
技术领域technical field
本发明是关于一种基于显微多光谱技术对微塑料进行快速识别的装置,涉及环境监测及环境介质中微塑料的检测技术领域。The invention relates to a device for quickly identifying microplastics based on microscopic multispectral technology, and relates to the technical field of environmental monitoring and detection of microplastics in environmental media.
背景技术Background technique
塑料制品的广泛应用给人们带来了极大的便利。但是,被废弃的塑料产品会长时间积累在环境中,受物理、化学作用破碎成小的塑料碎片,而且能够进行远距离迁移,一部分塑料废弃物在风力、降水、河流流动等作用下进入海洋环境,经阳光辐射、生物侵蚀、潮汐和海浪冲刷等物理作用下破碎成更小的碎片。现有技术将这些尺寸大小在1nm至5mm的塑料材质纤维、颗粒和碎片定义为微塑料。微塑料在海洋环境中广泛分布,由于其较大的比表面积,更易吸附有机污染物和重金属。同时,微塑料容易被海洋生物摄取,造成危害。微塑料正逐渐成为一种新型的环境污染物引起人们广泛的关注。The wide application of plastic products has brought great convenience to people. However, discarded plastic products will accumulate in the environment for a long time, broken into small plastic fragments by physical and chemical effects, and can be migrated over long distances. Some plastic wastes enter the ocean under the action of wind, precipitation, river flow, etc. The environment is broken into smaller fragments by the physical action of sunlight radiation, biological erosion, tides and wave erosion. In the prior art, these plastic fibers, particles and fragments with a size of 1 nm to 5 mm are defined as microplastics. Microplastics are widely distributed in the marine environment and are more likely to adsorb organic pollutants and heavy metals due to their large specific surface area. At the same time, microplastics are easily ingested by marine organisms, causing harm. Microplastics are gradually becoming a new type of environmental pollutants that have attracted widespread attention.
开展微塑料的污染状况研究,需要对环境介质中微塑料的存在进行检测,后续的研究需要对微塑料进行定性分析,以获取微塑料污染的具体信息。目前国内外就塑料种类判别的方法主要有传统物化法和新型无损检测法,传统物化方法根据外观、密度、燃烧以及溶解度特性对塑料种类加以判别,通常使用的方法有外观判别法、密度判别法、溶解度法、热解法、燃烧判别、双重热分析法,上述方法均存在不同的缺点,导致难以大量推行。微塑料的新型定性分析通常使用扫描电镜、电子显微镜扫描、红外光谱、拉曼光谱、热解吸气相色谱-质谱等,这些设备适用于室内分析,普遍存在分析成本较高,分析环境条件要求较高的问题,难以用于采样现场的快速检测。To carry out research on the pollution status of microplastics, it is necessary to detect the existence of microplastics in environmental media, and subsequent research requires qualitative analysis of microplastics to obtain specific information on microplastic pollution. At present, the methods for identifying plastic types at home and abroad mainly include traditional physical and chemical methods and new non-destructive testing methods. Traditional physical and chemical methods distinguish plastic types according to appearance, density, combustion and solubility characteristics. The commonly used methods include appearance discrimination method and density discrimination method. , solubility method, pyrolysis method, combustion discrimination, dual thermal analysis method, the above methods all have different shortcomings, which makes it difficult to implement in large numbers. The new qualitative analysis of microplastics usually uses scanning electron microscopy, electron microscopy scanning, infrared spectroscopy, Raman spectroscopy, pyrolysis gas chromatography-mass spectrometry, etc. These equipments are suitable for indoor analysis, but there are generally high analysis costs and environmental conditions for analysis. The problem is relatively high, and it is difficult to be used for rapid detection on the sampling site.
塑料组成单体种类、加工工艺和添加剂成分及含量不同,其性能特征有着较为明显的差异。光谱分析技术是根据物质具有吸收、发射和散射光谱谱系的特征,来测定其性质、结构或含量的一类分析技术,具有灵敏、快速、准确、简便等优点。现有技术缺乏一种高效简单、准确率高、成本低的微塑料分离、纯化、定量方法,成为微塑料环境分布和毒理学相关研究的瓶颈。因此,只有优先发展新型的微塑料分离纯化和定量分析方法,才能够理解微塑料在环境中和生物体内的存在、迁移及转化过程。Different types of monomers, processing technology, and additive components and contents of plastics have different performance characteristics. Spectroscopic analysis technology is a kind of analytical technology to determine the properties, structure or content of substances according to the characteristics of absorption, emission and scattering spectra. It has the advantages of sensitivity, rapidity, accuracy and simplicity. The prior art lacks an efficient, simple, high-accuracy, and low-cost method for separating, purifying, and quantifying microplastics, which has become a bottleneck in research on the environmental distribution and toxicology of microplastics. Therefore, only by prioritizing the development of new methods for separation, purification and quantitative analysis of microplastics can we understand the existence, migration and transformation of microplastics in the environment and in vivo.
发明内容SUMMARY OF THE INVENTION
针对上述问题,本发明的目的是提供一种灵敏度高,简单易行,抗干扰能力强且检测效率高的基于显微多光谱技术对微塑料进行快速识别的装置。In view of the above problems, the purpose of the present invention is to provide a device for rapid identification of microplastics based on microscopic multispectral technology, which is highly sensitive, simple and easy to implement, has strong anti-interference ability and high detection efficiency.
为实现上述目的,本发明采取以下技术方案:一种基于显微多光谱技术对微塑料进行快速识别的装置,其特征在于,该装置包括多光谱光源、第一光学准直系统、第二光学准直系统、显微物镜、电动载物台、分光系统、CCD图像采集装置、数据处理装置和计算机;所述多光谱光源采用能够涵盖紫外、可见和近红外波段的宽波长光源,所述多光谱光源发出的宽波长光源通过所述第一光学准直系统准直成平行光;所述显微物镜聚焦用于聚焦平行光到所述电动载物台上放置的微塑料样品;所述第二光学准直系统用于对经微塑料样品漫反射的多光谱信号进行准直;所述分光系统用于将所述第二光学准直系统准直后的多光谱信号分成紫外光谱、可见光谱和红外光谱;所述CCD图像采集装置用于采集三种光谱信号并发送到所述数据处理装置;所述数据处理装置用于将采集的信号进行放大和AD转换后发送到所述计算机进行分析比对,完成微塑料样品的识别。In order to achieve the above object, the present invention adopts the following technical solutions: a device for quickly identifying microplastics based on microscopic multispectral technology, characterized in that the device comprises a multispectral light source, a first optical collimation system, a second optical A collimation system, a microscope objective lens, a motorized stage, a spectroscopic system, a CCD image acquisition device, a data processing device and a computer; the multi-spectral light source adopts a wide-wavelength light source that can cover ultraviolet, visible and near-infrared bands, and the multi-spectral light source The broad wavelength light source emitted by the spectral light source is collimated into parallel light by the first optical collimation system; the microscope objective lens is used for focusing the parallel light to the microplastic sample placed on the motorized stage; Two optical collimation systems are used for collimating the multispectral signals diffusely reflected by the microplastic samples; the spectroscopic system is used for dividing the multispectral signals collimated by the second optical collimation system into ultraviolet spectrum, visible spectrum and infrared spectrum; the CCD image acquisition device is used to collect three kinds of spectral signals and send them to the data processing device; the data processing device is used to amplify and AD convert the collected signals and send them to the computer for analysis Compare and complete the identification of microplastic samples.
进一步地,所述计算机内设置有电动载物台控制模块、样品数据库和光谱信息比对模块:所述电动载物台控制模块用于发送信号控制所述电动载物台的移动并记录移动轨迹;所述样品数据库设置有常见的塑料以及常见塑料添加剂、抗氧化剂、抗紫外线剂、成核剂、抗静电剂、增塑剂的紫外、红外、可见光谱信息和根据数据库信息构建的光谱分析预测模型;所述光谱信息比对模块用于获取所述待测微塑料的光谱信息,根据构建的样品数据库和光谱分析模型获得待测微塑料的种类、色素、添加剂、表面吸附修饰状况信息;并比对该测样点和相邻测样点的相似度,若相似度大于设定值,则认为该测样点与相邻测样点属于同一个微塑料颗粒,根据相邻测样点的间距和移动轨迹信息,估算待测微塑料样品的粒径和长度信息。Further, the computer is provided with an electric stage control module, a sample database and a spectral information comparison module: the electric stage control module is used to send a signal to control the movement of the electric stage and record the movement trajectory. ; The sample database is provided with common plastics and common plastic additives, antioxidants, anti-ultraviolet agents, nucleating agents, antistatic agents, and plasticizers of ultraviolet, infrared, and visible spectral information and spectral analysis predictions constructed according to the database information a model; the spectral information comparison module is used to obtain the spectral information of the microplastics to be tested, and obtain information on the types, pigments, additives, and surface adsorption and modification status of the microplastics to be tested according to the constructed sample database and the spectral analysis model; and Compare the similarity between the measurement point and the adjacent measurement points. If the similarity is greater than the set value, it is considered that the measurement point and the adjacent measurement point belong to the same microplastic particle. Spacing and movement trajectory information to estimate the particle size and length information of the microplastic sample to be tested.
进一步地,光谱分析预测模型的构建过程为:Further, the construction process of the spectral analysis prediction model is as follows:
1)采用正交信号校正预处理技术对选取的若干个已知样本的光谱进行预处理;1) Using the orthogonal signal correction preprocessing technology to preprocess the selected spectra of several known samples;
2)采用SPXY方法选取建模样本和预测样本;2) Using SPXY method to select modeling samples and prediction samples;
3)选用遗传算法对选取的样本进行特征波长提取;3) Selecting the genetic algorithm to extract the characteristic wavelength of the selected sample;
4)采用最小二乘支持向量机构建光谱分析预测模型;4) The least squares support vector machine is used to build a spectral analysis prediction model;
5)采用相关系数、相对分析误差和均方根误差对构建的光谱分析预测模型进行评价。5) Use correlation coefficient, relative analysis error and root mean square error to evaluate the constructed spectral analysis prediction model.
进一步地,所述多光谱光源采用卤钨灯。Further, the multi-spectral light source adopts a halogen tungsten lamp.
进一步地,所述分光系统采用平面反射式光栅单色仪。Further, the spectroscopic system adopts a plane reflection grating monochromator.
进一步地,所述数据处理装置包括放大器和AD转换器,所述放大器用于对接收的所述CCD图像采集装置的信号进行放大,所述AD转换器用于对放大的信号进行AD转换,并将AD转换后的信号发送到所述计算机。Further, the data processing device includes an amplifier and an AD converter, the amplifier is used for amplifying the received signal of the CCD image acquisition device, the AD converter is used for performing AD conversion on the amplified signal, and converts the amplified signal to AD. The AD converted signal is sent to the computer.
本发明由于采取以上技术方案,其具有以下优点:1、本发明将光谱技术应用于微塑料检测领域,利用不同微塑料反射光谱的不同,与之前建立的样品光谱库进行比对,达到快速检测的目的,具有灵敏度高,简单易行,抗干扰能力强,检测效率高等特点。2、本发明的整个检测过程,抗干扰能力强,检测结果可信度高,测量快速简便,成本低,适用范围广,可以用于室外环境的测量。Because the present invention adopts the above technical scheme, it has the following advantages: 1. The present invention applies spectral technology to the field of microplastics detection, utilizes the difference in reflection spectra of different microplastics, and compares with the previously established sample spectral library to achieve rapid detection It has the characteristics of high sensitivity, simple and easy operation, strong anti-interference ability and high detection efficiency. 2. The whole detection process of the present invention has strong anti-interference ability, high reliability of detection results, quick and simple measurement, low cost, wide application range, and can be used for measurement of outdoor environment.
附图说明Description of drawings
图1是本发明的基于显微多光谱技术对微塑料进行快速识别的装置原理示意图。FIG. 1 is a schematic diagram of the device for rapid identification of microplastics based on microscopic multispectral technology of the present invention.
具体实施方式Detailed ways
以下结合附图来对本发明进行详细的描绘。然而应当理解,附图的提供仅为了更好地理解本发明,它们不应该理解成对本发明的限制。The present invention will be described in detail below with reference to the accompanying drawings. It should be understood, however, that the accompanying drawings are provided only for a better understanding of the present invention, and they should not be construed to limit the present invention.
如图1所示,本发明提供的基于显微多光谱技术对微塑料进行快速识别的装置,包括多光谱光源1、光学准直系统2、显微物镜(图中未示出)、电动载物台3、分光系统4、CCD图像采集装置5、数据处理装置6和计算机7。As shown in Figure 1, the device for quickly identifying microplastics based on microscopic multispectral technology provided by the present invention includes a
多光谱光源1采用波长在200nm~2500nm能够涵盖紫外、可见和近红外波段的宽波长光源,多光谱光源1发出的宽波长光源通过光学准直系统2准直成平行并经显微物镜聚焦放置有待测微塑料样品的电动载物台3,经微塑料样品漫反射的多光谱信号经光学准直系统2准直成平行光并发射到分光系统4,分光系统4用于将多光谱信号分成紫外光谱、可见光谱和红外光谱,分光后的三种光谱信号经CCD图像采集装置5采集并发送到数据处理装置6,数据处理装置6用于将采集的信号进行放大和AD转换后发送到计算机7进行分析比对,快速识别微塑料样品。其中,计算机7还连接电动载物台3,计算机7控制电动载物台3进行连续移动并能够记录电动载物台3的运动轨迹,实现对微塑料样品的自动扫描。The
在一个优选的实施例中,多光谱光源1可以采用卤钨灯。In a preferred embodiment, the
在一个优选的实施例中,光学准直系统2可以采用限制入射光束的入射狭缝和使入射的发散光束变成平行光束的透镜。In a preferred embodiment, the
在一个优选的实施例中,分光系统4可以采用平面反射式光栅单色仪,用于将紫外、可见及红外三个光谱区的复合光分解为单色光。In a preferred embodiment, the
在一个优选的实施例中,数据处理装置6包括放大器和AD转换器,放大器用于对接收的CCD图像采集装置5的信号进行放大,AD转换器用于对放大的信号进行AD转换,并将AD转换后的信号发送到计算机7。In a preferred embodiment, the
在一个优选的实施例中,计算机7内设置有电动载物台控制模块、样品数据库和光谱信息比对模块:In a preferred embodiment, the
电动载物台控制模块用于发送信号控制电动载物台的移动并记录移动轨迹;The electric stage control module is used to send signals to control the movement of the electric stage and record the movement track;
样品数据库设置有常见的塑料例如聚乙烯、聚丙烯、聚碳酸酯、聚苯乙烯、尼龙塑料、聚对苯二甲酸乙二醇脂、聚氯乙烯、聚甲基丙烯酸酯和PC等,以及常见塑料添加剂、抗氧化剂、抗紫外线剂、成核剂、抗静电剂、增塑剂等物质的紫外、红外、可见光谱信息和根据数据库信息构建的光谱分析预测模型。The sample database is provided with common plastics such as polyethylene, polypropylene, polycarbonate, polystyrene, nylon plastics, polyethylene terephthalate, polyvinyl chloride, polymethacrylate, and PC, as well as common plastics. Ultraviolet, infrared and visible spectral information of plastic additives, antioxidants, anti-ultraviolet agents, nucleating agents, antistatic agents, plasticizers and other substances, and spectral analysis prediction models constructed based on database information.
光谱信息比对模块用于获取待测微塑料的光谱信息,采用OSC的预处理技术对待测样本光谱进行预处理,采用主成分分析与马氏距离相结合的方法剔除异常样本,根据构建的样品数据库和光谱分析模型获得待测微塑料的种类、色素、添加剂、表面吸附修饰状况等信息;由于连续测样,比对该测样点和相邻测样点的相似度,若相似度大于90%,则认为该测样点与相邻测样点属于同一个微塑料颗粒,根据相邻测样点的间距和移动轨迹信息,估算微塑料的粒径和长度等信息。The spectral information comparison module is used to obtain the spectral information of the microplastics to be tested. The spectrum of the sample to be tested is preprocessed by the preprocessing technology of OSC, and the abnormal samples are eliminated by the combination of principal component analysis and Mahalanobis distance. The database and spectral analysis model can obtain information such as the types, pigments, additives, surface adsorption and modification status of the microplastics to be measured; due to continuous sample measurement, compare the similarity between the measurement point and the adjacent measurement points, if the similarity is greater than 90 %, it is considered that the measurement point and the adjacent measurement points belong to the same microplastic particle, and the information such as the particle size and length of the microplastics is estimated according to the distance and movement trajectory information of the adjacent measurement points.
在一个优选的实施例中,光谱分析预测模型构建的具体方法:In a preferred embodiment, the specific method of spectral analysis prediction model construction:
1)光谱预处理1) Spectral preprocessing
本实施例采用OSC(正交信号校正,Orthogonal Signal Correction)的预处理技术对254个已知样本的光谱进行预处理,减少噪声,样本数的选择以此为例,可以根据实际需要进行选择。In this embodiment, the preprocessing technology of OSC (Orthogonal Signal Correction) is used to preprocess the spectra of 254 known samples to reduce noise. The selection of the number of samples is taken as an example, and can be selected according to actual needs.
2)建模集样本选择2) Modeling set sample selection
考虑到所要预测的组分变量的性质变化的影响,采用SPXY方法选取建模样本,本实施例采用SPXY((Sample Set Partitioning based on Joint x-y Distances)方法选取178个样本作为建模集,剩下76个样本作为预测集,该方法基于样本光谱变量之间的欧氏距离,在样本特征空间中均匀选取建模样本,两个样本之间的欧式距离计算公式为:Taking into account the influence of the change in the properties of the component variables to be predicted, the SPXY method is used to select the modeling samples. In this embodiment, the SPXY ((Sample Set Partitioning based on Joint x-y Distances) method is used to select 178 samples as the modeling set, and the remaining 76 samples are used as the prediction set. Based on the Euclidean distance between the spectral variables of the samples, the method selects the modeling samples uniformly in the sample feature space. The calculation formula of the Euclidean distance between the two samples is:
式中,dx(i,j)是样本光谱变量之间的欧氏距离;dy(i,j)是样本组分性质之间的欧氏距离,z是选择建模集总样本数,i、j是需要比较的两个样本。where dx (i, j) is the Euclidean distance between the sample spectral variables; dy (i, j) is the Euclidean distance between the properties of the sample components, z is the total number of samples selected for modeling, i, j are the two samples that need to be compared.
3)特征波长提取3) Feature wavelength extraction
采用全波长建立模型,会大大增加模型的复杂度和计算负担,同时降低模型的预测精度,引入无关变量和共线性变量。因此,本发明选用遗传算法来进行特征波长提取。遗传算法是一种自适应的全局概率搜索算法,借鉴了生物界自然选择和遗传机制,通过选择、交叉和突变,不断淘汰较差的变量,保留较好的变量,最终达到最优的结果。Using the full wavelength to build a model will greatly increase the complexity and computational burden of the model, while reducing the prediction accuracy of the model, introducing irrelevant variables and collinear variables. Therefore, the present invention selects the genetic algorithm to extract the characteristic wavelength. Genetic algorithm is an adaptive global probabilistic search algorithm, which draws on natural selection and genetic mechanisms in the biological world. Through selection, crossover and mutation, it continuously eliminates poor variables and retains better variables, and finally achieves the optimal result.
4)建立光谱分析预测模型4) Establish a spectral analysis prediction model
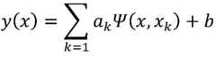
本发明采用最小二乘支持向量机(Least Squares-Support Vector Machine,LS-SVM)构建光谱分析预测模型,其原理是在函数拟合的同时把数据从低维向高维映射,然后在有等式约束的高维空间中根据最小化损失函数求解,最终获得线性拟合函数,具体过程为:The present invention adopts Least Squares-Support Vector Machine (LS-SVM) to construct a spectral analysis prediction model. In the high-dimensional space constrained by the formula, it is solved by minimizing the loss function, and finally the linear fitting function is obtained. The specific process is as follows:
假设训练样本集D={(xk,yk)|k=1,2,…,N},xk∈Rn,yk∈R,xk是输入数据,yk是输出数据。在权ω空间中的函数估计问题就转化成下列公式求导:Assuming that the training sample set D={(xk , yk )|k=1, 2, . . . , N}, xk ∈ Rn , yk ∈ R, xk is the input data, and yk is the output data. The function estimation problem in the weight ω space is transformed into the following formula for derivation:
约束条件为:The constraints are:
其中,为核空间映射函数,γ为惩罚系数,ek为误差变量,b是偏差量,损失函数J是SSE误差和规则化量之和。in, is the kernel space mapping function, γ is the penalty coefficient,ek is the error variable, b is the deviation, and the loss function J is the sum of SSE error and regularization.
根据上式,可定义拉格朗日函数:According to the above formula, the Lagrangian function can be defined:
式中,拉格朗日函数乘子ak∈R被称作支持值。求L对ω,b,ek,ak的偏导数等于0,消除ω,e,可得矩阵方程:In the formula, the Lagrangian function multiplierak ∈ R is called the support value. Find the partial derivatives of L with respect to ω, b, ek , and ak equal to 0, and eliminate ω and e, the matrix equation can be obtained:
其中in
根据Mercer条件,存在:According to the Mercer condition, there is:
核函数Ψ(xk,xl)可采用多项式核、多层感知核、B样条核、RBF核等,最小二乘支持向量机的函数估计为:The kernel function Ψ(xk , xl ) can use polynomial kernel, multi-layer perceptual kernel, B-spline kernel, RBF kernel, etc. The function estimation of least squares support vector machine is:
5)模型评估5) Model Evaluation
采用相关系数、相对分析误差和均方根误差对建立的光谱分析预测模型进行性能评价,此为现有技术,在此不做赘述。The correlation coefficient, relative analysis error and root mean square error are used to evaluate the performance of the established spectral analysis prediction model, which is the prior art and will not be repeated here.
下面通过具体实施例详细说明本发明的基于显微多光谱技术的微塑料快速识别装置的使用效果,具体过程为:The use effect of the microplastic rapid identification device based on microscopic multispectral technology of the present invention is described in detail below by specific embodiments, and the specific process is:
分别准备聚乙烯、聚丙烯、聚碳酸酯、聚苯乙烯、尼龙塑料,进行样品数据库建立实验。Prepare polyethylene, polypropylene, polycarbonate, polystyrene, nylon plastics respectively, and conduct sample database establishment experiments.
然后采用已知的微塑料样品进行实验,检验装置的稳定性,重复测试10次,正确识别率为95%,说明装置具有很好的稳定性。Then, experiments were carried out with known microplastic samples to test the stability of the device. The test was repeated 10 times, and the correct recognition rate was 95%, indicating that the device had good stability.
将10g不同的塑料颗粒样品进行混合,取1g样品进行检测,重复试验3次,总体识别率达90%。Mix 10g of different plastic particle samples, take 1g of sample for detection, repeat the
将环境介质中的微塑料样品进行装置检测,鉴别出聚乙烯塑料、聚氯乙烯塑料盒聚丙烯塑料,检测结果与用傅里叶变换红外光谱检测的结果一致,进一步说明本发明装置的可靠性。The microplastic samples in the environmental medium are detected by the device, and polyethylene plastics, polyvinyl chloride plastics and polypropylene plastics are identified. The detection results are consistent with the results detected by Fourier transform infrared spectroscopy, which further illustrates the reliability of the device of the present invention. .
上述各实施例仅用于说明本发明,其中各部件的结构、连接方式和制作工艺等都是可以有所变化的,凡是在本发明技术方案的基础上进行的等同变换和改进,均不应排除在本发明的保护范围之外。The above-mentioned embodiments are only used to illustrate the present invention, and the structure, connection method and manufacturing process of each component can be changed to some extent. Any equivalent transformation and improvement based on the technical solution of the present invention should not be used. Excluded from the scope of protection of the present invention.
| Application Number | Priority Date | Filing Date | Title |
|---|---|---|---|
| CN201811081095.9ACN109211803B (en) | 2018-09-17 | 2018-09-17 | A device for rapid identification of microplastics based on microscopic multispectral technology |
| Application Number | Priority Date | Filing Date | Title |
|---|---|---|---|
| CN201811081095.9ACN109211803B (en) | 2018-09-17 | 2018-09-17 | A device for rapid identification of microplastics based on microscopic multispectral technology |
| Publication Number | Publication Date |
|---|---|
| CN109211803A CN109211803A (en) | 2019-01-15 |
| CN109211803Btrue CN109211803B (en) | 2020-10-09 |
| Application Number | Title | Priority Date | Filing Date |
|---|---|---|---|
| CN201811081095.9AActiveCN109211803B (en) | 2018-09-17 | 2018-09-17 | A device for rapid identification of microplastics based on microscopic multispectral technology |
| Country | Link |
|---|---|
| CN (1) | CN109211803B (en) |
| Publication number | Priority date | Publication date | Assignee | Title |
|---|---|---|---|---|
| CN109211803B (en)* | 2018-09-17 | 2020-10-09 | 中国科学院生态环境研究中心 | A device for rapid identification of microplastics based on microscopic multispectral technology |
| CN110261346A (en)* | 2019-06-27 | 2019-09-20 | 浙江大学 | A method of quickly detecting PVC content in soil based near infrared spectrum |
| CN110197486B (en)* | 2019-07-02 | 2021-04-06 | 清华大学 | X-ray grating integrated imaging information extraction method, system and storage medium |
| EP3842787B1 (en)* | 2019-12-23 | 2023-04-26 | Sick Ag | Spectral sensor |
| CN112611566A (en)* | 2020-11-27 | 2021-04-06 | 中国航发四川燃气涡轮研究院 | Online particle detection method and device in high-temperature and high-speed airflow based on spectrum identification |
| CN113484261B (en)* | 2021-06-18 | 2024-10-08 | 北京市农林科学院 | A UV detection method for polyethylene terephthalate microplastics |
| IT202100029888A1 (en)* | 2021-11-25 | 2023-05-25 | Univ Degli Studi Di Firenze | METHOD OF IDENTIFICATION OF MICROPARTICLES, PARTICULARLY MICROPLASTICS, IN ENVIRONMENTAL MATRIX |
| CN114878549A (en)* | 2022-06-08 | 2022-08-09 | 河南科技大学 | A Raman Spectroscopy-Based Detection Method for Zea Aflatoxin |
| CN114998664A (en)* | 2022-07-18 | 2022-09-02 | 中国科学院烟台海岸带研究所 | A kind of multi-optical platform rapid detection method and detection device for microplastics in seawater |
| Publication number | Priority date | Publication date | Assignee | Title |
|---|---|---|---|---|
| CN2591594Y (en)* | 2002-12-31 | 2003-12-10 | 天津市九维光电科技有限公司 | Variable interference filter spectral small size micro-imaging spectrograph |
| CN1553166A (en)* | 2003-12-19 | 2004-12-08 | 武汉大学 | Microscopic multispectral bone marrow and peripheral blood cell automatic analyzer and method |
| CN1563947A (en)* | 2004-03-18 | 2005-01-12 | 中国科学院上海技术物理研究所 | High microspectrum imaging system |
| CN101303291A (en)* | 2008-06-05 | 2008-11-12 | 苏州大学 | Multi-channel multi-target hyperspectral imaging method and system based on digital micromirror device |
| CN101832941A (en)* | 2010-03-19 | 2010-09-15 | 天津大学 | Fruit quality evaluation device based on multispectral image |
| CN101922969A (en)* | 2010-08-30 | 2010-12-22 | 南通北极光自动控制技术有限公司 | Diffuse reflection spectrum analyzer of ultraviolet, visible and near-infrared on-line detection |
| CN102661919A (en)* | 2012-05-22 | 2012-09-12 | 江西科技师范大学 | Microscopical hyperspectral chromatography three-dimensional imaging device |
| CN203870023U (en)* | 2013-11-21 | 2014-10-08 | 中国科学院生态环境研究中心 | Fiber optic spectrometer containing blank solution |
| US20150042979A1 (en)* | 2012-06-26 | 2015-02-12 | Kla-Tencor Corporation | Diode laser based broad band light sources for wafer inspection tools |
| CN105127110A (en)* | 2015-08-24 | 2015-12-09 | 南京爱丁堡环保科技有限公司 | Universal type automatic sorting machine for multispectral imaging mixed plastics |
| CN105139022A (en)* | 2015-07-21 | 2015-12-09 | 天津大学 | Plastic identification model establishment method via near-infrared hyper-spectral image technology |
| CN105806819A (en)* | 2016-05-04 | 2016-07-27 | 江苏大学 | Method for simultaneously detecting various food-borne microorganisms based on nanometer fluorescent microscopy hyperspectral imaging technique |
| CN106370671A (en)* | 2016-10-12 | 2017-02-01 | 浙江理工大学 | PCB (printed circuit board) component detection system and method based on machine vision |
| WO2017066544A1 (en)* | 2015-10-15 | 2017-04-20 | Woods Hole Oceanographic Institution | System for rapid assessment of water quality and harmful algal bloom toxins |
| CN107764768A (en)* | 2017-09-20 | 2018-03-06 | 中国科学院生态环境研究中心 | Asbestos fibre method for qualitative and quantitative detection in a kind of water |
| CN107957401A (en)* | 2017-12-18 | 2018-04-24 | 中国科学院西安光学精密机械研究所 | Hyperspectral microimager for interventional tumor diagnosis |
| CN107966393A (en)* | 2017-12-07 | 2018-04-27 | 厦门大学 | Micro- plastic content and organism absorb the assay method of micro- plastics in a kind of seawater |
| CN107976428A (en)* | 2017-11-17 | 2018-05-01 | 中国计量大学 | The lossless real-time detection method and device of aquatic products chemical pollutant |
| CN108489910A (en)* | 2018-03-09 | 2018-09-04 | 大连理工大学 | Micro- plastics rapid detection method in a kind of Oysters based on hyperspectral technique |
| CN109211803A (en)* | 2018-09-17 | 2019-01-15 | 中国科学院生态环境研究中心 | A kind of device that micro- plastics are quickly identified based on micro- multispectral technology |
| Publication number | Priority date | Publication date | Assignee | Title |
|---|---|---|---|---|
| AR031557A1 (en)* | 2000-03-10 | 2003-09-24 | Textron Systems Corp | OPTICAL PROBE AND METHODS FOR SPECTRAL ANALYSIS. |
| US7459713B2 (en)* | 2003-08-14 | 2008-12-02 | Microptix Technologies, Llc | Integrated sensing system approach for handheld spectral measurements having a disposable sample handling apparatus |
| Publication number | Priority date | Publication date | Assignee | Title |
|---|---|---|---|---|
| CN2591594Y (en)* | 2002-12-31 | 2003-12-10 | 天津市九维光电科技有限公司 | Variable interference filter spectral small size micro-imaging spectrograph |
| CN1553166A (en)* | 2003-12-19 | 2004-12-08 | 武汉大学 | Microscopic multispectral bone marrow and peripheral blood cell automatic analyzer and method |
| CN1563947A (en)* | 2004-03-18 | 2005-01-12 | 中国科学院上海技术物理研究所 | High microspectrum imaging system |
| CN101303291A (en)* | 2008-06-05 | 2008-11-12 | 苏州大学 | Multi-channel multi-target hyperspectral imaging method and system based on digital micromirror device |
| CN101832941A (en)* | 2010-03-19 | 2010-09-15 | 天津大学 | Fruit quality evaluation device based on multispectral image |
| CN101922969A (en)* | 2010-08-30 | 2010-12-22 | 南通北极光自动控制技术有限公司 | Diffuse reflection spectrum analyzer of ultraviolet, visible and near-infrared on-line detection |
| CN102661919A (en)* | 2012-05-22 | 2012-09-12 | 江西科技师范大学 | Microscopical hyperspectral chromatography three-dimensional imaging device |
| US20150042979A1 (en)* | 2012-06-26 | 2015-02-12 | Kla-Tencor Corporation | Diode laser based broad band light sources for wafer inspection tools |
| CN203870023U (en)* | 2013-11-21 | 2014-10-08 | 中国科学院生态环境研究中心 | Fiber optic spectrometer containing blank solution |
| CN105139022A (en)* | 2015-07-21 | 2015-12-09 | 天津大学 | Plastic identification model establishment method via near-infrared hyper-spectral image technology |
| CN105127110A (en)* | 2015-08-24 | 2015-12-09 | 南京爱丁堡环保科技有限公司 | Universal type automatic sorting machine for multispectral imaging mixed plastics |
| WO2017066544A1 (en)* | 2015-10-15 | 2017-04-20 | Woods Hole Oceanographic Institution | System for rapid assessment of water quality and harmful algal bloom toxins |
| CN105806819A (en)* | 2016-05-04 | 2016-07-27 | 江苏大学 | Method for simultaneously detecting various food-borne microorganisms based on nanometer fluorescent microscopy hyperspectral imaging technique |
| CN106370671A (en)* | 2016-10-12 | 2017-02-01 | 浙江理工大学 | PCB (printed circuit board) component detection system and method based on machine vision |
| CN107764768A (en)* | 2017-09-20 | 2018-03-06 | 中国科学院生态环境研究中心 | Asbestos fibre method for qualitative and quantitative detection in a kind of water |
| CN107976428A (en)* | 2017-11-17 | 2018-05-01 | 中国计量大学 | The lossless real-time detection method and device of aquatic products chemical pollutant |
| CN107966393A (en)* | 2017-12-07 | 2018-04-27 | 厦门大学 | Micro- plastic content and organism absorb the assay method of micro- plastics in a kind of seawater |
| CN107957401A (en)* | 2017-12-18 | 2018-04-24 | 中国科学院西安光学精密机械研究所 | Hyperspectral microimager for interventional tumor diagnosis |
| CN108489910A (en)* | 2018-03-09 | 2018-09-04 | 大连理工大学 | Micro- plastics rapid detection method in a kind of Oysters based on hyperspectral technique |
| CN109211803A (en)* | 2018-09-17 | 2019-01-15 | 中国科学院生态环境研究中心 | A kind of device that micro- plastics are quickly identified based on micro- multispectral technology |
| Publication number | Publication date |
|---|---|
| CN109211803A (en) | 2019-01-15 |
| Publication | Publication Date | Title |
|---|---|---|
| CN109211803B (en) | A device for rapid identification of microplastics based on microscopic multispectral technology | |
| Muro et al. | Forensic body fluid identification and differentiation by Raman spectroscopy | |
| Cybulski et al. | From voids to Coma: the prevalence of pre-processing in the local Universe | |
| CN103234922A (en) | Rapid soil organic matter detection method based on large sample soil visible-near infrared spectrum classification | |
| CN111982838A (en) | Hyperspectrum-based coal rock identification and detection method | |
| CN107679569A (en) | Raman spectrum substance automatic identifying method based on adaptive hypergraph algorithm | |
| CN117216558B (en) | Coal quality analysis model training method and device, electronic equipment and storage medium | |
| CN103499552A (en) | Fast and intelligent waste plastic sorting method | |
| CN110108658A (en) | A kind of infrared spectra of pollutant gas recognition methods and system | |
| CN117491293A (en) | A hyperspectral-based rapid assessment method for carbonate rock mass dissolution on high steep bank slopes | |
| CN114878543A (en) | Raman spectroscopy detection and identification method and system for trace substances | |
| Sang et al. | A novel water optical types framework for Chinese inland waters with the application of multitype satellite sensor | |
| CN119619049A (en) | Parallel detection method of bauxite quality parameters based on TC-Unet | |
| Boumaraf et al. | Optimized flare performance analysis through multi-modal machine learning and temporal standard deviation enhancements | |
| CN111222543A (en) | Substance identification method and apparatus, and computer-readable storage medium | |
| CN105069462A (en) | Qualitative determination method for organic chemical based on spectral characteristic refinement and classifier cascading | |
| CN118940070A (en) | A method for preprocessing field rock and mineral spectral data | |
| Huang et al. | Application of hyperspectral imaging in environmental monitoring: air pollution classification and detection | |
| CN115015162B (en) | Near infrared spectroscopy model matching method | |
| Ying et al. | Identification of Disease Type of Tobacco Leaves Based on Near Infrared Spectroscopy and Convolutional Neural Network | |
| CN112884050B (en) | Quality detection method based on unsupervised active learning | |
| CN116026808A (en) | A Raman spectrum discrimination method and system | |
| Zeng et al. | Microplastic Detection and Monitoring in Biological and Environmental Systems: A Mini Review of Techniques and Strategies | |
| CN110174392B (en) | A fingerprint spectrum construction and identification method for multi-component complex oil products with high discriminating power | |
| CN111412987A (en) | Dynamic scanning detection device and method based on spectral characteristics |
| Date | Code | Title | Description |
|---|---|---|---|
| PB01 | Publication | ||
| PB01 | Publication | ||
| SE01 | Entry into force of request for substantive examination | ||
| SE01 | Entry into force of request for substantive examination | ||
| GR01 | Patent grant | ||
| GR01 | Patent grant |