

技术领域Technical Field
本公开涉及机动目标跟踪领域,尤其涉及一种基于分治采样粒子滤波的三维机动目标跟踪方法。The present disclosure relates to the field of mobile target tracking, and in particular to a three-dimensional mobile target tracking method based on divide-and-conquer sampling particle filtering.
背景技术Background Art
机动目标跟踪是雷达跟踪、视频监控、移动机器人等许多实际应用中的一项基础性和关键性任务,本质是利用传感器的离散量测值来估计目标的连续状态,主要包括目标机动模型的建模、机动检测或机动辨识以及滤波算法。目前国内外大量研究都集中在二维平面,当目标在三维空间各方向都出现强度不一致的高机动,通过二维模型和算法的扩展已无法准确描述目标运动,因此三维空间机动目标跟踪已成为该类问题的难点之一。Maneuvering target tracking is a basic and key task in many practical applications such as radar tracking, video surveillance, and mobile robots. Its essence is to use the discrete measurement values of sensors to estimate the continuous state of the target, mainly including the modeling of the target maneuver model, maneuver detection or maneuver identification, and filtering algorithms. At present, a large number of studies at home and abroad are focused on the two-dimensional plane. When the target has high maneuvers with inconsistent intensity in all directions in three-dimensional space, the expansion of two-dimensional models and algorithms can no longer accurately describe the target motion. Therefore, three-dimensional space maneuvering target tracking has become one of the difficulties of this type of problem.
粒子滤波通过寻找一组在状态空间传播的随机样本对概率密度函数进行近似,该算法不需要对系统做任何先验假设,适用于强非线性非高斯系统,具有很好的算法可扩展性和普适性,常被作为机动目标跟踪过程中的滤波算法。但粒子滤波本身存在粒子退化问题和粒子匮乏现象,且算法复杂度很大程度上依赖于粒子数目。The particle filter approximates the probability density function by finding a set of random samples propagating in the state space. The algorithm does not require any prior assumptions about the system and is applicable to strongly nonlinear non-Gaussian systems. It has good algorithm scalability and universality and is often used as a filtering algorithm in the process of maneuvering target tracking. However, the particle filter itself has the problem of particle degradation and particle shortage, and the algorithm complexity depends largely on the number of particles.
为解决该问题,通常基于传统重采样机制改进粒子重采样步骤,如分层重采样、自适应重采样、确定性重采样等;另一种新的发展方向是通过引入群智能优化思想增加样本多样性,如遗传算法、萤火虫算法、蝙蝠算法等优化重采样。以上方法通过改进粒子重采样环节能一定程度上增加样本多样性,降低粒子退化程度。但当处理三维空间中的机动目标跟踪问题时,由于目标不同方向上机动方式和强度不一致,状态空间会出现某些区域的粒子分布稀疏,难以均匀覆盖,致使算法迭代时粒子加剧退化,导致样本多样性降低。随着目标运动模型复杂度增加,算法性能下降的更为明显,常需增加粒子数量来保证覆盖范围,运算时间较长,无法保证跟踪实时性和良好的跟踪精度。To solve this problem, the particle resampling steps are usually improved based on the traditional resampling mechanism, such as layered resampling, adaptive resampling, deterministic resampling, etc. Another new development direction is to increase sample diversity by introducing swarm intelligence optimization ideas, such as genetic algorithm, firefly algorithm, bat algorithm and other optimization resampling. The above methods can increase sample diversity and reduce particle degradation to a certain extent by improving the particle resampling link. However, when dealing with the problem of maneuvering target tracking in three-dimensional space, due to the inconsistency of the maneuvering mode and intensity in different directions of the target, there will be sparse distribution of particles in some areas of the state space, which is difficult to cover evenly, causing the particles to degrade more during algorithm iteration, resulting in reduced sample diversity. As the complexity of the target motion model increases, the algorithm performance declines more significantly. It is often necessary to increase the number of particles to ensure the coverage range, and the operation time is long, and the real-time tracking and good tracking accuracy cannot be guaranteed.
公开内容Public Content
(一)要解决的技术问题1. Technical issues to be resolved
本公开提供了一种基于分治采样粒子滤波的三维机动目标跟踪方法,以缓解现有技术由于三维空间中粒子分布稀疏问题造成的算法迭代时粒子加剧退化,导致样本多样性降低,算法性能下降的更为明显,无法保证跟踪实时性和良好的跟踪精度等技术问题。The present invention discloses a three-dimensional maneuvering target tracking method based on divide-and-conquer sampling particle filtering to alleviate the technical problems of the prior art caused by the sparse distribution of particles in three-dimensional space, such as the aggravated degradation of particles during algorithm iteration, resulting in reduced sample diversity, more obvious degradation of algorithm performance, and inability to ensure real-time tracking and good tracking accuracy.
(二)技术方案(II) Technical solution
本公开提供一种基于分治采样粒子滤波的三维机动目标跟踪方法,包括:步骤1:通过量测信息预处理模块对传感器测得的当前时刻观测数据进行坐标转换,从球坐标系转换到笛卡尔坐标系;步骤2:对步骤1所测得的观测数据进行分治采样,将三维运动空间分解为相互独立的一维子空间,各子空间内独立抽样粒子,获取样本子集;步骤3:降维处理目标机动,结合观测数据对步骤2所分解的每个一维子空间中的样本子集进行粒子滤波,得到该子空间中的预测子状态;以及步骤4:合并步骤3所得到的各子空间中预测的子状态,得到下一时刻目标的预测状态。The present disclosure provides a three-dimensional maneuvering target tracking method based on divide-and-conquer sampling particle filtering, comprising: step 1: performing coordinate conversion on the observation data at the current moment measured by the sensor through a measurement information preprocessing module, from a spherical coordinate system to a Cartesian coordinate system; step 2: performing divide-and-conquer sampling on the observation data measured in
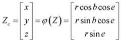
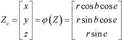
在本公开实施例中,所述步骤1中传感器所测得的当前时刻数据为机动目标的观测数据,包括径向距离,方位角,以及俯仰角,记为Z=[r,b,e]T,由球座标系转换为笛卡尔坐标系,得出笛卡尔坐标系中的观测数据:In the embodiment of the present disclosure, the current moment data measured by the sensor in
其中,r为径向距离,b为方位角,e为俯仰角。Among them, r is the radial distance, b is the azimuth angle, and e is the elevation angle.
在本公开实施例中,所述观测数据的噪声记为[vr,vb,ve]T,协方差矩阵为R,经坐标系转换后观测数据噪声为[vx,vy,vz]T,协方差矩阵Rc=J(Z)RJ(Z),J(Z)为观测数据的Jacobian行列式,具体表达式为:In the embodiment of the present disclosure, the noise of the observed data is recorded as [vr ,vb ,ve ]T , the covariance matrix is R, and the observed data noise after coordinate system conversion is [vx ,vy ,vz ]T , the covariance matrix Rc=J(Z)RJ(Z), J(Z) is the Jacobian determinant of the observed data, and the specific expression is:
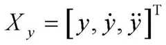
在本公开实施例中,所述步骤2具体包括:将三维运动空间分解为相互独立的一维子空间,对于三维运动空间中目标的状态向量根据运动空间正交独立性,将其分为三个对应一维子空间中的子状态,分别为x方向y方向和z方向各子空间内选择采样策略独立抽样粒子,根据已知先验概率p(X)产生一维子空间粒子集其中,w为某子空间第i个随机粒子对应的权重值,N为某子空间中的粒子总数,下标x、y、z表示子空间方向。In the embodiment of the present disclosure, step 2 specifically includes: decomposing the three-dimensional motion space into mutually independent one-dimensional subspaces, and for the state vector of the target in the three-dimensional motion space According to the orthogonal independence of the motion space, it is divided into three sub-states corresponding to the one-dimensional subspace, namely, the x-direction y direction and z direction In each subspace, a sampling strategy is selected to independently sample particles, and a one-dimensional subspace particle set is generated according to the known prior probability p(X) Among them, w is the weight value corresponding to the i-th random particle in a subspace, N is the total number of particles in a subspace, and the subscripts x, y, and z represent the directions of the subspace.
在本公开实施例中,所述子空间独立抽样粒子的抽样策略选择高斯均匀分布,由已知先验概率p(X)得到样本均值和方差P,产生高斯均匀分布的随机样本randn为与状态量同维度的高斯分布随机数。In the embodiment of the present disclosure, the sampling strategy of the subspace independent sampling particles selects Gaussian uniform distribution, and the sample mean is obtained by the known prior probability p(X). and variance P, generating random samples from a Gaussian uniform distribution randn is a Gaussian distributed random number with the same dimension as the state quantity.
在本公开实施例中,所述步骤3包括:更新粒子权值;对粒子集进行重采样;以及预测目标子状态。In the disclosed embodiment, step 3 includes: updating particle weights; resampling the particle set; and predicting the target sub-state.
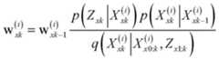
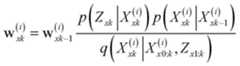
在本公开实施例中,所述更新粒子权值,是结合最新观测数据和目标的观测模型,根据权值更新公式计算粒子新的权值,x方向一维子空间:In the disclosed embodiment, the particle weight is updated by combining the latest observation data and the target observation model, and calculating the new particle weight according to the weight update formula, the one-dimensional subspace in the x direction:
x方向子状态估计输出为:The estimated output of the x-direction sub-state is:
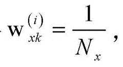
在本公开实施例中,所述对粒子集进行重采样,根据粒子权值从粒子集重新抽取Nx个粒子并令建立新的粒子集In the embodiment of the present disclosure, the particle set is resampled, and the particle set is selected from the particle set according to the particle weight. Re-extract Nx particles And order Create a new particle set
在本公开实施例中,预测目标子状态,根据目标运动的状态方程预测下一时刻x方向的目标子状态其中y方向与z方向操作步骤同理,分别得到子状态In the embodiment of the present disclosure, the target sub-state is predicted, and the target sub-state in the x direction at the next moment is predicted according to the state equation of the target motion. The operation steps in the y direction and the z direction are the same, and the sub-states are obtained respectively.
在本公开实施例中,所述步骤4中,合并各子空间中预测的子状态,得到下一时刻目标的预测状态,根据各子空间的子状态估计值得到总体状态估计值In the embodiment of the present disclosure, in step 4, the predicted sub-states in each subspace are merged to obtain the predicted state of the target at the next moment, and the overall state estimation value is obtained according to the estimated values of the sub-states in each subspace.
(三)有益效果(III) Beneficial effects
从上述技术方案可以看出,本公开基于分治采样粒子滤波的三维机动目标跟踪方法至少具有以下有益效果其中之一或其中一部分:It can be seen from the above technical solutions that the three-dimensional maneuvering target tracking method based on divide-and-conquer sampling particle filtering disclosed in the present invention has at least one or part of the following beneficial effects:
(1)能较大程度上增加样本多样性,降低粒子滤波算法中粒子退化问题和粒子匮乏现象带来的影响。(1) It can increase sample diversity to a large extent and reduce the impact of particle degradation and particle shortage in the particle filter algorithm.
(2)提升状态空间中的样本覆盖率,降低算法复杂度。(2) Improve the sample coverage in the state space and reduce the algorithm complexity.
(3)在提高跟踪精度的同时节省运算时间,保证目标跟踪的实时性和准确性。(3) It improves tracking accuracy while saving computing time, ensuring the real-time and accuracy of target tracking.
附图说明BRIEF DESCRIPTION OF THE DRAWINGS
图1为本公开实施例基于分治采样粒子滤波的三维机动目标跟踪方法流程示意图。FIG1 is a schematic flow chart of a three-dimensional maneuvering target tracking method based on a divide-and-conquer sampling particle filter according to an embodiment of the present disclosure.
图2为本公开实施例基于分治采样粒子滤波的三维机动目标跟踪方法流程框架示意图。FIG2 is a schematic diagram of the process framework of a three-dimensional maneuvering target tracking method based on a divide-and-conquer sampling particle filter according to an embodiment of the present disclosure.
具体实施方式DETAILED DESCRIPTION
本公开提供了一种基于分治采样粒子滤波的三维机动目标跟踪方法,所述三维机动目标跟踪方法用分治采样代替一般采样,能较大程度上增加样本多样性,降低粒子滤波算法中粒子退化问题和粒子匮乏现象带来的影响,提升状态空间中的样本覆盖率,降低算法复杂度,在提高跟踪精度的同时节省运算时间,保证目标跟踪的实时性和准确性。The present invention discloses a three-dimensional maneuvering target tracking method based on divide-and-conquer sampling particle filtering. The three-dimensional maneuvering target tracking method uses divide-and-conquer sampling instead of general sampling, which can greatly increase sample diversity, reduce the impact of particle degradation problems and particle starvation in particle filtering algorithms, improve sample coverage in state space, reduce algorithm complexity, save computing time while improving tracking accuracy, and ensure the real-time and accuracy of target tracking.
为使本公开的目的、技术方案和优点更加清楚明白,以下结合具体实施例,并参照附图,对本公开进一步详细说明。In order to make the objectives, technical solutions and advantages of the present disclosure more clearly understood, the present disclosure is further described in detail below in combination with specific embodiments and with reference to the accompanying drawings.
图1为所述的基于分治采样粒子滤波的三维机动目标跟踪方法流程示意图,图2为本公开实施例基于分治采样粒子滤波的三维机动目标跟踪方法流程框架示意图。结合图1和图2所示,所述的基于分治采样粒子滤波的三维机动目标跟踪方法流程示意图,包括如下步骤:FIG1 is a flow chart of the three-dimensional maneuvering target tracking method based on divide-and-conquer sampling particle filtering, and FIG2 is a flow chart of the three-dimensional maneuvering target tracking method based on divide-and-conquer sampling particle filtering according to an embodiment of the present disclosure. In combination with FIG1 and FIG2, the flow chart of the three-dimensional maneuvering target tracking method based on divide-and-conquer sampling particle filtering includes the following steps:
步骤1:对传感器测得的当前时刻数据进行坐标转换,从球坐标系转换到笛卡尔坐标系;Step 1: Perform coordinate conversion on the current moment data measured by the sensor, from the spherical coordinate system to the Cartesian coordinate system;
步骤2,对样本点进行分治采样,将三维运动空间分解为相互独立的一维子空间,各子空间内独立抽样粒子,获取样本子集;Step 2: Perform divide-and-conquer sampling on the sample points to decompose the three-dimensional motion space into independent one-dimensional subspaces, and independently sample particles in each subspace to obtain a sample subset;
步骤3,降维处理目标机动,结合量测信息对步骤2所分解的每个一维子空间中的样本子集进行粒子滤波,得到该子空间中的预测子状态;Step 3: Dimensionality reduction processing of target maneuvers, combining measurement information with particle filtering of the sample subsets in each one-dimensional subspace decomposed in step 2, and obtaining the predicted sub-state in the subspace;
步骤4,合并步骤3所得到的各子空间中预测的子状态,得到下一时刻目标的预测状态。Step 4: merge the predicted sub-states in each subspace obtained in step 3 to obtain the predicted state of the target at the next moment.
所述步骤1中,进行滤波跟踪操作前增加量测信息预处理模块,这是由于实际应用中,机动目标的量测数据由雷达等传感器测量获得,所得到的量测数据多基于球坐标,包括径向距离r,方位角b和俯仰角e等,基于球坐标的观测数据具有很强的非线性,为便于后续的分治采样及降维处理操作,将其转换为基于笛卡尔坐标系,即直角坐标系的观测数据。In the
由传感器测得目标观测数据,包括径向距离r,方位角b和俯仰角e,记为Z=[r,b,e]T。假设两坐标系间存在坐标变换其中h=[hr,hb,he]T,当已知系统观测数据的值记为Z=[r,b,e]T,可以得出笛卡尔坐标系中的观测数据的值:The target observation data measured by the sensor includes radial distance r, azimuth angle b and elevation angle e, which are recorded as Z = [r, b, e]T. Assume that there is a coordinate transformation between the two coordinate systems Where h = [hr ,hb ,he ]T , when the value of the system observation data is known and recorded as Z = [r, b, e]T , the value of the observation data in the Cartesian coordinate system can be obtained:
原观测噪声[vr,vb,ve]T,协方差矩阵为R,经坐标系转换后观测噪声为[vx,vy,vz]T,协方差矩阵Rc=J(Z)RJ(Z),J(Z)为观测量的Jacobian行列式,具体表达式为:The original observation noise is [vr , vb ,ve ]T , and the covariance matrix is R. After the coordinate system transformation, the observation noise is [vx , vy , vz ]T , and the covariance matrix Rc=J(Z)RJ(Z), where J(Z) is the Jacobian determinant of the observation. The specific expression is:
所述步骤2中,为保证样本点的空间覆盖率足够广,采用分治采样方法,该方法主要思想是将系统状态三维运动空间分割成若干个独立一维子空间,每个子空间用各自最佳的策略独立抽样粒子,具体操作为:In step 2, in order to ensure that the spatial coverage of the sample points is wide enough, a divide-and-conquer sampling method is used. The main idea of this method is to divide the three-dimensional motion space of the system state into several independent one-dimensional subspaces, and each subspace independently samples particles using its own optimal strategy. The specific operations are as follows:
将三维运动空间分解为相互独立的一维子空间,对于三维运动空间中目标的状态向量根据运动空间正交独立性,将其分为三个对应一维子空间中的子状态,分别为x方向y方向和z方向Decompose the three-dimensional motion space into independent one-dimensional subspaces. According to the orthogonal independence of the motion space, it is divided into three sub-states corresponding to the one-dimensional subspace, namely, the x-direction y direction and z direction
各子空间内选择采样策略独立抽样粒子,根据已知先验概率p(X)产生一维子空间粒子集In each subspace, a sampling strategy is selected to independently sample particles, and a one-dimensional subspace particle set is generated according to the known prior probability p(X)
其中,w为某子空间第i个随机粒子对应的权重值,N为某子空间中的粒子总数,下标x、y、z表示子空间方向;Among them, w is the weight value corresponding to the i-th random particle in a subspace, N is the total number of particles in a subspace, and the subscripts x, y, and z represent the subspace direction;
k=0时,根据状态空间独立性分解子空间,由先验概率p(X0)产生一维子空间粒子集When k = 0, the subspace is decomposed according to the independence of the state space, and the one-dimensional subspace particle set is generated by the prior probability p(X0 )
所述子空间独立抽样粒子的抽样策略选择高斯均匀分布,由已知先验概率p(X)得到样本均值和方差P,产生高斯均匀分布的随机样本randn为与状态量同维度的高斯分布随机数。The sampling strategy of the subspace independent sampling particles selects Gaussian uniform distribution, and the sample mean is obtained by the known prior probability p(X) and variance P, generating random samples from a Gaussian uniform distribution randn is a Gaussian distributed random number with the same dimension as the state quantity.
所述步骤3中,降维处理目标机动,结合量测信息对每个一维子空间中的样本子集进行粒子滤波,得到该子空间中的预测子状态,具体包括:In step 3, the target maneuver is processed by dimensionality reduction, and particle filtering is performed on the sample subset in each one-dimensional subspace in combination with the measurement information to obtain the predicted sub-state in the subspace, specifically including:
更新粒子权值,结合最新观测数据值和目标的观测模型,根据权值更新公式计算粒子新的权值,以x方向一维子空间为例:Update the particle weights, combine the latest observed data values and the target's observation model, and calculate the new particle weights according to the weight update formula. Take the one-dimensional subspace in the x direction as an example:
x方向子状态估计输出:The output of the x-direction sub-state estimation is:
对粒子集进行重采样,优选权值大的粒子,保留一部分小权值粒子。根据粒子权值从粒子集重新抽取Nx个粒子并令建立新的粒子集Resample the particle set, select particles with large weights, and retain some particles with small weights. Re-extract Nx particles And order Create a new particle set
预测目标子状态,根据目标运动的状态方程预测下一时刻x方向的目标子状态Predict the target sub-state, and predict the target sub-state in the x direction at the next moment based on the state equation of the target motion
y方向与z方向操作步骤同理,分别执行步骤3得到子状态The operation steps for the y direction and the z direction are the same. Perform step 3 to obtain the sub-states.
所述步骤4中,合并各子空间中预测的子状态,得到下一时刻目标的预测状态,具体操作为:根据各子状态估计值得到总体状态估计值In step 4, the predicted sub-states in each subspace are combined to obtain the predicted state of the target at the next moment. The specific operation is: the overall state estimation value is obtained according to the estimated values of each sub-state
执行完步骤4后,时刻k=k+1,再转到步骤1,进行下一循环。After executing step 4, at time k=k+1, go to
至此,已经结合附图对本公开实施例进行了详细描述。需要说明的是,在附图或说明书正文中,未绘示或描述的实现方式,均为所属技术领域中普通技术人员所知的形式,并未进行详细说明。此外,上述对各元件和方法的定义并不仅限于实施例中提到的各种具体结构、形状或方式,本领域普通技术人员可对其进行简单地更改或替换,例如:So far, the embodiments of the present disclosure have been described in detail in conjunction with the accompanying drawings. It should be noted that the implementation methods not shown or described in the drawings or the body of the specification are all forms known to ordinary technicians in the relevant technical field and are not described in detail. In addition, the above definitions of each element and method are not limited to the various specific structures, shapes or methods mentioned in the embodiments, and ordinary technicians in the field can simply change or replace them, for example:
(1)量测数据可替换为观测数据。(1)Measurement data can be replaced by observation data.
依据以上描述,本领域技术人员应当对本公开基于分治采样粒子滤波的三维机动目标跟踪方法有了清楚的认识。Based on the above description, those skilled in the art should have a clear understanding of the three-dimensional maneuvering target tracking method based on divide-and-conquer sampling particle filtering disclosed in the present invention.
综上所述,本公开提供了一种基于分治采样粒子滤波的三维机动目标跟踪方法,所述三维机动目标跟踪方法用分治采样代替一般采样,能较大程度上增加样本多样性,降低粒子滤波算法中粒子退化问题和粒子匮乏现象带来的影响,提升状态空间中的样本覆盖率,降低算法复杂度,在提高跟踪精度的同时节省运算时间,保证目标跟踪的实时性和准确性。In summary, the present disclosure provides a three-dimensional maneuvering target tracking method based on divide-and-conquer sampling particle filtering. The three-dimensional maneuvering target tracking method uses divide-and-conquer sampling instead of general sampling, which can greatly increase sample diversity, reduce the impact of particle degradation problems and particle starvation phenomena in the particle filter algorithm, improve sample coverage in the state space, reduce algorithm complexity, save computing time while improving tracking accuracy, and ensure the real-time and accuracy of target tracking.
还需要说明的是,实施例中提到的方向用语,例如“上”、“下”、“前”、“后”、“左”、“右”等,仅是参考附图的方向,并非用来限制本公开的保护范围。贯穿附图,相同的元素由相同或相近的附图标记来表示。在可能导致对本公开的理解造成混淆时,将省略常规结构或构造。It should also be noted that the directional terms mentioned in the embodiments, such as "upper", "lower", "front", "back", "left", "right", etc., are only reference directions of the drawings and are not intended to limit the scope of protection of the present disclosure. Throughout the drawings, the same elements are represented by the same or similar reference numerals. Conventional structures or configurations will be omitted when they may cause confusion in the understanding of the present disclosure.
并且图中各部件的形状和尺寸不反映真实大小和比例,而仅示意本公开实施例的内容。另外,在权利要求中,不应将位于括号之间的任何参考符号构造成对权利要求的限制。Moreover, the shapes and sizes of the components in the figures do not reflect the real size and proportion, but only illustrate the contents of the embodiments of the present disclosure. In addition, in the claims, any reference symbols between brackets shall not be construed as limiting the claims.
除非有所知名为相反之意,本说明书及所附权利要求中的数值参数是近似值,能够根据通过本公开的内容所得的所需特性改变。具体而言,所有使用于说明书及权利要求中表示组成的含量、反应条件等等的数字,应理解为在所有情况中是受到「约」的用语所修饰。一般情况下,其表达的含义是指包含由特定数量在一些实施例中±10%的变化、在一些实施例中±5%的变化、在一些实施例中±1%的变化、在一些实施例中±0.5%的变化。Unless otherwise indicated, the numerical parameters in this specification and the appended claims are approximate values and can vary according to the desired properties obtained through the content of the present disclosure. Specifically, all numbers used in the specification and claims to express the content of the composition, reaction conditions, etc., should be understood to be modified by the term "about" in all cases. In general, the meaning of the expression is to include a variation of ±10% in some embodiments, ±5% in some embodiments, ±1% in some embodiments, and ±0.5% in some embodiments by a specific number.
再者,单词“包含”不排除存在未列在权利要求中的元件或步骤。位于元件之前的单词“一”或“一个”不排除存在多个这样的元件。Furthermore, the word "comprising" does not exclude the presence of elements or steps not listed in a claim. The word "a" or "an" preceding an element does not exclude the presence of a plurality of such elements.
说明书与权利要求中所使用的序数例如“第一”、“第二”、“第三”等的用词,以修饰相应的元件,其本身并不意味着该元件有任何的序数,也不代表某一元件与另一元件的顺序、或是制造方法上的顺序,该些序数的使用仅用来使具有某命名的一元件得以和另一具有相同命名的元件能做出清楚区分。The ordinal numbers used in the specification and claims, such as "first", "second", "third", etc., to modify the corresponding elements, do not themselves mean that the elements have any ordinal numbers, nor do they represent the order of one element and another element, or the order in the manufacturing method. The use of these ordinal numbers is only used to clearly distinguish a component with a certain name from another component with the same name.
此外,除非特别描述或必须依序发生的步骤,上述步骤的顺序并无限制于以上所列,且可根据所需设计而变化或重新安排。并且上述实施例可基于设计及可靠度的考虑,彼此混合搭配使用或与其他实施例混合搭配使用,即不同实施例中的技术特征可以自由组合形成更多的实施例。In addition, unless the steps are specifically described or must occur in sequence, the order of the above steps is not limited to the above list, and can be changed or rearranged according to the required design. And the above embodiments can be mixed and matched with each other or with other embodiments based on design and reliability considerations, that is, the technical features in different embodiments can be freely combined to form more embodiments.
本领域那些技术人员可以理解,可以对实施例中的设备中的模块进行自适应性地改变并且把它们设置在与该实施例不同的一个或多个设备中。可以把实施例中的模块或单元或组件组合成一个模块或单元或组件,以及此外可以把它们分成多个子模块或子单元或子组件。除了这样的特征和/或过程或者单元中的至少一些是相互排斥之外,可以采用任何组合对本说明书(包括伴随的权利要求、摘要和附图)中公开的所有特征以及如此公开的任何方法或者设备的所有过程或单元进行组合。除非另外明确陈述,本说明书(包括伴随的权利要求、摘要和附图)中公开的每个特征可以由提供相同、等同或相似目的的替代特征来代替。并且,在列举了若干装置的单元权利要求中,这些装置中的若干个可以是通过同一个硬件项来具体体现。Those skilled in the art will appreciate that the modules in the devices in the embodiments may be adaptively changed and set in one or more devices different from the embodiments. The modules or units or components in the embodiments may be combined into one module or unit or component, and in addition they may be divided into multiple submodules or subunits or subcomponents. All features disclosed in this specification (including the accompanying claims, abstracts and drawings) and all processes or units of any method or device disclosed in this manner may be combined in any combination, except that at least some of such features and/or processes or units are mutually exclusive. Unless otherwise expressly stated, each feature disclosed in this specification (including the accompanying claims, abstracts and drawings) may be replaced by an alternative feature that provides the same, equivalent or similar purpose. Furthermore, in a unit claim that lists several devices, several of these devices may be embodied by the same hardware item.
类似地,应当理解,为了精简本公开并帮助理解各个公开方面中的一个或多个,在上面对本公开的示例性实施例的描述中,本公开的各个特征有时被一起分组到单个实施例、图、或者对其的描述中。然而,并不应将该公开的方法解释成反映如下意图:即所要求保护的本公开要求比在每个权利要求中所明确记载的特征更多的特征。更确切地说,如下面的权利要求书所反映的那样,公开方面在于少于前面公开的单个实施例的所有特征。因此,遵循具体实施方式的权利要求书由此明确地并入该具体实施方式,其中每个权利要求本身都作为本公开的单独实施例。Similarly, it should be understood that in order to streamline the present disclosure and aid in understanding one or more of the various disclosed aspects, in the above description of the exemplary embodiments of the present disclosure, the various features of the present disclosure are sometimes grouped together into a single embodiment, figure, or description thereof. However, this disclosed method should not be interpreted as reflecting the following intention: the claimed disclosure requires more features than the features explicitly recited in each claim. More specifically, as reflected in the claims below, the disclosed aspects are less than all the features of the single embodiment disclosed above. Therefore, the claims that follow the specific embodiment are hereby expressly incorporated into the specific embodiment, with each claim itself serving as a separate embodiment of the present disclosure.
以上所述的具体实施例,对本公开的目的、技术方案和有益效果进行了进一步详细说明,所应理解的是,以上所述仅为本公开的具体实施例而已,并不用于限制本公开,凡在本公开的精神和原则之内,所做的任何修改、等同替换、改进等,均应包含在本公开的保护范围之内。The specific embodiments described above further illustrate the purpose, technical solutions and beneficial effects of the present disclosure. It should be understood that the above description is only a specific embodiment of the present disclosure and is not intended to limit the present disclosure. Any modifications, equivalent substitutions, improvements, etc. made within the spirit and principles of the present disclosure should be included in the protection scope of the present disclosure.
| Application Number | Priority Date | Filing Date | Title |
|---|---|---|---|
| CN201810841616.XACN109143222B (en) | 2018-07-27 | 2018-07-27 | 3D Maneuvering Target Tracking Method Based on Divide and Conquer Sampling Particle Filter |
| Application Number | Priority Date | Filing Date | Title |
|---|---|---|---|
| CN201810841616.XACN109143222B (en) | 2018-07-27 | 2018-07-27 | 3D Maneuvering Target Tracking Method Based on Divide and Conquer Sampling Particle Filter |
| Publication Number | Publication Date |
|---|---|
| CN109143222A CN109143222A (en) | 2019-01-04 |
| CN109143222Btrue CN109143222B (en) | 2023-04-25 |
| Application Number | Title | Priority Date | Filing Date |
|---|---|---|---|
| CN201810841616.XAActiveCN109143222B (en) | 2018-07-27 | 2018-07-27 | 3D Maneuvering Target Tracking Method Based on Divide and Conquer Sampling Particle Filter |
| Country | Link |
|---|---|
| CN (1) | CN109143222B (en) |
| Publication number | Priority date | Publication date | Assignee | Title |
|---|---|---|---|---|
| CN115496924A (en)* | 2022-09-29 | 2022-12-20 | 北京瑞莱智慧科技有限公司 | Data processing method, related equipment and storage medium |
| Publication number | Priority date | Publication date | Assignee | Title |
|---|---|---|---|---|
| WO2008008046A1 (en)* | 2006-07-11 | 2008-01-17 | Agency For Science, Technology And Research | Method and system for multi-object tracking |
| CN101055563A (en)* | 2007-05-21 | 2007-10-17 | 北京理工大学 | Particle filter method based on multiple advice distribution |
| CN101701826A (en)* | 2009-11-20 | 2010-05-05 | 西安电子科技大学 | Passive Multi-Sensor Target Tracking Method Based on Hierarchical Particle Filter |
| CN104035083B (en)* | 2014-06-20 | 2016-08-24 | 电子科技大学 | A kind of radar target tracking method based on measurement conversion |
| US9883337B2 (en)* | 2015-04-24 | 2018-01-30 | Mijix, Inc. | Location based services for RFID and sensor networks |
| CN107609451A (en)* | 2017-09-14 | 2018-01-19 | 斯坦德机器人(深圳)有限公司 | A kind of high-precision vision localization method and system based on Quick Response Code |
| Publication number | Publication date |
|---|---|
| CN109143222A (en) | 2019-01-04 |
| Publication | Publication Date | Title |
|---|---|---|
| CN103472850B (en) | A kind of multiple no-manned plane collaboratively searching method based on Gaussian distribution prediction | |
| CN110927740A (en) | Mobile robot positioning method | |
| CN109545072B (en) | Map construction pose calculation method, map construction pose calculation device, map construction pose storage medium and map construction pose calculation system | |
| CN107192995B (en) | Multi-level information fusion pure orientation underwater target tracking algorithm | |
| CN107703480B (en) | A hybrid kernel function indoor localization method based on machine learning | |
| CN109798896A (en) | A kind of positioning of Indoor Robot with build drawing method and device | |
| CN106443627B (en) | K Distribution Sea Clutter form parameter estimation method based on Bayesian | |
| WO2018119912A1 (en) | Target tracking method and device based on parallel fuzzy gaussian and particle filter | |
| CN104330083A (en) | Multi-robot cooperative positioning algorithm based on square root unscented kalman filter | |
| CN113970922A (en) | Point cloud data processing method and intelligent driving control method and device | |
| CN111982124B (en) | 3D LiDAR Navigation Method and Device in Glass Scene Based on Deep Learning | |
| CN110187336A (en) | A Multi-station Radar Site Location and Joint Tracking Method Based on Distributed PHD | |
| Xin et al. | Multimobile robot cooperative localization using ultrawideband sensor and GPU acceleration | |
| CN115424046A (en) | Method, device, equipment and medium for tracking flight path of unmanned aerial vehicle group | |
| CN103871021A (en) | CPU (central processing unit)-GPU (graphic processing unit) cooperative work target track initializing method | |
| CN109635486B (en) | High-resolution three-dimensional imaging sonar transducer array sparse optimization method | |
| CN115752384A (en) | Space-based optical monitoring platform space target track determination method and system | |
| CN109143222B (en) | 3D Maneuvering Target Tracking Method Based on Divide and Conquer Sampling Particle Filter | |
| CN116400318A (en) | Method and device for multi-observation target position estimation based on online particle swarm optimization | |
| Zhang et al. | Indoor fingerprint localization algorithm based on WKNN and LightGBM-GA | |
| Liu et al. | Efficient exploration of mobile robot based on DL-RRT and AP-BO | |
| WO2023143110A1 (en) | Method for solving partial differential equation and related device | |
| CN108344968A (en) | A kind of orthogonal propagation operator direction-finding method based on multimodal quantum cuckoo search mechanisms | |
| CN113741431B (en) | Obstacle avoidance path determination method, obstacle avoidance method, device and storage medium | |
| Li et al. | Nonlinear von Mises–Fisher filtering based on isotropic deterministic sampling |
| Date | Code | Title | Description |
|---|---|---|---|
| PB01 | Publication | ||
| PB01 | Publication | ||
| SE01 | Entry into force of request for substantive examination | ||
| SE01 | Entry into force of request for substantive examination | ||
| GR01 | Patent grant | ||
| GR01 | Patent grant |