Movatterモバイル変換


[0]ホーム

URL:


CN109213936B - Commodity searching method and device - Google Patents

Commodity searching method and device
Download PDF

Info

Publication number
CN109213936B
CN109213936BCN201811403386.5ACN201811403386ACN109213936BCN 109213936 BCN109213936 BCN 109213936BCN 201811403386 ACN201811403386 ACN 201811403386ACN 109213936 BCN109213936 BCN 109213936B
Authority
CN
China
Prior art keywords
preference
type
user
offer
preference score
Prior art date
Legal status (The legal status is an assumption and is not a legal conclusion. Google has not performed a legal analysis and makes no representation as to the accuracy of the status listed.)
Active
Application number
CN201811403386.5A
Other languages
Chinese (zh)
Other versions
CN109213936A (en
Inventor
许力斌
姜瑞欣
毛丹琪
雷健雄
Current Assignee (The listed assignees may be inaccurate. Google has not performed a legal analysis and makes no representation or warranty as to the accuracy of the list.)
JD Digital Technology Holdings Co Ltd
Jingdong Technology Holding Co Ltd
Original Assignee
JD Digital Technology Holdings Co Ltd
Priority date (The priority date is an assumption and is not a legal conclusion. Google has not performed a legal analysis and makes no representation as to the accuracy of the date listed.)
Filing date
Publication date
Application filed by JD Digital Technology Holdings Co LtdfiledCriticalJD Digital Technology Holdings Co Ltd
Priority to CN201811403386.5ApriorityCriticalpatent/CN109213936B/en
Publication of CN109213936ApublicationCriticalpatent/CN109213936A/en
Application grantedgrantedCritical
Publication of CN109213936BpublicationCriticalpatent/CN109213936B/en
Activelegal-statusCriticalCurrent
Anticipated expirationlegal-statusCritical

Links

Images

Classifications

Landscapes

Abstract

The present disclosure provides a commodity search method, including: receiving a search request of a user for commodities; acquiring a search result corresponding to the search request, wherein the search result comprises relevant information of the commodity; determining an optimal offer type based on the attribute data of the user and the attribute data of the commodity; outputting the search result in association with offer information conforming to the optimal offer type. The present disclosure also provides a commodity searching apparatus, a computer device, and a computer-readable storage medium.

Description

Commodity searching method and device
Technical Field
The present disclosure relates to the field of internet technologies, and in particular, to a method and an apparatus for searching for a commodity.
Background
With the rapid development of internet technology, electronic commerce has rapidly emerged, and various e-commerce platforms provide various online commodity transaction channels, which greatly facilitates the work and life of people. When the commodity information is displayed, the preference information of the commodity is often carried, so that the user can be promoted to purchase the commodity by using the preference information.
However, in the prior art, the releasing manner of the offer information of the goods is very rough, for example, the offer information of all goods belongs to the same offer type within a period of time, or the offer information of a certain kind of goods belongs to the same type, and different preference may be generated by different users in the specific situation facing different goods is not considered.
Disclosure of Invention
In view of the above, the present disclosure provides a method and an apparatus for searching for a commodity, which consider preference of a user more accurately and in multiple dimensions.
One aspect of the present disclosure provides a commodity search method, including: receiving a search request of a user for commodities; acquiring a search result corresponding to the search request, wherein the search result comprises relevant information of the commodity; determining an optimal offer type based on the attribute data of the user and the attribute data of the commodity; and outputting the search result in association with offer information conforming to the optimal offer type.
According to an embodiment of the present disclosure, the determining an optimal offer type based on the attribute data of the user and the attribute data of the product includes: for any offer type, obtaining a first preference score of the user about the offer type based on the attribute data of the user, and obtaining a second preference score of the commodity about the offer type based on the attribute data of the commodity; and obtaining a comprehensive preference score of the user and the commodity about the offer type based on the first preference score and the second preference score, namely obtaining the comprehensive preference score of the offer type. And comparing the comprehensive preference scores of the various preference types, and taking the preference type with the highest comprehensive preference score as the optimal preference type.
According to an embodiment of the present disclosure, the obtaining a first preference score of the user about the offer type based on the attribute data of the user includes: acquiring first historical order data corresponding to the user, wherein the number of orders containing the preferential information meeting the preferential types in the first historical order data is a first number, and the number of orders containing the preferential information meeting any preferential types in the first historical order data is a second number; acquiring second historical order data corresponding to all users, wherein the number of orders containing the preference information meeting the preference type in the second historical order data is a third number, and the number of orders containing the preference information meeting any preference type in the second historical order data is a fourth number; taking the ratio of the first quantity to the second quantity relative to the ratio of the third quantity to the fourth quantity as a first preference score of the user for the offer type.
According to an embodiment of the present disclosure, the obtaining a second preference score of the product with respect to the offer type based on the attribute data of the product includes: determining a price partition corresponding to the commodity based on the price of the commodity; acquiring third history order data corresponding to the commodities in the price partition, wherein the number of orders containing the discount information conforming to the discount type in the third history order data is a fifth number, and the number of orders containing the discount information conforming to any discount type in the third history order data is a sixth number; acquiring fourth historical order data corresponding to all commodities, wherein the number of orders containing the preferential information meeting the preferential types in the fourth historical order data is a seventh number, and the number of orders containing the preferential information meeting any preferential types in the fourth historical order data is an eighth number; and taking the ratio of the fifth quantity to the sixth quantity relative to the ratio of the seventh quantity to the eighth quantity as a second preference score of the commodity relative to the offer type.
According to an embodiment of the present disclosure, the obtaining a combined preference score of the user and the commodity about the offer type based on the first preference score of the user about the offer type and the second preference score of the commodity about the offer type includes: acquiring a first weight corresponding to the first preference score and acquiring a second weight corresponding to the second preference score; and carrying out weighted summation on the first preference score and the second preference score based on the first weight and the second weight to obtain a comprehensive preference score of the user and the commodity about the discount type.
According to an embodiment of the present disclosure, the obtaining a first weight corresponding to the first preference score and obtaining a second weight corresponding to the second preference score includes: determining a passenger group category corresponding to the user according to the attribute data of the user, wherein different passenger group categories represent different purchasing power levels; determining a price partition corresponding to the commodity according to the price of the commodity; constructing an offer preference model, wherein the input of the offer preference model comprises a first preference score of the customer group category relative to each offer type and a second preference score of the price partition relative to each offer type, the output of the offer preference model is the highest comprehensive preference score corresponding to the customer group category and the price partition, and the parameters of the offer preference model comprise a first weight parameter and a second weight parameter; acquiring the highest actual preference score corresponding to the passenger group category and the price partition; and optimizing parameters of the preference model by taking the highest actual preference score as a target, taking the value of the optimal first weight parameter as the first weight, and taking the value of the optimal second weight parameter as the second weight.
According to an embodiment of the present disclosure, the determining the class of the guest group corresponding to the user according to the attribute data of the user includes: and determining the class of the customer group corresponding to the user based on the average income data, the average order price and/or the average consumption amount of the user in a preset time period.
According to an embodiment of the present disclosure, the constructing of the preference model includes: acquiring attribute data of a plurality of sample users corresponding to the passenger group category, and acquiring attribute data of a plurality of sample commodities corresponding to the price partition; based on the attribute data of the plurality of sample users and the attribute data of the plurality of sample commodities; for any offer type, obtaining first preference scores of the sample users about the offer type based on attribute data of the sample users, and taking the sum of the first preference scores of the sample users about the offer type as the first preference score of the customer base class about the offer type; obtaining second preference scores of the price partitions corresponding to the sample commodities about the offer type based on attribute data of the sample commodities; and carrying out weighted summation on the first preference score of the customer group category relative to the offer type and the second preference score of the price partition relative to the offer type based on the first weight parameter and the second weight parameter to obtain the comprehensive preference score of the customer group category and the price partition relative to the offer type.
According to an embodiment of the present disclosure, the obtaining of the highest actual preference score corresponding to the guest group category and the price partition includes: for any benefit type, acquiring fifth historical order data corresponding to any sample user and the price partition, wherein the number of orders containing benefit information conforming to the benefit type in the fifth historical order data is a ninth number, and the number of orders containing benefit information conforming to any benefit type in the fifth historical order data is a tenth number; taking the ratio of the ninth quantity to the tenth quantity as the actual preference scores of the sample users and the price partitions about the offer type, and taking the sum of the actual preference scores of the sample users and the price partitions about the offer type as the actual preference scores of the customer group category and the price partitions about the offer type; and comparing the actual preference scores of the customer group category and the price partition about each discount type to obtain the highest actual preference score corresponding to the customer group category and the price partition.
According to an embodiment of the present disclosure, the obtaining a first weight corresponding to the first preference score and obtaining a second weight corresponding to the second preference score further include: and when the class of the passenger group corresponding to the user cannot be determined, taking a first preset value as the first weight and taking a second preset value as the second weight.
Another aspect of the present disclosure provides a commodity searching apparatus, including a receiving module, an obtaining module, a decision module, and an output module. The receiving module is used for receiving a search request of a user for the commodity. The acquisition module is used for acquiring a search result corresponding to the search request, and the search result comprises the related information of the commodity. And the decision module is used for determining the optimal preference type based on the attribute data of the user and the attribute data of the commodity. And the output module is used for outputting the search result in association with the coupon information conforming to the optimal coupon type.
According to an embodiment of the present disclosure, the determining, by the decision module, an optimal offer type based on the attribute data of the user and the attribute data of the commodity includes: the decision module is used for obtaining a first preference score of the user about any offer type based on the attribute data of the user; obtaining a second preference score of the commodity about the offer type based on the attribute data of the commodity; obtaining a combined preference score of the user and the commodity about the offer type based on the first preference score and the second preference score; and taking the preferential type with the highest comprehensive preference score as the optimal preferential type.
According to an embodiment of the present disclosure, the obtaining, by a decision module, a first preference score of the user with respect to the offer type based on the attribute data of the user includes: the decision module is used for acquiring first historical order data corresponding to the user, the number of orders containing the preference information conforming to the preference type in the first historical order data is a first number, and the number of orders containing the preference information conforming to any preference type in the first historical order data is a second number; acquiring second historical order data corresponding to all users, wherein the number of orders containing the preference information meeting the preference type in the second historical order data is a third number, and the number of orders containing the preference information meeting any preference type in the second historical order data is a fourth number; taking the ratio of the first number to the second number relative to the ratio of the third number to the fourth number as the first preference score.
According to an embodiment of the present disclosure, the obtaining, by the decision module, a second preference score of the good with respect to the offer type based on the attribute data of the good includes: the decision module is used for determining a price partition corresponding to the commodity based on the price of the commodity; acquiring third history order data corresponding to the commodities in the price partition, wherein the number of orders containing the discount information conforming to the discount type in the third history order data is a fifth number, and the number of orders containing the discount information conforming to any discount type in the third history order data is a sixth number; acquiring fourth historical order data corresponding to all commodities, wherein the number of orders containing the preference information meeting the preference type in the fourth historical order data is a seventh number, and the number of orders containing the preference information meeting any preference type in the fourth historical order data is an eighth number; taking the ratio of the fifth quantity to the sixth quantity to the ratio of the seventh quantity to the eighth quantity as the second preference score.
According to an embodiment of the present disclosure, the obtaining, by the decision module, a composite preference score of the user and the commodity with respect to the offer type based on the first preference score and the second preference score includes: the decision module is used for acquiring a first weight corresponding to the first preference score and acquiring a second weight corresponding to the second preference score; and carrying out weighted summation on the first preference score and the second preference score based on the first weight and the second weight to obtain the comprehensive preference score.
According to an embodiment of the present disclosure, the obtaining, by the decision module, a first weight corresponding to the first preference score, and the obtaining a second weight corresponding to the second preference score includes: the decision module is used for determining the passenger group category corresponding to the user according to the attribute data of the user, and different passenger group categories represent different purchasing power levels; determining a price partition corresponding to the commodity according to the price of the commodity; constructing an offer preference model, wherein the input of the offer preference model comprises a first preference score of the customer group category relative to each offer type and a second preference score of the price partition relative to each offer type, the output of the offer preference model is the highest comprehensive preference score corresponding to the customer group category and the price partition, and the parameters of the offer preference model comprise a first weight parameter and a second weight parameter; acquiring the highest actual preference score corresponding to the passenger group category and the price partition; and optimizing parameters of the preference model by taking the highest actual preference score as a target, taking the value of the optimal first weight parameter as the first weight, and taking the value of the optimal second weight parameter as the second weight.
According to an embodiment of the present disclosure, the determining, by the decision module, the guest group category corresponding to the user according to the attribute data of the user includes: the decision-making module is used for determining the class of the passenger group corresponding to the user based on the average income data, the average order price and/or the average consumption amount of the user in a preset time period.
According to the embodiment of the disclosure, the decision module for constructing the preference model comprises: the decision module is used for acquiring attribute data of a plurality of sample users corresponding to the passenger group category and acquiring attribute data of a plurality of sample commodities corresponding to the price partition; based on the attribute data of the plurality of sample users and the attribute data of the plurality of sample commodities; for any offer type, obtaining first preference scores of the sample users about the offer type based on attribute data of the sample users, and taking the sum of the first preference scores of the sample users about the offer type as the first preference score of the customer base class about the offer type; obtaining second preference scores of the price partitions corresponding to the sample commodities about the offer type based on attribute data of the sample commodities; and carrying out weighted summation on the first preference score of the customer group category relative to the offer type and the second preference score of the price partition relative to the offer type based on the first weight parameter and the second weight parameter to obtain the comprehensive preference score of the customer group category and the price partition relative to the offer type.
According to an embodiment of the present disclosure, the obtaining, by the decision module, the highest actual preference score corresponding to the guest group category and the price partition includes: the decision module is used for acquiring fifth historical order data corresponding to any sample user and the price partition for any benefit type, wherein the number of orders containing benefit information conforming to the benefit type in the fifth historical order data is a ninth number, and the number of orders containing benefit information conforming to any benefit type in the fifth historical order data is a tenth number; taking the ratio of the fifth quantity to the sixth quantity as the actual preference scores of the sample users and the price partitions about the offer type, and taking the sum of the actual preference scores of the sample users and the price partitions about the offer type as the actual preference scores of the customer group category and the price partitions about the offer type; and comparing the actual preference scores of the customer group category and the price partition about each discount type to obtain the highest actual preference score corresponding to the customer group category and the price partition.
According to an embodiment of the present disclosure, the obtaining, by the decision module, a first weight corresponding to the first preference score, and obtaining a second weight corresponding to the second preference score further includes: the decision module is further configured to, when the class of the guest group corresponding to the user cannot be determined, use a first preset value as the first weight and use a second preset value as the second weight.
Another aspect of the present disclosure provides a computer-readable storage medium storing computer-executable instructions for implementing the method as described above when executed.
Another aspect of the disclosure provides a computer program comprising computer executable instructions for implementing the method as described above when executed.
According to the embodiment of the disclosure, the rough putting of the commodity preference information in the prior art can be at least partially solved, alleviated, inhibited and even avoided, when the search result of the commodity needs to be output to the user, the specific situation of the user facing the commodity is fully considered, the demand of the user for the preference information is put in the specific situation for accurate positioning, the purchase of the commodity by the user can be greatly promoted, and the conversion rate of the user is improved.
Drawings
The above and other objects, features and advantages of the present disclosure will become more apparent from the following description of embodiments of the present disclosure with reference to the accompanying drawings, in which:
FIG. 1 schematically illustrates an exemplary system architecture to which the merchandise search method and apparatus may be applied, according to an embodiment of the present disclosure;
FIG. 2 schematically illustrates a flow chart of an item search method according to an embodiment of the present disclosure;
FIG. 3A schematically illustrates a data flow diagram of an item search process according to an embodiment of the present disclosure;
FIG. 3B schematically illustrates a schematic diagram of an IPM model according to an embodiment of the disclosure;
FIG. 3C schematically shows a schematic diagram of search results for an item according to an embodiment of the present disclosure;
FIG. 3D schematically illustrates a flow chart of an item search method according to another embodiment of the present disclosure;
FIG. 4 schematically illustrates a block diagram of an item search device according to an embodiment of the present disclosure; and
FIG. 5 schematically shows a block diagram of a computer device according to an embodiment of the disclosure.
Detailed Description
Hereinafter, embodiments of the present disclosure will be described with reference to the accompanying drawings. It should be understood that the description is illustrative only and is not intended to limit the scope of the present disclosure. In the following detailed description, for purposes of explanation, numerous specific details are set forth in order to provide a thorough understanding of the embodiments of the disclosure. It may be evident, however, that one or more embodiments may be practiced without these specific details. Moreover, in the following description, descriptions of well-known structures and techniques are omitted so as to not unnecessarily obscure the concepts of the present disclosure.
The terminology used herein is for the purpose of describing particular embodiments only and is not intended to be limiting of the disclosure. The terms "comprises," "comprising," and the like, as used herein, specify the presence of stated features, steps, operations, and/or components, but do not preclude the presence or addition of one or more other features, steps, operations, or components.
All terms (including technical and scientific terms) used herein have the same meaning as commonly understood by one of ordinary skill in the art unless otherwise defined. It is noted that the terms used herein should be interpreted as having a meaning that is consistent with the context of this specification and should not be interpreted in an idealized or overly formal sense.
Where a convention analogous to "at least one of A, B and C, etc." is used, in general such a construction is intended in the sense one having skill in the art would understand the convention (e.g., "a system having at least one of A, B and C" would include but not be limited to systems that have a alone, B alone, C alone, a and B together, a and C together, B and C together, and/or A, B, C together, etc.). Where a convention analogous to "A, B or at least one of C, etc." is used, in general such a construction is intended in the sense one having skill in the art would understand the convention (e.g., "a system having at least one of A, B or C" would include but not be limited to systems that have a alone, B alone, C alone, a and B together, a and C together, B and C together, and/or A, B, C together, etc.).
The embodiment of the disclosure provides a commodity searching method and a commodity searching device. The method comprises a search request receiving process, a search result acquiring process, a preferential decision process and a search result outputting process. Receiving a search request of a user for commodities in a search request receiving process, obtaining search results of corresponding commodities in a search result obtaining process, determining an optimal offer type based on attribute data of the user initiating the search and attribute data of the searched commodities in a discount decision process, and outputting the search results in a mode of being associated with offer information conforming to the optimal offer type in a search result outputting process.
Fig. 1 schematically illustrates anexemplary system architecture 100 to which the merchandise search method and apparatus may be applied, according to an embodiment of the present disclosure. It should be noted that fig. 1 is only an example of a system architecture to which the embodiments of the present disclosure may be applied to help those skilled in the art understand the technical content of the present disclosure, and does not mean that the embodiments of the present disclosure may not be applied to other devices, systems, environments or scenarios.
As shown in fig. 1, thesystem architecture 100 according to this embodiment may includeterminal devices 101, 102, 103, anetwork 104 and aserver 105. Thenetwork 104 serves as a medium for providing communication links between theterminal devices 101, 102, 103 and theserver 105.Network 104 may include various connection types, such as wired, wireless communication links, or fiber optic cables, to name a few.
The user may use theterminal devices 101, 102, 103 to interact with theserver 105 via thenetwork 104 to receive or send messages or the like. Theterminal devices 101, 102, 103 may have various client applications installed thereon, such as a shopping-like application, a web browser application, a search-like application, an instant messaging tool, a mailbox client, social platform software, etc. (by way of example only).
Theterminal devices 101, 102, 103 may be various electronic devices having a display screen and supporting web browsing, including but not limited to smart phones, tablet computers, laptop portable computers, desktop computers, and the like.
Theserver 105 may be a server providing various services, such as a background management server (for example only) providing support for websites browsed by users using theterminal devices 101, 102, 103. The backend management server may analyze and perform other processing on the received data such as the search request, and feed back a processing result (e.g., a search result, a web page, information, or data obtained or generated according to a user request) to the terminal device.
It should be noted that the product search method provided by the embodiment of the present disclosure may be executed by theserver 105. Accordingly, the article search device provided by the embodiment of the present disclosure may be generally disposed in theserver 105. The commodity search method provided by the embodiment of the present disclosure may also be executed by a server or a server cluster that is different from theserver 105 and is capable of communicating with theterminal devices 101, 102, 103 and/or theserver 105. Accordingly, the product search apparatus provided in the embodiment of the present disclosure may also be disposed in a server or a server cluster different from theserver 105 and capable of communicating with theterminal devices 101, 102, and 103 and/or theserver 105.
Alternatively, the product search method provided by the embodiments of the present disclosure may also be executed by theterminal devices 101, 102, and 103. Accordingly, the article search device provided by the embodiment of the present disclosure may be generally disposed in theterminal devices 101, 102, 103. The commodity search method provided by the embodiment of the present disclosure may also be executed by a server or a server cluster that is different from theterminal devices 101, 102, and 103 and capable of communicating with theterminal devices 101, 102, and 103 and/or theserver 105. Accordingly, the product search apparatus provided in the embodiments of the present disclosure may also be disposed in a server or a server cluster different from theterminal devices 101, 102, and 103 and capable of communicating with theterminal devices 101, 102, and 103 and/or theserver 105.
It should be understood that the number of terminal devices, networks, and servers in fig. 1 is merely illustrative, and that there may be any number of terminal devices, networks, and servers, as desired for an implementation.
Fig. 2 schematically shows a flowchart of an item search method according to an embodiment of the present disclosure.
As shown in fig. 2, the method includes receiving a search request for goods from a user in operation S201.
In this operation, receiving a search request of a user for a commodity may be receiving a search request corresponding to a search behavior of the user, for example, receiving a search request of the user for the commodity when the user inputs information related to the commodity in a search field, or receiving a search request corresponding to another behavior of the user, for example, receiving a search request of the user for one or more commodities when the user opens a web page in which information related to one or more commodities needs to be displayed, and so on. That is, in any situation where a request for a product is received and information related to the product needs to be output, it may be regarded as receiving a search request of a current user for the corresponding product.
Then, in operation S202, a search result corresponding to the search request is acquired, the search result including related information of the commodity.
In the operation, each commodity is identified by the merchant information and the product information together, the same product sold by different merchants can be used as different commodities, different products sold by the same merchant can also be used as different commodities, and only the same product sold by the same merchant can be used as the same commodity. When the search result includes information related to a plurality of commodities, the commodities refer to different commodities. The related information of the goods may include: the merchant information corresponding to the commodity, the product information corresponding to the commodity, the price of the commodity, and the like are provided for the user to know the information of the commodity, and the information can be selected according to the needs without limitation.
In operation S203, an optimal offer type is determined based on the attribute data of the user and the attribute data of the goods.
In this operation, the user refers to the user corresponding to the search request in operation S201, the attribute data of the user reflects the characteristic attribute of the user, the characteristic attribute of the user may affect the preference of the user for the benefit type, the attribute data of the product reflects the characteristic attribute of the product, when the user faces a product, the characteristic attribute of the product may also affect the preference of the user for the benefit type, and the benefit type that the user may prefer when the user faces a product is determined based on these two factors.
In operation S204, the search result is output in association with offer information conforming to the optimal offer type.
In the operation, after the optimal offer type which is most preferred by the user when facing a commodity is determined, the search result is output in association with the offer information conforming to the optimal offer type, so that the commodity search result finally displayed to the user contains the offer information, the demand of the user for the offer information is more accurately positioned, and the purchase of the commodity by the user is promoted.
It should be noted that the product search method shown in fig. 2 may be implemented on a server side or a client side, when the method is implemented on the server side, a search request for a product by a user submitted by the client is received in operation S201, a search result corresponding to the search request is acquired in operation S202, an optimal offer type is determined in operation S203 in consideration of user' S own factors and product factors, the search result is output in operation S204 in association with offer information conforming to the optimal offer type, and the client outputs and displays the search result to the corresponding user. When the method is implemented at a client side, a search request for goods input by a user is received in operation S201, a search result corresponding to the search request is acquired in operation S202, an optimal offer type is determined in consideration of user' S own factors and goods factors in operation S203, and the search result is output in association with offer information conforming to the optimal offer type in operation S204.
It can be seen that, in the method shown in fig. 2, when a search result of a commodity needs to be output to a user, a specific situation that the user faces the commodity is fully considered, according to a rule that a preference of the specific user when facing the specific commodity is influenced by both the characteristic attribute of the user and the characteristic attribute of the commodity, an optimal preference type that the user is most likely to prefer under the specific situation is determined based on the attribute data of the user and the attribute data of the commodity, the search result of the commodity and the offer information corresponding to the optimal preference type are output in a correlated manner, and a demand of the user for the offer information is accurately positioned in the specific situation, so that the purchase of the commodity by the user can be greatly promoted, and the conversion rate of the user is improved.
In an embodiment of the present disclosure, the determining, in operation S203, an optimal offer type based on the attribute data of the user and the attribute data of the product includes: for any offer type, obtaining a first preference score of the user about the offer type based on the attribute data of the user, obtaining a second preference score of the commodity about the offer type based on the attribute data of the commodity, and obtaining a comprehensive preference score of the user and the commodity about the offer type based on the first preference score and the second preference score, namely a comprehensive preference score of the offer type. And comparing the comprehensive preference scores of the various preference types, and taking the preference type with the highest comprehensive preference score as the optimal preference type.
For example, when a search request of the user a for the commodity B is received, three offer types are assumed: offer type 1, offer type 2, and offer type 3. For the offer type 1, a first preference score of the user a with respect to the offer type 1 is obtained based on the attribute data of the user a, the first preference score representing a degree of preference of the user a with respect to the offer type 1 in a scene equivalent to the user a facing any goods, regardless of which of the goods is, and a second preference score of the goods B with respect to the offer type 1 is obtained based on the attribute data of the goods B, the second preference score representing a degree of preference of the entire users with respect to the offer type 1 in a scene equivalent to the entire users facing the goods B, regardless of which of the users is, and then, a composite preference score of the user a and the goods B with respect to the offer type 1 can be obtained based on the first preference score and the second preference score, the composite preference score representing a case in which both of the feature attributes of the user a and of the goods B are considered, corresponding to the preference degree of the user A for the offer type 1 under the situation that the user A faces the commodity B. Similarly, the comprehensive preference score of the offer type 2 and the comprehensive preference score of the offer type 3 can be obtained according to the above logic, and it should be noted that the comprehensive preference scores are all calculated under the situation that the user a faces the commodity B, and which offer type has the highest comprehensive preference score indicates that the user a has the highest preference degree for the offer type under the situation that the user a faces the commodity B, namely, the optimal offer type.
It can be seen that, in this embodiment, on one hand, the preference of the user for the benefit type is considered through the attribute data of the user, on the other hand, the adaptation degree of the commodity characteristics and the benefit type is considered through the attribute data of the commodity, the comprehensive preference scores of the benefit types under a specific scene are obtained through combining the two aspects, and the optimal benefit type under the specific scene can be accurately located through comparing the comprehensive preference scores of the benefit types.
Specifically, in an embodiment of the present disclosure, the obtaining a first preference score of the user regarding the offer type based on the attribute data of the user may include: acquiring first historical order data corresponding to the user, wherein the number of orders containing the preference information meeting the preference type in the first historical order data is a first number, and the number of orders containing the preference information meeting any preference type in the first historical order data is a second number; acquiring second historical order data corresponding to all users, wherein the number of orders containing the preference information meeting the preference type in the second historical order data is a third number, and the number of orders containing the preference information meeting any preference type in the second historical order data is a fourth number; taking the ratio of the first number to the second number relative to the ratio of the third number to the fourth number as the first preference score.
Following the above example, the above process of obtaining the first preference score of the user a regarding the offer type 1 based on the attribute data of the user a may be: acquiring first historical order data corresponding to a user A, wherein the first historical order data comprises data related to effective orders corresponding to all historical purchasing behaviors of the user A, counting the number of orders which contain benefit information meeting the benefit type 1 in the first historical order data corresponding to the user A as a first number x1, counting the number of orders which contain benefit information meeting any benefit type (the benefit type 1, the benefit type 2 or the benefit type 3) in the first historical order data corresponding to the user A as a second number x2, and calculating a ratio x1/x2 of the first number x1 to the second number x2, wherein the ratio represents the ratio of the orders which use the benefit type 1 to all orders which use any benefit type in the historical purchasing behaviors of the user A. And acquiring second historical order data corresponding to all users, wherein all users are a larger user sample set selected according to needs, such as all or part of registered users on an e-commerce platform, the second historical order data comprises data related to effective orders corresponding to all historical purchasing behaviors of users, the number of orders which comprise the offer information meeting the offer type 1 in the second historical order data corresponding to all the users is counted as a third number x3, the number of orders which comprise the offer information meeting any offer type (the offer type 1, the offer type 2 or the offer type 3) in the second historical order data corresponding to all the users is counted as a fourth number x4, the ratio x3/x4 of the third number x3 to the fourth number x4 is calculated, the ratio indicates a ratio of an order using the offer type 1 and all orders using any offer type in the historical purchasing behavior of all users. And calculating the ratio of the ratio x1/x2 to the ratio x3/x4, and taking the ratio as a first preference score of the user A about the offer type 1, wherein the first preference score represents the calculated preference degree of the user A about the offer type 1 by taking the preference degrees of all users about the offer type 1 as a reference under the condition that the user A faces any commodity without considering the characteristic attribute of the commodity, namely the characteristic attribute of the user A. Similarly, the preference degree of the user a for other preference types can be calculated, and details are not repeated here.
In the embodiment, the user portrait is sketched according to a large amount of user attribute data, the attribute data of the user in the embodiment is historical order data of the user, and the historical order data of the user can accurately reflect purchasing behavior habits of the user, so that the preference degree of the user to various preferential types can be reflected.
Specifically, in an embodiment of the present disclosure, the obtaining a second preference score of the product with respect to the offer type based on the attribute data of the product may include: determining a price partition corresponding to the commodity based on the price of the commodity; acquiring third history order data corresponding to the commodities in the price partition, wherein the number of orders containing the discount information conforming to the discount type in the third history order data is a fifth number, and the number of orders containing the discount information conforming to any discount type in the third history order data is a sixth number; acquiring fourth historical order data corresponding to all commodities, wherein the number of orders containing the preference information meeting the preference type in the fourth historical order data is a seventh number, and the number of orders containing the preference information meeting any preference type in the fourth historical order data is an eighth number; taking the ratio of the fifth quantity to the sixth quantity to the ratio of the seventh quantity to the eighth quantity as the second preference score.
Still following the description of the above example, the process of obtaining a second preference score for item B with respect to offer type 1 based on the attribute data of item B above may be: the plurality of price partitions are divided according to the price of the whole commodity, the whole commodity is a large commodity sample set selected according to needs, and the whole commodity can be all or part of commodities on an e-commerce platform. And determining a price partition corresponding to the commodity B based on the price of the commodity B, such as 100-200 yuan. Acquiring third history order data corresponding to commodities in the price partition (100-200 yuan), wherein the third history order data comprises data related to all valid orders falling into the price partition (100-200 yuan) corresponding to all users, counting the number of orders containing the offer information meeting the offer type 1 in the third history order data as a fifth number x5, counting the number of orders containing the offer information meeting any offer type (the offer type 1, the offer type 2 or the offer type 3) in the third history order data as a sixth number x6, and calculating the ratio x5/x6 of the fifth number x5 to the sixth number x6, the ratio represents the ratio of an order of purchasing a commodity falling into the price partition (100-200 yuan) by using the special offer type 1 and all orders of purchasing commodities falling into the price partition (100-200 yuan) by using any special offer type in the historical purchasing behaviors of all users. And acquiring fourth historical order data corresponding to all commodities, wherein the fourth historical order data comprises data related to all valid orders corresponding to all users, counting the number of orders containing the offer information meeting the offer type 1 in the fourth historical order data as a seventh number x7, counting the number of orders containing the offer information meeting any offer type (the offer type 1, the offer type 2 or the offer type 3) in the fourth historical order data as an eighth number x8, and calculating a ratio x7/x8 of the seventh number x7 to the eighth number x8, wherein the ratio represents the ratio of the orders using the offer type 1 and all orders using any offer type in historical purchasing behaviors of all users. Taking the ratio of the fifth quantity to the sixth quantity to the ratio of the seventh quantity to the eighth quantity as the second preference score. And calculating the ratio of the ratio x5/x6 to the ratio x7/x8, and taking the ratio as a second preference score of the product B with respect to the offer type 1, wherein the second preference score represents the calculated preference degree of the overall users with respect to the offer type 1 when facing the product B on the basis of the preference degree of the overall users with respect to the offer type when facing the overall product without considering who the users are and only considering the characteristic attributes of the product. Similarly, the preference degree of all users for other preference types when facing to the commodity B can be calculated, and details are not repeated here.
In this embodiment, the attribute data of the commodity includes price information and historical order data, and since the price of the commodity can greatly influence the selection of whether the user uses the preference information, what kind of preference information is used, and the like when the user purchases the commodity, the commodity is divided into different price partitions according to the price of the commodity, and the influence of the different price partitions on the preference of the user is different. The historical order data corresponding to the price partition where the commodity is located can accurately reflect the condition that the commodity is purchased by the user in each price partition, and further can reflect the preference degree of all users for various preferential types when facing the corresponding commodity.
Specifically, in an embodiment of the present disclosure, the obtaining a composite preference score of the user and the product regarding the offer type based on the first preference score and the second preference score includes: acquiring a first weight corresponding to the first preference score and acquiring a second weight corresponding to the second preference score; and carrying out weighted summation on the first preference score and the second preference score based on the first weight and the second weight to obtain the comprehensive preference score.
Following the above example, after obtaining the first preference score of the user a with respect to the offer type 1 and the second preference score of the product B with respect to the offer type 1, obtaining the first weight a corresponding to the first preference score of the user a with respect to the offer type 1, obtaining the second weight B corresponding to the second preference score of the product B with respect to the offer type 1, since the first preference score indicates that the preference degree of the user a with respect to the offer type 1 is a subjective factor in a scene that the user a faces any product, the corresponding first weight a represents the influence degree caused by the subjective factor, and the second preference score indicates that the preference degree of the user a with respect to the offer type 1 is an objective factor caused by the product price in a scene that the user a faces the product B, the corresponding second weight B represents the influence degree caused by the objective factor, therefore, the first preference score and the second preference score are weighted and summed based on the first weight a and the second weight b to obtain the comprehensive preference score of the offer type 1.
According to the embodiment, when the user A faces the commodity B, the influence of subjective factors and objective factors on the preference of the user is comprehensively considered, the comprehensive preference scores of various preference types are calculated, the actual behavior rule of the user for purchasing the commodity is met, and the comprehensive preference degree can be accurately reflected.
It should be noted that, for users with different purchasing powers, the influence degrees of subjective factors may be different, and for goods with different prices, the influence degrees of objective factors may be different, so that under the situation that different goods of users are different, the obtained first weight and the second weight may be different, and need to be considered according to specific situations.
In one embodiment of the disclosure, the first weights corresponding to users with different purchasing powers and the second weights corresponding to commodities in different price partitions can be obtained by constructing a model and training parameters of the model. Specifically, for all users, the users are a large sample set of users selected as needed, and for example, all or part of registered users on the e-commerce platform may be used, and the users are classified into a plurality of customer group categories according to the purchasing power level of the users. The total commodities are a large sample set of commodities selected as needed, and may be all or part of commodities on an e-commerce platform, for example, and each commodity is divided into a plurality of price divisions according to the price of the commodity. And for any customer group category and any price partition, constructing an offer preference model, wherein the input of the offer preference model comprises a first preference score of the customer group category about each offer type and a second preference score of the price partition about each offer type, the output of the offer preference model is the highest comprehensive preference score corresponding to the customer group category and the price partition, and the parameters of the offer preference model comprise a first weight parameter and a second weight parameter. And acquiring the highest actual preference score corresponding to the guest group category and the price partition, optimizing the parameters of the preference model by taking the highest actual preference score as a target, taking the value of the optimized optimal first weight parameter as the first weight corresponding to the guest group category, and taking the value of the optimized optimal second weight parameter as the second weight corresponding to the price partition.
As an optional embodiment, the constructing the preference model includes: acquiring attribute data of a plurality of sample users corresponding to the passenger group category, and acquiring attribute data of a plurality of sample commodities corresponding to the price partition; based on the attribute data of the plurality of sample users and the attribute data of the plurality of sample commodities; for any offer type, obtaining first preference scores of the sample users about the offer type based on attribute data of the sample users, and taking the sum of the first preference scores of the sample users about the offer type as the first preference score of the customer base class about the offer type; obtaining second preference scores of the price partitions corresponding to the sample commodities about the offer type based on attribute data of the sample commodities; and carrying out weighted summation on the first preference score of the customer group category relative to the offer type and the second preference score of the price partition relative to the offer type based on the first weight parameter and the second weight parameter to obtain the comprehensive preference score of the customer group category and the price partition relative to the offer type.
As an optional embodiment, the obtaining of the highest actual preference score corresponding to the customer group category and the price partition includes: for any benefit type, acquiring fifth historical order data corresponding to any sample user and the price partition, wherein the number of orders containing benefit information conforming to the benefit type in the fifth historical order data is a ninth number, and the number of orders containing benefit information conforming to any benefit type in the fifth historical order data is a tenth number; and taking the ratio of the ninth quantity to the tenth quantity as the actual preference scores of the sample users and the price partitions about the offer types, and taking the sum of the actual preference scores of the sample users and the price partitions about the offer types as the actual preference scores of the customer group categories and the price partitions about the offer types. And comparing the actual preference scores of the customer group category and the price partition about each discount type to obtain the highest actual preference score corresponding to the customer group category and the price partition.
And for the scene that the user A faces the commodity B, after the first preference score and the second preference score related to the discount type 1 are obtained, determining the class of the passenger group corresponding to the user A according to the attribute data of the user A, and determining the price partition corresponding to the commodity B according to the price of the commodity B. Based on the model training process, a first weight corresponding to the customer group corresponding to the user A and a second weight corresponding to the price partition corresponding to the commodity B are obtained, and based on the obtained first weight and the obtained second weight, the first preference score and the second preference score are subjected to weighted summation to obtain a comprehensive preference score corresponding to the offer type 1.
It can be seen that the first weight and the second weight meeting the requirements of a specific scene can be quickly obtained through model learning and the limitation of an objective function in the above process, wherein the first weight is associated with the purchasing power of the user, and the second weight is associated with the price of the commodity.
In a specific embodiment, the determining the class of the guest group corresponding to the user a according to the attribute data of the user a includes: and determining the class of the customer group corresponding to the user A based on the average income data, the average order price and/or the average consumption amount of the user A in a preset time period.
In another embodiment of the present disclosure, if the current user is a new user, the attribute data corresponding to the current user is small, and when the purchasing power level of the user cannot be obtained according to the big data of the historical purchasing behavior of the current user, that is, when the first weight and the second weight cannot be obtained based on the model training mode, the obtaining of the first weight corresponding to the first preference score and the second weight corresponding to the second preference score may use preset values as the first weight and the second weight, specifically, the obtaining of the first weight corresponding to the first preference score further includes: and when the class of the passenger group corresponding to the user cannot be determined, taking a first preset value as the first weight and taking a second preset value as the second weight. The embodiment considers the situation that the user without historical purchasing behavior data or with less historical purchasing behavior data carries out preferential decision, and avoids the occurrence of abnormity.
The method shown in fig. 2 is further described with reference to fig. 3A-3D in conjunction with specific embodiments.
FIG. 3A schematically illustrates a data flow diagram of an item search process according to an embodiment of the present disclosure.
As shown in fig. 3A, a search request of a user u for a commodity B is received, a search result of the commodity B is obtained, the search result includes related information of the commodity B, then an optimal offer type when the user u faces the commodity B is determined based on attribute data of the user u and attribute data of the commodity B, and offer information corresponding to the optimal offer type is output when the search result of the commodity B is output.
In the embodiment, three preference types are preset: free standing, direct descending, and full reduction benefits. After the search result of the commodity B is obtained, for the no-interest offer, calculating a first preference score mx _ preference of the user u about the no-interest offeruAnd calculating a second preference score mx _ preference of the price interval y where the commodity B is positioned in relation to the free offery(ii) a For a direct reduction offer, a first preference score zj _ preference of the user u with respect to the direct reduction offer is calculateduCalculating a second preference score zj _ preference of the price interval y where the commodity B is located with respect to the direct reduction offery(ii) a For a full-down offer, a first preference score mj _ preference of the user u with respect to the full-down offer is calculateduCalculating a second preference score mj _ preference of the price interval y where the commodity B is located with respect to the full reduction offery
The specific process of calculating the first preference score and the second preference score is described by taking the information-free offer as an example, and other offer types are the same and are not described again.
The first preference score mx _ preference of the user u with respect to the rest-free offer is calculated by the following formulau
Figure BDA0001876418890000201
Figure BDA0001876418890000202
Figure BDA0001876418890000203
Wherein, mx _ ordsuThe number of orders, coupon-ords, for user u to use a free offeruNumber of orders, mx-preference, for user u to useu' the ratio of the order for user u to the total order for user u to use the free offer is called the free order ratio of user uWherein mx _ ords is the number of orders for which all users use the no-interest offer, coupon-ords is the number of orders for which all users use the offer, mx _ preference 'is the ratio of the orders for which all users use the no-interest offer to all the orders for which all users use the offer, called the total user's no-interest order ratio, and then the first preference score mx _ preference of the user u about the no-interest offeruDefined as the increase in the proportion of the user u's exempt orders relative to the proportion of the entire user's exempt orders.
It can be seen that abnormal data are eliminated through algorithm processing based on massive user consumption behavior data of the e-commerce platform. By calculating the use conditions of all users to three different preference types (direct descending preference, full reduction preference and interest-free preference), the preference conditions of the whole users can be obtained, and the personal preference conditions of each user can be calculated in the same way. By calculating the improvement condition of the personal preference relative to the whole, the first preference scores of the user on different preference types can be identified, and the higher the first preference score is, the higher the preference degree of the user on the preference type is represented.
Calculating a second preference score mx _ preference of the price interval y of the commodity B with respect to the interest-free offer by the following formulay
Figure BDA0001876418890000211
Figure BDA0001876418890000212
Wherein, mx _ ordsyCoupon _ orders, the number of orders to use a free offer in price interval yyFor the number of orders using the advantage in the price interval y, mx _ preferenceu'is the proportion of the order using the interest-free offer in the price interval y to all orders using the offer in the price interval y, called the interest-free order proportion in the price interval y, and mx _ preference' is the proportion of the order using the interest-free offer by all users to all orders using the offer by all users, and is also equivalent to the ratio of the total price to the interval interest-free orderIf the price is heavy, the price interval y of the commodity B is the second preference score mx _ preference of the interest-free offeryThe interest-free order weight defined as the price interval y is raised relative to the full price interval interest-free order weight.
Based on the mass data of the e-commerce platform, the use conditions of various preference types (direct descending preference, full reduction preference and interest-free preference) in different price intervals can be extracted, and the influence degree of price factors on preference selection of users can be measured by comparing the sub-price intervals with the full price intervals.
After the first preference score and the second preference score corresponding to each offer type are obtained through calculation, the corresponding first weight and the second weight need to be obtained, so that the comprehensive preference score of each offer type is calculated by combining the first preference score and the second preference score.
The present embodiment obtains the first weight and the second weight by:
first, the customer group classification is performed, and the total users are classified into 6 customer group categories with strong purchasing power level to weak purchasing power level according to the IPM model (wherein I represents income, P represents average unit price of order, and M represents consumption amount).
Fig. 3B schematically illustrates a schematic diagram of an IPM model according to an embodiment of the present disclosure.
As shown in fig. 3B, a three-dimensional rectangular coordinate system is formed by an axis I, an axis P and an axis M, for example, I represents the income of the user per month, P represents the average unit price of the orders purchased by the user per month, and M represents the total consumption amount of the user per month, the purchasing power level of the user is determined according to the income of the user per month, the average unit price of the orders purchased by the user per month and the total consumption amount of the user per month, when the corresponding I, P and M are both high, the purchasing power level of the user is high, and when the corresponding I, P and M are both low, the purchasing power level of the user is low, and the characteristics of the specific different customer group categories are shown in table 1:
TABLE 1
Figure BDA0001876418890000221
The high-low judgment criterion of each index can be set according to needs, such as 25% of the index, high when the index is higher than 25% of the index, and low when the index is lower than 25% of the index.
After the customer group classification, it can be known that different user groups have differences in the selection of the coupon types under the influence of two factors, namely user selection (subjective) and price influence (objective), for the high-purchasing-capacity group, the preferential preference presented when purchasing the commodity is mainly influenced by the subjective factor, and for the low-purchasing-capacity group, the dominant factor influencing the preferential selection of the commodity when purchasing the commodity is the price factor.
For different customer groups, by designing different weights of subjective and objective factors, the preferential preference of each user at different prices is finally calculated, and a preferential preference model is constructed as follows:
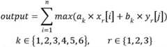
Figure BDA0001876418890000222
wherein k represents a customer group category, and 6 customer group categories are shared in table 1, r represents a benefit type, and r ═ 1 represents a no-interest benefit, r ═ 2 represents a direct descending benefit, r ═ 3 represents a full decreasing benefit, i represents the ith user in the current customer group category, n users are shared in the current customer group category, and x represents a total number of users in the current customer group categoryr[i]Indicates a first preference score, y, for the ith user with respect to offer type rr[j]A second preference score, a, for the offer type r, representing the goods in the price partition jk×xr[i]+bk×yr[j]Showing that the first preference of the ith user in the current customer group category is scored with respect to the offer type r through a first weight parameter akAnd a second weight parameter bkCarrying out weighted summation on the first preference score of the ith user in the current customer group category relative to the offer type r and the second preference score of the price partition j relative to the offer type r, and calculating to obtain the comprehensive preference score, max (a) of the ith user in the current customer group category relative to the price partition j relative to the offer type rk×xr[i]+bk×yr[j]) Integration of price segments j for ith user with respect to each offer typeThe maximum value of the preference score is,
Figure BDA0001876418890000231
the maximum value of the comprehensive preference scores of the price partition j about the preferential types of the users in the current customer group category is summed, and the maximum value of the comprehensive preference scores corresponding to the preferential types is output, namely the maximum comprehensive preference score of the current customer group category corresponding to the price partition j is output.
Optimizing the preference model to meet the following constraint conditions:
Figure BDA0001876418890000232
wherein z isr[i,j]Is z1[i,j]、z2[i,j]And z3[i,j]Maximum value of (1), z1[i,j]Is the actual preference score of the ith user in the current customer group category for the price partition j for the offer-free, for example, the actual preference score may be equal to the ratio of the number of orders that the ith user purchased in the price partition j using the offer-free to the number of orders that the ith user purchased in the price partition j using the offer. z is a radical of2[i,j]Is the actual preference score, z, of the ith user in the current customer base category for the price partition j for the direct reduction offer3[i,j]Is the actual preference score of the ith user in the current customer group category for the price partition j with respect to the full down offer, and z1[i,j]The calculation process is not described herein again,
Figure BDA0001876418890000233
the maximum actual preference scores of the users in the current customer group category for the price partition j about the offer type r are summed to obtain the maximum actual preference scores of the current customer group category for the price partition j about the offer type r. It can be known that, in the above optimization process, the maximum actual preference score of the current customer group class for the price partition j about the offer type r is used as an optimization target, and the current customer class calculated by the offer preference model is used as an optimization targetThe maximum comprehensive preference score of the group category corresponding to the price partition j is continuously close to the maximum actual preference score, and the first weight parameter a obtained through final optimization is usedkAnd a second weight parameter bkAs the first weight and the second weight when the current customer class faces the goods in the price partition j. In a more simplified flow, the price partition j may also correspond to a complete interval of prices, such that the first weight and the second weight are only associated with the class of the guest group.
Therefore, when the first weight and the second weight of the user u for the commodity B in the price partition y in the foregoing are to be obtained, the class of the guest group where the user u is located is determined first, and the first weight a of the class of the guest group for the price partition y is obtained through the model optimization processkAnd a second weight bk
The highest comprehensive preference score corresponding to the price partition y by the user u is calculated by the following formula:
preferuy=max{zj_preferuy,mj_preferuy,mx_preferuy}=max{ak×zj_preferu+bk×zj_prefery,ak×mj_preferu+bk×mj_prefery,ak×mx_preferu+bk×mx_prefery}
wherein zj _ preferuyFor the user u's composite preference score for price partition y with respect to the direct reduction offer, mj _ preferenceuyFor the composite preference score, mx _ preference, of user u for price partition y with respect to the full minus offeruyA composite preference score for user u for price partition y for the offer-free. Highest overall preference score preferruyThe corresponding discount type is the optimal discount type determined by the user u for the commodity B in the price partition y, and the search result of the commodity B and the discount information according with the optimal discount type are output and displayed together.
FIG. 3C schematically shows a diagram of search results for an item according to an embodiment of the disclosure.
As shown in fig. 3C, in the left diagram, if the optimal offer type determined by the user u for the commodity B in the price partition y is the direct descending offer, the search result of the commodity B includes information in the form of "vertical descending 8 yuan" that conforms to the direct descending offer; in the middle diagram, if the optimal offer type determined by the user u for the commodity B in the price partition y is the full reduction offer, the search result of the commodity B includes information conforming to the full reduction offer in the word of "full 300 minus 10"; in the right diagram, if the optimal offer type determined by the user u for the product B in the price partition y is the interest-free offer, the search result of the product B includes information conforming to the interest-free offer in the form of "share 12 days interest fee 6 |".
In a special case, the user is a new user, the historical data corresponding to the new user is not or less, and the corresponding first weight and second weight cannot be obtained by the model training method, then a 7 th guest group category is additionally set, for the guest group category, the first weight is preset to be 0, the second weight is preset to be 1, and the preset value can be adjusted according to the actual situation, which is not limited herein. The optimal discount type of the new user facing the commodity can be determined by utilizing the preset first weight and the second weight, and corresponding discount information is output and displayed.
Fig. 3D schematically shows a flowchart of an item search method according to another embodiment of the present disclosure.
As shown in fig. 3D, the method includes operations S301 to S308, which are as follows:
in operation S301, user login information is acquired, and product information is acquired.
In operation S302, it is determined whether the user is a new user, if so, operation S303 is performed, otherwise, operation S304 is performed.
In operation S303, it is determined that the user belongs to the guest group class 7, and a preset first weight a is obtained7And a second weight b7
In operation S304, a guest group category k to which a user belongs is identified, and a first weight a corresponding to the guest group category k is obtained based on a preferential preference modelkAnd a second weight bk
In operation S305, a first preference score of the user with respect to each offer type is calculated.
In operation S306, second preference scores for each offer type are calculated for the price partition in which the goods are located.
In operation S307, the first preference score and the second preference score are fused to obtain a comprehensive preference score of each offer type, the comprehensive preference scores of each offer type are sorted, and the offer type with the highest comprehensive preference score is used as the optimal offer type.
In operation S308, the offer information and the search result of the product that conform to the optimal offer type are displayed at the front end.
According to the scheme, a preference model is built by collecting historical consumption records of users and relevant data of preference use conditions, user preferences are described, a business system displays the most preferred preference form of the current commodities of the users in the form of advertising words on a commercial page by calling the model result, and the effect that thousands of people exist (different users of the same commodity display different preference information) and multiple people exist (different commodities of the same user display different preference information) is achieved. The method has the advantages that all consumption records and coupon use conditions of a user in the Shandong mall can be called by means of mass data of the E-commerce, the use conditions of various different types of coupons on commodities with different prices can be known, the data are data generated by actual transactions, the method has the advantages of being real and effective, and the purchasing power and the preference of the user can be measured based on the data.
Because there are a lot of conditions of order return in the attribute data of the user and the attribute data of the goods (such as historical order data of the user and historical order data of the goods), the coupon use conditions of the part of orders are finally recorded by the system, and therefore, the influence of the part of invalid orders on the result needs to be eliminated firstly. And because the consumption orders of the e-commerce platform can have over-large orders (merchant test) or over-small orders (second kill), and the order quantity of partial users in a short time far exceeds the whole level (order brushing), the partial orders can have serious influence on the result, so when the consumption records of the users are extracted, the orders with the order quantity exceeding the whole level of 95% and the order quantity lower than the whole level of 5% are excluded, and the users with the order quantity exceeding the whole level of more than 95% are excluded, so that the effectiveness of the calculation process is ensured.
According to the method, by means of big data and financial cloud computing technology, through analysis of historical consumption behaviors of users, a coupon differentiation algorithm of a user level is designed from two dimensions of products (commodities) and users respectively in combination with characteristics of customer groups, and preference of the users on commodities with different prices is depicted. Through the algorithm, differential pricing can be implemented for the user: 1) the method realizes that the best benefit points (preferential types) of different users are displayed on the information page of the commodity on the same commodity; 2) the method realizes that the same user can display the most preferable benefit points (preferential types) on information pages of different commodities. This disclosure mainly solves 3 problems: in view of cost control, marketing resource delivery is optimized through preference differentiation, and misdelivery of marketing resources is avoided, so that the aim of saving cost is fulfilled; the user experience can be optimized from the perspective of the user, the preferential types which are needed most by the user are provided when the user purchases, the user conversion rate is improved, and the effects of 'thousands of people and thousands of faces' and 'one person and multiple faces' are realized; the user and the commodity are combined, and the problem that the preference differentiation cannot be performed by a new customer due to the fact that historical consumption data cannot be obtained is solved.
Fig. 4 schematically shows a block diagram of an article search device according to an embodiment of the present disclosure.
As shown in fig. 4, theproduct search apparatus 400 includes a receivingmodule 410, an obtainingmodule 420, adecision module 430, and anoutput module 440.
The receivingmodule 410 is used for receiving a search request of a user for an article.
The obtainingmodule 420 is configured to obtain a search result corresponding to the search request, where the search result includes information related to the commodity.
Thedecision module 430 is configured to determine an optimal offer type based on the attribute data of the user and the attribute data of the product.
Theoutput module 440 is configured to output the search result in association with the offer information conforming to the optimal offer type.
According to an embodiment of the present disclosure, the determining, by thedecision module 430, an optimal offer type based on the attribute data of the user and the attribute data of the commodity includes: thedecision module 430 is used for obtaining a first preference score of the user about any offer type based on the attribute data of the user; obtaining a second preference score of the commodity about the offer type based on the attribute data of the commodity; obtaining a combined preference score of the user and the commodity about the offer type based on the first preference score and the second preference score; and taking the preferential type with the highest comprehensive preference score as the optimal preferential type.
According to an embodiment of the present disclosure, thedecision module 430 obtaining a first preference score of the user with respect to the offer type based on the attribute data of the user includes: thedecision module 430 is configured to obtain first historical order data corresponding to the user, where the number of orders that include benefit information that conforms to the benefit type in the first historical order data is a first number, and the number of orders that include benefit information that conforms to any benefit type in the first historical order data is a second number; acquiring second historical order data corresponding to all users, wherein the number of orders containing the preference information meeting the preference type in the second historical order data is a third number, and the number of orders containing the preference information meeting any preference type in the second historical order data is a fourth number; taking the ratio of the first number to the second number relative to the ratio of the third number to the fourth number as the first preference score.
According to an embodiment of the present disclosure, thedecision module 430 obtaining a second preference score of the good with respect to the offer type based on the attribute data of the good includes: thedecision module 430 is configured to determine a price partition corresponding to the commodity based on the price of the commodity; acquiring third history order data corresponding to the commodities in the price partition, wherein the number of orders containing the discount information conforming to the discount type in the third history order data is a fifth number, and the number of orders containing the discount information conforming to any discount type in the third history order data is a sixth number; acquiring fourth historical order data corresponding to all commodities, wherein the number of orders containing the preference information meeting the preference type in the fourth historical order data is a seventh number, and the number of orders containing the preference information meeting any preference type in the fourth historical order data is an eighth number; taking the ratio of the fifth quantity to the sixth quantity to the ratio of the seventh quantity to the eighth quantity as the second preference score.
According to an embodiment of the present disclosure, the obtaining, by thedecision module 430, a composite preference score of the user and the commodity with respect to the offer type based on the first preference score and the second preference score includes: thedecision module 430 is configured to obtain a first weight corresponding to the first preference score and obtain a second weight corresponding to the second preference score; and carrying out weighted summation on the first preference score and the second preference score based on the first weight and the second weight to obtain the comprehensive preference score.
According to an embodiment of the present disclosure, the obtaining, by thedecision module 430, a first weight corresponding to the first preference score, and the obtaining a second weight corresponding to the second preference score includes: thedecision module 430 is configured to determine a guest group category corresponding to the user according to the attribute data of the user, where different guest group categories represent different purchasing power levels; determining a price partition corresponding to the commodity according to the price of the commodity; constructing an offer preference model, wherein the input of the offer preference model comprises a first preference score of the customer group category relative to each offer type and a second preference score of the price partition relative to each offer type, the output of the offer preference model is the highest comprehensive preference score corresponding to the customer group category and the price partition, and the parameters of the offer preference model comprise a first weight parameter and a second weight parameter; acquiring the highest actual preference score corresponding to the passenger group category and the price partition; and optimizing parameters of the preference model by taking the highest actual preference score as a target, taking the value of the optimal first weight parameter as the first weight, and taking the value of the optimal second weight parameter as the second weight.
According to an embodiment of the present disclosure, the determining, by thedecision module 430, the class of the guest group corresponding to the user according to the attribute data of the user includes: thedecision module 430 is configured to determine the customer group category corresponding to the user based on the average revenue data, the average order price and/or the average consumption amount of the user within a preset time period.
According to an embodiment of the present disclosure, thedecision module 430 building the preference model includes: thedecision module 430 is configured to obtain attribute data of a plurality of sample users corresponding to the customer group category, and obtain attribute data of a plurality of sample commodities corresponding to the price partition; based on the attribute data of the plurality of sample users and the attribute data of the plurality of sample commodities; for any offer type, obtaining first preference scores of the sample users about the offer type based on attribute data of the sample users, and taking the sum of the first preference scores of the sample users about the offer type as the first preference score of the customer base class about the offer type; obtaining second preference scores of the price partitions corresponding to the sample commodities about the offer type based on attribute data of the sample commodities; and carrying out weighted summation on the first preference score of the customer group category relative to the offer type and the second preference score of the price partition relative to the offer type based on the first weight parameter and the second weight parameter to obtain the comprehensive preference score of the customer group category and the price partition relative to the offer type.
According to an embodiment of the present disclosure, the obtaining, by thedecision module 430, the highest actual preference score corresponding to the guest group category and the price partition includes: thedecision module 430 is configured to obtain fifth historical order data corresponding to any sample user and the price partition for any benefit type, where the number of orders including benefit information that meets the benefit type in the fifth historical order data is a ninth number, and the number of orders including benefit information that meets any benefit type in the fifth historical order data is a tenth number; taking the ratio of the fifth quantity to the sixth quantity as the actual preference scores of the sample users and the price partitions about the offer type, and taking the sum of the actual preference scores of the sample users and the price partitions about the offer type as the actual preference scores of the customer group category and the price partitions about the offer type; and comparing the actual preference scores of the customer group category and the price partition about each discount type to obtain the highest actual preference score corresponding to the customer group category and the price partition.
According to an embodiment of the present disclosure, the obtaining, by thedecision module 430, a first weight corresponding to the first preference score, and obtaining a second weight corresponding to the second preference score further includes: thedecision module 430 is further configured to, when the class of the guest group corresponding to the user cannot be determined, use a first preset value as the first weight, and use a second preset value as the second weight.
Theproduct search device 400 shown in fig. 4 may be disposed on the server side or the client side. It should be noted that the implementation, solved technical problems, implemented functions, and achieved technical effects of each module/unit/subunit and the like in the apparatus part embodiment are respectively the same as or similar to the implementation, solved technical problems, implemented functions, and achieved technical effects of each corresponding step in the method part embodiment, and are not described herein again.
Any number of modules, sub-modules, units, sub-units, or at least part of the functionality of any number thereof according to embodiments of the present disclosure may be implemented in one module. Any one or more of the modules, sub-modules, units, and sub-units according to the embodiments of the present disclosure may be implemented by being split into a plurality of modules. Any one or more of the modules, sub-modules, units, sub-units according to embodiments of the present disclosure may be implemented at least in part as a hardware circuit, such as a Field Programmable Gate Array (FPGA), a Programmable Logic Array (PLA), a system on a chip, a system on a substrate, a system on a package, an Application Specific Integrated Circuit (ASIC), or may be implemented in any other reasonable manner of hardware or firmware by integrating or packaging a circuit, or in any one of or a suitable combination of software, hardware, and firmware implementations. Alternatively, one or more of the modules, sub-modules, units, sub-units according to embodiments of the disclosure may be at least partially implemented as a computer program module, which when executed may perform the corresponding functions.
For example, any of the receivingmodule 410, the obtainingmodule 420, the decidingmodule 430, and theoutputting module 440 may be combined into one module to be implemented, or any one of them may be split into a plurality of modules. Alternatively, at least part of the functionality of one or more of these modules may be combined with at least part of the functionality of the other modules and implemented in one module. According to an embodiment of the present disclosure, at least one of the receivingmodule 410, the obtainingmodule 420, thedecision module 430, and theoutput module 440 may be implemented at least partially as a hardware circuit, such as a Field Programmable Gate Array (FPGA), a Programmable Logic Array (PLA), a system on a chip, a system on a substrate, a system on a package, an Application Specific Integrated Circuit (ASIC), or may be implemented in hardware or firmware in any other reasonable manner of integrating or packaging a circuit, or in any one of three implementations of software, hardware, and firmware, or in any suitable combination of any of them. Alternatively, at least one of the receivingmodule 410, the obtainingmodule 420, thedecision module 430, and theoutput module 440 may be at least partially implemented as a computer program module, which when executed, may perform a corresponding function.
Fig. 5 schematically shows a block diagram of a computer device adapted to implement the above described method according to an embodiment of the present disclosure. The computer device shown in fig. 5 is only an example and should not bring any limitation to the function and scope of use of the embodiments of the present disclosure.
As shown in fig. 5, acomputer device 500 according to an embodiment of the present disclosure includes aprocessor 501, which can perform various appropriate actions and processes according to a program stored in a Read Only Memory (ROM)502 or a program loaded from astorage section 508 into a Random Access Memory (RAM) 503. Theprocessor 501 may comprise, for example, a general purpose microprocessor (e.g., a CPU), an instruction set processor and/or associated chipset, and/or a special purpose microprocessor (e.g., an Application Specific Integrated Circuit (ASIC)), among others. Theprocessor 501 may also include onboard memory for caching purposes.Processor 501 may include a single processing unit or multiple processing units for performing different actions of a method flow according to embodiments of the disclosure.
In theRAM 503, various programs and data necessary for the operation of thecomputer apparatus 500 are stored. Theprocessor 501, theROM 502, and theRAM 503 are connected to each other by abus 504. Theprocessor 501 performs various operations of the method flows according to the embodiments of the present disclosure by executing programs in theROM 502 and/or theRAM 503. Note that the programs may also be stored in one or more memories other than theROM 502 and theRAM 503. Theprocessor 501 may also perform various operations of method flows according to embodiments of the present disclosure by executing programs stored in the one or more memories.
According to an embodiment of the present disclosure,computer device 500 may also include an input/output (I/O)interface 505, input/output (I/O)interface 505 also being connected tobus 504. Thecomputer device 500 may also include one or more of the following components connected to the I/O interface 505: aninput portion 506 including a keyboard, a mouse, and the like; anoutput portion 507 including a display such as a Cathode Ray Tube (CRT), a Liquid Crystal Display (LCD), and the like, and a speaker; astorage portion 508 including a hard disk and the like; and acommunication section 509 including a network interface card such as a LAN card, a modem, or the like. Thecommunication section 509 performs communication processing via a network such as the internet. Thedriver 510 is also connected to the I/O interface 505 as necessary. Aremovable medium 511 such as a magnetic disk, an optical disk, a magneto-optical disk, a semiconductor memory, or the like is mounted on thedrive 510 as necessary, so that a computer program read out therefrom is mounted into thestorage section 508 as necessary.
According to embodiments of the present disclosure, method flows according to embodiments of the present disclosure may be implemented as computer software programs. For example, embodiments of the present disclosure include a computer program product comprising a computer program embodied on a computer readable medium, the computer program comprising program code for performing the method illustrated in the flow chart. In such an embodiment, the computer program may be downloaded and installed from a network through thecommunication section 509, and/or installed from theremovable medium 511. The computer program, when executed by theprocessor 501, performs the above-described functions defined in the system of the embodiments of the present disclosure. The systems, devices, apparatuses, modules, units, etc. described above may be implemented by computer program modules according to embodiments of the present disclosure.
The present disclosure also provides a computer-readable storage medium, which may be contained in the apparatus/device/system described in the above embodiments; or may exist separately and not be assembled into the device/apparatus/system. The computer-readable storage medium carries one or more programs which, when executed, implement the method according to an embodiment of the disclosure.
According to embodiments of the present disclosure, the computer-readable storage medium may be a non-volatile computer-readable storage medium, which may include, for example but is not limited to: a portable computer diskette, a hard disk, a Random Access Memory (RAM), a read-only memory (ROM), an erasable programmable read-only memory (EPROM or flash memory), a portable compact disc read-only memory (CD-ROM), an optical storage device, a magnetic storage device, or any suitable combination of the foregoing. In the present disclosure, a computer readable storage medium may be any tangible medium that can contain, or store a program for use by or in connection with an instruction execution system, apparatus, or device. For example, according to embodiments of the present disclosure, a computer-readable medium may includeROM 502 and/orRAM 503 and/or one or more memories other thanROM 502 andRAM 503 described above.
The flowchart and block diagrams in the figures illustrate the architecture, functionality, and operation of possible implementations of systems, methods and computer program products according to various embodiments of the present disclosure. In this regard, each block in the flowchart or block diagrams may represent a module, segment, or portion of code, which comprises one or more executable instructions for implementing the specified logical function(s). It should also be noted that, in some alternative implementations, the functions noted in the block may occur out of the order noted in the figures. For example, two blocks shown in succession may, in fact, be executed substantially concurrently, or the blocks may sometimes be executed in the reverse order, depending upon the functionality involved. It will also be noted that each block of the block diagrams or flowchart illustration, and combinations of blocks in the block diagrams or flowchart illustration, can be implemented by special purpose hardware-based systems which perform the specified functions or acts, or combinations of special purpose hardware and computer instructions.
Those skilled in the art will appreciate that various combinations and/or combinations of features recited in the various embodiments and/or claims of the present disclosure can be made, even if such combinations or combinations are not expressly recited in the present disclosure. In particular, various combinations and/or combinations of the features recited in the various embodiments and/or claims of the present disclosure may be made without departing from the spirit or teaching of the present disclosure. All such combinations and/or associations are within the scope of the present disclosure.
The embodiments of the present disclosure have been described above. However, these examples are for illustrative purposes only and are not intended to limit the scope of the present disclosure. Although the embodiments are described separately above, this does not mean that the measures in the embodiments cannot be used in advantageous combination. The scope of the disclosure is defined by the appended claims and equivalents thereof. Various alternatives and modifications can be devised by those skilled in the art without departing from the scope of the present disclosure, and such alternatives and modifications are intended to be within the scope of the present disclosure.

Claims (18)

1. A method of merchandise search, comprising:
receiving a search request of a user for commodities;
acquiring a search result corresponding to the search request, wherein the search result comprises relevant information of the commodity;
obtaining a first preference score for the user for each offer type based on the attribute data of the user, comprising: for any offer type, obtaining a first preference score of the user about the any offer type based on attribute data of the user, wherein the first preference score of the user about the any offer type characterizes the preference degree of the user for the any offer type when facing any commodity;
obtaining a second preference score for the good with respect to each offer type based on the attribute data of the good, including: for any offer type, obtaining a second preference score of the commodity about the any offer type based on attribute data of the commodity, wherein the second preference score of the commodity about the any offer type represents preference degree of all users for the any offer type when facing the commodity;
determining an optimal offer type preferred by the user when facing the commodity based on a first preference score of the user with respect to each offer type and a second preference score of the commodity with respect to each offer type;
outputting the search result in association with offer information conforming to the optimal offer type;
the obtaining, for any offer type, a first preference score of the user for the any offer type based on the attribute data of the user includes:
acquiring first historical order data corresponding to the user aiming at any discount type, wherein the number of orders containing discount information conforming to the discount type in the first historical order data is a first number, and the number of orders containing discount information conforming to any discount type in the first historical order data is a second number;
acquiring second historical order data corresponding to all users, wherein the number of orders containing the preference information meeting the preference type in the second historical order data is a third number, and the number of orders containing the preference information meeting any preference type in the second historical order data is a fourth number;
taking the ratio of the first number to the second number relative to the ratio of the third number to the fourth number as the first preference score;
the obtaining, for any offer type, a second preference score of the good for the any offer type based on the attribute data of the good includes:
for any preference type, determining a price partition corresponding to the commodity based on the price of the commodity;
acquiring third history order data corresponding to the commodities in the price partition, wherein the number of orders containing the discount information conforming to the discount type in the third history order data is a fifth number, and the number of orders containing the discount information conforming to any discount type in the third history order data is a sixth number;
acquiring fourth historical order data corresponding to all commodities, wherein the number of orders containing the preference information meeting the preference type in the fourth historical order data is a seventh number, and the number of orders containing the preference information meeting any preference type in the fourth historical order data is an eighth number;
taking the ratio of the fifth quantity to the sixth quantity to the ratio of the seventh quantity to the eighth quantity as the second preference score.
2. The method of claim 1, wherein the determining an optimal offer type preferred by the user in the face of the good based on the attribute data of the user and the attribute data of the good comprises:
obtaining a combined preference score of the user and the commodity about the offer type based on the first preference score and the second preference score;
and taking the preferential type with the highest comprehensive preference score as the optimal preferential type.
3. The method of claim 2, wherein said deriving a composite preference score for the user and the good regarding the offer type based on the first preference score and the second preference score comprises:
acquiring a first weight corresponding to the first preference score and acquiring a second weight corresponding to the second preference score;
and carrying out weighted summation on the first preference score and the second preference score based on the first weight and the second weight to obtain the comprehensive preference score.
4. The method of claim 3, wherein obtaining a first weight corresponding to a first preference score and obtaining a second weight corresponding to a second preference score comprises:
determining a passenger group category corresponding to the user according to the attribute data of the user, wherein different passenger group categories represent different purchasing power levels;
determining a price partition corresponding to the commodity according to the price of the commodity;
constructing an offer preference model, wherein the input of the offer preference model comprises a first preference score of the customer group category relative to each offer type and a second preference score of the price partition relative to each offer type, the output of the offer preference model is the highest comprehensive preference score corresponding to the customer group category and the price partition, and the parameters of the offer preference model comprise a first weight parameter and a second weight parameter;
acquiring the highest actual preference score corresponding to the passenger group category and the price partition;
and optimizing parameters of the preference model by taking the highest actual preference score as a target, taking the value of the optimal first weight parameter as the first weight, and taking the value of the optimal second weight parameter as the second weight.
5. The method of claim 4, wherein the determining the class of the guest group corresponding to the user according to the attribute data of the user comprises:
and determining the class of the customer group corresponding to the user based on the average income data, the average order price and/or the average consumption amount of the user in a preset time period.
6. The method of claim 4, wherein the constructing an offer preference model comprises:
acquiring attribute data of a plurality of sample users corresponding to the passenger group category, and acquiring attribute data of a plurality of sample commodities corresponding to the price partition;
based on the attribute data of the plurality of sample users and the attribute data of the plurality of sample commodities;
for any offer type, obtaining first preference scores of the sample users about the offer type based on attribute data of the sample users, and taking the sum of the first preference scores of the sample users about the offer type as the first preference score of the customer base class about the offer type;
obtaining second preference scores of the price partitions corresponding to the sample commodities about the offer type based on attribute data of the sample commodities;
and carrying out weighted summation on the first preference score of the customer group category relative to the offer type and the second preference score of the price partition relative to the offer type based on the first weight parameter and the second weight parameter to obtain the comprehensive preference score of the customer group category and the price partition relative to the offer type.
7. The method of claim 6, wherein the obtaining a highest actual preference score for the guest group category and the price partition comprises:
for any benefit type, acquiring fifth historical order data corresponding to any sample user and the price partition, wherein the number of orders containing benefit information conforming to the benefit type in the fifth historical order data is a ninth number, and the number of orders containing benefit information conforming to any benefit type in the fifth historical order data is a tenth number;
taking the ratio of the ninth quantity to the tenth quantity as the actual preference scores of the sample users and the price partitions about the offer type, and taking the sum of the actual preference scores of the sample users and the price partitions about the offer type as the actual preference scores of the customer group category and the price partitions about the offer type;
and comparing the actual preference scores of the customer group category and the price partition about each discount type to obtain the highest actual preference score corresponding to the customer group category and the price partition.
8. The method of claim 4, wherein obtaining a first weight corresponding to a first preference score and obtaining a second weight corresponding to a second preference score further comprises:
and when the class of the passenger group corresponding to the user cannot be determined, taking a first preset value as the first weight and taking a second preset value as the second weight.
9. An article search device comprising:
the receiving module is used for receiving a search request of a user for commodities;
the acquisition module is used for acquiring a search result corresponding to the search request, and the search result comprises relevant information of the commodity;
a decision module for obtaining a first preference score for the user with respect to each offer type based on the obtained preference scores, comprising: for any offer type, obtaining a first preference score of the user about the any offer type based on the attribute data of the user, and obtaining a second preference score of the commodity about each offer type based on the attribute data of the commodity, including: for any offer type, obtaining a second preference score of the commodity about any offer type based on the attribute data of the commodity; determining an optimal offer type based on a first preference score of the user for each offer type and a second preference score of the commodity for each offer type, wherein the first preference score of the user for any offer type characterizes a degree of preference of the user for any offer type when facing the commodity, and the second preference score of the commodity for any offer type characterizes a degree of preference of the whole users for any offer type when facing the commodity;
the output module is used for outputting the search result in association with the preferential information conforming to the optimal preferential type;
the decision module is used for obtaining a first preference score of the user about any offer type based on the attribute data of the user aiming at any offer type, and comprises the following steps:
the decision module is used for acquiring first historical order data corresponding to the user aiming at any discount type, wherein the number of orders containing discount information conforming to the discount type in the first historical order data is a first number, and the number of orders containing discount information conforming to any discount type in the first historical order data is a second number; acquiring second historical order data corresponding to all users, wherein the number of orders containing the preference information meeting the preference type in the second historical order data is a third number, and the number of orders containing the preference information meeting any preference type in the second historical order data is a fourth number; taking the ratio of the first number to the second number relative to the ratio of the third number to the fourth number as the first preference score;
the decision module is used for obtaining a second preference score of the commodity about any offer type based on the attribute data of the commodity aiming at any offer type, and comprises the following steps:
the decision module is used for determining a price partition corresponding to the commodity based on the price of the commodity aiming at any preferential type; acquiring third history order data corresponding to the commodities in the price partition, wherein the number of orders containing the discount information conforming to the discount type in the third history order data is a fifth number, and the number of orders containing the discount information conforming to any discount type in the third history order data is a sixth number; acquiring fourth historical order data corresponding to all commodities, wherein the number of orders containing the preference information meeting the preference type in the fourth historical order data is a seventh number, and the number of orders containing the preference information meeting any preference type in the fourth historical order data is an eighth number; taking the ratio of the fifth quantity to the sixth quantity to the ratio of the seventh quantity to the eighth quantity as the second preference score.
10. The apparatus of claim 9, wherein,
the decision module is used for obtaining a comprehensive preference score of the user and the commodity about the discount type based on the first preference score and the second preference score for any discount type; and taking the preferential type with the highest comprehensive preference score as the optimal preferential type.
11. The apparatus of claim 10, wherein the decision module derives a composite preference score for the user and the good with respect to the offer type based on the first preference score and the second preference score comprises:
the decision module is used for acquiring a first weight corresponding to the first preference score and acquiring a second weight corresponding to the second preference score; and carrying out weighted summation on the first preference score and the second preference score based on the first weight and the second weight to obtain the comprehensive preference score.
12. The apparatus of claim 11, wherein the decision module obtains a first weight corresponding to a first preference score, and wherein obtaining a second weight corresponding to a second preference score comprises:
the decision module is used for determining the passenger group category corresponding to the user according to the attribute data of the user, and different passenger group categories represent different purchasing power levels; determining a price partition corresponding to the commodity according to the price of the commodity; constructing an offer preference model, wherein the input of the offer preference model comprises a first preference score of the customer group category relative to each offer type and a second preference score of the price partition relative to each offer type, the output of the offer preference model is the highest comprehensive preference score corresponding to the customer group category and the price partition, and the parameters of the offer preference model comprise a first weight parameter and a second weight parameter; acquiring the highest actual preference score corresponding to the passenger group category and the price partition; and optimizing parameters of the preference model by taking the highest actual preference score as a target, taking the value of the optimal first weight parameter as the first weight, and taking the value of the optimal second weight parameter as the second weight.
13. The apparatus of claim 12, wherein the decision module to determine the class of guest corresponding to the user from the attribute data of the user comprises:
the decision module is used for determining the passenger group category corresponding to the user based on the average income data, the average order price and/or the average consumption amount of the user in a preset time period.
14. The apparatus of claim 12, wherein the decision module to build an offer preference model comprises:
the decision module is used for acquiring attribute data of a plurality of sample users corresponding to the passenger group category and acquiring attribute data of a plurality of sample commodities corresponding to the price partition; based on the attribute data of the plurality of sample users and the attribute data of the plurality of sample commodities; for any offer type, obtaining first preference scores of the sample users about the offer type based on attribute data of the sample users, and taking the sum of the first preference scores of the sample users about the offer type as the first preference score of the customer base class about the offer type; obtaining second preference scores of the price partitions corresponding to the sample commodities about the offer type based on attribute data of the sample commodities; and carrying out weighted summation on the first preference score of the customer group category relative to the offer type and the second preference score of the price partition relative to the offer type based on the first weight parameter and the second weight parameter to obtain the comprehensive preference score of the customer group category and the price partition relative to the offer type.
15. The apparatus of claim 14, wherein the decision module obtaining a highest actual preference score for the guest group category and the price partition comprises:
the decision module is configured to obtain fifth historical order data corresponding to any sample user and the price partition for any benefit type, where the number of orders including benefit information meeting the benefit type in the fifth historical order data is a ninth number, and the number of orders including benefit information meeting any benefit type in the fifth historical order data is a tenth number; taking the ratio of the ninth quantity to the tenth quantity as the actual preference scores of the sample users and the price partitions about the offer type, and taking the sum of the actual preference scores of the sample users and the price partitions about the offer type as the actual preference scores of the customer group category and the price partitions about the offer type; and comparing the actual preference scores of the customer group category and the price partition about each discount type to obtain the highest actual preference score corresponding to the customer group category and the price partition.
16. The apparatus of claim 12, wherein the decision module obtains a first weight corresponding to a first preference score, and obtains a second weight corresponding to a second preference score further comprises:
the decision module is further configured to, when the class of the guest group corresponding to the user cannot be determined, use a first preset value as the first weight and use a second preset value as the second weight.
17. A computer device comprising a memory, a processor and a computer program stored on the memory and executable on the processor, the processor implementing the item search method of any one of claims 1-8 when executing the program.
18. A computer-readable storage medium having stored thereon executable instructions that, when executed by a processor, cause the processor to perform the item search method of any one of claims 1-8.
CN201811403386.5A2018-11-222018-11-22Commodity searching method and deviceActiveCN109213936B (en)

Priority Applications (1)

Application NumberPriority DateFiling DateTitle
CN201811403386.5ACN109213936B (en)2018-11-222018-11-22Commodity searching method and device

Applications Claiming Priority (1)

Application NumberPriority DateFiling DateTitle
CN201811403386.5ACN109213936B (en)2018-11-222018-11-22Commodity searching method and device

Publications (2)

Publication NumberPublication Date
CN109213936A CN109213936A (en)2019-01-15
CN109213936Btrue CN109213936B (en)2021-01-26

Family

ID=64994326

Family Applications (1)

Application NumberTitlePriority DateFiling Date
CN201811403386.5AActiveCN109213936B (en)2018-11-222018-11-22Commodity searching method and device

Country Status (1)

CountryLink
CN (1)CN109213936B (en)

Families Citing this family (8)

* Cited by examiner, † Cited by third party
Publication numberPriority datePublication dateAssigneeTitle
CN110059256B (en)*2019-04-262023-11-07北京沃东天骏信息技术有限公司System, method and device for displaying information
CN111178972A (en)*2019-12-302020-05-19北京每日优鲜电子商务有限公司Message pushing method and device, storage medium and equipment
CN111815377B (en)*2020-09-092020-12-29杭州鲜入为主网络科技有限公司E-commerce platform activity publishing method based on big data
WO2022056228A1 (en)*2020-09-112022-03-17Stratifyx, Inc.System and method for evaluating and optimizing land use
CN112070562B (en)*2020-09-202021-08-13包子信息技术(北京)有限公司Commodity identification method based on big data and electronic commerce and e-commerce system
CN114511368B (en)*2020-11-172025-07-04阿里巴巴集团控股有限公司 Data processing method, monitoring method, system and electronic equipment
CN114612128B (en)*2022-02-182025-04-15浙江开心果数智科技有限公司 Digital coupon generation method, device, equipment and medium based on big data
CN114663140A (en)*2022-03-212022-06-24中国工商银行股份有限公司Electronic ticket release strategy generation method and device

Citations (2)

* Cited by examiner, † Cited by third party
Publication numberPriority datePublication dateAssigneeTitle
CN107247759A (en)*2017-05-312017-10-13深圳正品创想科技有限公司A kind of Method of Commodity Recommendation and device
CN107862549A (en)*2017-11-032018-03-30北京翰宁智能科技有限责任公司A kind of reward voucher put-on method and system

Family Cites Families (3)

* Cited by examiner, † Cited by third party
Publication numberPriority datePublication dateAssigneeTitle
US8140442B2 (en)*2004-07-162012-03-20Gary E. HeyerMatching residential buyers and property owners to initiate a transaction for properties which are currently not listed for sale
CN105989135B (en)*2015-02-262019-12-13阿里巴巴集团控股有限公司Search result acquisition method and device
CN105678580A (en)*2016-01-062016-06-15北京京东尚科信息技术有限公司E-commerce platform and method for issuing coupons

Patent Citations (2)

* Cited by examiner, † Cited by third party
Publication numberPriority datePublication dateAssigneeTitle
CN107247759A (en)*2017-05-312017-10-13深圳正品创想科技有限公司A kind of Method of Commodity Recommendation and device
CN107862549A (en)*2017-11-032018-03-30北京翰宁智能科技有限责任公司A kind of reward voucher put-on method and system

Also Published As

Publication numberPublication date
CN109213936A (en)2019-01-15

Similar Documents

PublicationPublication DateTitle
CN109213936B (en)Commodity searching method and device
US20200234218A1 (en)Systems and methods for entity performance and risk scoring
CN112598472A (en)Product recommendation method, device, system, medium and program product
US20170243288A1 (en)Delivery apparatus, delivery method, non-transitory computer readable storage medium, and delivery system
US11257108B2 (en)Systems and methods for dynamic product offerings
CN113379511A (en)Method and apparatus for outputting information
CN114820196B (en) Information push method, device, equipment and medium
CN111754287A (en)Article screening method, apparatus, device and storage medium
CN110807687A (en)Object data processing method, device, computing equipment and medium
CN110796520A (en)Commodity recommendation method and device, computing equipment and medium
CN114119107A (en)Steel trade enterprise transaction evaluation method, device, equipment and storage medium
KR102682910B1 (en)Methods and systems for determining marketing efficiency based on similar products based on three-dimensional images and advertising according to the determined marketing efficiency
CN116308615A (en)Product recommendation method and device, electronic equipment and storage medium
CN115713384A (en)Method and device for recommending articles, storage medium and electronic equipment
JP6056061B2 (en) Information posting system
CN103455566B (en)Information displaying method and device
US20150134416A1 (en)Initial marketing campaign targets
CN118134542B (en)Position determining method and system for retail space
KR102572280B1 (en)Method and system for marketing online goods to users based on electronic payment data
CN112330351B (en)Method for selecting address, address selecting system and electronic equipment
KR102509573B1 (en)A method of valuing goods with an ESP solution
CN113254758B (en) Object recommendation method, object recommendation device, electronic device and storage medium
CN117994008B (en)Mobile commodity recommendation method and device, electronic equipment and storage medium
KR102861400B1 (en)Transaction and auction progress system for export of used cars
CN109992745A (en) Data processing method and system, computer system and computer readable medium

Legal Events

DateCodeTitleDescription
PB01Publication
PB01Publication
SE01Entry into force of request for substantive examination
SE01Entry into force of request for substantive examination
CB02Change of applicant information
CB02Change of applicant information

Address after:Room 221, 2nd floor, Block C, 18 Kechuang 11th Street, Beijing Daxing District, Beijing

Applicant after:JINGDONG DIGITAL TECHNOLOGY HOLDINGS Co.,Ltd.

Address before:Room 221, 2nd floor, Block C, 18 Kechuang 11th Street, Beijing Daxing District, Beijing

Applicant before:BEIJING JINGDONG FINANCIAL TECHNOLOGY HOLDING Co.,Ltd.

GR01Patent grant
GR01Patent grant
CP01Change in the name or title of a patent holder
CP01Change in the name or title of a patent holder

Address after:Room 221, 2 / F, block C, 18 Kechuang 11th Street, Daxing District, Beijing, 100176

Patentee after:Jingdong Technology Holding Co.,Ltd.

Address before:Room 221, 2 / F, block C, 18 Kechuang 11th Street, Daxing District, Beijing, 100176

Patentee before:Jingdong Digital Technology Holding Co.,Ltd.

Address after:Room 221, 2 / F, block C, 18 Kechuang 11th Street, Daxing District, Beijing, 100176

Patentee after:Jingdong Digital Technology Holding Co.,Ltd.

Address before:Room 221, 2 / F, block C, 18 Kechuang 11th Street, Daxing District, Beijing, 100176

Patentee before:JINGDONG DIGITAL TECHNOLOGY HOLDINGS Co.,Ltd.


[8]ページ先頭

©2009-2025 Movatter.jp