Movatterモバイル変換


[0]ホーム

URL:


CN109165556B - Identity recognition method based on GRNN - Google Patents

Identity recognition method based on GRNN
Download PDF

Info

Publication number
CN109165556B
CN109165556BCN201810820607.2ACN201810820607ACN109165556BCN 109165556 BCN109165556 BCN 109165556BCN 201810820607 ACN201810820607 ACN 201810820607ACN 109165556 BCN109165556 BCN 109165556B
Authority
CN
China
Prior art keywords
heartbeat
ecg signal
grnn
wavelet
feature
Prior art date
Legal status (The legal status is an assumption and is not a legal conclusion. Google has not performed a legal analysis and makes no representation as to the accuracy of the status listed.)
Active
Application number
CN201810820607.2A
Other languages
Chinese (zh)
Other versions
CN109165556A (en
Inventor
司玉娟
刘芳
刘奇
郎六琪
Current Assignee (The listed assignees may be inaccurate. Google has not performed a legal analysis and makes no representation or warranty as to the accuracy of the list.)
Jilin University
Zhuhai College of Jilin University
Original Assignee
Jilin University
Zhuhai College of Jilin University
Priority date (The priority date is an assumption and is not a legal conclusion. Google has not performed a legal analysis and makes no representation as to the accuracy of the date listed.)
Filing date
Publication date
Application filed by Jilin University, Zhuhai College of Jilin UniversityfiledCriticalJilin University
Priority to CN201810820607.2ApriorityCriticalpatent/CN109165556B/en
Publication of CN109165556ApublicationCriticalpatent/CN109165556A/en
Application grantedgrantedCritical
Publication of CN109165556BpublicationCriticalpatent/CN109165556B/en
Activelegal-statusCriticalCurrent
Anticipated expirationlegal-statusCritical

Links

Images

Classifications

Landscapes

Abstract

Translated fromChinese

本发明的技术方案包括一种基于GRNN身份识别方法,该方法用于实现:获取包括了多个用户的多个周期心拍数据的心电信号样本数据集,并采用小波变换来去除心电信号中的噪声;对去噪后的信号进行心拍分割用以构造心电信号的形态学特征,并分别构建训练集心拍特征数据库和测试集心拍特征数据库;采用奇异值分解法去除心电信号中的冗余特征;利用线性判别式分析法进行心拍特征数据集的降维;训练广义回归神经网络分类器,并根据多心拍投票的原则输出该个体的身份信息。本发明的有益效果为:有效去除了心电信号中的冗余信息,提高了后续身份识别的准确率,而LDA对心拍特征维度的降低以及使用GRNN神经网络作为分类器则大大提高了身份识别的速度。

Figure 201810820607

The technical solution of the present invention includes a GRNN-based identification method, which is used to realize: acquiring an ECG signal sample data set including multiple periodic heartbeat data of multiple users, and using wavelet transform to remove the ECG signal The denoised signal is divided into heartbeats to construct the morphological features of the ECG signal, and the training set heartbeat feature database and the test set heartbeat feature database are constructed respectively; the singular value decomposition method is used to remove redundant ECG signals. Use linear discriminant analysis to reduce the dimensionality of the heartbeat feature data set; train a generalized regression neural network classifier, and output the individual's identity information according to the principle of multi-heartbeat voting. The beneficial effects of the invention are as follows: the redundant information in the electrocardiographic signal is effectively removed, and the accuracy of the subsequent identification is improved, while the reduction of the dimension of the heart beat feature by LDA and the use of the GRNN neural network as the classifier greatly improves the identification. speed.

Figure 201810820607

Description

Identity recognition method based on GRNN
Technical Field
The invention relates to a GRNN-based identity recognition method, and belongs to the field of computer recognition.
Background
With the continuous development and breakthrough of information technology, networks have become an important part in our study, work and life. Meanwhile, personal identification has been widely used in various fields. However, due to the improvement of the awareness of network security, the traditional identity recognition methods such as certificates, passwords, static passwords, etc. cannot meet the needs of people because of the problems of easy stealing, copying and cracking. With the continuous development of the field of artificial intelligence, the technology of biometric identity recognition is brought forward. Identification methods such as face recognition, fingerprint recognition, iris recognition and electrocardiographic signal recognition have been proposed. Compared with other biological signals, the electrocardiosignal has great advantages to a certain extent. On one hand, the electrocardiosignal is used as the biological characteristic of identity recognition, and the biggest advantage is that the generation mechanism is complex and is not easy to forge. On the other hand, the electrocardiosignal is a one-dimensional signal, and compared with two-position signals such as a fingerprint and an iris, the electrocardiosignal has the advantages of small calculation amount, easiness in storage and processing and the like.
The ECG signal identification technology is provided on the basis of the assumption that the waveform of the electrocardiosignal keeps relatively stable in a certain period, and the assumption is true for normal people, namely the ECG signal meets the requirement of identification on stability. Meanwhile, because the ECG signals are influenced by various aspects such as the age, the sex, the body type and the physical condition of the human body, the ECG signals of different individuals have larger difference, and therefore, the ECG signals meet the requirement of identity recognition on the difference. In summary, the ECG signal meets the basic requirements of biometric identification.
Many researchers at home and abroad make a lot of research on identification based on electrocardiosignals. The main contents of the research comprise the denoising of an ECG signal, the feature point extraction of the ECG signal, the dimension reduction of the heart beat feature and the design of an identity recognition classifier.
In 2001, Lena Biel et al put forward identity recognition based on ECG signals for the first time, the people use commercial ECG recording equipment to acquire electrocardiosignals, extract characteristics such as time, amplitude and the like of 30 electrocardiosignals, classify the electrocardiosignals by a class simulation soft independent modeling method, select 20 experimenters of different age groups to participate in experiments, and the identity recognition rate reaches 100%. However, this method cannot realize automatic identity recognition and has high algorithm complexity. Since then, relevant researchers have made targeted improvements to ECG identification algorithms.
Israel et al locate the time points and time intervals of these waveforms by finding the local extrema around the P-wave, R-wave and T-wave in each heartbeat, and extract 15 of them, and classify them using linear discriminant analysis, the identification rate of this method reaches 100%, and the heartbeat identification rate reaches 81%.
In subsequent work, Shen et al proposed an identity recognition method based on lead electrocardiosignals, individually adapting to template matching and decision neural network methods, and obtaining recognition rates of 95% and 80%, respectively.
At present, ECG signal identification still faces the problems of large calculation amount, insufficient identification precision and the like. With the advent of the big data era, data is converted from a simple processing object into a basic resource, which greatly increases the complexity of feature extraction and classification of heartbeat data, and the efficiency and accuracy become inevitable bottlenecks no matter the heartbeat classification or identity recognition.
Disclosure of Invention
The invention aims to provide a method which is efficient, low in calculation amount and capable of realizing automatic electrocardiosignal identity recognition, so as to solve the problem of huge data volume brought by a big data era. On the basis of extracting complete waveforms to form morphological characteristics based on independent positioning of R wave peak points, by combining singular value decomposition and linear discriminant analysis, on the premise of ensuring a certain recognition rate, the characteristic dimensionality is reduced to the maximum extent, so that the calculation cost is reduced. The classifier is designed by adopting a generalized regression neural network, the algorithm is an improvement based on a radial basis function neural network, and compared with the conventional neural network, the speed is obviously improved. The method has simple feature extraction, does not need excessive dependence on positioning, and can maximize the resource utilization rate. Compared with the traditional BP neural network and RBF neural network, the method effectively improves the training speed and precision of the identity recognition.
The technical scheme of the invention comprises a GRNN-based identity recognition method, which is characterized by comprising the following steps: A. acquiring an electrocardiosignal sample data set of the heart beat data, and removing noise in the electrocardiosignal by adopting wavelet transformation; B. positioning an R wave peak point of the denoised electrocardiosignals, intercepting a fixed point number before and after the R wave peak point to divide a heartbeat so as to construct morphological characteristics of the electrocardiosignals, and respectively constructing a training set heartbeat characteristic database and a testing set heartbeat characteristic database; C. removing redundant characteristics in the electrocardiosignals by using a singular value decomposition method so as to reduce the correlation among heart beat data of different individuals and increase the correlation among the heart beat data of the same individual; D. d, performing dimensionality reduction on the electrocardiosignals obtained in the step C by using a linear discriminant analysis method to obtain feature vectors for training and testing; E. training a generalized regression neural network classifier, identifying the input electrocardiosignals, and outputting the identity information of the individuals according to the principle of multi-heartbeat voting.
According to the GRNN-based identity recognition method, the step A further comprises the steps of obtaining an electrocardiosignal sample data set comprising heart beat data of a plurality of users and a plurality of periods, and removing noise in the electrocardiosignal by adopting wavelet transformation, wherein the noise comprises baseline drift, electromyographic interference and power frequency interference.
According to the GRNN-based identity recognition method, the step A of removing the noise in the electrocardiosignals by adopting wavelet transformation further comprises the following steps: a101, performing nine-layer decomposition on the electrocardiosignal by using a db4 wavelet in a Daubechies wavelet family to obtain a decomposed electrocardiosignal data set; a102, setting wavelet coefficients of high-frequency components of the first layer decomposition to zero to remove high-frequency interference; a103, zeroing wavelet coefficients of low-frequency components of the ninth layer of decomposition to remove low-frequency interference, thereby obtaining a denoised ECG signal data set; and A104, performing threshold quantization processing on the wavelet coefficient in a wavelet domain through a threshold function, and performing inverse discrete wavelet transform according to the estimated wavelet coefficient obtained after quantization processing to obtain a reconstructed electrocardiosignal.
According to the GRNN-based identity recognition method, the threshold quantization processing of the wavelet coefficients by the threshold function of step a104 includes: performing a quantization process using a threshold function given a threshold value λ, wherein
Figure GDA0003277283500000021
Wherein N is the sampling point number of the electrocardiosignal, and sigma is obtained by wavelet coefficient estimation.
According to the GRNN-based identity recognition method, the step A of removing the noise in the electrocardiosignals by adopting wavelet transformation further comprises the following steps: b101, performing R wave peak point positioning on the denoised electrocardiosignals to obtain R wave peak point sets of all heartbeats; b102, intercepting fixed points in front of and behind the R wave peak value point of the denoised electrocardiosignal, wherein the fixed points and the R wave peak value point jointly form an independent cardiac beat vector, so that each section of electrocardiosignal is divided into a plurality of cardiac beat data to obtain the morphological characteristics of each cardiac beat; and B103, dividing the heart beat data of the same individual into two parts which are respectively used for constructing a training set heart beat characteristic database and a testing set heart beat characteristic database.
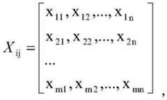
According to the GRNN-based identity recognition method, the step C further comprises the following steps: c101, constructing the segmented independent single-period heart beat data into an m × n dimensional heart beat feature matrix, wherein the heart beat feature matrix is as follows:
Figure GDA0003277283500000031
and carrying out singular value decomposition on the feature matrix, wherein the decomposition step method comprises the following steps:
Figure GDA0003277283500000032
wherein]Singular values of the feature matrix; c102, the singular values obtained in the step C101 are arranged by size to obtain [ 2 ]](ii) a C103, taking the first L larger eigenvalues to reconstruct an eigenvalue matrix, namely
Figure GDA0003277283500000033
According to the GRNN-based identity recognition method, step D further comprises the following steps: d101, calculating a heart beat data set after singular value decomposition
Figure GDA0003277283500000034
The mean vector μ; d102, calculating an inter-class divergence matrix S through the mean vector mubAnd an intra-class divergence matrix SwD103, solving the eigenvalue to obtain the eigenvalue and the eigenvector of the matrix; d104, arranging the eigenvectors in a descending order according to the magnitude of the eigenvalue, and selecting the first K eigenvectors to form a projection matrix W; d105. The dataset D is projected into a new subspace, whose calculation process is Y ═ X × W.
According to the GRNN-based identity recognition method, step E further comprises the following steps: e101, training the generalized regression neural network by taking the training set heartbeat feature subjected to dimensionality reduction as input of GRNN and taking the test set heartbeat feature as output of GRNN; and E102, performing identity recognition on each heartbeat, and finally determining the final output in a heartbeat voting mode.
Drawings
FIG. 1 is a flow chart provided according to an embodiment of the present invention;
FIG. 2 is a flow chart illustrating a method for removing noise interference according to an embodiment of the present invention;
fig. 3 is a schematic flow chart illustrating positioning of an R-wave peak point, dividing a heartbeat, and dividing a training set heartbeat feature database and a testing set heartbeat feature database according to an embodiment of the present invention;
FIG. 4 is a schematic flowchart illustrating an SVD-based procedure for removing redundant features of a heartbeat signal according to an embodiment of the present invention;
fig. 5 is a schematic flow chart illustrating a process of reducing the dimension of the heartbeat feature matrix based on the LDA algorithm according to an embodiment of the present invention;
fig. 6 is a schematic flowchart illustrating a process of performing heartbeat identification based on a generalized regression neural network according to an embodiment of the present invention;
fig. 7 is a structural diagram of a generalized recurrent neural network classifier according to an embodiment of the present invention.
Detailed Description
The conception, the specific structure and the technical effects of the present invention will be clearly and completely described in conjunction with the embodiments and the accompanying drawings to fully understand the objects, the schemes and the effects of the present invention.
It should be noted that, unless otherwise specified, when a feature is referred to as being "fixed" or "connected" to another feature, it may be directly fixed or connected to the other feature or indirectly fixed or connected to the other feature. Furthermore, the descriptions of upper, lower, left, right, etc. used in the present disclosure are only relative to the mutual positional relationship of the constituent parts of the present disclosure in the drawings. As used in this disclosure, the singular forms "a", "an", and "the" are intended to include the plural forms as well, unless the context clearly indicates otherwise. Furthermore, unless defined otherwise, all technical and scientific terms used herein have the same meaning as commonly understood by one of ordinary skill in the art. The terminology used in the description herein is for the purpose of describing particular embodiments only and is not intended to be limiting of the invention. As used herein, the term "and/or" includes any combination of one or more of the associated listed items.
It will be understood that, although the terms first, second, third, etc. may be used herein to describe various elements, these elements should not be limited by these terms. These terms are only used to distinguish one element of the same type from another. For example, a first element could be termed a second element, and, similarly, a second element could be termed a first element, without departing from the scope of the present disclosure. The use of any and all examples, or exemplary language ("e.g.," such as "or the like") provided herein, is intended merely to better illuminate embodiments of the invention and does not pose a limitation on the scope of the invention unless otherwise claimed.
Fig. 1 is a schematic flow chart of an identification method based on electrocardiographic signals (GRNN) according to an embodiment of the present invention. With reference to fig. 1, the steps of the identification method based on electrical signals in the embodiment are as follows:
s100, acquiring an electrocardiosignal sample data set comprising multiple periods of cardiac beat data of multiple users, wherein each user comprises electrocardiosignals acquired at two ends at different time, and removing noises such as baseline drift, electromyographic interference, power frequency interference and the like in the electrocardiosignals by adopting wavelet transform (DWT).
S200, positioning an R wave peak point of the denoised signal, intercepting a number of segmented heartbeats of fixed points before and after the R wave peak point to construct morphological characteristics of the electrocardiosignals, and respectively taking the electrocardiosignals with different two ends as a training set heartbeat characteristic database and a testing set heartbeat characteristic database.
S300, removing redundant features in the electrocardiosignals by using a singular value decomposition method to reduce the correlation among different individual heartbeat data and increase the correlation among different heartbeat data of the same individual.
And S400, reducing the dimension of the electrocardiosignals obtained in the last step by using a linear discriminant analysis method to obtain a feature vector for training and testing.
S500, training a generalized regression neural network classifier, identifying the input electrocardiosignals, and outputting the identity information of the individual according to the multi-heartbeat voting principle.
Fig. 2 is a flowchart illustrating a method for removing noise interference according to an embodiment of the present invention.
The following describes the process of the method for removing noise interference in the embodiment of the present invention in detail with reference to the drawings. The specific substeps are as follows:
s101, selecting a 'db 4' wavelet in a Daubechies wavelet family, and performing nine-layer decomposition on the ECG signal according to frequency distribution of different noises and frequency distribution of different wave bands of the ECG signal to obtain wavelet coefficients of different scales.
S102, setting the wavelet coefficient of the high-frequency component of the first-layer decomposition to zero to remove high-frequency interference.
S103, setting the wavelet coefficient of the low-frequency component of the ninth layer decomposition to zero to remove low-frequency interference, thereby obtaining a denoised ECG signal data set.
S104, performing threshold quantization processing on the wavelet coefficients in a wavelet domain through a threshold function, namely, firstly giving a threshold value lambda,
Figure GDA0003277283500000051
wherein N is the number of sampling points of the electrocardiosignal, and sigma can be obtained by wavelet coefficient estimation.
S105, Inverse Discrete Wavelet Transform (IDWT) is carried out according to the estimated wavelet coefficient obtained after processing, and the reconstructed electrocardiosignal, namely the denoised signal can be obtained.
Fig. 3 shows a method for locating an R-wave peak point, segmenting a heartbeat, and partitioning a training set heartbeat feature database and a testing set heartbeat feature database according to an embodiment of the present invention, which includes the following specific steps:
s201, carrying out R wave peak point positioning on the denoised electrocardiosignals to obtain R wave peak point sets of all heartbeats;
s202, intercepting the fixed point number in front of and behind the R wave peak value point of the denoised ECG signal, wherein the fixed point number and the R wave peak value point jointly form an independent cardiac beat vector, so that each section of the electrocardiosignal is divided into a plurality of cardiac beat data;
and S203, dividing the heart beat data of the same individual into two parts which are respectively used for constructing a training set heart beat characteristic database and a testing local heart beat characteristic database.
Fig. 4 is a schematic flow chart illustrating a process of removing redundant features of cardiac beat signals based on SVD according to an embodiment of the present invention, which is described in detail with respect to the step of removing redundant cardiac electrical signals by singular value decomposition method in step S300 in fig. 1. The method comprises the following substeps:
s301, constructing the segmented heart beat feature database into a dimensional matrix, wherein A is a non-singular and row full-rank matrix:
Figure GDA0003277283500000052
s302, performing singular value decomposition on the matrix X to obtain: x ═ U ∑ VTIn the formula, U is an m multiplied by m dimensional matrix; v is an n x n dimensional matrix; Σ is an m × n dimensional matrix. The main diagonal elements are singular values and are arranged from small to large;
s303, the matrix a may be expressed as a sum of useful information and redundant information:
Figure GDA0003277283500000053
in the formula (I), the compound is shown in the specification,
Figure GDA0003277283500000054
is a useful signal subspace, and N is a redundant signal subspace,the solution to the original problem is converted into a search matrix
Figure GDA0003277283500000055
The better the approximation effect, the more obvious the redundancy removing effect. And reserving the first k larger singular values of the diagonal matrix, returning other singular values to zero, and reconstructing a heart beat feature matrix by using the inverse process of the singular values, namely the heart beat feature database containing more useful signals.
Fig. 5 is a schematic flow chart illustrating a process of reducing the dimension of the heartbeat feature matrix based on LDA according to an embodiment of the present invention, which is described in detail with respect to the step of reducing the dimension of the electrocardiosignal by using the linear discriminant analysis method in step S400 in fig. 1. The method comprises the following substeps:
s401, converting the heart beat feature database into a heart beat data set with sample types, wherein A { (x)1,y1),(x2,y2),...,(xk,yk) In which arbitrary heart beat sample xiIs an n-dimensional vector, yi∈{C1,C2,...CqDenotes a set of categories, defines Nj(j is 1,2, … k) is the number of j-th class samples, Xj(j-1, 2, … k) is the set of class j samples, and μj(j 1,2, … k) is the mean vector of the j-th class samples, Σj(j ═ 1,2, … k) is the covariance matrix of the jth sample.
S402, a common optimization objective function of LDA is:
Figure GDA0003277283500000061
wherein SbIs an inter-class divergence matrix, SwFor the intra-class divergence matrix, the optimization process of J (W) can be converted into
Figure GDA0003277283500000062
And S403, the rightmost side of the above formula is a Rayleigh quotient, the maximum value is the maximum eigenvalue of the matrix, and the corresponding matrix W is a matrix formed by stretching eigenvectors corresponding to the maximum d eigenvalues.
And S404, projecting the heartbeat feature data set into a new subspace, wherein Y is equal to X W.
Fig. 6 is a schematic flowchart illustrating a process of performing heartbeat identification based on a generalized regression neural network according to an embodiment of the present invention;
fig. 7 is a structural diagram of a generalized recurrent neural network classifier according to an embodiment of the present invention.
The embodiment of the present invention is described in detail with respect to the design of the classifier included in step S500 in fig. 1 and the step of identifying the identity of the electrocardiosignal by the structural diagram of the generalized recurrent neural network described in fig. 7, and the method includes the following sub-steps:
s501, constructing a generalized regression neural network, taking a training set heartbeat characteristic database as input of the neural network, and taking a testing set heartbeat characteristic database as output of the neural network. The specific training process of the network is as follows:
the number of input neurons is equal to the dimension of the heartbeat feature, each neuron is a simple distribution unit, and the input heartbeat feature is directly transmitted to the mode layer; the number of neurons in the mode layer is equal to the number of heart beat samples, each neuron corresponds to a different sample, and the transfer function of the neurons in the mode layer is as follows:
Figure GDA0003277283500000063
the summing layer performs the summing in two different ways:
the utility model provides a carry out the arithmetic summation to the output of all mode layer neurons, its mode layer and each neuron's connection weight is 1, and the transfer function is:
Figure GDA0003277283500000064
and the other method is to carry out weighted summation on the neurons of all the mode layers, wherein the connection weight value between each ith neuron in the mode layers and the jth numerator summation neuron in the summation layer is the ith output sample YiThe j-th element in (2), the transfer function is:
Figure GDA0003277283500000071
the number of neurons in the output layer is equal to the dimension of the output vector in the heart beat characteristic sample, each neuron divides the output of the summation layer, and the output of the neuron j corresponds to the estimation result
Figure GDA0003277283500000072
The jth element of (i.e.
Figure GDA0003277283500000073
Wherein j is 1,2, …, k;
s502, obtaining an experimental result by adopting a heart beat voting method, classifying each heart beat, and if a jth individual is selected by most heart beats in a section of electrocardiosignals, considering the section of electrocardiosignals as the electrocardiosignals of the jth individual and outputting information of the jth individual.
The technical scheme of the invention provides further explanation to explain the steps, and concretely comprises the following steps:
in a specific embodiment, the electrocardiosignals in the national MIT-BIH database are adopted, the sampling frequency of the electrocardiosignals is 500HZ, each electrocardiosignal is 20 seconds, and the resolution is 12 bits. The embodiment of the invention adopts MATLAB software to carry out simulation. Firstly, 88 individual electrocardiosignals are selected to carry out wavelet transformation to remove noise, an R wave peak point is positioned, then 150 points are intercepted forwards and 300 points are intercepted backwards by taking the R wave peak point as a reference, and a morphological feature with dimension of 451 is constructed; redundant information of the heart beat characteristic is removed by using SVD, and LDA dimension reduction processing is carried out; and finally, constructing GRNN by using MATLAB, training and testing the neural network, and completing the whole process of identity recognition.
It should be recognized that embodiments of the present invention can be realized and implemented by computer hardware, a combination of hardware and software, or by computer instructions stored in a non-transitory computer readable memory. The methods may be implemented in a computer program using standard programming techniques, including a non-transitory computer-readable storage medium configured with the computer program, where the storage medium so configured causes a computer to operate in a specific and predefined manner, according to the methods and figures described in the detailed description. Each program may be implemented in a high level procedural or object oriented programming language to communicate with a computer system. However, the program(s) can be implemented in assembly or machine language, if desired. In any case, the language may be a compiled or interpreted language. Furthermore, the program can be run on a programmed application specific integrated circuit for this purpose.
Further, the operations of processes described herein can be performed in any suitable order unless otherwise indicated herein or otherwise clearly contradicted by context. The processes described herein (or variations and/or combinations thereof) may be performed under the control of one or more computer systems configured with executable instructions, and may be implemented as code (e.g., executable instructions, one or more computer programs, or one or more applications) collectively executed on one or more processors, by hardware, or combinations thereof. The computer program includes a plurality of instructions executable by one or more processors.
Further, the methods may be implemented in any type of computing platform operatively connected to a suitable connection, including but not limited to a personal computer, mini computer, mainframe, workstation, networked or distributed computing environment, separate or integrated computer platform, or in communication with a charged particle tool or other imaging device, and the like. Aspects of the invention may be embodied in machine-readable code stored on a non-transitory storage medium or device, whether removable or integrated into a computing platform, such as a hard disk, optically read and/or write storage medium, RAM, ROM, or the like, such that it may be read by a programmable computer, which when read by the storage medium or device, is operative to configure and operate the computer to perform the procedures described herein. Further, the machine-readable code, or portions thereof, may be transmitted over a wired or wireless network. The invention herein includes these and other different types of non-transitory computer-readable storage media when such media include instructions or programs that implement the above steps in conjunction with a microprocessor or other data processor. The invention also includes the computer itself when programmed according to the methods and techniques of the present invention.
A computer program can be applied to input data to perform the functions herein to transform the input data to generate output data that is stored to non-volatile memory. The output information may also be applied to one or more output devices, such as a display. In a preferred embodiment of the invention, the transformed data represents physical and tangible objects, including particular visual depictions of physical and tangible objects produced on a display.
The present invention is not limited to the above embodiments, and any modifications, equivalent substitutions, improvements, etc. within the spirit and principle of the present invention should be included in the scope of the present invention as long as the technical effects of the present invention are achieved by the same means. The invention is capable of other modifications and variations in its technical solution and/or its implementation, within the scope of protection of the invention.

Claims (7)

Translated fromChinese
1.一种基于GRNN身份识别方法,其特征在于,所述方法包括以下步骤:1. a method for identification based on GRNN, characterized in that the method comprises the following steps:A.获取心拍数据的心电信号样本数据集,并采用小波变换来去除心电信号中的噪声;所述步骤A的采用小波变换来去除心电信号中的噪声还包括以下步骤:A101,使用Daubechies小波族中的db4小波对心电信号进行九层分解,得到分解后的心电信号数据集;A102,将第一层分解的高频成分的小波系数置零,以去除高频干扰;A103,将第九层分解的低频成分的小波系数置零,以去除低频干扰,从而获得去噪后的ECG信号数据集;A104,在小波域通过阈值函数对小波系数进行阈值量化处理,并根据量化处理后得到的估计小波系数做离散小波逆变换,就可以得到重构的心电信号;A. Obtain the ECG signal sample data set of the heartbeat data, and use wavelet transform to remove the noise in the ECG signal; the step A of using wavelet transform to remove the noise in the ECG signal also includes the following steps: A101, using The db4 wavelet in the Daubechies wavelet family performs nine-layer decomposition on the ECG signal to obtain a decomposed ECG signal data set; A102, set the wavelet coefficients of the high-frequency components decomposed in the first layer to zero to remove high-frequency interference; A103 , the wavelet coefficients of the low-frequency components decomposed in the ninth layer are set to zero to remove low-frequency interference, thereby obtaining the denoised ECG signal data set; A104, threshold quantization processing is performed on the wavelet coefficients through the threshold function in the wavelet domain, and the quantization is performed according to the The estimated wavelet coefficients obtained after processing are subjected to discrete wavelet inverse transformation, and the reconstructed ECG signal can be obtained;B.对去噪后的心电信号进行R波峰值点定位,截取R波峰值点前后固定点数分割心拍用以构造心电信号的形态学特征,并分别构建训练集心拍特征数据库和测试集心拍特征数据库;B. Locating the R wave peak point of the denoised ECG signal, intercepting the heartbeats with a fixed number of points before and after the R wave peak point to construct the morphological features of the ECG signal, and constructing the training set heartbeat feature database and the test set heartbeat respectively feature database;C.采用奇异值分解法去除心电信号中的冗余特征,以降低不同个体心拍数据之间的相关性,增加同一个体的不同心拍数据的相关性;C. Use the singular value decomposition method to remove redundant features in the ECG signal to reduce the correlation between different individual heartbeat data and increase the correlation between different heartbeat data of the same individual;D.对所述步骤C得到的心电信号使用线性判别式分析法进行降维,得到用于训练和测试的特征向量;D. use linear discriminant analysis method to reduce dimension to the electrocardiogram signal that described step C obtains, obtain the feature vector that is used for training and testing;E.训练广义回归神经网络分类器,对输入的心电信号进行识别,并根据多心拍投票的原则输出个体的身份信息。E. Train a generalized regression neural network classifier, identify the input ECG signal, and output the individual's identity information according to the principle of multi-heartbeat voting.2.根据权利要求1所述的基于GRNN身份识别方法,其特征在于,所述步骤A还包括2. The GRNN-based identification method according to claim 1, wherein the step A further comprises获取包括了多个用户、多个周期的心拍数据的心电信号样本数据集,并采用小波变换来去除心电信号中的噪声,其中噪声包括基线漂移、肌电干扰及工频干扰。Obtain the ECG signal sample data set including the heartbeat data of multiple users and multiple cycles, and use wavelet transform to remove the noise in the ECG signal, where the noise includes baseline drift, EMG interference and power frequency interference.3.根据权利要求1所述的基于GRNN身份识别方法,其特征在于,所述步骤A104的阈值函数对小波系数进行阈值量化处理包括:3. The GRNN-based identification method according to claim 1, wherein the threshold quantization process performed on the wavelet coefficients by the threshold function of the step A104 comprises:使用阈值函数给定一个门限值λ执行量化处理,其中
Figure FDA0003277283490000011
其中N为心电信号的采样点数,σ通过小波系数估计得到。Quantization is performed using a threshold function given a threshold value λ, where
Figure FDA0003277283490000011
Among them, N is the number of sampling points of the ECG signal, and σ is estimated by the wavelet coefficient.4.根据权利要求1所述的基于GRNN身份识别方法,其特征在于,所述步骤A的采用小波变换来去除心电信号中的噪声还包括以下步骤:4. GRNN-based identification method according to claim 1, is characterized in that, the adopting wavelet transform of described step A to remove the noise in electrocardiogram signal also comprises the following steps:B101,对去噪后的心电信号进行R波峰值点定位,以获得所有心拍的R波峰值点集;B101, perform R wave peak point location on the denoised ECG signal to obtain the R wave peak point set of all heart beats;B102,截取去噪后的心电信号R波峰值点前后固定点数,这些固定点数和R波峰值点共同组成一个独立的心拍向量,从而将每一段心电信号分割成为多个心拍数据,得到每一个心拍的形态学特征;B102: Intercept the fixed number of points before and after the R wave peak point of the denoised ECG signal. These fixed points and the R wave peak point together form an independent heart beat vector, so that each segment of the ECG signal is divided into multiple heart beat data, and each piece of heart beat data is obtained. Morphological features of a heart beat;B103,将同一个体的心拍数据分成两部分,分别用来构造训练集心拍特征数据库和测试集心拍特征数据库。B103: Divide the heartbeat data of the same individual into two parts, which are respectively used to construct a training set heartbeat feature database and a test set heartbeat feature database.5.根据权利要求1所述的基于GRNN身份识别方法,其特征在于,所述步骤C还包括以下步骤:5. based on GRNN identification method according to claim 1, is characterized in that, described step C also comprises the following steps:C101,将分割好的多个独立的单周期的心拍数据构造为一个m*n维心拍特征矩阵,其中心拍特征矩阵为:C101: Construct a plurality of independent single-cycle beat data that have been divided into an m*n-dimensional beat feature matrix, and the center beat feature matrix is:
Figure FDA0003277283490000021
Figure FDA0003277283490000021
并对特征矩阵进行奇异值分解,其分解步骤方法为:
Figure FDA0003277283490000022
其中[σ12,...,σr]为特征矩阵的奇异值;
And perform singular value decomposition on the feature matrix, and the decomposition steps are as follows:
Figure FDA0003277283490000022
where [σ12 ,...,σr ] is the singular value of the feature matrix;
C102,所述步骤C101得到的奇异值按照大小进行排列,得到[σ12>...>σr];C102, the singular values obtained in the step C101 are arranged according to their size, to obtain [σ12 >...>σr ];C103,取前L个较大的特征值重构特征矩阵,即
Figure FDA0003277283490000023
C103, take the first L larger eigenvalues to reconstruct the eigenmatrix, namely
Figure FDA0003277283490000023
6.根据权利要求1所述的基于GRNN身份识别方法,其特征在于,所述步骤D还包括以下步骤:6. The method for identification based on GRNN according to claim 1, wherein the step D further comprises the following steps:D101,计算奇异值分解后的心拍数据集D101, calculate the heartbeat data set after singular value decomposition
Figure FDA0003277283490000024
Figure FDA0003277283490000024
的均值向量μ;The mean vector μ of ;D102,通过均值向量μ计算类间散度矩阵Sb和类内散度矩阵SwD102, calculate the between-class divergence matrix Sb and the intra-class divergence matrix Sw through the mean vector μD103,对进行特征值求解,求出矩阵的特征值和特征向量;D103, solve the eigenvalues to obtain the eigenvalues and eigenvectors of the matrix;D104,对特征向量按照特征值的大小进行降序排列,并选择前K个特征向量组成投影矩阵W;D104, arranging the eigenvectors in descending order according to the size of the eigenvalues, and selecting the first K eigenvectors to form the projection matrix W;D105、将数据集D投影到新的子空间中,其计算过程为Y=X*W。D105. Project the data set D into a new subspace, and the calculation process is Y=X*W.
7.根据权利要求1所述的基于GRNN身份识别方法,其特征在于,所述步骤E还包括以下步骤:7. The method for identification based on GRNN according to claim 1, wherein the step E further comprises the following steps:F101,将降维后的训练集心拍特征作为GRNN的输入,测试集心拍特征作为GRNN的输出,对广义回归神经网络进行训练;F101, take the dimensionality-reduced training set heartbeat feature as the input of GRNN, and the test set heartbeat feature as the output of GRNN, to train the generalized regression neural network;F102,对每一个心拍进行身份识别,最后以心拍投票的方式决定最后的输出。F102, identify each heartbeat, and finally decide the final output by heartbeat voting.
CN201810820607.2A2018-07-242018-07-24Identity recognition method based on GRNNActiveCN109165556B (en)

Priority Applications (1)

Application NumberPriority DateFiling DateTitle
CN201810820607.2ACN109165556B (en)2018-07-242018-07-24Identity recognition method based on GRNN

Applications Claiming Priority (1)

Application NumberPriority DateFiling DateTitle
CN201810820607.2ACN109165556B (en)2018-07-242018-07-24Identity recognition method based on GRNN

Publications (2)

Publication NumberPublication Date
CN109165556A CN109165556A (en)2019-01-08
CN109165556Btrue CN109165556B (en)2021-12-07

Family

ID=64898354

Family Applications (1)

Application NumberTitlePriority DateFiling Date
CN201810820607.2AActiveCN109165556B (en)2018-07-242018-07-24Identity recognition method based on GRNN

Country Status (1)

CountryLink
CN (1)CN109165556B (en)

Families Citing this family (18)

* Cited by examiner, † Cited by third party
Publication numberPriority datePublication dateAssigneeTitle
CN109497990B (en)*2018-12-272020-06-02山东大学Electrocardiosignal identity recognition method and system based on canonical correlation analysis
CN109875570B (en)*2019-01-302020-08-18华南理工大学Effective method for recognizing electrocardiosignal identities before and after movement
CN110135236A (en)*2019-03-212019-08-16云南路普斯数据科技有限公司A kind of video face identification method based on wavelet transformation and neural network algorithm
CN110141214A (en)*2019-04-232019-08-20首都师范大学 A labeling method for electrocardiogram recognition and its application
CN110074775A (en)*2019-04-302019-08-02郑州大学Acute myocardial infarction AMI localization method based on GA-ELM mixed model
CN110141244A (en)*2019-06-202019-08-20鲁东大学Electrocardiogram personal identification method
CN110141245A (en)*2019-06-202019-08-20鲁东大学 An ECG Feature Vector Extraction Method
CN110141243A (en)*2019-06-202019-08-20鲁东大学 A kind of electrocardiogram identification processing method
CN110584649B (en)*2019-09-092021-01-15武汉大学 A method and system for identifying abnormal ECG signals in a dynamic single-lead ECG
CN110811633A (en)*2019-11-062020-02-21中国科学院自动化研究所 Identification method, system and device based on myoelectric signal
CN110866237B (en)*2019-12-092022-05-17电子科技大学Sub-threshold name identity authentication method for electroencephalogram
CN111568410A (en)*2020-05-182020-08-25中国矿业大学 A classification method of ECG data based on 12-lead and convolutional neural network
CN111783056B (en)*2020-07-062024-05-14诺百爱(杭州)科技有限责任公司Method and device for identifying user identity based on electromyographic signals and electronic equipment
CN112257573B (en)*2020-10-212022-06-24吉林大学 An ECG Identification Method Based on t-SNE and Adaboost
CN113509185A (en)*2021-04-252021-10-19安徽十锎信息科技有限公司Myocardial infarction classification method based on multi-modal patient information attention modeling
CN113180680B (en)*2021-05-172022-06-21复旦大学Improved electrocardiosignal noise reduction method based on singular spectrum analysis
CN115251947B (en)*2022-06-242024-09-10四川大学Method for removing myoelectric noise in electrocardiosignal based on singular value decomposition
CN115130509A (en)*2022-06-292022-09-30哈尔滨工业大学(威海)Electrocardiosignal generation method based on conditional variational self-encoder

Citations (4)

* Cited by examiner, † Cited by third party
Publication numberPriority datePublication dateAssigneeTitle
CN103136465A (en)*2013-03-062013-06-05天津理工大学Method of using electrocardiosignals for identity recognition
CN103761538A (en)*2014-01-102014-04-30沈阳工业大学Traffic sign recognition method based on shape feature invariant subspace
CN104008164A (en)*2014-05-292014-08-27华东师范大学Generalized regression neural network based short-term diarrhea multi-step prediction method
CN107122788A (en)*2017-03-092017-09-01吉林大学A kind of personal identification method and device based on electrocardiosignal

Family Cites Families (1)

* Cited by examiner, † Cited by third party
Publication numberPriority datePublication dateAssigneeTitle
US8468362B2 (en)*2011-06-032013-06-18Dell Products, LpSystem and method for providing access to an information handling system

Patent Citations (4)

* Cited by examiner, † Cited by third party
Publication numberPriority datePublication dateAssigneeTitle
CN103136465A (en)*2013-03-062013-06-05天津理工大学Method of using electrocardiosignals for identity recognition
CN103761538A (en)*2014-01-102014-04-30沈阳工业大学Traffic sign recognition method based on shape feature invariant subspace
CN104008164A (en)*2014-05-292014-08-27华东师范大学Generalized regression neural network based short-term diarrhea multi-step prediction method
CN107122788A (en)*2017-03-092017-09-01吉林大学A kind of personal identification method and device based on electrocardiosignal

Non-Patent Citations (1)

* Cited by examiner, † Cited by third party
Title
基于优化广义回归神经网络的变电站设备温度预测;孔雪卉 等.;《中国电力》;20160731;第49卷(第7期);第54-59页*

Also Published As

Publication numberPublication date
CN109165556A (en)2019-01-08

Similar Documents

PublicationPublication DateTitle
CN109165556B (en)Identity recognition method based on GRNN
Chen et al.Removal of muscle artifacts from the EEG: A review and recommendations
CN107122788B (en) A kind of identification method and device based on ECG signal
CN114533086B (en)Motor imagery brain electrolysis code method based on airspace characteristic time-frequency transformation
Deepa et al.Epileptic seizure detection using deep learning through min max scaler normalization
Sun et al.A review of adaptive feature extraction and classification methods for EEG-based brain-computer interfaces
Zhang et al.Bayesian learning for spatial filtering in an EEG-based brain–computer interface
CN108537100A (en)A kind of electrocardiosignal personal identification method and system based on PCA and LDA analyses
CN114224360B (en) An EEG signal processing method, equipment and storage medium based on improved EMD-ICA
CN105997055A (en)Automatic classification method, system and device of electrocardiosignal ST band
Tang et al.Dimensionality reduction methods for brain imaging data analysis
Yao et al.Interpretation of electrocardiogram heartbeat by CNN and GRU
CN109480834A (en)A kind of Method of EEG signals classification based on quick multiple dimension empirical mode decomposition
CN116361688A (en)Multi-mode feature fusion model construction method for automatic classification of electrocardiographic rhythms
Zeng et al.A novel technique for the detection of myocardial dysfunction using ECG signals based on hybrid signal processing and neural networks
US20230315203A1 (en)Brain-Computer Interface Decoding Method and Apparatus Based on Point-Position Equivalent Augmentation
Abdulla et al.A review study for electrocardiogram signal classification
Thai et al.Toward an IoT-based expert system for heart disease diagnosis
Fauzi et al.Channel selection for common spatial pattern Based on energy calculation of motor imagery EEG signal
Jiang et al.Analytical comparison of two emotion classification models based on convolutional neural networks
CN118800428A (en) Intelligent medical diagnostic bed control system and method based on Internet of Things
Shang et al.Multi-band spatial feature extraction and classification for motor imaging EEG signals based on OSFBCSP-GAO-SVM model: EEG signal processing
Liu et al.Identification of anisomerous motor imagery EEG signals based on complex algorithms
Kingphai et al.On channel selection for EEG-based mental workload classification
CN118673398A (en)Fine-granularity target recognition task-oriented small sample electroencephalogram space-time frequency global decoding method, system and storage medium

Legal Events

DateCodeTitleDescription
PB01Publication
PB01Publication
SE01Entry into force of request for substantive examination
SE01Entry into force of request for substantive examination
GR01Patent grant
GR01Patent grant

[8]ページ先頭

©2009-2025 Movatter.jp