
技术领域:Technical field:
本发明涉及一种城市峡谷环境下用于测绘车辆的定位系统及方法,属于无线通信技术应用、多传感器数据融合及应用领域。The invention relates to a positioning system and method for surveying and mapping vehicles in an urban canyon environment, belonging to the fields of wireless communication technology application, multi-sensor data fusion and application.
背景技术:Background technique:
高精度的移动测图系统(Mobile Mapping Systems,MMS)为获取高精度地理信息和三维数字影像提供了技术保证。城市测绘车辆的导航定位模块通常采用卫星与航位推算相结合的方法,利用卫星导航系统和惯性导航系统的互补特性实现测绘车辆在城市环境下的精确定位。High-precision Mobile Mapping Systems (MMS) provides technical guarantees for obtaining high-precision geographic information and 3D digital images. The navigation and positioning module of the urban surveying and mapping vehicle usually adopts the method of combining satellite and dead reckoning, and uses the complementary characteristics of the satellite navigation system and the inertial navigation system to realize the precise positioning of the surveying and mapping vehicle in the urban environment.
以北斗为代表的全球卫星导航系统(Global Navigation Satellite System,GNSS)已经得到广泛的应用,然而,将GNSS技术应用于人口密集、服务需求最为广泛的城市区域时,仍面临微弱信号捕获与跟踪、多径效应以及信号频繁遮挡和阻塞导致的连续定位失败等挑战。城市峡谷中微弱信号及卫星定位中无法避免的多径效应对定位系统的精度和可靠性影响较大,在高精度的实时动态载波相位差分(RTK)定位需求中,多径抑制成为进一步改善卫星定位精度的关键问题,特别是发生在城市移动载体上变化较剧烈的动态短多径误差,增加了卫星接收机载波环路失锁可能性。虽然惯性导航系统可以在一定程度上抑制卫星短暂失锁时定位精度的恶化,帮助卫星接收机在信号恢复时更快地完成捕获跟踪,但是卫星/惯性组合导航系统无法满足连续卫星信号失锁时的高精度定位需求。The Global Navigation Satellite System (GNSS) represented by Beidou has been widely used. However, when GNSS technology is applied to urban areas with dense population and the most extensive service demands, it still faces weak signal acquisition and tracking, Challenges such as multipath effects and continuous positioning failures caused by frequent occlusion and blocking of signals. The weak signal in urban canyons and the unavoidable multipath effect in satellite positioning have a great impact on the accuracy and reliability of the positioning system. In the demand for high-precision real-time dynamic carrier phase differential (RTK) positioning, multipath suppression has become a further improvement in satellite positioning. The key problem of positioning accuracy, especially the dynamic short multipath error that occurs on the urban mobile carrier, which changes drastically, increases the possibility of the carrier loop of the satellite receiver losing lock. Although the inertial navigation system can suppress the deterioration of positioning accuracy when the satellite loses lock temporarily to a certain extent, and help the satellite receiver to complete the acquisition and tracking faster when the signal is recovered, the satellite/inertial integrated navigation system cannot meet the requirements of continuous satellite signal loss. high-precision positioning requirements.
针对卫星信号的遮挡和阻塞问题,目前的MMS系统通常采用快速通过遮挡区、减小卫星失锁时间或者选择合适时段(如应对大型车辆的遮挡,选择避开车辆高峰期;应对城市绿化的遮挡,选择在枯叶期作业)等方法减弱信号遮挡的影响,限制了MMS生成测绘数据的效率。城市峡谷带来的信号衰减,严重影响接收机的跟踪环路与定位解算模块的稳定性。In view of the blocking and blocking of satellite signals, the current MMS system usually adopts the method of quickly passing the blocking area, reducing the time when the satellite loses lock, or selecting an appropriate time period (for example, to cope with the blocking of large vehicles, choose to avoid the peak period of vehicles; to cope with the blocking of urban greenery) , choose to operate in the dead leaf period) and other methods to reduce the influence of signal occlusion, which limits the efficiency of MMS to generate mapping data. The signal attenuation caused by the urban canyon seriously affects the stability of the receiver's tracking loop and positioning solution module.
发明内容SUMMARY OF THE INVENTION
本发明的目的是提供一种城市峡谷环境下用于测绘车辆的定位系统及方法,能够改善城市峡谷中测绘车辆在信号衰减、信号阻塞、动态多径条件下的定位精度、提高系统的鲁棒性。The purpose of the present invention is to provide a positioning system and method for surveying and mapping vehicles in an urban canyon environment, which can improve the positioning accuracy of surveying and mapping vehicles in urban canyons under the conditions of signal attenuation, signal blocking and dynamic multipath, and improve the robustness of the system. sex.
上述的目的通过以下技术方案实现:The above purpose is achieved through the following technical solutions:
一种城市峡谷环境下用于测绘车辆的定位系统,包括:有源卫星天线模块、卫星射频接收模块、卫星基带处理模块、惯性导航模块、矢量跟踪模块、移动通信网络定位模块和组合导航模块;A positioning system for surveying and mapping vehicles in an urban canyon environment, comprising: an active satellite antenna module, a satellite radio frequency receiving module, a satellite baseband processing module, an inertial navigation module, a vector tracking module, a mobile communication network positioning module and an integrated navigation module;
所述有源卫星天线模块,用于接收卫星信号;the active satellite antenna module for receiving satellite signals;
所述卫星射频接收模块,将卫星信号经过下变频和AD采样转化为数字中频信号,送入卫星基带处理模块;The satellite radio frequency receiving module converts the satellite signal into a digital intermediate frequency signal through down-conversion and AD sampling, and sends it to the satellite baseband processing module;
所述卫星基带处理模块,完成本地载波与本地测距码的生成,并完成数字中频信号与本地载波、本地测距码的混频;The satellite baseband processing module completes the generation of the local carrier and the local ranging code, and completes the mixing of the digital intermediate frequency signal with the local carrier and the local ranging code;
所述惯性导航模块,将其估计的伪距误差δρINS和伪距率误差送入矢量跟踪模块,同时接收矢量跟踪模块发回的位置、速度、加速度、姿态的误差校正量;The inertial navigation module, which estimates the pseudorange error δρINS and the pseudorange rate error It is sent to the vector tracking module, and the error correction amount of position, velocity, acceleration and attitude sent back by the vector tracking module is received at the same time;
所述矢量跟踪模块,完成惯性导航模块和卫星基带处理模块送入信息的数据融合,并为惯性导航模块和卫星基带处理模块提供校正反馈;The vector tracking module completes the data fusion of the information sent by the inertial navigation module and the satellite baseband processing module, and provides correction feedback for the inertial navigation module and the satellite baseband processing module;
所述移动通信网络定位模块,将移动通信网络定位得到的位置、速度信息送入组合导航模块;The mobile communication network positioning module sends the position and speed information obtained by the mobile communication network positioning into the integrated navigation module;
所述组合导航模块,将惯性导航模块和移动通信网络定位模块送入的位置、速度信息进行融合,得到位置、速度的最优估计,并实现移动通信网络接入与否两种工作模式及结构的切换。The integrated navigation module fuses the position and speed information sent by the inertial navigation module and the mobile communication network positioning module to obtain the optimal estimation of the position and speed, and realizes two working modes and structures of whether the mobile communication network is connected or not. switch.
进一步的,所述卫星基带处理模块通过极大似然估计单元,将数字中频信号与本地载波、本地测距码混频得到的IGNSS、QGNSS信号转化为伪距误差δρGNSS和伪距率误差Further, the satellite baseband processing module converts the IGNSS and QGNSS signals obtained by mixing the digital intermediate frequency signal with the local carrier and the local ranging code into pseudorange error δρGNSS and pseudorange rate through the maximum likelihood estimation unit. error
进一步的,所述惯性导航模块包括3个单轴的加速度计和3个单轴的陀螺仪。Further, the inertial navigation module includes three single-axis accelerometers and three single-axis gyroscopes.
一种用上述城市峡谷环境下用于测绘车辆的定位系统进行城市峡谷环境下测绘车辆的定位方法,该方法包括如下步骤:A method for positioning a surveying and mapping vehicle in an urban canyon environment by using the above-mentioned positioning system for a surveying and mapping vehicle in an urban canyon environment, the method comprising the following steps:
(1)卫星基带信号处理模块和矢量跟踪模块共同进行卫星的捕获、跟踪、位同步、帧同步和定位解算,完成首次定位后对惯性导航模块进行初始化;(1) The satellite baseband signal processing module and the vector tracking module jointly perform satellite acquisition, tracking, bit synchronization, frame synchronization and positioning calculation, and initialize the inertial navigation module after completing the first positioning;
(2)完成步骤(1)后进入卫星/惯性组合导航模式,惯性导航模块根据IMU给出的位置、速度信息,估计出伪距误差δρINS和伪距率误差其中INS是惯性导航系统(InertialNavigation System)的简写,IMU是惯性测量单元(Inertial Measurement Unit)的简写;(2) After completing step (1), enter the satellite/inertial integrated navigation mode, and the inertial navigation module estimates the pseudorange error δρINS and the pseudorange rate error according to the position and velocity information given by the IMU INS is the abbreviation of Inertial Navigation System (Inertial Navigation System), and IMU is the abbreviation of Inertial Measurement Unit;
(3)卫星基带处理模块将接收到的数字中频信号与本地载波和本地测距码进行混频,得到IGNSS、QGNSS,其中I表示中频信号同相输出,Q表示中频信号正交输出。通过极大似然估计,从IGNSS、QGNSS中估计出伪距误差δρGNSS和伪距率误差将δρINS、与δρGNSS、的差值作为EKF的观测量,表示为:(3) The satellite baseband processing module mixes the received digital intermediate frequency signal with the local carrier and the local ranging code to obtain IGNSS and QGNSS , where I represents the in-phase output of the intermediate frequency signal, and Q represents the quadrature output of the intermediate frequency signal. The pseudorange error δρGNSS and pseudorange rate error are estimated from IGNSS , QGNSS by maximum likelihood estimation Set δρINS , with δρGNSS , The difference of , as an observation of the EKF, is expressed as:
其中dρ表示δρINS-δρGNSS,表示η代表噪声,各参数的下标数字代表卫星通道号,EKF是扩展卡尔曼滤波器(ExtendedKalmanFilter)的简写,GNSS是全球导航卫星系统(Global Navigation Satellite System)的简写;where dρ denotes δρINS - δρGNSS , express η represents noise, the subscript numbers of each parameter represent the satellite channel number, EKF is the abbreviation of Extended Kalman Filter, GNSS is the abbreviation of Global Navigation Satellite System (Global Navigation Satellite System);
(4)通过步骤(3)得到的位置、速度误差信息,矢量跟踪模块结合卫星星历估计出卫星信号的载波多普勒频率和伪码码相位,分别反馈到载波NCO和测距码NCO,形成闭环跟踪环路;其中NCO是数字控制振荡器(Numerically Controlled Oscillator)的简写,同时利用步骤(3)得到的位置、速度误差信息对惯性导航模块进行校正;(4) According to the position and velocity error information obtained in step (3), the vector tracking module estimates the carrier Doppler frequency and pseudocode code phase of the satellite signal in combination with the satellite ephemeris, and feeds them back to the carrier NCO and the ranging code NCO respectively, A closed-loop tracking loop is formed; wherein NCO is the abbreviation of Numerically Controlled Oscillator, and the inertial navigation module is corrected by using the position and velocity error information obtained in step (3);
(5)完成步骤(4)后进入移动通信网辅助模式,组合导航模块将惯性导航模块经校正后的位置、速度,与移动通信网络定位模块得到的位置、速度进行信息融合,得到最终的位置、速度信息。(5) After completing step (4), enter the mobile communication network auxiliary mode, and the integrated navigation module fuses the position and speed of the inertial navigation module after correction with the position and speed obtained by the mobile communication network positioning module to obtain the final position. , speed information.
进一步的,步骤(5)中的移动通信网络辅助模式的切换,以跟踪环路所处状态为判别标准,当所有跟踪通道全部失锁且连续失锁时间超出所设阈值时,系统按照上述步骤(5)中所述进入移动通信网络辅助模式;当不满足上述条件时,系统工作在卫星/惯性组合导航模式,以经校正后的惯性导航模块输出的位置、速度作为系统最终输出。Further, the switching of the mobile communication network auxiliary mode in step (5) is the criterion with the state where the tracking loop is located, and when all the tracking channels are all out of lock and the continuous out-of-lock time exceeds the set threshold, the system is in accordance with the above steps. Enter the mobile communication network auxiliary mode as described in (5); when the above conditions are not met, the system works in the satellite/inertial integrated navigation mode, and the position and speed output by the corrected inertial navigation module are used as the final output of the system.
进一步的,步骤(5)中所述的信息融合,采用卡尔曼滤波的方式来实现,以惯性导航模块和移动通信网络定位模块输出信息的差值作为观测量。Further, the information fusion described in step (5) is realized by means of Kalman filtering, and the difference between the output information of the inertial navigation module and the mobile communication network positioning module is used as the observation amount.
本发明的有益效果为:本发明采用基于极大似然估计的方法,从原始的导航信息I、Q值中获取伪距和伪距率误差信息,避免了传统鉴相器带来的非线性问题,与传统跟踪方法相比可以在高动态、信号遮挡条件下实现更为稳定持续的跟踪,对多径误差也有一定抑制作用。在基于极大似然估计的矢量跟踪基础上加入惯性辅助信息,实现卫星/惯性的深耦合,进一步提高了卫星接收机在高动态、微弱信号、强干扰条件下的跟踪性能。移动通信网络定位则提供了在城市复杂环境下,因卫星持续失锁导致精度快速恶化时的补充方案,并实现了多源导航信息下系统结构及工作模式的智能切换,提高了系统的可靠性,保证了测绘车辆持续稳定的高精度定位。The beneficial effects of the present invention are as follows: the present invention adopts a method based on maximum likelihood estimation, obtains pseudorange and pseudorange rate error information from the original navigation information I and Q values, and avoids the nonlinearity brought by the traditional phase detector. However, compared with the traditional tracking method, it can achieve more stable and continuous tracking under the conditions of high dynamics and signal occlusion, and it also has a certain inhibitory effect on multipath errors. On the basis of vector tracking based on maximum likelihood estimation, inertial auxiliary information is added to realize the deep coupling of satellite/inertial, which further improves the tracking performance of satellite receivers under high dynamic, weak signal and strong interference conditions. The mobile communication network positioning provides a supplementary solution when the accuracy deteriorates rapidly due to the continuous loss of satellite lock in the complex urban environment, and realizes the intelligent switching of the system structure and working mode under the multi-source navigation information, which improves the reliability of the system , to ensure the continuous and stable high-precision positioning of the surveying and mapping vehicles.
附图说明Description of drawings
图1为本发明的系统结构示意图。FIG. 1 is a schematic diagram of the system structure of the present invention.
图2为本发明的方法流程示意图。FIG. 2 is a schematic flow chart of the method of the present invention.
具体实施方式Detailed ways
如图1所示,一种用于城市峡谷环境下测绘车辆的定位系统,包括有源卫星天线模块、卫星射频接收模块、卫星基带处理模块、惯性导航模块、矢量跟踪模块、移动通信网络定位模块和组合导航模块。As shown in Figure 1, a positioning system for surveying and mapping vehicles in an urban canyon environment includes an active satellite antenna module, a satellite radio frequency receiving module, a satellite baseband processing module, an inertial navigation module, a vector tracking module, and a mobile communication network positioning module. and a combined navigation module.
有源卫星天线模块,在接收到实际的卫星信号之后,由卫星射频接收模块将卫星信号进行下变频和AD采样转化为数字中频信号,数字中频信号在卫星基带处理模块中与本地载波、本地测距码混频生成两路信号,分别是同相支路的IGNSS和正交支路的QGNSS,采用最大似然估计的方法可以从IGNSS、QGNSS中估计出伪距误差δρGNSS和伪距率误差同时惯性导航模块也可以根据位置、速度误差,结合星历估计出伪距误差δρINS和伪距率误差将两者之差δρINS-δρGNSS和作为矢量跟踪模块中数据融合单元的观测量。该数据融合单元采用扩展卡尔曼滤波的方式,将滤波结果作为惯性导航系统的反馈校正量,同时结合星历构造出视距方向上的载波NCO和测距码NCO的校正量,形成闭环回路,构成基于最大似然估计的卫星/惯性深耦合系统,以惯性导航模块经误差校正后输出的位置、速度信息作为系统输出。惯性导航系统包括3个单轴的加速度计和3个单轴的陀螺仪,分别用于测量三维坐标系下三个方向上的线加速度和角速度。The active satellite antenna module, after receiving the actual satellite signal, the satellite radio frequency receiving module converts the satellite signal into a digital intermediate frequency signal by down-conversion and AD sampling, and the digital intermediate frequency signal is combined with the local carrier and local measurement in the satellite baseband processing module. The range code mixing generates two signals, which are the IGNSS of the in-phase branch and the QGNSS of the quadrature branch. The maximum likelihood estimation method can be used to estimate the pseudorange error δρGNSS and pseudo range error from IGNSS and QGNSS . distance rate error At the same time, the inertial navigation module can also estimate the pseudo-range error δρINS and pseudo-range rate error according to the position and velocity errors combined with the ephemeris The difference between δρINS -δρGNSS and Observations as the data fusion unit in the vector tracking module. The data fusion unit adopts the method of extended Kalman filtering, takes the filtering result as the feedback correction amount of the inertial navigation system, and constructs the correction amount of the carrier NCO and the ranging code NCO in the line-of-sight direction in combination with the ephemeris, forming a closed loop. A satellite/inertial deep coupling system based on maximum likelihood estimation is constructed, and the position and velocity information output by the inertial navigation module after error correction is used as the system output. The inertial navigation system includes three single-axis accelerometers and three single-axis gyroscopes, which are respectively used to measure linear acceleration and angular velocity in three directions in a three-dimensional coordinate system.
该系统还包含了移动通信网络定位模块和组合导航模块,当卫星跟踪通道全部失锁,且持续失锁时间过长时,卫星/惯性深耦合系统的定位精度也将持续恶化。此时基于移动通信网络的定位方法可以作为补充,耦合到系统当中,将惯性导航系统提供的位置速度信息和移动通信网络定位得到的位置速度信息之间的差值作为观测量,采用卡尔曼滤波的形式进行信息融合。组合导航模块负责卡尔曼滤波算法的执行,以及移动通信网络接入与否两种工作模式及结构的切换。The system also includes a mobile communication network positioning module and an integrated navigation module. When all the satellite tracking channels are out of lock and the lock-out time is too long, the positioning accuracy of the satellite/inertial deep coupling system will also continue to deteriorate. At this time, the positioning method based on the mobile communication network can be used as a supplement, coupled to the system, the difference between the position and speed information provided by the inertial navigation system and the position and speed information obtained by the mobile communication network positioning is used as the observation value, and the Kalman filter is used. form of information fusion. The integrated navigation module is responsible for the execution of the Kalman filter algorithm, as well as the switching of the two working modes and structures of whether the mobile communication network is connected or not.
如图2所示,一种用于城市峡谷环境下测绘车辆的定位方法,包括如下步骤:As shown in Figure 2, a positioning method for a surveying and mapping vehicle in an urban canyon environment includes the following steps:
(1)卫星基带信号处理模块和矢量跟踪模块共同进行卫星的捕获、跟踪、位同步、帧同步和定位解算,完成首次定位后对惯性导航系统进行初始化;(1) The satellite baseband signal processing module and the vector tracking module jointly perform satellite acquisition, tracking, bit synchronization, frame synchronization and positioning calculation, and initialize the inertial navigation system after the first positioning is completed;
(2)完成步骤(1)后进入卫星/惯性组合导航模式,惯性导航模块根据IMU给出的位置、速度信息,估计出伪距误差δρINS和伪距率误差具体方法为:(2) After completing step (1), enter the satellite/inertial integrated navigation mode, and the inertial navigation module estimates the pseudorange error δρINS and the pseudorange rate error according to the position and velocity information given by the IMU The specific method is:
其中δR和δv分别代表惯性导航系统的位置误差和速度误差,c代表光速,δtu和δtru分别代表接收机的钟差和钟漂。where δR and δv represent the position error and velocity error of the inertial navigation system, respectively, c represents the speed of light, and δtu and δtru represent the clock error and clock drift of the receiver, respectively.
(3)卫星基带信号处理模块将接收到的数字中频信号与本地载波和本地测距码进行混频,得到IGNSS、QGNSS,其中I表示中频信号同相输出,Q表示中频信号正交输出。通过极大似然估计,从IGNSS、QGNSS中估计出伪距误差δρGNSS和伪距率误差将δρINS、与δρGNSS、的差值作为EKF的观测量,表示为:(3) The satellite baseband signal processing module mixes the received digital intermediate frequency signal with the local carrier and the local ranging code to obtain IGNSS and QGNSS , where I represents the in-phase output of the intermediate frequency signal, and Q represents the quadrature output of the intermediate frequency signal. The pseudorange error δρGNSS and pseudorange rate error are estimated from IGNSS , QGNSS by maximum likelihood estimation Set δρINS , with δρGNSS , The difference of , as an observation of the EKF, is expressed as:
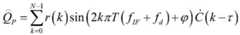
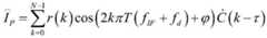
其中dρ表示δρINS-δρGNSS,表示η代表噪声,下标数字代表卫星通道号。δρGNSS和满足下式关系:where dρ denotes δρINS - δρGNSS , express η represents the noise, and the subscript numbers represent the satellite channel number. δρGNSS and Satisfy the following relationship:
其中,δτ表示测距码的码相位误差,fCA是测距码的标称频率,δfd是载波多普勒偏差,f是标称载波频率。假设数字中频信号表示为Among them, δτ represents the code phase error of the ranging code, fCA is the nominal frequency of the ranging code, δfd is the carrier Doppler deviation, and f is the nominal carrier frequency. Suppose the digital IF signal is expressed as
其中A表示信号幅度,C表示测距码序列,T为采样间隔,为载波初相位,fIF为数字中频信号频率,fd为载波多普勒频移,τ为码相位,nk为高斯白噪声,k为采样点序号。where A is the signal amplitude, C is the ranging code sequence, T is the sampling interval, is the initial phase of the carrier, fIF is the frequency of the digital intermediate frequency signal, fd is the Doppler frequency shift of the carrier, τ is the code phase, nk is the white Gaussian noise, and k is the sampling point number.
测距码相位误差和载波多普勒频率偏差可以通过下式得到:Ranging code phase error and carrier Doppler frequency deviation can be obtained by the following equations:
其中in
其中,下标P表示该信号属于即时相关支路,N表示在一个相关积分周期中采样点的个数。对测距码的一阶导数和二阶导数可以表示为Among them, the subscript P indicates that the signal belongs to the immediate correlation branch, and N indicates the number of sampling points in one correlation integration period. The first and second derivatives of the ranging code can be expressed as
其中d表示一个测距码码片的长度。where d represents the length of one ranging code chip.
(4)通过步骤(3)得到的位置、速度误差信息,矢量跟踪模块结合卫星星历估计出卫星信号的载波多普勒频率和伪码码相位,分别反馈到载波NCO和测距码NCO,形成闭环跟踪环路。同时利用步骤(3)得到的位置、速度误差信息对惯性导航模块进行校正。(4) According to the position and velocity error information obtained in step (3), the vector tracking module estimates the carrier Doppler frequency and pseudocode code phase of the satellite signal in combination with the satellite ephemeris, and feeds them back to the carrier NCO and the ranging code NCO respectively, A closed-loop tracking loop is formed. At the same time, the inertial navigation module is corrected by using the position and velocity error information obtained in step (3).
(5)完成步骤(4)后进入移动通信网辅助模式,组合导航模块将惯性导航模块经校正后的位置、速度,与移动通信网络定位模块得到的位置、速度进行信息融合,得到最终的位置、速度信息。移动通信网络辅助模式的切换,以跟踪环路所处状态为判别标准,当所有跟踪通道全部失锁且连续失锁时间超出所设阈值时,系统按照步骤(5)进入移动通信网络辅助模式。当不满足上述条件时,系统工作在卫星/惯性组合导航模式,以经校正后的惯性导航模块输出的位置、速度作为系统最终输出。惯性导航模块和移动通信网络定位模块的信息融合,采用卡尔曼滤波的方式来实现,以惯性导航模块和移动通信网络定位模块输出信息的差值作为观测量。(5) After completing step (4), enter the mobile communication network auxiliary mode, and the integrated navigation module fuses the position and speed of the inertial navigation module after correction with the position and speed obtained by the mobile communication network positioning module to obtain the final position. , speed information. The switching of the mobile communication network assist mode is based on the state of the tracking loop as the criterion. When all the tracking channels are all out of lock and the continuous lock out time exceeds the set threshold, the system enters the mobile communication network assist mode according to step (5). When the above conditions are not met, the system works in the satellite/inertial integrated navigation mode, and the position and speed output by the corrected inertial navigation module are used as the final output of the system. The information fusion of the inertial navigation module and the mobile communication network positioning module is realized by Kalman filtering, and the difference between the output information of the inertial navigation module and the mobile communication network positioning module is used as the observation quantity.
| Application Number | Priority Date | Filing Date | Title |
|---|---|---|---|
| CN201811201862.5ACN109212573B (en) | 2018-10-15 | 2018-10-15 | Positioning system and method for surveying and mapping vehicle in urban canyon environment |
| PCT/CN2019/077889WO2020077941A1 (en) | 2018-10-15 | 2019-03-12 | Surveying and mapping vehicle positioning system and method in urban canyon environment |
| Application Number | Priority Date | Filing Date | Title |
|---|---|---|---|
| CN201811201862.5ACN109212573B (en) | 2018-10-15 | 2018-10-15 | Positioning system and method for surveying and mapping vehicle in urban canyon environment |
| Publication Number | Publication Date |
|---|---|
| CN109212573A CN109212573A (en) | 2019-01-15 |
| CN109212573Btrue CN109212573B (en) | 2020-02-07 |
| Application Number | Title | Priority Date | Filing Date |
|---|---|---|---|
| CN201811201862.5AActiveCN109212573B (en) | 2018-10-15 | 2018-10-15 | Positioning system and method for surveying and mapping vehicle in urban canyon environment |
| Country | Link |
|---|---|
| CN (1) | CN109212573B (en) |
| WO (1) | WO2020077941A1 (en) |
| Publication number | Priority date | Publication date | Assignee | Title |
|---|---|---|---|---|
| CN109212573B (en)* | 2018-10-15 | 2020-02-07 | 东南大学 | Positioning system and method for surveying and mapping vehicle in urban canyon environment |
| CN112083465A (en)* | 2020-09-18 | 2020-12-15 | 德明通讯(上海)有限责任公司 | Location information acquisition system and method |
| CN113419265B (en)* | 2021-06-15 | 2023-04-14 | 湖南北斗微芯产业发展有限公司 | Positioning method and device based on multi-sensor fusion and electronic equipment |
| CN113820733B (en)* | 2021-07-26 | 2023-07-25 | 西安大衡天成信息科技有限公司 | Motion carrier navigation method and device based on directional antenna and Doppler information |
| CN114358958B (en)* | 2021-12-29 | 2025-03-18 | 浙江时空道宇科技有限公司 | Data processing method, vehicle-mounted terminal, data processing system and electronic equipment |
| CN114396943B (en)* | 2022-01-12 | 2024-07-23 | 国家电网有限公司 | Fusion positioning method and terminal |
| CN115097508B (en)* | 2022-06-17 | 2025-07-25 | 东南大学 | Satellite/inertial deep coupling method with multipath error estimator |
| CN115826017B (en)* | 2023-02-15 | 2023-05-09 | 武汉大学 | Constraint ambiguity positioning method, device, equipment and storage medium |
| CN116465417A (en)* | 2023-03-14 | 2023-07-21 | 河南工学院 | Positioning method and system for vehicle navigation |
| CN116660963A (en)* | 2023-04-21 | 2023-08-29 | 重庆交通大学 | Vehicle positioning method under tunnel group scene |
| CN117156394B (en)* | 2023-11-01 | 2024-02-02 | 航天晨光股份有限公司 | Tank car remote positioning monitoring system and method |
| CN120370372A (en)* | 2025-06-26 | 2025-07-25 | 长沙金维集成电路股份有限公司 | Communication navigation integrated vehicle-mounted chip, vehicle positioning system and positioning method |
| Publication number | Priority date | Publication date | Assignee | Title |
|---|---|---|---|---|
| CN107656300A (en)* | 2017-08-15 | 2018-02-02 | 东南大学 | The hypercompact combined system of satellite/inertia and method based on the Big Dipper/GPS dual-mode software receiver |
| CN207742329U (en)* | 2018-01-30 | 2018-08-17 | 威海五洲卫星导航科技有限公司 | A kind of tunnel Vehicle position and navigation system |
| Publication number | Priority date | Publication date | Assignee | Title |
|---|---|---|---|---|
| US8170085B2 (en)* | 2006-03-09 | 2012-05-01 | CSR Technology Holdings Inc. | Multipath error estimation in satellite navigation receivers |
| CN101867868B (en)* | 2010-03-26 | 2012-11-28 | 东南大学 | Combined navigation unit and implementing method thereof |
| CN102202392B (en)* | 2011-03-23 | 2014-03-26 | 郑州市神阳科技有限公司 | Auxiliary global positioning system (GPS) |
| JP5796329B2 (en)* | 2011-04-11 | 2015-10-21 | セイコーエプソン株式会社 | Position calculation method and position calculation apparatus |
| CN102621569A (en)* | 2012-03-22 | 2012-08-01 | 哈尔滨工程大学 | Distributed filtering global positioning and strapdown inertial navigation system combined navigation method |
| JP6060642B2 (en)* | 2012-11-20 | 2017-01-18 | 三菱電機株式会社 | Self-position estimation device |
| CN103995272B (en)* | 2014-06-11 | 2017-02-15 | 东南大学 | Inertial assisted GPS receiver achieving method |
| CN109212573B (en)* | 2018-10-15 | 2020-02-07 | 东南大学 | Positioning system and method for surveying and mapping vehicle in urban canyon environment |
| Publication number | Priority date | Publication date | Assignee | Title |
|---|---|---|---|---|
| CN107656300A (en)* | 2017-08-15 | 2018-02-02 | 东南大学 | The hypercompact combined system of satellite/inertia and method based on the Big Dipper/GPS dual-mode software receiver |
| CN207742329U (en)* | 2018-01-30 | 2018-08-17 | 威海五洲卫星导航科技有限公司 | A kind of tunnel Vehicle position and navigation system |
| Title |
|---|
| GPS/SINS深组合导航系统信息融合方法研究;王金兰;《中国优秀硕士学位论文全文数据库 信息科技辑》;20180615(第06期);第17-18页* |
| Publication number | Publication date |
|---|---|
| WO2020077941A1 (en) | 2020-04-23 |
| CN109212573A (en) | 2019-01-15 |
| Publication | Publication Date | Title |
|---|---|---|
| CN109212573B (en) | Positioning system and method for surveying and mapping vehicle in urban canyon environment | |
| CN109991640B (en) | Combined navigation system and positioning method thereof | |
| US8164514B1 (en) | Method and apparatus for fusing referenced and self-contained displacement measurements for positioning and navigation | |
| CN101666650B (en) | SINS/GPS super-compact integrated navigation system and implementing method thereof | |
| CN107656300B (en) | Satellite/inertia ultra-tight combination method based on Beidou/GPS dual-mode software receiver | |
| Hedgecock et al. | High-accuracy differential tracking of low-cost GPS receivers | |
| CN103235327B (en) | GNSS/MINS (global navigation satellite system/micro-electro-mechanical systems inertial navigation system) super-deep combination navigation method, system and device | |
| CN103116169B (en) | Anti-inference method based on vector tracking loop | |
| US20110156954A1 (en) | Position and Velocity Uncertainty Metrics in GNSS Receivers | |
| CN101666868A (en) | Satellite signal vector tracking method based on SINS/GPS deep integration data fusion | |
| CN103744096A (en) | Multi-information fusion positioning method and apparatus | |
| CN102636798A (en) | SINS (Strap-down Inertial Navigation System)/GPS (Global Position System) deeply-coupled navigation method based on loop state self-detection | |
| CN111273327A (en) | A Precise Single Point Positioning Method Based on Combined and Uncombined Mixed Observation Models | |
| CN112946711B (en) | A kind of navigation method of GNSS/INS integrated navigation system | |
| CN106199668A (en) | A kind of tandem type GNSS/SINS deep integrated navigation method | |
| CN115373007A (en) | Odometer positioning method based on relative change estimation of GNSS ambiguity of mobile phone | |
| CN102621569A (en) | Distributed filtering global positioning and strapdown inertial navigation system combined navigation method | |
| CN116299623A (en) | A compact combination method and system of PPP and INS in urban complex scenes | |
| Kiesel et al. | GNSS receiver with vector based FLL-assisted PLL carrier tracking loop | |
| CN105424062B (en) | One kind is for inertial navigation system combination synthesis correction method | |
| CN105676240A (en) | Vector tracking method of GPS receiver | |
| Jin et al. | Analysis of a federal Kalman filter-based tracking loop for GPS signals | |
| CN114488239A (en) | Close combination robust relative position sensing method for vehicle collaborative navigation | |
| TW448304B (en) | Fully-coupled positioning process and system | |
| Wang et al. | Performance analysis of MADOCA-enhanced tightly coupled PPP/IMU |
| Date | Code | Title | Description |
|---|---|---|---|
| PB01 | Publication | ||
| PB01 | Publication | ||
| SE01 | Entry into force of request for substantive examination | ||
| SE01 | Entry into force of request for substantive examination | ||
| GR01 | Patent grant | ||
| GR01 | Patent grant |