Movatterモバイル変換


[0]ホーム

URL:


CN109100714B - Low-slow small target tracking method based on polar coordinate system - Google Patents

Low-slow small target tracking method based on polar coordinate system
Download PDF

Info

Publication number
CN109100714B
CN109100714BCN201810686117.8ACN201810686117ACN109100714BCN 109100714 BCN109100714 BCN 109100714BCN 201810686117 ACN201810686117 ACN 201810686117ACN 109100714 BCN109100714 BCN 109100714B
Authority
CN
China
Prior art keywords
track
point
flight path
temporary
time
Prior art date
Legal status (The legal status is an assumption and is not a legal conclusion. Google has not performed a legal analysis and makes no representation as to the accuracy of the status listed.)
Active
Application number
CN201810686117.8A
Other languages
Chinese (zh)
Other versions
CN109100714A (en
Inventor
张凯丽
周喆
王宁
单彬
赵娜
王宏
房媛媛
傅天爽
Current Assignee (The listed assignees may be inaccurate. Google has not performed a legal analysis and makes no representation or warranty as to the accuracy of the list.)
707th Research Institute of CSIC
Original Assignee
707th Research Institute of CSIC
Priority date (The priority date is an assumption and is not a legal conclusion. Google has not performed a legal analysis and makes no representation as to the accuracy of the date listed.)
Filing date
Publication date
Application filed by 707th Research Institute of CSICfiledCritical707th Research Institute of CSIC
Priority to CN201810686117.8ApriorityCriticalpatent/CN109100714B/en
Publication of CN109100714ApublicationCriticalpatent/CN109100714A/en
Application grantedgrantedCritical
Publication of CN109100714BpublicationCriticalpatent/CN109100714B/en
Activelegal-statusCriticalCurrent
Anticipated expirationlegal-statusCritical

Links

Images

Classifications

Landscapes

Abstract

The invention relates to a low-slow small target tracking method based on a polar coordinate system, which is technically characterized in that: the method comprises the following steps: step 1, respectively taking the measuring points scanned by the radar for the first time as track heads to establish temporary tracks; step 2, after the radar scans the measuring points for the second time, determining a relevant wave gate by using speed limitation; step 3, after the radar scans the measuring points for the third time, determining a relevant wave gate for the temporary flight path with the point path number of 2 through Kalman filtering of a polar coordinate system; step 4, moving the flight path with the temporary flight path concentration point track number of 3 to a reliable flight path concentration; step 5, after scanning a new measuring point, the radar firstly carries out correlation updating with the reliable track set, if the measuring point which is not correlated still exists, then the radar carries out correlation updating with the temporary track set; and 6, traversing all tracks, and if a certain track is not updated after a certain time, performing track extinction or extrapolation. The invention avoids decoupling problems and conversion errors while reducing the amount of computation.

Description

Low-slow small target tracking method based on polar coordinate system
Technical Field
The invention belongs to the technical field of radars, and relates to a low-slow small target tracking method, in particular to a low-slow small target tracking method based on a polar coordinate system.
Background
The detection and tracking of low-slow small targets are always a research hotspot and difficulty in the technical field of radar. The low-slow small target (low-altitude low-speed small target) refers to a target which has small RCS (remote control system), is slow in flight speed, is suitable for low-altitude flight and can flexibly implement low-altitude and ultra-low-altitude penetration control. The radar reflection area of the low-slow small target is very small, so that the target echo is small and weak; in addition, the flying speed is low, the Doppler effect caused by the slow flying speed is not obvious, so that the radar is difficult to effectively detect the target in the frequency domain; in addition, the low-speed small target has lower flight height and more complex surrounding environment, and target signals are often easily covered by ground clutter and interference signals. In summary, the low-slow small target has the problems of weak echo, strong clutter influence and proximity of doppler frequency and clutter, so that the detection and tracking of the radar are very difficult.
In order to solve the problem that the radar detects and tracks low and slow small targets, a balloon-borne radar or an overhead overlook radar is considered in research, compared with a ground radar, the air-to-ground radar can overcome the influences of earth curvature, landform and complex background environment, but the air-to-ground overlook radar has the advantages that due to the fact that most regions in the action range are strong ground clutter reflection echoes, the clutter is effectively suppressed by means of an advanced signal processing technology, in addition, the complexity is high, and the engineering realization cost is overlarge; in the aspect of radar data processing technology, a track-before-detect (TBD) technology can realize signal detection and tracking under low signal-to-noise ratio, does not perform threshold discrimination on echo data received by a radar, but directly utilizes original observation data to perform tracking filtering processing, estimates target state information, and performs threshold discrimination after processing, so that the detection and tracking capability of low and slow small targets can be improved, although the algorithm can reduce the probability of missed detection, false alarm points cannot be effectively eliminated, the calculated amount is large, and the method is difficult to realize in engineering; in the conventional radar, only the position information of radial distance, azimuth angle and pitch angle is utilized in the tracking of low and slow small targets, and many researches apply doppler information to the target tracking problem, for example, clutter false alarm points are eliminated by utilizing radial speed limitation, but in the tracking and filtering problem under a rectangular coordinate system, if the radial speed is increased by a state vector, the linearity of a state equation cannot be maintained, and the calculation complexity of tracking and filtering is increased, so that target points can be screened out only by utilizing the estimation range of the radial speed, and the robustness is poor.
Disclosure of Invention
The invention aims to overcome the defects in the prior art, provides a low-slow small target tracking method based on a polar coordinate system, and can improve the detection and tracking performance of a radar on the low-slow small target by utilizing a Kalman filtering algorithm under the polar coordinate system.
The invention solves the practical problem by adopting the following technical scheme:
a low-slow small target tracking method based on a polar coordinate system comprises the following steps:
step 1, the radar scans a current frame of a measuring point for the first time, track starting is carried out, all scanned track points are used as track heads to respectively establish temporary tracks, and all generated temporary tracks only have one track point;
step 2, after the radar scans the measuring points for the second time, limiting the existing temporary flight path by using the target speed to form an initial related wave gate, determining measuring points falling into the related wave gate, if a plurality of measuring points exist in the related wave gate, respectively associating the temporary flight path with the plurality of measuring points in the wave gate to form a plurality of temporary flight paths, and if no measuring points exist in the related wave gate, temporarily stopping processing the temporary flight path; the point track which is not associated in the scanning point is used as a new track head to establish a temporary track;
step 3, after the radar scans the measuring points for the third time, for the temporary flight path with the point path number of 2, obtaining a predicted point by performing Kalman filtering extrapolation under a polar coordinate system on the flight path, determining a relevant wave gate of the flight path according to the flight path extrapolation error covariance, if more than one measuring point falls into the relevant wave gate, respectively associating the temporary flight path with a plurality of measuring points in the wave gate to form a plurality of temporary flight paths with the point path number of 3, and if no measuring point falls into the relevant wave gate, temporarily not processing the temporary flight path; for the temporary track with the number of the trace points being 1, in the synchronization step 2, a relevant wave gate is formed by using speed limitation, the temporary track is respectively associated with all measuring points in the wave gate, and if no measuring point exists in the wave gate, the track is not processed temporarily; the point track which is not associated in the scanning point is used as a new track head to establish a temporary track;
step 4, traversing all tracks in the temporary track set, acquiring the latest updating time of the tracks, and if the tracks are not updated after a certain time, deleting the tracks from the temporary track set, namely eliminating the temporary tracks;
step 5, traversing tracks with the number of temporary track concentration points of 2 and 3, if a plurality of temporary tracks with overlapped tail two points exist, only keeping one track, and deleting other tracks;
step 6, moving the flight path with the temporary flight path concentration point track number of 3 to a reliable flight path concentration;
step 7, after scanning a new measuring point by a radar, performing correlation updating on the new measuring point and a flight path concentrated by the reliable flight path, performing Kalman filtering extrapolation under a polar coordinate system on the reliable flight path to obtain a predicted point, wherein a relevant wave gate of the predicted point is determined by a flight path extrapolation error covariance, if more than one measuring point falls into the relevant wave gate, the reliable flight path is respectively correlated with a plurality of measuring points in the wave gate to form a plurality of reliable flight paths, and if no measuring point falls into the relevant wave gate, the reliable flight path is not processed temporarily;
step 8, traversing all the tracks in the reliable track set, acquiring the latest updating time of the tracks, and if the tracks are not updated after a certain time, extrapolating or eliminating the reliable tracks;
step 9, traversing each flight path in the reliable flight path set, if a plurality of reliable flight paths with two coincident tail points exist, only one flight path is reserved, and other flight paths are deleted;
step 10, deleting the point trace which is already associated with the reliable flight trace from the radar scanning measuring point set to form a new scanning measuring point set;
step 11, if the new scanning measurement point set is empty, namely all the scanning measurement points are associated with the reliable track, the track processing is finished, and the step 7 is returned to carry out the next track processing; and if the new scanning measurement point set is not empty, the new scanning measurement point set is associated with the temporary track set for updating, the steps 3, 5, 6 and 9 are referred to, and then the step 7 is returned for next track processing.
Moreover, the specific method of step 1 is: assuming that the radar scans to the metrology point for the first time in frame i,
Figure BDA0001711698250000041
represents the set of measurement points scanned, where M is the number of measurement points, Pt(i)Wherein M measuring points are respectively used as track heads to form M temporary tracks, i.e.
Figure BDA0001711698250000042
Wherein
Figure BDA0001711698250000043
The method is a temporary track of the mth frame, and each track only comprises one point track.
In step 2, the specific steps of forming the initial correlation gate by using the target speed limit for the existing temporary track include:
(1) assuming the radar scans to the second batch station at the jth frame
Figure BDA0001711698250000044
To represent the set of measurement points scanned by the frame, where N is the number of measurement points,
Figure BDA0001711698250000045
is the nth measurement point of the jth frame if there is a temporary track
Figure BDA0001711698250000046
And measuring point
Figure BDA0001711698250000047
Satisfy the following inequality, then the measuring point
Figure BDA0001711698250000048
Fall into temporary flight path
Figure BDA0001711698250000049
Within the correlation wave gate formed by the speed limit;
Figure BDA00017116982500000410
in the above formula, Dis represents the Euclidean distance between two points, T(i)、T(j)Time scales, V, representing the ith and jth frames, respectivelyminAnd VmaxRespectively representing the minimum and maximum movement speeds of the object.
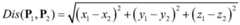
(2) Calculating the Euclidean distance between the two point traces;
the specific calculation process is as follows: the radar scanning measuring points and the stored track points are in a polar coordinate system form, and two tracks P are firstly scanned1、P2Performing a polar-to-rectilinear conversion in accordance with
Figure BDA0001711698250000051
Separately obtain P1、P2Rectangular coordinate (x)1,y1,z1)、(x2,y2,z2) Then, the Euclidean distance between two point traces is obtained according to the definition,
Figure BDA0001711698250000052
moreover, the specific step of obtaining the predicted point by performing kalman filtering extrapolation on the flight path in the polar coordinate system in step 3 includes:
(1) describing a state space model of the target by using a state equation and a measurement equation:
Figure BDA0001711698250000053
wherein x isk+1、xkThe state vectors at time k +1 and k, respectively, including the position and velocity parameters of the target,
Figure BDA0001711698250000054
r and
Figure BDA0001711698250000055
representing the radial distance and radial velocity, theta and
Figure BDA0001711698250000056
respectively representing the azimuth and the azimuth velocity of the target,
Figure BDA0001711698250000057
and
Figure BDA0001711698250000058
representing pitch angle and pitch rate of the target, respectively [ ·]TRepresenting a transpose operation;
Figure BDA0001711698250000059
random sequence of white Gaussian noise with zero mean value, ar、aθAnd
Figure BDA00017116982500000510
respectively representing radial acceleration disturbance, azimuth acceleration disturbance and pitch acceleration disturbance of a target;
Fk+1,kis the state transition matrix from time k to time k +1, Gk+1,kThe input control item matrix is in a specific form:
Figure BDA00017116982500000511
Figure BDA0001711698250000061
in the formula, Tk+1,kIs the time interval between time k +1 and time k;
Figure BDA0001711698250000062
is the measurement vector at time k, and the corresponding measurement matrix H is:
Figure BDA0001711698250000063
vkfor the measurement noise at the time k, it is assumed to be a gaussian white noise vector sequence with zero mean, and the covariance matrix does not change with the observation time k, and is denoted as R, and the specific form is:
Figure BDA0001711698250000064
e {. in the formula represents the desired operation, σr
Figure BDA0001711698250000065
σθAnd
Figure BDA0001711698250000066
respectively measuring the standard deviation of noise of radial distance, radial speed, azimuth angle and pitch angle;
(2) performing Kalman filtering calculation based on the state space model in the step (1);
the specific calculation steps comprise:
state one-step prediction: x is the number ofk+1|k=Fk+1,kxk|k
One-step covariance prediction:
Figure BDA0001711698250000067
measuring and predicting in one step:
Figure BDA0001711698250000068
innovation covariance: sk+1=HPk+1|kHT+R
Gain matrix:
Figure BDA0001711698250000071
state update (filter estimate):
Figure BDA0001711698250000072
seventhly, filtering estimation value covariance: pk+1|k+1=(I-Kk+1H)Pk+1|k
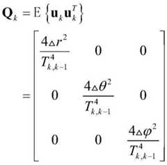
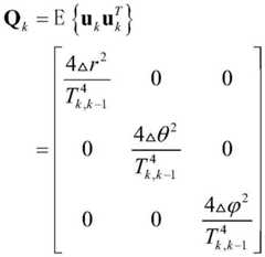
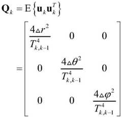
Wherein Q iskFor the maneuvering covariance of the target at the moment k, the value setting adopts self-adaptive processing, and the specific expression is as follows:
Figure BDA0001711698250000073
in the formula, Tk,k-1Is the time interval between the times k and k-1, Δ r, Δ θ,
Figure BDA0001711698250000074
The difference between the predicted value and the filter value of the radial distance, the azimuth angle and the pitch angle at the moment k is respectively, namely the difference between the predicted value and the filter value at the previous moment is used for estimating an acceleration disturbance item, and then the acceleration disturbance item is used for calculating the maneuvering covariance predicted by one step at the current moment, and Q is obtained when Kalman filtering startskInitializing to a zero matrix;
Figure BDA0001711698250000075
means Sk+1The inverse matrix of (d);
the initialization of the kalman filter state can be established by a two-point differencing method, i.e., the following equation:
Figure BDA0001711698250000076
the initial covariance is shown as follows:
Figure BDA0001711698250000077
(3) obtaining a predicted point by performing Kalman filtering extrapolation under a polar coordinate system on the flight path;
the specific method comprises the following steps: obtaining the state filtering estimated value x of the current track at the current momentk|kCalculating time interval T from current measuring time and track tail point time markk+1,kThereby obtaining a one-step state transition matrix Fk+1,kExtrapolating the measurement prediction value x by the state one-step prediction formula in the step (2)k+1|k. In particular, in the Kalman filter initialization process, two point tracks z in the current flight path are utilized0、z1And the time interval T between two traces1,0So as to calculate the initial value x of the state filtering estimation of the current track1|1
Moreover, the specific method for determining the correlation gate of the step 3 by the covariance of the track extrapolation error is as follows:
in the kalman filtering algorithm, the measured predicted value of the target at the time k +1 in the polar coordinate system is
Figure BDA0001711698250000081
The actual measured value of polar coordinates is zk+1,Sk+1The covariance matrix of prediction error under polar coordinate system is represented by gamma, and the set threshold is represented by gamma if the polar coordinate of target measures zk+1If the following formula is satisfied, then z is measuredk+1The echoes falling into the wave gate become candidate echoes, and are called as an elliptic wave gate rule:
Figure BDA0001711698250000082
further, the specific steps of step 7 include:
(1) for a flight path with a reliable flight path set, firstly, acquiring a Kalman filter state filtering estimation value x at the moment k of the flight pathk|kAnd filtered estimate covariance Pk|k
(2) Calculating T by using the current time and the time mark of the tail point of the trackk+1,kThen determining Fk+1,kAnd Gk+1,kAccording to the above Kalman filteringCalculating x in the algorithmk+1|k、Pk+1|k
Figure BDA0001711698250000083
And Sk+1
(3) Traversing the measurement point set scanned by the radar at this time, and screening out the measurement points falling into the relevant wave gates according to the elliptic wave gate rule; if more than one measuring point falls into the relevant wave gate, the reliable flight path is respectively related to a plurality of measuring points in the wave gate, wherein one measuring point z is usedk+1The details are given for the examples: calculating K according to the steps of the Kalman filtering algorithmk+1、xk+1|k+1And Pk+1|k+1Filtering point xk+1|k+1Added to the end of the reliable track, the stored point track information includes filtered values of radial distance, radial velocity, azimuth angle, and pitch angle, i.e., Hxk+1|k+1And other measuring points in the wave gate are associated and updated in the same way to form a plurality of reliable tracks.
Moreover, the specific method for reliable track extrapolation in step 8 is as follows: for the situation that no measuring point exists in the wave gate related to the reliable track, reliable track extrapolation is needed, namely, the point is predicted in one step of measurement
Figure BDA0001711698250000091
Adding the predicted values to the tail of the reliable track, wherein the stored track point information comprises the predicted values of the radial distance, the radial speed, the azimuth angle and the pitch angle; because there is no measuring point in the correlation gate, there is no filtering process in Kalman filtering algorithm as shown in the steps of (c) - (c), so the state filtering estimation value and filtering estimation value covariance are replaced by state one-step prediction value and one-step prediction covariance, i.e. xk+1|k+1=xk+1|k,Pk+1|k+1=Pk+1|k
The invention has the advantages and beneficial effects that:
1. according to the invention, a Kalman filtering algorithm under a polar coordinate system is adopted in steps 3, 7 and 8, a target is observed in the polar coordinate system, filtering and extrapolation are carried out, coordinate conversion is not required like a traditional method, the decoupling problem and conversion error are avoided, and the calculation amount is reduced.
2. Because the situation of target motion is complex in practice and the tracked target always has mobility, the method models the target into a model with random mobility acceleration in the Kalman filtering algorithm of steps 3, 7 and 8, adaptively adjusts the mobility covariance and solves the problem of tracking mobility of different models.
3. According to the invention, the radial velocity information is added in the state vector of Kalman filtering, and the Doppler information is additionally utilized to determine the relevant wave gate, so that the false tracking phenomenon can be reduced; as described in the steps 2, 3 and 7, when a plurality of measuring points fall into the relevant wave gate, the flight path is associated with all the measuring points in the wave gate, so that the probability of wrong tracking and missed tracking is reduced; as also described in steps 5 and 9, the tracks with two coincident points at the tail end are deleted, so as to reduce the formation of multiple repeated tracks.
4. In step 8, the invention is provided with a track extrapolation mechanism, so that the phenomenon of target loss caused by packet loss or large measurement error can be reduced, and the method improves the correlation efficiency and quality of the target track.
Drawings
FIG. 1 is a graph comparing a tracking method (intuitive law track initiation + nearest neighbor law track correlation) based on a rectangular coordinate system and a tracking result of the method of the present invention to a single target in a simulation experiment 1;
FIG. 2 is a target track graph of simulation experiment 2 initiated by a track initiation algorithm of an intuitive method in a rectangular coordinate system;
fig. 3 is a target track plot for simulation experiment 2 initiated using the method of the present invention.
Detailed Description
The embodiments of the invention will be described in further detail below with reference to the accompanying drawings:
a low-slow small target tracking method based on a polar coordinate system comprises the following steps:
step 1, the radar scans a current frame of a measuring point for the first time, track starting is carried out, all scanned track points are used as track heads to respectively establish temporary tracks, and all generated temporary tracks only have one track point;
after each frame of scanning of the radar system is completed, the signal processor uploads a trace point data packet to the upper computer, and a target trace point, a clutter false alarm point and any measuring trace point may not be available in the trace point data packet. The processing cycle of the track association update is based on the radar scanning frame time length, that is, after each frame of the upper computer receives the trace point data packet, the upper computer starts to perform track processing (including start, association, extrapolation and extinction). The process of track processing of the radar system starts from a first non-empty point track data packet, namely, the radar scans to the current frame of the measuring point for the first time, and then enters the process of a track processing algorithm.
The specific method of the step 1 comprises the following steps: assuming that the radar scans to the metrology point for the first time in frame i,
Figure BDA0001711698250000101
represents the set of measurement points scanned, where M is the number of measurement points, Pt(i)Wherein M measuring points are respectively used as track heads to form M temporary tracks, i.e.
Figure BDA0001711698250000102
Wherein
Figure BDA0001711698250000103
The method is a temporary track of the mth frame, and each track only comprises one point track.
Step 2, after the radar scans the measuring points for the second time, limiting the existing temporary flight path by using the target speed to form an initial related wave gate, determining measuring points falling into the related wave gate, if a plurality of measuring points exist in the related wave gate, respectively associating the temporary flight path with the plurality of measuring points in the wave gate to form a plurality of temporary flight paths, and if no measuring points exist in the related wave gate, temporarily stopping processing the temporary flight path; the point track which is not associated in the scanning point is used as a new track head to establish a temporary track;
the specific steps of step 2, forming the initial correlation gate by using the target speed limit for the existing temporary track, include:
(1) assuming the radar scans to the second batch station at the jth frame
Figure BDA0001711698250000111
To represent the set of measurement points scanned by the frame, where N is the number of measurement points,
Figure BDA0001711698250000112
is the nth measurement point of the jth frame if there is a temporary track
Figure BDA0001711698250000113
And measuring point
Figure BDA0001711698250000114
Satisfy the following inequality, then the measuring point
Figure BDA0001711698250000115
Fall into temporary flight path
Figure BDA0001711698250000116
Within the correlation wave gate formed by the speed limit;
Figure BDA0001711698250000117
in the above formula, Dis represents the Euclidean distance between two points, T(i)、T(j)Time scales, V, representing the ith and jth frames, respectivelyminAnd VmaxRespectively representing the minimum movement speed and the maximum movement speed of the target;
(2) calculating the Euclidean distance between the two point traces, wherein the specific calculation process is as follows (three coordinate point traces are taken as an example here): the radar scanning measuring points and the stored track points are in a polar coordinate system form, and two tracks P are firstly scanned1、P2Performing a polar-to-rectilinear conversion in accordance with
Figure BDA0001711698250000118
Separately obtain P1、P2Rectangular coordinate (x)1,y1,z1)、(x2,y2,z2) Then, the Euclidean distance between two point traces is obtained according to the definition,
Figure BDA0001711698250000119
step 3, after the radar scans the measuring points for the third time, for the temporary flight path with the point path number of 2, obtaining a predicted point by performing Kalman filtering extrapolation under a polar coordinate system on the flight path, determining a relevant wave gate of the flight path according to the flight path extrapolation error covariance, if more than one measuring point falls into the relevant wave gate, respectively associating the temporary flight path with a plurality of measuring points in the wave gate to form a plurality of temporary flight paths with the point path number of 3, and if no measuring point falls into the relevant wave gate, temporarily not processing the temporary flight path; for the temporary track with the number of the trace points being 1, in the synchronization step 2, a relevant wave gate is formed by using speed limitation, the temporary track is respectively associated with all measuring points in the wave gate, and if no measuring point exists in the wave gate, the track is not processed temporarily; the point track which is not associated in the scanning point is used as a new track head to establish a temporary track;
in this embodiment, the specific step of obtaining the predicted point by performing kalman filtering extrapolation in a polar coordinate system on the track in step 3 includes:
(1) describing a state space model of the target by using a state equation and a measurement equation:
Figure BDA0001711698250000121
wherein x isk+1、xkThe state vectors at time k +1 and k, respectively, including the position and velocity parameters of the target,
Figure BDA0001711698250000122
r and
Figure BDA0001711698250000123
representing the radial distance and radial velocity, theta and
Figure BDA0001711698250000124
respectively representing the azimuth and the azimuth velocity of the target,
Figure BDA0001711698250000125
and
Figure BDA0001711698250000126
representing pitch angle and pitch rate of the target, respectively [ ·]TRepresenting a transpose operation;
Figure BDA0001711698250000127
random sequence of white Gaussian noise with zero mean value, ar、aθAnd
Figure BDA0001711698250000128
respectively representing radial acceleration disturbance, azimuth acceleration disturbance and pitch acceleration disturbance of a target; fk+1,kIs the state transition matrix from time k to time k +1, Gk+1,kThe input control item matrix is in a specific form:
Figure BDA0001711698250000131
Figure BDA0001711698250000132
in the formula, Tk+1,kIs the time interval between time k +1 and time k;
Figure BDA0001711698250000133
is the measurement vector at time k, and the corresponding measurement matrix H is:
Figure BDA0001711698250000134
vkfor the measurement noise at the time k, it is assumed to be a gaussian white noise vector sequence with zero mean, and the covariance matrix does not change with the observation time k, and is denoted as R, and the specific form is:
Figure BDA0001711698250000135
e {. in the formula represents the desired operation, σr
Figure BDA0001711698250000136
σθAnd
Figure BDA0001711698250000137
respectively measuring the standard deviation of noise of radial distance, radial speed, azimuth angle and pitch angle;
(2) the specific calculation steps of the Kalman filtering algorithm based on the state space model comprise:
state one-step prediction: x is the number ofk+1|k=Fk+1,kxk|k
One-step covariance prediction:
Figure BDA0001711698250000141
measuring and predicting in one step:
Figure BDA0001711698250000142
innovation covariance: sk+1=HPk+1|kHT+R
Gain matrix:
Figure BDA0001711698250000143
state update (filter estimate):
Figure BDA0001711698250000144
seventhly, filtering estimation value covariance: pk+1|k+1=(I-Kk+1H)Pk+1|k
Wherein Q iskFor the maneuvering covariance of the target at the moment k, the value setting adopts self-adaptive processing, and the specific expression is as follows:
Figure BDA0001711698250000145
in the formula, Tk,k-1Is the time interval between the times k and k-1, Δ r, Δ θ,
Figure BDA0001711698250000146
The difference between the predicted value and the filter value of the radial distance, the azimuth angle and the pitch angle at the moment k is respectively, namely the difference between the predicted value and the filter value at the previous moment is used for estimating an acceleration disturbance item, and then the acceleration disturbance item is used for calculating the maneuvering covariance predicted by one step at the current moment, and Q is obtained when Kalman filtering startskInitializing to a zero matrix;
Figure BDA0001711698250000147
means Sk+1The inverse matrix of (d);
the initialization of the Kalman filter state can be established by a two-point differencing method, i.e.
Figure BDA0001711698250000148
An initial covariance of
Figure BDA0001711698250000151
(3) The specific method for obtaining the predicted point by performing Kalman filtering extrapolation under a polar coordinate system on the flight path comprises the following steps:
obtaining the state filtering estimated value x of the current track at the current momentk|kCalculating time interval T from current measuring time and track tail point time markk+1,kThereby obtaining a one-step state transitionMatrix Fk+1,kExtrapolating the measurement prediction value x by the state one-step prediction formula in the step (2)k+1|k. In particular, in the Kalman filter initialization process, two point tracks z in the current flight path are utilized0、z1And the time interval T between two traces1,0So as to calculate the initial value x of the state filtering estimation of the current track1|1
The specific method for determining the relevant wave gate of the step 3 by the covariance of the track extrapolation error comprises the following steps:
in the kalman filtering algorithm, the measured predicted value of the target at the time k +1 in the polar coordinate system is
Figure BDA0001711698250000152
The actual measured value of polar coordinates is zk+1,Sk+1The covariance matrix of prediction error under polar coordinate system is represented by gamma, and the set threshold is represented by gamma if the polar coordinate of target measures zk+1If the following formula is satisfied, then z is measuredk+1The echo falling into the wave gate becomes a candidate echo and is called as an elliptic wave gate rule;
Figure BDA0001711698250000153
in particular, Sk+1In the case of a diagonal matrix,
Figure BDA0001711698250000154
compliance with a degree of freedom of 4 χ2Distribution, if a predetermined prior probability P of receiving a correct echo is takenGWhen the table is looked up, γ is 13.28, which is 0.99.
In this embodiment, after the radar scans the measurement points for the third time, for the temporary track with the number of trace points of 2 in step 3, a prediction point is obtained by performing kalman filter extrapolation on the track under a polar coordinate system, and a correlation gate of the temporary track is determined by a track extrapolation error covariance, and if there is more than one measurement point falling into the correlation gate, the temporary track is respectively associated with a plurality of measurement points in the gate, so as to form a plurality of temporary tracks with the number of trace points of 3:
for a temporary track with the number of trace points being 2, utilizing track head measurement value
Figure BDA0001711698250000161
Measurement of track tail
Figure BDA0001711698250000162
And a time interval T of two moments1,0Performing Kalman filter state vector x according to equations (1) (2)1|1And initial covariance P1|1Initializing; calculating T by using the current time and the time mark of the tail point of the track2,1Then determining F2,1And G2,1Calculating x according to the steps of the Kalman filtering algorithm2|1、P2|1
Figure BDA0001711698250000163
And S2(ii) a Traversing the measurement point set scanned by the radar at this time, and screening out the measurement points falling into the relevant wave gates according to the formula (3); if more than one measuring point falls into the relevant wave gate, the temporary flight path is respectively related to a plurality of measuring points in the wave gate, wherein one measuring point z is used2The details are given for the examples: calculating K according to the steps of the Kalman filtering algorithm2、x2|2And P2|2Filtering point x2|2Added to the end of the temporary track, stored point track information includes filtered values of radial distance, radial velocity, azimuth angle, and pitch angle, i.e., Hx2|2And performing correlation updating on other measuring points in the wave gate in the same way to form a plurality of temporary tracks with the point track number of 3.
Step 4, traversing all tracks in the temporary track set, acquiring the latest updating time (track tail point time scale) of the track, and if the track is not updated after a certain time, deleting the track from the temporary track set, namely eliminating the temporary track;
step 5, traversing tracks with the number of temporary track concentration points of 2 and 3, if a plurality of temporary tracks with overlapped tail two points exist, only keeping one track, and deleting other tracks;
the two-point coincidence of the step 5 is as follows: if the time scales of two points belonging to two temporary tracks are equal and the track numbers (the order of the track of the point in the scanning track set) are equal, the two points can be judged to be the same point, and the two points are also called to be overlapped.
In this embodiment, two temporary tracks of the ith frame are used
Figure BDA0001711698250000171
For example, if
Figure BDA0001711698250000172
End point of flight path and
Figure BDA0001711698250000173
coincide with the end point of the flight path, and
Figure BDA0001711698250000174
point to last but one of the flight path
Figure BDA0001711698250000175
The penultimate point of the flight path is coincident, then
Figure BDA0001711698250000176
And
Figure BDA0001711698250000177
is a temporary track where two last points coincide.
Step 6, moving the flight path with the temporary flight path concentration point track number of 3 to a reliable flight path concentration;
step 7, after scanning a new measuring point by a radar, performing correlation updating on the new measuring point and a flight path concentrated by the reliable flight path, performing Kalman filtering extrapolation under a polar coordinate system on the reliable flight path to obtain a predicted point, wherein a relevant wave gate of the predicted point is determined by a flight path extrapolation error covariance, if more than one measuring point falls into the relevant wave gate, the reliable flight path is respectively correlated with a plurality of measuring points in the wave gate to form a plurality of reliable flight paths, and if no measuring point falls into the relevant wave gate, the reliable flight path is not processed temporarily;
the specific steps of the step 7 comprise:
(1) for a flight path in a reliable flight path set, firstly, acquiring a Kalman filter state filtering estimated value x at the time k (last time) of the flight pathk|kAnd filtered estimate covariance Pk|k
(2) Calculating T by using the current time and the time mark of the tail point of the trackk+1,kThen determining Fk+1,kAnd Gk+1,kCalculating x according to the steps of the Kalman filtering algorithmk+1|k、Pk+1|k
Figure BDA0001711698250000178
And Sk+1
(3) Traversing the measurement point set scanned by the radar at this time, and screening out the measurement points falling into the relevant wave gates according to the formula (3); if more than one measuring point falls into the relevant wave gate, the reliable flight path is respectively related to a plurality of measuring points in the wave gate, wherein one measuring point z is usedk+1The details are given for the examples: calculating K according to the steps of the Kalman filtering algorithmk+1、xk+1|k+1And Pk+1|k+1Filtering point xk+1|k+1Added to the end of the reliable track, the stored point track information includes filtered values of radial distance, radial velocity, azimuth angle, and pitch angle, i.e., Hxk+1|k+1And other measuring points in the wave gate are associated and updated in the same way to form a plurality of reliable tracks.
Step 8, traversing all the tracks in the reliable track set, acquiring the latest updating time (track tail point time scale) of the tracks, and if the tracks are not updated after a certain time, extrapolating or eliminating the reliable tracks;
the specific method for reliable track extrapolation in the step 8 is as follows: for the situation that no measuring point exists in the wave gate related to the reliable track, reliable track extrapolation is needed, namely, the point is predicted in one step of measurement
Figure BDA0001711698250000181
Adding the predicted values to the tail of the reliable track, wherein the stored track point information comprises the predicted values of the radial distance, the radial speed, the azimuth angle and the pitch angle; because there is no measuring point in the correlation gate, there is no filtering process in Kalman filtering algorithm as shown in the steps of (c) - (c), so the state filtering estimation value and filtering estimation value covariance are replaced by state one-step prediction value and one-step prediction covariance, i.e. xk+1|k+1=xk+1|k,Pk+1|k+1=Pk+1|k
In this embodiment, if the reliable track has been extrapolated twice continuously, the track is deleted from the set of reliable tracks, that is, the reliable track disappears, and if the number of times of continuous extrapolation of the reliable track is less than 2, the reliable track extrapolation is performed, that is, the track is updated by using the kalman filter extrapolation prediction point in the polar coordinate system.
Step 9, traversing each flight path in the reliable flight path set, if a plurality of reliable flight paths with two coincident tail points exist, only one flight path is reserved, and other flight paths are deleted;
the two-point coincidence of the step 9 is as follows: if the time marks of two points belonging to two reliable tracks are equal and the point track numbers (the order of the point tracks in the scanning point track set) are equal, the two points can be judged to be the same point, and the two points are also called to be overlapped.
In this embodiment, two reliable tracks for the ith frame
Figure BDA0001711698250000182
If it is
Figure BDA0001711698250000183
End point of flight path and
Figure BDA0001711698250000184
coincide with the end point of the flight path, and
Figure BDA0001711698250000185
point to last but one of the flight path
Figure BDA0001711698250000186
Second to last track ofThe points coincide, then
Figure BDA0001711698250000187
And
Figure BDA0001711698250000188
the two reliable tracks with two coincident end points are provided.
Step 10, deleting the point trace which is already associated with the reliable flight trace from the radar scanning measuring point set to form a new scanning measuring point set;
step 11, if the new scanning measurement point set is empty, namely all the scanning measurement points are associated with the reliable track, the track processing is finished, and the step 7 is returned to carry out the next track processing; and if the new scanning measurement point set is not empty, performing association updating on the new scanning measurement point set and the temporary track set, sequentially executing the steps 3, 5, 6 and 9, and then returning to the step 7 to perform the next track processing.
The effect of the present invention can be further illustrated by the following simulation experiments:
simulation experiment 1:
the invention takes a two-dimensional situation as an example to carry out a simulation experiment. Setting the scanning period T of the radar to be 1s, and the standard deviation sigma of the radial distance measurement noiser1m, standard deviation of radial velocity measurement noise
Figure BDA0001711698250000191
Standard deviation sigma of azimuth measurement noiseθ0.5 deg.. The target initial position is (100 ) m, the initial velocity values in the x and y directions are respectively 10m/s and 5m/s, and ax=-1m/s2And ay=0.5m/s2Is moved in a two-dimensional plane. In each scanning of the radar, the number of clutter false alarm points obeys the Poisson distribution with the parameter of 10, and the coordinate positions of the clutter false alarm points in the x direction and the y direction are obeyed [100,180%]Are uniformly distributed;
the radar continuously scans a single target for 10 times, a target echo point trace graph and a target real motion trace obtained by continuously scanning the single target for 10 times by the radar are drawn, as shown in fig. 1, compared with a traditional rectangular coordinate system tracking method (intuitive normal track starting + nearest neighbor method track association) and the tracking effect of the method of the invention on the single target, as shown in fig. 1, the horizontal and vertical coordinates are the positions of the target in the x direction and the y direction respectively, and the unit is meter;
as can be seen from the figure 1, the target tracking loss phenomenon occurs in the tracking method of the intuitive method and the nearest neighbor method, and 4 false tracks are generated due to the influence of the clutter false alarm points, but the method can effectively eliminate the clutter false alarm points and has better target tracking performance.
Simulation experiment 2:
setting that 3 targets exist in a two-dimensional action area of the radar, wherein the initial positions of the 3 targets are (110,140) m, (153,158) m and (140,110) m respectively, the initial speed values are 11m/s, 4m/s and 11m/s respectively, and the 3 targets respectively perform turning, circular arc and uniform linear motion. The scanning period of the radar is T-0.5 s, and the standard deviation sigma of the radial distance measurement noiser1m, standard deviation of radial velocity measurement noise
Figure BDA0001711698250000201
Standard deviation sigma of azimuth measurement noiseθ0.2 degrees, the number of clutter false alarm points obeys the Poisson distribution with the parameter of 20, and the coordinate positions of the clutter false alarm points in the x direction and the y direction obey [100,180 ]]Are uniformly distributed;
the radar continuously scans for 3 times, and compares a track starting algorithm of the visual method under a rectangular coordinate system with a target track graph started by the method, as shown in fig. 2 and 3, fig. 2 shows the target track graph of a simulation experiment 2 started by the track starting algorithm of the visual method under the rectangular coordinate system, and horizontal and vertical coordinates are positions of a target in the x direction and the y direction respectively, and the unit is meter; fig. 3 is a target track chart of a simulation experiment 2 initiated by the method of the present invention, and the abscissa and the ordinate are the positions of the target in the x direction and the y direction, respectively, and the unit is meter.
As can be seen from fig. 2 and 3, compared with the track initiation algorithm of the intuitive method in the rectangular coordinate system, the method of the present invention can effectively eliminate clutter false alarm points in the strong clutter environment, reduce the generation of false tracks, and more accurately initiate a target track.
The working principle of the invention is as follows:
a low-slow small target tracking method based on a polar coordinate system comprises the following steps:
(1) respectively taking the measuring points scanned by the radar for the first time as track heads to establish temporary tracks; (2) after the radar scans the measuring points for the second time, screening the measuring points by using a target speed to limit related gates, respectively associating the temporary flight path with all measuring points in the gates, and establishing the temporary flight path by using the measuring points which are not associated as new flight path heads; (3) after the radar scans measuring points for the third time, determining a wave gate for a temporary flight path with the point track number of 2 through polar coordinate system Kalman filtering, forming the wave gate for the temporary flight path with the point track number of 1 by using speed limitation, respectively associating the temporary flight path with all measuring points in the wave gate, and establishing the temporary flight path by using measuring points which are not associated as new flight path heads; (4) if the temporary track is not updated after a certain time, deleting the temporary track set, traversing the temporary track set, if a plurality of tracks with two coincident tail points exist, only keeping one track, and then moving the track with 3 track concentration points of the temporary track set to a reliable track set; (5) after scanning a new measuring point, the radar firstly performs correlation updating with a flight path in a reliable flight path set, a wave gate is formed by utilizing Kalman filtering of a polar coordinate system, the reliable flight path is respectively correlated with all measuring points in the wave gate, the reliable flight path set is traversed, only one flight path is reserved if a plurality of flight paths with overlapped tail two points exist, and the unassociated measuring points and a temporary flight path set are subjected to correlation updating if the measuring points are not correlated with the reliable flight path set; (6) if the reliable flight path is not updated after a certain time, carrying out extrapolation or extinction on the flight path: if the flight path has been continuously extrapolated twice, deleting the flight path, namely eliminating the flight path, and if the continuous extrapolation frequency of the flight path is less than 2, updating the flight path by using a Kalman filtering extrapolation prediction point of a polar coordinate system.
It should be emphasized that the examples described herein are illustrative and not restrictive, and thus the present invention includes, but is not limited to, those examples described in this detailed description, as well as other embodiments that can be derived from the teachings of the present invention by those skilled in the art and that are within the scope of the present invention.

Claims (7)

1. A low-slow small target tracking method based on a polar coordinate system is characterized by comprising the following steps: the method comprises the following steps:
step 1, the radar scans a current frame of a measuring point for the first time, track starting is carried out, all scanned track points are used as track heads to respectively establish temporary tracks, and all generated temporary tracks only have one track point;
step 2, after the radar scans the measuring points for the second time, limiting the existing temporary flight path by using the target speed to form an initial related wave gate, determining measuring points falling into the related wave gate, if a plurality of measuring points exist in the related wave gate, respectively associating the temporary flight path with the plurality of measuring points in the wave gate to form a plurality of temporary flight paths, and if no measuring points exist in the related wave gate, temporarily stopping processing the temporary flight path; the point track which is not associated in the scanning point is used as a new track head to establish a temporary track;
step 3, after the radar scans the measuring points for the third time, for the temporary flight path with the point path number of 2, obtaining a predicted point by performing Kalman filtering extrapolation under a polar coordinate system on the flight path, determining a relevant wave gate of the flight path according to the flight path extrapolation error covariance, if more than one measuring point falls into the relevant wave gate, respectively associating the temporary flight path with a plurality of measuring points in the wave gate to form a plurality of temporary flight paths with the point path number of 3, and if no measuring point falls into the relevant wave gate, temporarily not processing the temporary flight path; for the temporary track with the number of the trace points being 1, in the synchronization step 2, a relevant wave gate is formed by using speed limitation, the temporary track is respectively associated with all measuring points in the wave gate, and if no measuring point exists in the wave gate, the track is not processed temporarily; the point track which is not associated in the scanning point is used as a new track head to establish a temporary track;
step 4, traversing all tracks in the temporary track set, acquiring the latest updating time of the tracks, and if the tracks are not updated after a certain time, deleting the tracks from the temporary track set, namely eliminating the temporary tracks;
step 5, traversing tracks with the number of temporary track concentration points of 2 and 3, if a plurality of temporary tracks with overlapped tail two points exist, only keeping one track, and deleting other tracks;
step 6, moving the flight path with the temporary flight path concentration point track number of 3 to a reliable flight path concentration;
step 7, after scanning a new measuring point by a radar, performing correlation updating on the new measuring point and a flight path concentrated by the reliable flight path, performing Kalman filtering extrapolation under a polar coordinate system on the reliable flight path to obtain a predicted point, wherein a relevant wave gate of the predicted point is determined by a flight path extrapolation error covariance, if more than one measuring point falls into the relevant wave gate, the reliable flight path is respectively correlated with a plurality of measuring points in the wave gate to form a plurality of reliable flight paths, and if no measuring point falls into the relevant wave gate, the reliable flight path is not processed temporarily;
step 8, traversing all the tracks in the reliable track set, acquiring the latest updating time of the tracks, and if the tracks are not updated after a certain time, extrapolating or eliminating the reliable tracks;
step 9, traversing each flight path in the reliable flight path set, if a plurality of reliable flight paths with two coincident tail points exist, only one flight path is reserved, and other flight paths are deleted;
step 10, deleting the point trace which is already associated with the reliable flight trace from the radar scanning measuring point set to form a new scanning measuring point set;
step 11, if the new scanning measurement point set is empty, namely all the scanning measurement points are associated with the reliable track, the track processing is finished, and the step 7 is returned to carry out the next track processing; and if the new scanning measurement point set is not empty, performing association updating on the new scanning measurement point set and the temporary track set, sequentially executing the steps 3, 5, 6 and 9, and then returning to the step 7 to perform the next track processing.
2. The low-slow small target tracking method based on the polar coordinate system according to claim 1, characterized in that: the specific method of the step 1 comprises the following steps: assuming that the radar scans to the metrology point for the first time in frame i,
Figure FDA0002584851720000021
represents the set of measurement points scanned, where M is the number of measurement points, Pt(i)Wherein M measuring points are respectively used as track heads to form M temporary tracks, i.e.
Figure FDA0002584851720000031
Wherein
Figure FDA0002584851720000032
The method is a temporary track of the mth frame, and each track only comprises one point track.
3. The low-slow small target tracking method based on the polar coordinate system according to claim 1, characterized in that: the specific steps of step 2, forming the initial correlation gate by using the target speed limit for the existing temporary track, include:
(1) assuming the radar scans to the second batch station at the jth frame
Figure FDA0002584851720000033
To represent the set of measurement points scanned by the frame, where N is the number of measurement points,
Figure FDA0002584851720000034
is the nth measurement point of the jth frame if there is a temporary track
Figure FDA0002584851720000035
And measuring point
Figure FDA0002584851720000036
Satisfy the following inequality, then the measuring point
Figure FDA0002584851720000037
Fall into temporary flight path
Figure FDA0002584851720000038
Correlation formed using speed limitsIn the wave gate;
Figure FDA0002584851720000039
in the above formula, Dis represents the Euclidean distance between two points, T(i)、T(j)Time scales, V, representing the ith and jth frames, respectivelyminAnd VmaxRespectively representing the minimum movement speed and the maximum movement speed of the target;
(2) calculating the Euclidean distance between the two point traces;
the specific calculation method comprises the following steps: the radar scanning measuring points and the stored track points are in a polar coordinate system form, and two tracks P are firstly scanned1、P2Performing a polar-to-rectilinear conversion in accordance with
Figure FDA00025848517200000310
Separately obtain P1、P2Rectangular coordinate (x)1,y1,z1)、(x2,y2,z2) Then, the Euclidean distance between two point traces is obtained according to the definition,
Figure FDA00025848517200000311
4. the low-slow small target tracking method based on the polar coordinate system according to claim 1, characterized in that: the specific steps of the step 3 of obtaining the predicted point through Kalman filtering extrapolation under a polar coordinate system for the track comprise:
(1) describing a state space model of the target by using a state equation and a measurement equation:
Figure FDA0002584851720000041
wherein x isk+1、xkThe state vectors at time k +1 and k, respectively, including the position and velocity parameters of the target,
Figure FDA0002584851720000042
r and
Figure FDA0002584851720000043
representing the radial distance and radial velocity, theta and
Figure FDA0002584851720000044
respectively representing the azimuth and the azimuth velocity of the target,
Figure FDA0002584851720000045
and
Figure FDA0002584851720000046
representing pitch angle and pitch rate of the target, respectively [ ·]TRepresenting a transpose operation;
Figure FDA0002584851720000047
random sequence of white Gaussian noise with zero mean value, ar、aθAnd
Figure FDA0002584851720000048
respectively representing radial acceleration disturbance, azimuth acceleration disturbance and pitch acceleration disturbance of a target;
Fk+1,kis the state transition matrix from time k to time k +1, Gk+1,kThe input control item matrix is in a specific form:
Figure FDA0002584851720000049
Figure FDA00025848517200000410
in the formula, Tk+1,kIs the time interval between time k +1 and time k;
Figure FDA0002584851720000051
is the measurement vector at time k, and the corresponding measurement matrix H is:
Figure FDA0002584851720000052
vkfor the measurement noise at the time k, it is assumed to be a gaussian white noise vector sequence with zero mean, and the covariance matrix does not change with the observation time k, and is denoted as R, and the specific form is:
Figure FDA0002584851720000053
e {. in the formula represents the desired operation, σr
Figure FDA0002584851720000054
σθAnd
Figure FDA0002584851720000055
respectively measuring the standard deviation of noise of radial distance, radial speed, azimuth angle and pitch angle;
(2) performing Kalman filtering calculation based on the state space model in the step (1);
the specific calculation steps comprise:
state one-step prediction: x is the number ofk+1|k=Fk+1,kxk|k
One-step covariance prediction:
Figure FDA0002584851720000056
measuring and predicting in one step:
Figure FDA0002584851720000057
innovation covariance: sk+1=HPk+1|kHT+R
Gain matrix:
Figure FDA0002584851720000058
state update (filter estimate):
Figure FDA0002584851720000059
seventhly, filtering estimation value covariance: pk+1|k+1=(I-Kk+1H)Pk+1|k
Wherein Q iskFor the maneuvering covariance of the target at the moment k, the value setting adopts self-adaptive processing, and the specific expression is as follows:
Figure FDA0002584851720000061
in the formula, Tk,k-1Is the time interval between the times k and k-1, Δ r, Δ θ,
Figure FDA0002584851720000062
The difference between the predicted value and the filter value of the radial distance, the azimuth angle and the pitch angle at the moment k is respectively, namely the difference between the predicted value and the filter value at the previous moment is used for estimating an acceleration disturbance item, and then the acceleration disturbance item is used for calculating the maneuvering covariance predicted by one step at the current moment, and Q is obtained when Kalman filtering startskInitializing to a zero matrix;
Figure FDA0002584851720000063
means Sk+1The inverse matrix of (d);
the initialization of the kalman filter state can be established by a two-point differencing method, i.e., the following equation:
Figure FDA0002584851720000064
the initial covariance is shown as follows:
Figure FDA0002584851720000065
(3) obtaining a predicted point by performing Kalman filtering extrapolation under a polar coordinate system on the flight path;
the specific method comprises the following steps: obtaining the state filtering estimated value x of the current track at the current momentk|kCalculating time interval T from current measuring time and track tail point time markk+1,kThereby obtaining a one-step state transition matrix Fk+1,kExtrapolating the measurement prediction value x by the state one-step prediction formula in the step (2)k+1|k(ii) a In the initialization process of the Kalman filter, two point tracks z in the current flight path are utilized0、z1And the time interval T between two traces1,0So as to calculate the initial value x of the state filtering estimation of the current track1|1
5. The low-slow small target tracking method based on the polar coordinate system according to claim 1, characterized in that: the specific method for determining the relevant wave gate of the step 3 by the covariance of the track extrapolation error comprises the following steps:
in the kalman filtering algorithm, the measured predicted value of the target at the time k +1 in the polar coordinate system is
Figure FDA0002584851720000071
The actual measured value of polar coordinates is zk+1,Sk+1The covariance matrix of prediction error under polar coordinate system is represented by gamma, and the set threshold is represented by gamma if the polar coordinate of target measures zk+1If the following formula is satisfied, then z is measuredk+1The echoes falling into the wave gate become candidate echoes, and are called as an elliptic wave gate rule:
Figure FDA0002584851720000072
6. the low-slow small target tracking method based on the polar coordinate system as claimed in claim 4, wherein: the specific steps of the step 7 comprise:
(1) for a flight path with a reliable flight path set, firstly, acquiring a Kalman filter state filtering estimation value x at the moment k of the flight pathk|kAnd filtered estimate covariance Pk|k
(2) Calculating T by using the current time and the time mark of the tail point of the trackk+1,kThen determining Fk+1,kAnd Gk+1,kCalculating x according to the steps (i) to (iv) in the Kalman filtering algorithm of the step (3)k+1|k、Pk+1|k
Figure FDA0002584851720000073
And Sk+1
(3) Traversing the measurement point set scanned by the radar at this time, and screening out the measurement points falling into the relevant wave gates according to the elliptic wave gate rule; if more than one measuring point falls into the relevant wave gate, the reliable flight path is respectively related to a plurality of measuring points in the wave gate, wherein one measuring point z is usedk+1The details are given for the examples: calculating K according to steps (c) and (d) in the Kalman filtering algorithm of the step (3)k+1、xk+1|k+1And Pk+1|k+1Filtering point xk+1|k+1Added to the end of the reliable track, the stored point track information includes filtered values of radial distance, radial velocity, azimuth angle, and pitch angle, i.e., Hxk+1|k+1And other measuring points in the wave gate are associated and updated in the same way to form a plurality of reliable tracks.
7. The low-slow small target tracking method based on the polar coordinate system according to claim 1, characterized in that: the specific method for reliable track extrapolation in the step 8 is as follows: for the situation that no measuring point exists in the reliable flight path related wave gate, the measurement is neededReliable track extrapolation, i.e. measuring one-step predicted points
Figure FDA0002584851720000081
Adding the predicted values to the tail of the reliable track, wherein the stored track point information comprises the predicted values of the radial distance, the radial speed, the azimuth angle and the pitch angle; since there is no measurement point in the correlation gate, there is no filtering process shown in the steps (iv) - (v) in the kalman filtering algorithm in the step 3, so the state filtering estimation value and the filtering estimation value covariance are replaced by a state one-step prediction value and a state one-step prediction covariance, that is, xk+1|k+1=xk+1|k,Pk+1|k+1=Pk+1|k
CN201810686117.8A2018-06-282018-06-28Low-slow small target tracking method based on polar coordinate systemActiveCN109100714B (en)

Priority Applications (1)

Application NumberPriority DateFiling DateTitle
CN201810686117.8ACN109100714B (en)2018-06-282018-06-28Low-slow small target tracking method based on polar coordinate system

Applications Claiming Priority (1)

Application NumberPriority DateFiling DateTitle
CN201810686117.8ACN109100714B (en)2018-06-282018-06-28Low-slow small target tracking method based on polar coordinate system

Publications (2)

Publication NumberPublication Date
CN109100714A CN109100714A (en)2018-12-28
CN109100714Btrue CN109100714B (en)2020-11-10

Family

ID=64845257

Family Applications (1)

Application NumberTitlePriority DateFiling Date
CN201810686117.8AActiveCN109100714B (en)2018-06-282018-06-28Low-slow small target tracking method based on polar coordinate system

Country Status (1)

CountryLink
CN (1)CN109100714B (en)

Families Citing this family (30)

* Cited by examiner, † Cited by third party
Publication numberPriority datePublication dateAssigneeTitle
CN109633624B (en)*2019-01-072022-12-02西安电子科技大学 RGPO interference identification method based on filtering data processing
CN109945869B (en)*2019-03-082022-07-19南京理工大学 One-step extrapolation prediction method for variable acceleration motion in target track data preprocessing
CN109827547B (en)*2019-03-272021-05-04中国人民解放军战略支援部队航天工程大学 A Distributed Multi-sensor Space Target Synchronous Association Method
CN109946671B (en)*2019-04-122020-11-03哈尔滨工程大学Underwater maneuvering weak target detection and tracking method based on double-threshold judgment
CN110187318B (en)*2019-04-232021-07-06四川九洲防控科技有限责任公司Radar data processing method
CN110308442B (en)*2019-06-102023-04-28南京理工大学 GM-PHD target tracking method for phased array radar in strong clutter environment
CN110346789B (en)*2019-06-142021-06-18北京雷久科技有限责任公司Multi-planar array radar system and data fusion processing method
CN110824467B (en)*2019-11-152021-11-19中山大学Multi-target tracking data association method and system
CN111289965B (en)*2019-12-042023-06-16南京长峰航天电子科技有限公司Multi-target radar rapid tracking method and system
CN111025282B (en)*2019-12-132023-08-18中国人民解放军火箭军工程大学Tracking radar data processing method
CN111123259A (en)*2019-12-272020-05-08南京理工大学Radar signal processing and track processing system and method based on multi-core DSP
CN111257826B (en)*2020-01-152021-12-28西安交通大学Multi-source heterogeneous sensor composite tracking method
CN111458702B (en)*2020-03-132023-06-20四川九洲防控科技有限责任公司Maneuvering target tracking method, maneuvering target tracking system, electronic equipment and storage medium
CN111679251A (en)*2020-06-162020-09-18上海航天控制技术研究所Radar-type interference resisting method based on radar infrared dual-mode fusion
CN112285694B (en)*2020-10-162022-08-30四川九洲电器集团有限责任公司Maneuvering target secondary radar track detection method
CN112906214A (en)*2021-02-052021-06-04四川九洲防控科技有限责任公司Radar system software architecture, data processing method, storage medium and electronic device
CN113030959B (en)*2021-04-012023-07-04成都汇蓉国科微系统技术有限公司Radar and photoelectric linkage anti-low small-target 3D map picture jitter eliminating method
CN113030901B (en)*2021-04-012022-09-20中国石油大学(华东) A multi-target tracking and detection method in front of an unmanned ship combining attitude meter and millimeter-wave radar
CN113176562B (en)*2021-05-102023-08-29北京邮电大学 Multi-target tracking method, device, electronic equipment and readable storage medium
CN113687347B (en)*2021-06-222023-11-17中国电子科技集团公司电子科学研究院 A track cluster data processing method, system and readable storage medium
CN114047491B (en)*2021-08-292025-06-17西安长远电子工程有限责任公司 A method for suppressing false alarms of low, small and slow target detection radar tracks
CN114114242A (en)*2021-09-072022-03-01北京理工大学 A Radar Target Chasing and Tracking Method Based on Track Selection and Track Extrapolation
CN113960588B (en)*2021-10-192025-05-27成都中科合迅科技有限公司 Method, device, computer equipment and medium for real-time rapid association of multiple target tracks
CN114299122B (en)*2022-01-042024-12-03成都众享天地网络科技有限公司 A target point tracking algorithm based on Kalman filter
CN114459484B (en)*2022-01-282024-05-28江苏涵润汽车电子有限公司Track initialization method and device
CN114611204B (en)*2022-02-092025-01-24集美大学 A method and device for constructing a ship safety domain model
CN114966598B (en)*2022-06-162024-11-15中国科学院空天信息创新研究院 Method and device for adaptively suppressing strong ground clutter of low, slow and small radar
CN116047495B (en)*2023-03-312023-06-02昆明理工大学 A State Transformation Fusion Filtering Tracking Method for Three-coordinate Radar
CN116184386A (en)*2022-11-102023-05-30浙江零跑科技股份有限公司Target tracking method, device and storage medium
CN116466317B (en)*2023-04-252024-09-20中船鹏力(南京)大气海洋信息系统有限公司Target association method based on radar echo multi-feature information

Citations (7)

* Cited by examiner, † Cited by third party
Publication numberPriority datePublication dateAssigneeTitle
CN101206260A (en)*2007-12-202008-06-25四川川大智胜软件股份有限公司Method for processing radar target information in navigating tube automatization system
CN104880126A (en)*2015-05-192015-09-02北京机械设备研究所LSS (Low, slow and small) target interception method based on flight path extrapolation
CN105044710A (en)*2014-05-032015-11-11袁俊泉Tracking initiation method including radial velocity information for a circular motion target
CN106199584A (en)*2016-07-052016-12-07电子科技大学A kind of based on the track initiation method measuring storage
CN106371091A (en)*2016-08-242017-02-01四川九洲空管科技有限责任公司ADS-B and secondary surveillance radar monitoring information data integration method and device
CN106896363A (en)*2015-12-172017-06-27中国科学院沈阳自动化研究所A kind of submarine target active tracing track initiation method
CN108303692A (en)*2018-01-302018-07-20哈尔滨工业大学A kind of multi-object tracking method of solution doppler ambiguity

Patent Citations (7)

* Cited by examiner, † Cited by third party
Publication numberPriority datePublication dateAssigneeTitle
CN101206260A (en)*2007-12-202008-06-25四川川大智胜软件股份有限公司Method for processing radar target information in navigating tube automatization system
CN105044710A (en)*2014-05-032015-11-11袁俊泉Tracking initiation method including radial velocity information for a circular motion target
CN104880126A (en)*2015-05-192015-09-02北京机械设备研究所LSS (Low, slow and small) target interception method based on flight path extrapolation
CN106896363A (en)*2015-12-172017-06-27中国科学院沈阳自动化研究所A kind of submarine target active tracing track initiation method
CN106199584A (en)*2016-07-052016-12-07电子科技大学A kind of based on the track initiation method measuring storage
CN106371091A (en)*2016-08-242017-02-01四川九洲空管科技有限责任公司ADS-B and secondary surveillance radar monitoring information data integration method and device
CN108303692A (en)*2018-01-302018-07-20哈尔滨工业大学A kind of multi-object tracking method of solution doppler ambiguity

Non-Patent Citations (2)

* Cited by examiner, † Cited by third party
Title
基于元数据的雷达目标检测和跟踪研究;金加银;《中国博士学位论文全文数据库 信息科技辑》;20170115(第1期);第I136-78页*
雷达低慢小目标检测技术综述;许道明等;《现代防御技术》;20180228;第46卷(第1期);第148-155页*

Also Published As

Publication numberPublication date
CN109100714A (en)2018-12-28

Similar Documents

PublicationPublication DateTitle
CN109100714B (en)Low-slow small target tracking method based on polar coordinate system
CN106680806A (en)Multi-radar plot fusion method
KR101628154B1 (en)Multiple target tracking method using received signal strengths
CN112946626B (en) A Track Correlation Method for Airborne Phased Array Radar
CN109655822A (en)A kind of improved track initiation method
CN103759732B (en)A kind of centralized multisensor multiple hypotheis tracking method of angle information auxiliary
CN106249232A (en)Method for tracking target based on target travel situation information data association strategy
CN112198503A (en) A target track prediction and optimization method, device and radar system
CN108645412B (en)Multi-sensor self-adaptive track starting method
CN110231620B (en)Noise-related system tracking filtering method
CN106896363B (en) A new method for active tracking of underwater targets
CN113866755B (en) A radar weak fluctuating target tracking-before-detection method based on multi-Bernoulli filtering
CN110673148A (en)Active sonar target real-time track resolving method
CN110286357A (en) A Method for Locating Target Movement Based on Underwater Acoustic Detection
CN105445732B (en)The targetpath initial method observed under the conditions of dense clutter using multipath
CN111679251A (en)Radar-type interference resisting method based on radar infrared dual-mode fusion
CN106405510A (en)Pseudo sliding window L judgment rule-based flight trajectory deletion method
CN117109588B (en)Intelligent navigation-oriented multi-source detection multi-target information fusion method
CN115857559A (en) A pure angle target tracking method and system
CN113534164B (en)Target path tracking method based on active-passive combined sonar array
CN114002650A (en)Multi-sensor space-time deviation calibration and maneuvering target tracking method
CN112379366A (en)Radar target tracking algorithm based on particle swarm filtering
CN110988833A (en) A Weak Target Detection and Tracking Method
CN113030901B (en) A multi-target tracking and detection method in front of an unmanned ship combining attitude meter and millimeter-wave radar
CN115220002A (en) A fixed single-station multi-target data association tracking method and related device

Legal Events

DateCodeTitleDescription
PB01Publication
PB01Publication
SE01Entry into force of request for substantive examination
SE01Entry into force of request for substantive examination
GR01Patent grant
GR01Patent grant

[8]ページ先頭

©2009-2025 Movatter.jp