting value;
step S16, controlling the second driving device 13 to drive the tracking slider 15 to move for position adjustment according to the deviation amount, so as to realize tracking of the middle point position of the weld by theimage acquisition sensor 17 and the linear displacement sensor 16 in the tracking process.
The above-mentioned steps S14 to S16 are for enabling the tracking slider 15 to track the change of the weld coordinates (relative to the coordinates in the relative coordinate system in the tracking controller 11) during the vehicle body tracking process, that is, enabling the linear displacement sensor 16 and theimage capturing sensor 17 mounted on the tracking slider 15 to track the change of the weld coordinates, thereby improving the reliability during the vehicle body tracking process.
In detail, in step S14, the process of the trackingcontroller 11 performing image processing on the real-time weld groove image based on image processing software to obtain the current midpoint coordinate value of the weld in the relative coordinate system may include: and obtaining the image information in the relative coordinate system, and rotating the image information so that the rotated image is perpendicular to a set axis in the relative coordinate system. And analyzing the image information in the rotated relative coordinate system to obtain a current midpoint coordinate value of the welding seam, wherein the current midpoint coordinate value can comprise a transverse coordinate and a longitudinal coordinate. Since the angles of theimage capturing sensor 17 at the time of capturing the weld groove image may be different, the angle of rotating the image may be different in the image processing process, as long as the rotated image is perpendicular to the setting axis. It should be understood that rotating the image information to be perpendicular to the setting axis is only an optional implementation in embodiments of the present invention, and in practical applications, other processing may also be performed on the image information, for example, the image information may be rotated to be parallel to the setting axis. For example, the image information may not be rotated, and the present embodiment is not limited thereto.
Further, the obtaining process of the target adjustment value in steps S15 and S16 may include: when the vehicle body tracking starts, the trackingcontroller 11 controls theimage acquisition sensor 17 to acquire a weld groove image at the current time, calculates a midpoint coordinate value of the weld based on the weld groove image, and extracts an abscissa in the midpoint coordinate value as the target adjustment value. Specifically, in the vehicle body tracking process, the target adjustment value is a target value when adjustment is performed as a PID adjustment model, and the lateral coordinate value in the current midpoint coordinate value is an input amount as the PID adjustment model. It can be understood that the input of the PID control model is actually the deviation amount between the current lateral coordinate value and the target control value, and then the PID control model performs limit and linear conversion on the input deviation amount, converts the digital signal of the deviation amount into an analog signal for speed control of the second driving device 13, and further drives the tracking slider 15 through the second driving device 13 to perform corresponding deviation so as to track the change of the middle point coordinate of the weld joint.
For example, referring to fig. 4, if r (t) is a target adjustment value of the PID adjustment model, and c (t) is a horizontal coordinate value in the current midpoint coordinate value acquired by theimage acquisition sensor 17, the difference e (t) between r (t) and c (t) is used as the input of the PID adjustment model for conversion, and then the trackingcontroller 11 controls the second driving device 13 to drive the tracking slider 15 to move according to the output of the PID adjustment model, so as to drive theimage acquisition sensor 17 and the linear displacement sensor 16 on the tracking slider 15 to move, and compares the real-time weld groove image acquired by theimage acquisition sensor 17 as a feedback with the target adjustment value in the tracking process, thereby achieving the effect of weld tracking.
Further, as can be seen from the descriptions of the above steps S14 to S16, in this embodiment, while the vehicle body is tracked, the change of the midpoint coordinate of the weld is tracked by controlling the tracking slider 15 to perform corresponding offset, so as to improve the reliability in the vehicle body tracking process and ensure the straightness of the tracking track.
Further, according to actual requirements, in order to ensure the reliability of the data collected by each sensor during the vehicle body tracking process, as shown in fig. 5, before the above steps S11-S16 are executed, the vehicle body tracking method may further include the following steps S17-S18.
Step S17, receiving the weld groove image collected and sent by theimage collection sensor 17;
and S18, judging whether the reliability of the current data is greater than a third preset value according to the weld groove image, if so, judging that the vehicle body tracking process can be entered, executing the steps S11-S16, and if not, judging that the reliability of the data collected by the sensor in the current welding environment is poor, thus the vehicle body tracking process cannot be entered.
In detail, the reliability of the current data represents the percentage of accuracy of an output value in the current detection environment, and the value changes with the detected quality of the weld joint, for example, when the shape of the weld joint groove in the weld joint groove image is not obvious or an arc interference condition exists, the reliability value is small. The size of the third preset value can be flexibly set according to actual requirements, for example, the reliability can be but is not limited to 50%.
Further, in actual implementation, in the vehicle body tracking process, it may be further determined whether the variation range of the vehicle body tracking angle received within the preset time duration is smaller than a fourth preset value, if so, it indicates that the tracking effect is good in the process of tracking the weld joint by thevehicle body 14 this time, and the vehicle body attitude angle and the corresponding tracking policy may be stored, so that when next vehicle body tracking of the same type is performed, the stored tracking policy is directly invoked to perform vehicle body tracking.
In summary, the embodiment of the present invention provides a vehicle body tracking method and a crawlingwelding robot 10, wherein the method is based on a multi-sensor fusion technology, detects weld groove information in a tracking process in real time, and adjusts a tracking track of avehicle body 14 in real time according to an offset of a weld midpoint detected by a linear displacement sensor 16 relative to a target midpoint, so as to achieve accuracy and high efficiency of vehicle body tracking. Meanwhile, the accuracy of the vehicle body tracking angle can be effectively ensured through the vehicle body attitude angle acquired by theattitude sensor 18, the track oscillation after the vehicle body tracking is over-adjusted is prevented, the straightness of the vehicle body tracking track is improved, and the welding precision in the welding process of the welding gun is reduced.
In the embodiments provided in the present invention, it should be understood that the disclosed apparatus and method can be implemented in other ways. The apparatus and method embodiments described above are illustrative only, as the flowcharts and block diagrams in the figures illustrate the architecture, functionality, and operation of possible implementations of apparatus, methods and computer program products according to various embodiments of the present invention. In this regard, each block in the flowchart or block diagrams may represent a module, segment, or portion of code, which comprises one or more executable instructions for implementing the specified logical function(s). It should also be noted that, in some alternative implementations, the functions noted in the block may occur out of the order noted in the figures. For example, two blocks shown in succession may, in fact, be executed substantially concurrently, or the blocks may sometimes be executed in the reverse order, depending upon the functionality involved. It will also be noted that each block of the block diagrams and/or flowchart illustration, and combinations of blocks in the block diagrams and/or flowchart illustration, can be implemented by special purpose hardware-based systems which perform the specified functions or acts, or combinations of special purpose hardware and computer instructions.
In addition, the functional modules in the embodiments of the present invention may be integrated together to form an independent part, or each module may exist separately, or two or more modules may be integrated to form an independent part.
The functions, if implemented in the form of software functional modules and sold or used as a stand-alone product, may be stored in a computer readable storage medium. Based on such understanding, the technical solution of the present invention may be embodied in the form of a software product, which is stored in a storage medium and includes instructions for causing a computer device (which may be a personal computer, an electronic device, or a network device) to perform all or part of the steps of the method according to the embodiments of the present invention. And the aforementioned storage medium includes: a U-disk, a removable hard disk, a Read-Only Memory (ROM), a Random Access Memory (RAM), a magnetic disk or an optical disk, and other various media capable of storing program codes. It should be noted that, in this document, the terms "comprises," "comprising," or any other variation thereof, are intended to cover a non-exclusive inclusion, such that a process, method, article, or apparatus that comprises a list of elements does not include only those elements but may include other elements not expressly listed or inherent to such process, method, article, or apparatus. Without further limitation, an element defined by the phrase "comprising an … …" does not exclude the presence of other identical elements in a process, method, article, or apparatus that comprises the element.
The above description is only an alternative embodiment of the present invention and is not intended to limit the present invention, and various modifications and variations of the present invention may occur to those skilled in the art. Any modification, equivalent replacement, or improvement made within the spirit and principle of the present invention should be included in the protection scope of the present invention.

Claims (10)

1. A vehicle body tracking method is executed by a tracking controller on a crawling welding robot, and is characterized in that the crawling welding robot further comprises a vehicle body, a first driving device, an attitude sensor and a linear displacement sensor; the vehicle body tracking method includes:
the tracking controller receives the vehicle body attitude angle acquired and sent by the attitude sensor in the tracking process and the midpoint position information of the welding seam acquired by the linear displacement sensor;
the tracking controller takes the midpoint position information as the input of a PID (proportion integration differentiation) regulation model to calculate the weld joint trend angle of the weld joint;
the tracking controller compares the vehicle body attitude angle with the welding seam trend angle, and controls the first driving device to drive the vehicle body to adjust the tracking angle according to the comparison result so as to realize the tracking of the welding seam by the crawling welding robot.
2. The vehicle body tracking method according to claim 1, wherein the step of calculating the weld bead strike angle θ includes the step of calculating θ ═ (Max/N) × y, where Max is a preset maximum weld bead strike angle, N is a normal number, and y is a digital quantity corresponding to the center position information acquired by the linear displacement sensor calculated by the PID adjustment model, and-N is ≦ y ≦ N.
3. The vehicle body tracking method according to claim 1, wherein the vehicle body attitude angle includes a pitch angle and a roll angle, and the step of comparing the vehicle body attitude angle with the weld strike angle and controlling the first driving device to drive the vehicle body to adjust the tracking angle comprises:
when the rolling angle is larger than a first preset value or smaller than a second preset value, comparing the welding seam trend angle with the pitch angle, and if the welding seam trend angle is larger than the pitch angle, controlling the first driving device to drive the vehicle body to operate according to a first travel rule so as to adjust the tracking angle; or
And when the pitch angle is larger than a first preset value or smaller than a second preset value, comparing the welding seam trend angle with the rolling angle, and if the welding seam trend angle is larger than the rolling angle, controlling the first driving device to drive the vehicle body to operate according to a second advancing rule so as to adjust the tracking angle.
4. The vehicle body tracking method according to claim 3, wherein the first preset value comprises 45 degrees and the second preset value comprises-45 degrees.
5. The vehicle body tracking method according to claim 1, wherein the creep welding machine further comprises a second driving device, a tracking slider, and an image pickup sensor, the image pickup sensor and the linear displacement sensor being mounted to the tracking slider; before the step of receiving the vehicle body attitude angle acquired and transmitted by the attitude sensor in the tracking process is executed, the vehicle body tracking method includes:
receiving a real-time image of the weld groove acquired by the image acquisition sensor in the tracking process, and calculating to obtain a current midpoint coordinate value of the weld based on the real-time image of the weld groove;
comparing a transverse coordinate value in the current midpoint coordinate value with a target adjusting value, and if the transverse coordinate value is deviated from the target adjusting value, calculating a deviation amount between the transverse coordinate value and the target adjusting value;
and controlling the second driving device to drive the tracking sliding block to move according to the deviation amount so as to adjust the position, so that the tracking of the image acquisition sensor and the linear displacement sensor on the position of the middle point of the welding seam is realized in the tracking process.
6. The vehicle body tracking method according to claim 5, characterized in that the target adjustment value is obtained by:
when the vehicle body tracking starts, controlling the image acquisition sensor to acquire a welding seam groove image at the current moment, calculating a midpoint coordinate value of the welding seam based on the welding seam groove image, and taking an abscissa in the midpoint coordinate value as the target adjusting value.
7. The vehicle body tracking method according to claim 1, characterized in that before the tracking process is started, the vehicle body tracking method further comprises:
receiving a welding seam groove image which is acquired and sent by an image acquisition sensor;
and judging whether the reliability of the current data is greater than a third preset value or not according to the welding seam groove image, if so, judging that a vehicle body tracking process can be entered, and executing the processes of receiving the vehicle body attitude angle acquired and sent by the attitude sensor in the tracking process and the midpoint position information of the welding seam acquired by the linear displacement sensor.
8. The vehicle body tracking method according to claim 1, characterized in that the method further comprises:
and in the vehicle body tracking process, judging whether the variation amplitude of the vehicle body tracking angle received in a preset time length is smaller than a fourth preset value, and if so, storing the vehicle body tracking angle and a corresponding tracking strategy.
9. A crawling welding robot is characterized by being used for realizing vehicle body tracking in a welding process and comprising a tracking controller, a first driving device, a second driving device, a vehicle body, a tracking sliding block, an attitude sensor, a linear displacement sensor and an image acquisition sensor;
the tracking controller is respectively connected with the first driving device, the second driving device, the attitude sensor, the linear displacement sensor and the image acquisition sensor, the vehicle body is connected with the first driving device, the attitude sensor is arranged on the vehicle body, the tracking slide block is connected with the second driving device, and the linear displacement sensor and the image acquisition sensor are arranged on the tracking slide block;
the tracking controller is used for receiving the vehicle body attitude angle acquired and sent by the attitude sensor in the tracking process and the midpoint position information of the welding seam acquired by the linear displacement sensor; taking the midpoint position information as the input of a PID (proportion integration differentiation) regulation model to calculate the weld joint trend angle of the weld joint; the tracking controller is also used for comparing the vehicle body attitude angle with the weld seam trend angle and controlling the first driving device to drive the vehicle body to adjust the tracking angle according to the comparison result so as to realize the tracking of the welding seam by the crawling welding robot.
10. The crawling welding robot of claim 9, wherein the image acquisition sensor comprises one of a CCD sensor, a CMOS sensor, a structured light sensor.
CN201811496547.XA2018-12-072018-12-07Vehicle body tracking method and crawling welding robotActiveCN109514041B (en)

Priority Applications (1)

Application NumberPriority DateFiling DateTitle
CN201811496547.XACN109514041B (en)2018-12-072018-12-07Vehicle body tracking method and crawling welding robot

Applications Claiming Priority (1)

Application NumberPriority DateFiling DateTitle
CN201811496547.XACN109514041B (en)2018-12-072018-12-07Vehicle body tracking method and crawling welding robot

Publications (2)

Publication NumberPublication Date
CN109514041A CN109514041A (en)2019-03-26
CN109514041Btrue CN109514041B (en)2020-11-03

Family

ID=65795140

Family Applications (1)

Application NumberTitlePriority DateFiling Date
CN201811496547.XAActiveCN109514041B (en)2018-12-072018-12-07Vehicle body tracking method and crawling welding robot

Country Status (1)

CountryLink
CN (1)CN109514041B (en)

Families Citing this family (6)

* Cited by examiner, † Cited by third party
Publication numberPriority datePublication dateAssigneeTitle
CN112108807B (en)*2019-06-222025-04-25北京博清科技有限公司 Crawling welding robot and welding position tracking method
CN111369110A (en)*2020-02-252020-07-03北京博清科技有限公司Welding task execution method, device, equipment and storage medium
CN111451673B (en)*2020-03-312022-07-29北京博清科技有限公司Method and device for searching initial position of welding seam and welding system
CN111451676A (en)*2020-04-142020-07-28北京博清科技有限公司Weld joint tracking method, weld joint tracking device, storage medium and processor
CN113183708A (en)*2021-05-272021-07-30北京博清科技有限公司Crawling machine, control method and control device thereof, and crawling system
CN114310048B (en)*2021-12-312024-07-05北京博清科技有限公司Welding device, control method and control device for welding device

Family Cites Families (8)

* Cited by examiner, † Cited by third party
Publication numberPriority datePublication dateAssigneeTitle
JP2000024777A (en)*1998-07-142000-01-25Hitachi Ltd Groove shape detector
KR20080093673A (en)*2007-04-182008-10-22현대중공업 주식회사 Automatic multi-layer welding device with continuous welding
US20120111843A1 (en)*2010-11-082012-05-10James BeardMobile, climbing robotic system to perform remote welds on ferrous materials
CN104493336B (en)*2014-12-252017-03-22重庆天量电子科技有限公司Welded joint detecting and tracking method based on video analysis
CN106041263B (en)*2016-06-242018-06-26湘潭大学The welding gun spatial pose self-adaption regulation system and method for a kind of wheeled welding robot
CN106772243B (en)*2017-01-212019-05-03中国东方电气集团有限公司 A method for estimating the angle between a crawling welding robot and the weld
CN107414253B (en)*2017-08-212022-09-06河北工业大学Welding seam tracking control device and method based on cross laser
CN108332658B (en)*2018-01-252019-08-02清华大学A kind of welding bead pose real-time detection method for complex-curved welding

Also Published As

Publication numberPublication date
CN109514041A (en)2019-03-26

Similar Documents

PublicationPublication DateTitle
CN109514041B (en)Vehicle body tracking method and crawling welding robot
EP3798746B1 (en)Vehicle lane change control method and device
CN109514040B (en)Welding gun tracking method and crawling welding robot
CN109514042B (en)PID-based weld joint position tracking control method and device
CN108646756B (en)Intelligent automobile transverse control method and system based on segmented affine fuzzy sliding mode
CN110221541B (en)Feedforward coefficient acquisition device and method of feedforward controller in servo system
CN112108807B (en) Crawling welding robot and welding position tracking method
Al-Dahhan et al.Path tracking control of a mobile robot using fuzzy logic
CN109747652B (en)Vehicle control method, device and system
EP0470630A2 (en)Controlling apparatus of steering angle of rear wheels of four-wheel steering vehicle
CN107037808B (en)Track-finding method for transport vehicle based on sliding mode controller
CN107132844A (en)A kind of mobile robot is based on attitude detection module and distinguishingly target motion from antidote
US7369923B2 (en)Control system and method
CN110543193B (en) An online acceleration and deceleration control method, system and medium for pointing mechanism
CN108422998A (en)A kind of deviation supplementary controlled system and method
CN208384428U (en)Stable turntable system based on reversed bit shift compensation
CN111525853B (en)Motor rotation control method and terminal
CN107450308A (en)storage device, robot
Wang et al.Hybrid fuzzy logic controller for optimized autonomous parking
Ito et al.Fast and accurate vision-based positioning control employing multi-rate Kalman filter
CN114070165B (en)Motor driving method, system, device and medium
CN210125833U (en)Crawling welding robot
CN115933645A (en)Automatic switching method, device, equipment and medium for AGV track tracking mode
CN112180834A (en)Method for realizing improved active disturbance rejection based on linear extended state observer and laser cutting follow-up control device
JP2703099B2 (en) Conveyor tracking method for industrial robots

Legal Events

DateCodeTitleDescription
PB01Publication
PB01Publication
SE01Entry into force of request for substantive examination
SE01Entry into force of request for substantive examination
GR01Patent grant
GR01Patent grant

[8]ページ先頭

©2009-2025 Movatter.jp