


技术领域technical field
本发明属于图像采集与处理技术领域,具体涉及一种分光偏振光谱信息同步处理方法及系统。The invention belongs to the technical field of image acquisition and processing, and in particular relates to a method and system for synchronous processing of spectral polarization spectrum information.
背景技术Background technique
偏振成像是在实时获取目标偏振信息的基础上利用所得到的信息进行目标重构增强的过程,它能够提供更多维度的目标信息,是一项具有巨大应用价值的前沿技术,特别适合于隐身、伪装、虚假目标的探测识别,在雾霾、烟尘等恶劣环境下能提高光电探测装备的目标探测识别能力。Polarization imaging is a process of using the obtained information to reconstruct and enhance the target on the basis of real-time acquisition of target polarization information. It can provide more dimensional target information and is a cutting-edge technology with great application value, especially suitable for stealth. , camouflage, false target detection and identification, in harsh environments such as haze, smoke, etc., can improve the target detection and identification ability of photoelectric detection equipment.
偏振是光的基本特性之一,任何目标在反射和发射电磁辐射的过程中都会表现出由其自身特性和光学基本定律所决定的偏振特性。通过成像获得场景在不同偏振状态下的信息,可对具有偏振-光强差异的目标及背景进行有效区分,进而实现复杂背景下弱目标的检测与识别。因此,近些年偏振成像探测在气象环境科学研究、海洋的开发利用、空间探测、生物医学以及军事应用等方面受到了越来越多的重视。Polarization is one of the basic properties of light, and any target will exhibit polarization properties determined by its own properties and the fundamental laws of optics in the process of reflecting and emitting electromagnetic radiation. The information of the scene under different polarization states can be obtained by imaging, which can effectively distinguish the target and the background with polarization-light intensity difference, and then realize the detection and recognition of weak targets in the complex background. Therefore, in recent years, polarization imaging detection has received more and more attention in meteorological environmental science research, ocean development and utilization, space exploration, biomedicine and military applications.
目前得到应用的偏振成像探测装置主要有三种:(1)分时成像的方式。该方式通过旋转安装在镜头前的偏振片和波片以获得不同偏振方向的图像。其结构简单、易实现,但是很难实现对运动目标偏振成像。(2)分焦平面的方式。该方式采用特殊工艺制作的成像器件,其上的每一个像素分别对应不同偏振方向,并按照类似彩色图像传感器中RGB分布的Bayer格式进行排布。该方式不仅可以实现同时偏振成像,而且无需额外的分光器件,易于实现仪器的小型化,但分焦平面器件的制作工艺复杂且未实现产品化。(3)通道调制的方式。该方式采用三台相机组成三通道同步成像系统,分别采集不同方向的偏振图像,再通过图像空间配准算法将不同方向偏振图像的重叠区域进行像素对齐。该方式能够实时成像且硬件复杂度低具有较低;但由于三通道的畸变参数及拍摄视角存在差异,如不能合理地校正,会使得偏振图像存在误差,影响后续的处理。(4)分振幅的方式。该方式通过分光器将入射光分为几路,各路光线经过不同偏振方向的偏振片后进入相应的探测器。该方式实现多方向偏振信息的同步采集,但是设备过于庞大。There are three main types of polarization imaging detection devices currently used: (1) Time-division imaging. This method obtains images with different polarization directions by rotating the polarizer and waveplate installed in front of the lens. The structure is simple and easy to implement, but it is difficult to realize polarization imaging of moving targets. (2) The way of dividing the focal plane. This method uses an imaging device made by a special process, and each pixel on it corresponds to a different polarization direction, and is arranged in a Bayer format similar to the RGB distribution in a color image sensor. This method can not only realize simultaneous polarization imaging, but also requires no additional spectroscopic device, which is easy to realize the miniaturization of the instrument, but the manufacturing process of the split focal plane device is complicated and has not been commercialized. (3) The way of channel modulation. This method uses three cameras to form a three-channel synchronous imaging system, collects polarization images in different directions respectively, and then uses an image space registration algorithm to align the overlapping areas of polarization images in different directions. This method is capable of real-time imaging and has low hardware complexity; however, due to differences in the distortion parameters of the three channels and the shooting angle of view, if it cannot be properly corrected, there will be errors in the polarized image, which will affect subsequent processing. (4) The way of sub-amplitude. In this method, the incident light is divided into several paths by a spectroscope, and each path of light enters the corresponding detector after passing through polarizers with different polarization directions. This method realizes the synchronous acquisition of multi-directional polarization information, but the equipment is too large.
发明内容SUMMARY OF THE INVENTION
发明目的:针对现有技术中存在的问题,本发明提供一种分光偏振光谱信息同步处理方法及系统,通过控制分光偏振光谱采集装置获得目标某个波段下的三幅不同方向的偏振图像,并通过位移变化和偏振计算最后融合显示最终的成像结果。Purpose of the invention: In view of the problems existing in the prior art, the present invention provides a method and system for synchronous processing of spectroscopic polarization spectrum information, by controlling the spectroscopic polarization spectrum acquisition device to obtain three polarized images in different directions in a certain wavelength band of the target, and The final imaging results are displayed through the final fusion of displacement changes and polarization calculations.
技术方案:为实现上述发明目的,本发明采用如下技术方案:Technical scheme: In order to realize the above-mentioned purpose of the invention, the present invention adopts the following technical scheme:
一种分光偏振光谱信息同步处理方法,包括如下步骤:A method for synchronously processing spectroscopic polarization spectrum information, comprising the following steps:
(1)采集并存储三个CMOS图像传感器同时获取的目标0°方向、45°方向和90°方向的三幅偏振图像;(1) Collect and store three polarization images of the target in the 0°, 45° and 90° directions simultaneously obtained by the three CMOS image sensors;
(2)采用相位相关法对三幅偏振图像进行位移变化矫正,并采用线性调谐方法进行偏振参数计算,得到四幅偏振参数图像;(2) The phase correlation method is used to correct the displacement change of the three polarization images, and the linear tuning method is used to calculate the polarization parameters, and four polarization parameter images are obtained;
(3)基于PCA方法融合偏振参数图像和偏振度图像,得到偏振特征图像,并基于双通道PCNN对偏振特征图像和合成光强图像进行融合显示。(3) Based on the PCA method, the polarization parameter image and the polarization degree image are fused to obtain the polarization characteristic image, and the polarization characteristic image and the synthetic light intensity image are fused and displayed based on the dual-channel PCNN.
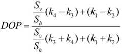
作为优选,所述步骤(2)中偏振参数计算的方法为:Preferably, the method for calculating the polarization parameter in the step (2) is:
Sv=k1I90°-k2I0°-cvI45°Sv =k1 I90° -k2 I0° -cv I45°
Sh=k3I0°-k4I90°-chI135°Sh = k3 I0° -k4 I90°-ch I135°
Sd=(k5+k6)*I45°-k6*(I0°+I90°)-cdI90°Sd =(k5 +k6 )*I45° -k6 *(I0° +I90° )-cd I90°
Sr=k7*(I0°+I90°)-(k7+k8)*I45°-crI0°Sr =k7 *(I0° +I90° )-(k7 +k8 )*I45° -cr I0°
其中Sv、Sh、Sd、Sr分别为垂直方向、水平方向、45°方向和135°方向的偏振参数,k1,k2……k8为层间对立因子,满足kj|j=1,3,5,7>1和0<kj|j=2,4,6,8<=1,cv、ch、cd、cr为层外抑制因子,I表示偏振光强,下标为相应的偏振方向。where Sv ,Sh , Sd , and Sr are the polarization parameters in the vertical, horizontal, 45° and 135° directions, respectively, k1 , k2 ...... k8 are the interlayer opposition factors, satisfying kj | j=1,3,5,7 >1 and 0<k j|j=2,4,6,8 <=1,cv ,ch , cd,cr are the extra-layer suppression factors, and I is the polarization Light intensity, subscripted to the corresponding polarization direction.
作为优选,所述步骤(3)中偏振度和合成光强依据下式计算得到:As preferably, in the described step (3), the degree of polarization and the synthetic light intensity are calculated according to the following formula:
偏振度Degree of polarization
合成光强Synthetic light intensity
作为优选,所述步骤(3)中基于PCA方法融合偏振参数图像和偏振度图像,得到偏振特征图像的方法为:将四个方向的偏振参数图像和偏振度图像中的所有元素点形成一个列向量,将这些列向量排成矩阵X;保留矩阵X的主要成分作为偏振特征图像。Preferably, in the step (3), the polarization parameter image and the polarization degree image are fused based on the PCA method, and the method for obtaining the polarization characteristic image is: forming a column of all the element points in the polarization parameter image and the polarization degree image in four directions vector, arrange these column vectors into matrix X; retain the principal components of matrix X as polarization feature images.
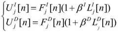
作为优选,所述步骤(3)中基于双通道PCNN融合偏振特征图像和合成光强图像的方法包括:Preferably, in the step (3), the method for fusing the polarization feature image and the synthetic light intensity image based on the dual-channel PCNN includes:
(3.1)初始化神经网络模型参数,将合成光强图像和偏振特征图像分别作为双通道PCNN的两个输入和并根据分别得到总体刺激;式中βI和βD为联接系数;n表示迭代次数;上标I和D分别用来标记合成光强图像和偏振特征图像,下标j表示图像中像素点;和是邻域神经元的总反馈;(3.1) Initialize the neural network model parameters, and use the synthetic light intensity image and the polarization feature image as the two inputs of the dual-channel PCNN respectively and and according to get the overall stimulus respectively; where βI and βD are the connection coefficients; n represents the number of iterations; the superscripts I and D are used to mark the synthetic light intensity image and the polarization feature image, respectively, and the subscript j represents the pixels in the image; and is the total feedback of neighbor neurons;
(3.2)更新神经网络模型参数,根据和产生脉冲输出,其中和为各通道当前时刻的阈值;(3.2) Update the parameters of the neural network model, according to and produces a pulse output, where and is the current time threshold of each channel;
(3.3)根据更新脉冲产生次数,并使迭代变量n=n+1,其中和为上一时刻产生脉冲总次数;(3.3) According to Update the number of pulse generation and make the iteration variable n=n+1, where and The total number of pulses generated for the previous moment;
(3.4)如果迭代次数小于最大迭代次数,返回步骤(3.2),否则,迭代结束并转为步骤(3.5);(3.4) If the number of iterations is less than the maximum number of iterations, return to step (3.2), otherwise, the iteration ends and go to step (3.5);
(3.5)迭代结束得到各点火矩阵和并通过不同通道点火次数最大值的方式进行融合输出:(3.5) At the end of the iteration, each ignition matrix is obtained and And the fusion output is carried out by means of the maximum number of ignition times of different channels:
作为优选,所述步骤(3)中双通道PCNN的联接系数为相应通道的图像的联合局部熵E与对比度σ的乘积;其中H(i,j)表示点(i,j)处灰度值,N*M表示图像的尺寸。Preferably, the connection coefficient of the dual-channel PCNN in the step (3) is the product of the joint local entropy E and the contrast σ of the images of the corresponding channels; wherein H(i,j) represents the gray value at point (i,j), and N*M represents the size of the image.
一种用于实现所述的分光偏振光谱信息同步处理方法的分光偏振光谱信息同步处理系统,包括上位机和下位机两个部分;所述下位机包括滤波片、分光棱镜组、偏振片和CMOS图像传感器,用于采集同一波段下的三幅不同偏振方向的偏振图像;A spectral polarization spectral information synchronization processing system for realizing the method for synchronizing spectral polarization spectral information, comprising two parts, an upper computer and a lower computer; the lower computer includes a filter, a beam splitting prism group, a polarizer and a CMOS The image sensor is used to collect three polarization images with different polarization directions in the same band;
所述上位机包括图像存储单元、偏振信息处理单元和融合显示单元;The host computer includes an image storage unit, a polarization information processing unit and a fusion display unit;
所述图像存储单元,用于存放下位机采集到的偏振图像和上位机中偏振信息处理后的图像;The image storage unit is used to store the polarization image collected by the lower computer and the image processed by the polarization information in the upper computer;
所述偏振信息处理单元,用于采用相位相关法对三幅偏振图像进行位移变化矫正,并采用线性调谐方法进行偏振参数计算,得到四幅偏振参数图像;The polarization information processing unit is used for performing displacement change correction on the three polarization images by using the phase correlation method, and performing polarization parameter calculation by using the linear tuning method to obtain four polarization parameter images;
所述融合显示单元,用于基于PCA方法融合偏振参数图像和偏振度图像,得到偏振特征图像,并基于双通道PCNN对偏振特征图像和合成光强图像进行融合显示。The fusion display unit is used to fuse the polarization parameter image and the polarization degree image based on the PCA method to obtain the polarization characteristic image, and fuse and display the polarization characteristic image and the synthesized light intensity image based on the dual-channel PCNN.
作为优选,所述下位机和上位机通过USB口进行数据传输。Preferably, the lower computer and the upper computer perform data transmission through a USB port.
作为优选,所述分光棱镜组通过分光结构获取同一波段同一主光轴下的三束光,并分别通过偏振片和CMOS得到三个不同方向的偏振图像。Preferably, the dichroic prism group obtains three beams of light in the same wavelength band and the same main optical axis through the dichroic structure, and obtains three polarization images in different directions through the polarizer and the CMOS respectively.
有益效果:本发明与现有技术相比,其优点在于:本发明通过上位机和下位机的设计可以同步采集三幅不同偏振方向的偏振图像,并且设计偏振光谱信息同步处理的步骤。该方法设计的下位机结构紧凑、工艺简单,能对运动目标进行成像,并且获得图像快捷,线性调谐的方式进行偏振计算得到的偏振参数信息量最大,而通过分级的方式进行融合使得计算量降低且信息更加完整。Beneficial effects: Compared with the prior art, the present invention has the advantages that: the present invention can synchronously collect three polarization images with different polarization directions through the design of the upper computer and the lower computer, and design the steps of synchronous processing of polarization spectrum information. The lower computer designed by this method has a compact structure and a simple process, which can image moving targets and obtain images quickly. The polarization parameter information obtained by the polarization calculation in the linear tuning method is the largest, and the fusion by the hierarchical method reduces the amount of calculation. and more complete information.
附图说明Description of drawings
为了使本发明的内容更容易被清楚的理解,下面根据的具体实施例并结合附图,对本发明作进一步详细的说明,其中:In order to make the content of the present invention easier to be understood clearly, the present invention will be described in further detail below according to specific embodiments and in conjunction with the accompanying drawings, wherein:
图1为本发明实施例系统框架示意图;1 is a schematic diagram of a system framework according to an embodiment of the present invention;
图2为本发明实施例方法流程示意图;2 is a schematic flowchart of a method according to an embodiment of the present invention;
图3为本发明实施例线性调谐偏振计算的数学模型示意图。FIG. 3 is a schematic diagram of a mathematical model of linearly tuned polarization calculation according to an embodiment of the present invention.
具体实施方式Detailed ways
结合附图对本发明作进一步的描述如下:The present invention is further described as follows in conjunction with the accompanying drawings:
图1为本发明实施例系统框架示意图。如图1所示,本发明实施例公开的一种分光偏振光谱信息同步处理系统,主要包括上位机和下位机两个部分,上位机和下位机通过USB口进行通信。下位机包括滤波片、分光棱镜组、偏振片、CMOS图像传感器,用于采集同一波段下的三幅不同偏振方向的偏振图片;上位机包括图像存储单元、偏振信息处理单元和融合显示单元;其中图像存储单元用于存放下位机采集到的偏振图像和上位机中偏振信息处理后的图像;偏振信息处理单元内置有位移变化和偏振计算的算法,用于对下位机采集到的图像进行处理;融合显示用于将偏振信息处理后的图像进行融合显示。FIG. 1 is a schematic diagram of a system framework according to an embodiment of the present invention. As shown in FIG. 1 , a synchronous processing system for spectroscopic polarization spectrum information disclosed in an embodiment of the present invention mainly includes two parts: an upper computer and a lower computer, and the upper computer and the lower computer communicate through a USB port. The lower computer includes a filter, a beam splitting prism group, a polarizer, and a CMOS image sensor, which is used to collect three polarized pictures with different polarization directions in the same band; the upper computer includes an image storage unit, a polarization information processing unit and a fusion display unit; wherein The image storage unit is used to store the polarization image collected by the lower computer and the image processed by the polarization information in the upper computer; the polarization information processing unit has a built-in algorithm for displacement change and polarization calculation, which is used to process the image collected by the lower computer; The fusion display is used for fusion display of the image processed by polarization information.
本实施例的系统中CMOS图像传感器采用选用OmniVision公司的黑白图像传感器OV2710作为成像器件,该传感器像素为200万,光学格式为1/2.7英寸,有效分辨率为1920H×1080V;在片上组合了复杂的相机功能,包括快拍技术,传感器缩放的行列跳跃采集技术以及感兴趣区域的窗口截取技术,可以通过两条串行总线进行编程修改图片尺寸、曝光时间、增益等参数;光谱响应范围为450-1050nm,成像信噪比(39dB)和动态范围分别被提高至40dB和69dB;具有3μm×3μm的像素尺寸,能有更好的响应能力(2.0V/lux-sec);Full@30fps的帧速率能够连续捕获图像,基本上可以满足运动目标的探测需求。In the system of this embodiment, the CMOS image sensor adopts the black and white image sensor OV2710 from OmniVision as the imaging device. The sensor has 2 million pixels, an optical format of 1/2.7 inch, and an effective resolution of 1920H×1080V. camera functions, including snapshot technology, sensor zooming row-column jump acquisition technology, and area-of-interest window interception technology, which can be programmed to modify parameters such as image size, exposure time, gain, etc. through two serial buses; the spectral response range is 450 -1050nm, the imaging signal-to-noise ratio (39dB) and the dynamic range are improved to 40dB and 69dB respectively; with a pixel size of 3μm × 3μm, it can have better responsiveness (2.0V/lux-sec); Full@30fps frame The rate can continuously capture images, which can basically meet the detection needs of moving targets.
分光棱镜组工作波段为425~1050nm,偏振片工作波段为400~1200nm。分光棱镜组通过分光结构获取同一波段同一主光轴下的三束光,并分别通过偏振片和CMOS得到三个不同方向的偏振图像。The working band of the beam splitting prism group is 425-1050nm, and the working band of the polarizer is 400-1200nm. The beam-splitting prism group obtains three beams of light in the same wavelength band and the same main optical axis through the beam-splitting structure, and obtains three polarization images in different directions through the polarizer and CMOS respectively.
图2为本发明实施例分光偏振光谱信息处理流程图,如图2所示,本发明实施例公开的一种分光偏振光谱信息同步处理方法,主要包括以下步骤:FIG. 2 is a flow chart of spectral polarization spectrum information processing according to an embodiment of the present invention. As shown in FIG. 2 , a method for synchronizing spectral polarization spectrum information disclosed in an embodiment of the present invention mainly includes the following steps:
步骤一:采集并存储三个CMOS图像传感器同时获取的目标0°方向、45°方向和90°方向的三幅偏振图像。具体包括:Step 1: Collect and store three polarization images of the target in the 0° direction, the 45° direction and the 90° direction simultaneously obtained by the three CMOS image sensors. Specifically include:
①通过USB建立上位机与下位机连接;① Establish the connection between the upper computer and the lower computer through USB;
②确认后上位机可任意选择下位机中CMOS,并发送成像参数的控制字,包括图像分辨率、曝光时间和电子增益;②After confirmation, the upper computer can arbitrarily select the CMOS in the lower computer, and send the control word of the imaging parameters, including image resolution, exposure time and electronic gain;
③上位机发送同步采集信号使三个CMOS同时曝光,获取目标0°方向、45°方向和90°方向的偏振图像。③ The host computer sends a synchronous acquisition signal to expose the three CMOSs at the same time, and acquires the polarization images in the 0° direction, 45° direction and 90° direction of the target.
④下位机将三幅偏振图像传输到上位机并存储。④The lower computer transmits the three polarized images to the upper computer and stores them.
步骤二:采用相位相关法对三幅偏振图像进行位移变化矫正,并采用线性调谐方法进行偏振参数计算,得到四幅偏振参数图像。具体包括:Step 2: Use the phase correlation method to correct the displacement change of the three polarization images, and use the linear tuning method to calculate the polarization parameters to obtain four polarization parameter images. Specifically include:
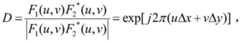
①在上位机上基于相位相关法对三幅偏振图像进行位移变化矫正,即以一幅偏振图像为基准,对另外两幅偏振图像进行位移变化,具体步骤如下:① Perform displacement change correction on the three polarized images based on the phase correlation method on the host computer, that is, take one polarized image as the benchmark, and perform displacement changes on the other two polarized images. The specific steps are as follows:
(1)选择两幅图像f1(x,y)和f2(x,y),它们之间存在平移量(Δx,Δy),以f1(x,y)为参考图像,f2(x,y)为待平移图像,即f2(x,y)=f1(x-Δx,y-Δy);(1) Select two images f1 (x, y) and f2 (x, y), there is a translation (Δx, Δy) between them, take f1 (x, y) as the reference image, f2 ( x, y) is the image to be translated, that is, f2 (x, y)=f1 (x-Δx, y-Δy);
(2)对f1(x,y)和f2(x,y)分别进行傅立叶变换:F2(u,v)=F1(u,v)·exp[-j2π(uΔx+vΔy)]和F1(u,v);(2) Fourier transform is performed on f1 (x,y) and f2 (x,y) respectively: F2 (u,v)=F1 (u,v)·exp[-j2π(uΔx+vΔy)] and F1 (u,v);
(3)归一化功率谱:其中F2*(u,v)为F2(u,v)的共轭函数;(3) Normalized power spectrum: where F2* (u, v) is the conjugate function of F2 (u, v);
(4)对归一化功率谱进行傅立叶逆变换:f(x,y)=δ(x-Δx,y-Δy);(4) Perform an inverse Fourier transform on the normalized power spectrum: f(x,y)=δ(x-Δx,y-Δy);
(5)计算(4)中的峰值点即求出平移参数(Δx,Δy)。(5) Calculate the peak point in (4) to obtain the translation parameters (Δx, Δy).
②基于线性调谐方式进行偏振计算,得到4幅偏振参数图像。②The polarization calculation is performed based on the linear tuning method, and 4 polarization parameter images are obtained.
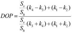
图3为本发明实施例线性调谐偏振计算的数学模型示意图。如图3所示线性调谐偏振计算为线性计算,可表示为:FIG. 3 is a schematic diagram of a mathematical model of linearly tuned polarization calculation according to an embodiment of the present invention. As shown in Figure 3, the linearly tuned polarization calculation is a linear calculation, which can be expressed as:
式中,Iθ为不同偏振方向上的偏振光光强,且满足θ1⊥θ2,这保证θ1和θ2是一对偏振敏感对;Sv,h,d,r表示偏振敏感参数;和为对立因子,且和cv,h,d,rIθ表示邻近感光细胞组对该通道的抑制总响应,cv,h,d,r为该通道中邻近感光细胞组对偏振敏感对的抑制因子,通过改变和cv,h,d,r的幅值来调控通道中不同方向偏振光强的作用大小。调谐参数的取值将直接影响得到的偏振参数的质量,通过以下方式进行计算。调谐因子分为层间对立因子和层外抑制因子cv,h,d,r,而层间对立因子又分为增强因子kj|j=1,3,5,7和抑制因子kj|j=2,4,6,8。因为各调谐因子在模型中的作用有所不同,所以设置的取值范围也不同。令增强因子kj|j=1,3,5,7的取值范围为[1,10],步长为0.04,令抑制因子kj|j=2,4,6,8取值范围为[0.1,1],步长为0.01,令抑制因子cv,h,d,r取值范围为[0.001,0.05],步长为0.0002,然后计算每个偏振通道的信息熵,并与前一调谐因子下的信息熵进行比较,如果大于的话就更新调谐因子的值直到信息熵是最大值时停止,这时的调谐因子就是最佳解。In the formula, Iθ is the intensity of polarized light in different polarization directions, and satisfies θ1 ⊥ θ2 , which ensures that θ1 and θ2 are a pair of polarization-sensitive pairs; Sv,h,d,r represent polarization-sensitive parameters; and is the opposite factor, and and cv,h,d,r Iθ represents the total inhibitory response of the adjacent photoreceptor cell group to this channel, cv,h,d,r is the inhibitory factor of the adjacent photoreceptor cell group in the channel to the polarization-sensitive pair, by changing and the amplitudes ofcv, h, d, r to control the effect of polarized light intensities in different directions in the channel. The value of the tuning parameter will directly affect the quality of the obtained polarization parameter, which is calculated in the following way. The tuning factor is divided into the interlayer opposition factor and the extralayer inhibition factor cv,h,d,r , and the interlayer opposition factor is further divided into the enhancement factor kj|j=1,3,5,7 and the inhibition factor kj| j=2,4,6,8 . Because the effects of each tuning factor in the model are different, the set value ranges are also different. Let the value range of the enhancement factor kj|j=1,3,5,7 be [1,10], the step size is 0.04, and the value range of the suppression factor kj|j=2,4,6,8 is [0.1,1], the step size is 0.01, the value range of the suppression factor cv,h,d,r is [0.001,0.05], the step size is 0.0002, and then the information entropy of each polarization channel is calculated and compared with the previous The information entropy under a tuning factor is compared, and if it is greater than the value of the tuning factor, the value of the tuning factor is updated until the information entropy is the maximum value, and the tuning factor at this time is the best solution.
本步骤中采用线性调谐方法进行偏振参数计算步骤为:In this step, the linear tuning method is used to calculate the polarization parameters as follows:
①计算垂直方向偏振参数Sv,Sv=k1I90°-k2I0°-cvI45°。①Calculate the polarization parameter Sv in the vertical direction, Sv =k1 I90° -k2 I0° -cv I45° .
②计算水平方向偏振参数Sh,Sh=k3I0°-k4I90°-chI135°。②Calculate the polarization parameter Sh in the horizontal direction,Sh = k3 I0° -k4 I90° -ch I135° .
③计算45°方向偏振参数Sd,Sd=(k5+k6)*I45°-k6*(I0°+I90°)-cdI90°。③ Calculate the polarization parameter Sd in the 45° direction, Sd =(k5 +k6 )*I45° -k6 *(I0° +I90° )-cd I90° .
④计算135°方向偏振参数Sr,Sr=k7*(I0°+I90°)-(k7+k8)*I45°-crI0°。④ Calculate the polarization parameter Sr in the 135° direction, Sr =k7 *(I0° +I90° )-(k7 +k8 )*I45° -cr I0° .
基于上述偏振参数,偏振度图像和合成光强图像依据下式计算得到:Based on the above polarization parameters, the polarization degree image and the composite light intensity image are calculated according to the following equations:
偏振度Degree of polarization
合成光强Synthetic light intensity
步骤三:在上位机上计算偏振度图像和合成光强图像,将四幅偏振参数图像、偏振度图像和合成光强图像进行融合显示。包括:Step 3: Calculate the polarization degree image and the composite light intensity image on the host computer, and fuse and display the four polarization parameter images, the polarization degree image and the composite light intensity image. include:
①基于PCA方法融合偏振参数图像和偏振度图像,得到偏振特征图像。①Fusing the polarization parameter image and the polarization degree image based on the PCA method to obtain the polarization characteristic image.
②计算联合局部熵式中H(i,j)表示点(i,j)处灰度值。②Calculate joint local entropy in the formula H(i,j) represents the gray value at point (i,j).
③计算对比度式中,N*M表示图像的尺寸,H(i,j)表示点(i,j)处灰度值。③ Calculate the contrast ratio In the formula, N*M represents the size of the image, and H(i,j) represents the gray value at point (i,j).
④联合局部熵与对比度相乘,得到联接系数β=E*σ。④ Multiply the joint local entropy and contrast to get the connection coefficient β=E*σ.
⑤基于双通道PCNN融合偏振特征图像和合成光强图像,提高图像对比度,并显示。⑤ Based on the dual-channel PCNN, the polarization feature image and the synthetic light intensity image are fused to improve the image contrast and display.
其中采用PCA对偏振参数图像和偏振度图像进行初级融合得到偏振特征图像,具体如下:Among them, PCA is used to perform the primary fusion of the polarization parameter image and the polarization degree image to obtain the polarization characteristic image, as follows:
将四个方向的偏振参数图像和偏振度图像中的所有元素点形成一个列向量,将这些列向量排成矩阵X,即All the element points in the polarization parameter image and polarization degree image in the four directions form a column vector, and arrange these column vectors into a matrix X, that is
R∈Rn×n是X的相关矩阵,且R=RT,求得R=E[XXT]的特征值和特征向量为:R∈Rn×n is the correlation matrix of X, and R=RT , the eigenvalues and eigenvectors of R=E[XXT ] are obtained as:
Rqi=λiqi,i=1,2....nRqi =λi qi ,i=1,2....n
式中qi是特征向量,λi为特征值,对特征值排序,λ1>λ2......>λn,where qi is the eigenvector, λi is the eigenvalue, and the eigenvalues are sorted, λ1 >λ2 ......>λn ,
令特征值集D=[λ1,λ2......,λn],对应的特征向量集V=[q1,q2......,qn],则RV=VD。Let the eigenvalue set D=[λ1 ,λ2 ......,λn ], the corresponding eigenvector set V=[q1 ,q2 ......,qn ], then RV= VD.
线性变换求主成分:令Linear transformation to find principal components: make
式中ci构成的向量C是X主方向上的投影,为主成分,得到:C=VTX。由于V为正交矩阵,即VT=V-1,故In the formula, the vector C composed of ci is the projection on the main direction of X, which is the main component, and obtains: C=VT X. Since V is an orthogonal matrix, that is, VT =V-1 , so
保留前L个主要成分,即Retain the first L principal components, namely
X'即为偏振特征图像。X' is the polarization characteristic image.
基于双通道PCNN进行融合的方法具体步骤如下:The specific steps of the fusion method based on dual-channel PCNN are as follows:
(1)初始化神经网络模型中的各参数,包括联接系数、迭代次数、初始神经元反馈、脉冲阈值等,将合成光强图像和偏振特征图像分别作为双通道PCNN的两个输入和并根据分别得到总体刺激;式中βI和βD为联接系数;n表示迭代次数;上标I和D分别用来标记合成光强图像和偏振特征图像,下标j表示图像中像素点;和是邻域神经元的总反馈。(1) Initialize the parameters in the neural network model, including the connection coefficient, the number of iterations, the initial neuron feedback, the pulse threshold, etc., and use the synthetic light intensity image and the polarization feature image as the two inputs of the dual-channel PCNN. and and according to get the overall stimulus respectively; where βI and βD are the connection coefficients; n represents the number of iterations; the superscripts I and D are used to mark the synthetic light intensity image and the polarization feature image, respectively, and the subscript j represents the pixels in the image; and is the total feedback of neighbor neurons.
(2)更新神经网络模型的参数,根据和产生脉冲输出,其中和为各通道当前时刻的阈值。(2) Update the parameters of the neural network model, according to and produces a pulse output, where and is the current time threshold of each channel.
(3)根据更新像素点j的脉冲产生次数,并使迭代变量n=n+1。(3) According to Update the pulse generation times of pixel j, and make the iteration variable n=n+1.
(4)如果迭代次数小于最大迭代次数,返回步骤(2),否则,迭代结束并转为步骤(5)。(4) If the number of iterations is less than the maximum number of iterations, return to step (2), otherwise, the iteration ends and go to step (5).
(5)迭代结束得到各点火矩阵和并通过不同通道点火次数最大值的方式进行融合输出:(5) At the end of the iteration, each ignition matrix is obtained and And the fusion output is carried out by means of the maximum number of ignition times of different channels:
显然,上述实施例仅仅是为清楚地说明本发明所作的举例,而并非是对本发明的实施方式的限定。对于所属领域的普通技术人员来说,在上述说明的基础上还可以做出其它不同形式的变化或变动。这里无需也无法对所有的实施方式予以穷举。而这些属于本发明的精神所引伸出的显而易见的变化或变动仍处于本发明的保护范围之内。Obviously, the above-mentioned embodiments are only examples for clearly illustrating the present invention, and are not intended to limit the embodiments of the present invention. For those of ordinary skill in the art, changes or modifications in other different forms can also be made on the basis of the above description. There is no need and cannot be exhaustive of all implementations here. And these obvious changes or changes derived from the spirit of the present invention are still within the protection scope of the present invention.
| Application Number | Priority Date | Filing Date | Title |
|---|---|---|---|
| CN201810677743.0ACN109118460B (en) | 2018-06-27 | 2018-06-27 | A method and system for synchronizing processing of spectroscopic polarization spectrum information |
| Application Number | Priority Date | Filing Date | Title |
|---|---|---|---|
| CN201810677743.0ACN109118460B (en) | 2018-06-27 | 2018-06-27 | A method and system for synchronizing processing of spectroscopic polarization spectrum information |
| Publication Number | Publication Date |
|---|---|
| CN109118460A CN109118460A (en) | 2019-01-01 |
| CN109118460Btrue CN109118460B (en) | 2020-08-11 |
| Application Number | Title | Priority Date | Filing Date |
|---|---|---|---|
| CN201810677743.0AExpired - Fee RelatedCN109118460B (en) | 2018-06-27 | 2018-06-27 | A method and system for synchronizing processing of spectroscopic polarization spectrum information |
| Country | Link |
|---|---|
| CN (1) | CN109118460B (en) |
| Publication number | Priority date | Publication date | Assignee | Title |
|---|---|---|---|---|
| CN115731456B (en)* | 2022-11-15 | 2025-06-27 | 福州大学 | Object detection method based on snapshot spectral polarization camera |
| CN117689545B (en)* | 2024-02-02 | 2024-07-16 | 荣耀终端有限公司 | Image processing method, electronic device and computer readable storage medium |
| Publication number | Priority date | Publication date | Assignee | Title |
|---|---|---|---|---|
| CN103900696A (en)* | 2014-03-07 | 2014-07-02 | 河海大学 | Underwater polarization imaging method for simulating vision polarization antagonism sensing of mantis shrimps |
| CN104978724A (en)* | 2015-04-02 | 2015-10-14 | 中国人民解放军63655部队 | Infrared polarization fusion method based on multi-scale transformation and pulse coupled neural network |
| CN107340546A (en)* | 2017-07-24 | 2017-11-10 | 南京信息工程大学 | A kind of undersea detection divides the double CCD real-time polarizations imaging devices in aperture and method |
| CN107451984A (en)* | 2017-07-27 | 2017-12-08 | 桂林电子科技大学 | A kind of infrared and visual image fusion algorithm based on mixing multiscale analysis |
| Publication number | Priority date | Publication date | Assignee | Title |
|---|---|---|---|---|
| US20030062422A1 (en)* | 2001-09-10 | 2003-04-03 | Fateley William G. | System and method for encoded spatio-spectral information processing |
| US9547804B2 (en)* | 2011-08-25 | 2017-01-17 | Cornell University | Retinal encoder for machine vision |
| Publication number | Priority date | Publication date | Assignee | Title |
|---|---|---|---|---|
| CN103900696A (en)* | 2014-03-07 | 2014-07-02 | 河海大学 | Underwater polarization imaging method for simulating vision polarization antagonism sensing of mantis shrimps |
| CN104978724A (en)* | 2015-04-02 | 2015-10-14 | 中国人民解放军63655部队 | Infrared polarization fusion method based on multi-scale transformation and pulse coupled neural network |
| CN107340546A (en)* | 2017-07-24 | 2017-11-10 | 南京信息工程大学 | A kind of undersea detection divides the double CCD real-time polarizations imaging devices in aperture and method |
| CN107451984A (en)* | 2017-07-27 | 2017-12-08 | 桂林电子科技大学 | A kind of infrared and visual image fusion algorithm based on mixing multiscale analysis |
| Title |
|---|
| Polarization and solar altitude correlation analysis and application in object detection;Jie Shen ET AL;《2017 International Conference on Progress in Informatics and Computing (PIC)》;20171217;第1-5页* |
| 一种红外偏振与光强图像的暗原色多特征分离融合方法;郭喆等;《科学技术与工程》;20171231;第1-6页* |
| Publication number | Publication date |
|---|---|
| CN109118460A (en) | 2019-01-01 |
| Publication | Publication Date | Title |
|---|---|---|
| CN111145131A (en) | Infrared and visible light image fusion method based on multi-scale generation type countermeasure network | |
| Wen et al. | A sparse representation based joint demosaicing method for single-chip polarized color sensor | |
| CN106872037B (en) | Fast illuminated compact optical field imaging full-polarization spectrum detection device and method | |
| CN105959514A (en) | Weak target imaging detection device and method | |
| Morimatsu et al. | Monochrome and color polarization demosaicking based on intensity-guided residual interpolation | |
| CN108169807B (en) | A kind of integrated form short-wave infrared optical imaging system | |
| CN112113661B (en) | A deep learning type snapshot spectral imaging device and its detection method | |
| CN106706132B (en) | Infrared detection device and method for identifying targets in sea surface sun bright band | |
| Yang et al. | Data-driven polarimetric imaging: a review | |
| CN107302668A (en) | A High Dynamic Range Imaging Module Based on Wheel Dynamic Spectroscopy | |
| CN108548603A (en) | Non-coaxial four-channel polarization imaging method and system | |
| CN109118460B (en) | A method and system for synchronizing processing of spectroscopic polarization spectrum information | |
| CN103148936A (en) | Multispectral imager based on liquid crystal light valve technology | |
| Huang et al. | High-efficiency multispectral-polarization imaging system using polarization camera array with notch filters | |
| Liu et al. | Future-proof imaging: computational imaging | |
| Lu et al. | A hybrid polarization image demosaicking algorithm based on inter-channel correlation | |
| CN109325912B (en) | Reflection separation method based on polarized light field and calibration splicing system | |
| Wang et al. | Deep learning-based spectral reconstruction in camouflaged target detection | |
| CN202614380U (en) | Static spectrum polarization imager | |
| CN118464202B (en) | A system and method based on ultra-large field of view long-wave infrared multi-channel simultaneous polarization imaging | |
| CN115014522A (en) | Integrated calculation spectral imaging method and device | |
| CN112802068A (en) | Device for synchronously acquiring depth, color and spectrum images and identification system | |
| CN105628622A (en) | Polarization imaging system based on three cameras | |
| CN207423363U (en) | Miniature polarization spectrum imaging detection system | |
| Hickman et al. | Polarimetric imaging: system architectures and trade-offs |
| Date | Code | Title | Description |
|---|---|---|---|
| PB01 | Publication | ||
| PB01 | Publication | ||
| SE01 | Entry into force of request for substantive examination | ||
| SE01 | Entry into force of request for substantive examination | ||
| GR01 | Patent grant | ||
| GR01 | Patent grant | ||
| CF01 | Termination of patent right due to non-payment of annual fee | ||
| CF01 | Termination of patent right due to non-payment of annual fee | Granted publication date:20200811 |