Movatterモバイル変換


[0]ホーム

URL:


CN109210997B - Real soldier and intelligent target fight method based on intelligent live ammunition target system - Google Patents

Real soldier and intelligent target fight method based on intelligent live ammunition target system
Download PDF

Info

Publication number
CN109210997B
CN109210997BCN201811329876.5ACN201811329876ACN109210997BCN 109210997 BCN109210997 BCN 109210997BCN 201811329876 ACN201811329876 ACN 201811329876ACN 109210997 BCN109210997 BCN 109210997B
Authority
CN
China
Prior art keywords
target
terminal
soldier
real
command
Prior art date
Legal status (The legal status is an assumption and is not a legal conclusion. Google has not performed a legal analysis and makes no representation as to the accuracy of the status listed.)
Active
Application number
CN201811329876.5A
Other languages
Chinese (zh)
Other versions
CN109210997A (en
Inventor
不公告发明人
Current Assignee (The listed assignees may be inaccurate. Google has not performed a legal analysis and makes no representation or warranty as to the accuracy of the list.)
Individual
Original Assignee
Individual
Priority date (The priority date is an assumption and is not a legal conclusion. Google has not performed a legal analysis and makes no representation as to the accuracy of the date listed.)
Filing date
Publication date
Application filed by IndividualfiledCriticalIndividual
Priority to CN201811329876.5ApriorityCriticalpatent/CN109210997B/en
Publication of CN109210997ApublicationCriticalpatent/CN109210997A/en
Application grantedgrantedCritical
Publication of CN109210997BpublicationCriticalpatent/CN109210997B/en
Activelegal-statusCriticalCurrent
Anticipated expirationlegal-statusCritical

Links

Images

Classifications

Landscapes

Abstract

The invention discloses an intelligent live ammunition target system-based combat method for an actual soldier and an intelligent target, which comprises the steps of obtaining initial parameters set by the system, generating initialization instructions according to the initial parameters, and respectively sending the initialization instructions to each actual soldier terminal, each target terminal and/or a command terminal subsystem; receiving the state information of the actual soldiers at the actual terminals and the target state information of the target terminals, carrying out target battlefield reconnaissance calculation, obtaining the reconnaissance range of a single target terminal and a target squad, generating a exercise situation, and sending the exercise situation to the command terminal subsystem; distributing target real soldier terminal striking tasks for the target terminals according to the operational principle, carrying out target-to-real soldier shooting calculation, and sending the calculation results to each real soldier terminal, each target terminal and/or a command terminal subsystem; processing various interrupt events according to a preset program; when the preset conditions are met, the countermeasure exercise is finished; the invention can effectively improve and check the actual combat capability of the army.

Description

Real soldier and intelligent target fight method based on intelligent live ammunition target system
Technical Field
The invention belongs to the technical field of military training countertraining exercises, and particularly relates to an intelligent live ammunition target system-based soldier and intelligent target countertraining method.
Background
Military exercises are called military exercises for short, are exercises of operational commands and actions under the induction of imagination conditions, are comprehensive exercises of similar actual combat implemented by armies after theoretical learning and basic training are completed, and are advanced stages of military exercises.
Currently, the army exercises mainly distinguish two modes of soldier confrontation exercises and bullet shooting exercises. The actual combat exercise adopts a red-blue combat mode, and the aim of training the tactical level of the army is achieved by additionally arranging an actual combat system to combat the blue army. The current actual combat system combines a positioning system and a wireless communication system according to the basic principle of direct aiming weapon laser shooting and indirect aiming weapon shooting data, can realize the automatic judgment of red and blue confrontation casualties and the real-time display of exercise situation, but cannot simulate the actual weapon trajectory, shooting and explosion effects.
The practice shooting exercise adopts a unilateral exercise mode, and the practice shooting exercise is organized by arranging practice targets, so that the whole practice shooting hitting capability of the army is trained. The live ammunition target system utilizes the technical means of conductive target reporting, oscillation target reporting, shock wave target reporting and the like, can realize the purposes of stopping invisible display, moving along a preset track and real-time target reporting through manual control or programming, but has very low target intelligentization degree, no battlefield reconnaissance capability, reverse attack capability, autonomous countermeasure capability, electromagnetic, infrared, radar and other feature simulation capabilities, and cannot simulate a vivid enemy.
The soldier confrontation exercise can exercise the tactical level of the army, but the actual firing is not carried out, so that the battlefield tension atmosphere is lacked, and the actual hitting ability of the exercising army cannot be tested. Although the live-fire practice examines the hitting ability of the troops on live fire, the tactical confrontation atmosphere is insufficient, and the whole hitting ability of the troops under the fierce tactical confrontation is difficult to exercise. Because the tactical training is separated from the live-action shooting, the intellectualization degree of the target is low, the confrontation cannot be implemented, the real enemy is difficult to simulate, the combination of the live-action shooting of the army and the tactical training is insufficient, and the actual combat capability of the army is difficult to train and test.
Disclosure of Invention
The invention aims to provide an intelligent live ammunition target system-based combat method for an actual soldier and an intelligent target, and aims to solve the problems that the target intelligence degree is low, combat cannot be implemented, a real enemy is difficult to simulate, the combination of actual ammunition shooting and tactical training of an army is insufficient, and the combat capability of the army is difficult to train and test in the prior art.
The invention adopts the following technical scheme: the combat method of the real soldier and the intelligent target based on the intelligent live ammunition target system comprises the following steps:
acquiring initial parameters set by a system, generating initialization instructions according to the initial parameters, and respectively sending the initialization instructions to each real soldier terminal, each target terminal and/or a command terminal subsystem;
step a: receiving the actual state information of the actual terminal and the target state information of the target terminal, performing target battlefield reconnaissance calculation, generating a reconnaissance range of a single target terminal and a target squad, and sending the actual state information, the target state information and/or the reconnaissance range information of the target terminal to the command terminal subsystem so as to display the exercise situation;
distributing a hitting real soldier terminal task for each target terminal according to the operation principle, carrying out target-to-real soldier shooting calculation, and sending the calculation result to the corresponding real soldier terminal, target terminal and/or command terminal subsystem;
when receiving the shooting event information sent by the solid terminal:
carrying out shooting calculation of the real soldiers on the targets, and sending the calculation result to corresponding real soldier terminals, target terminals and/or command terminal subsystems;
when an arbitration control command sent by a command terminal subsystem is received:
forwarding the sanction control instruction to the corresponding real soldier terminal and/or target terminal;
when receiving a target command instruction sent by a command terminal subsystem:
carrying out target-to-real soldier shooting calculation and/or target battlefield maneuvering calculation according to the target command instruction, and sending the calculation result to the corresponding real soldier terminal, target terminal and/or command terminal subsystem;
c, circularly executing the step a until a preset condition is met, and ending the countermeasure exercise;
and synchronously storing the information and the instructions of all the steps into a database.
Preferably, the initial parameters specifically include:
the training mode of man-machine confrontation or red-blue confrontation, the initial state, the equipment type, the number and the membership of each soldier terminal and each target terminal.
Preferably, the target battlefield reconnaissance calculation method specifically comprises the following steps:
the current reconnaissance distance data of each target terminal are called from a database, a circle is drawn by taking the current position of the target terminal as the center and the reconnaissance distance data as the radius, regions which cannot form a common view in the circle are excluded, and the reconnaissance range of each target terminal is generated;
and overlapping the reconnaissance ranges of all the target terminals to form the reconnaissance range of the target squad.
Preferably, each target terminal is allocated with a hit real soldier terminal task according to a combat principle, wherein the combat principle specifically comprises the following steps:
when the target terminal has at least two real soldier terminals within the attack range:
selecting the real soldier terminal with the highest striking efficiency as a striking target;
when the hitting efficiencies of the real soldier terminals are the same, selecting the real soldier terminal with the largest weapon caliber as a hitting target;
when the hitting efficiency of the real soldier terminal is the same as the caliber of a weapon of the real soldier terminal, selecting the real soldier terminal with the minimum distance as a hitting target;
when two at least target terminals all can strike same soldier terminal:
selecting a target terminal with the highest striking efficiency to strike the solider terminal;
when the hitting efficiencies of the target terminals are the same, selecting the target terminal with the minimum distance to the real soldier terminal to hit the real soldier terminal;
and when the striking efficiencies of the target terminals are the same and the distance between the target terminals and the real soldier terminal is the same, selecting the target terminal with the largest residual ammunition amount to strike the real soldier terminal.
Preferably, the specific method for calculating the shooting of the target to the real soldier comprises the following steps:
acquiring the weapon type, the ammunition residual amount and the target real soldier terminal type of the target terminal through the database, and judging whether the target terminal can damage the real soldier target or not according to the weapon type, the ammunition residual amount and the target real soldier terminal type;
if not, judging whether the target terminal can be damaged by the solid soldier terminal, if so, sending a regional maneuvering instruction to the low risk index to the target terminal; if not, no instruction is sent;
if so, calculating the linear distance between the target real soldier terminal and the target terminal, and calling the effective range of the weapon type of the target terminal;
when the straight line distance is less than or equal to the effective range, performing core calculation of the target on the shooting of the real soldier, and sending a core calculation result to the real soldier terminal, the target terminal and/or the command terminal subsystem;
and when the linear distance is greater than the effective range, generating a maneuvering target position, generating a maneuvering route and maneuvering speed according to the maneuvering target position and the current position of the target terminal, sending the maneuvering route and maneuvering speed to the target terminal until the target terminal reaches the maneuvering target position and the linear distance is less than or equal to the effective range, performing core calculation of the target on the shooting of the real soldier, and sending a core calculation result to the real soldier terminal, the target terminal and/or the command terminal subsystem.
Preferably, the specific method for calculating the core of shooting of the target to the real soldier comprises the following steps:
updating the number of the remaining ammunition of the target terminal, generating attack state information, and respectively pushing the number of the remaining ammunition of the target terminal and the attack state information to the corresponding target terminal and command terminal subsystem;
by HAC=HL×(1-CAT) Determining the actual hit probability by extracting a random number R between 0 and 1, if R ≦ HACIf yes, the target real soldier terminal is hit, otherwise, the target real soldier terminal is not hit;
when the target solid soldier terminal is hit: by passing
Figure GDA0002438157740000051
Calculating the actual damage value of the target solid soldier terminal, and subtracting the actual damage value from the life value L of the target solid soldier terminal
Figure GDA0002438157740000052
Obtaining the residual life value of the target real soldier terminal, and sending the residual life value of the target real soldier terminal to the target real soldier terminal and command terminal subsystem so as to display the hit of the target real soldier terminal and the residual life value of the target real soldier terminal through the target real soldier terminal and command terminal subsystem;
judging whether the residual life value of the target solid terminal is zero or negative, if so, sending a target solid terminal casualty instruction to the target solid terminal and the command terminal subsystem so as to enable the target solid terminal and the command terminal subsystem to display the target solid terminal casualty state; if not, no instruction is sent;
wherein,
Figure GDA0002438157740000053
is the actual damage value of the target solid soldier terminal,
Figure GDA0002438157740000054
ability to attack weapon ammunition CPC’Is the protection factor, H, of the target soldier terminal CACIs the actual hit probability of the target terminal, HLIs the static target hit probability of the target terminal when the shooting distance is L, CATThe evasion coefficient of the tactical state when the target solid terminal is hit;
and when the target solid soldier terminal is not hit, no instruction is sent.
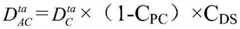
Preferably, the specific method for calculating the target shooting of the soldier is as follows:
calculating target terminal information shot by the real-time;
judging whether the target terminal is hit according to the real-time target state information of the target terminal:
when the target terminal is hit, the target terminal is passed
Figure GDA0002438157740000055
Calculating a damage value of the target terminal;
wherein,
Figure GDA0002438157740000056
for ammunition destruction capability of hitting target terminal, CPCAmmunition protection factor of target terminal, CDSThe damage coefficient of the hit part, C the ammunition type of the target terminal and S the hit part;
subtracting the damage value from the life value L of the hit target terminal
Figure GDA0002438157740000061
Obtaining the residual life value of the target terminal, and sending the residual life value of the target terminal to the target terminal and the command terminal subsystem so as to display the hit of the target terminal and the residual life value of the target terminal through the target terminal and the command terminal subsystem;
when the residual life value of the target terminal is zero or negative, sending a target terminal casualty instruction to the target terminal and the command terminal subsystem so that the target terminal and the command terminal subsystem display a target terminal casualty state;
and when the remaining life value of the target terminal is positive, sending a low-risk index region maneuvering instruction to the target terminal.
Preferably, the adjudication control command comprises a revival, casualty, damage and/or cheating adjudication command issued to the solider terminal and a damage, casualty, stealth and/or maneuvering control command issued to the target terminal.
Preferably, the specific method of target battlefield maneuver calculation is as follows:
generating a maneuvering route and maneuvering speed of the target terminal from the current position to the target position according to the maneuvering instruction, and sending the maneuvering route and the maneuvering speed to the target terminal;
and receiving real-time position information sent when the target terminal stops maneuvering, generating a maneuvering route and maneuvering speed of the target terminal from the current position to the target position when the target terminal does not reach the target position, and sending the maneuvering route and maneuvering speed to the target terminal until the target terminal reaches the target position.
Preferably, when the preset condition is met, the countermeasure exercise is ended; the preset conditions are specifically that a maneuver ending instruction issued by the command terminal subsystem is received, and/or casualty ratios of all target terminals or all the soldier terminals reach a preset value.
The invention has the beneficial effects that: the invention is based on an intelligent live ammunition target system, receives the postures, actions and hit information of the actual soldiers or targets respectively collected by each actual soldier terminal and each target terminal by operating two exercise modes of man-machine exercise and red-blue exercise, combines the pre-stored combat data, exercise rule data and command instructions of a blue army commander, performs combat calculation of the actual soldiers and the targets according to corresponding mathematical models, and feeds the combat results and the command instructions back to the corresponding actual soldier terminals, the target terminals and the command terminal subsystems, so that the target system has reconnaissance capacity, maneuverability, reverse attack capacity and various typical characteristic simulation capacities of targets, can simulate a vivid combat opponent which can be hit by the live ammunition, realizes the function of carrying out tactical combat by the intelligent targets controlled by the live ammunition and a computer or the blue army commander, and solves the problem of separating the shooting and tactical training of the army in the prior art, the training and fighting are consistent to the maximum extent, and the actual fighting capacity of the army is effectively improved and checked.
Drawings
FIG. 1 is a block diagram of an intelligent live ammunition target system used in the present invention
FIG. 2 is a flow chart of a first embodiment of the present invention;
FIG. 3 is a flow chart of a second embodiment of the present invention;
Detailed Description
The present invention will be described in detail below with reference to the accompanying drawings and specific embodiments.
The invention discloses a combat method for fighting soldiers against intelligent targets based on an intelligent live ammunition target system, which is based on the intelligent live ammunition target system and comprises a data processing center, a plurality of live ammunition terminals in data interaction with the data processing center, a plurality of target terminals in data interaction with the data processing center, a command terminal subsystem in data interaction with the data processing center and a database in data interaction with the data processing center, wherein the target terminals are connected with the data processing center through a data processing center; and the data processing center is in data communication with each real soldier terminal and each target terminal through the communication subsystem.
The real soldier terminal is a terminal assembled on real soldier personnel equipment and is used for acquiring status information such as identity identification codes, positions, personnel tactical states, vehicle states, weapon states and the like of each individual soldier or equipment and reporting the status information to the data processing center; the device is used for simulating and displaying the survival state and/or the cheating state of the corresponding individual soldier or equipment and/or controlling the corresponding individual soldier or equipment to stop or continue maneuvering and shooting according to the real soldier control instructions such as initialization, revival, damage, casualty, cheating and the like issued by the data processing center.
Wherein, the personnel tactical state is standing position, squatting position, lying position and/or creeping forward, bending forward and standing forward between the stop, the vehicle state is flameout between the stop, starting and/or traveling between the stop, and the weapon state comprises weapon posture, shooting bullet type, shooting parameter, shooting action, locking and/or insurance state.
The target terminal is a terminal which has the specific characteristics of a simulation target, can realize maneuvering, lifting and automatic detection of hit conditions, and is used for collecting the identification codes, positions, maneuvering speeds, hidden states of all targets, target state information such as whether the targets hit, hit bullet types, hit positions and the like, and reporting the information to the data processing center. The system is used for issuing or receiving target control instructions such as initialization (warning), maneuvering, attack, hidden display, damage, casualty and the like of the judge/debugging terminal according to the data processing center, displaying tactical states such as target warning and attack, survival states such as intact, injured, casualty, attacked and vital values and system states such as normal and fault of the target, controlling maneuvering and hidden display of the target, and displaying characteristics such as visible light, infrared, radar, electromagnetism and the like of the simulated target.
The command terminal subsystem is used for setting a man-machine confrontation or red-blue confrontation exercise mode, personnel equipment types, numbers and membership relations corresponding to all the soldier terminals and the target terminal, initial state parameters (invisible display, position, motion, ammunition number) and the like; the system is used for issuing an artificial judgment instruction to an actual soldier terminal and an artificial control instruction to a target terminal through a data processing center, evaluating war damage of both exercises and generating and managing exercise situation; the method is used for commanding and controlling all levels of combat units and/or individual combat target terminals of a target system to act under a red-blue combat exercise mode by blue army commanders, fighting damage assessment is carried out by the blue army commanders, and the visual angle battlefield situation of target squadron is checked.
And the communication subsystem can adopt wired communication and wireless communication technologies. The data communication method is used for data communication between the data processing center and each real soldier terminal and each target terminal.
And the data processing center is used for receiving the real soldier state information sent by the real soldier terminal, the target state information sent by the target terminal and the command control instruction sent by the command terminal subsystem, calling data preset in the database subsystem, and forming the real soldier state instruction, the target control instruction and feedback data after the calculation of the confrontation of the real soldiers and the targets, such as target battlefield reconnaissance, target battlefield maneuver, target-to-real soldier shooting, real soldier-to-target shooting, operation evaluation and the like according to various levels of manual instructions or system working flows, and feeding the real soldier state instruction, the target control instruction and the feedback data back to the corresponding real soldier terminal, target terminal, command terminal subsystem and database respectively.
And the database is used for storing a digital map of a maneuver region, performance data of weaponry and ammunition, military formation standard data, maneuver rule data and/or tactical data of an army, and recording engagement data of the whole maneuver in real time.
The invention discloses a real soldier and intelligent target fight method based on an intelligent live ammunition target system, which comprises the following steps:
the method comprises the following steps of obtaining initial parameters set by a system, storing the initial parameters in a database, obtaining the initial parameters from the database or obtaining the initial parameters in a manual setting mode, and specifically comprising the following steps:
the training mode of man-machine confrontation or red-blue confrontation, the initial state, the equipment type, the number and the membership of each soldier terminal and each target terminal.
And generating an initialization instruction according to the initial parameters, and respectively sending the initialization instruction to each soldier terminal, each target terminal and/or a command terminal subsystem so as to initialize the whole intelligent target live ammunition system.
Step a: and receiving the real soldier state information of the real soldier terminal and the target state information of the target terminal, and performing target battlefield reconnaissance calculation to obtain the reconnaissance range of a single target terminal and the target squad. And the state information of the real soldiers, the state information of the targets and/or the reconnaissance range information of the target terminals are sent to the command terminal subsystem, the command terminal subsystem generates exercise situations according to the exercise situations, and the exercise situations of different levels are distributed according to different seat authorities of director and adjudication seats, target command seats and the like of the command terminal subsystem. The method for carrying out target battlefield reconnaissance specifically comprises the following steps:
and calling current detection distance data of each target terminal from the database, wherein the detection distance data have different detection distance data according to different types of the target terminals. The current position of the target terminal is taken as the center, the reconnaissance distance data is taken as the radius to draw a circle, a circular reconnaissance area is formed in the whole exercise field, and various obstacles can block the reconnaissance of the target in the circular reconnaissance area, so that the region which cannot form a common view in the circle is excluded in the whole circular reconnaissance area, and the reconnaissance range of each target terminal is generated. And superposing the reconnaissance ranges of all target terminals (simple coverage superposition) to form the reconnaissance range of the target squad.
And distributing a hitting real soldier terminal task for the target terminal according to the operational principle, carrying out target-to-real soldier shooting calculation, and sending the calculation result to the corresponding real soldier terminal, target terminal and/or command terminal subsystem.
Specifically, a combat principle is adopted to distribute a combat solider terminal task for a target terminal, and the combat principle specifically comprises the following steps:
when the target terminal has at least two real soldier terminals within the attack range:
selecting the real soldier terminal with the highest striking efficiency as a striking target;
when the hitting efficiencies of the real soldier terminals are the same, selecting the real soldier terminal with the largest weapon caliber as a hitting target;
and when the hitting efficiency of the real soldier terminal is the same as the caliber of the weapon of the real soldier terminal, selecting the real soldier terminal with the minimum distance as a hitting target.
When two at least target terminals all can strike same soldier terminal:
selecting a target terminal with the highest striking efficiency to strike the solider terminal;
when the hitting efficiencies of the target terminals are the same, selecting the target terminal with the minimum distance to the real soldier terminal to hit the real soldier terminal;
and when the striking efficiencies of the target terminals are the same and the distance between the target terminals and the real soldier terminal is the same, selecting the target terminal with the largest residual ammunition amount to strike the real soldier terminal.
Through the operation principle, the situation that the target is disordered when the target terminal is allocated with the striking tasks can be avoided, the striking efficiency is further avoided to be low, various operation methods can be adopted in various operations in the striking process, and after one target terminal strikes one real soldier terminal, the operation principle can be continuously adopted to continuously allocate the tasks until all the real soldier terminals are killed.
The specific method for calculating the shooting of the target to the real soldier comprises the following steps:
acquiring the weapon type, the ammunition residual amount and the target real soldier terminal type of the target terminal through the database, and judging whether the target terminal can damage the real soldier target or not according to the weapon type, the ammunition residual amount and the target real soldier terminal type;
if not, judging whether the target terminal can be damaged by the solid soldier terminal, if so, sending a low-risk index region maneuvering instruction to the target terminal, and if not, not sending the instruction; (judgment standard: target terminal type can be damaged by real soldier terminal weapon type, and target terminal is in real soldier terminal weapon range)
If so, calculating the linear distance between the target real soldier terminal and the target terminal, and calling the effective range of the weapon type of the target terminal;
and when the linear distance is less than or equal to the effective range, performing core calculation of the target on the shooting of the real soldier, and sending a core calculation result to the real soldier terminal, the target terminal and/or the command terminal subsystem.
And when the linear distance is greater than the effective range, generating a maneuvering target position, generating a maneuvering route and maneuvering speed according to the maneuvering target position and the current position of the target terminal, sending the maneuvering route and maneuvering speed to the target terminal until the target terminal reaches the maneuvering target position and the linear distance is less than or equal to the effective range, performing core calculation of the target on the shooting of the real soldier, and sending a core calculation result to the real soldier terminal, the target terminal and/or the command terminal subsystem.
The specific method for calculating the core of shooting of the target on the real soldier comprises the following steps:
updating the number of the remaining ammunition of the target terminal, generating attack state information, and respectively pushing the number of the remaining ammunition of the target terminal and the attack state information to the corresponding target terminal and command terminal subsystem;
by HAC=HL×(1-CAT) Determining the actual hit probability by extracting a random number R between 0 and 1, if R ≦ HACIf yes, the target real soldier terminal is hit, otherwise, the target real soldier terminal is not hit;
when the target solid soldier terminal is hit: by passing
Figure GDA0002438157740000111
Calculating the actual damage value of the target solid soldier terminal, and subtracting the actual damage value from the life value L of the target solid soldier terminal
Figure GDA0002438157740000121
And obtaining the residual life value of the target real soldier terminal, and sending the residual life value of the target real soldier terminal to the target real soldier terminal and command terminal subsystem so as to display the hit of the target real soldier terminal and the residual life value of the target real soldier terminal through the target real soldier terminal and command terminal subsystem.
Judging whether the residual life value of the target solid terminal is zero or negative, if so, sending a target solid terminal casualty state instruction to the target solid terminal and the command terminal subsystem so as to enable the target solid terminal and the command terminal subsystem to display the target solid terminal casualty state; if not, no instruction is sent.
Wherein,
Figure GDA0002438157740000122
is the actual damage value of the target solid soldier terminal,
Figure GDA0002438157740000123
ability to attack weapon ammunition CPC’Is the protection factor, H, of the target soldier terminal CACIs the actual hit probability of the target terminal, HLIs the static target hit probability of the target terminal when the shooting distance is L, CATThe avoidance coefficient of the tactical state T when the target solid terminal is hit.
And when the target solid soldier terminal is not hit, no instruction is sent.
In the operation of the whole method, emergencies can occur, such as soldier terminal shooting, command terminal subsystem issuing adjudication control instructions or target command instructions and the like, different corresponding methods are adopted according to different types of the emergencies, and the specific scheme is as follows:
when receiving the shooting event information sent by the solid terminal:
and carrying out shooting calculation of the real soldiers on the target, and sending the calculation result to the corresponding real soldier terminal, target terminal and/or command terminal subsystem.
The specific method for calculating the target shooting of the real soldier comprises the following steps:
the method comprises the steps of calculating target terminal information shot by an actual terminal (namely which target terminal shot by the actual terminal) according to real-time actual state information of the actual terminal, updating the residual ammunition amount of the actual terminal through the actual state information, sending the residual ammunition amount to a command terminal subsystem, and displaying the situation of shooting the target terminal at the actual terminal through the command terminal subsystem, wherein the situation comprises shooting action, shooting fire lines and residual ammunition amount, and visual picture feeling is given to people.
Judging whether the target terminal is hit according to the real-time target state information of the target terminal:
when the target terminal is hit, the target terminal is passed
Figure GDA0002438157740000131
Calculating a damage value of the target terminal;
wherein,
Figure GDA0002438157740000132
for ammunition destruction capability of hitting target terminal, CPCAmmunition protection factor of target terminal, CDSThe damage coefficient of the hit part is C, the ammunition type of the target terminal is hit, S is the hit part, and the parameters are obtained in different modes according to different requirements, such as extraction from a database, acquisition from real-time real soldier state information or implementation target state information and the like.
Subtracting the damage value from the life value L of the hit target terminal
Figure GDA0002438157740000133
And obtaining the residual life value of the target terminal, and sending the residual life value of the target terminal to the target terminal and the command terminal subsystem so as to display the hit of the target terminal and the residual life value of the target terminal through the target terminal and the command terminal subsystem.
When the remaining life value of the target terminal is zero or negative, indicating that the target terminal is already in casualty, sending an casualty instruction of the target terminal to the target terminal and the command terminal subsystem, so that the command terminal subsystem displays the team mark of the target terminal as an casualty state, stops the target terminal from moving, displays the casualty state, and displays the time T after the casualtyDeath and deathAnd the back is hidden, so that the influence on the countermaneuver is avoided.
When the remaining life value of the target terminal is positive, a regional maneuvering instruction for low risk index is sent to the target terminal, the target is intelligentized, and the damage or killing of the terminal of an actual soldier is avoided. (calculation standard of danger index: low danger index of invisibility region between real soldier terminal and target terminal, low danger index of foreign region of real soldier terminal range, low danger index of inner region of own target range)
When an arbitration control command sent by a command terminal subsystem is received: and forwarding the sanction control instruction to the corresponding solider terminal and/or target terminal.
The judgment control instruction comprises a revival, casualty, damage and/or cheating judgment instruction issued to the real soldier terminal and a damage, casualty, hidden display and/or maneuvering control instruction issued to the target terminal.
When receiving a target command instruction sent by a command terminal subsystem:
carrying out target-to-real soldier shooting calculation and/or target battlefield maneuvering calculation according to the target command instruction, and sending the calculation result to the corresponding real soldier terminal, target terminal and/or command terminal subsystem;
the specific method for target battlefield maneuver calculation comprises the following steps:
and generating a maneuvering route and a maneuvering speed of the target terminal from the current position to the target position according to the maneuvering instruction, and sending the maneuvering route and the maneuvering speed to the target terminal.
And receiving real-time position information sent when the target terminal stops maneuvering, generating a maneuvering route and maneuvering speed of the target terminal from the current position to the target position when the target terminal does not reach the target position, and sending the maneuvering route and maneuvering speed to the target terminal until the target terminal reaches the target position.
Through the control instruction to the target terminal, the intellectualization of the target terminal can be effectively improved, and the tactical level of the army practice shooting training is improved.
And c, circularly executing the step a until a preset condition is met, wherein the preset condition is as follows: and (4) finishing the fight exercise until the casualty proportion of all the real soldier terminals or all the target terminals reaches a preset value or a finishing message sent by the command terminal subsystem is received. And synchronously storing the information and the instructions of all the steps into a database.
The first embodiment of the invention is a human-machine confrontation mode, and the target terminal of the mode can not receive a target command instruction sent by a blue army commander through a command terminal subsystem. Specifically, the training exercise is performed by an actual soldier and a target system controlled by a computer, as shown in fig. 2, the training exercise specifically comprises the following steps:
step S0: the exercise begins.
Step S1: receiving the exercise mode set by the command terminal subsystem and parameter information of each soldier terminal and target terminal, generating an initialization instruction, sending the initialization instruction to the corresponding soldier terminal and target terminal, and calling an exercise region digital map from the digital map library.
Step S2: and receiving the state information of the soldiers and the state information of the targets uploaded by each soldier terminal and each target terminal in real time, storing the information into a database, and synchronously sending the information to the command terminal subsystem for displaying the exercise confrontation state.
Step S3: and acquiring the detection distance data of each target terminal at the current weather and time by the detection equipment of the target terminal from the database. And drawing a circle by taking the current position of each target terminal as a center and the scouting distance as a radius, and excluding regions which cannot form a common view in the circle to form a scouting range of a single target terminal.
Step S4: by TLove of a personAnd (one period time) is used for carrying out information fusion for the period, and the reconnaissance ranges of all target terminals are overlapped to form the reconnaissance range of the target squad.
Step S5: and judging whether the real soldier terminal shoots according to the real-time state information of each real soldier terminal, and if so, executing step SA 1. If not, step S6 is performed.
Step SA 1: and calculating a shooting target of the real soldier according to the received real-time state information of the real soldier terminal, updating the residual ammunition amount of the real soldier terminal, and sending the shooting information to the command terminal subsystem so as to display the shooting action, the shooting fire line, the shooting target, the residual ammunition amount and other real soldier target shooting situation information of the real soldier terminal through the command terminal subsystem.
Step SA 2: and judging whether the target terminal at the position is hit or not by receiving the real-time state information of the corresponding target terminal. If so, step SA3 is performed. If not, step S7 is performed.
Step SA 3: extracting the type C and the hit part S of the ammunition hitting the target terminal from the real-time state information of the target terminal, and accordingly acquiring the damage capability of the ammunition from a database
Figure GDA0002438157740000151
Ammunition protection coefficient C of target terminalPCHit injury coefficient CDSCalculating the damage value of the target terminal
Figure GDA0002438157740000152
Figure GDA0002438157740000153
Subtracting the damage value from the life value L of the target terminal
Figure GDA0002438157740000154
And obtaining the residual life value of the target terminal, and sending the target hit information and the residual life value to the target terminal and the command terminal subsystem to enable the target terminal and the command terminal subsystem to display the hit state and the residual life value.
Step SA 4: and judging whether the life value of the blue army target terminal is zero or negative. If so, step SA5 is performed. If not, step SB2 is performed.
Step SA 5: to the target terminal and the command terminalAnd the subsystem sends a target casualty instruction so as to display the target casualty state through the target terminal and the command terminal subsystem. The target terminal stops moving when receiving an apoptosis instruction, displays the apoptosis state through an indicator worn by the target terminal, and displays time T after the apoptosisDeath and deathThe rear target is hidden. Step S15 is executed.
Step S6: and judging whether an arbitration control instruction of the command terminal subsystem is received or not. If so, step SC1 is executed. If not, step S7 is performed.
Step SC 1: and respectively sending the judgment control command issued by the command terminal subsystem to the corresponding real soldier terminal or target terminal. Step S7 is executed.
Step S7: and distributing the hitting tasks of the soldier terminals in the hitting range for each target terminal according to the operation principle.
Step S8: and judging whether the blue military target terminal can effectively damage the red military real soldier terminal target or not according to the information such as the weapon type, the residual ammunition, the effective range, the target type of the real soldier terminal and the like of the target terminal called from the database and the linear distance between the target terminal and the real soldier terminal. If so, step S9 is performed. If not, step SB1 is performed. And (4) judging the standard: the target terminal weapon can damage the type of the real soldier terminal target, the real soldier terminal target is within the range of the target terminal weapon, and the residual ammunition of the target terminal weapon is larger than 0.
Step SB 1: and judging whether the target terminal can be damaged by the solid terminal. And (4) judging the standard: the type of the target terminal can be damaged by the type of an actual weapon terminal, and the blue army target terminal is within the range of the red army terminal. If so, step SB2 is performed. If not, step S15 is performed.
Step SB 2: and calculating the danger index of the surrounding region, and sending an instruction to the target terminal according to the danger index to indicate the target terminal to maneuver to the region with the low danger index. Step S15 is executed. Calculation criteria: the danger indexes of the regions where the real soldier terminal and the target terminal are not in sight are low, the danger index of the region outside the range of the real soldier terminal is low, and the danger index of the region inside the range of the own target terminal is low.
Step S9: and the command target terminal shoots the distributed real soldier terminal targets, updates the number of the residual ammunition of the target terminal, and sends an attack command and the number of the residual ammunition of the target terminal to the target terminal and the command terminal subsystem. And if the hidden target terminal receives the hitting task, the target terminal stands up.
Step S10: the type C, the shooting distance L, the type C' and the tactical state T of the distributed real soldier terminal target of the target terminal weapon ammunition are called from a database, and the damage capability D of the ammunition is obtainedCStationary target hit probability H of shooting distance LLProtection coefficient C of equipment of real soldier terminal personnelPC’Avoidance coefficient C of corresponding tactical stateATCalculating the actual hit probability HAC=HL×(1-CAT) Actual damage value
Figure GDA0002438157740000171
Step S11: time of shooting through aiming TAiming deviceThen, the actual hit probability H is obtained according to calculationACAnd randomly determining whether the terminal target of the real soldier is hit. If so, step S12 is performed. If not, step S15 is performed. The judging method comprises the following steps: by extracting a random number R between 0 and 1, if R ≦ HACIf yes, the target real soldier terminal is hit, otherwise, the target real soldier terminal is not hit.
Step S12: subtracting the actual damage value from the life value L of the real soldier terminal
Figure GDA0002438157740000172
And obtaining the residual life value, and sending the hit information and the residual life value of the real soldier terminal to the corresponding real soldier terminal and command terminal subsystem so as to display the hit information and the residual life value of the real soldier terminal.
Step S13: and judging whether the terminal life value of the real soldier in the red army is zero or negative, and if so, executing the step S14. If not, step S15 is performed.
Step S14: and sending a target actual soldier terminal paroxysmal command to the actual soldier terminal and the command terminal subsystem so as to display the actual soldier terminal paroxysmal state through the actual soldier terminal and the command terminal subsystem.
Step S15: and judging whether the exercise is finished or not. And (4) judging the standard: and receiving a maneuver ending instruction issued by the command terminal subsystem, and/or enabling the casualty ratio of all the soldier terminals or all the target terminals to reach a preset value. If so, step S16 is performed. If not, step S2 is performed.
Step S16: and ending the exercise.
The information and instructions of all the steps are synchronously stored in a database.
The second embodiment of the present invention is a red-blue confrontation mode, specifically, a red army is an actual soldier terminal army, and a blue army is a target terminal army, as shown in fig. 2, specifically including the following steps:
step S0: the exercise begins.
Step S1: receiving the exercise mode set by the command terminal subsystem and parameter information of each soldier terminal and target terminal, generating an initialization instruction, sending the initialization instruction to the corresponding soldier terminal and target terminal, and calling an exercise region digital map from the digital map library.
Step S2: and receiving the state information of the soldiers and the state information of the targets uploaded by each soldier terminal and each target terminal in real time, storing the information into a database, and synchronously sending the information to the command terminal subsystem for displaying the exercise confrontation state.
Step S3: and acquiring the detection distance data of each target terminal at the current weather and time by the detection equipment of the target terminal from the database. And drawing a circle by taking the current position of each target terminal as a center and the scouting distance as a radius, and excluding regions which cannot form a common view in the circle to form a scouting range of a single target terminal.
Step S4: by TLove of a personAnd (one period time) is used for carrying out information fusion for the period, and the reconnaissance ranges of all target terminals are overlapped to form the reconnaissance range of the target squad.
Step S5: and judging whether the real soldier terminal shoots according to the real-time state information of each real soldier terminal, and if so, executing step SA 1. If not, step S6 is performed.
Step SA 1: and calculating a shooting target of the real soldier according to the received real-time state information of the real soldier terminal, updating the residual ammunition amount of the real soldier terminal, and sending the shooting information to the command terminal subsystem so as to display the shooting action, the shooting fire line, the shooting target, the residual ammunition amount and other real soldier target shooting situation information of the real soldier terminal through the command terminal subsystem.
Step SA 2: and judging whether the target terminal at the position is hit or not by receiving the real-time state information of the corresponding target terminal. If so, step SA3 is performed. If not, step S7 is performed.
Step SA 3: extracting the type C and the hit part S of the ammunition hitting the target terminal from the real-time state information of the target terminal, and accordingly acquiring the damage capability D of the ammunition from a databaseCAmmunition protection coefficient C of target terminalPCHit injury coefficient CDSCalculating the damage value of the target terminal
Figure GDA0002438157740000191
Figure GDA0002438157740000192
Subtracting the damage value from the life value L of the target terminal
Figure GDA0002438157740000193
And obtaining the residual life value of the target terminal, and sending the target hit information and the residual life value to the target terminal and the command terminal subsystem to enable the target terminal and the command terminal subsystem to display the hit state and the residual life value.
Step SA 4: and judging whether the life value of the blue army target terminal is zero or negative. If so, step SA5 is performed. If not, step SB2 is performed.
Step SA 5: and sending a target casualty instruction to the target terminal and the command terminal subsystem so as to display the target casualty state through the target terminal and the command terminal subsystem. The target terminal stops moving when receiving an apoptosis instruction, displays the apoptosis state through an indicator worn by the target terminal, and displays time T after the apoptosisDeath and deathThe rear target is hidden. Step S15 is executed.
Step S6: and judging whether a command control instruction of the command terminal subsystem is received. If so, step SC1 is executed. If not, step S7 is performed.
Step SC 1: and judging the type of the command control instruction. If it is the sanction control command issued by the director's sanction seat, step SC2 is executed. If the command is the target command issued by the target command seat, step SC3 is executed.
Step SC 2: and sending the judgment control instruction to corresponding real soldier terminals or target terminals and command terminal subsystems so as to display situation information through the command terminal subsystems. Step S7 is executed.
Step SC 3: and judging whether the commanded target terminal is hidden. If so, step SC4 is executed. If not, step SC5 is executed.
Step SC 4: and instructing the target terminal to stand up.
Step SC 5: and judging the type of the target command instruction. If the target directive is an attack directive, step SC6 is executed. If the target command instruction is a maneuver instruction, step SD1 is performed.
Step SC 6: and judging whether the target terminal can damage the target solid soldier terminal.
And (4) judging the standard: the target terminal weapon can damage the target soldier terminal type, and the target terminal ammunition surplus is greater than zero. If so, step SC7 is executed. If not, step SC11 is executed.
Step SC 7: and calculating the linear distance between the target terminal and the target real soldier terminal according to the real-time state information reported by the real soldier terminal and the target terminal, and calling the effective range of the target terminal weapon.
Step SC 8: and judging whether the target solid terminal is in the effective range of the target terminal weapon. If so, step S9 is performed. If not, step SC9 is executed.
Step SC 9: planning the maneuvering target position and the maneuvering route of the target terminal, and sending maneuvering instructions to the target terminal.
Step SC 10: information that the target terminal maneuvers to the target location is received. Step SC7 is performed.
Step SC 11: and returning the message of failure to attack to the command terminal subsystem. Step S15 is executed.
Step SD 1: planning a maneuvering route from the current position to the target position of the target terminal of the blue army according to the maneuvering instruction of the target commanding seat and the real-time state information of the real soldier terminal and the target terminal, calculating maneuvering speed, forming maneuvering instructions with elements such as planning maneuvering route, maneuvering speed, preset maneuvering position and the like, and sending the maneuvering instructions to the target terminal.
Step SD 2: receiving target state information reported when the target stops maneuvering;
step SD 3: and judging whether the target terminal reaches a preset maneuvering position or not according to the target state information. If so, step S7 is performed. If not, step SD1 is performed.
Step S7: and distributing the hitting tasks of the real soldier terminal targets in the hitting range for each target terminal according to the operation principle.
Step S8: and judging whether the blue military target terminal can effectively damage the red military real soldier terminal target or not according to the information such as the weapon type, the residual ammunition, the effective range, the target type of the real soldier terminal and the like of the target terminal called from the database and the linear distance between the target terminal and the real soldier terminal. If so, step S9 is performed. If not, step SB1 is performed. And (4) judging the standard: the target terminal weapon can damage the type of the real soldier terminal target, the real soldier terminal target is within the range of the target terminal weapon, and the residual ammunition of the target terminal weapon is larger than 0.
Step SB 1: and judging whether the target terminal can be damaged by the solid terminal. And (4) judging the standard: the type of the target terminal can be damaged by an actual weapon terminal, and the blue army target terminal is within the range of the red army terminal. If so, step SB2 is performed. If not, step S15 is performed.
Step SB 2: and calculating the danger index of the surrounding region, and sending an instruction to the target terminal according to the danger index to indicate the target terminal to maneuver to the region with the low danger index. Step S15 is executed. Calculation criteria: the danger indexes of the regions where the real soldier terminal and the target terminal are not in sight are low, the danger index of the region outside the range of the real soldier terminal is low, and the danger index of the region inside the range of the own target terminal is low.
Step S9: and the command target terminal shoots the distributed real soldier terminal targets, updates the number of the residual ammunition of the target terminal, and sends an attack command and the number of the residual ammunition of the target terminal to the target terminal and the command terminal subsystem. And if the hidden target terminal receives the hitting task, the target terminal stands up.
Step S10: the type C, the shooting distance L, the type C' and the tactical state T of the distributed real soldier terminal target of the target terminal weapon ammunition are called from a database, and the damage capability D of the ammunition is obtainedCStationary target hit probability H of shooting distance LLProtection coefficient C of equipment of real soldier terminal personnelPC’Avoidance coefficient C of corresponding tactical stateATCalculating the actual hit probability HAC=HL×(1-CAT) Actual damage value
Figure GDA0002438157740000221
Step S11: time of shooting through aiming TAiming deviceThen, the actual hit probability H is obtained according to calculationACAnd randomly determining whether the terminal target of the real soldier is hit. If so, step S12 is performed. If not, step S15 is performed. The judging method comprises the following steps: by extracting a random number R between 0 and 1, if R ≦ HACIf yes, the target real soldier terminal is hit, otherwise, the target real soldier terminal is not hit.
Step S12: subtracting the actual damage value from the life value L of the real soldier terminal
Figure GDA0002438157740000222
And obtaining the residual life value, and sending the hit information and the residual life value of the real soldier terminal to the corresponding real soldier terminal and command terminal subsystem so as to display the hit information and the residual life value of the real soldier terminal.
Step S13: and judging whether the terminal life value of the real soldier in the red army is zero or negative, and if so, executing the step S14. If not, step S15 is performed.
Step S14: and sending a target actual soldier terminal paroxysmal command to the actual soldier terminal and the command terminal subsystem so as to display the actual soldier terminal paroxysmal state through the actual soldier terminal and the command terminal subsystem.
Step S15: and judging whether the exercise is finished or not. And (4) judging the standard: and receiving a maneuver ending instruction issued by the command terminal subsystem, and/or enabling the casualty ratio of all the soldier terminals or all the target terminals to reach a preset value. If so, step S16 is performed. If not, step S2 is performed.
Step S16: and ending the exercise.
The information and instructions of all the steps are synchronously stored in a database.

Claims (10)

1. The combat method of the real soldier and the intelligent target based on the intelligent live ammunition target system is characterized by comprising the following steps:
acquiring initial parameters set by a system, generating initialization instructions according to the initial parameters, and respectively sending the initialization instructions to each real soldier terminal, each target terminal and/or a command terminal subsystem;
step a: receiving the actual state information of the actual terminal and the target state information of the target terminal, performing target battlefield reconnaissance calculation, generating a reconnaissance range of a single target terminal and a target squad, and sending the actual state information, the target state information and/or the reconnaissance range information of the target terminal to the command terminal subsystem so as to display the exercise situation;
distributing a hitting real soldier terminal task for each target terminal according to the operational principle, carrying out target-to-real soldier shooting calculation, and sending the calculation result to the corresponding real soldier terminal, target terminal and/or command terminal subsystem;
when receiving the shooting event information sent by the solid terminal:
carrying out shooting calculation of the real soldiers on the targets, and sending the calculation result to corresponding real soldier terminals, target terminals and/or command terminal subsystems;
when an arbitration control command sent by the command terminal subsystem is received:
forwarding the sanction control instruction to a corresponding real soldier terminal and/or a target terminal;
when receiving a target command instruction sent by the command terminal subsystem:
carrying out target-to-soldier shooting calculation and/or target battlefield maneuvering calculation according to the target command instruction, and sending the calculation result to the corresponding soldier terminal, target terminal and/or command terminal subsystem;
c, circularly executing the step a until a preset condition is met, and ending the countermeasure exercise;
and synchronously storing the information and the instructions of all the steps into a database.
2. The method for combat soldier-intelligent target confrontation based on the intelligent live ammunition target system according to claim 1, wherein the initial parameters specifically comprise:
the training mode of man-machine confrontation or red-blue confrontation, the initial state, the equipment type, the number and the membership of each soldier terminal and each target terminal.
3. The method for combat confrontation between real soldiers and intelligent targets based on the intelligent live ammunition target system as claimed in claim 1 or 2, wherein the target battlefield reconnaissance calculation method specifically comprises the following steps:
calling current reconnaissance distance data of each target terminal from the database, drawing a circle by taking the current position of the target terminal as a center and the reconnaissance distance data as a radius, excluding regions which cannot form a common view in the circle, and generating a reconnaissance range of each target terminal;
and superposing the reconnaissance ranges of the target terminals to form the reconnaissance range of the target squad.
4. The actual soldier and intelligent target confrontation fighting method based on the intelligent live ammunition target system as claimed in claim 1 or 2, wherein a hit actual soldier terminal task is allocated to each target terminal according to a fighting principle, wherein the fighting principle specifically comprises:
when the target terminal has at least two solider terminals within the hit range:
selecting the real soldier terminal with the highest striking efficiency as a striking target;
when the hitting efficiencies of the real soldier terminals are the same, selecting the real soldier terminal with the largest weapon caliber as a hitting target;
when the hitting efficiency of the real soldier terminal is the same as the caliber of a weapon of the real soldier terminal, selecting the real soldier terminal with the minimum distance as a hitting target;
when there are at least two the target terminal homoenergetic strikes same real soldier terminal:
selecting a target terminal with the highest striking efficiency to strike the real soldier terminal target;
when the hitting efficiencies of the target terminals are the same, selecting the target terminal with the minimum distance to the real soldier terminal to hit the real soldier terminal;
and when the striking efficiencies of the target terminals are the same and the distance between the target terminals and the real soldier terminal is the same, selecting the target terminal with the largest residual ammunition amount to strike the real soldier terminal.
5. The method for fighting the soldier against the intelligent target based on the intelligent live ammunition target system as claimed in claim 1 or 2, wherein the specific method for calculating the target to soldier shooting comprises the following steps:
acquiring the weapon type, the ammunition residual amount and the target real soldier terminal type of the target terminal through the database, and judging whether the target terminal can damage the real soldier target or not according to the weapon type, the ammunition residual amount and the target real soldier terminal type;
if not, judging whether the target terminal can be damaged by the solid soldier terminal, if so, sending a regional maneuvering instruction to a low risk index to the target terminal; if not, no instruction is sent;
if so, calculating the linear distance between the target real soldier terminal and the target terminal, and calling the effective range of the weapon type of the target terminal;
when the linear distance is smaller than or equal to the effective range, performing core calculation of the target on the shooting of the real soldier, and sending the core calculation result to the real soldier terminal, the target terminal and/or the command terminal subsystem;
and when the linear distance is greater than the effective range, generating a maneuvering target position, generating a maneuvering route and maneuvering speed according to the maneuvering target position and the current position of the target terminal, sending the maneuvering route and the maneuvering speed to the target terminal until the target terminal reaches the maneuvering target position and the linear distance is less than or equal to the effective range, performing core calculation of the target on shooting of an actual soldier, and sending the core calculation result to the actual soldier terminal, the target terminal and/or the command terminal subsystem.
6. The method for combat of an actual soldier and an intelligent target based on the intelligent live ammunition target system as claimed in claim 5, wherein the specific method for calculating the target to actual soldier shooting core is as follows:
updating the number of the remaining ammunition of the target terminal, generating attack state information, and respectively pushing the number of the remaining ammunition of the target terminal and the attack state information to corresponding target terminals and command terminal subsystems;
by HAC=HL×(1-CAT) Determining the actual hit probability by extracting a random number R between 0 and 1, if R ≦ HACIf yes, the target real soldier terminal is hit, otherwise, the target real soldier terminal is not hit;
when the target solid soldier terminal is hit: by passing
Figure FDA0002607587550000041
Calculating the actual damage value of the target solid soldier terminal, and subtracting the actual damage value from the life value L of the target solid soldier terminal
Figure FDA0002607587550000042
Obtaining the residual life value of the target real soldier terminal, and sending the residual life value of the target real soldier terminal to the target real soldier terminal and command terminal subsystem so as to display the hit of the target real soldier terminal and the residual life value of the target real soldier terminal through the target real soldier terminal and command terminal subsystem;
judging whether the residual life value of the target solid terminal is zero or negative, if so, sending a target solid terminal casualty instruction to the target solid terminal and the command terminal subsystem so as to enable the target solid terminal and the command terminal subsystem to display the target solid terminal casualty state; if not, no instruction is sent;
wherein,
Figure FDA0002607587550000043
is the actual damage value of the target solid soldier terminal,
Figure FDA0002607587550000044
ability to attack weapon ammunition CPC’Is the protection factor, H, of the target soldier terminal CACIs the actual hit probability of the target terminal, HLIs the static target hit probability of the target terminal when the shooting distance is L, CATThe avoidance coefficient is the avoidance coefficient of the target solid soldier terminal in the tactical state T;
and when the target solid soldier terminal is not hit, no instruction is sent.
7. The method for fighting the real soldier against the intelligent target based on the intelligent live ammunition target system as claimed in claim 1, 2 or 6, wherein the specific method for calculating the target shooting of the real soldier is as follows:
calculating target terminal information shot by the real-time real-;
judging whether the target terminal is hit according to the real-time target state information of the target terminal:
when the target terminal is hit, passing
Figure FDA0002607587550000045
Calculating a damage value of the target terminal;
wherein,
Figure FDA0002607587550000051
for ammunition destruction ability to hit the target terminal, CPCAmmunition protection factor of target terminal, CDSThe damage coefficient of the hit part is C, the ammunition type of the target terminal is hit, and S is the hit part;
subtracting the damage value from the life value L of the hit target terminal
Figure FDA0002607587550000052
Obtaining the residual life value of the target terminal, and sending the residual life value of the target terminal to the target terminal and the command terminal subsystem so as to display the hit of the target terminal and the residual life value of the target terminal through the target terminal and the command terminal subsystem;
when the residual life value of the target terminal is zero or negative, sending a target terminal casualty instruction to the target terminal and the command terminal subsystem so that the target terminal and the command terminal subsystem display a target terminal casualty state;
and when the remaining life value of the target terminal is positive, sending a low-risk index region maneuvering instruction to the target terminal.
8. The method for combat against real soldiers and intelligent targets based on the intelligent live ammunition target system as claimed in claim 1, 2 or 6, wherein the decision control command comprises a revival, casualty, damage and/or cheating decision command issued to a real soldier terminal and a damage, casualty, hidden and/or maneuvering control command issued to a target terminal.
9. The method for soldier-intelligent target battle fighting based on the intelligent live ammunition target system as claimed in claim 6, wherein the specific method for target battlefield maneuver calculation is as follows:
generating a maneuvering route and maneuvering speed of the target terminal from the current position to the target position according to the maneuvering instruction, and sending the maneuvering route and the maneuvering speed to the target terminal;
and receiving real-time position information sent when the target terminal stops maneuvering, generating a maneuvering route and maneuvering speed of the target terminal from the current position to the target position when the target terminal does not reach the target position, and sending the maneuvering route and maneuvering speed to the target terminal until the target terminal reaches the target position.
10. The intelligent live-action target system-based soldier and intelligent target battle fighting method as claimed in claim 1, 2 or 6, wherein when a preset condition is met, the battle exercise is finished; the preset conditions are specifically that a maneuver ending instruction issued by the command terminal subsystem is received, and/or casualty ratios of all target terminals or all the soldier terminals reach a preset value.
CN201811329876.5A2018-11-092018-11-09Real soldier and intelligent target fight method based on intelligent live ammunition target systemActiveCN109210997B (en)

Priority Applications (1)

Application NumberPriority DateFiling DateTitle
CN201811329876.5ACN109210997B (en)2018-11-092018-11-09Real soldier and intelligent target fight method based on intelligent live ammunition target system

Applications Claiming Priority (1)

Application NumberPriority DateFiling DateTitle
CN201811329876.5ACN109210997B (en)2018-11-092018-11-09Real soldier and intelligent target fight method based on intelligent live ammunition target system

Publications (2)

Publication NumberPublication Date
CN109210997A CN109210997A (en)2019-01-15
CN109210997Btrue CN109210997B (en)2021-02-09

Family

ID=64994905

Family Applications (1)

Application NumberTitlePriority DateFiling Date
CN201811329876.5AActiveCN109210997B (en)2018-11-092018-11-09Real soldier and intelligent target fight method based on intelligent live ammunition target system

Country Status (1)

CountryLink
CN (1)CN109210997B (en)

Families Citing this family (10)

* Cited by examiner, † Cited by third party
Publication numberPriority datePublication dateAssigneeTitle
CN110145971B (en)*2019-07-012024-10-25山东吉利达智能装备集团有限公司Intelligent target plane system for team real-soldier live-action tactical countermeasure training system and application thereof
CN110779380B (en)*2019-10-282021-10-22军鹏特种装备股份公司Method for direct aiming and indirect aiming laser system
CN111023907B (en)*2019-12-182022-02-15中国人民解放军总参谋部第六十研究所 An intelligent target device with injury simulation and an injury determination method
CN114857992B (en)*2022-05-262023-06-13西安航天动力研究所Free shooting matching method and system for large number of small arms target planes in tactical training
CN115578903A (en)*2022-09-302023-01-06西安航天动力研究所Battlefield exercise system based on red and blue confrontation
CN115565424A (en)*2022-09-302023-01-03西安航天动力研究所 A Battlefield Exercise System Based on Human-Machine Confrontation
CN115641760A (en)*2022-10-132023-01-24西安航天动力研究所 An intelligent command vehicle target for battlefield exercises
CN115597434B (en)*2022-10-202025-06-10中国人民解放军海军工程大学 Mixed configuration method of island and reef surface-to-air missiles and ship-to-air missiles
CN116592701A (en)*2023-05-102023-08-15中国人民解放军国防科技大学 A virtual reality integrated training system and method based on intelligent targets
CN117035376B (en)*2023-10-102023-12-26北京数易科技有限公司Dynamic monitoring method, system and medium for emergency rescue exercise

Family Cites Families (5)

* Cited by examiner, † Cited by third party
Publication numberPriority datePublication dateAssigneeTitle
US6283756B1 (en)*2000-01-202001-09-04The B.F. Goodrich CompanyManeuver training system using global positioning satellites, RF transceiver, and laser-based rangefinder and warning receiver
CN104913685B (en)*2014-03-142017-11-24中国人民解放军石家庄机械化步兵学院Goal systems and its drilling method based on actual combatization dual training
CN108255983B (en)*2017-12-282020-06-02中国电子科技集团公司第二十八研究所 A method for troop combat capability analysis and engagement damage estimation based on weapon data
CN108489330B (en)*2018-02-082020-02-21乌鲁木齐涅墨西斯网络科技有限公司Multi-person interactive virtual reality screening shooting training system for police and use method
CN108536155A (en)*2018-05-212018-09-14上海理工大学Intelligence based on cloud platform, which is practiced shooting, trains multi-robot system

Also Published As

Publication numberPublication date
CN109210997A (en)2019-01-15

Similar Documents

PublicationPublication DateTitle
CN109210997B (en)Real soldier and intelligent target fight method based on intelligent live ammunition target system
CN109269357B (en)Intelligent live ammunition target system
CN109029127B (en)Command system and command method based on man-machine live ammunition confrontation training
KR101153231B1 (en)Field combat training simulation system
SharkeyKilling made easy: From joysticks to politics
DE69829776T2 (en) SYSTEM AND METHOD FOR SIMULATING THE EFFECT OF FLAT-COVERING WEAPONS
CN108255983B (en) A method for troop combat capability analysis and engagement damage estimation based on weapon data
CN110360878A (en)A kind of man-machine coordination simulative training system and its method
CN109408877A (en)A kind of intelligence shooting decision-making technique of antitank missile unit
US11359887B1 (en)System and method of marksmanship training utilizing an optical system
US20150080071A1 (en)Augmented reality firearm combat simulator
CN117132128A (en)Intelligent army system capable of achieving autonomous engagement and operation flow
CN115408883A (en) A Battlefield Exercise System Based on Virtual Deduction
EP1166029B1 (en)Method for simulating a battlefield
CN203011234U (en)Remote counterwork battle simulation system
CN109682251A (en)Laser analog unit fights tactical system
CN112163773A (en) A method and device for evaluating team training effectiveness
CN112509413A (en)Unmanned blue army for landing obstacle-breaking training and construction method thereof
JP2012002457A (en)Shooting simulator
Takopueak et al.Firearm Training System by Laser gun
RU2287189C1 (en)System for imitating air combat
KR102534405B1 (en)Spatial information-based airspace and howitzer ballistic collision threat analysis device and method
CN110559668A (en)novel combat method for air competition unmanned aerial vehicle
CN117690330B (en)Intelligent military operation strategy simulation training system and method
CN115565424A (en) A Battlefield Exercise System Based on Human-Machine Confrontation

Legal Events

DateCodeTitleDescription
PB01Publication
PB01Publication
SE01Entry into force of request for substantive examination
SE01Entry into force of request for substantive examination
GR01Patent grant
GR01Patent grant

[8]ページ先頭

©2009-2025 Movatter.jp