Movatterモバイル変換


[0]ホーム

URL:


CN109325156B - Rural road network matching method based on extension line segment - Google Patents

Rural road network matching method based on extension line segment
Download PDF

Info

Publication number
CN109325156B
CN109325156BCN201810376370.3ACN201810376370ACN109325156BCN 109325156 BCN109325156 BCN 109325156BCN 201810376370 ACN201810376370 ACN 201810376370ACN 109325156 BCN109325156 BCN 109325156B
Authority
CN
China
Prior art keywords
line segment
sim
similarity
line segments
reference line
Prior art date
Legal status (The legal status is an assumption and is not a legal conclusion. Google has not performed a legal analysis and makes no representation as to the accuracy of the status listed.)
Active
Application number
CN201810376370.3A
Other languages
Chinese (zh)
Other versions
CN109325156A (en
Inventor
臧彧
王小芳
王程
李军
罗伦
李迪龙
Current Assignee (The listed assignees may be inaccurate. Google has not performed a legal analysis and makes no representation or warranty as to the accuracy of the list.)
Xiamen Sizhong Construction Co ltd
Original Assignee
Xiamen University
Priority date (The priority date is an assumption and is not a legal conclusion. Google has not performed a legal analysis and makes no representation as to the accuracy of the date listed.)
Filing date
Publication date
Application filed by Xiamen UniversityfiledCriticalXiamen University
Priority to CN201810376370.3ApriorityCriticalpatent/CN109325156B/en
Publication of CN109325156ApublicationCriticalpatent/CN109325156A/en
Application grantedgrantedCritical
Publication of CN109325156BpublicationCriticalpatent/CN109325156B/en
Activelegal-statusCriticalCurrent
Anticipated expirationlegal-statusCritical

Links

Images

Landscapes

Abstract

Translated fromChinese

本发明公开了一种基于扩展线段的农村道路网匹配方法,采用在参考线段周围构建缓冲区的方法,按长度、距离、角度计算落在缓冲区内的线段与参考线段间的相似性,以此选出候选线段;针对一对多的匹配情况,提出对参考线段与候选线段分别做扩展,再依据长度、距离、形状来计算扩展后线段间的相似性,对相似性较大的线段进行选择后构成新的候选线段;构造一个自适应参数,来表示选择后的新候选线段的个数,通过迭代循环扩展步骤使自适应参数逐渐减少到1,此时即确定了与参考线段正确匹配的线段。

Figure 201810376370

The invention discloses a rural road network matching method based on extended line segments, which adopts a method of constructing a buffer zone around a reference line segment, and calculates the similarity between the line segment falling in the buffer zone and the reference line segment according to the length, distance and angle, so as to calculate the similarity between the line segment and the reference line segment. This selects the candidate line segment; for the one-to-many matching situation, it is proposed to expand the reference line segment and the candidate line segment respectively, and then calculate the similarity between the expanded line segments according to the length, distance, and shape. After selection, a new candidate line segment is formed; an adaptive parameter is constructed to represent the number of new candidate line segments after selection, and the adaptive parameter is gradually reduced to 1 through the iterative circular expansion step, and the correct matching with the reference line segment is determined at this time. line segment.

Figure 201810376370

Description

Rural road network matching method based on extension line segment
Technical Field
The invention relates to the field of remote sensing application, in particular to a rural road network matching method based on an extension line segment.
Background
With the development of the times, the demand of people on geographic data is increasing day by day, and the existing geographic data has the problems of incomplete information or outdated data and the like, and is not enough to meet the demand of people. Therefore, how to efficiently utilize the existing data set to update the data is a problem worthy of research. Data matching is a prerequisite and basis for updating. As for the road network, the road extraction technology based on the remote sensing image can efficiently obtain the latest road network information in real time, and the historical data set can be updated according to the matching of the reference data set and the historical data set.
To date, a great deal of research has been done on road matching, but most of these studies are based on regular, ordered urban roads, and are less likely to be concerned with the messy roads in rural areas.
Disclosure of Invention
The invention aims to overcome the defects of the prior art and provides a rural road network matching method based on an extended line segment.
In order to achieve the purpose, the invention adopts the following technical scheme:
the rural road network matching method based on the extended line segment comprises the following steps:
s1, establishing a buffer area by taking each reference line segment on the reference data set as a center, then calculating all line segments on the target data set falling in the buffer area to obtain the similarity between the reference line segments and the reference line segments, and setting the line segments meeting the threshold requirement as candidate line segments;
s2, performing line segment expansion operation on the reference line segment and all candidate line segments thereof, recalculating the similarity between the expanded reference line segment and the candidate line segments, and selecting the expanded line segment with high similarity as a new candidate line segment of the expanded reference line segment;
s3, constructing a self-adaptive parameter K to control the iteration cycle times, namely selecting the first K line segments with the highest similarity as new candidate line segments each time, and when K is 1, determining the line segment pair which is correctly matched.
Further, the similarity between the segments is calculated by the following formula:
Figure GDA0001974443350000021
in the formula Simlen,Simdis,Simang,SimshapeSimilarity in length, distance, angle, shape, w, respectively, of line segmentslen,wdis,wang,wshapeRespectively their corresponding weights.
Further, the calculation of step S1 is specifically as follows:
s11, the buffer zone construction method is as follows
Constructing a buffer area of a rectangular area around the reference line segment by taking the reference line segment as a central line, wherein the long edge of the rectangle is parallel to the reference line segment, and the length of the rectangle is slightly greater than that of the reference line segment; the wide side of the rectangle is bisected by the reference line segment; calculating the similarity between the line segment on the target data set in the buffer area and the reference line segment according to three geometric attributes of length, distance and angle;
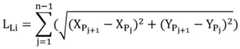
s12 similarity Sim in length between line segment L1 on the target data set and reference line segment L2lenCalculated by the following formula:
Simlen=|LL1-LL2|
Figure GDA0001974443350000022
in the formula LLiIs the length of the line segment Li, n is the total number of nodes in the line segment Li,
Figure GDA0001974443350000023
and
Figure GDA0001974443350000024
is the j-th node P in the line segmentjThe abscissa and ordinate of (a);
similarity in distance Sim of the line segment L1 on the target data set and the reference line segment L2disCalculated by the following formula:
Figure GDA0001974443350000031
Figure GDA0001974443350000032
Figure GDA0001974443350000033
in the formula La,LbAre respectively line segments L1,L2Any one fragment of above, | | Pa-LbI represents a line segment L1A certain node P onaTo LbPerpendicular distance, | | Pb-LaI then represents the line segment L2A certain node P onbTo LaThe vertical distance of (d);
angular similarity Sim of line segment L1 on the target data set and reference line segment L2angCalculated by the following formula:
Figure GDA0001974443350000034
in the formula
Figure GDA0001974443350000035
Are respectively line segments L1And a line segment L2The expression is the inner product operation of the vector, |, is the modulus of the vector.
Further, the calculation of step S2 is specifically as follows:
respectively extending the end points of the reference line segment and all the candidate line segments outwards by a line segment unit to form a new line segment; and calculating new similarity of the formed new line segments according to three characteristics of length, distance and shape, and finally selecting the first K corresponding line segments from high to low according to the similarity as new candidate line segments of the extended reference line segment.
Further, the similarity Sim in shape of the line segment L1 on the expanded target data set and the reference line segment L2shapeThe method comprises the following steps:
s211, setting a new complex network, and analyzing the shape of a curve; firstly, connecting all nodes on a curve pairwise to form a nondirectional fully-connected network with a weight value, wherein the weight value is a value obtained by normalizing the distance between the two nodes; then a threshold value R is given1If the weight of the edge in the network is less than or equal to the threshold R1The edge is retained, otherwise the edge is deleted, and the resulting new network is called the threshold R1A complex network of lower;
s212, constructing a shape descriptor sigma according to the complex networks obtained under different thresholds; as shown below
σ=[Ka(1),Km(1),Ka(2),Km(2),…,Ka(M),Km(M)]
In the formula Ka(j) Represents a threshold value RjAverage value of degrees of all nodes in the complex network under, Km(j) Represents the maximum value of the degrees of all nodes in the network;
s213, line segment L1And a line segment L2Similarity in shape SimshapeThe definition is as follows:
Figure GDA0001974443350000041
where M represents the total number of thresholds.
Further, step S3 specifically includes the following steps:
s31, constructing a self-adaptive parameter K to represent the number of new candidate line segments to be selected; setting the well-ordered similarity sequence { Simi,1,Simi,2,…,Simi,m},Simi,1≥Simi,2≥…≥Simi,mWhere Simi,jIndicating the extended reference line segment LiAnd the extended candidate line segment LjSimilarity between them; let j accumulate from 1, when it first encounters Simi,j-Simi,j+1≥TsWhen the accumulation stops, the value of j is the value of K needed, where TsIs an empirical threshold;
and S32, when the value of K is more than 1, the current candidate line segment is more than one, which does not accord with the requirement of accurate matching, and the candidate line segment needs to be further expanded until only one correct matching which accords with the requirement is found.
After the technical scheme is adopted, the corresponding candidate line segments can be selected from the reference line segments in a buffer area constructing mode, the searching space is greatly reduced, a line segment expanding mode is introduced on the basis, the topological connection relation between the line segments and the peripheral line segments is considered, the correct matching pairs are more accurately determined by combining context information, and finally, the whole matching efficiency is improved in a self-adaptive parameter constructing mode.
Drawings
FIG. 1 is a flow chart of the rural road network matching method based on extended line segments of the present invention;
FIG. 2 is a road matching effect diagram of the rural road network matching method based on extended line segments according to the present invention;
fig. 3 is a road matching local amplification effect diagram of the rural road network matching method based on the extended line segment according to the present invention, wherein fig. 3a is an amplification result of the wire frame No. 1 on the left side of fig. 2, and fig. 3b is an amplification result of the wire frame No. 2 in the middle of fig. 2.
Detailed Description
In order to make the objects, technical solutions and advantages of the present invention more apparent, the present invention is described in further detail below with reference to the accompanying drawings and embodiments. It should be understood that the specific embodiments described herein are merely illustrative of the invention and are not intended to limit the invention.
Fig. 1 shows a flow chart of the present invention, which mainly includes the following steps:
s1, establishing a buffer area by taking each reference line segment on the reference data set as a center, and then calculating the similarity between the reference line segment and all line segments falling on the target data set in the buffer area, wherein all the line segments meeting the threshold requirement are regarded as candidate line segments;
s2, performing line segment expansion operation on the reference line segment and all candidate line segments thereof, recalculating the similarity among the expanded line segments, and selecting the expanded line segment with high similarity as a new candidate line segment of the expanded reference line segment;
s3, constructing an adaptive parameter K to control the number of iterative cycles, namely, selecting the first K line segments with the highest similarity as new candidate line segments each time, and finding a line segment pair which is correctly matched when K is 1.
Wherein, step S1 is specifically as follows:
s11, the buffer zone construction method is as follows
Constructing a buffer area of a rectangular area around the reference line segment by taking the reference line segment as a central line, wherein the long edge of the rectangle is parallel to the reference line segment, and the length of the rectangle is slightly greater than that of the reference line segment; the wide side of the rectangle is bisected by the reference line segment; and calculating the similarity between the line segment falling on the target data set in the buffer area and the reference line segment according to three geometric attributes of length, distance and angle.
S12, similarity between segments is calculated by the following formula
Figure GDA0001974443350000061
In the formula Simlen,Simdis,Simang,SimshapeRespectively, the similarity of the line segments in length, distance, angle, shape, where and hereinafter a line segment includes a line segment consisting of polylines after expansion, wlen,wdis,wang,wshapeTheir respective weights;
line segment L1And a line segment L2Similarity in length SimlenCalculated by the following formula:
Simlen=|LL1-LL2|
Figure GDA0001974443350000062
in the formula LLiIs the length of the line segment Li, n is the total number of nodes in the line segment Li,
Figure GDA0001974443350000068
and
Figure GDA0001974443350000069
is the j-th node P in the line segmentjThe abscissa and ordinate of (a);
line segment L1And a line segment L2Similarity in distance SimdisCalculated by the following formula:
Figure GDA0001974443350000063
Figure GDA0001974443350000064
Figure GDA0001974443350000065
in the formula La,LbAre respectively line segments L1,L2Any one fragment of above, | | Pa-LbI represents a line segment L1A certain node P onaTo LbPerpendicular distance, | | Pb-LaI then represents the line segment L2A certain node P onbTo LaThe vertical distance of (d);
line segment L1And a line segment L2Similarity in angle SimangCalculated by the following formula:
Figure GDA0001974443350000066
in the formula
Figure GDA0001974443350000067
Are respectively line segments L1And a line segment L2The expression is the inner product operation of the vector, |, is the modulus of the vector.
On the basis of the candidate line segment obtained in step S1, step S2 is performed to obtain a new candidate line segment, which specifically includes:
respectively extending the end points of the reference line segment and all the candidate line segments outwards by a line segment unit to form a new line segment; and calculating new similarity of the formed new line segments according to three characteristics of length, distance and shape, and finally selecting the first K corresponding line segments from high to low according to the similarity as new candidate line segments of the extended reference line segment.
Shape similarity is defined as follows:
a new definition of a complex network is introduced to analyze the shape of a curve (formed by a plurality of broken line segments). Firstly, all nodes on the curve are connected pairwise to formAnd a completely connected network with undirected weight value, wherein the weight value is the value after the distance normalization of the two nodes. For example, assuming a total of n nodes on a curve, a fully connected network has
Figure GDA0001974443350000071
An edge. Then, a threshold value R is givenlIf the weight of the edge in the network is less than or equal to the threshold RlThe edge is retained, otherwise the edge is deleted, and the resulting new network is called the threshold R1The following complex network.
Next, a shape descriptor σ is constructed from the complex network obtained under different thresholds. In particular, a sequence of thresholds R of equal difference values is selected1,R2,…,RMWherein 0 is less than or equal to R1≤RM≤1,Rj+1-RjC is a constant. From this sequence of thresholds, M complex networks result. Then, from these M complex networks, a shape descriptor σ is constructed, as shown below
σ=[Ka(1),Km(1),Ka(2),Km(2),…,Ka(M),Km(M)]
In the formula Ka(j) Represents a threshold value RjAverage value of degrees of all nodes in the complex network under, Km(j) Representing the maximum value of degrees for all nodes in the network. Therefore, line segment L1And a line segment L2Similarity in shape SimshapeThe following can be defined:
Figure GDA0001974443350000081
where M represents the total number of thresholds.
On the basis of obtaining a new candidate line segment in step S2, an adaptive parameter is used to obtain an accurate matching result, which specifically includes the following steps:
an adaptive parameter K is constructed to indicate the number of new candidate segments to be selected. Suppose now thatWith well-ordered similarity sequences { Simi,1,Simi,2,…,Simi,m},Simi,1≥Simi,2≥…≥Simi,mWhere Simi,jIndicating the extended reference line segment LiAnd the extended candidate line segment LjThe similarity between them. Let j accumulate from 1, when it first encounters Simi,j-Simi,j+1≥TsWhen the accumulation stops, the value of j is the value of K needed, where TsIs an empirical threshold.
If the value of K is more than 1, the current candidate line segment is more than one, which does not meet the requirement of accurate matching, so the candidate line segment needs to be further expanded until only one correct matching meeting the requirement is found.
Fig. 2 is a diagram illustrating the road matching effect of the present invention applied to high-resolution satellite images. The target data set of the invention is a road network extracted from an image shot by a Pleiades-1A satellite, the resolution of the image is 0.5m, and the size of the image is 28648 multiplied by 37929 pixels; the reference data set is a road network formed by historical vehicle tracks provided by a Chinese traffic communication center. Fig. 2 is a graph of the effect of matching a part of the area of the whole road network, wherein fig. 2a is a target data set and fig. 2b is a reference data set.
Fig. 3 is an enlarged view of the matching effect within the two rectangular boxes in fig. 2. Fig. 3(a) corresponds to the enlargement of the frame No. 1 on the left in fig. 2, and fig. 3(b) corresponds to the enlargement of the frame No. 2 in the middle in fig. 2. In fig. 3,line 1 represents the reference data set, while for the target data setline 2 represents the correctly matched road segments,line 3 represents the unmatched road segments, andline 4 represents the incorrectly matched road segments.
The following table shows the data statistics of the road matching results:
Figure GDA0001974443350000091
the literature on relevant road matching algorithms is as follows:
[1]MengZhang and LiqiuMeng,“Delimited stroke oriented algorithm-working principle and implementation for the matching of road networks,”Geographic Information Sciences,vol.14,no.1,pp.44–53,2008.
due to the fact that rural roads are relatively cluttered, some small and remote roads are missed from the historical reference data set, and the matching rate of the algorithm is not high and is only 74.73%. However, the accuracy of the algorithm reaches 87.24%, which is much higher than the accuracy of 83.41% in the document [1], which proves that the accuracy of the rural road matching using the method is greatly improved.
The above is only a preferred embodiment of the present invention, but the scope of the present invention is not limited thereto, and any changes or substitutions that can be easily conceived by those skilled in the art within the technical scope of the present invention are also within the scope of the present invention; therefore, the protection scope of the present invention shall be subject to the protection scope of the claims.

Claims (6)

1. A rural road network matching method based on an extended line segment is characterized by comprising the following steps:
s1, establishing a buffer area by taking each reference line segment on the reference data set as a center, then calculating all line segments on the target data set falling in the buffer area to obtain the similarity between the reference line segments and the reference line segments, and setting the line segments meeting the threshold requirement as candidate line segments;
s2, performing line segment expansion operation on the reference line segment and all candidate line segments thereof, recalculating the similarity between the expanded reference line segment and the candidate line segments, and selecting the expanded line segment with high similarity as a new candidate line segment of the expanded reference line segment;
s3, constructing a self-adaptive parameter K to control the iteration cycle times, namely selecting the first K line segments with the highest similarity as new candidate line segments each time, and when K is 1, determining the line segment pair which is correctly matched;
the method for constructing the buffer area in step S1 is as follows:
constructing a buffer area of a rectangular area around the reference line segment by taking the reference line segment as a central line, wherein the long side of the rectangle is parallel to the reference line segment, and the length of the rectangle is greater than that of the reference line segment; the wide side of the rectangle is bisected by the reference line segment; and calculating the similarity between the line segment falling on the target data set in the buffer area and the reference line segment according to three geometric attributes of length, distance and angle.
2. The method for rural road network matching based on extended line segments according to claim 1, wherein the similarity between the line segments is calculated by the following formula:
Figure FDA0003217190790000011
in the formula Simlen,Simdis,Simang,SimshapeSimilarity in length, distance, angle, shape, w, respectively, of line segmentslen,wdis,wang,wshapeRespectively their corresponding weights.
3. The method for rural road network matching based on extended line segments of claim 2, wherein the similarity Sim in length between the line segment L1 on the target data set and the reference line segment L2 in step S1lenCalculated by the following formula:
Simlen=|LL1-LL2|
Figure FDA0003217190790000021
in the formula LLiIs the length of the line segment Li, n is the total number of nodes in the line segment Li,
Figure FDA0003217190790000027
and
Figure FDA0003217190790000028
is the j-th node P in the line segmentjThe abscissa and ordinate of (a);
similarity in distance Sim of the line segment L1 on the target data set and the reference line segment L2disCalculated by the following formula:
Figure FDA0003217190790000022
Figure FDA0003217190790000023
Figure FDA0003217190790000024
in the formula La,LbAre respectively line segments L1,L2Any one fragment of above, | | Pa-LbI represents a line segment L1A certain node P onaTo LbPerpendicular distance, | | Pb-LaI then represents the line segment L2A certain node P onbTo LaThe vertical distance of (d);
angular similarity Sim of line segment L1 on the target data set and reference line segment L2angCalculated by the following formula:
Figure FDA0003217190790000025
in the formula
Figure FDA0003217190790000026
Are respectively line segments L1And a line segment L2The expression is the inner product operation of the vector, |, is the modulus of the vector.
4. The method for matching a rural road network based on extended line segments according to claim 3, wherein the calculation of step S2 is as follows:
respectively extending the end points of the reference line segment and all the candidate line segments outwards by a line segment unit to form a new line segment; and calculating new similarity of the formed new line segments according to three characteristics of length, distance and shape, and finally selecting the first K corresponding line segments from high to low according to the similarity as new candidate line segments of the extended reference line segment.
5. The method for rural road network matching based on expanded line segments of claim 4, wherein the similarity Sim in shape between the line segment L1 on the expanded target data set and the reference line segment L2 isshapeThe method comprises the following steps:
s211, setting a new complex network, and analyzing the shape of a curve; firstly, connecting all nodes on a curve pairwise to form a nondirectional fully-connected network with a weight value, wherein the weight value is a value obtained by normalizing the distance between the two nodes; then a threshold value R is given1If the weight of the edge in the network is less than or equal to the threshold R1The edge is retained, otherwise the edge is deleted, and the resulting new network is called the threshold R1A complex network of lower;
s212, constructing a shape descriptor sigma according to the complex networks obtained under different thresholds; as shown below
σ=[Ka(1),Km(1),Ka(2),Km(2),…,Ka(M),Km(M)]
In the formula Ka(j) Represents a threshold value RjAverage value of degrees of all nodes in the complex network under, Km(j) Represents the maximum value of the degrees of all nodes in the network;
s213, line segment L1And a line segment L2Similarity in shape SimshapeThe definition is as follows:
Figure FDA0003217190790000031
where M represents the total number of thresholds.
6. The method for matching a rural road network based on extended line segments according to claim 1, wherein step S3 specifically comprises the following steps:
s31, constructing a self-adaptive parameter K to represent the number of new candidate line segments to be selected; setting the well-ordered similarity sequence { Simi,1,Simi,2,…,Simi,m},Simi,1≥Simi,2≥…≥Simi,mWhere Simi,jIndicating the extended reference line segment LiAnd the extended candidate line segment LjSimilarity between them; let j accumulate from 1, when it first encounters Simi,j-Simi,j+1≥TsWhen the accumulation stops, the value of j is the value of K needed, where TsIs an empirical threshold;
and S32, when the value of K is more than 1, the current candidate line segment is more than one, which does not accord with the requirement of accurate matching, and the candidate line segment needs to be further expanded until only one correct matching which accords with the requirement is found.
CN201810376370.3A2018-04-252018-04-25Rural road network matching method based on extension line segmentActiveCN109325156B (en)

Priority Applications (1)

Application NumberPriority DateFiling DateTitle
CN201810376370.3ACN109325156B (en)2018-04-252018-04-25Rural road network matching method based on extension line segment

Applications Claiming Priority (1)

Application NumberPriority DateFiling DateTitle
CN201810376370.3ACN109325156B (en)2018-04-252018-04-25Rural road network matching method based on extension line segment

Publications (2)

Publication NumberPublication Date
CN109325156A CN109325156A (en)2019-02-12
CN109325156Btrue CN109325156B (en)2021-12-17

Family

ID=65263110

Family Applications (1)

Application NumberTitlePriority DateFiling Date
CN201810376370.3AActiveCN109325156B (en)2018-04-252018-04-25Rural road network matching method based on extension line segment

Country Status (1)

CountryLink
CN (1)CN109325156B (en)

Citations (4)

* Cited by examiner, † Cited by third party
Publication numberPriority datePublication dateAssigneeTitle
CN103235848A (en)*2013-04-152013-08-07中国科学院软件研究所Light-weight map matching method based on simplified map model
CN104361142A (en)*2014-12-122015-02-18华北水利水电大学Detection method for rapid change in multi-source navigation electronic map vector road network
CN106840176A (en)*2016-12-282017-06-13济宁中科先进技术研究院有限公司GPS space-time datas increment road network real-time update and path matching system
CN106937531A (en)*2014-06-142017-07-07奇跃公司 Method and system for generating virtual and augmented reality

Family Cites Families (1)

* Cited by examiner, † Cited by third party
Publication numberPriority datePublication dateAssigneeTitle
US8620912B2 (en)*2010-06-162013-12-31Microsoft CorporationRanking advertisement(s) based upon advertisement feature(s)

Patent Citations (4)

* Cited by examiner, † Cited by third party
Publication numberPriority datePublication dateAssigneeTitle
CN103235848A (en)*2013-04-152013-08-07中国科学院软件研究所Light-weight map matching method based on simplified map model
CN106937531A (en)*2014-06-142017-07-07奇跃公司 Method and system for generating virtual and augmented reality
CN104361142A (en)*2014-12-122015-02-18华北水利水电大学Detection method for rapid change in multi-source navigation electronic map vector road network
CN106840176A (en)*2016-12-282017-06-13济宁中科先进技术研究院有限公司GPS space-time datas increment road network real-time update and path matching system

Non-Patent Citations (1)

* Cited by examiner, † Cited by third party
Title
路网匹配算法综述;高文超等;《软件学报》;20180228;第29卷(第2期);第225-250页*

Also Published As

Publication numberPublication date
CN109325156A (en)2019-02-12

Similar Documents

PublicationPublication DateTitle
CN107679558B (en)A kind of user trajectory method for measuring similarity based on metric learning
CN113936275B (en) An unsupervised domain adaptation semantic segmentation method based on region feature alignment
CN105844669B (en)A kind of video object method for real time tracking based on local Hash feature
US10803355B2 (en)Method for training image generator
CN108882172B (en) A prediction method of indoor moving trajectory data based on HMM model
CN104881029B (en)Mobile Robotics Navigation method based on a point RANSAC and FAST algorithms
CN111341103A (en)Lane information extraction method, device, equipment and storage medium
CN110111375B (en) A method and device for image matching gross error elimination under the constraint of Delaunay triangulation
CN107203761B (en)Road width estimation method based on high-resolution satellite image
Yang et al.A pattern‐based approach for matching nodes in heterogeneous urban road networks
CN109154938B (en)Classifying entities in a digital graph using discrete non-trace location data
CN105844582A (en)3D image data registration method and device
CN110110946B (en)Water quality prediction early warning system based on anisotropic Delaunay subdivision and implementation method thereof
CN114419165A (en) Camera external parameter correction method, device, electronic device and storage medium
CN107179085A (en)A kind of condition random field map-matching method towards sparse floating car data
WO2020024206A1 (en)Dcgan-based parking data repairing method and apparatus, and device and storage medium
CN105447488B (en) SAR image target detection method based on sketched line segment topology
CN106413083A (en)Indoor WLAN positioning method based on rough-fine two-step correlation image feature extraction
CN109325156B (en)Rural road network matching method based on extension line segment
CN113742504A (en)Method, device, computer program product and computer program for searching images by images
KR101476172B1 (en)Method for Automatic Change Detection Based on Areal Feature Matching in Different Network Datasets
CN116612385A (en)Remote sensing image multiclass information extraction method and system based on depth high-resolution relation graph convolution
CN113435427B (en)Method and device for aggregating lane lines
CN116720975A (en) Local community discovery method and system based on structural similarity
CN112883840B (en)Power transmission line extraction method based on key point detection

Legal Events

DateCodeTitleDescription
PB01Publication
PB01Publication
SE01Entry into force of request for substantive examination
SE01Entry into force of request for substantive examination
GR01Patent grant
GR01Patent grant
TR01Transfer of patent right
TR01Transfer of patent right

Effective date of registration:20240731

Address after:No. 171, 9 Floor, Tapu East Road (Guanyinshan International Business Operating Center), Siming District, Xiamen City, Fujian Province, 361000

Patentee after:Xiamen Sizhong Construction Co.,Ltd.

Country or region after:China

Address before:361000 Siming South Road, Xiamen, Fujian Province, No. 422

Patentee before:XIAMEN University

Country or region before:China


[8]ページ先頭

©2009-2025 Movatter.jp