Movatterモバイル変換


[0]ホーム

URL:


CN109377485B - Machine vision detection method for instant noodle packaging defects - Google Patents

Machine vision detection method for instant noodle packaging defects
Download PDF

Info

Publication number
CN109377485B
CN109377485BCN201811188773.1ACN201811188773ACN109377485BCN 109377485 BCN109377485 BCN 109377485BCN 201811188773 ACN201811188773 ACN 201811188773ACN 109377485 BCN109377485 BCN 109377485B
Authority
CN
China
Prior art keywords
image
gray
packaging
defect
value
Prior art date
Legal status (The legal status is an assumption and is not a legal conclusion. Google has not performed a legal analysis and makes no representation as to the accuracy of the status listed.)
Active
Application number
CN201811188773.1A
Other languages
Chinese (zh)
Other versions
CN109377485A (en
Inventor
张永宾
Current Assignee (The listed assignees may be inaccurate. Google has not performed a legal analysis and makes no representation or warranty as to the accuracy of the list.)
Shenzhen Zhongzhi Vision Technology Co Ltd
Original Assignee
Shenzhen Zhongzhi Vision Technology Co ltd
Priority date (The priority date is an assumption and is not a legal conclusion. Google has not performed a legal analysis and makes no representation as to the accuracy of the date listed.)
Filing date
Publication date
Application filed by Shenzhen Zhongzhi Vision Technology Co ltdfiledCriticalShenzhen Zhongzhi Vision Technology Co ltd
Priority to CN201811188773.1ApriorityCriticalpatent/CN109377485B/en
Publication of CN109377485ApublicationCriticalpatent/CN109377485A/en
Application grantedgrantedCritical
Publication of CN109377485BpublicationCriticalpatent/CN109377485B/en
Activelegal-statusCriticalCurrent
Anticipated expirationlegal-statusCritical

Links

Images

Classifications

Landscapes

Abstract

The invention discloses a machine vision detection method for defects of instant noodle packaging, which mainly comprises the following steps: establishing an automatic detection device model for the packaging defects of the instant noodles, collecting an image of the packaging of the instant noodles on a conveyor belt, preprocessing the image, and enhancing the image characteristics; selecting image segmentation center pixel points, establishing a similarity measurement standard according to the continuity between pixel grayscales, and segmenting all pixels into different regions; convolving the packaging image by a Gaussian kernel function to obtain a Gaussian difference image, and extracting the defect characteristics of the packaging image of the instant noodle by solving the gray extreme value of the image; classifying by measuring the similarity between the defect characteristics and the sample, detecting the defect category and kicking off, and completing the automatic detection of the defects of the instant noodle packaging. The method has the advantages of good stability and robustness, low omission factor and false detection rate, high detection efficiency, high detection speed, nondestructive detection, labor resource saving, cost reduction for enterprises and more fine instant noodle packaging.

Description

Machine vision detection method for instant noodle packaging defects
Technical Field
The invention relates to the fields of food quality inspection, image recognition and mathematics, in particular to a machine vision detection method for defects of instant noodle packaging.
Background
The packaging of instant noodles has a great influence on the appearance and quality of instant noodles, and various defects or flaws inevitably exist in the printing production. The existing instant noodle packaging defect detection device has the advantages of high labor intensity, low detection efficiency, poor adaptability, high detection cost and low competitiveness of instant noodles, and is easy to cause false detection and missing detection, thus being not beneficial to reducing the production cost. Enterprises without online detection devices can only manually check the defects, and the defect detection rate is very low.
Disclosure of Invention
In order to solve the problems, the invention aims to provide a machine vision detection method for defects of instant noodle packages, which has better stability and robustness, reduces the omission factor and the false detection rate, improves the detection efficiency, has high detection speed, realizes nondestructive detection, saves labor resources, reduces the cost for enterprises, and makes the instant noodle packages more refined.
The technical scheme adopted by the invention for solving the problems comprises the following steps:
A. establishing an automatic detection device model for the packaging defects of the instant noodles, collecting an image of the packaging of the instant noodles on a conveyor belt, preprocessing the image, and enhancing the image characteristics;
B. selecting an image segmentation center pixel point, establishing a similarity measurement standard according to the continuity between pixel grayscales, and segmenting all pixels into different regions;
C. convolving the segmented packaging image by a Gaussian kernel function to obtain a Gaussian difference image, and extracting the defect characteristics of the packaging image of the instant noodle by solving the gray extreme value of the image;
D. classifying by measuring the similarity between the defect characteristics and the sample, detecting the defect type and kicking off, and completing the automatic detection of the instant noodle packaging defects.
Further, the step a comprises:
(1) establishing an automatic detection device for the packaging defect of the instant noodles, collecting an image of the instant noodles on a conveyor belt by a camera, transmitting the image to a main control device, digitizing the image, and performing equalization processing on the gray value of the image by utilizing a histogram, wherein the gray value of the image after the equalization processing is as follows:
Figure GDA0003464159200000021
wherein, l is the gray level of the image, f (t) is the probability density function of the gray level of the image, t is a pixel point, the normalization processing is carried out on the gray level of the image, and when l belongs to [0,1], the probability density function value is 1; otherwise, the value is 0;
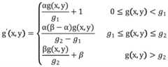
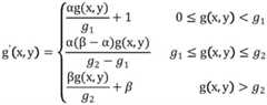
(2) if the gray value of the image pixel point (x, y) is g (x, y), the gray range is [ g [ ]1 ,g2 ]Mapping the gray value to g' (x, y) by a mapping function, and performing gray conversion:
Figure GDA0003464159200000022
where (α, β) is a gradation range after gradation conversion.
Further, the step B includes:
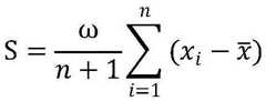
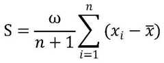
(1) color space processing of instant noodle packaging imagePerforming inter-conversion, performing initial segmentation on the image by a watershed method, and if a certain region is Vr Neighborhood of Vi (i ═ 1, 2.., n), then the similarity function is:
Figure GDA0003464159200000031
where ω is the weight coefficient, n is the number of neighborhoods, xi Is the mean value of the gray levels of each region,
Figure GDA0003464159200000033
obtaining a threshold value by a maximum inter-class variance method according to the gray level mean value of all the regions, wherein the similarity function value is larger than the threshold value, and the region is selected as a seed region;
(2) marking the selected seed region, traversing all seed regions and neighborhoods thereof, checking the neighborhood of the region if the seed region is not marked, and marking the same in the region if the neighborhood marks are the same; if the neighborhood marks are different, calculating the gray mean value difference between the region and the neighborhood, selecting the neighborhood with the minimum difference to carry out the same marking, traversing all the regions until all the regions are marked, combining adjacent pixels with similar gray values to the seed region into one region, combining a plurality of small fragmented regions in the segmented region, setting a region range threshold, and combining the regions smaller than the threshold into the neighborhood with the minimum gray mean value difference, thereby completing the image segmentation.
Further, the step C includes:
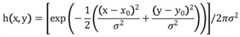
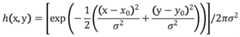
(1) constructing a Gaussian function of the instant noodle packaging image:
Figure GDA0003464159200000032
wherein, sigma is the standard deviation of the image normal distribution, (x, y) are the pixel coordinates, and (x)0 ,y0 ) Is the coordinates of the seed point, the scale space function of the image I (x, y) is:
S(x,y)=h(x,y)*I(x,y)
wherein, the more the convolution is represented, the smaller the σ is, the smaller the image scale is, and the more obvious the detail feature is;
(2) the packaging image is convolved by a Gaussian function to generate a group of images, and the images are separated by a constant k in a scale space to obtain a Gaussian difference function:
D(x,y)=[h(x,y)-h(k(x,y))]*I(x,y)
=S(k(x,y))-S(x,y)
comparing pixel points in the image through a Gaussian difference function, setting a gray threshold, searching pixel points with gray values larger than the threshold, searching gray extreme points in the remaining pixel points as feature points to be selected, and performing Taylor expansion on the Gaussian difference function:
Figure GDA0003464159200000041
wherein, (x, y)T Is the offset of the pixel point, order
Figure GDA0003464159200000042
And finally, obtaining extreme points, removing pixel points at the edges in the candidate feature points, and extracting stable feature points.
Further, the step D includes:
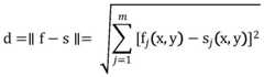
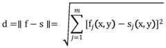
calculating the Euclidean distance between the extracted characteristic image f (x, y) and the detection sample s (x, y):
Figure GDA0003464159200000043
wherein f isj And (x, y) is the jth characteristic, m is the number of the characteristics, min (d) and classification are carried out by searching the characteristic with the minimum Euclidean distance, the main control device counts the defect types and sends a signal to the kicking-off device for kicking off, and the package without the defect continues the next procedure, so that the automatic detection of the package defect of the instant noodles is completed.
The beneficial effects of the invention are:
under the condition that the packaging quality of the instant noodles is higher and higher, the method has better stability and robustness, reduces the omission factor and the false detection rate, improves the detection efficiency, has high detection speed, realizes nondestructive detection, saves labor resources, reduces the cost for enterprises, and makes the packaging of the instant noodles more refined.
Drawings
FIG. 1 is an overall flow chart of a machine vision inspection method for defects in instant noodle packaging;
FIG. 2 is a diagram of an automatic detection device for defects of instant noodles;
FIG. 3 is a flow chart of defect feature extraction for an image of an instant noodle package.
Detailed Description
Referring to fig. 1, the method of the present invention comprises the steps of:
A. establishing an automatic detection device model for the packaging defects of the instant noodles, collecting an image of the packaging of the instant noodles on a conveyor belt, preprocessing the image, and enhancing the image characteristics;
(1) and establishing an automatic detection device for the defects of the instant noodle package, as shown in figure 2. The camera gathers the instant noodle package image on the conveyer belt, conveys to master control set. The original image acquired in the field may have various noises, so that preprocessing is required. The image is digitized, and the histogram is used for carrying out equalization processing on the gray value of the image, so that the visual effect is enhanced. The gray scale of the image after the equalization processing is as follows:
Figure GDA0003464159200000051
wherein l is the gray level of the image, f (t) is the probability density function of the image gray level, and t is the pixel point. Normalizing the image gray level, and when l belongs to [0,1], the probability density function value is 1; otherwise it is 0.
(2) If the gray scale value of the image pixel point (x, y) is g (x, y), the gray scale range is [ g ]1 ,g2 ]Mapping the gray value to g' (x, y) by a mapping function, and performing gray conversion:
Figure GDA0003464159200000052
where (α, β) is a gradation range after gradation conversion. Thereby enlarging the gray scale range of the image and making the image clearer.
B. Selecting an image segmentation center pixel point, establishing a similarity measurement standard according to the continuity between pixel grayscales, and segmenting all pixels into different regions;
(1) and (4) performing color space conversion on the convenient surface packaging image, and performing initialization segmentation on the image by a watershed method. If a certain region is Vr With a neighborhood of Vi (i ═ 1, 2.., n), then the similarity function is:
Figure GDA0003464159200000061
where ω is the weight coefficient, n is the number of neighborhoods, xi Is the mean value of the gray levels of each region,
Figure GDA0003464159200000063
is the mean of the gray levels of all the regions. And obtaining a threshold value through a maximum inter-class variance method, wherein the similarity function value is larger than the threshold value, and the region is selected as a seed region.
(2) And marking the selected seed region, and traversing all the seed regions and the neighborhoods thereof. If the region is not marked, checking the neighborhood of the region, and if the neighborhood marks are the same, marking the region in the same way; if the adjacent domains are different in mark, the gray average value difference between the region and the adjacent domains is calculated, and the adjacent domains with the minimum difference are selected to carry out the same mark. All regions are traversed until all regions are marked. Thereby merging adjacent pixels having similar gray values as the seed region into one region. And setting a region range threshold value, and combining the regions smaller than the threshold value into a neighborhood with the minimum gray mean difference, thereby completing image segmentation.
C. Convolving the packaging image by a Gaussian kernel function to obtain a Gaussian difference image, and extracting the defect characteristics of the instant noodle packaging image by solving the gray extreme value of the image (as shown in figure 3);
(1) constructing a Gaussian function of the instant noodle packaging image:
Figure GDA0003464159200000062
wherein, sigma is the standard deviation of the image normal distribution, (x, y) is the pixel point coordinate, (x)0 ,y0 ) Are the coordinates of the seed points. The scale-space function of image I (x, y) is then:
S(x,y)=h(x,y)*I(x,y)
where denotes convolution. The smaller sigma, the smaller the image scale, and the more prominent the detail features.
(2) The packaging image is convolved by a Gaussian function to generate a group of images, and the images are separated by a constant k in a scale space to obtain a Gaussian difference function:
D(x,y)=[h(x,y)-h(k(x,y))]*I(x,y)
=S(k(x,y))-S(x,y)
comparing pixel points in the image through a Gaussian difference function, setting a gray threshold, searching pixel points with gray values larger than the threshold, searching gray extreme points in the remaining pixel points as feature points to be selected, and performing Taylor expansion on the Gaussian difference function:
Figure GDA0003464159200000071
wherein, (x, y)T Is the offset of the pixel. Order to
Figure GDA0003464159200000072
Thereby obtaining an extreme point. And removing the pixel points at the edge in the candidate feature points, and extracting stable feature points.
D. Classifying by measuring the similarity between the defect characteristics and the sample, detecting the defect category and kicking off, and completing the automatic detection of the defects of the instant noodle packaging.
Calculating the Euclidean distance between the extracted characteristic image f (x, y) and the detection sample s (x, y):
Figure GDA0003464159200000073
wherein f isj And (x, y) is the jth characteristic, m is the number of the characteristics, min (d) and classification are carried out by searching the characteristic with the minimum Euclidean distance, the main control device counts the defect types and sends a signal to the kicking-off device for kicking off, and the package without the defect continues the next procedure, so that the automatic detection of the package defect of the instant noodles is completed.
In conclusion, the instant noodle packaging defect machine vision detection method is completed. The method has the advantages of good stability and robustness, low omission factor and false detection rate, high detection efficiency, high detection speed, nondestructive detection, labor resource saving, cost reduction for enterprises and more fine instant noodle packaging.

Claims (4)

1. A machine vision detection method for defects of instant noodle packages is characterized by comprising the following steps:
A. establishing an automatic detection device model for the packaging defects of the instant noodles, collecting an image of the packaging of the instant noodles on a conveyor belt, preprocessing the image, and enhancing the image characteristics;
(1) establishing an automatic detection device for the packaging defect of the instant noodles, collecting an image of the instant noodles on a conveyor belt by a camera, transmitting the image to a main control device, digitizing the image, and performing equalization processing on the gray value of the image by utilizing a histogram, wherein the gray value of the image after the equalization processing is as follows:
Figure FDA0003456786390000011
wherein, l is the gray level of the image, f (t) is the probability density function of the gray level of the image, t is a pixel point, the normalization processing is carried out on the gray level of the image, and when l belongs to [0,1], the probability density function value is 1; otherwise, the value is 0;
(2) if the gray value of the image pixel point (x, y) is g (x, y), the gray range is [ g [ ]1 ,g2 ]The gray scale value is mapped to g' (x, y) by a mapping function, and gray scale conversion is performed:
Figure FDA0003456786390000012
wherein (α, β) is a gray scale range after gray scale conversion;
B. selecting image segmentation center pixel points, establishing a similarity measurement standard according to the continuity between pixel grayscales, and segmenting all pixels into different regions;
C. convolving the segmented packaging image by a Gaussian kernel function to obtain a Gaussian difference image, and extracting the defect characteristics of the packaging image of the instant noodle by solving the gray extreme value of the image;
D. classifying by measuring the similarity between the defect characteristics and the sample, detecting the defect type and kicking off, and completing the automatic detection of the instant noodle packaging defects.
2. The instant noodle packaging defect machine vision inspection method of claim 1, wherein the step B comprises:
(1) color space conversion is carried out on the packing image of the instant noodles, the image is initially segmented by a watershed method, and if a certain area is Vr Neighborhood of Vi Where i is 1,2, …, n, the similarity function is:
Figure FDA0003456786390000021
where ω is the weight coefficient, n is the number of neighborhoods, xi Is the mean value of the gray levels of each region,
Figure FDA0003456786390000022
obtaining a threshold value by a maximum inter-class variance method according to the gray level mean value of all the regions, wherein the similarity function value is larger than the threshold value, and the region is selected as a seed region;
(2) marking the selected seed region, traversing all seed regions and neighborhoods thereof, checking the neighborhood of the region if the seed region is not marked, and marking the same in the region if the neighborhood marks are the same; if the neighborhood marks are different, calculating the gray mean value difference between the region and the neighborhood, selecting the neighborhood with the minimum difference to carry out the same marking, traversing all the regions until all the regions are marked, so that adjacent pixels with similar gray values to the seed region are combined into one region, a plurality of small fragmentary regions exist in the divided regions, setting a region range threshold value, and combining the regions smaller than the threshold value into the neighborhood with the minimum gray mean value difference, thereby completing image division.
3. The instant noodle packaging defect machine vision inspection method of claim 2, wherein the step C comprises:
(1) constructing a Gaussian function of the instant noodle package image:
Figure FDA0003456786390000023
wherein, sigma is the standard deviation of the image normal distribution, (x, y) is the pixel point coordinate, (x)0 ,y0 ) Is the coordinates of the seed point, the scale space function of the image I (x, y) is:
S(x,y)=h(x,y)*I(x,y)
wherein, the more the convolution is represented, the smaller the σ is, the smaller the image scale is, and the more obvious the detail feature is;
(2) the packaging image is convolved by a Gaussian function to generate a group of images, and the images are separated by a constant k in a scale space to obtain a Gaussian difference function:
D(x,y)=[h(x,y)-h(k(x,y))]*I(x,y)
=S(k(x,y))-S(x,y)
comparing pixel points in the image through a Gaussian difference function, setting a gray threshold, searching pixel points with gray values larger than the threshold, searching gray extreme points in the rest pixel points as feature points to be selected, and carrying out Taylor expansion on the Gaussian difference function:
Figure FDA0003456786390000031
wherein, (x, y)T Is the offset of the pixel point, order
Figure FDA0003456786390000032
Therefore, an extreme point is obtained, pixel points located at the edge in the candidate feature points are removed, and stable feature points are extracted.
4. The machine vision inspection method of defects in instant noodle packaging according to claim 3 wherein step D comprises:
calculating the Euclidean distance between the extracted characteristic image f (x, y) and the detection sample s (x, y):
Figure FDA0003456786390000033
wherein f isj And (x, y) is the jth feature, m is the number of features, min (d) the feature with the minimum Euclidean distance is searched for classification, the main control device counts the defect types and sends a signal to the kicking-off device for kicking off, and the package without the defect continues the next procedure, so that the automatic detection of the package defect of the instant noodles is completed.
CN201811188773.1A2018-10-122018-10-12Machine vision detection method for instant noodle packaging defectsActiveCN109377485B (en)

Priority Applications (1)

Application NumberPriority DateFiling DateTitle
CN201811188773.1ACN109377485B (en)2018-10-122018-10-12Machine vision detection method for instant noodle packaging defects

Applications Claiming Priority (1)

Application NumberPriority DateFiling DateTitle
CN201811188773.1ACN109377485B (en)2018-10-122018-10-12Machine vision detection method for instant noodle packaging defects

Publications (2)

Publication NumberPublication Date
CN109377485A CN109377485A (en)2019-02-22
CN109377485Btrue CN109377485B (en)2022-09-06

Family

ID=65397514

Family Applications (1)

Application NumberTitlePriority DateFiling Date
CN201811188773.1AActiveCN109377485B (en)2018-10-122018-10-12Machine vision detection method for instant noodle packaging defects

Country Status (1)

CountryLink
CN (1)CN109377485B (en)

Families Citing this family (21)

* Cited by examiner, † Cited by third party
Publication numberPriority datePublication dateAssigneeTitle
CN112070710A (en)*2019-06-102020-12-11北京平恒智能科技有限公司Method for detecting industrial product defect image
CN110415241A (en)*2019-08-022019-11-05同济大学 A computer vision-based surface quality detection method for concrete components
CN110717889A (en)*2019-09-062020-01-21深圳新视智科技术有限公司Defect detection method and device based on digital printing, terminal and readable medium
CN111583084A (en)*2020-04-012020-08-25杭州优视泰信息技术有限公司Workpiece defect positioning method
CN111968082A (en)*2020-07-302020-11-20陕西科技大学Product packaging defect detection and identification method based on machine vision
KR102278895B1 (en)*2020-08-212021-07-20주식회사농심detecting system for packing error
KR102259519B1 (en)*2020-08-282021-06-03주식회사농심cutting error detecting system for pack unti
CN112862760B (en)*2021-01-192023-11-10浙江大学Bearing outer ring surface defect area detection method
CN112862773A (en)*2021-01-292021-05-28山东建筑大学Shaving board image defect classification detection method and device
CN113777033B (en)*2021-08-182024-08-02长沙长泰机器人有限公司Raw strip defect detection method and device based on machine vision
CN113744239A (en)*2021-09-022021-12-03广东奥普特科技股份有限公司Soft packet of lithium cell base angle automatic checkout device of polymer based on machine vision
CN113610851B (en)*2021-10-092021-12-31武汉平桥兄弟包装材料有限公司Packaging decoration quality inspection method and system based on machine vision
CN114240888B (en)*2021-12-172022-09-20沭阳安宏木制品厂Furniture assembly paint spraying defect repairing method and system based on image processing
CN114813794B (en)*2022-02-182023-10-03成都飞机工业(集团)有限责任公司Method for acquiring scanning photo required by robot 3D printing nondestructive testing
CN114708325A (en)*2022-03-312022-07-05南通华烨塑料工业有限公司Method for quickly positioning rubber production problem based on rubber blooming defect
CN114742788A (en)*2022-04-012022-07-12南通高精数科机械有限公司Copper bar defect detection method and system based on machine vision
CN114706360A (en)*2022-06-062022-07-05浙江新迪嘉禾食品有限公司Bread production quality control method and system
CN115424010A (en)*2022-09-202022-12-02龙岩烟草工业有限责任公司Method, device and system for detecting appearance quality of cigarette packet
CN115311289A (en)*2022-10-122022-11-08南通甜享纺织品有限公司Method for detecting oil stain defects of plain-color cloth
CN118428969B (en)*2023-09-182025-01-17长春金融高等专科学校Method and system for tracing agricultural products by combining Internet of things
CN118365635B (en)*2024-06-172024-09-03广东正一包装股份有限公司Visual inspection method and system for surface defects of packaging film

Citations (2)

* Cited by examiner, † Cited by third party
Publication numberPriority datePublication dateAssigneeTitle
CN107330871A (en)*2017-06-292017-11-07西安工程大学The image enchancing method of insulator automatic identification is run under bad weather condition
CN108416766A (en)*2018-01-312018-08-17浙江理工大学 Visual inspection method for defects of double-side incident light guide plate

Family Cites Families (9)

* Cited by examiner, † Cited by third party
Publication numberPriority datePublication dateAssigneeTitle
JP5332181B2 (en)*2007-11-082013-11-06味の素株式会社 Packaging defect inspection equipment for packaging products with thin film
CN101470896A (en)*2007-12-242009-07-01南京理工大学Automotive target flight mode prediction technique based on video analysis
CN202583085U (en)*2011-12-292012-12-05天津普达软件技术有限公司Instant noodles sauce packet defect automatic detection device based on machine vision
CN102514767A (en)*2011-12-292012-06-27天津普达软件技术有限公司Automatic detection device based on machine vision for defects of instant noodle sauce packets and method
CN103512888B (en)*2013-06-052015-11-11北京化工大学A kind of cigarette packet seal defect detecting system based on image recognition technology
SG10201501672PA (en)*2015-03-052016-10-28Emage Vision Pte LtdInspection of sealing quality in blister packages
CN104794491B (en)*2015-04-282018-01-23重庆大学Based on the fuzzy clustering Surface Defects in Steel Plate detection method presorted
CN206914796U (en)*2017-07-072018-01-23今麦郎面品有限公司A kind of improper packing product remover of instant noodles
CN107481241A (en)*2017-08-242017-12-15太仓安顺财务服务有限公司A kind of color image segmentation method based on mixed method

Patent Citations (2)

* Cited by examiner, † Cited by third party
Publication numberPriority datePublication dateAssigneeTitle
CN107330871A (en)*2017-06-292017-11-07西安工程大学The image enchancing method of insulator automatic identification is run under bad weather condition
CN108416766A (en)*2018-01-312018-08-17浙江理工大学 Visual inspection method for defects of double-side incident light guide plate

Also Published As

Publication numberPublication date
CN109377485A (en)2019-02-22

Similar Documents

PublicationPublication DateTitle
CN109377485B (en)Machine vision detection method for instant noodle packaging defects
CN115082419B (en)Blow-molded luggage production defect detection method
CN109961049B (en)Cigarette brand identification method under complex scene
CN106056118B (en)A kind of identification method of counting for cell
CN104990925B (en)One kind is based on gradient multi thresholds optimization defect inspection method
CN111310760B (en) Oracle Bone Inscription Text Detection Method Combining Local Prior Features and Deep Convolution Features
CN103048329B (en)A kind of road surface crack detection method based on active contour model
CN110070523B (en) A kind of foreign matter detection method for bottle bottom
CN106650553A (en)License plate recognition method and system
CN107610114A (en)Optical satellite remote sensing image cloud snow mist detection method based on SVMs
CN106599896A (en)Character segmentation method and device, and element detection method and device
CN110648330B (en)Defect detection method for camera glass
CN114972356A (en)Plastic product surface defect detection and identification method and system
CN110175556B (en)Remote sensing image cloud detection method based on Sobel operator
CN110060239B (en) A kind of defect detection method for bottle mouth
CN106097368A (en)A kind of recognition methods in veneer crack
CN114820625B (en)Automobile top block defect detection method
CN113221881B (en) A multi-level smartphone screen defect detection method
CN112734761A (en)Industrial product image boundary contour extraction method
CN112734729A (en)Water gauge water level line image detection method and device suitable for night light supplement condition and storage medium
CN114511770A (en)Road sign plate identification method
CN107516315A (en) A monitoring method for slag discharge of roadheader based on machine vision
CN112465817B (en)Pavement crack detection method based on directional filter
CN111968082A (en)Product packaging defect detection and identification method based on machine vision
Fang et al.Towards real-time crack detection using a deep neural network with a Bayesian fusion algorithm

Legal Events

DateCodeTitleDescription
PB01Publication
PB01Publication
SE01Entry into force of request for substantive examination
SE01Entry into force of request for substantive examination
TA01Transfer of patent application right
TA01Transfer of patent application right

Effective date of registration:20220817

Address after:518000 Room 2107, No. 51, Pingxin North Road, Shangmu Ancient Community, Pinghu Street, Longgang District, Shenzhen, Guangdong, China

Applicant after:Shenzhen Zhongzhi Vision Technology Co., Ltd.

Address before:265700 No. 218 Huancheng North Road, Donglai Street, Longkou City, Yantai City, Shandong Province

Applicant before:LONGKOU WEIMEISI ENVIRONMENTAL PROTECTION TECHNOLOGY Co.,Ltd.

GR01Patent grant
GR01Patent grant

[8]ページ先頭

©2009-2025 Movatter.jp