
技术领域technical field
本发明属于纤维素基复合材料制备领域,具体地说,是涉及一种基于纳米纤维素的薄膜材料,利用表面具有大量羟基的多肽作为增强剂,使其在纤维素分子链之间形成大量的氢键连接,从而提高纤维素分子间的连接强度并最终获得高机械强度的纳米纤维素基薄膜材料。The invention belongs to the field of cellulose-based composite material preparation, and in particular relates to a nanocellulose-based film material, which utilizes a polypeptide having a large number of hydroxyl groups on the surface as a reinforcing agent to form a large number of hydrogen bonding, thereby improving the bonding strength between cellulose molecules and finally obtaining a nanocellulose-based film material with high mechanical strength.
背景技术Background technique
近年来,具有突出透光性、柔韧性的纳米纤维素基薄膜材料已经成为研究热点之一[王丽莉,欧阳土龙,戴兴兴,卢兴庚,梁华珍,邓榕,程芳超.过氧化氢漂白富纤维素材料制备透明纤维素膜研究,森林工程,2018,1;Chen D,Lawton D,Thompson M R,LiuQ.Biocomposites reinforced with cellulose nanocrystals derived from potatopeel waste,Carbohydrate Polymers,2012,1;母军,汤立秋,张瑞涵.纳米纤维素制备及壳聚糖/NCC复合模的性能研究,化工新型材料,2015,2;曹丛,贾敏强,赵东升.纤维素纳米晶体薄膜的制备与表征,分析测试学报,2014,11]。In recent years, nanocellulose-based film materials with outstanding light transmittance and flexibility have become one of the research hotspots [Wang Lili, Ouyang Tulong, Dai Xingxing, Lu Xinggeng, Liang Huazhen, Deng Rong, Cheng Fangchao. Hydrogen peroxide bleaching of cellulose-rich materials Research on Preparation of Transparent Cellulose Films, Forest Engineering, 2018, 1; Chen D, Lawton D, Thompson M R, LiuQ. Biocomposites reinforced with cellulose nanocrystals derived from potatopeel waste, Carbohydrate Polymers, 2012, 1; Mu Jun, Tang Liqiu, Zhang Ruihan. Preparation of Nanocellulose and Properties of Chitosan/NCC Composite Mold, New Chemical Materials, 2015, 2; Cao Cong, Jia Minqiang, Zhao Dongsheng. Preparation and Characterization of Cellulose Nanocrystalline Films, Chinese Journal of Analysis and Testing, 2014, 11].
基于纤维素的薄膜材料被广泛用于食品包装、可降解包装等领域[郄冰玉,唐亚丽,卢立新,王军,丘晓琳.纳米纤维素在可降解包装材料中的应用,包装工程,2017,1;张浩,辛长征,洪亮,楚高利,朱明.一种可完全降解的防水型包装材料及其制备方法,中国发明专利,授权公告日:2018年9月11日;明思逸,陈港,严俊芳,何嘉皓,方志强,胡稳.纳米纤维素分散的高稳定性单片层黏土分散液的制备及其在透明柔性薄膜的应用,复合材料学报,2018,9;徐铭梓,黄丽婕,张晓晓,黄崇杏,柴坤刚,梁东武,宗梦婷.生物质纤维基包装复合材料的研究现状,包装工程,2018,5]。但是,基于纤维素的薄膜材料在机械强度、热稳定性等方面存在先天的不足,与高分子聚合物、金属材料等相比差距明显[宦思琪,程万里,白龙,刘国相,韩广萍.静电纺丝制备聚苯乙烯/纳米纤维素晶体纳米复合薄膜及其性能表征,高分子材料科学与工程,2016,3;陈港,蒋晨颖,刘映尧,彭从星,胡稳,张俊奇.透明纸基材料的研究与应用,中国造纸,2018,7]。为了改善纤维素基薄膜材料的理化性能,目前常用的方法是向其中加入石墨烯、碳纳米管以及纳米金属线等[徐子豪,韦春,龚永洋,吕建,刘天西.纳米纤维素/氧化石墨烯/碳纳米管复合薄膜的制备及表征,高分子材料科学与工程,2017,7;张馨琪,黄彪彪,赵若男,陈春桃,唐艳军.纳米微晶纤维素/石墨烯柔性导电薄膜的制备与表征,纸和造纸,2018,3;Yang W F,Liu Z G,Peng D L.Room-temperaturedeposition of transparent conducting Al-doped ZnO films by RF magnetronsputtering method,Applied Surface Science,2009,11]。上述方法在改善纤维素基材性能的同时无法避免难以降解、增加自然环境负担等一些列问题,不利于环境保护和可持续发展。Cellulose-based film materials are widely used in food packaging, degradable packaging and other fields [Qi Bingyu, Tang Yali, Lu Lixin, Wang Jun, Qiu Xiaolin. Application of Nanocellulose in Degradable Packaging Materials, Packaging Engineering, 2017, 1; Zhang Hao, Xin Changzheng, Hong Liang, Chu Gaoli, Zhu Ming. A completely degradable waterproof packaging material and its preparation method, Chinese invention patent, authorization announcement date: September 11, 2018; Ming Siyi, Chen Gang , Yan Junfang, He Jiahao, Fang Zhiqiang, Hu Wen. Preparation of Nanocellulose-dispersed Monolayer Clay Dispersion with High Stability and Its Application in Transparent Flexible Films, Journal of Composite Materials, 2018, 9; Xu Mingzi, Huang Lijie, Zhang Xiaoxiao, Huang Chongxing, Chai Kungang, Liang Dongwu, Zong Mengting. Research status of biomass fiber-based packaging composites, Packaging Engineering, 2018, 5]. However, cellulose-based film materials have inherent deficiencies in mechanical strength, thermal stability, etc., and the gap is obvious compared with high molecular polymers and metal materials [Huan Siqi, Cheng Wanli, Bai Long, Liu Guoxiang, Han Guangping. Electrospinning Preparation of polystyrene/nanocellulose crystal nanocomposite thin films and their performance characterization, Polymer Materials Science and Engineering, 2016, 3; Chen Gang, Jiang Chenying, Liu Yingyao, Peng Congxing, Hu Wen, Zhang Junqi. Research and development of transparent paper based materials Application, China Paper, 2018, 7]. In order to improve the physical and chemical properties of cellulose-based thin film materials, the commonly used method is to add graphene, carbon nanotubes and nano-metal wires to it [Xu Zihao, Wei Chun, Gong Yongyang, Lv Jian, Liu Tianxi. Nanocellulose/graphene oxide Preparation and Characterization of Carbon Nanotube Composite Films, Polymer Materials Science and Engineering, 2017, 7; Characterization, Paper and Papermaking, 2018, 3; Yang WF, Liu Z G, Peng D L. Room-temperaturedeposition of transparent conducting Al-doped ZnO films by RF magnetronsputtering method, Applied Surface Science, 2009, 11]. The above method cannot avoid a series of problems such as being difficult to degrade and increasing the burden on the natural environment while improving the performance of the cellulose substrate, which is not conducive to environmental protection and sustainable development.
发明内容SUMMARY OF THE INVENTION
本发明所要解决的技术问题是针对纤维素基薄膜材料机械性能不足的缺陷,提供一种利用环境友好、可降解的多肽作为增强剂的纳米纤维素基薄膜材料及其制备方法。The technical problem to be solved by the present invention is to provide a nanocellulose-based film material and a preparation method thereof using an environmentally friendly and degradable polypeptide as a reinforcing agent, aiming at the defect of insufficient mechanical properties of the cellulose-based film material.
为解决上述技术问题,本发明采用如下技术方案:In order to solve the above-mentioned technical problems, the present invention adopts the following technical solutions:
一种多肽增强的纳米纤维素基薄膜材料,是以纳米纤维素为基材,然后利用富含羟基结构单元的多肽为增强剂,在纤维素分子链之间形成大量氢键连接,最后在45℃下干燥成型而获得的一种薄膜材料。A polypeptide-enhanced nanocellulose-based film material uses nanocellulose as a base material, and then uses a polypeptide rich in hydroxyl structural units as an enhancer to form a large number of hydrogen bonds between cellulose molecular chains, and finally at 45 A film material obtained by drying and molding at ℃.
所述的多肽增强的纳米纤维素基薄膜材料的制备方法,采取如下步骤:The preparation method of the polypeptide-enhanced nanocellulose-based film material adopts the following steps:
(1)将棉浆粕与蒸馏水混合,浸泡后进行疏解,疏解后所得纤维素在低温下烘至含水率低于1%;(1) mixing cotton pulp with distilled water, soaking and dispersing, and drying the obtained cellulose at a low temperature to a moisture content of less than 1%;
(2)取步骤(1)所得烘干纤维素分散在蒸馏水中,进行高压均质,制备纳米纤维素分散体系;(2) taking the drying cellulose obtained in step (1) and dispersing it in distilled water, and performing high pressure homogenization to prepare a nanocellulose dispersion system;
(3)利用稀醋酸为溶剂,将多肽溶解在其中,经过机械搅拌制得均匀的分散体系;(3) using dilute acetic acid as a solvent, dissolving the polypeptide in it, and obtaining a uniform dispersion system through mechanical stirring;
(4)将步骤(2)所得的纳米纤维素分散体系与步骤(3)所得的多肽分散体系混合,经过超声处理后在25℃下静置24h;(4) mixing the nanocellulose dispersion system obtained in step (2) with the polypeptide dispersion system obtained in step (3), and after ultrasonic treatment, let it stand at 25° C. for 24 hours;
(5)利用真空过滤处理步骤(4)所得混合物,获得的滤饼经丙酮洗涤3次,烘干后即可制得所述的一种多肽增强的纳米纤维素基薄膜材料。(5) The mixture obtained in step (4) is processed by vacuum filtration, and the obtained filter cake is washed three times with acetone, and dried to obtain the polypeptide-enhanced nanocellulose-based film material.
进一步的,所述步骤(1)中,棉浆粕与蒸馏水的质量比为1:20,疏解后的纤维烘干温度为45℃。Further, in the step (1), the mass ratio of the cotton pulp to the distilled water is 1:20, and the drying temperature of the decomposed fibers is 45°C.
进一步的,所述步骤(1)中,棉浆粕在蒸馏水中的浸泡时间为30min,疏解过程转速为10000转/min,疏解时间为5min。Further, in the step (1), the soaking time of the cotton pulp in distilled water is 30 minutes, the rotational speed of the dispersing process is 10,000 rpm, and the dispersing time is 5 minutes.
进一步的,所述步骤(2)中,烘干纤维素与蒸馏水的质量比为1:100;高压均质的压力为120MPa,重复次数为3次,每次处理纤维素/水分散体系的量为100ml。Further, in the step (2), the mass ratio of drying cellulose and distilled water is 1:100; the pressure of high-pressure homogenization is 120MPa, and the number of repetitions is 3 times, and the amount of the cellulose/water dispersion system is processed each time. 100ml.
进一步的,所述步骤(3)中,稀醋酸溶液的质量浓度为0.1%,稀醋酸溶剂与多肽的质量比为5:1-20:1,机械搅拌的转速为60r/min,搅拌时间为30min。Further, in the step (3), the mass concentration of the dilute acetic acid solution is 0.1%, the mass ratio of the dilute acetic acid solvent to the polypeptide is 5:1-20:1, the rotational speed of the mechanical stirring is 60r/min, and the stirring time is 30min.
进一步的,所述步骤(3)中,多肽的结构可为VQIVYK、SNQNNF、GGWIA或VEALYL,其中V、Q、I、Y、K、S、N、F、G、W、A、E、L均为氨基酸,氨基酸之间的连接形式均为肽键,各氨基酸的结构按照顺序分别为:Further, in the step (3), the structure of the polypeptide can be VQIVYK, SNQNNF, GGWIA or VEALYL, wherein V, Q, I, Y, K, S, N, F, G, W, A, E, L They are all amino acids, and the connection forms between amino acids are all peptide bonds. The structures of each amino acid are in order:
进一步的,所述步骤(4)中,步骤(2)所得的纳米纤维素分散体系与步骤(3)所得的多肽分散体系的质量比为20:1-50:1;超声处理的功率为300w,处理时间为300s;Further, in the step (4), the mass ratio of the nanocellulose dispersion system obtained in the step (2) to the polypeptide dispersion system obtained in the step (3) is 20:1-50:1; the power of the ultrasonic treatment is 300w , the processing time is 300s;
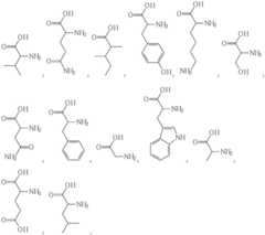
进一步的,所述步骤(4)中,多肽与纤维素基材分子之间的反应过程如图1所示。Further, in the step (4), the reaction process between the polypeptide and the molecules of the cellulose substrate is shown in FIG. 1 .
进一步的,所述步骤(5)中,烘干所需的温度为45℃,时间为24h。Further, in the step (5), the temperature required for drying is 45°C, and the time is 24h.
本发明的有益效果在于:(1)本发明提供了一种提高纳米纤维素基薄膜材料机械强度的新方法;(2)本发明利用含有大量羟基结构单元的多肽作为增强剂对纳米纤维素基薄膜材料进行增强,所得产物可生物降解,具有突出的生物相容性;(3)本发明及其制备过程中均不涉及挥发性有毒物质,是制备环境友好型薄膜材料的有益原料;(4)本发明一种多肽增强的纳米纤维素基薄膜材料的拉伸强度可达39.2MPa,在600-800nm波长范围内的透光率可达78%;(5)本发明一种多肽增强的纳米纤维素基薄膜材料的制备方法易与现有技术结合,可实现工业化生产。The beneficial effects of the present invention are: (1) the present invention provides a new method for improving the mechanical strength of nanocellulose-based film materials; (2) the present invention uses polypeptides containing a large number of hydroxyl structural units as enhancers to The film material is reinforced, and the obtained product is biodegradable and has outstanding biocompatibility; (3) the present invention and its preparation process do not involve volatile toxic substances, and are beneficial raw materials for the preparation of environmentally friendly film materials; (4) ) The tensile strength of a polypeptide-enhanced nanocellulose-based film material of the present invention can reach 39.2 MPa, and the light transmittance in the wavelength range of 600-800 nm can reach 78%; The preparation method of the cellulose-based film material is easy to combine with the prior art, and can realize industrialized production.
附图说明Description of drawings
图1为多肽与纤维素基材分子之间的反应过程示意图。Figure 1 is a schematic diagram of the reaction process between polypeptides and cellulose substrate molecules.
具体实施方式Detailed ways
下面结合具体实施例,对本发明做进一步说明。应理解,以下实施例仅用于说明本发明而非用于限制本发明的范围,该领域的技术熟练人员可以根据上述发明的内容作出一些非本质的改进和调整。The present invention will be further described below with reference to specific embodiments. It should be understood that the following examples are only used to illustrate the present invention rather than to limit the scope of the present invention, and those skilled in the art can make some non-essential improvements and adjustments according to the content of the above invention.
实施例1Example 1
本实施例的多肽增强的纳米纤维素基薄膜材料的制备方法如下:The preparation method of the polypeptide-enhanced nanocellulose-based film material of the present embodiment is as follows:
(1)取5.2g的棉浆粕与104g蒸馏水混合,浸泡30min后进行疏解,疏解过程转速为10000转/min,疏解时间为5min,疏解后在45℃下烘至含水率低于1%,获得5.1g产物;(1) Mix 5.2g of cotton pulp with 104g of distilled water, soak it for 30min, and then decompose it. The speed of decompression is 10,000 rpm, and the decompression time is 5min. 5.1 g of product were obtained;
(2)取4.0g步骤(1)所得产物分散在400ml蒸馏水中,高压均质的条件为每次处理100ml纤维素/水分散体系,压强为120MPa,每组样品需重复进行3次高压均质,共制得401.6g纳米纤维素分散体系;(2) Take 4.0g of the product obtained in step (1) and disperse it in 400ml of distilled water. The conditions of high-pressure homogenization are to treat 100ml of cellulose/water dispersion system each time, and the pressure is 120MPa. Each group of samples needs to be repeated for 3 times of high-pressure homogenization. , a total of 401.6g nanocellulose dispersion system was obtained;
(3)取20g浓度为0.1%的稀醋酸为溶剂,将4.0g结构为VQIVYK的多肽溶解在其中,经过30min的机械搅拌后可获得分散体系23.2g;(3) Take 20 g of dilute acetic acid with a concentration of 0.1% as a solvent, dissolve 4.0 g of the polypeptide whose structure is VQIVYK in it, and obtain 23.2 g of a dispersion system after 30 min of mechanical stirring;
(4)取400g步骤(2)所得的纳米纤维素分散体系与20.0g步骤(3)所得的多肽分散体系混合,经过超声处理后在25℃下静置24h;(4) Mix 400 g of the nanocellulose dispersion system obtained in step (2) with 20.0 g of the polypeptide dispersion system obtained in step (3), and after ultrasonic treatment, let it stand at 25 ° C for 24 hours;
(5)利用真空过滤处理步骤(4)所得混合物,利用丙酮洗涤滤饼3次,在45℃条件下烘干24h后获的7.1g所述的一种多肽增强的纳米纤维素基薄膜材料。(5) The mixture obtained in step (4) was processed by vacuum filtration, the filter cake was washed three times with acetone, and 7.1 g of the polypeptide-enhanced nanocellulose-based film material was obtained after drying at 45° C. for 24 hours.
对所得薄膜材料进行性能测定,其拉伸强度为39.2MPa,在600-800nm波长范围内的透光率为65%。The properties of the obtained film material were measured, and its tensile strength was 39.2 MPa, and the light transmittance in the wavelength range of 600-800 nm was 65%.
实施例2Example 2
本实施例的多肽增强的纳米纤维素基薄膜材料的制备方法如下:The preparation method of the polypeptide-enhanced nanocellulose-based film material of the present embodiment is as follows:
(1)取8.6g的棉浆粕与172g蒸馏水混合,浸泡30min后进行疏解,疏解过程转速为10000转/min,疏解时间为5min,疏解后在45℃下烘至含水率低于1%,获得8.3g产物;(1) Mix 8.6g of cotton pulp with 172g of distilled water, soak it for 30min, and then decompress it. The speed of the decompression process is 10,000 rpm, and the decompression time is 5min. 8.3 g of product were obtained;
(2)取8.0g步骤(1)所得产物分散在800ml蒸馏水中,高压均质的条件为每次处理100ml纤维素/水分散体系,压强为120MPa,每组样品需重复进行3次高压均质,共制得802.3g纳米纤维素分散体系;(2) Take 8.0g of the product obtained in step (1) and disperse it in 800ml of distilled water. The conditions of high-pressure homogenization are to treat 100ml of cellulose/water dispersion system each time, and the pressure is 120MPa. Each group of samples needs to be repeated for 3 times of high-pressure homogenization. , a total of 802.3g nanocellulose dispersion system was obtained;
(3)取30g浓度为0.1%的稀醋酸为溶剂,将3.0g结构为SNQNNF的多肽溶解在其中,经过30min的机械搅拌后可获得分散体系31.9g;(3) Take 30 g of dilute acetic acid with a concentration of 0.1% as a solvent, dissolve 3.0 g of a polypeptide whose structure is SNQNNF in it, and obtain 31.9 g of a dispersion system after 30 min of mechanical stirring;
(4)取750g步骤(2)所得的纳米纤维素分散体系与30.0g步骤(3)所得的多肽分散体系混合,经过超声处理后在25℃下静置24h;(4) Mix 750 g of the nanocellulose dispersion system obtained in step (2) with 30.0 g of the polypeptide dispersion system obtained in step (3), and after ultrasonic treatment, let stand at 25 ° C for 24 hours;
(5)利用真空过滤处理步骤(4)所得混合物,利用丙酮洗涤滤饼3次,在45℃条件下烘干24h后获的9.7g所述的一种多肽增强的纳米纤维素基薄膜材料。(5) The mixture obtained in step (4) was processed by vacuum filtration, the filter cake was washed three times with acetone, and 9.7 g of the polypeptide-enhanced nanocellulose-based film material was obtained after drying at 45° C. for 24 hours.
对所得薄膜材料进行性能测定,其拉伸强度为35.9MPa,在600-800nm波长范围内的透光率为72%。The properties of the obtained film material were measured, and its tensile strength was 35.9 MPa, and the light transmittance in the wavelength range of 600-800 nm was 72%.
实施例3Example 3
本实施例的多肽增强的纳米纤维素基薄膜材料的制备方法如下:The preparation method of the polypeptide-enhanced nanocellulose-based film material of the present embodiment is as follows:
(1)取11.5g的棉浆粕与230g蒸馏水混合,浸泡30min后进行疏解,疏解过程转速为10000转/min,疏解时间为5min,疏解后在45℃下烘至含水率低于1%,获得11.3g产物;(1) Mix 11.5g of cotton pulp with 230g of distilled water, soak for 30min, and then decompose. The speed of decompression is 10,000 rpm, and the decompression time is 5min. 11.3 g of product were obtained;
(2)取11.0g步骤(1)所得产物分散在1100ml蒸馏水中,高压均质的条件为每次处理100ml纤维素/水分散体系,压强为120MPa,每组样品需重复进行3次高压均质,共制得1102.1g纳米纤维素分散体系;(2) Take 11.0g of the product obtained in step (1) and disperse it in 1100ml of distilled water. The conditions of high-pressure homogenization are to process 100ml of cellulose/water dispersion system each time, and the pressure is 120MPa. Each group of samples needs to be repeated 3 times for high-pressure homogenization. , a total of 1102.1g nanocellulose dispersion system was obtained;
(3)取45g浓度为0.1%的稀醋酸为溶剂,将3.0g结构为GGWIA的多肽溶解在其中,经过30min的机械搅拌后可获得分散体系47.5g;(3) Take 45 g of dilute acetic acid with a concentration of 0.1% as a solvent, dissolve 3.0 g of the polypeptide with the structure of GGWIA in it, and obtain 47.5 g of a dispersion system after 30 min of mechanical stirring;
(4)取1000g步骤(2)所得的纳米纤维素分散体系与25.0g步骤(3)所得的多肽分散体系混合,经过超声处理后在25℃下静置24h;(4) Mix 1000 g of the nanocellulose dispersion system obtained in step (2) with 25.0 g of the polypeptide dispersion system obtained in step (3), and after ultrasonic treatment, let stand at 25 ° C for 24 hours;
(5)利用真空过滤处理步骤(4)所得混合物,利用丙酮洗涤滤饼3次,在45℃条件下烘干24h后获的10.3g所述的一种多肽增强的纳米纤维素基薄膜材料。(5) The mixture obtained in step (4) was processed by vacuum filtration, the filter cake was washed three times with acetone, and 10.3 g of the polypeptide-enhanced nanocellulose-based film material was obtained after drying at 45° C. for 24 hours.
对所得薄膜材料进行性能测定,其拉伸强度为31.2MPa,在600-800nm波长范围内的透光率为76%。The properties of the obtained film material were measured, and its tensile strength was 31.2 MPa, and the light transmittance in the wavelength range of 600-800 nm was 76%.
实施例4Example 4
本实施例的多肽增强的纳米纤维素基薄膜材料的制备方法如下:The preparation method of the polypeptide-enhanced nanocellulose-based film material of the present embodiment is as follows:
(1)取20.0g的棉浆粕与400g蒸馏水混合,浸泡30min后进行疏解,疏解过程转速为10000转/min,疏解时间为5min,疏解后在45℃下烘至含水率低于1%,获得19.6g产物;(1) Mix 20.0g of cotton pulp with 400g of distilled water, soak for 30min, and then decompose. The speed of decompression is 10,000 rpm, and the decompression time is 5min. 19.6 g of product were obtained;
(2)取19.0g步骤(1)所得产物分散在1900ml蒸馏水中,高压均质的条件为每次处理100ml纤维素/水分散体系,压强为120MPa,每组样品需重复进行3次高压均质,共制得1903.7g纳米纤维素分散体系;(2) Take 19.0g of the product obtained in step (1) and disperse it in 1900ml of distilled water. The conditions of high-pressure homogenization are to process 100ml of cellulose/water dispersion system each time, and the pressure is 120MPa. Each group of samples needs to be repeated 3 times for high-pressure homogenization. , a total of 1903.7g nanocellulose dispersion system was obtained;
(3)取40g浓度为0.1%的稀醋酸为溶剂,将2.0g结构为VEALYL的多肽溶解在其中,经过30min的机械搅拌后可获得分散体系40.9g;(3) Take 40 g of dilute acetic acid with a concentration of 0.1% as a solvent, dissolve 2.0 g of the polypeptide with the structure of VEALYL in it, and obtain 40.9 g of a dispersion system after 30 minutes of mechanical stirring;
(4)取1750g步骤(2)所得的纳米纤维素分散体系与35.0g步骤(3)所得的多肽分散体系混合,经过超声处理后在25℃下静置24h;(4) Mix 1750 g of the nanocellulose dispersion system obtained in step (2) with 35.0 g of the polypeptide dispersion system obtained in step (3), and after ultrasonic treatment, let stand at 25 ° C for 24 hours;
(5)利用真空过滤处理步骤(4)所得混合物,利用丙酮洗涤滤饼3次,在45℃条件下烘干24h后获的18.1g所述的一种多肽增强的纤维素基薄膜材料。(5) The mixture obtained in step (4) was processed by vacuum filtration, the filter cake was washed three times with acetone, and 18.1 g of the polypeptide-enhanced cellulose-based film material was obtained after drying at 45° C. for 24 hours.
对所得薄膜材料进行性能测定,其拉伸强度为26.5MPa,在600-800nm波长范围内的透光率为78%。The properties of the obtained film material were measured, and its tensile strength was 26.5 MPa, and the light transmittance in the wavelength range of 600-800 nm was 78%.
以上显示和描述了本发明的基本原理和主要特征以及本发明的优点。本行业的技术人员应该了解,本发明不受上述实施例的限制,上述实施例和说明书中描述的只是说明本发明的原理,在不脱离本发明精神和范围的前提下,本发明还会有各种变化和改进,这些变化和改进都落入要求保护的本发明范围内。本发明要求保护范围由所附的权利要求书及其等效物界定。The foregoing has shown and described the basic principles and main features of the present invention, as well as the advantages of the present invention. Those skilled in the art should understand that the present invention is not limited by the above-mentioned embodiments, and the descriptions in the above-mentioned embodiments and the description are only to illustrate the principle of the present invention. Without departing from the spirit and scope of the present invention, the present invention will have Various changes and modifications fall within the scope of the claimed invention. The claimed scope of the present invention is defined by the appended claims and their equivalents.
| Application Number | Priority Date | Filing Date | Title | 
|---|---|---|---|
| CN201811201440.8ACN109369961B (en) | 2018-10-16 | 2018-10-16 | A kind of polypeptide-enhanced nanocellulose-based film material and preparation method thereof | 
| Application Number | Priority Date | Filing Date | Title | 
|---|---|---|---|
| CN201811201440.8ACN109369961B (en) | 2018-10-16 | 2018-10-16 | A kind of polypeptide-enhanced nanocellulose-based film material and preparation method thereof | 
| Publication Number | Publication Date | 
|---|---|
| CN109369961A CN109369961A (en) | 2019-02-22 | 
| CN109369961Btrue CN109369961B (en) | 2020-11-20 | 
| Application Number | Title | Priority Date | Filing Date | 
|---|---|---|---|
| CN201811201440.8AActiveCN109369961B (en) | 2018-10-16 | 2018-10-16 | A kind of polypeptide-enhanced nanocellulose-based film material and preparation method thereof | 
| Country | Link | 
|---|---|
| CN (1) | CN109369961B (en) | 
| Publication number | Priority date | Publication date | Assignee | Title | 
|---|---|---|---|---|
| US20240218222A1 (en)* | 2020-08-25 | 2024-07-04 | Washington University | Synthetic hybrid spidroin-amyloid-mussel foot protein for underwater adhesion of diverse surfaces | 
| CN117327328A (en)* | 2022-09-20 | 2024-01-02 | 中国科学院理化技术研究所 | A kind of nanocellulose three-dimensional bulk material and preparation method thereof | 
| CN115651086B (en)* | 2022-11-07 | 2024-01-30 | 宁波大学 | A green preparation method of polypeptide-modified cellulose | 
| Publication number | Priority date | Publication date | Assignee | Title | 
|---|---|---|---|---|
| WO2001037683A2 (en)* | 1999-11-24 | 2001-05-31 | Mateescu, M-Alexandru | Crosslinked protein and polysaccharide biofilms | 
| CN1900165A (en)* | 2006-07-10 | 2007-01-24 | 陕西科技大学 | Process for preparing transfer film by blending collagen and carboxy methyl cellulose | 
| CN101509025A (en)* | 2009-03-20 | 2009-08-19 | 武汉科技学院 | Method of preparing bacteria cellulose composite material | 
| CN103540142A (en)* | 2013-09-29 | 2014-01-29 | 宁波大学 | Edible squid skin gelatin composite film and preparation method thereof | 
| CN103772753A (en)* | 2014-01-08 | 2014-05-07 | 天津科技大学 | Soybean peptide carrageenan edible composite membrane and preparation method thereof | 
| CN104225669A (en)* | 2014-08-25 | 2014-12-24 | 华南理工大学 | Bioactive bacterial cellulose-zein composite film and preparation method thereof | 
| CN104718244A (en)* | 2012-12-26 | 2015-06-17 | 丝芭博株式会社 | Spider silk protein film, and method for producing same | 
| CN104974385A (en)* | 2015-07-09 | 2015-10-14 | 浙江海洋学院 | Composite antibacterial and antioxidant film prepared from crab shell, and uses thereof | 
| CN105153478A (en)* | 2015-07-09 | 2015-12-16 | 浙江海洋学院 | Method for preparing composite film by using crustacean | 
| CN105602261A (en)* | 2016-03-08 | 2016-05-25 | 天津科技大学 | Method for improving thermal stability of fish skin gelatin film | 
| CN106397839A (en)* | 2016-09-27 | 2017-02-15 | 河南工程学院 | Completely degraded waterproof food packaging material and preparation method thereof | 
| CN106479195A (en)* | 2016-10-26 | 2017-03-08 | 武汉纺织大学 | A kind of nano-cellulose strengthens fibroin albumen composite material and preparation method thereof | 
| Publication number | Priority date | Publication date | Assignee | Title | 
|---|---|---|---|---|
| EP3307812B1 (en)* | 2015-06-12 | 2024-05-08 | Carbios | Biodegradable polyester composition and uses thereof | 
| CN107794756B (en)* | 2017-11-14 | 2019-10-11 | 河南工程学院 | A kind of ultraviolet reflection material based on nanocrystalline cellulose and preparation method thereof | 
| Publication number | Priority date | Publication date | Assignee | Title | 
|---|---|---|---|---|
| WO2001037683A2 (en)* | 1999-11-24 | 2001-05-31 | Mateescu, M-Alexandru | Crosslinked protein and polysaccharide biofilms | 
| CN1900165A (en)* | 2006-07-10 | 2007-01-24 | 陕西科技大学 | Process for preparing transfer film by blending collagen and carboxy methyl cellulose | 
| CN101509025A (en)* | 2009-03-20 | 2009-08-19 | 武汉科技学院 | Method of preparing bacteria cellulose composite material | 
| CN104718244A (en)* | 2012-12-26 | 2015-06-17 | 丝芭博株式会社 | Spider silk protein film, and method for producing same | 
| CN103540142A (en)* | 2013-09-29 | 2014-01-29 | 宁波大学 | Edible squid skin gelatin composite film and preparation method thereof | 
| CN103772753A (en)* | 2014-01-08 | 2014-05-07 | 天津科技大学 | Soybean peptide carrageenan edible composite membrane and preparation method thereof | 
| CN104225669A (en)* | 2014-08-25 | 2014-12-24 | 华南理工大学 | Bioactive bacterial cellulose-zein composite film and preparation method thereof | 
| CN104974385A (en)* | 2015-07-09 | 2015-10-14 | 浙江海洋学院 | Composite antibacterial and antioxidant film prepared from crab shell, and uses thereof | 
| CN105153478A (en)* | 2015-07-09 | 2015-12-16 | 浙江海洋学院 | Method for preparing composite film by using crustacean | 
| CN105602261A (en)* | 2016-03-08 | 2016-05-25 | 天津科技大学 | Method for improving thermal stability of fish skin gelatin film | 
| CN106397839A (en)* | 2016-09-27 | 2017-02-15 | 河南工程学院 | Completely degraded waterproof food packaging material and preparation method thereof | 
| CN106479195A (en)* | 2016-10-26 | 2017-03-08 | 武汉纺织大学 | A kind of nano-cellulose strengthens fibroin albumen composite material and preparation method thereof | 
| Title | 
|---|
| Enhancing strength and toughness of cellulose nanofibril network structures;Eliane Trovatti等;《Carbohydrate Polymers》;20171024(第181期);第256-263页* | 
| Stress transfer and matrix-cohesive fracture mechanism in microfibrillated cellulose-gelatin nanocomposite films;Quero F 等;《Carbohydrate Polymers》;20180421(第195期);第89-98页* | 
| Publication number | Publication date | 
|---|---|
| CN109369961A (en) | 2019-02-22 | 
| Publication | Publication Date | Title | 
|---|---|---|
| CN103102419B (en) | Method for preparing nano microcrystalline cellulose by hydrolyzing phyllostachys edulis fiber with cellulase | |
| CN109369961B (en) | A kind of polypeptide-enhanced nanocellulose-based film material and preparation method thereof | |
| CN103061174B (en) | The method preparing cellulose nanometer fibril is assisted in a kind of strong acid preliminary treatment | |
| CN110485188B (en) | A method for simultaneous preparation of high-purity cellulose and lignin nanoparticles from lignocellulose and its application | |
| CN101456958A (en) | Method for preparing cellulose water-based solution by stalk | |
| CN108396591B (en) | Preparation method of high-strength nano-film with ultraviolet shielding function | |
| CN107840979B (en) | A kind of preparation method of crosslinking nano cellulose/hexagonal boron nitride nanosheet composite membrane | |
| CN102911274A (en) | Method for chemically preparing nano microcrystalline cellulose by utilizing moso bamboo | |
| CN108822315B (en) | High-strength transparent hydrophobic cellulose nano-film and preparation method thereof | |
| CN113136053B (en) | Preparation method, gel and application of lignocellulose three-component double-crosslinked gel | |
| Hu et al. | Preparation of silk nanowhisker-composited amphoteric cellulose/chitin nanofiber membranes | |
| CN110551327A (en) | Method for preparing conductive composite material by using pyrrole grafted nano-cellulose | |
| CN114409968A (en) | Enteromorpha extract-based biodegradable film material and preparation method and application thereof | |
| CN112898625A (en) | Underwater elastic cellulose aerogel and preparation method and application thereof | |
| CN101074498A (en) | Wood liquefied spinning liquid and its one-step synthesis | |
| CN110468614A (en) | A kind of preparation method and applications of cellulose membrane | |
| Wang et al. | Influence of pretreatment on properties of cotton fiber in aqueous NaOH/urea solution | |
| CN108484782A (en) | A kind of nano cellulose crystal and preparation method thereof that carboxylated is modified | |
| CN107602709A (en) | A kind of carboxymethyl nano cellulose material cleans preparation method | |
| CN111235964A (en) | Composite cellulose nano paper with single-side electric conduction, heat conduction and electromagnetic shielding function | |
| Zhang et al. | Preparation and characterization of nanofibrillated cellulose from waste sugarcane bagasse by mechanical force | |
| CN104804101B (en) | A kind of phenolic resin external toughening agent and its preparation method and application | |
| CN112920437A (en) | Piezoelectric aerogel film and preparation method thereof | |
| CN111868094B (en) | Cellulose acetate, cellulose acetate fiber, cellulose acetate composition, method for producing cellulose acetate, and method for producing cellulose acetate composition | |
| CN111925631B (en) | A kind of nano-cellulose fibril/PBAT film and its preparation method and application | 
| Date | Code | Title | Description | 
|---|---|---|---|
| PB01 | Publication | ||
| PB01 | Publication | ||
| SE01 | Entry into force of request for substantive examination | ||
| SE01 | Entry into force of request for substantive examination | ||
| GR01 | Patent grant | ||
| GR01 | Patent grant | ||
| TR01 | Transfer of patent right | Effective date of registration:20250407 Address after:509 Kangrui Times Square, Keyuan Business Building, 39 Huarong Road, Gaofeng Community, Dalang Street, Longhua District, Shenzhen, Guangdong Province, 518000 Patentee after:Shenzhen Litong Information Technology Co.,Ltd. Country or region after:China Address before:451191 Xianghe Road, Longhu Town, Zhengzhou City, Henan Province Patentee before:HENAN INSTITUTE OF ENGINEERING Country or region before:China | |
| TR01 | Transfer of patent right | ||
| TR01 | Transfer of patent right | Effective date of registration:20250410 Address after:Across from Nan Dehong School on Provincial Highway 328 in Liulou Village, Liulou Town, Dongming County, Heze City, Shandong Province, China, at an angle of 274500 Patentee after:Heze Yisite Plastic Industry Co.,Ltd. Country or region after:China Address before:509 Kangrui Times Square, Keyuan Business Building, 39 Huarong Road, Gaofeng Community, Dalang Street, Longhua District, Shenzhen, Guangdong Province, 518000 Patentee before:Shenzhen Litong Information Technology Co.,Ltd. Country or region before:China | |
| TR01 | Transfer of patent right |