Movatterモバイル変換


[0]ホーム

URL:


CN109272594B - Working method for judging check-in of paperless conference under mass data environment - Google Patents

Working method for judging check-in of paperless conference under mass data environment
Download PDF

Info

Publication number
CN109272594B
CN109272594BCN201811207716.3ACN201811207716ACN109272594BCN 109272594 BCN109272594 BCN 109272594BCN 201811207716 ACN201811207716 ACN 201811207716ACN 109272594 BCN109272594 BCN 109272594B
Authority
CN
China
Prior art keywords
check
person
checked
preset
sign
Prior art date
Legal status (The legal status is an assumption and is not a legal conclusion. Google has not performed a legal analysis and makes no representation as to the accuracy of the status listed.)
Active
Application number
CN201811207716.3A
Other languages
Chinese (zh)
Other versions
CN109272594A (en
Inventor
杨琴
陈银
Current Assignee (The listed assignees may be inaccurate. Google has not performed a legal analysis and makes no representation or warranty as to the accuracy of the list.)
Chongqing Yangsheng Technology Group Co ltd
Original Assignee
Chongqing Yangsheng Information Technology Co ltd
Priority date (The priority date is an assumption and is not a legal conclusion. Google has not performed a legal analysis and makes no representation as to the accuracy of the date listed.)
Filing date
Publication date
Application filed by Chongqing Yangsheng Information Technology Co ltdfiledCriticalChongqing Yangsheng Information Technology Co ltd
Priority to CN201811207716.3ApriorityCriticalpatent/CN109272594B/en
Publication of CN109272594ApublicationCriticalpatent/CN109272594A/en
Application grantedgrantedCritical
Publication of CN109272594BpublicationCriticalpatent/CN109272594B/en
Activelegal-statusCriticalCurrent
Anticipated expirationlegal-statusCritical

Links

Images

Classifications

Landscapes

Abstract

The invention discloses a working method for judging the check-in of a paperless conference under a mass data environment, which comprises the following steps: s1, acquiring the identity information input by the check-in person, and verifying the identity of the check-in person; after the login is successful, executing step S2; and S2, receiving the check-in information sent by the check-in person, counting the check-in result and displaying a check-in result page. The invention can save time for workers in the sign-in link, prevent paper sign-in information errors and the like, reduce paper waste and create an environment-friendly environment.

Description

Working method for judging check-in of paperless conference under mass data environment
Technical Field
The invention relates to the technical field of paperless conferences, in particular to a working method for checking in and judging a paperless conference in a mass data environment.
Background
The paperless conference is a new concept of the paperless conference interaction system, which is provided on the basis of research, development and construction of the traditional conference, and is the paperless conference interaction system based on the mobile internet. The paperless conference is converted from the traditional paper serving as an information recording carrier into digital and mobile multimedia taking a tablet personal computer and a smart phone as carriers, and the conference is extended from a fixed conference room to an off-site mobile terminal by utilizing the portability of the smart phone. However, the existing check-in mode is paper check-in generally, time is consumed in the check-in counting process, and errors occur in the counting process, which is a problem to be solved at present.
Disclosure of Invention
The invention aims to at least solve the technical problems in the prior art, and particularly creatively provides a paperless conference sign-in judgment working method under a mass data environment.
In order to achieve the purpose, the invention discloses a working method for judging the check-in of a paperless conference under a mass data environment, which comprises the following steps:
s1, acquiring the identity information input by the check-in person, and verifying the identity of the check-in person; after the login is successful, executing step S2;
and S2, receiving the check-in information sent by the check-in person, counting the check-in result and displaying a check-in result page. The waste of paper is reduced, the time is saved, the synchronous sign-in at different places is realized, and the complexity is reduced.
In a preferred embodiment of the present invention, step S2 includes the steps of:
s21, sign in ni0; the i is a check-in person ID; wherein n isi0 indicates that the person who checked in has an ID i does not check in, and ni1 represents that the person with the person ID i has checked in;
s22, judging whether the person having the person ID i is at the first preset time t1And (4) carrying out check-in before:
if the ID of the person who signs in is i, the person who signs in at the first preset time t1If the person is checked in before the check-in, the checked-in person is recorded, ni1 is ═ 1; step S24 is executed;
if the person who signs in with the person ID i is not at the first preset time t1Check-in is performed before, and step S23 is executed;
s23, searching the ID of the person without signing in, sending reminding information to the ID of the person without signing in, and judging whether the ID of the person without signing in is at the second preset time t2And (4) carrying out check-in before:
if the ID of the person without attendance is not at the second preset time t2Before the system is signed in, the second preset time t2Later than a first preset time t1,niWhen it is 0, step S24 is executed;
if the ID of the person without attendance is in the second preset time t2If the person is checked in before the check-in, the checked-in person is recorded, ni1 is ═ 1; step S24 is executed;
s24, judging whether the total number n of all checked-in persons is larger than or equal to a preset number of participants, wherein the preset number of participants is smaller than or equal to the number of participants participating in the conference;
if the total number n of all checked-in persons is larger than or equal to the preset number of participants, holding the conference as scheduled;
and if the total number n of all checked-in persons is less than the preset number of participants, sending information for canceling the holding of the conference to the ID of the checked-in person and the ID of the checked-in person. The number of the meeting persons can reach the expected number, and the pre-attended meeting persons are reminded in time, so that the pre-attended meeting persons are prevented from forgetting the item.
In a preferred embodiment of the present invention, in step S22, if the check-in person having the check-in person ID i is not at the first preset time t1The check-in is carried out before;
or in step S23, if the non-checked-in person ID is not at the second preset time t2Before the system is signed in, the second preset time t2Later than a first preset time t1
Predicting the check-in value of the ID of the person who does not check in, and if the predicted check-in value is greater than or equal to the preset check-in value, determining that the ID of the person who does not check in is checked in; n isi=1
If the check-in predicted value is smaller than the preset check-in value, the non-check-in ID is a non-check-in; n isi0; step S24 is executed;
the method for calculating the check-in predicted value comprises the following steps:
s31, acquiring historical sign-in data of the sign-in person u and the sign-in person v jointly participating in the sign-in, calculating the mutual sign-in correlation between the sign-in person u and the sign-in person v, if the mutual sign-in correlation is larger than or equal to a preset first correlation, the sign-in person v is correlated with the sign-in person u, otherwise, the sign-in person v is not correlated with the sign-in person u;
the method for calculating the common sign-in correlation between the sign-in person u and the sign-in person v comprises the following steps:
Figure BDA0001831622790000031
wherein sim (u, v)' is the common check-in correlation between check-in person u and check-in person v;
Ru,kis a collection I of check-in persons u to common check-in itemsu,vA check-in value of check-in item k;
Figure BDA0001831622790000032
is a collection I of check-in persons u to common check-in itemsu,vAverage check-in value of;
Rv,kis a collection I of check-in people v to common check-in itemsu,vA check-in value of check-in item k;
Figure BDA0001831622790000033
is a collection I of check-in people v to common check-in itemsu,vAverage check-in value of;
Iu,vis a collection of commonly checked-in items for checked-in person u and checked-in person v;
alpha is a first regulating coefficient of the check-in person u and the check-in person v, and the value range is (0, 1);
s32, obtaining all historical check-in data of all check-in attendees of the check-in person u and the check-in person v, if the common check-in relevance is larger than or equal to the preset first relevance, judging whether all the check-in relevance is larger than or equal to the preset second relevance, if the common check-in relevance is larger than or equal to the preset second relevance, and the preset second relevance is larger than the preset first relevance, the check-in person u is relevant to the check-in person v, otherwise, the check-in person u is irrelevant to the check-in person v;
the calculation method of all the check-in correlations between the check-in person u and the check-in person v comprises the following steps:
Figure BDA0001831622790000041
wherein sim (u, v) "is all check-in correlations between check-in person u and check-in person v;
Iuis the set of all the entries participating in check-in by the check-in person u;
Ivis the set of all the participating check-in items of the check-in person v;
beta is a second regulating parameter and is a positive number smaller than alpha;
Su,pis a collection I of check-in items for a check-in person uuA check-in value of check-in item p;
Figure BDA0001831622790000042
is a collection I of check-in items for a check-in person uuAverage check-in value of;
Sv,gis a collection I of check-in items for a check-in person vvThe check-in value of the check-in item g;
Figure BDA0001831622790000043
is a collection I of check-in items for a check-in person vvAverage check-in value of;
s33, obtaining historical check-in data of the check-in person u and the check-in person v which individually participate in the check-in, if the common check-in correlation is larger than or equal to the preset first correlation, or/and all the check-in correlations are larger than or equal to the preset second correlation,
judging whether the individual check-in mutual exclusivity is larger than or equal to the preset mutual exclusivity, if the individual check-in mutual exclusivity is larger than or equal to the preset mutual exclusivity, the check-in person u is irrelevant to the check-in person v, otherwise, the check-in person u is relevant to the check-in person v;
the method for calculating the single check-in mutual exclusivity between the check-in person u and the check-in person v comprises the following steps:
Figure BDA0001831622790000044
wherein sim (u, v)' is the check-in mutual exclusion between check-in person u and check-in person v;
Huthe check-in person u participates in the check-in item independently, and the check-in person v does not participate in the set;
Hvthe check-in person v participates in the check-in item independently, and the check-in person u does not participate in the collection;
χ is a third adjusting parameter, and the numeric area is (0, 1);
Ju,bis a collection H of check-in items for a check-in person uuThe check-in value of check-in item b;
Figure BDA0001831622790000051
is a collection H of check-in items for a check-in person uuAverage check-in value of;
Zv,dis a collection H of check-in items for a check-in person vvThe check-in value of check-in item d;
Figure BDA0001831622790000052
is a collection H of check-in items for a check-in person vvAverage check-in value of;
s34, calculating
Figure BDA0001831622790000053
Wherein,
Figure BDA0001831622790000054
and
Figure BDA0001831622790000055
respectively sequentially presetting a first correlation, a second correlation and mutual exclusivity;
Puthe predicted value of the check-in person u participating in the conference is shown;
Figure BDA0001831622790000056
is a collection I of check-in items for a check-in person uuAverage check-in value of;
Figure BDA0001831622790000057
is a collection I of check-in persons u to common check-in itemsu,vAverage check-in value of;
Figure BDA0001831622790000058
is a collection H of check-in items for a check-in person uuAverage check-in value of;
sim (u, v)' is the common check-in correlation between check-in person u and check-in person v;
sim (u, v) "is all check-in correlations between check-in person u and check-in person v;
sim (u, v)' is the mutual exclusion of the check-in between check-in person u and check-in person v.
In a preferred embodiment of the present invention, the step S24 of sending the conference canceling information to the checked-in person ID and the checked-out person ID includes sending the mobile phone short message, the micro message information and the QQ information to one or any combination of the mobile phone number, the micro signal and the QQ number bound to the checked-in person ID and the checked-out person ID. Different forms are adopted to inform pre-attended conference personnel of the conference state change.
In a preferred embodiment of the invention, if the non-checked-in person ID is not at the second predetermined time t2Before the system is signed in, the second preset time t2Later than a first preset time t1,niWhen equal to 0, step S231 is executed;
s231, searching other account numbers bound by the ID of the non-sign-in person, sending reminding information to the ID of the non-sign-in person and other account numbers, and recording the time t when the reminding information is sent to other account numbers4Judging whether the ID of the person without signing in is at a third preset time t3And (4) carrying out check-in before:
if the people ID is not signed in at the third preset time t3Check-in is carried out before, and the third preset time t3Later than a second preset time t3,niStep S24 is executed as 1;
if the people ID is not at the third preset time t3Check-in is carried out before, and step S232 is executed;
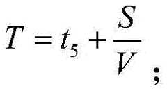
s232, acquiring the current position of the ID of the person who does not sign in and the position of the pre-attended meeting, and calculating the distance between the position of the ID of the person who does not sign in and the position of the pre-attended meeting as S1And the velocity of the people ID not checked in is V1Calculating the time T when the position of the ID of the people who do not sign in reaches the pre-attended conference position1Wherein
Figure BDA0001831622790000061
the T is1For the moment when the ID of the person who does not sign in reaches the pre-attended meeting position, S1Is the distance, V, between the location of the non-checked-in person ID and the pre-attended meeting location1Speed of the person ID not checked in, t4The time of sending reminding information to other account numbers;
moment T for judging whether the position of the ID of the person who does not sign in reaches the pre-attended conference position1Whether it is earlier than or equal to the preset meeting time:
if the position of the ID of the person who does not check in reaches the time T of the pre-participation meeting position1Earlier than or equal to the preset meeting time, recording that the person who has not checked in has checked in, ni1 is ═ 1; step S24 is executed;
if the position of the ID of the person who does not check in reaches the time T of the pre-participation meeting position1Later than the preset meeting time, the non-checked-in person is recorded; n isiWhen it is 0, step S24 is executed. People who can attend the conference on time are automatically checked in.
In a preferred embodiment of the present invention, step S24 is,
s24, judging whether the total number n of all checked-in persons is larger than or equal to a preset number of participants, wherein the preset number of participants is smaller than or equal to the number of participants participating in the conference;
if the total number n of all checked-in persons is larger than or equal to the preset number of participants, holding the conference as scheduled;
if the total number n of all checked-in persons is less than the preset number of participants, executing the step S25;
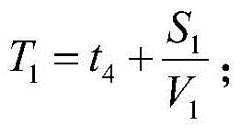
s25, obtaining the current position of the ID of the person without check-in and the position of the pre-attended meeting, calculating the distance between the position of the ID of the person without check-in and the position of the pre-attended meeting as S, the speed of the ID of the person without check-in as V, calculating the time T when the position of the ID of the person without check-in reaches the position of the pre-attended meeting, wherein,
Figure BDA0001831622790000071
t is the time when the position of the non-checked-in person ID reaches the pre-participation meeting position, S is the distance between the position of the non-checked-in person ID and the pre-participation meeting position, V is the speed of the non-checked-in person ID, T is the speed of the non-checked-in person ID5Presetting a meeting time;
judging whether the time T when the position of the ID of the person who does not sign in reaches the pre-attended conference position is earlier than or equal to a preset conference delay time which is later than the preset conference time;
if the time T when the position of the ID of the person who does not sign in reaches the pre-attended conference position is earlier than or equal to the preset conference delay time, recording the sign-in of the person who does not sign in, ni1 is ═ 1; step S26 is executed;
if the time T when the position of the ID of the person who does not sign in reaches the pre-attended conference position is later than the preset conference delay time, recording the person who does not sign in, ni0; step S26 is executed;
s26, judging whether the total number n of checked-in persons is larger than or equal to the preset number of participants;
if the total number n of all checked-in persons is larger than or equal to the preset number of participants, holding the conference according to the preset conference delay moment;
and if the total number n of all checked-in persons is less than the preset number of participants, sending information for canceling the holding of the conference to the ID of the checked-in person and the ID of the checked-in person. And signing in the personnel who can arrive at the meeting place at the preset meeting delay time, and holding the meeting according to the preset meeting delay time.
In a preferred embodiment of the present invention, step S1 includes the steps of:
presetting a unique authentication account and an authentication password corresponding to the authentication account at a server end, and judging whether the authentication account, the authentication password and the verification code input by a client end are consistent with the authentication account and the authentication password on the server end and the verification code sent by the server;
if the authentication account, the authentication password and the verification code input by the client are consistent with the authentication account, the authentication password and the verification code sent by the server, the login is successful;
if the authentication account input by the client is inconsistent with all authentication accounts preset by the server, prompting that the input authentication account does not exist, and re-inputting the authentication account, the authentication password and the verification code;
if the authentication password input by the client is inconsistent with the authentication password corresponding to the authentication account preset on the server, prompting that the input authentication password is wrong, and re-inputting the authentication account, the authentication password and the verification code;
if the verification code input by the client side is inconsistent with the verification code sent by the server side, prompting that the input verification code is wrong, resending a new verification code by the server side, and reentering the authentication account number, the authentication password and the verification code.
In a preferred embodiment of the present invention, the verification code is one or any combination of a number, an upper case letter or a lower case letter.
In summary, due to the adoption of the technical scheme, the invention has the beneficial effects that: the invention can save time for workers in the sign-in link, prevent paper sign-in information errors and the like, reduce paper waste, determine whether people who do not sign in or not by calculating the predicted value and create an environment-friendly environment.
Drawings
FIG. 1 is a schematic flow diagram of the present invention.
Detailed Description
Reference will now be made in detail to embodiments of the present invention, examples of which are illustrated in the accompanying drawings, wherein like or similar reference numerals refer to the same or similar elements or elements having the same or similar function throughout. The embodiments described below with reference to the accompanying drawings are illustrative only for the purpose of explaining the present invention, and are not to be construed as limiting the present invention.
The invention discloses a working method for judging the check-in of a paperless conference under a mass data environment, which comprises the following steps:
s1, acquiring the identity information input by the check-in person, and verifying the identity of the check-in person; after the login is successful, executing step S2;
and S2, receiving the check-in information sent by the check-in person, counting the check-in result and displaying a check-in result page.
In a preferred embodiment of the present invention, step S2 includes the steps of:
s21, sign in ni0; the i is a check-in person ID; wherein n isi0 indicates that the person who checked in has an ID i does not check in, and ni1 represents that the person with the person ID i has checked in;
s22, judging whether the person having the person ID i is at the first preset time t1And (4) carrying out check-in before:
if the ID of the person who signs in is i, the person who signs in at the first preset time t1If the person is checked in before the check-in, the checked-in person is recordedSign in, ni1 is ═ 1; step S24 is executed;
if the person who signs in with the person ID i is not at the first preset time t1Check-in is performed before, and step S23 is executed;
s23, searching the ID of the person without signing in, sending reminding information to the ID of the person without signing in, and judging whether the ID of the person without signing in is at the second preset time t2And (4) carrying out check-in before:
if the ID of the person without attendance is not at the second preset time t2Before the system is signed in, the second preset time t2Later than a first preset time t1,niWhen it is 0, step S24 is executed;
if the ID of the person without attendance is in the second preset time t2If the person is checked in before the check-in, the checked-in person is recorded, ni1 is ═ 1; step S24 is executed;
s24, judging whether the total number n of all checked-in persons is larger than or equal to a preset number of participants, wherein the preset number of participants is smaller than or equal to the number of participants participating in the conference;
if the total number n of all checked-in persons is larger than or equal to the preset number of participants, holding the conference as scheduled;
and if the total number n of all checked-in persons is less than the preset number of participants, sending information for canceling the holding of the conference to the ID of the checked-in person and the ID of the checked-in person.
In a preferred embodiment of the present invention, in step S22, if the check-in person having the check-in person ID i is not at the first preset time t1The check-in is carried out before;
or in step S23, if the non-checked-in person ID is not at the second preset time t2Before the system is signed in, the second preset time t2Later than a first preset time t1
Predicting the check-in value of the ID of the person who does not check in, and if the predicted check-in value is greater than or equal to the preset check-in value, determining that the ID of the person who does not check in is checked in; n isi=1
If the check-in predicted value is smaller than the preset check-in value, the non-check-in ID is a non-check-in; n isi0; step S24 is executed;
the method for calculating the check-in predicted value comprises the following steps:
s31, acquiring historical sign-in data of the sign-in person u and the sign-in person v jointly participating in the sign-in, calculating the mutual sign-in correlation between the sign-in person u and the sign-in person v, if the mutual sign-in correlation is larger than or equal to a preset first correlation, the sign-in person v is correlated with the sign-in person u, otherwise, the sign-in person v is not correlated with the sign-in person u; in the present embodiment, the check-in person includes a check-in person u and a check-in person v, the check-in person u is a non-check-in person, and the check-in person v is a checked-in person.
The method for calculating the common sign-in correlation between the sign-in person u and the sign-in person v comprises the following steps:
Figure BDA0001831622790000111
wherein sim (u, v)' is the common check-in correlation between check-in person u and check-in person v;
Ru,kis a collection I of check-in persons u to common check-in itemsu,vA check-in value of check-in item k;
Figure BDA0001831622790000112
is a collection I of check-in persons u to common check-in itemsu,vAverage check-in value of;
Rv,kis a collection I of check-in people v to common check-in itemsu,vA check-in value of check-in item k;
Figure BDA0001831622790000113
is a collection I of check-in people v to common check-in itemsu,vAverage check-in value of;
Iu,vis a collection of commonly checked-in items for checked-in person u and checked-in person v;
alpha is a first regulating coefficient of the check-in person u and the check-in person v, and the value range is (0, 1);
s32, obtaining all historical check-in data of all check-in attendees of the check-in person u and the check-in person v, if the common check-in relevance is larger than or equal to the preset first relevance, judging whether all the check-in relevance is larger than or equal to the preset second relevance, if the common check-in relevance is larger than or equal to the preset second relevance, and the preset second relevance is larger than the preset first relevance, the check-in person u is relevant to the check-in person v, otherwise, the check-in person u is irrelevant to the check-in person v;
the calculation method of all the check-in correlations between the check-in person u and the check-in person v comprises the following steps:
Figure BDA0001831622790000114
wherein sim (u, v) "is all check-in correlations between check-in person u and check-in person v;
Iuis the set of all the entries participating in check-in by the check-in person u;
Ivis the set of all the participating check-in items of the check-in person v;
beta is a second regulating parameter and is a positive number smaller than alpha;
Su,pis a collection I of check-in items for a check-in person uuA check-in value of check-in item p;
Figure BDA0001831622790000121
is a collection I of check-in items for a check-in person uuAverage check-in value of;
Sv,gis a collection I of check-in items for a check-in person vvThe check-in value of the check-in item g;
Figure BDA0001831622790000122
is a collection I of check-in items for a check-in person vvAverage check-in value of;
s33, obtaining historical check-in data of the check-in person u and the check-in person v which individually participate in the check-in, if the common check-in correlation is larger than or equal to the preset first correlation, or/and all the check-in correlations are larger than or equal to the preset second correlation,
judging whether the individual check-in mutual exclusivity is larger than or equal to the preset mutual exclusivity, if the individual check-in mutual exclusivity is larger than or equal to the preset mutual exclusivity, the check-in person u is irrelevant to the check-in person v, otherwise, the check-in person u is relevant to the check-in person v;
the method for calculating the single check-in mutual exclusivity between the check-in person u and the check-in person v comprises the following steps:
Figure BDA0001831622790000123
wherein sim (u, v)' is the check-in mutual exclusion between check-in person u and check-in person v;
Huthe check-in person u participates in the check-in item independently, and the check-in person v does not participate in the set;
Hvthe check-in person v participates in the check-in item independently, and the check-in person u does not participate in the collection;
χ is a third adjusting parameter, and the numeric area is (0, 1);
Ju,bis a collection H of check-in items for a check-in person uuThe check-in value of check-in item b;
Figure BDA0001831622790000124
is a collection H of check-in items for a check-in person uuAverage check-in value of;
Zv,dis a collection H of check-in items for a check-in person vvThe check-in value of check-in item d;
Figure BDA0001831622790000125
is a collection H of check-in items for a check-in person vvAverage check-in value of;
s34, calculating
Figure BDA0001831622790000131
Wherein,
Figure BDA0001831622790000132
and
Figure BDA0001831622790000133
are respectively sequentially asPresetting a first correlation, a second correlation and a mutual exclusion;
Puthe predicted value of the check-in person u participating in the conference is shown;
Figure BDA0001831622790000134
is a collection I of check-in items for a check-in person uuAverage check-in value of;
Figure BDA0001831622790000135
is a collection I of check-in persons u to common check-in itemsu,vAverage check-in value of;
Figure BDA0001831622790000136
is a collection H of check-in items for a check-in person uuAverage check-in value of;
sim (u, v)' is the common check-in correlation between check-in person u and check-in person v;
sim (u, v) "is all check-in correlations between check-in person u and check-in person v;
sim (u, v)' is the mutual exclusion of the check-in between check-in person u and check-in person v.
In a preferred embodiment of the present invention, the step S24 of sending the conference canceling information to the checked-in person ID and the checked-out person ID includes sending the mobile phone short message, the micro message information and the QQ information to one or any combination of the mobile phone number, the micro signal and the QQ number bound to the checked-in person ID and the checked-out person ID.
In a preferred embodiment of the present invention, in step S23, if the ID of the person who did not check in is not at the second predetermined time t2Before the system is signed in, the second preset time t2Later than a first preset time t1,niWhen equal to 0, step S231 is executed;
s231, searching other account numbers bound by the ID of the non-sign-in person, sending reminding information to the ID of the non-sign-in person and other account numbers, and recording the time t when the reminding information is sent to other account numbers4Judging whether the ID of the person without signing in is at a third preset time t3And (4) carrying out check-in before:
if the people ID is not signed in at the third preset time t3Check-in is carried out before, and the third preset time t3Later than a second preset time t3,niStep S24 is executed as 1;
if the people ID is not at the third preset time t3Check-in is carried out before, and step S232 is executed;
s232, acquiring the current position of the ID of the person who does not sign in and the position of the pre-attended meeting, and calculating the distance between the position of the ID of the person who does not sign in and the position of the pre-attended meeting as S1And the velocity of the people ID not checked in is V1Calculating the time T when the position of the ID of the people who do not sign in reaches the pre-attended conference position1Wherein
Figure BDA0001831622790000141
the T is1For the moment when the ID of the person who does not sign in reaches the pre-attended meeting position, S1Is the distance, V, between the location of the non-checked-in person ID and the pre-attended meeting location1Speed of the person ID not checked in, t4The time of sending reminding information to other account numbers;
moment T for judging whether the position of the ID of the person who does not sign in reaches the pre-attended conference position1Whether it is earlier than or equal to the preset meeting time:
if the position of the ID of the person who does not check in reaches the time T of the pre-participation meeting position1Earlier than or equal to the preset meeting time, recording that the person who has not checked in has checked in, ni1 is ═ 1; step S24 is executed;
if the position of the ID of the person who does not check in reaches the time T of the pre-participation meeting position1Later than the preset meeting time, the non-checked-in person is recorded; n isiWhen it is 0, step S24 is executed.
In a preferred embodiment of the present invention, step S24 is,
s24, judging whether the total number n of all checked-in persons is larger than or equal to a preset number of participants, wherein the preset number of participants is smaller than or equal to the number of participants participating in the conference;
if the total number n of all checked-in persons is larger than or equal to the preset number of participants, holding the conference as scheduled;
if the total number n of all checked-in persons is less than the preset number of participants, executing the step S25;
s25, obtaining the current position of the ID of the person without check-in and the position of the pre-attended meeting, calculating the distance between the position of the ID of the person without check-in and the position of the pre-attended meeting as S, the speed of the ID of the person without check-in as V, calculating the time T when the position of the ID of the person without check-in reaches the position of the pre-attended meeting, wherein,
Figure BDA0001831622790000151
t is the time when the position of the non-checked-in person ID reaches the pre-participation meeting position, S is the distance between the position of the non-checked-in person ID and the pre-participation meeting position, V is the speed of the non-checked-in person ID, T is the speed of the non-checked-in person ID5Presetting a meeting time;
judging whether the time T when the position of the ID of the person who does not sign in reaches the pre-attended conference position is earlier than or equal to a preset conference delay time which is later than the preset conference time;
if the time T when the position of the ID of the person who does not sign in reaches the pre-attended conference position is earlier than or equal to the preset conference delay time, recording the sign-in of the person who does not sign in, ni1 is ═ 1; step S26 is executed;
if the time T when the position of the ID of the person who does not sign in reaches the pre-attended conference position is later than the preset conference delay time, recording the person who does not sign in, ni0; step S26 is executed;
s26, judging whether the total number n of checked-in persons is larger than or equal to the preset number of participants;
if the total number n of all checked-in persons is larger than or equal to the preset number of participants, holding the conference according to the preset conference delay moment;
and if the total number n of all checked-in persons is less than the preset number of participants, sending information for canceling the holding of the conference to the ID of the checked-in person and the ID of the checked-in person.
In a preferred embodiment of the present invention, step S1 includes the steps of:
presetting a unique authentication account and an authentication password corresponding to the authentication account at a server end, and judging whether the authentication account, the authentication password and the verification code input by a client end are consistent with the authentication account and the authentication password on the server end and the verification code sent by the server;
if the authentication account, the authentication password and the verification code input by the client are consistent with the authentication account, the authentication password and the verification code sent by the server, the login is successful;
if the authentication account input by the client is inconsistent with all authentication accounts preset by the server, prompting that the input authentication account does not exist, and re-inputting the authentication account, the authentication password and the verification code;
if the authentication password input by the client is inconsistent with the authentication password corresponding to the authentication account preset on the server, prompting that the input authentication password is wrong, and re-inputting the authentication account, the authentication password and the verification code;
if the verification code input by the client side is inconsistent with the verification code sent by the server side, prompting that the input verification code is wrong, resending a new verification code by the server side, and reentering the authentication account number, the authentication password and the verification code.
In a preferred embodiment of the present invention, the verification code is one or any combination of a number, an upper case letter or a lower case letter.
While embodiments of the invention have been shown and described, it will be understood by those of ordinary skill in the art that: various changes, modifications, substitutions and alterations can be made to the embodiments without departing from the principles and spirit of the invention, the scope of which is defined by the claims and their equivalents.

Claims (6)

1. A working method for judging the check-in of paperless conferences in a mass data environment is characterized by comprising the following steps:
s1, acquiring the identity information input by the check-in person, and verifying the identity of the check-in person; after the login is successful, executing step S2;
s2, receiving the sign-in information sent by the sign-in person, counting the sign-in result and displaying a sign-in result page;
step S2 includes the following steps:
s21, sign in ni0; the i is a check-in person ID; wherein n isi0 indicates that the person who checked in has an ID i does not check in, and ni1 represents that the person with the person ID i has checked in;
s22, judging whether the person having the person ID i is at the first preset time t1And (4) carrying out check-in before:
if the ID of the person who signs in is i, the person who signs in at the first preset time t1If the person is checked in before the check-in, the checked-in person is recorded, ni1 is ═ 1; step S24 is executed;
if the person who signs in with the person ID i is not at the first preset time t1Check-in is performed before, and step S23 is executed;
s23, searching the ID of the person without signing in, sending reminding information to the ID of the person without signing in, and judging whether the ID of the person without signing in is at the second preset time t2And (4) carrying out check-in before:
if the ID of the person without attendance is not at the second preset time t2Before the system is signed in, the second preset time t2Later than a first preset time t1,niWhen it is 0, step S24 is executed;
if the ID of the person without attendance is in the second preset time t2If the person is checked in before the check-in, the checked-in person is recorded, ni1 is ═ 1; step S24 is executed;
in step S22, if the person having the person ID i is not at the first predetermined time t1The check-in is carried out before;
or in step S23, if the non-checked-in person ID is not at the second preset time t2Before the system is signed in, the second preset time t2Later than a first preset time t1
Predicting the check-in value of the ID of the person who does not check in, and if the predicted check-in value is greater than or equal to the preset check-in value, determining that the ID of the person who does not check in is checked in; n isi=1;
If the check-in predicted value is smaller than the preset check-in value, the non-check-in ID is a non-check-in; n isi0; step S24 is executed;
the method for calculating the check-in predicted value comprises the following steps:
s31, acquiring historical sign-in data of the sign-in person u and the sign-in person v jointly participating in the sign-in, calculating the mutual sign-in correlation between the sign-in person u and the sign-in person v, if the mutual sign-in correlation is larger than or equal to a preset first correlation, the sign-in person v is correlated with the sign-in person u, otherwise, the sign-in person v is not correlated with the sign-in person u;
the method for calculating the common sign-in correlation between the sign-in person u and the sign-in person v comprises the following steps:
Figure FDA0002646529400000021
wherein sim (u, v)' is the common check-in correlation between check-in person u and check-in person v;
Ru,kis a collection I of check-in persons u to common check-in itemsu,vA check-in value of check-in item k;
Figure FDA0002646529400000022
is a collection I of check-in persons u to common check-in itemsu,vAverage check-in value of;
Rv,kis a collection I of check-in people v to common check-in itemsu,vA check-in value of check-in item k;
Figure FDA0002646529400000023
is a collection I of check-in people v to common check-in itemsu,vAverage check-in value of;
Iu,vis a collection of commonly checked-in items for checked-in person u and checked-in person v;
alpha is a first regulating coefficient of the check-in person u and the check-in person v, and the value range is (0, 1);
s32, obtaining all historical check-in data of all check-in attendees of the check-in person u and the check-in person v, if the common check-in relevance is larger than or equal to the preset first relevance, judging whether all the check-in relevance is larger than or equal to the preset second relevance, if the common check-in relevance is larger than or equal to the preset second relevance, and the preset second relevance is larger than the preset first relevance, the check-in person u is relevant to the check-in person v, otherwise, the check-in person u is irrelevant to the check-in person v;
the calculation method of all the check-in correlations between the check-in person u and the check-in person v comprises the following steps:
Figure FDA0002646529400000031
wherein sim (u, v) "is all check-in correlations between check-in person u and check-in person v;
Iuis the set of all the entries participating in check-in by the check-in person u;
Ivis the set of all the participating check-in items of the check-in person v;
beta is a second regulating parameter and is a positive number smaller than alpha;
Su,pis a collection I of check-in items for a check-in person uuA check-in value of check-in item p;
Figure FDA0002646529400000032
is a collection I of check-in items for a check-in person uuAverage check-in value of;
Sv,gis a collection I of check-in items for a check-in person vvThe check-in value of the check-in item g;
Figure FDA0002646529400000033
is a collection I of check-in items for a check-in person vvAverage check-in value of;
s33, obtaining historical check-in data of the check-in person u and the check-in person v which individually participate in the check-in, if the common check-in correlation is larger than or equal to the preset first correlation, or/and all the check-in correlations are larger than or equal to the preset second correlation,
judging whether the individual check-in mutual exclusivity is larger than or equal to the preset mutual exclusivity, if the individual check-in mutual exclusivity is larger than or equal to the preset mutual exclusivity, the check-in person u is irrelevant to the check-in person v, otherwise, the check-in person u is relevant to the check-in person v;
the method for calculating the single check-in mutual exclusivity between the check-in person u and the check-in person v comprises the following steps:
Figure FDA0002646529400000034
wherein sim (u, v)' is the check-in mutual exclusion between check-in person u and check-in person v;
Huthe check-in person u participates in the check-in item independently, and the check-in person v does not participate in the set;
Hvthe check-in person v participates in the check-in item independently, and the check-in person u does not participate in the collection;
χ is a third adjusting parameter, and the numeric area is (0, 1);
Ju,bis a collection H of check-in items for a check-in person uuThe check-in value of check-in item b;
Figure FDA0002646529400000041
is a collection H of check-in items for a check-in person uuAverage check-in value of;
Zv,dis a collection H of check-in items for a check-in person vvThe check-in value of check-in item d;
Figure FDA0002646529400000042
is a collection H of check-in items for a check-in person vvAverage check-in value of;
s34, calculating
Figure FDA0002646529400000043
Wherein,
Figure FDA0002646529400000044
and
Figure FDA0002646529400000045
respectively sequentially presetting a first correlation, a second correlation and mutual exclusivity;
Puthe predicted value of the check-in person u participating in the conference is shown;
Figure FDA0002646529400000046
is a collection I of check-in items for a check-in person uuAverage check-in value of;
Figure FDA0002646529400000047
is a collection I of check-in persons u to common check-in itemsu,vAverage check-in value of;
Figure FDA0002646529400000048
is a collection H of check-in items for a check-in person uuAverage check-in value of;
sim (u, v)' is the common check-in correlation between check-in person u and check-in person v;
sim (u, v) "is all check-in correlations between check-in person u and check-in person v;
sim (u, v)' is the check-in mutual exclusion between check-in person u and check-in person v;
s24, judging whether the total number n of all checked-in persons is larger than or equal to a preset number of participants, wherein the preset number of participants is smaller than or equal to the number of participants participating in the conference;
if the total number n of all checked-in persons is larger than or equal to the preset number of participants, holding the conference as scheduled;
and if the total number n of all checked-in persons is less than the preset number of participants, sending information for canceling the holding of the conference to the ID of the checked-in person and the ID of the checked-in person.
2. The working method of paperless conference check-in judgment under mass data environment of claim 1, wherein in step S24, the sending of the holding cancellation conference information to the checked-in person ID and the checked-out person ID comprises sending a mobile phone short message, a micro message and a QQ message to one or any combination of a mobile phone number, a micro signal and a QQ number bound to the checked-in person ID and the checked-out person ID.
3. The working method for determining check-in of paperless conference under mass data environment as claimed in claim 1, wherein in step S23, if the ID of the person without check-in is not at the second predetermined time t2Before the system is signed in, the second preset time t2Later than a first preset time t1,niWhen equal to 0, step S231 is executed;
s231, searching other account numbers bound by the ID of the non-sign-in person, sending reminding information to the ID of the non-sign-in person and other account numbers, and recording the time t when the reminding information is sent to other account numbers4Judging whether the ID of the person without signing in is at a third preset time t3And (4) carrying out check-in before:
if the people ID is not signed in at the third preset time t3Check-in is carried out before, and the third preset time t3Later than a second preset time t3,niStep S24 is executed as 1;
if the people ID is not at the third preset time t3Check-in is carried out before, and step S232 is executed;
s232, acquiring the current position of the ID of the person who does not sign in and the position of the pre-attended meeting, and calculating the distance between the position of the ID of the person who does not sign in and the position of the pre-attended meeting as S1And the velocity of the people ID not checked in is V1Calculating the time T when the position of the ID of the people who do not sign in reaches the pre-attended conference position1Wherein
Figure FDA0002646529400000051
the T is1For the moment when the ID of the person who does not sign in reaches the pre-attended meeting position, S1Is the distance, V, between the location of the non-checked-in person ID and the pre-attended meeting location1Speed of the person ID not checked in, t4The time of sending reminding information to other account numbers;
moment T for judging whether the position of the ID of the person who does not sign in reaches the pre-attended conference position1Whether it is earlier than or equal to the preset meeting time:
if the position of the ID of the person who does not check in reaches the time T of the pre-participation meeting position1Earlier than or equal to the preset meeting time, recording that the person who has not checked in has checked in, ni1 is ═ 1; step S24 is executed;
if the position of the ID of the person who does not check in reaches the time T of the pre-participation meeting position1Later than the preset meeting time, the non-checked-in person is recorded; n isiWhen it is 0, step S24 is executed.
4. The working method for determining check-in of paperless conference under mass data environment as claimed in claim 1, wherein step S24 is,
s24, judging whether the total number n of all checked-in persons is larger than or equal to a preset number of participants, wherein the preset number of participants is smaller than or equal to the number of participants participating in the conference;
if the total number n of all checked-in persons is larger than or equal to the preset number of participants, holding the conference as scheduled;
if the total number n of all checked-in persons is less than the preset number of participants, executing the step S25;
s25, obtaining the current position of the ID of the person without check-in and the position of the pre-attended meeting, calculating the distance between the position of the ID of the person without check-in and the position of the pre-attended meeting as S, the speed of the ID of the person without check-in as V, calculating the time T when the position of the ID of the person without check-in reaches the position of the pre-attended meeting, wherein,
Figure FDA0002646529400000061
t is the time when the position of the non-checked-in person ID reaches the pre-participation meeting position, S is the distance between the position of the non-checked-in person ID and the pre-participation meeting position, V is the speed of the non-checked-in person ID, T is the speed of the non-checked-in person ID5Presetting a meeting time;
judging whether the time T when the position of the ID of the person who does not sign in reaches the pre-attended conference position is earlier than or equal to a preset conference delay time which is later than the preset conference time;
if the time T when the position of the ID of the person who does not check in reaches the pre-attended conference position is earlier than or equal to the preset conference delayAt that moment, the person who has not checked in is recorded, ni1 is ═ 1; step S26 is executed;
if the time T when the position of the ID of the person who does not sign in reaches the pre-attended conference position is later than the preset conference delay time, recording the person who does not sign in, ni0; step S26 is executed;
s26, judging whether the total number n of checked-in persons is larger than or equal to the preset number of participants;
if the total number n of all checked-in persons is larger than or equal to the preset number of participants, holding the conference according to the preset conference delay moment;
and if the total number n of all checked-in persons is less than the preset number of participants, sending information for canceling the holding of the conference to the ID of the checked-in person and the ID of the checked-in person.
5. The working method for determining check-in of paperless conference under mass data environment as claimed in claim 1, wherein step S1 comprises the following steps:
presetting a unique authentication account and an authentication password corresponding to the authentication account at a server end, and judging whether the authentication account, the authentication password and the verification code input by a client end are consistent with the authentication account and the authentication password on the server end and the verification code sent by the server;
if the authentication account, the authentication password and the verification code input by the client are consistent with the authentication account, the authentication password and the verification code sent by the server, the login is successful;
if the authentication account input by the client is inconsistent with all authentication accounts preset by the server, prompting that the input authentication account does not exist, and re-inputting the authentication account, the authentication password and the verification code;
if the authentication password input by the client is inconsistent with the authentication password corresponding to the authentication account preset on the server, prompting that the input authentication password is wrong, and re-inputting the authentication account, the authentication password and the verification code;
if the verification code input by the client side is inconsistent with the verification code sent by the server side, prompting that the input verification code is wrong, resending a new verification code by the server side, and reentering the authentication account number, the authentication password and the verification code.
6. The working method for paperless conference check-in judgment under the mass data environment as claimed in claim 5, wherein the verification code is one or any combination of numbers, capital letters or lowercase letters.
CN201811207716.3A2018-10-172018-10-17Working method for judging check-in of paperless conference under mass data environmentActiveCN109272594B (en)

Priority Applications (1)

Application NumberPriority DateFiling DateTitle
CN201811207716.3ACN109272594B (en)2018-10-172018-10-17Working method for judging check-in of paperless conference under mass data environment

Applications Claiming Priority (1)

Application NumberPriority DateFiling DateTitle
CN201811207716.3ACN109272594B (en)2018-10-172018-10-17Working method for judging check-in of paperless conference under mass data environment

Publications (2)

Publication NumberPublication Date
CN109272594A CN109272594A (en)2019-01-25
CN109272594Btrue CN109272594B (en)2020-10-13

Family

ID=65197467

Family Applications (1)

Application NumberTitlePriority DateFiling Date
CN201811207716.3AActiveCN109272594B (en)2018-10-172018-10-17Working method for judging check-in of paperless conference under mass data environment

Country Status (1)

CountryLink
CN (1)CN109272594B (en)

Families Citing this family (1)

* Cited by examiner, † Cited by third party
Publication numberPriority datePublication dateAssigneeTitle
CN111815297A (en)*2020-07-232020-10-23詹晨 An intelligent conference management system based on big data

Citations (5)

* Cited by examiner, † Cited by third party
Publication numberPriority datePublication dateAssigneeTitle
CN102498739A (en)*2009-08-142012-06-13谷歌公司 Provide feedback to users about power consumption in battery-operated electronic devices
CN102833200A (en)*2012-06-272012-12-19中兴通讯股份有限公司DPD (Digital Pre Distortion) self-adapting method and device based on symmetric multiprocessors
CN104541273A (en)*2012-08-202015-04-22微软公司Social relevance to infer information about points of interest
CN105278919A (en)*2014-10-202016-01-27威盛电子股份有限公司Hardware data prefetcher and method for executing hardware data
CN106462913A (en)*2014-02-282017-02-22戴尔斯生活有限责任公司Systems, methods and articles for enhancing wellness associated with habitable environments

Family Cites Families (7)

* Cited by examiner, † Cited by third party
Publication numberPriority datePublication dateAssigneeTitle
US9997068B2 (en)*2008-01-282018-06-12Intelligent Technologies International, Inc.Method for conveying driving conditions for vehicular control
US8949250B1 (en)*2013-12-192015-02-03Facebook, Inc.Generating recommended search queries on online social networks
CN106537356B (en)*2014-07-172020-03-103M创新有限公司System and method for signal injection in a utility grid
CN105049548B (en)*2015-07-312017-06-13腾讯科技(深圳)有限公司A kind of registration handling method, device and server
CN106470235A (en)*2015-08-202017-03-01西安云景智维科技有限公司A kind of data processing method, server and system for registering
CN106572078A (en)*2016-10-112017-04-19广东建邦计算机软件股份有限公司 Method and device for generating sign-in information
CN108628896B (en)*2017-03-222023-04-07腾讯科技(深圳)有限公司Sign-in behavior heat processing method and device

Patent Citations (5)

* Cited by examiner, † Cited by third party
Publication numberPriority datePublication dateAssigneeTitle
CN102498739A (en)*2009-08-142012-06-13谷歌公司 Provide feedback to users about power consumption in battery-operated electronic devices
CN102833200A (en)*2012-06-272012-12-19中兴通讯股份有限公司DPD (Digital Pre Distortion) self-adapting method and device based on symmetric multiprocessors
CN104541273A (en)*2012-08-202015-04-22微软公司Social relevance to infer information about points of interest
CN106462913A (en)*2014-02-282017-02-22戴尔斯生活有限责任公司Systems, methods and articles for enhancing wellness associated with habitable environments
CN105278919A (en)*2014-10-202016-01-27威盛电子股份有限公司Hardware data prefetcher and method for executing hardware data

Also Published As

Publication numberPublication date
CN109272594A (en)2019-01-25

Similar Documents

PublicationPublication DateTitle
US20220303235A1 (en)Messenger-linked service system and method using a social graph of a messenger platform
EP2890088B1 (en)Method for displaying schedule reminding information, terminal device and cloud server
US10572882B2 (en)Systems and methods for tracking and responding to mobile events in a relationship management system
CN104143219B (en)Work attendance method and system based on Wi-Fi fingerprint
JP5925373B1 (en) Communication support system
CN105608754A (en)Video conference signing method, video conference signing apparatus and video conference signing system
US11558210B2 (en)Systems and methods for initiating actions based on multi-user call detection
CN102819875A (en)Attendance system and attendance method based on face recognition and GPS (global positioning system)
CN105488685A (en)Intelligent building sales reception system and implementation method thereof
CN106415625A (en)Dynamic invites with automatically adjusting displays
CN106652607A (en)EoT teaching system
CN105553683A (en)Conference sign-in method and system
CN106209397A (en)Conference system based on high in the clouds and its implementation
US20150142895A1 (en)Real Life Presence and Dynamic Meeting Scheduling
EP3584762A1 (en)Sequence management system, sequence management device, and program
CN103106723A (en)Paperless intelligent queue system
US20160065539A1 (en)Method of sending information about a user
US20150095077A1 (en)Method and apparatus for hiring workers
CN107909665A (en) A student sign-in system and student sign-in method
CN107886779A (en)A kind of intelligent tutoring system
CN109272594B (en)Working method for judging check-in of paperless conference under mass data environment
CN110766818A (en) Sign-in interaction system and sign-in interaction method
CN110443392A (en)A kind of libraries of the universities' seat Management System and method
US20230368639A1 (en)Server device, visitor notification system, visitor notification method, and storage medium
CN108460854A (en)The attendance punch card method and system of mobile terminal based on wireless network

Legal Events

DateCodeTitleDescription
PB01Publication
PB01Publication
SE01Entry into force of request for substantive examination
SE01Entry into force of request for substantive examination
GR01Patent grant
GR01Patent grant
CP01Change in the name or title of a patent holder

Address after:400010 No.19 datavalley East Road, Xiantao street, Yubei District, Chongqing

Patentee after:Chongqing Yangsheng Technology Group Co.,Ltd.

Address before:400010 No.19 datavalley East Road, Xiantao street, Yubei District, Chongqing

Patentee before:CHONGQING YANGSHENG INFORMATION TECHNOLOGY Co.,Ltd.

CP01Change in the name or title of a patent holder

[8]ページ先頭

©2009-2025 Movatter.jp