




技术领域technical field
本发明属于雷达技术领域,特别涉及一种波束形成方法,可用于对低空多径环境中多径相干信号有效接收。The invention belongs to the technical field of radar, and in particular relates to a beam forming method, which can be used for effectively receiving multipath coherent signals in a low-altitude multipath environment.
背景技术Background technique
雷达在进行低空探测时,回波信号中不仅包含直达波信号,还包括多径波信号。在多径效应的影响下,直达波和多径波互为相干源信号,多径相干干扰会对消期望信号,导致信噪比急剧下降,传统波束形成算法性能将快速下降甚至失效,多径效应严重影响着低仰角目标的探测性能。为解决此问题,多径干扰波束形成算法得到广泛地研究,目前,根据对多径干扰的处理方式不同,可分为多径干扰抑制波束形成算法和多径信号接收波束形成算法。When the radar is performing low-altitude detection, the echo signal not only includes the direct wave signal, but also includes the multipath wave signal. Under the influence of the multipath effect, the direct wave and the multipath wave are mutually coherent source signals, and the multipath coherent interference will cancel the desired signal, resulting in a sharp decline in the signal-to-noise ratio, and the performance of the traditional beamforming algorithm will decline rapidly or even fail. The effect seriously affects the detection performance of low-elevation-angle targets. In order to solve this problem, the multipath interference beamforming algorithm has been widely studied. At present, according to the different processing methods for multipath interference, it can be divided into multipath interference suppression beamforming algorithm and multipath signal receiving beamforming algorithm.
所述多径干扰抑制波束形成算法,主要是通过解相干处理或线性约束实现期望信号的有效接收。其中,典型的解相干处理算法是空问平滑算法,该算法可以有效地实现解相干处理,但是牺牲了阵列的有效孔径,且稳健性较差。The multipath interference suppression beamforming algorithm mainly achieves effective reception of desired signals through decoherence processing or linear constraints. Among them, the typical decoherence processing algorithm is the spatial smoothing algorithm, which can effectively realize the decoherence processing, but sacrifices the effective aperture of the array and has poor robustness.
所述多径信号接收波束形成算法,是对多径信号联合接收,目的是为充分利用多径信号信息。通过在期望信号和多径干扰来向附近施加最差性能约束实现多径信号的联合接收,且具有较好的稳健性,但该算法需估计多径干扰来向,且存在当输入信噪比增加时性能下降、输出信多噪比低的问题。The multipath signal receiving beamforming algorithm is to jointly receive multipath signals, and the purpose is to make full use of multipath signal information. The joint reception of multipath signals is achieved by imposing the worst performance constraint on the desired signal and multipath interference, and it has good robustness, but the algorithm needs to estimate the direction of multipath interference, and there is a problem when the input SNR The problem of performance degradation and low output signal-to-noise ratio when increasing.
发明内容Contents of the invention
本发明的目的是针对上述现有方法的不足,提出一种雷达在低空多径环境下基于多径利用的波束形成的方法,以有效利用多径信息进行波束形成,提高回波信号的信多噪比。The purpose of the present invention is to address the deficiencies of the above-mentioned existing methods, and propose a method for radar beamforming based on multipath utilization in a low-altitude multipath environment, so as to effectively utilize multipath information for beamforming and improve the signal density of echo signals. noise ratio.
为实现上述目的,本发明的技术方案包括如下:To achieve the above object, technical solutions of the present invention include as follows:
(1)阵列雷达接收信号,得到回波数据X,该回波数据X包括直达波信号、多径信号和噪声;(1) The array radar receives the signal and obtains the echo data X, which includes the direct wave signal, multipath signal and noise;
(2)根据回波数据X,计算协方差矩阵Rxx;(2) Calculate the covariance matrix Rxx according to the echo data X;
(3)对协方差矩阵Rxx进行Toeplitz矩阵重构,得到新的协方差矩阵R:(3) Perform Toeplitz matrix reconstruction on the covariance matrix Rxx to obtain a new covariance matrix R:
3a)依次取出与协方差矩阵Rxx主对角线平行的对角线元素,计算其平均值r(-k):3a) Take out the diagonal elements parallel to the main diagonal of the covariance matrix Rxx in turn, and calculate its average value r(-k):
其中,N为阵元个数,k=0,1,…,N-1;Among them, N is the number of array elements, k=0,1,...,N-1;
3b)根据平均值r(-k),得到Toeplitz矩阵重构后的协方差矩阵R:3b) According to the average value r(-k), the covariance matrix R after reconstruction of the Toeplitz matrix is obtained:
(4)根据重构后的协方差矩阵R,计算波达方向(4) According to the reconstructed covariance matrix R, calculate the direction of arrival
4a)对重构协方差矩阵R进行特征值分解,得到噪声子空间EN:4a) Perform eigenvalue decomposition on the reconstructed covariance matrix R to obtain the noise subspace EN :
R=ESΣSESH+ENΣNENH,R=ES ΣS ESH +EN ΣN ENH ,
其中,(·)H为共轭转置运算,ES指信号子空间,ΣS指R的大特征值组成的对角阵,ΣN指R的小特征值组成的对角阵;Among them, ( )H is the conjugate transpose operation, ES refers to the signal subspace, ΣS refers to the diagonal matrix composed of the large eigenvalues of R, and ΣN refers to the diagonal matrix composed of the small eigenvalues of R;
4b)用搜索矢量a(θ)向噪声子空间EN作投影,计算空间谱函数S(θ):4b) Project the search vector a(θ) to the noise subspace EN , and calculate the spatial spectral function S(θ):
其中,a(θ)表示从θ方向到达的导向矢量;Among them, a(θ) represents the steering vector arriving from the direction of θ;
4c)从空间谱函数S(θ)中找出谱峰的峰值点所对应的角度,即为波达方向4c) Find the angle corresponding to the peak point of the spectral peak from the spatial spectral function S(θ), which is the direction of arrival
(5)将步骤(4)中估计出的目标角度作为波束指向,得到波束形成y:(5) The target angle estimated in step (4) As the beam pointing, the beamforming y is obtained:
其中,W为加权向量,表示从方向到达的导向矢量。Among them, W is the weighting vector, means from The steering vector for the direction of arrival.
本发明与现有技术相比,具有以下优点:Compared with the prior art, the present invention has the following advantages:
1、目标搜索范围更加准确1. The target search range is more accurate
本发明通过利用估计得到的目标波达方向角度作为波束指向,极大的减小了目标的搜索范围,使得目标搜索范围更加准确。The present invention greatly reduces the search range of the target by using the estimated direction-of-arrival angle of the target as the beam pointing, so that the search range of the target is more accurate.
2、能有效接收多径相干信号2. Can effectively receive multipath coherent signals
为减弱多径效应对波束形成的影响,传统方法采取抑制多径效应的方法。本发明充分利用多径相干信号的来波信息,通过对回波信号进行协方差矩阵重构及MUSIC角度估计,利用估计得到的目标角度作为波束指向,进行波束形成,因而在低空多径的情况下,能有效解决多径相干信号接收问题,适用范围较广。In order to weaken the influence of multipath effect on beamforming, the traditional method adopts the method of suppressing multipath effect. The present invention makes full use of incoming wave information of multipath coherent signals, carries out covariance matrix reconstruction and MUSIC angle estimation on echo signals, uses estimated target angle as beam pointing, and performs beamforming, thus in the case of low-altitude multipath It can effectively solve the problem of multipath coherent signal reception, and has a wide range of applications.
仿真结果表明,本发明明显提高了回波信号的信多噪比。Simulation results show that the present invention obviously improves the SNR of the echo signal.
附图说明Description of drawings
图1是本发明的实现流程图;Fig. 1 is the realization flowchart of the present invention;
图2是在信噪比为-10dB时,仿真本发明中使用Toeplitz矩阵重构解相干后的角度估计结果图;Fig. 2 is when signal-to-noise ratio is-10dB, simulates the angle estimation result figure after using Toeplitz matrix reconstruction decoherence in the present invention;
图3是在信噪比为-10dB时,仿真常规波束形成方法与本发明方法的方向增益对比图;Fig. 3 is when the signal-to-noise ratio is -10dB, the directional gain comparison diagram of the simulated conventional beamforming method and the method of the present invention;
图4是本发明中使用Toeplitz矩阵重构解相干的方法对目标进行波达方向估计,仿真估计角度个数随输入信噪比变化的结果图;Fig. 4 is the method of using Toeplitz matrix reconstruction decoherence in the present invention to carry out DOA estimation to the target, and the result figure of the number of simulated estimated angles changing with the input signal-to-noise ratio;
图5是用常规的波束形成方法、自适应波束形成和本发明波束形成方法,仿真输出信多噪比随输入信噪比变化的比较图。Fig. 5 is a comparison chart of the simulation output SNR with the input SNR by using the conventional beamforming method, the adaptive beamforming method and the beamforming method of the present invention.
具体实施方式Detailed ways
参照图1,本发明的具体实现步骤如下:With reference to Fig. 1, the concrete realization steps of the present invention are as follows:
步骤1:获取雷达回波数据。Step 1: Obtain radar echo data.
假设接收阵列为N阵元的均匀线阵,阵元间隔d为半波长,信源为直达波和多径波的合成,则阵列雷达接收信号,得到的回波数据X包括直达波信号、多径信号和噪声,其表示如下:Assuming that the receiving array is a uniform linear array with N array elements, the array element spacing d is half a wavelength, and the signal source is the synthesis of direct wave and multipath wave, then the array radar receives the signal, and the obtained echo data X includes the direct wave signal, multipath wave path signal and noise, which is expressed as follows:
其中,Γ为地面或着海面的反射系数,其取值在水平极化和平坦地、海面条件下为Γ=-1,a(θt)为直达波方向的导向矢量,a(θr)多径波方向的导向矢量,为直达波与多径波的延迟相位,S为载波信号,P为高斯白噪声。Among them, Γ is the reflection coefficient of the ground or the sea surface, and its value is Γ=-1 under horizontal polarization and flat land and sea surface conditions, a(θt ) is the steering vector in the direction of the direct wave, a(θr ) Steering vectors for multipath wave directions, is the delayed phase of the direct wave and the multipath wave, S is the carrier signal, and P is Gaussian white noise.
步骤2:根据回波数据X,计算协方差矩阵Rxx:Step 2: According to the echo data X, calculate the covariance matrix Rxx :
Rxx=E[XXH]Rxx =E[XXH ]
其中,(·)H为共轭转置运算,E[·]为取均值运算。Among them, (·)H is the conjugate transpose operation, and E[·] is the mean value operation.
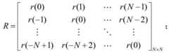
步骤3:对协方差矩阵Rxx进行Toeplitz矩阵重构,得到新的协方差矩阵R。Step 3: Perform Toeplitz matrix reconstruction on the covariance matrix Rxx to obtain a new covariance matrix R.
3a)依次取出与协方差矩阵Rxx主对角线平行的对角线元素,计算其平均值r(-k):3a) Take out the diagonal elements parallel to the main diagonal of the covariance matrix Rxx in turn, and calculate its average value r(-k):
其中,N为阵元个数,k=0,1,…,N-1;Among them, N is the number of array elements, k=0,1,...,N-1;
3b)根据平均值r(-k)的共轭反转性:r(-k)=r*(k),计算得到2N-1个平均值:3b) According to the conjugate inversion of the average value r(-k): r(-k)=r* (k), 2N-1 average values are calculated:
{r(-N+1),r(-N+2),…,r(0),…r(N-2),r(N-1)}{r(-N+1),r(-N+2),...,r(0),...r(N-2),r(N-1)}
其中,(·)*为共轭运算;Among them, (·)* is the conjugate operation;
3c)根据得到的2N-1个平均值,得到Toeplitz矩阵重构后的协方差矩阵R:3c) According to the obtained 2N-1 average values, the covariance matrix R after reconstruction of the Toeplitz matrix is obtained:
步骤4:根据重构后的协方差矩阵R,计算波达方向Step 4: According to the reconstructed covariance matrix R, calculate the direction of arrival
4a)对重构协方差矩阵R进行特征值分解,得到噪声子空间EN:4a) Perform eigenvalue decomposition on the reconstructed covariance matrix R to obtain the noise subspace EN :
R=ESΣSESH+ENΣNENH,R=ES ΣS ESH +EN ΣN ENH ,
其中,ES指信号子空间,ΣS指R的大特征值组成的对角阵,ΣN指R的小特征值组成的对角阵;Among them, ES refers to the signal subspace, ΣS refers to the diagonal matrix composed of large eigenvalues of R, and ΣN refers to the diagonal matrix composed of small eigenvalues of R;
4b)用搜索矢量a(θ)向噪声子空间EN作投影,计算空间谱函数S(θ):4b) Project the search vector a(θ) to the noise subspace EN , and calculate the spatial spectral function S(θ):
其中,a(θ)表示从θ方向到达的导向矢量,其中d为阵元间距,λ为信号波长,(·)T表示转置操作;where a(θ) represents the steering vector arriving from the direction θ, Where d is the array element spacing, λ is the signal wavelength, ( )T represents the transpose operation;
4c)从空间谱函数S(θ)中找出谱峰的峰值点所对应的角度,即为波达方向4c) Find the angle corresponding to the peak point of the spectral peak from the spatial spectral function S(θ), which is the direction of arrival
完成雷达低空目标相干信源DOA估计。Complete radar low-altitude target coherent source DOA estimation.
步骤5:将步骤(4)中估计出目标角度作为波束指向,得到波束形成y。Step 5: Estimate the target angle in step (4) As beam pointing, beamforming y is obtained.
5a)根据估计目标角度得到方向到达的导向矢量5a) According to the estimated target angle get Steering vector for direction arrival
其中,d为阵元间距,λ为信号波长,(·)T表示转置操作;Among them, d is the array element spacing, λ is the signal wavelength, ( )T represents the transpose operation;
5b)获得波束形成输出y:5b) Obtain the beamforming output y:
波束形成是用一定形状的波束来通过有用信号或需要方向的信号,并抑制不需要方向的干扰,可通过将各阵元输出进行加权求和,在一段时间内将天线阵列波束“导向”到一个方向上,即可获得波束形成输出y:Beamforming is to use a beam of a certain shape to pass useful signals or signals that require directions, and to suppress interference that does not require directions. By weighting and summing the outputs of each array element, the antenna array beam can be "steered" to within a period of time In one direction, the beamforming output y can be obtained:
y=WHX,y = WH X,
其中,W为阵列加权向量;Wherein, W is an array weighting vector;
5c)将作为波束指向,使得到波束形成y:5c) will as beam pointing so that Get beamforming y:
其中,(·)H为共轭转置运算。Among them, (·)H is the conjugate transpose operation.
本发明的效果可通过以下仿真实验进一步验证。The effects of the present invention can be further verified by the following simulation experiments.
1.实验场景:1. Experimental scene:
以一组阵元个数为32的均匀线阵为例进行仿真,阵元间距为半波长,载频为f0=4GHz,天线高度为29m,目标高度为142m,目标距离为10Km,带宽为50MHz,多径波信号与直达波信号的距离差为0.8236m,反射系数幅值0.9,相位160°,直达波信号来波角度为0.6475°,多径波信号来波角度为-0.9797°,直达波信号与多径波信号的来波角度差为1.6272°。Taking a uniform linear array with 32 array elements as an example for simulation, the array element spacing is half wavelength, the carrier frequency is f0 =4GHz, the antenna height is 29m, the target height is 142m, the target distance is 10Km, and the bandwidth is 50MHz, the distance difference between the multipath wave signal and the direct wave signal is 0.8236m, the reflection coefficient amplitude is 0.9, the phase is 160°, the angle of arrival of the direct wave signal is 0.6475°, the angle of arrival of the multipath wave signal is -0.9797° The incoming wave angle difference between the wave signal and the multipath wave signal is 1.6272°.
2.实验内容和实验结果分析:2. Experimental content and analysis of experimental results:
实验1,在快拍数为256、信噪比为-10dB的条件下,通过Toeplitz协方差矩阵重构以及MUSIC谱估计方法对目标进行波达方向估计,其结果如图2所示;然后用估计得到的目标角度作波束指向进行波束形成,仿真常规波束形成方法与本发明波束形成方法的方向增益对比图,其结果如图3所示。In experiment 1, under the condition that the number of snapshots is 256 and the signal-to-noise ratio is -10dB, the target direction of arrival is estimated by Toeplitz covariance matrix reconstruction and MUSIC spectrum estimation method, and the results are shown in Figure 2; The estimated target angle is used as beam pointing to perform beamforming, and the comparison chart of directional gain between the conventional beamforming method and the beamforming method of the present invention is simulated, and the result is shown in FIG. 3 .
从图2和3可见:估计得到的角度估计为0.044°,相比起直达波角度0.6475°和多径波角度-0.9797°,解相干后的角度更接近于直达波角度;与常规波束形成方法相比,本发明由于利用估计得到的目标角度作为波束指向进行波束形成,使得在目标方向具有较高的方向增益,可以更好的接收直达波信号。It can be seen from Figures 2 and 3 that the estimated angle is estimated to be 0.044°, compared with the direct wave angle of 0.6475° and the multipath wave angle of -0.9797°, the angle after decoherence is closer to the direct wave angle; compared with the conventional beamforming method In comparison, the present invention uses the estimated target angle as the beam pointing to perform beamforming, so that it has a higher directional gain in the target direction and can receive direct wave signals better.
实验2,在快拍数为1024、输入信噪比的范围为-25dB到10dB且步长为2dB的条件下,通过Toeplitz协方差矩阵重构以及MUSIC谱估计方法对目标进行波达方向估计,进行100次Monte-Carlo仿真实验,仿真估计角度个数随输入信噪比的变化,其结果如图4所示。In
从图4可见:在输入信噪比的范围为-25dB到-14dB时,通过Toeplitz矩阵重构解相干后的估计角度在直达波信号来波角度和多径波信号来波角度之间,且个数为1。而在输入信噪比的范围为-14dB到10dB时,通过Toeplitz矩阵重构解相干后的估计角度在直达波信号来波角度和多径波信号来波角度之间,且个数为2。It can be seen from Figure 4 that when the input signal-to-noise ratio ranges from -25dB to -14dB, the estimated angle after reconstruction and decoherence through the Toeplitz matrix is between the angle of arrival of the direct wave signal and the angle of arrival of the multipath wave signal, and The number is 1. When the input signal-to-noise ratio ranges from -14dB to 10dB, the estimated angle after reconstruction and decoherence through the Toeplitz matrix is between the angle of arrival of the direct wave signal and the angle of arrival of the multipath wave signal, and the number is 2.
实验3,在快拍数为1024、输入信噪比的范围为-25dB到10dB且步长为2dB的条件下,分别用常规波束形成、自适应波束形成和本发明多径利用波束形成的方法,仿真输出信多噪比随输入信噪比的变化,进行100次Monte-Carlo仿真实验,其结果如图5所示。Experiment 3, under the condition that the number of snapshots is 1024, the range of input signal-to-noise ratio is -25dB to 10dB, and the step size is 2dB, conventional beamforming, adaptive beamforming and the multipath beamforming method of the present invention are used respectively , the simulated output SNR varies with the input SNR, and Monte-Carlo simulation experiments are carried out 100 times, and the results are shown in Fig. 5 .
从图5可见:本发明波束形成方法的输出信多噪比性能随着信噪比的提高而提高。与常规波束形成和自适应波束形成方法相比,本发明波束形成方法的输出信多噪比高于前两种方法。It can be seen from FIG. 5 that the output signal-to-noise ratio performance of the beamforming method of the present invention increases with the increase of the signal-to-noise ratio. Compared with conventional beamforming and adaptive beamforming methods, the output SNR of the beamforming method of the present invention is higher than that of the former two methods.
| Application Number | Priority Date | Filing Date | Title |
|---|---|---|---|
| CN201811244021.2ACN109407055B (en) | 2018-10-24 | 2018-10-24 | Beamforming method based on multipath utilization |
| Application Number | Priority Date | Filing Date | Title |
|---|---|---|---|
| CN201811244021.2ACN109407055B (en) | 2018-10-24 | 2018-10-24 | Beamforming method based on multipath utilization |
| Publication Number | Publication Date |
|---|---|
| CN109407055A CN109407055A (en) | 2019-03-01 |
| CN109407055Btrue CN109407055B (en) | 2023-02-10 |
| Application Number | Title | Priority Date | Filing Date |
|---|---|---|---|
| CN201811244021.2AActiveCN109407055B (en) | 2018-10-24 | 2018-10-24 | Beamforming method based on multipath utilization |
| Country | Link |
|---|---|
| CN (1) | CN109407055B (en) |
| Publication number | Priority date | Publication date | Assignee | Title |
|---|---|---|---|---|
| CN109901131B (en)* | 2019-03-24 | 2022-12-02 | 西安电子科技大学 | Multipath utilization coherent beam forming method based on oblique projection |
| CN109901132B (en)* | 2019-03-24 | 2022-12-02 | 西安电子科技大学 | Self-adaptive coherent beam forming method for multi-path utilization |
| CN110389319B (en)* | 2019-07-22 | 2021-04-27 | 北京工业大学 | A DOA Estimation Method for MIMO Radar Based on Low Altitude Multipath |
| CN110749870A (en)* | 2019-10-18 | 2020-02-04 | 武汉工程大学 | Direction-of-arrival estimation method for extremely low signal-to-noise ratio signal in multipath propagation environment |
| CN110687497A (en)* | 2019-10-31 | 2020-01-14 | 安徽工业大学 | A Novel DOA Estimation Method for Instantaneous Multibeam Paraboloids |
| CN111090080B (en)* | 2019-12-03 | 2023-03-28 | 西安电子科技大学 | Ultra-wideband radar single-channel digital beam forming method based on space-time coding array |
| CN111585631A (en)* | 2020-04-09 | 2020-08-25 | 哈尔滨工程大学 | Beam forming method for improving transmission gain of distributed polarization sensitive array |
| CN111538042B (en)* | 2020-05-07 | 2022-08-09 | 中国人民解放军海军航空大学 | Array anti-satellite navigation signal multipath method based on matrix reconstruction algorithm |
| CN113030843B (en)* | 2021-04-26 | 2022-02-25 | 中国人民解放军国防科技大学 | Low-altitude target direction finding method based on improved IAA beamforming |
| CN113820654B (en)* | 2021-08-09 | 2023-12-26 | 西安电子科技大学 | S-band radar target low elevation DOA estimation method based on beam domain dimension reduction |
| CN114966526A (en)* | 2022-05-17 | 2022-08-30 | 上海英恒电子有限公司 | A DOA Estimation Method |
| CN115267659B (en)* | 2022-07-29 | 2024-04-16 | 青岛理工大学 | A method of bearing estimation based on Toeplitz reconstruction MUSIC algorithm |
| Publication number | Priority date | Publication date | Assignee | Title |
|---|---|---|---|---|
| JP2013245949A (en)* | 2012-05-23 | 2013-12-09 | Nec Corp | Radar device, angle measurement method, and program |
| CN107450046A (en)* | 2017-07-15 | 2017-12-08 | 西安电子科技大学 | Direction of arrival estimation method under low elevation angle multi-path environment |
| CN107918115A (en)* | 2017-10-20 | 2018-04-17 | 西安电子科技大学 | The radar target localization method utilized based on multipath |
| CN108535698A (en)* | 2018-04-04 | 2018-09-14 | 西安电子科技大学 | The low elevation estimate method of metre wave radar based on beam space |
| Publication number | Priority date | Publication date | Assignee | Title |
|---|---|---|---|---|
| US8320489B2 (en)* | 2009-02-20 | 2012-11-27 | Wisconsin Alumni Research Foundation | Determining channel coefficients in a multipath channel |
| Publication number | Priority date | Publication date | Assignee | Title |
|---|---|---|---|---|
| JP2013245949A (en)* | 2012-05-23 | 2013-12-09 | Nec Corp | Radar device, angle measurement method, and program |
| CN107450046A (en)* | 2017-07-15 | 2017-12-08 | 西安电子科技大学 | Direction of arrival estimation method under low elevation angle multi-path environment |
| CN107918115A (en)* | 2017-10-20 | 2018-04-17 | 西安电子科技大学 | The radar target localization method utilized based on multipath |
| CN108535698A (en)* | 2018-04-04 | 2018-09-14 | 西安电子科技大学 | The low elevation estimate method of metre wave radar based on beam space |
| Title |
|---|
| MIMO Adaptive Beamforming for Nonseparable Mu Iti path Clutter Mitigation;JASON YU;《IEEE TRANSACTIONS ON AEROSPACE AND ELECTRONIC SYSTEMS》;20141031;第50卷(第4期);全文* |
| 毫米波相阵多径信道中的迭代波束成形方法;唐俊林等;《西安电子科技大学学报(自然科学版)》;20180831;第45卷(第4期);全文* |
| Publication number | Publication date |
|---|---|
| CN109407055A (en) | 2019-03-01 |
| Publication | Publication Date | Title |
|---|---|---|
| CN109407055B (en) | Beamforming method based on multipath utilization | |
| CN109490850B (en) | Broadband array self-adaptive beam forming method under main lobe interference | |
| CN104615854B (en) | A kind of beam-broadening and side lobe suppression method based on sparse constraint | |
| CN103837861B (en) | The Subarray linear restriction Adaptive beamformer method of feature based subspace | |
| CN107390197B (en) | Radar self-adaption sum-difference beam angle measurement method based on feature space | |
| CN109959899A (en) | Feature Projection Preprocessing and Covariance Matrix Sparse Reconstruction Main Lobe Interference Suppression Algorithm | |
| CN103885045B (en) | Based on the circulation associating Adaptive beamformer method of Subarray partition | |
| CN111693971B (en) | A Wide Beam Interference Suppression Method for Weak Target Detection | |
| CN105182302A (en) | Robust nulling-broadening wave beam forming method resistant to quick movement interference | |
| CN106646388B (en) | Anti-jamming method of MIMO radar based on nested array | |
| CN103984676A (en) | Rectangular projection adaptive beamforming method based on covariance matrix reconstruction | |
| CN110837074A (en) | A Direction Finding Method for Phase Interferometer with Multiple Co-frequency Sources Based on Digital Beamforming | |
| CN108761394A (en) | A kind of high-resolution low sidelobe based on space-time processing deconvolutes Power estimation method | |
| CN109765521A (en) | A beam domain imaging method based on subarray division | |
| CN107064901A (en) | A kind of method for estimating target azimuth of carrier-borne High frequency ground wave over-the-horizon aadar | |
| CN102664666A (en) | Efficient robust self-adapting beam forming method of broadband | |
| CN110261826A (en) | A kind of coherent interference suppression method of null broadening | |
| CN107290732B (en) | Single-base MIMO radar direction finding method for large-quantum explosion | |
| CN109001737A (en) | A kind of Bi-static sonar system direct wave suppressing method | |
| CN104931935A (en) | A Robust Beamforming Method Based on Sidelobe Cancellation | |
| CN109633563B (en) | Self-adaptive coherent beam forming method based on multipath information | |
| CN107167804A (en) | A kind of sane Sidelobe Adaptive beamformer method | |
| CN109901131B (en) | Multipath utilization coherent beam forming method based on oblique projection | |
| CN104360337B (en) | Adaptive beam forming method based on 1 norm constraint | |
| CN108872947A (en) | A kind of ocean clutter cancellation method based on sub-space technique |
| Date | Code | Title | Description |
|---|---|---|---|
| PB01 | Publication | ||
| PB01 | Publication | ||
| SE01 | Entry into force of request for substantive examination | ||
| SE01 | Entry into force of request for substantive examination | ||
| GR01 | Patent grant | ||
| GR01 | Patent grant |