Movatterモバイル変換


[0]ホーム

URL:


CN109357753B - System and method for reducing the false alarm rate of loose parts and vibration monitoring in nuclear power plants - Google Patents

System and method for reducing the false alarm rate of loose parts and vibration monitoring in nuclear power plants
Download PDF

Info

Publication number
CN109357753B
CN109357753BCN201811319908.3ACN201811319908ACN109357753BCN 109357753 BCN109357753 BCN 109357753BCN 201811319908 ACN201811319908 ACN 201811319908ACN 109357753 BCN109357753 BCN 109357753B
Authority
CN
China
Prior art keywords
vibration signal
value
module
membership function
signal
Prior art date
Legal status (The legal status is an assumption and is not a legal conclusion. Google has not performed a legal analysis and makes no representation as to the accuracy of the status listed.)
Active
Application number
CN201811319908.3A
Other languages
Chinese (zh)
Other versions
CN109357753A (en
Inventor
凌君
谭珂
温小梅
栾振华
刘肇阳
刘新
赵建光
Current Assignee (The listed assignees may be inaccurate. Google has not performed a legal analysis and makes no representation or warranty as to the accuracy of the list.)
China General Nuclear Power Corp
China Nuclear Power Engineering Co Ltd
CGN Power Co Ltd
Shenzhen China Guangdong Nuclear Engineering Design Co Ltd
Original Assignee
China General Nuclear Power Corp
China Nuclear Power Engineering Co Ltd
CGN Power Co Ltd
Shenzhen China Guangdong Nuclear Engineering Design Co Ltd
Priority date (The priority date is an assumption and is not a legal conclusion. Google has not performed a legal analysis and makes no representation as to the accuracy of the date listed.)
Filing date
Publication date
Application filed by China General Nuclear Power Corp, China Nuclear Power Engineering Co Ltd, CGN Power Co Ltd, Shenzhen China Guangdong Nuclear Engineering Design Co LtdfiledCriticalChina General Nuclear Power Corp
Priority to CN201811319908.3ApriorityCriticalpatent/CN109357753B/en
Publication of CN109357753ApublicationCriticalpatent/CN109357753A/en
Application grantedgrantedCritical
Publication of CN109357753BpublicationCriticalpatent/CN109357753B/en
Activelegal-statusCriticalCurrent
Anticipated expirationlegal-statusCritical

Links

Images

Classifications

Landscapes

Abstract

Translated fromChinese

本发明提供了一种降低核电厂的松脱部件与振动监测误报警率的系统和方法,系统包括信号采集判断模块采集松脱部件的实际振动信号,并同时监控实际振动信号的振幅,当某一时刻振动信号振幅超过触发阈值,采集该时刻附近时间段的振动信号的多个振幅,对多个振幅进行计算、求均方根值,若均方根值大于预设的均方根阈值时,发送该振动信号;模糊智能识别模块接收振动信号,根据振动信号的特征向量参数和隶属度函数计算值来判定振动信号的病态征兆和异常征兆,选择对异常征兆信号进行报警。本发明通过引入模糊函数的理念,能自动识别非松脱部件撞击产生的信号并及时予以报警抑制;降低松脱部件监测系统的误报警率,提高系统的可靠性及可用性。

Figure 201811319908

The invention provides a system and method for reducing the false alarm rate of loose parts and vibration monitoring of nuclear power plants. The system includes a signal acquisition and judgment module to collect the actual vibration signal of the loose parts, and simultaneously monitors the amplitude of the actual vibration signal. When the vibration signal amplitude exceeds the trigger threshold at a moment, multiple amplitudes of the vibration signal in the time period near the moment are collected, and the multiple amplitudes are calculated and the root mean square value is obtained. If the root mean square value is greater than the preset root mean square threshold value , send the vibration signal; the fuzzy intelligent identification module receives the vibration signal, determines the pathological symptoms and abnormal symptoms of the vibration signal according to the eigenvector parameters of the vibration signal and the calculated value of the membership function, and chooses to alarm the abnormal symptom signal. By introducing the concept of fuzzy function, the present invention can automatically identify the signal generated by the impact of the non-loose parts and give an alarm and suppress it in time; reduce the false alarm rate of the loose parts monitoring system, and improve the reliability and usability of the system.

Figure 201811319908

Description

System and method for reducing false alarm rate of loose parts and vibration monitoring of nuclear power plant
Technical Field
The invention relates to the technical field of nuclear industry safety, is suitable for the design of an alarm scheme of a loosening component and a vibration monitoring system of a nuclear power plant, and particularly relates to a system and a method for reducing the false alarm rate of the loosening component and the vibration monitoring of the nuclear power plant.
Background
The KIR system comprises loose part monitoring system and vibration monitoring system, and its loose part monitoring subsystem mainly used drops parts and loose parts in the monitoring reactor coolant, prevents that the installation stage from leaving over "part" in the pipeline or the impact of piece that drops to runner or reactor pressure vessel inner member in service to provide safety protection to the operation of nuclear power station a return circuit key equipment. When the monitoring system operates, accelerometers arranged on a steam generator seal head and a pressure vessel bottom seal head monitor loosening and falling parts in a reactor pressure vessel, a main pipeline and a steam generator in real time, the system adopts real-time monitoring, signals transmitted by an acceleration sensor are isolated and amplified, then real-time signal identification is carried out, signal attributes are judged, if the signals are loosening and falling part signals, the system automatically samples channel signals corresponding to an event interval, and acousto-optic alarm signals are stored and given. However, because the noise sources in the nuclear island plant are very abundant, the amplitude of various interference signals is often large, such as metal pipeline extrusion noise, friction noise for preventing the pipeline from throwing and throwing the damper and the like can be transmitted to the sensor through a metal medium and recorded, and false alarm occurs due to the formation of false 'loosening' signals. The false alarm reduces the reliability of the monitoring result, and also causes the reactor operating personnel to lose the sense of trust, so that the monitoring system can not play the due role finally.
The prior art discloses a method for dividing a monitored interval into fine grids according to hertz theory, and if the distance from the center point of each grid to each detector is determined, the position of a collision point can be roughly determined when the signal propagation time difference from the center point of each grid to the detector is determined; after the position of the detector is determined and the material and the wall thickness are determined, the time for transmitting each grid to the detector can be determined, so that the position of a loose part can be calculated by reverse calculation. However, this method has the following drawbacks: under the impact of the loose piece, bending waves with different vibration modes can be generated on the wall of a loop container, and the shape of the waves can be greatly changed along with the increase of the propagation distance. When the sensor is far away from the collision point, the method needs to pay attention to the influence caused by different vibration modes, the difficulty of interference noise identification is increased, and the interference noise is difficult to identify, so that the false alarm resistance cannot be effectively improved.
Therefore, there are drawbacks in the prior art that require improvement.
Disclosure of Invention
In order to solve the problems, the invention provides a system and a method for reducing false alarm rates of loosening components and vibration monitoring of a nuclear power plant.
The technical scheme provided by the invention for the technical problem is as follows: a system for reducing the loose parts and vibration monitoring false alarm rate of a nuclear power plant, comprising: the signal acquisition and judgment module is connected with the loosening component and used for continuously acquiring an actual vibration signal of the loosening component and monitoring the amplitude of the actual vibration signal at the same time, when the amplitude of the vibration signal at a certain moment exceeds a trigger threshold, acquiring a plurality of amplitudes of the vibration signal in a time period near the moment, calculating the plurality of amplitudes and solving a root mean square value, and if the root mean square value is greater than a preset root mean square threshold, sending the vibration signal; and the fuzzy intelligent identification module is connected with the signal acquisition and judgment module and used for receiving the vibration signal, judging the pathological signs and abnormal signs of the vibration signal according to the eigenvector parameters and the membership function calculation values of the vibration signal and selectively alarming the abnormal sign signal.
The signal acquisition and judgment module comprises an acquisition monitoring module, a signal acquisition judgment module and a signal processing module, wherein the acquisition monitoring module is connected with the loosening component and is used for continuously acquiring the actual vibration signal of the loosening component and simultaneously monitoring the amplitude of the continuously acquired actual vibration signal in real time; when the amplitude of the vibration signal at a certain moment exceeds a preset trigger threshold, acquiring a plurality of amplitudes of the vibration signal in a time period near the moment; the calculation module is connected with the acquisition monitoring module and used for calculating and solving a short-time root mean square value according to the plurality of amplitudes of the time period near the acquisition time; and the judging module is connected with the calculating module and used for calling a preset root mean square threshold value and sending the vibration signal to the fuzzy intelligent identification module when the actual root mean square value is judged to be larger than the preset root mean square threshold value.
The judging module is further used for judging whether the actual root mean square value is smaller than a preset root mean square threshold value or not, and refusing to send a vibration signal to the fuzzy intelligent recognition module.
The fuzzy intelligent identification module comprises an establishing module, a fuzzy intelligent identification module and a fuzzy intelligent identification module, wherein the establishing module is used for establishing a membership function according to the relation between actually measured characteristic vector parameters and abnormal fuzzy parameters; and the comparison module is used for carrying out difference comparison on the actually measured characteristic vector parameters and the abnormal fuzzy parameters according to the membership function, and selectively alarming the abnormal symptom signal if the difference value is greater than a preset membership function threshold.
And the comparison module is also used for comparing the abnormal symptom vibration signal and refusing identification if the difference value is smaller than a preset membership function threshold.
Wherein the feature vector parameters include: slope (x) of rising edge of waveform of vibration signal curve1) Slope of the falling edge of the waveform (x)2) Event ripple (x)3) And the width (x) of the waveform4);
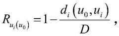
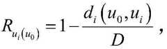
The establishing module further comprises an actual measurement function establishing module for establishing a function U according to the characteristic vector parameters of the actually measured vibration signals0,u0=[x1,x2,x3,x4](ii) a The theoretical function establishing module is used for establishing a function Ui according to the characteristic vector parameters of the historical theoretical vibration signals; the membership function establishing module is used for calculating a distance function di of the measured value and the theoretical value according to the functions U0 and Ui; a membership function calculating module for calculating the difference of the corresponding parameters of each eigenvector, setting the maximum value of the difference in the parameters of each eigenvector as D, and calculating the membership function according to the formula
Figure BDA0001857249320000041
Calculating membership function RUi(U0)(ii) a The comparison module is also used for converting the membership function RUi(U0)And comparing the vibration signal with a preset membership function threshold lambda, judging the pathological signs and abnormal signs of the vibration signal, and selectively alarming the abnormal sign signal.
Wherein, the judgment conditions of the abnormal symptom and the pathological symptom are as follows: if the membership function RUi(U0)If the value is less than the preset membership function threshold lambda, judging that the abnormal symptom set to be identified is ill-conditioned, and refusing to identify; if the membership function RUi(U0)And if the value is larger than the preset membership function threshold lambda, judging the health of the abnormal symptom set to be identified, judging the actually measured characteristic vector parameters according to the maximum membership principle, and triggering alarm.
In another aspect, the present invention also provides a method for reducing false alarm rates of loose parts and vibration monitoring of a nuclear power plant, the method comprising the steps of: continuously acquiring an actual vibration signal of a loosening component, monitoring the amplitude of the actual vibration signal, acquiring a plurality of amplitudes of the vibration signal in a time period near a certain moment when the amplitude of the vibration signal exceeds a trigger threshold, calculating the plurality of amplitudes, solving a root mean square value, and sending the vibration signal if the root mean square value is greater than a preset root mean square threshold; and receiving the vibration signal, judging the pathological signs and abnormal signs of the vibration signal according to the eigenvector parameters and the membership function calculation value of the vibration signal, and selecting to alarm the abnormal sign signal.
Wherein, still further including the following step: continuously acquiring an actual vibration signal of the loosening component, and simultaneously monitoring the amplitude of the continuously acquired actual vibration signal in real time; when the amplitude of the vibration signal at a certain moment exceeds a preset trigger threshold, acquiring a plurality of amplitudes of the vibration signal in a time period near the moment; calculating and solving a short-time root mean square value according to the plurality of amplitudes of the time period near the acquisition time; and calling a preset root mean square threshold, and sending the vibration signal to the fuzzy intelligent recognition module when the actual root mean square value is larger than the preset root mean square threshold, or else, refusing to send.
Wherein the feature vector parameters include: slope (x) of rising edge of waveform of vibration signal curve1) Slope of the falling edge of the waveform (x)2) Event ripple (x)3) And the width (x) of the waveform4)。
Wherein, still further including the following step: establishing a function U according to the actually measured characteristic vector parameters of the vibration signal0,u0=[x1,x2,x3,x4](ii) a Establishing a function Ui according to the characteristic vector parameters of the historical theoretical vibration signals; according to a function U0And Ui calculates the distance function di of the measured value and the theoretical value; calculating the difference value of the corresponding parameters of each feature vector, setting the maximum value of the difference value in each feature vector parameter as D, and calculating the difference value according to a formula
Figure BDA0001857249320000051
Calculating membership function RUi(U0)(ii) a Membership function RUi(U0)And comparing the vibration signal with a preset membership function threshold lambda, judging the pathological signs and abnormal signs of the vibration signal, and selectively alarming the abnormal sign signal.
Wherein, the judgment conditions of the abnormal symptom and the pathological symptom are as follows: if membership functionNumber RUi(U0)If the value is less than the preset membership function threshold lambda, judging that the abnormal symptom set to be identified is ill-conditioned, and refusing to identify; if the membership function RUi(U0)And if the value is larger than the preset membership function threshold lambda, judging the health of the abnormal symptom set to be identified, judging the actually measured characteristic vector parameters according to the maximum membership principle, and triggering alarm.
The technical scheme provided by the embodiment of the invention has the following beneficial effects: the method realized by the system adopts a low-high-pass filtering, root mean square value RMS threshold value comparison and fuzzy judgment three-step method to gradually reduce the false alarm rate of the loose part monitoring system in a hierarchical manner; by introducing the idea of a fuzzy function, namely a characteristic vector and a membership function matrix, the machine can automatically make judgment by learning expert knowledge and experience accumulation of existing events, so that the alarm accuracy is improved; by reasonably setting membership functions of different characteristic parameters, the function of a waveform discriminator can be achieved, interference noise signals with high signal frequency, slow attenuation and low acceleration amplitude are filtered, and real event waveforms with rapid attenuation and large acceleration amplitude are reserved; by reasonably setting the membership function of the event ripple, a reasonable signal-to-noise ratio interval can be selected so as to improve the reliability of alarm.
Drawings
Fig. 1 is a schematic structural diagram of a system for reducing false alarm rates of loose parts and vibration monitoring in a nuclear power plant according to an embodiment of the present invention.
Fig. 2 is a schematic structural diagram of an overall architecture of a system according to an embodiment of the present invention.
Fig. 3 is a flowchart of a method for reducing false alarm rate of loose parts and vibration monitoring in a nuclear power plant according to a second embodiment of the present invention.
Fig. 4 is a flowchart of the method of step S100 according to the second embodiment of the present invention.
Fig. 5 is a flowchart of the method of step S200 according to the second embodiment of the present invention.
Fig. 6 is a flow chart of the alarm scheme provided in the second embodiment of the present invention.
FIG. 7 is a waveform diagram of the feature vector parameter provided by the present invention.
Detailed Description
In order to solve the problems of false alarm, poor interference noise identification and incapability of effectively improving false alarm resistance in the prior art, the invention aims to provide a system and a method for reducing the false alarm rate of loosening components and vibration monitoring of a nuclear power plant, wherein the false alarm rate of a loosening component monitoring system is gradually reduced in a hierarchical manner by adopting primary judgment and accurate judgment of the vibration signal amplitude of the collected loosening components; by introducing the concept of a fuzzy function, namely a characteristic vector and a membership function matrix, the machine automatically makes a judgment by learning expert knowledge and experience accumulation of existing events, and a fuzzy mathematical method is applied to combine a threshold value principle and a maximum membership principle to establish an abnormal signal diagnosis model; the waveform discriminator can be realized through the fuzzy diagnosis module, the reasonable signal-to-noise ratio interval is set, external interference noise is filtered, and the core idea is as follows: after the acquired vibration signals are subjected to low-high pass filtering, when the amplitude of the acquired vibration signals is preliminarily judged to be larger than a trigger threshold of amplitude, a plurality of amplitudes of the vibration signals are acquired at similar time points, the root mean square is calculated for the plurality of amplitudes, and when the root mean square value is larger than a preset root mean square threshold, the acquired vibration signals are sent to the next stage for accurate judgment; the invention adopts a loosening component alarm algorithm and adopts a three-step method, namely a low-high-pass filtering method, an RMS threshold value comparison method and a fuzzy judgment three-step method, so that the false alarm rate of a loosening component monitoring system is gradually reduced in a layered manner; according to the operating technical requirements of the nuclear power plant, the uncertain relation between the abnormal fault and the symptom is judged by adding the fuzzy intelligent identification module in the system and adopting a proper fuzzy relation matrix (eigenvector) and the membership function, so that the abnormal event is confirmed, and the alarm accuracy is improved. The problem of can not accurately automatic identification non-pine take off the signal that part striking produced among the prior art, the wrong report alarm rate of taking off part monitoring system is high is solved.
In order to make the objects, technical solutions and advantages of the present invention more apparent, embodiments of the present invention will be described in detail with reference to the accompanying drawings.
Example one
An embodiment of the present invention provides a system for reducing false alarm rate of loose parts and vibration monitoring in a nuclear power plant, and referring to fig. 1, the system includes: the signal acquisition andjudgment module 100 and the fuzzyintelligent identification module 200 connected with the signal acquisition andjudgment module 100, the signal acquisition andjudgment module 100 is connected with a loosening part and is used for continuously acquiring the actual vibration signal of the loosening part and simultaneously monitoring the amplitude of the actual vibration signal, when the amplitude of the vibration signal at a certain moment exceeds a trigger threshold, a plurality of amplitudes of the vibration signal in a time period near the moment are acquired, a plurality of amplitudes are calculated and a root mean square value is obtained, and if the root mean square value is greater than a preset root mean square threshold, the vibration signal is sent.
Further, the signal acquisition andjudgment module 100 specifically comprises an acquisition monitoring module 101 connected with the loosening component and used for continuously acquiring the actual vibration signal of the loosening component and simultaneously monitoring the amplitude of the continuously acquired actual vibration signal in real time; low-pass and high-pass filtering the vibration signal; when the vibration signal amplitude at a certain moment exceeds a preset trigger threshold value, acquiring a plurality of amplitudes of the vibration signal in a time period near the moment; a calculating module 102, connected to the collecting and monitoring module 101, for calculating and obtaining a short-time root mean square value according to the plurality of amplitudes of the time period around the collecting time; the judging module 103 is connected to the calculating module 102, and is configured to call a preset root mean square threshold, and send the vibration signal to the fuzzyintelligent identification module 200 when the actual root mean square value is greater than the preset root mean square threshold. The judging module 103 is further configured to refuse to send a vibration signal to the fuzzyintelligent recognition module 200 if the actual root mean square value is smaller than the preset root mean square threshold.
The fuzzyintelligent recognition module 200 is configured to receive the vibration signal, determine a pathological sign and an abnormal sign of the vibration signal according to a eigenvector parameter and a membership function calculation value of the vibration signal, and select to alarm an abnormal sign signal. The fuzzyintelligent recognition module 200 specifically includes: an establishingmodule 201, configured to establish a membership function according to a relationship between an actually measured eigenvector parameter and an abnormal fuzzy parameter; and thecomparison module 202 is configured to compare the difference between the actually measured eigenvector parameter and the abnormal fuzzy parameter according to the membership function, and select to alarm the abnormal symptom signal if the difference value is greater than a preset membership function threshold. Thecomparing module 202 is further configured to determine that the detected difference is less than a preset membership function threshold, and reject the identification.
Wherein the feature vector parameters include: slope (x) of rising edge of waveform of vibration signal curve1) Slope of the falling edge of the waveform (x)2) Event ripple (x)3) And the width (x) of the waveform4) (ii) a The establishingmodule 201 further comprises an actual measurement function establishing module 201a for establishing a function U according to the feature vector parameters of the actual measurement vibration signal0,u0=[x1,x2,x3,x4](ii) a A theoretical function establishing module 201b, configured to establish a function Ui according to a feature vector parameter of a historical theoretical vibration signal; a membership function establishing module 201c, configured to calculate a distance function di between the measured value and the theoretical value according to the functions U0 and Ui; a membership function calculating module 201D for calculating the difference value of the corresponding parameter of each eigenvector, wherein the maximum value of the difference value in each eigenvector parameter is set as D, according to the formula
Figure BDA0001857249320000081
Calculating membership function RUi(U0)(ii) a Thecomparison module 202 is further configured to apply the membership function RUi(U0)And comparing the vibration signal with a preset membership function threshold lambda, judging the pathological signs and abnormal signs of the vibration signal, and selectively alarming the abnormal sign signal.
Further, the judgment conditions of the abnormal signs and the pathological signs are as follows: if the membership function RUi(U0)If the value is less than the preset membership function threshold lambda, judging that the abnormal symptom set to be identified is ill-conditioned, and refusing to identify; if the membership function RUi(U0)And if the value is larger than the preset membership function threshold lambda, judging the health of the abnormal symptom set to be identified, judging the actually measured characteristic vector parameters according to the maximum membership principle, and triggering alarm.
Referring to fig. 2, the overall architecture diagram of the system includes a plurality of acceleration sensors (corresponding to the collection monitoring module 101 in fig. 1) located inside the containment, each acceleration sensor is connected to its corresponding preamplifier, and is configured to amplify the collected vibration signal, and transmit the amplified signal to a multi-channel signal conditioner located inside and outside the containment and electrically connected to each preamplifier, each channel is correspondingly connected to one preamplifier, the amplified signal is transmitted to a low-pass and high-pass filter circuit for filtering, a suitable frequency range conforming to the detection algorithm is selected, the lower frequency limit is recommended to be set to 1kHz, the upper frequency limit is recommended to be set to 10kHz, and the low-pass and high-pass filter circuits can effectively eliminate most of background noise. Further, the vibration signal from which most of the background noise is removed is transmitted to an alarm signal threshold comparison module (i.e., the signal acquisition anddetermination module 100 in fig. 1), and a trigger threshold is set by the alarm signal threshold comparison module, where the trigger threshold is a coefficient × a background noise level (the background noise level is determined by experimental data). In the continuous signal acquisition process, once the amplitude of a certain point exceeds a trigger threshold, data of time near the point is acquired, and a short-time root mean square value RMS is obtained, wherein the RMS quantitatively reflects the size of the overall amplitude of the acquired data. The fuzzy intelligent identification module (namely the fuzzyintelligent identification module 200 in the attached figure 1) for the alarm signal judges the uncertain relation between the abnormal fault and the symptom by adopting a proper fuzzy relation matrix (eigenvector) and a membership function, thereby confirming the abnormal event and improving the alarm accuracy. The signals to be identified are respectively transmitted to a display, a printer, an alarm indicating panel, a sound monitor and the like which are connected to the signal display terminal through the signal display terminal (upper computer), and the data to be transmitted are transmitted to the DCS system through the upper computer. The false alarm rate of a loose part monitoring system is gradually reduced in a hierarchical manner by adding a fuzzy intelligent recognition module and adopting primary judgment and accurate judgment on the amplitude of the acquired vibration signal of the loose part; by introducing the idea of a fuzzy function, the machine can automatically make judgment by learning expert knowledge and experience accumulation of existing events, the waveform discriminator can be realized and a reasonable signal-to-noise ratio interval can be set through the fuzzy diagnosis module, external interference noise is filtered, and the alarm accuracy is improved. The problem of can not accurately automatic identification non-pine take off the signal that part striking produced among the prior art, the wrong report alarm rate of taking off part monitoring system is high is solved.
Example two
The invention provides a method for reducing false alarm rate of loosening components and vibration monitoring of a nuclear power plant, which is suitable for a system shown in the first embodiment, and is shown in a flow chart of a method for loosening components and false alarm rate of vibration monitoring in figure 3, and mainly comprises the following steps: s100, continuously acquiring an actual vibration signal of a loosening part, monitoring the amplitude of the actual vibration signal, acquiring a plurality of amplitudes of the vibration signal in a time period near a certain moment when the amplitude of the vibration signal exceeds a trigger threshold, calculating the plurality of amplitudes, solving a root mean square value, and sending the vibration signal if the root mean square value is larger than a preset root mean square threshold; s200, receiving the vibration signal, judging the pathological signs and abnormal signs of the vibration signal according to the eigenvector parameters and the membership function calculation value of the vibration signal, and selecting to alarm the abnormal sign signal.
As shown in fig. 4, step S100 further includes the following steps:
s101, continuously acquiring an actual vibration signal of a loosening component, simultaneously monitoring the amplitude of the continuously acquired actual vibration signal in real time, and performing low-pass and high-pass filtering on the vibration signal; when the amplitude of the vibration signal at a certain moment exceeds a preset trigger threshold, acquiring a plurality of amplitudes of the vibration signal in a time period near the moment;
s102, calculating and solving a short-time root mean square value according to the plurality of amplitudes of the time period near the acquisition time;
s103, a preset root mean square threshold value is called, and when the actual root mean square value is larger than the preset root mean square threshold value, the vibration signal is sent to the fuzzy intelligent recognition module, and if not, the vibration signal is rejected from being sent.
Referring to fig. 5, step S200 further includes the steps of:
s201, establishing a function U according to the actually measured characteristic vector parameters of the vibration signal0,u0=[x1,x2,x3,x4](ii) a The feature vector parameters include: slope (x) of rising edge of waveform of vibration signal curve1) Slope of the falling edge of the waveform (x)2) Event ripple (x)3) And the width (x) of the waveform4)。
S202, establishing a function Ui according to the characteristic vector parameters of the historical theoretical vibration signals;
s203, according to the function U0And Ui calculates the distance function di of the measured value and the theoretical value;
s204, calculating the difference value of the corresponding parameter of each feature vector, setting the maximum value of the difference value in the parameters of each feature vector as D, and calculating the difference value according to a formula
Figure BDA0001857249320000111
Calculating membership function RUi(U0)
S205, membership function RUi(U0)And comparing the vibration signal with a preset membership function threshold lambda, judging the pathological signs and abnormal signs of the vibration signal, and selectively alarming the abnormal sign signal.
Further, referring to fig. 6, fig. 6 is a flow chart of alarm scheme design, and the loose part alarm algorithm adopts a "three-step" method for calculation and judgment, and mainly includes the following steps:
the first step is as follows: low-pass and high-pass filtering is performed first, and a suitable frequency range that conforms to the detection algorithm is selected. The lower frequency limit is preferably set to 1kHz and the upper frequency limit is preferably set to 10kHz, which can effectively eliminate most of the background noise.
The second step is that: in the process of continuously acquiring signals, once the amplitude of a certain point exceeds the trigger threshold, acquiring data of time (generally, near the point), and solving a short-time root mean square value RMS of the data. The RMS quantification reflects the magnitude of the overall amplitude of the acquired data, and is calculated as follows:
Figure BDA0001857249320000112
in the formula, s (i) represents the acquired data, and n represents the data length.
Subsequently, the calculated RMS is compared with a first threshold (root mean square threshold) to determine whether or not to alarm. If RMS is less than the first threshold value, no alarm is given; if RMS > the first threshold, then go to the third step.
The third step: and (3) judging the uncertain relation between the abnormal fault and the symptom by adopting a proper fuzzy relation matrix (eigenvector) and a membership function, further confirming the abnormal event and improving the alarm accuracy.
The state diagnosis is carried out by a fuzzy pattern recognition method, and the effect of the state diagnosis depends on the accuracy of establishing a membership function of a fuzzy pattern. The invention expresses the object to be identified in a vector form, and establishes a membership function by a distance solving method.
Setting the object to be identified (measured value: actual vibration signal) u0=[x1,x2,x3,x4]It is compared with a preset second threshold, namely a root mean square threshold, and the second threshold is calculated according to the following steps: the distance between the T sets of typical anomalous blur patterns (theoretical values) is:
Figure BDA0001857249320000121
in the formula xjFor an object u to be recognized0J ═ 1,2, 3, 4; x is the number ofijIs a typical abnormal fuzzy pattern uiI is 1,2, … T, and j is 1,2, 3, 4.
Let D equal max (D)i(u0,,ui)),j=1,2,3,4
Then the fuzzy pattern uiThe membership function of (a) is:
Figure BDA0001857249320000124
after the membership degree is obtained by the formulas (1) and (2), the maximum membership principle and the second threshold value principle are combined for identification and judgment.
Defining a certain threshold (third threshold) lambda epsilon [0,1],
if it is
Figure BDA0001857249320000122
Rejecting identification when the abnormal symptom set to be identified is ill;
if it is
Figure BDA0001857249320000123
The abnormal symptom set to be identified is healthy, and u is further subjected to the maximum membership principle0Making a judgment that u is0Is attributed to uiThe represented abnormal fuzzy pattern triggers an alarm.
The threshold value size of the invention is determined after a plurality of examples are calculated, and each determined threshold value is stored in a memory for comparison and judgment with an actual calculated value. Before the model is applied to abnormal signal diagnosis, a large number of pathological symptom sets are provided, a minimum threshold value required for removing each pathological symptom set is calculated, and finally the maximum value of the group of third threshold values is taken as the threshold value of the diagnosis model. Generally, the abnormal symptom set to be identified in the ill state can be effectively eliminated by taking the threshold lambda equal to 0.35.
FIG. 7 is a waveform diagram of the eigenvector parameters, wherein the slope of the rising edge of the waveform of the vibration signal curve, the slope of the falling edge of the waveform, the orthogonal error between the theoretical value and the actual value represent the event ripple, and the integral curve below the curve is the waveform width. The method combines a threshold value principle and a maximum membership principle by using a fuzzy mathematical method to establish an abnormal signal diagnosis model; the waveform discriminator and the setting of a reasonable signal-to-noise ratio interval can be realized through the fuzzy recognition module, and external interference noise is filtered.
It should be noted that: in the above embodiment, when the method is implemented, the system is only illustrated by dividing the functional modules, and in practical applications, the functions may be distributed by different functional modules according to needs, that is, the internal structure of the device is divided into different functional modules, so as to complete all or part of the functions described above. In addition, the system and method embodiments provided by the above embodiments belong to the same concept, and specific implementation processes thereof are described in detail in the method embodiments and are not described herein again.
Those skilled in the art will appreciate that all or part of the steps for implementing the above embodiments may be implemented by hardware, or may be implemented by a program instructing associated hardware, and the program may be stored in a computer readable storage medium. The above mentioned control or realized switching function is realized by a controller, and the control, calculation or Processing module may be a Central Processing Unit (CPU), other general purpose Processor, Digital Signal Processor (DSP), Application Specific Integrated Circuit (ASIC), Field-Programmable Gate Array (FPGA) or other Programmable logic device, discrete Gate or transistor logic device, discrete hardware component, etc. A general purpose processor may be a microprocessor or the processor may be any conventional processor or the like. The above-mentioned storage may be a storage device built in the terminal, such as a hard disk or a memory. The system of the invention also comprises a memory which can also be an external storage device of the system, a plug-in hard disk, an intelligent memory Card (SMC), a Secure Digital (SD) Card, a Flash memory Card (Flash Card) and the like. The memory may also include both internal storage units of the system and external storage devices for storing computer programs and other programs and information as needed. The memory may also be used to temporarily store information that has been output or is to be output.
In conclusion, the false alarm rate of the loose part monitoring system is gradually reduced in a hierarchical manner by adopting a low-high-pass filtering, RMS threshold value comparison and fuzzy judgment three-step method; by introducing the idea of a fuzzy function, namely a characteristic vector and a membership function matrix, the machine can automatically make judgment by learning expert knowledge and experience accumulation of existing events, so that the alarm accuracy is improved; by reasonably setting membership functions of different characteristic parameters, the function of a waveform discriminator can be achieved, interference noise signals with high signal frequency, slow attenuation and low acceleration amplitude are filtered, and real event waveforms with rapid attenuation and large acceleration amplitude are reserved; and after the membership function of the event ripple is reasonably set, a reasonable signal-to-noise ratio interval can be selected so as to improve the reliability of alarm. A fuzzy mathematical method is used, a threshold value principle and a maximum membership principle are combined, and an abnormal signal diagnosis model is established; the waveform discriminator can be realized by adding the fuzzy intelligent recognition module, a reasonable signal-to-noise ratio interval is set, and external interference noise is filtered.
The above description is only for the purpose of illustrating the preferred embodiments of the present invention and is not to be construed as limiting the invention, and any modifications, equivalents, improvements and the like that fall within the spirit and principle of the present invention are intended to be included therein.

Claims (10)

1. A system for reducing the false alarm rate of loose parts and vibration monitoring of nuclear power plants, the system comprising:
the signal acquisition and judgment module is connected with the loosening component and used for continuously acquiring an actual vibration signal of the loosening component and monitoring the amplitude of the actual vibration signal at the same time, when the amplitude of the vibration signal at a certain moment exceeds a trigger threshold, acquiring a plurality of amplitudes of the vibration signal in a time period near the moment, calculating the plurality of amplitudes and solving a root mean square value, and if the root mean square value is greater than a preset root mean square threshold, sending the vibration signal;
the fuzzy intelligent identification module is connected with the signal acquisition and judgment module and used for receiving the vibration signal, judging the pathological signs and abnormal signs of the vibration signal according to the eigenvector parameters and the membership function calculation values of the vibration signal and selectively alarming the abnormal sign signal;
the fuzzy intelligent recognition module comprises:
the establishing module is used for establishing a membership function according to the relation between the actually measured characteristic vector parameters and the abnormal fuzzy parameters;
the comparison module is used for carrying out difference comparison on the actually measured characteristic vector parameters and the abnormal fuzzy parameters according to the membership function, and selectively alarming the abnormal symptom signal if the difference value is greater than a preset membership function threshold;
the feature vector parameters include: slope (x) of rising edge of waveform of vibration signal curve1) Slope of the falling edge of the waveform (x)2) Event ripple (x)3) And the width (x) of the waveform4);
The establishing module further comprises:
an actual measurement function establishing module for establishing a function U according to the characteristic vector parameters of the actual measurement vibration signal0,u0=[x1,x2,x3,x4];
The theoretical function establishing module is used for establishing a function Ui according to the characteristic vector parameters of the historical theoretical vibration signals;
the membership function establishing module is used for calculating a distance function di of the measured value and the theoretical value according to the functions U0 and Ui;
a membership function calculation module for calculating the difference of the corresponding parameters of each eigenvector, setting the maximum value of the difference in each eigenvector as D, and calculating a membership function RUi(U0)
The comparison module is also used for converting the membership function RUi(U0)And comparing the vibration signal with a preset membership function threshold lambda, judging the pathological signs and abnormal signs of the vibration signal, and selectively alarming the abnormal sign signal.
2. The system of claim 1, wherein the signal acquisition determining module comprises:
the acquisition monitoring module is connected with the loosening component and is used for continuously acquiring the actual vibration signal of the loosening component and monitoring the amplitude of the continuously acquired actual vibration signal in real time; low-pass and high-pass filtering the vibration signal; when the vibration signal amplitude at a certain moment exceeds a preset trigger threshold value, acquiring a plurality of amplitudes of the vibration signal in a time period near the moment;
the calculation module is connected with the acquisition monitoring module and used for calculating and solving a short-time root mean square value according to the plurality of amplitudes of the time period near the acquisition time;
and the judging module is connected with the calculating module and used for calling a preset root mean square threshold value and sending the vibration signal to the fuzzy intelligent identification module when the actual root mean square value is judged to be larger than the preset root mean square threshold value.
3. The system of claim 2, wherein the determining module is further configured to refuse to send the vibration signal to the fuzzy intelligent recognition module if the actual root mean square value is smaller than a preset root mean square threshold.
4. The system of claim 1, wherein the comparing module is further configured to determine a pathological sign vibration signal if the difference is smaller than a preset membership function threshold, and reject the identification.
5. The system according to claim 1, wherein the judgment condition of the abnormal symptom and the pathological symptom is:
if the membership function RUi(U0)If the value is less than the preset membership function threshold lambda, judging that the abnormal symptom set to be identified is ill-conditioned, and refusing to identify;
if the membership function RUi(U0)And if the value is larger than the preset membership function threshold lambda, judging the health of the abnormal symptom set to be identified, judging the actually measured characteristic vector parameters according to the maximum membership principle, and triggering alarm.
6. A method for reducing false alarm rates of loose parts and vibration monitoring of nuclear power plants, comprising a system according to any of claims 1-5, the method comprising the steps of:
s100, continuously acquiring an actual vibration signal of a loosening part, monitoring the amplitude of the actual vibration signal, acquiring a plurality of amplitudes of the vibration signal in a time period near a certain moment when the amplitude of the vibration signal exceeds a trigger threshold, calculating the plurality of amplitudes, solving a root mean square value, and sending the vibration signal if the root mean square value is larger than a preset root mean square threshold;
s200, receiving the vibration signal, judging the pathological signs and abnormal signs of the vibration signal according to the eigenvector parameters and the membership function calculation value of the vibration signal, and selecting to alarm the abnormal sign signal.
7. The method according to claim 6, wherein the step S100 further comprises the steps of:
s101, continuously acquiring an actual vibration signal of a loosening component, simultaneously monitoring the amplitude of the continuously acquired actual vibration signal in real time, and performing low-pass and high-pass filtering on the vibration signal; when the amplitude of the vibration signal at a certain moment exceeds a preset trigger threshold, acquiring a plurality of amplitudes of the vibration signal in a time period near the moment;
s102, calculating and solving a short-time root mean square value according to the plurality of amplitudes of the time period near the acquisition time;
s103, a preset root mean square threshold value is called, and when the actual root mean square value is larger than the preset root mean square threshold value, the vibration signal is sent to the fuzzy intelligent recognition module, and if not, the vibration signal is rejected from being sent.
8. The method of claim 7, wherein the eigenvector parameters comprise: slope (x) of rising edge of waveform of vibration signal curve1) Slope of the falling edge of the waveform (x)2) Event ripple (x)3) And the width (x) of the waveform4)。
9. The method according to claim 8, wherein the step S200 further comprises the steps of:
s201, establishing a function U according to the actually measured characteristic vector parameters of the vibration signal0,u0=[x1,x2,x3,x4];
S202, establishing a function Ui according to the characteristic vector parameters of the historical theoretical vibration signals;
s203, according to the function U0And Ui calculates the distance function di of the measured value and the theoretical value;
s204, calculating the difference value of the corresponding parameter of each eigenvector, setting the maximum value of the difference value in each eigenvector parameter as D, and calculating a membership function RUi(U0)
S205, membership function RUi(U0)And comparing the vibration signal with a preset membership function threshold lambda, judging the pathological signs and abnormal signs of the vibration signal, and selectively alarming the abnormal sign signal.
10. The method according to claim 9, wherein the judgment conditions of the abnormal symptom and the pathological symptom are:
if the membership function RUi(U0)If the value is less than the preset membership function threshold lambda, judging that the abnormal symptom set to be identified is ill-conditioned, and refusing to identify;
if the membership function RUi(U0)And if the value is larger than the preset membership function threshold lambda, judging the health of the abnormal symptom set to be identified, judging the actually measured characteristic vector parameters according to the maximum membership principle, and triggering alarm.
CN201811319908.3A2018-11-072018-11-07 System and method for reducing the false alarm rate of loose parts and vibration monitoring in nuclear power plantsActiveCN109357753B (en)

Priority Applications (1)

Application NumberPriority DateFiling DateTitle
CN201811319908.3ACN109357753B (en)2018-11-072018-11-07 System and method for reducing the false alarm rate of loose parts and vibration monitoring in nuclear power plants

Applications Claiming Priority (1)

Application NumberPriority DateFiling DateTitle
CN201811319908.3ACN109357753B (en)2018-11-072018-11-07 System and method for reducing the false alarm rate of loose parts and vibration monitoring in nuclear power plants

Publications (2)

Publication NumberPublication Date
CN109357753A CN109357753A (en)2019-02-19
CN109357753Btrue CN109357753B (en)2021-01-19

Family

ID=65344433

Family Applications (1)

Application NumberTitlePriority DateFiling Date
CN201811319908.3AActiveCN109357753B (en)2018-11-072018-11-07 System and method for reducing the false alarm rate of loose parts and vibration monitoring in nuclear power plants

Country Status (1)

CountryLink
CN (1)CN109357753B (en)

Families Citing this family (7)

* Cited by examiner, † Cited by third party
Publication numberPriority datePublication dateAssigneeTitle
CN110580960B (en)*2019-09-112024-07-02阳江核电有限公司Foreign matter monitoring system and method for pressurized water reactor nuclear power station secondary loop
CN112564284A (en)*2020-12-042021-03-26中广核工程有限公司Alarm prompting method and device, computer equipment and readable storage medium
CN113984187A (en)*2021-09-102022-01-28中国船舶重工集团公司第七一九研究所 Method and device for monitoring looseness of ship pipe network structure
CN114485921B (en)*2022-01-282023-07-18中广核研究院有限公司Method and system for monitoring vibration of reactor equipment element
CN114544123A (en)*2022-02-252022-05-27西安热工研究院有限公司 A method for extracting vibration fluctuation features of rotating machinery based on fuzzy membership function
CN115496092A (en)*2022-08-292022-12-20西安热工研究院有限公司 An alarm method for abnormal operation status of wind power generating set
CN116481635A (en)*2023-03-092023-07-25上海路博减振科技股份有限公司Vibration signal acquisition and analysis system

Family Cites Families (10)

* Cited by examiner, † Cited by third party
Publication numberPriority datePublication dateAssigneeTitle
JPS6388410A (en)*1986-10-011988-04-19Babcock Hitachi KkMonitor for loose part generated in fluid path of nuclear reactor
JP2886862B2 (en)*1988-02-231999-04-26バブコツク日立株式会社 Loose parts monitoring device in the fluid channel of the reactor
JP2862876B2 (en)*1988-06-231999-03-03バブコツク日立株式会社 Loose parts monitoring device
CN101685679B (en)*2008-09-272012-05-16中国核动力研究设计院Monitoring system for loose parts of reactor and coolant system of nuclear power station
CN101750197B (en)*2008-12-112011-08-17中国核动力研究设计院Loose part diagnosis method for nuclear power station
CN102768115B (en)*2012-06-272016-04-20华北电力大学A kind of gearbox of wind turbine health status real-time dynamic monitoring method
CN103823180B (en)*2014-02-272017-02-01国家电网公司Method for diagnosing mechanical faults of distribution switch
CN105225433B (en)*2015-08-222017-10-10上海核工程研究设计院A kind of nuclear power station loose part monitor and alarm system and method
CN106409351A (en)*2016-09-132017-02-15中广核工程有限公司Method and device for processing vibration signal of loose part of nuclear power plant
CN107393608A (en)*2017-08-222017-11-24中广核工程有限公司Nuclear power station system for monitoring loosening part

Non-Patent Citations (1)

* Cited by examiner, † Cited by third party
Title
Improvement of Vibration Response of a Sensor Plate of Loose Parts Monitoring System in Nuclear Power Plants;Seo Jungk, et al;《Transactions of the Korean Society for Noise and Vibration Engineering》;20170228;第27卷(第2期);第148-154页*

Also Published As

Publication numberPublication date
CN109357753A (en)2019-02-19

Similar Documents

PublicationPublication DateTitle
CN109357753B (en) System and method for reducing the false alarm rate of loose parts and vibration monitoring in nuclear power plants
CN118214168B (en) A real-time status monitoring method for power distribution circuit
CN109655298B (en)Fault real-time early warning method and device for large-span metal roof
CN107561426A (en)A kind of Partial Discharge Online Monitoring of Transformers system based on acooustic combination
CN105139560B (en)Environmental disturbances filtering appts and its method based on prison separation net vibration monitoring
CN103197206A (en)Electrical level scanning type ultrahigh frequency partial discharge on-line monitoring system and monitoring method
CN118313991A (en) An environmental protection detection method and system based on the Internet of Things
CN118916821B (en) Optical fiber vibration detection method and system
CN118501800A (en) Fault detection method and system based on electric meter
CN119535092A (en) A transformer online monitoring and fault early warning system
JP2003029818A (en) Failure diagnosis system and failure diagnosis program
CN107247871A (en)Item detection time checking method for early warning and device
CN119335327A (en) Partial discharge detection and positioning method and system for switch cabinet
CN118627748A (en) Intelligent supervision method for power facilities
CN116448219B (en)Oil level abnormality detection method, apparatus, device, and computer-readable storage medium
CN107422383A (en)The epicentral location that its degree of accuracy is lifted by rejecting the observation station that peels off being triggered in observation station determines method
CN111476506A (en)OCS (online charging System) -based switch operation risk early warning method and system
CN117762746A (en)Equipment management system of cloud testing platform
CN116522281A (en)Distributed heat supply data fusion system based on micro-service architecture
CN110120893B (en)Method and device for positioning network system security problem
CN116028301A (en)Alarm sound testing method and device of industrial control system based on sound card
CN112820090A (en)Alarm system based on big data and implementation method thereof
JP3952242B2 (en) Reactor structure monitoring device
JPH03130624A (en)Abnormal-wave removing circuit of wave height meter
JPH0236141Y2 (en)

Legal Events

DateCodeTitleDescription
PB01Publication
PB01Publication
SE01Entry into force of request for substantive examination
SE01Entry into force of request for substantive examination
GR01Patent grant
GR01Patent grant

[8]ページ先頭

©2009-2025 Movatter.jp