







技术领域technical field
本发明实施例涉及计算机数据挖掘技术领域,尤其涉及一种血糖预测方法、装置、终端和存储介质。Embodiments of the present invention relate to the technical field of computer data mining, and in particular, to a blood glucose prediction method, device, terminal and storage medium.
背景技术Background technique
对于糖尿病患者而言,血糖水平偏离正常范围可导致严重的短期或长期的并发症,严重时还可能导致死亡。因此,对连续血糖值的预测在临床应用方面有重大意义。For people with diabetes, deviations from the normal range of blood sugar levels can lead to serious short- and long-term complications and, in severe cases, death. Therefore, the prediction of continuous blood glucose value is of great significance in clinical application.
现有的用于血糖预测的方法主要包括时间序列分析、神经网络模型、卡尔曼滤波预测等,但上述方法的预测准确度以及预测时长均有待提高。例如:首先利用卡尔曼滤波进行去噪,然后再利用自适应AR模型进行血糖预测的方法,由于AR模型注重用于预测血糖值的一系列数据的平均值,使得其在血糖值快速变化时反应较为迟钝。此外,AR模型对连续血糖的预测时长最长只有半小时。而神经网络在训练过程中容易陷入局部最优解,往往不能得到全局最优解。且神经网络中的参数设置在数学方面缺乏严格的证明,解释性较弱。此外,也有利用支持向量回归机进行血糖预测的方法,但是该方法针对不同的数据集,往往在选取恰当的参数时存在困难。Existing methods for blood glucose prediction mainly include time series analysis, neural network model, Kalman filter prediction, etc., but the prediction accuracy and prediction duration of the above methods need to be improved. For example: first use Kalman filter for denoising, and then use adaptive AR model for blood sugar prediction. Since the AR model focuses on the average value of a series of data used to predict blood sugar values, it responds to rapid changes in blood sugar values. more sluggish. In addition, the AR model's prediction time for continuous blood glucose is only half an hour at most. However, the neural network is prone to fall into the local optimal solution during the training process, and often cannot obtain the global optimal solution. And the parameter setting in the neural network lacks rigorous proof in mathematics, and the explanation is weak. In addition, there is also a method of using support vector regression machine for blood glucose prediction, but this method is often difficult to select appropriate parameters for different data sets.
发明内容SUMMARY OF THE INVENTION
本发明提供一种血糖预测方法、装置、终端和存储介质,提高了血糖预测的准确性,同时还增加了血糖预测的时长。The present invention provides a blood sugar prediction method, device, terminal and storage medium, which improve the accuracy of blood sugar prediction and also increase the duration of blood sugar prediction.
第一方面,本发明实施例提供了一种血糖预测方法,所述方法包括:In a first aspect, an embodiment of the present invention provides a blood glucose prediction method, the method comprising:
基于目标患者的输入血糖训练数据和输出血糖训练数据,对初始化的支持向量回归模型进行第一模型训练,以确定支持向量回归模型所使用的核函数和支持向量回归模型进行滚动预测时采用的目标窗口取值;Based on the input blood glucose training data and output blood glucose training data of the target patient, perform the first model training on the initialized support vector regression model to determine the kernel function used by the support vector regression model and the target used in the rolling prediction of the support vector regression model window value;
基于所述目标窗口取值,对采用所述核函数的支持向量回归模型进行第二模型训练,以确定所述核函数中核参数的取值,将第二模型训练后得到的支持向量回归模型作为目标支持向量回归模型;Based on the value of the target window, second model training is performed on the support vector regression model using the kernel function to determine the value of the kernel parameter in the kernel function, and the support vector regression model obtained after the second model training is used as target support vector regression model;
利用所述目标支持向量回归模型和所述目标窗口取值,对所述目标患者的血糖进行滚动预测。Using the target support vector regression model and the target window value, rolling prediction is performed on the blood glucose of the target patient.
第二方面,本发明实施例还提供了一种血糖预测装置,所述装置包括:In a second aspect, an embodiment of the present invention further provides a blood glucose prediction device, the device comprising:
核函数与窗口取值确定模块,用于基于目标患者的输入血糖训练数据和输出血糖训练数据,对初始化的支持向量回归模型进行第一模型训练,以确定支持向量回归模型所使用的核函数和支持向量回归模型进行滚动预测时采用的目标窗口取值;The kernel function and window value determination module is used to perform first model training on the initialized support vector regression model based on the input blood glucose training data and output blood glucose training data of the target patient to determine the kernel function and The value of the target window used by the support vector regression model for rolling prediction;
目标支持向量回归模型确定模块,基于所述目标窗口取值,对采用所述核函数的支持向量回归模型进行第二模型训练,以确定所述核函数中核参数的取值,将第二模型训练后得到的支持向量回归模型作为目标支持向量回归模型;The target support vector regression model determination module, based on the value of the target window, performs second model training on the support vector regression model using the kernel function, to determine the value of the kernel parameter in the kernel function, and trains the second model The obtained support vector regression model is used as the target support vector regression model;
滚动预测模块,用于利用所述目标支持向量回归模型和所述目标窗口取值,对所述目标患者的血糖进行滚动预测。The rolling prediction module is configured to use the target support vector regression model and the value of the target window to perform rolling prediction on the blood glucose of the target patient.
第三方面,本发明实施例还提供了一种血糖预测终端,所述终端包括:In a third aspect, an embodiment of the present invention further provides a blood glucose prediction terminal, where the terminal includes:
一个或多个处理器;one or more processors;
存储装置,用于存储一个或多个程序,storage means for storing one or more programs,
当所述一个或多个程序被所述一个或多个处理器执行,使得所述一个或多个处理器实现如本发明实施例任一所述的血糖预测方法。When the one or more programs are executed by the one or more processors, the one or more processors implement the blood glucose prediction method according to any one of the embodiments of the present invention.
第四方面,本发明实施例还提供了一种计算机可读存储介质,其上存储有计算机程序,该程序被处理器执行时实现如本发明实施例任一所述的血糖预测方法。In a fourth aspect, an embodiment of the present invention further provides a computer-readable storage medium on which a computer program is stored, and when the program is executed by a processor, implements the blood glucose prediction method according to any one of the embodiments of the present invention.
本发明实施例提供的血糖预测方法、装置、终端和存储介质,通过基于目标患者的输入血糖训练数据和输出血糖训练数据,对初始化的支持向量回归模型进行第一模型训练,以确定支持向量回归模型所使用的核函数和支持向量回归模型进行滚动预测时采用的目标窗口取值;基于目标窗口取值,对采用核函数的支持向量回归模型进行第二模型训练,以确定核函数中核参数的取值;将第二模型训练后得到的支持向量回归模型作为目标支持向量回归模型;利用目标支持向量回归模型和目标窗口取值,对目标患者的血糖进行滚动预测,提高了血糖预测的准确性,同时还增加了血糖预测的时长。The blood glucose prediction method, device, terminal and storage medium provided by the embodiments of the present invention perform first model training on the initialized support vector regression model based on the input blood glucose training data and output blood glucose training data of the target patient, so as to determine the support vector regression model. The kernel function used by the model and the target window value used by the support vector regression model for rolling prediction; based on the value of the target window, the second model training is performed on the support vector regression model using the kernel function to determine the value of the kernel parameters in the kernel function. value; take the support vector regression model obtained after the second model training as the target support vector regression model; use the target support vector regression model and the value of the target window to perform rolling prediction on the blood sugar of the target patient, which improves the accuracy of blood sugar prediction , while also increasing the duration of blood glucose predictions.
附图说明Description of drawings
下面将通过参照附图详细描述本发明的示例性实施例,使本领域的普通技术人员更清楚本发明的上述及其他特征和优点,附图中:The above and other features and advantages of the present invention will be more apparent to those of ordinary skill in the art by describing in detail exemplary embodiments of the present invention with reference to the accompanying drawings, in which:
图1是本发明实施例一中的一种血糖预测方法的流程图;1 is a flowchart of a blood glucose prediction method in
图2a是本发明实施例二中的一种血糖预测方法的流程图;2a is a flowchart of a blood glucose prediction method in Embodiment 2 of the present invention;
图2b是本发明实施例二中的连续预测目标患者测试集中30分钟血糖值的滚动预测效果图;Fig. 2b is a rolling prediction effect diagram of the 30-minute blood glucose value in the continuous prediction target patient test set in the second embodiment of the present invention;
图2c是本发明实施例二中的连续预测目标患者测试集中60分钟血糖值的滚动预测效果图;Fig. 2c is the rolling prediction effect diagram of the 60-minute blood glucose value in the continuous prediction target patient test set in the second embodiment of the present invention;
图2d是本发明实施例二中的连续预测目标患者测试集中90分钟血糖值的滚动预测效果图;2d is a rolling prediction effect diagram of the 90-minute blood sugar level in the test set of the continuous prediction target patient in the second embodiment of the present invention;
图2e是本发明实施例二中的的连续预测目标患者测试集中120分钟血糖值的滚动预测效果图;Fig. 2e is the rolling prediction effect diagram of the 120-minute blood sugar level in the continuous prediction target patient test set in the second embodiment of the present invention;
图3是本发明实施例三中的一种血糖预测装置的结构示意图;3 is a schematic structural diagram of a blood glucose prediction device in Embodiment 3 of the present invention;
图4是本发明实施例四中的一种血糖预测终端的结构示意图;4 is a schematic structural diagram of a blood glucose prediction terminal in Embodiment 4 of the present invention;
具体实施方式Detailed ways
下面结合附图和实施例对本发明作进一步的详细说明。可以理解的是,此处所描述的具体实施例仅仅用于解释本发明,而非对本发明的限定。另外还需要说明的是,为了便于描述,附图中仅示出了与本发明相关的部分而非全部结构。The present invention will be further described in detail below in conjunction with the accompanying drawings and embodiments. It should be understood that the specific embodiments described herein are only used to explain the present invention, but not to limit the present invention. In addition, it should be noted that, for the convenience of description, the drawings only show some but not all structures related to the present invention.
实施例一Example 1
图1为本发明实施例一提供的一种血糖预测方法的流程图,本实施例可适用于需要对目标患者进行血糖预测的情况,该方法可以由一种血糖预测装置来执行,其中该装置可由软件和/或硬件实现。如图1所示,该方法具体包括:FIG. 1 is a flow chart of a blood glucose prediction method provided in
S110、基于目标患者的输入血糖训练数据和输出血糖训练数据,对初始化的支持向量回归模型进行第一模型训练,以确定支持向量回归模型所使用的核函数和支持向量回归模型进行滚动预测时采用的目标窗口取值。S110. Based on the input blood glucose training data and the output blood glucose training data of the target patient, perform first model training on the initialized support vector regression model to determine the kernel function used by the support vector regression model and the support vector regression model for rolling prediction. The target window value of .
连续血糖值的预测主要是研究糖尿病患者的血糖值随时间的变化并根据建立的预测模型对血糖值将来的变化规律进行预测。连续血糖值的预测问题需要预测的是此刻的血糖值与下一刻的血糖值之间的时间相关性。支持向量回归模型是由支持向量机演变而来的用于回归的机器学习模型,由于该模型具有较好的预测性能,且该模型的推导过程是在凸集上求解拉格朗日对偶方程的解,是一个二次优化问题,利用该模型得到的解为全局最优解,因此,优选可以采用支持向量回归模型对连续血糖值进行预测。利用支持向量回归模型对连续血糖值进行预测,实质是利用目标患者的测量血糖数据集中的时间相关性来拟合出一个预测模型,然后用预测模型对目标患者之后一段时间内的血糖值进行预测分析。The prediction of continuous blood glucose value is mainly to study the change of blood glucose value in diabetic patients with time and predict the future change rule of blood glucose value according to the established prediction model. The prediction problem of continuous blood glucose value needs to predict the time correlation between the blood glucose value at this moment and the blood glucose value at the next moment. The support vector regression model is a machine learning model for regression evolved from the support vector machine. Because the model has good prediction performance, and the derivation process of the model is to solve the Lagrangian dual equation on the convex set. The solution is a quadratic optimization problem, and the solution obtained by using this model is the global optimal solution. Therefore, it is preferable to use the support vector regression model to predict the continuous blood glucose value. Using the support vector regression model to predict the continuous blood glucose value, the essence is to use the time correlation in the measured blood glucose data set of the target patient to fit a prediction model, and then use the prediction model to predict the blood glucose value of the target patient within a period of time. analyze.
由于支持向量回归模型在小数据集预测方面具有较好的可行性与适应性,因此,本实施例中优选可以利用基于滚动预测的支持向量回归模型对目标患者的血糖进行预测,即利用支持向量回归模型对目标患者的血糖进行滚动预测。其中,滚动预测是一种有效利用历史观测数据的预测方法,其可以不断地将对于观测值的预测值作为历史数据再去预测新的数据点。窗口取值为在滚动预测过程中,用于进行一次预测的历史数据的个数。目标窗口取值与目标患者的血糖数据有关,不同的目标患者可能对应不同的目标窗口取值。示例性的:利用滚动预测的方法对连续血糖时间序列中的一个数据点进行预测的具体过程可以是:假设原来的时间序列中共有n个数据点,滚动预测的目标窗口取值为20(即利用每20个数据点来训练一个支持向量回归模型去预测下一个数据点的大小)。以时间序列{X1,X2,X3,X4,X5...X20}为已知数据来预测X21的大小,以时间序列{X2,X3,X4,X5,X6,...X21}为已知数据来预测X22的大小,以此类推:以{Xn-19,Xn-18,Xn-17,Xn-16...Xn-1,Xn}为已知数据来预测Xn+1的大小。Since the support vector regression model has good feasibility and adaptability in predicting small data sets, in this embodiment, it is preferable to use the support vector regression model based on rolling prediction to predict the blood sugar of the target patient, that is, using the support vector The regression model makes rolling predictions of the target patient's blood glucose. Among them, rolling prediction is a prediction method that effectively utilizes historical observation data, which can continuously use the predicted value of the observation value as historical data to predict new data points. The value of the window is the number of historical data used for one prediction during the rolling prediction process. The value of the target window is related to the blood glucose data of the target patient, and different target patients may correspond to different values of the target window. Exemplary: the specific process of using the rolling prediction method to predict a data point in the continuous blood glucose time series may be: assuming that there are n data points in the original time series, the target window value of the rolling prediction is 20 (that is, Use every 20 data points to train a support vector regression model to predict the size of the next data point). Take the time series {X1 , X2 , X3 , X4 , X5 ... X20 } as known data to predict the size of X21 , take the time series { X2 , X3 , X4 , X5 ,X6 ,...X21 } are known data to predict the size of X22 , and so on: with {Xn-19 ,Xn-18 ,Xn-17 ,Xn-16 ...Xn-1 , Xn } are known data to predict the size of Xn+1 .
其中,在支持向量机通过某非线性变换将输入空间映射到高维特征空间时,存在低维输入空间中的某个函数等于高维空间中的内积,则这样的函数即为核函数。在支持向量回归模型中,无需将输入向量映射到高维特征空间,只要利用核函数就可以计算特征空间中的点积,即所有必要的计算都可以在输入空间中隐式地执行,而无需在特征中进行运算,大大降低了计算的复杂度。其中,核函数可以包括线性核函数、多项式核函数、高斯核函数、sigmoid核函数和径向基核函数等。Among them, when the support vector machine maps the input space to the high-dimensional feature space through a certain nonlinear transformation, there is a function in the low-dimensional input space that is equal to the inner product in the high-dimensional space, and such a function is the kernel function. In the support vector regression model, there is no need to map the input vector to the high-dimensional feature space, as long as the kernel function is used to calculate the dot product in the feature space, that is, all necessary calculations can be performed implicitly in the input space without the need for The operation is performed in the feature, which greatly reduces the computational complexity. The kernel function may include a linear kernel function, a polynomial kernel function, a Gaussian kernel function, a sigmoid kernel function, a radial basis kernel function, and the like.
本实施例中,可以将目标患者的历史血糖数据划分为输入血糖训练数据和输出血糖训练数据,利用输入血糖训练数据和输出血糖训练数据对初始化的支持向量回归模型进行第一模型训练。具体的,将输入血糖训练数据作为支持向量回归模型的输入,得到支持向量回归模型的输出,并利用输出血糖训练数据作为参考标准,不断的调整支持向量回归模型中的参数,直至输入血糖训练数据对应的输出可以最大限度的拟合输出血糖训练数据,其中,支持向量回归模型中的参数包括核函数的种类以及目标窗口取值。优选的,可以预先设置预设差值范围,该预设差值范围可根据经验值设定,当输入血糖训练数据对应的输出与输出血糖训练数据之间的差值处于预设差值范围内时,停止调整支持向量回归模型的参数。In this embodiment, the historical blood glucose data of the target patient can be divided into input blood glucose training data and output blood glucose training data, and the initialized support vector regression model is trained for the first model by using the input blood glucose training data and the output blood glucose training data. Specifically, the input blood glucose training data is used as the input of the support vector regression model, the output of the support vector regression model is obtained, and the output blood glucose training data is used as a reference standard to continuously adjust the parameters in the support vector regression model until the blood glucose training data is input. The corresponding output can fit the output blood glucose training data to the maximum extent, and the parameters in the support vector regression model include the type of kernel function and the value of the target window. Preferably, a preset difference range can be preset, and the preset difference range can be set according to empirical values. When the difference between the output corresponding to the input blood glucose training data and the output blood glucose training data is within the preset difference range , stop adjusting the parameters of the support vector regression model.
在上述训练过程中,为了在众多的核函数种类中确定合适的核函数种类,优选可以利用经验数值初始化各个核函数的核参数,以保征在模型训练过程中与核函数相关的变量仅为核函数的种类。此外,为了确定与目标患者相匹配的目标窗口取值,优选可以预设窗口取值的范围区间,以便从该范围区间中确定目标窗口取值。In the above training process, in order to determine the appropriate type of kernel function among many types of kernel functions, it is preferable to use empirical values to initialize the kernel parameters of each kernel function, so as to ensure that the variables related to the kernel function in the model training process are only Kind of kernel function. In addition, in order to determine the target window value matching the target patient, it is preferable to preset the range interval of the window value, so as to determine the target window value from the range interval.
S120、基于目标窗口取值,对采用核函数的支持向量回归模型进行第二模型训练,以确定核函数中核参数的取值,将第二模型训练后得到的支持向量回归模型作为目标支持向量回归模型。S120. Based on the value of the target window, perform second model training on the support vector regression model using the kernel function to determine the value of the kernel parameter in the kernel function, and use the support vector regression model obtained after the second model training as the target support vector regression model Model.
上述为了便于确定核函数种类,利用经验数值将各个核函数的核参数确定化,但是,利用经验数值确定的核函数并不一定适合每个患者。为了保证目标患者血糖预测的准确性,在上述确定目标窗口取值和核函数的种类之后,优选可以利用目标患者的输入血糖训练数据和输出血糖训练数据,对已经确定好核函数种类的支持向量回归模型进行第二模型训练,已确定与目标患者匹配的核参数的取值。其中,第二模型训练的训练过程与第一模型训练的训练过程大致相同,其主要区别在于:第一模型训练过程中,核参数是确定值,目标窗口取值和核函数的种类可调,而第二模型训练过程中,目标窗口取值和核函数的种类确定,核参数可调。最终将第二模型训练完成后得到的支持向量回归模型作为目标支持向量回归模型。In the above, in order to facilitate the determination of the types of kernel functions, the kernel parameters of each kernel function are determined by using empirical values. However, the kernel functions determined by using empirical values are not necessarily suitable for each patient. In order to ensure the accuracy of the target patient's blood glucose prediction, after the above-mentioned determination of the target window value and the type of the kernel function, it is preferable to use the input blood glucose training data and output blood glucose training data of the target patient to support the determined kernel function type. The regression model is trained for the second model, and the values of the nuclear parameters matching the target patient have been determined. Among them, the training process of the second model training is roughly the same as the training process of the first model training, the main difference is: in the first model training process, the kernel parameter is a certain value, the value of the target window and the type of the kernel function are adjustable, In the training process of the second model, the value of the target window and the type of the kernel function are determined, and the kernel parameters are adjustable. Finally, the support vector regression model obtained after the second model training is completed is used as the target support vector regression model.
S130、利用目标支持向量回归模型和目标窗口取值,对目标患者的血糖进行滚动预测。S130 , using the target support vector regression model and the value of the target window to perform rolling prediction on the blood sugar of the target patient.
在确定了目标支持向量回归模型和滚动预测的目标窗口取值之后,即可对目标患者的血糖进行滚动预测。由于目标支持向量回归模型中核函数的核参数是根据目标患者的输入血糖训练数据和输出血糖训练数据训练得到的,具有目标患者的个性化特征,且用于滚动预测的目标窗口取值也是由目标患者的输入血糖训练数据和输出血糖训练数据训练得到的,同样具有目标患者的个性化特征,因此,利用上述目标支持向量回归模型和滚动预测的目标窗口取值,可以很大程度上提高目标患者的血糖预测准确率。此外,虽然滚动预测算法的误差会不断累积,随着预测数目的增多(即时间的推移),误差会达到预设预测误差阈值,但是由于整体提高了目标患者的血糖预测准确率,因此,在一定程度上还可以增加血糖预测的数目,即增加血糖预测的时长。After the target support vector regression model and the target window value of the rolling prediction are determined, the rolling prediction of the blood glucose of the target patient can be performed. Since the kernel parameters of the kernel function in the target support vector regression model are trained according to the input blood glucose training data and output blood glucose training data of the target patient, it has the individual characteristics of the target patient, and the value of the target window used for rolling prediction is also determined by the target patient. The patient's input blood glucose training data and output blood glucose training data also have the personalized characteristics of the target patient. Therefore, the use of the above target support vector regression model and the target window value of rolling prediction can greatly improve the target patient. blood sugar prediction accuracy. In addition, although the error of the rolling prediction algorithm will continue to accumulate, and with the increase of the number of predictions (that is, the passage of time), the error will reach the preset prediction error threshold, but because the overall blood glucose prediction accuracy of the target patient is improved, therefore, in the To a certain extent, the number of blood glucose predictions can also be increased, that is, the duration of blood glucose predictions can be increased.
示例性的:在确定了目标支持向量回归模型和目标窗口之后,利用滚动预测方法对连续血糖时间序列中的一个数据点进行预测的具体过程可以是:假设原来的时间序列中共有n个数据点,滚动预测的窗口大小为20(即每20个数据点来训练一个支持向量回归模型去预测下一个数据点的大小)。以时间序列{X1,X2,X3,X4,X5...X20}为已知数据来预测X21的大小,表示为PX21,以时间序列{X2,X3,X4,X5,X6,...X21}为已知数据来预测X22的大小,表示为PX22,以此类推:以{Xn-19,Xn-18,Xn-17,Xn-16...Xn-1,Xn}为已知数据来预测Xn+1的大小,表示为PXn+1。对于连续血糖时间序列中的连续五个数据点进行预测的具体过程可以是:假设原时间序列中共有n个数据点,且滚动预测的窗口大小仍为20。以时间序列{X1,X2,X3,X4,X5...X20}为已知数据来预测顺序排序的五个数据点X21,X22,X23,X24,X25的大小,表示为PX21,PX22,PX23,PX24,PX25,且这五个数据点的预测是分别进行的:①用时间序列中的前20个点{X1,X2,X3,X4,X5...X20}去预测出X21的大小,表示为PX21;②以{X2,X3,X4,X5,X6...X20,PX21}去预测X22的大小,表示为PX22;③以{X3,X4,X5,X6...,X20,PX21,PX22}去预测X23的大小,表示为PX23;④以{X4,X5,X6...X20,PX21,PX22,PX23}去预测X24的大小,表示为PX24;⑤以{X5,X6...X20,PX21,PX22,PX23,PX24}去预测X25的大小,表示为PX25。同理,可以利用支持向量回归模型滚动预测连续十个、连续十五个、连续二十个等数据点。Exemplary: after the target support vector regression model and the target window are determined, the specific process of using the rolling prediction method to predict a data point in the continuous blood glucose time series may be: assuming that there are a total of n data points in the original time series , the window size of rolling prediction is 20 (that is, every 20 data points to train a support vector regression model to predict the size of the next data point).Takethe time series{X1 , X2 , X3 , X4 , X5...... X4 , X5 , X6 ,...X21 } are known data to predict the size of X22 , expressed as PX22 , and so on: with {Xn-19 , Xn-18 , Xn- 17 ,Xn-16 ...Xn-1 ,Xn } are known data to predict the size of Xn+1 , denoted as PXn+1 . The specific process for predicting five consecutive data points in the continuous blood glucose time series may be: assuming that there are a total of n data points in the original time series, and the window size of the rolling prediction is still 20. Take the time series {X1 , X2 , X3 , X4 , X5 ... X20 } as known data to predict the five data points X21 , X22 , X23 , X24 , X The size of25 is expressed as PX21 , PX22 , PX23 , PX24 , PX25 , and the predictions of these five data points are carried out separately: ① Use the first 20 points in the time series {X1 , X2 , X3 , X4 , X5 ... X20 } to predict the size of X21 , expressed as PX21 ; ② with {X2 , X3 , X4 , X5 , X6 ... X20 ,PX21 } to predict the size of X22 , expressed as PX22 ; ③Use {X3 ,X4 ,X5 ,X6 ... ,X20 ,PX21 ,PX22 } to predict the size of X23 , Represented as PX23 ; ④ Use {X4 , X5 , X6 ... X20 , PX21 , PX22 , PX23 } to predict the size of X24 , represented as PX24 ; ⑤ Use {X5 , X6 ...X20 , PX21 , PX22 , PX23 , PX24 } to predict the size of X25 , expressed as PX25 . In the same way, the support vector regression model can be used to roll forecast ten consecutive data points, fifteen consecutive data points, and twenty consecutive data points.
本实施例提供的血糖预测方法,通过基于目标患者的输入血糖训练数据和输出血糖训练数据,对初始化的支持向量回归模型进行第一模型训练,以确定支持向量回归模型所使用的核函数和支持向量回归模型进行滚动预测时采用的目标窗口取值;基于目标窗口取值,对采用核函数的支持向量回归模型进行第二模型训练,以确定核函数中核参数的取值;将第二模型训练后得到的支持向量回归模型作为目标支持向量回归模型;利用目标支持向量回归模型和目标窗口取值,对目标患者的血糖进行滚动预测,提高了血糖预测的准确性,同时还增加了血糖预测的时长。In the blood glucose prediction method provided by this embodiment, first model training is performed on the initialized support vector regression model based on the input blood glucose training data and the output blood glucose training data of the target patient, so as to determine the kernel function and the support vector used by the support vector regression model. The value of the target window used by the vector regression model for rolling prediction; based on the value of the target window, the second model training is performed on the support vector regression model using the kernel function to determine the value of the kernel parameter in the kernel function; the second model is trained The obtained support vector regression model is used as the target support vector regression model; using the target support vector regression model and the value of the target window, the blood glucose of the target patient is predicted in a rolling manner, which improves the accuracy of blood glucose prediction and also increases the accuracy of blood glucose prediction. duration.
在上述各实施例的基础上,进一步的,在基于目标患者的输入血糖训练数据和输出血糖训练数据,对初始化的支持向量回归模型进行第一模型训练,以确定支持向量回归模型所使用的核函数和支持向量回归模型进行滚动预测时采用的的目标窗口取值之前,还包括:On the basis of the above embodiments, further, based on the input blood glucose training data and output blood glucose training data of the target patient, first model training is performed on the initialized support vector regression model to determine the kernel used by the support vector regression model. Before the value of the target window used by the function and the support vector regression model for rolling prediction, it also includes:
对目标患者的原始血糖训练数据进行预处理,得到输入血糖训练数据和输出血糖训练数据,其中,预处理包括对原始血糖训练数据进行数据清洗处理和平滑去噪处理。The original blood sugar training data of the target patient is preprocessed to obtain input blood sugar training data and output blood sugar training data, wherein the preprocessing includes data cleaning and smoothing and denoising on the original blood sugar training data.
优选的对原始血糖训练数据进行数据清洗处理,包括:Preferably, data cleaning processing is performed on the original blood glucose training data, including:
根据相邻两个原始血糖训练数据之间的时间差值是否为预设时间差,来确定原始血糖训练数据在时间上的连续性;若确定原始血糖训练数据在时间上不连续,则:According to whether the time difference between two adjacent original blood glucose training data is a preset time difference, the continuity of the original blood glucose training data in time is determined; if it is determined that the original blood glucose training data is discontinuous in time, then:
若确定原始血糖训练数据在时间上遗漏的数据点的数目低于预设数目,则利用目标患者的常规信息推算出数据点;If it is determined that the number of data points missed in time in the original blood glucose training data is lower than the preset number, the data points are calculated using the routine information of the target patient;
若确定原始血糖训练数据在时间上遗漏的数据点的数目等于或高于预设数目,则以各中断处为节点,将原始血糖训练数据划分为多个在时间上连续的血糖训练数据。If it is determined that the number of missing data points in the original blood glucose training data is equal to or higher than the preset number, the original blood glucose training data is divided into a plurality of consecutive blood glucose training data with each interruption as a node.
其中,在根据相邻两个原始血糖训练数据之间的时间差值是否为预设时间差之前,可以利用原始血糖训练数据中的时间戳将原始血糖训练数据的时间进行统一。其中,时间戳在原始血糖训练数据中可以以字符串的形式存储(单位是秒)。优选的,可以通过时间戳转换函数将时间戳统一转换为北京时间表示。Wherein, before according to whether the time difference between two adjacent original blood glucose training data is a preset time difference, the time of the original blood glucose training data can be unified by using the timestamp in the original blood glucose training data. Among them, the timestamp can be stored in the form of a string (unit is second) in the original blood glucose training data. Preferably, the timestamp can be uniformly converted into Beijing time representation through a timestamp conversion function.
一般的,目标患者的相邻两个原始血糖训练数据之间的测量时长为3分钟,即预设时间差优选可以是3分钟,当然,预设时间差也可以是其他的时间段,在此不做特殊的限定。Generally, the measurement time between two adjacent original blood glucose training data of the target patient is 3 minutes, that is, the preset time difference can preferably be 3 minutes. Of course, the preset time difference can also be other time periods, which will not be done here. special restrictions.
以预设时间差是3分钟为例进行说明:首先确定原始血糖训练数据中每两个相邻的原始血糖训练数据之间的时间差值是否是3分钟,如果存在时间差值不是3分钟的情况,则可以确定原始血糖训练数据在时间上是不连续的。如果根据时间差值确定原始血糖训练数据在时间上遗漏的数据点的数据低于预设数目,则可以利用目标患者的常规信息推算出遗漏的数据点,其中,预设数目可以是3个,目标患者的常规信息可以是自目标患者参与血糖数据收集的时间点开始,目标患者的起床时间、睡眠时间、工作时间、用餐时间等信息。如果根据时间差值确定原始血糖训练数据在时间上遗漏的数据点的数据等于或高于预设数目,此时由于遗漏的数据点过多,使用常规信息进行推测得到的血糖数据的可信度较低。基于此,可以以各中断处为节点,将原始血糖训练数据划分为多个在时间上连续的血糖训练数据,将多段在时间上连续的血糖训练数据作为原始血糖训练数据。Take the preset time difference of 3 minutes as an example to illustrate: first determine whether the time difference between every two adjacent original blood glucose training data in the original blood glucose training data is 3 minutes, and if there is a situation where the time difference is not 3 minutes , it can be determined that the original blood glucose training data is discontinuous in time. If it is determined according to the time difference that the data of the missing data points in the original blood glucose training data is lower than the preset number, the missing data points can be calculated by using the routine information of the target patient, wherein the preset number can be 3, The general information of the target patient may be information such as the wake-up time, sleep time, work time, meal time of the target patient since the time point when the target patient participated in the collection of blood glucose data. If it is determined according to the time difference that the data of the missing data points in the original blood glucose training data is equal to or higher than the preset number, because there are too many missing data points, the reliability of the blood glucose data obtained by using conventional information to infer lower. Based on this, the original blood glucose training data can be divided into multiple temporally continuous blood glucose training data with each interruption as a node, and multiple temporally continuous blood glucose training data can be used as the original blood glucose training data.
优选的,对原始血糖训练数据进行平滑去噪处理,包括:Preferably, smoothing and denoising processing is performed on the original blood glucose training data, including:
对卡尔曼滤波算法中的调谐参数Q和调谐参数R进行初始化;Initialize the tuning parameter Q and the tuning parameter R in the Kalman filter algorithm;
调整调谐参数Q和调谐参数R,使得采用卡尔曼滤波算法平滑去噪后的血糖训练数据与原始血糖训练数据之间的均方根误差低于预设均方根误差,且采用卡尔曼滤波算法平滑去噪后的血糖训练数据相对于原始血糖训练数据滞后的点数低于预设滞后点数。Adjust the tuning parameter Q and the tuning parameter R so that the root mean square error between the blood sugar training data after smoothing and denoising using the Kalman filtering algorithm and the original blood sugar training data is lower than the preset root mean square error, and the Kalman filtering algorithm is used The lag points of the blood glucose training data after smoothing and denoising relative to the original blood glucose training data are lower than the preset lag points.
其中,卡尔曼滤波算法可以较好地去除原始血糖训练数据集中的高频噪声,从而得到取值更为合理的平滑数据。卡尔曼滤波算法需要不断的更新不同时刻的估计值与测量值,从而获得对应时刻的状态变量的最佳估计。根据卡尔曼滤波算法的基本原理可知其调谐参数Q和调谐参数R在改善原始血糖训练数据集的平滑性的同时也会使得平滑后的血糖训练数据滞后于原始血糖训练数据。其中,Q/R的值越大,平滑后的原始血糖训练数据的平滑性越差,但与原始血糖训练数据相比,实时性较好(即滞后的程度较小)。Q/R越小,平滑后的原始血糖训练数据平滑性越好,但与原始血糖训练数据相比,实时性较差(即滞后的程度较大)。基于此,需要综合考虑平滑性和实时性两个方面的因素来确定调谐参数Q和调谐参数R的取值。Among them, the Kalman filter algorithm can better remove the high-frequency noise in the original blood glucose training data set, so as to obtain smooth data with more reasonable values. The Kalman filter algorithm needs to continuously update the estimated and measured values at different times, so as to obtain the best estimate of the state variables at the corresponding time. According to the basic principle of the Kalman filter algorithm, the tuning parameter Q and the tuning parameter R can improve the smoothness of the original blood sugar training data set, but also make the smoothed blood sugar training data lag behind the original blood sugar training data. Among them, the larger the value of Q/R, the worse the smoothness of the smoothed original blood glucose training data, but the real-time performance is better (that is, the degree of lag is smaller) compared with the original blood glucose training data. The smaller the Q/R, the better the smoothness of the smoothed raw blood glucose training data, but the less real-time performance (that is, the greater the degree of lag) compared to the raw blood glucose training data. Based on this, it is necessary to comprehensively consider two factors of smoothness and real-time performance to determine the values of the tuning parameter Q and the tuning parameter R.
优选的,首先可以根据经验数据,对卡尔曼滤波算法中的调谐参数Q和调谐参数R进行初始化,即分别给定调谐参数Q和调谐参数R一个初始值。Preferably, the tuning parameter Q and the tuning parameter R in the Kalman filter algorithm can be initialized first according to empirical data, that is, an initial value of the tuning parameter Q and the tuning parameter R are respectively given.
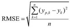
为了衡量平滑后的原始血糖训练数据相较于原始血糖训练数据的准确性(即平滑性的好坏),优选可以定义均方根误差(Root Mean Square Error,RMSE)。均方根误差的计算方式可以为原始血糖训练数据与平滑后的原始血糖训练数据偏差的平方和与数据个数比值的平方根(量纲为:mmol/L),其表达式如下所示:In order to measure the accuracy of the smoothed original blood glucose training data compared to the original blood glucose training data (that is, the smoothness of the data), preferably a root mean square error (Root Mean Square Error, RMSE) can be defined. The root mean square error can be calculated as the square root of the deviation of the original blood glucose training data and the smoothed original blood glucose training data and the square root of the ratio of the number of data (dimension: mmol/L), and its expression is as follows:
其中,Xf与X均为一维向量,分别代表平滑后的原始血糖训练数据与原始血糖训练数据,Xf,i是第i个平滑后的原始血糖训练数据,Xi是第i个原始血糖训练数据。分别调整调谐参数Q和调谐参数R的值,得到的RMSE的值越小,则平滑后的原始血糖训练数据相较于原始血糖训练数据越准确,即平滑后的原始血糖训练数据相较于原始血糖训练数据的实时性越好,平滑性越不明显。Among them, Xf and X are both one-dimensional vectors, representing the smoothed original blood glucose training data and the original blood glucose training data, respectively, Xf,i is the ith smoothed original blood glucose training data, and Xi is the ith original blood sugar training data. Glucose training data. Adjust the values of the tuning parameter Q and the tuning parameter R respectively. The smaller the obtained RMSE value, the more accurate the smoothed raw blood sugar training data is compared to the original blood sugar training data, that is, the smoothed raw blood sugar training data is more accurate than the original blood sugar training data. The better the real-time performance of the blood glucose training data, the less obvious the smoothness.
同时,为了衡量卡尔曼滤波算法的实时性,可以以一天中480个原始血糖训练数据点(每隔3分钟测量一个数据点获得的)中的最大值(波峰)为基准,计算平滑后的原始血糖训练数据与原始血糖训练数据相比,滞后的数据点的个数。分别调整调谐参数Q和调谐参数R的值,得到的滞后的数据点数越少,则平滑后的原始血糖训练数据相较于原始血糖训练数据的实时性较好,即卡尔曼滤波算法的时间延迟越小。At the same time, in order to measure the real-time performance of the Kalman filter algorithm, the smoothed original blood sugar can be calculated based on the maximum value (peak) of the 480 raw blood glucose training data points in one day (obtained by measuring a data point every 3 minutes). The number of data points that lag the blood glucose training data compared to the original blood glucose training data. Adjust the values of the tuning parameter Q and the tuning parameter R respectively. The less the number of lagging data points obtained, the better the real-time performance of the smoothed original blood glucose training data compared with the original blood glucose training data, that is, the time delay of the Kalman filter algorithm. smaller.
在选取合适的调谐参数Q和调谐参数R的值时,由于需要综合考虑平滑性和实时性两个方面的因素,因此,可以设置预设均方根误差和预设滞后点数,在调整调谐参数Q和调谐参数R的过程中,选取满足预设条件的调谐参数Q和调谐参数R作为目标调谐参数Q和目标调谐参数R。其中,预设条件为采用卡尔曼滤波算法平滑后的原始血糖训练数据与原始血糖训练数据之间的均方根误差低于预设均方根误差,且采用卡尔曼滤波算法平滑去噪后的血糖训练数据相对于原始血糖训练数据滞后的点数低于预设滞后点数。When selecting the appropriate tuning parameter Q and tuning parameter R, the two factors of smoothness and real-time performance need to be comprehensively considered. Therefore, the preset root mean square error and the preset number of lag points can be set. In the process of Q and the tuning parameter R, the tuning parameter Q and the tuning parameter R that satisfy the preset conditions are selected as the target tuning parameter Q and the target tuning parameter R. Wherein, the preset condition is that the root mean square error between the original blood glucose training data smoothed by the Kalman filter algorithm and the original blood glucose training data is lower than the preset root mean square error, and the Kalman filter algorithm is used to smooth the denoised data. The blood glucose training data lags the original blood glucose training data by a number of points lower than the preset lag point.
示例性的,可以选用五组不同的调谐参数Q和调谐参数R值来验证卡尔曼滤波器平滑原始血糖训练数据的效果。在每一组实验中,调谐参数Q的取值均为1×10-4,调谐参数R的取值分别为:5×10-2,1×10-2,5×10-3,1×10-3,1×10-4,分别计算每一组调谐参数Q和调谐参数R值下的滤波后的原始血糖训练数据与原始血糖训练数据的均方根误差,并选取最小均方根误差对应的调谐参数Q和调谐参数R的值。利用确定好的卡尔曼滤波器对目标患者一天的原始血糖训练数据(480个)进行滤波处理。Exemplarily, five sets of different tuning parameter Q and tuning parameter R values may be selected to verify the effect of the Kalman filter on smoothing the original blood glucose training data. In each set of experiments, the value of tuning parameter Q is 1×10-4 , and the value of tuning parameter R is: 5×10-2 , 1×10-2 , 5×10-3 , 1× 10-3 , 1×10-4 , respectively calculate the root mean square error between the filtered raw blood glucose training data and the original blood glucose training data under each set of tuning parameter Q and tuning parameter R value, and select the minimum root mean square error The corresponding tuning parameter Q and tuning parameter R values. The determined Kalman filter is used to filter the target patient's one-day original blood glucose training data (480).
实施例二Embodiment 2
图2a是本发明实施例二提供的一种血糖预测方法的流程图。本实施例在上述各实施例的基础上,将所述基于目标患者的输入血糖训练数据和输出血糖训练数据,对初始化的支持向量回归模型进行第一模型训练,以确定支持向量回归模型所使用的核函数和支持向量回归模型进行滚动预测时采用的目标窗口取值,进一步优化为:获取各支持向量回归模型,其中,所述各支持向量回归模型分别对应不同类型的核函数;针对每个支持向量回归模型:保持所述支持向量回归模型中的核参数不变,遍历预设数组中的窗口取值;针对每个窗口取值,将与所述窗口取值对应数目的输入血糖训练数据输入至所述支持向量回归模型中,并输出预测血糖数据,计算所述预测血糖数据与所述输出血糖训练数据之间的第一均方根误差;确定各第一均方根误差中取值最小的第一均方根误差所对应的核函数和窗口取值。将所述基于所述目标窗口取值,对采用所述核函数的支持向量回归模型进行第二模型训练,以确定所述核函数中核参数的取值;将第二模型训练后得到的支持向量回归模型作为目标支持向量回归模型,进一步优化为:确定与所述核函数对应的惩罚因子核参数和不敏感因子核参数的所有取值组合;计算各取值组合下,所述调整后的支持向量回归模型的输出预测血糖数据与所述输出血糖训练数据之间的第二均方根误差;将各第二均方根误差中取值最小的第二均方根误差所对应的取值组合作为所述目标支持向量回归模型的核参数,以得到目标支持向量回归模型。如图2所示,该方法具体包括:Fig. 2a is a flowchart of a blood glucose prediction method according to Embodiment 2 of the present invention. In this embodiment, on the basis of the above-mentioned embodiments, the first model training is performed on the initialized support vector regression model based on the input blood glucose training data and output blood glucose training data of the target patient, so as to determine the use of the support vector regression model. The value of the target window used for rolling prediction using the kernel function and the support vector regression model is further optimized as follows: obtaining each support vector regression model, wherein each support vector regression model corresponds to different types of kernel functions; Support vector regression model: keep the kernel parameters in the support vector regression model unchanged, and traverse the window values in the preset array; for each window value, input blood glucose training data corresponding to the number of window values. Input into the support vector regression model, and output the predicted blood sugar data, calculate the first root mean square error between the predicted blood sugar data and the output blood sugar training data; determine the value of each first root mean square error The kernel function and window value corresponding to the smallest first root mean square error. The second model training is performed on the support vector regression model using the kernel function based on the value of the target window to determine the value of the kernel parameter in the kernel function; the support vector obtained after the second model is trained The regression model is used as the target support vector regression model, and is further optimized as follows: determine all value combinations of the penalty factor kernel parameter and the insensitive factor kernel parameter corresponding to the kernel function; calculate the adjusted support for each value combination The second root mean square error between the output predicted blood sugar data of the vector regression model and the output blood sugar training data; the values corresponding to the second root mean square error with the smallest value among the second root mean square errors are combined As the kernel parameter of the target support vector regression model, to obtain the target support vector regression model. As shown in Figure 2, the method specifically includes:
S210、获取各支持向量回归模型,其中,各支持向量回归模型分别对应不同类型的核函数。S210. Obtain each support vector regression model, wherein each support vector regression model corresponds to different types of kernel functions.
本实施例中,将不同类型的核函数赋予初始化的支持向量回归模型,得到与不同类型的核函数相对应的各支持向量回归模型。其中,不同的核函数可以包括线性核函数、多项式核函数、高斯核函数、sigmoid核函数和径向基核函数等。In this embodiment, different types of kernel functions are assigned to the initialized support vector regression models, and various support vector regression models corresponding to different types of kernel functions are obtained. The different kernel functions may include linear kernel functions, polynomial kernel functions, Gaussian kernel functions, sigmoid kernel functions, radial basis kernel functions, and the like.
S220、针对每个支持向量回归模型:保持支持向量回归模型中的核参数不变,遍历预设数组中的窗口取值。S220. For each support vector regression model: keep the kernel parameters in the support vector regression model unchanged, and traverse the window values in the preset array.
S230、针对每个窗口取值,将与窗口取值对应数目的输入血糖训练数据输入至支持向量回归模型中,并输出预测血糖数据,计算预测血糖数据与输出血糖训练数据之间的第一均方根误差。S230. For each window value, input the input blood glucose training data corresponding to the window value into the support vector regression model, and output the predicted blood glucose data, and calculate the first average between the predicted blood glucose data and the output blood glucose training data. square root error.
其中,预设数组为预先设定的一个包括滚动预测的各个可能的窗口取值的整数数组。例如预设数组可以是[5,180],该数组表示滚动预测的窗口取值可以是5到180之间(包含5和180)的任意一个整数,即最少可以用5个数据点去预测下一个数据点的取值,最多可以180个数据点去预测下一个数据点的取值。The preset array is a preset integer array including each possible window value of the rolling prediction. For example, the preset array can be [5,180], which indicates that the window value of rolling prediction can be any integer between 5 and 180 (including 5 and 180), that is, at least 5 data points can be used to predict the next data The value of the point, up to 180 data points can be used to predict the value of the next data point.
针对每个与特定的核函数种类对应的支持向量回归模型,保持该支持向量回归模型中的核函数的核参数不变,即初始化该核函数的核参数。例如,对于与线性核函数相对应的支持向量回归模型,初始化该支持向量回归模型中线性核函数的核参数,又对于与多项式核函数相对应的支持向量回归模型,初始化该支持向量回归模型中多项式核函数的核参数等。针对每个支持向量回归模型,保持支持向量回归模型中的核函数的核参数不变,遍历预设数组中的窗口取值,即在确定每个支持向量回归模型的情况下,遍历预设数组中的窗口取值。For each support vector regression model corresponding to a specific kernel function type, the kernel parameters of the kernel function in the support vector regression model are kept unchanged, that is, the kernel parameters of the kernel function are initialized. For example, for the support vector regression model corresponding to the linear kernel function, initialize the kernel parameters of the linear kernel function in the support vector regression model, and for the support vector regression model corresponding to the polynomial kernel function, initialize the support vector regression model in the support vector regression model. The kernel parameters of the polynomial kernel function, etc. For each support vector regression model, keep the kernel parameters of the kernel function in the support vector regression model unchanged, and traverse the window values in the preset array, that is, when each support vector regression model is determined, traverse the preset array The window value in .
对于每个窗口取值,将与窗口取值对应数目的输入血糖训练数据作为相应支持向量回归模型的输入,输出预测血糖数据,并计算预测血糖数据与输出血糖训练数据之间的第一均方根误差。其中,第一均方根误差的表达式如下所示:For each window value, the input blood glucose training data corresponding to the window value is used as the input of the corresponding support vector regression model, the predicted blood glucose data is output, and the first mean square between the predicted blood glucose data and the output blood glucose training data is calculated. root error. where the expression for the first root mean square error is as follows:
其中,yp,k是第k个预测血糖数据,yk是第k个输出血糖训练数据。Among them, yp,k is the k-th predicted blood glucose data, and yk is the k-th output blood glucose training data.
S240、确定各第一均方根误差中取值最小的第一均方根误差所对应的核函数和窗口取值。S240. Determine the kernel function and the window value corresponding to the first root mean square error with the smallest value among the first root mean square errors.
优选的,对于各个与特定的核函数种类对应的支持向量回归模型和各窗口取值而言,可以通过第一均方根误差的大小来确定与目标患者相对应的核函数和窗口取值。优选的,可以将与各第一均方根误差中取值最小的第一均方根误差相对应的核函数和窗口取值作为最终与目标患者对应的核函数和窗口取值。Preferably, for each support vector regression model and each window value corresponding to a specific kernel function type, the kernel function and window value corresponding to the target patient may be determined by the magnitude of the first root mean square error. Preferably, the kernel function and window value corresponding to the first root mean square error with the smallest value among the first root mean square errors may be used as the final kernel function and window value corresponding to the target patient.
S250、确定与核函数对应的惩罚因子核参数和不敏感因子核参数的所有取值组合。S250: Determine all value combinations of the penalty factor kernel parameter and the insensitive factor kernel parameter corresponding to the kernel function.
S260、计算各取值组合下,调整后的支持向量回归模型的输出预测血糖数据与输出血糖训练数据之间的第二均方根误差。S260. Calculate the second root mean square error between the output predicted blood sugar data of the adjusted support vector regression model and the output blood sugar training data under each value combination.
S270、将各第二均方根误差中取值最小的第二均方根误差所对应的取值组合作为目标支持向量回归模型的核参数,以得到目标支持向量回归模型。S270. Use the combination of values corresponding to the second root mean square error with the smallest value among the second root mean square errors as the kernel parameter of the target support vector regression model to obtain the target support vector regression model.
其中,核函数的核参数可以包括惩罚因子核参数和不敏感因子核参数。在上述确定核函数和窗口取值之后,优选可以根据目标患者的血糖数据调整核函数中的惩罚因子核参数和不敏感因子核参数。The kernel parameters of the kernel function may include a penalty factor kernel parameter and an insensitive factor kernel parameter. After the kernel function and the window value are determined above, preferably, the penalty factor kernel parameter and the insensitive factor kernel parameter in the kernel function can be adjusted according to the blood glucose data of the target patient.
具体的,可以根据经验数据确定与核函数对应的惩罚因子核参数和不敏感因子核参数的所有取值组合,并计算各取值组合下,调整后的支持向量回归模型的输出预测血糖数据与输出血糖训练数据之间的第二均方根误差,并将各第二均方根误差中取值最小的第二均方根误差所对应的核参数的取值组合作为目标支持向量回归模型的核参数,以得到目标支持向量回归模型。其中,第二均方根误差的表达式如下所示:Specifically, all combinations of values of the kernel parameters of the penalty factor and the kernel parameters of the insensitive factor corresponding to the kernel function can be determined according to the empirical data, and under each combination of values, the output predicted blood sugar data of the adjusted support vector regression model and the Output the second root mean square error between the blood glucose training data, and use the combination of the kernel parameters corresponding to the second root mean square error with the smallest value among the second root mean square errors as the target support vector regression model. kernel parameters to get the target support vector regression model. where the expression for the second root mean square error is as follows:
其中,yp,k是第k个调整后的输出预测血糖数据,yk是第k个输出血糖训练数据。where yp,k is the k-th adjusted output predicted blood glucose data, and yk is the k-th output blood glucose training data.
示例性的,惩罚因子核参数与不敏感因子核参数的可能取值可分别表示为如下两个数组:[0.01,0.1,0.3,1,10,30,100]和[0.001,0.003,0.01,0.03,0.1]。分别计算各个参数的取值组合下输出预测血糖数据与输出血糖训练数据的第二均方根误差。选出最小均方根误差对应的核参数的组合作为支持向量回归模型的核参数,最终确定目标支持向量回归模型。Exemplarily, the possible values of the penalty factor kernel parameter and the insensitive factor kernel parameter can be expressed as the following two arrays respectively: [0.01, 0.1, 0.3, 1, 10, 30, 100] and [0.001, 0.003, 0.01, 0.03, 0.1]. The second root mean square error of the output predicted blood sugar data and the output blood sugar training data under the combination of values of each parameter is calculated respectively. The combination of kernel parameters corresponding to the minimum root mean square error is selected as the kernel parameter of the support vector regression model, and the target support vector regression model is finally determined.
S280、利用目标支持向量回归模型和目标窗口取值,对目标患者的血糖进行滚动预测。S280, using the target support vector regression model and the value of the target window to perform rolling prediction on the blood sugar of the target patient.
本实施例提供的血糖预测方法,在上述各实施例的基础上,获取各支持向量回归模型,针对每个支持向量回归模型,保持支持向量回归模型中的核参数不变,遍历预设数组中的窗口取值;针对每个窗口取值,将与窗口取值对应数目的输入血糖训练数据输入至支持向量回归模型中,并输出预测血糖数据,计算预测血糖数据与输出血糖训练数据之间的第一均方根误差;确定各第一均方根误差中取值最小的第一均方根误差所对应的核函数和窗口取值,确定与核函数对应的惩罚因子核参数和不敏感因子核参数的所有取值组合;计算各取值组合下,调整后的支持向量回归模型的输出预测血糖数据与输出血糖训练数据之间的第二均方根误差;将各第二均方根误差中取值最小的第二均方根误差所对应的取值组合作为目标支持向量回归模型的核参数,以得到目标支持向量回归模型,进一步提高了血糖预测的准确性,同时还增加了血糖预测的时长。In the blood glucose prediction method provided in this embodiment, on the basis of the above-mentioned embodiments, each support vector regression model is obtained, and for each support vector regression model, the kernel parameters in the support vector regression model are kept unchanged, and the preset array is traversed. For each window value, input the input blood glucose training data corresponding to the window value into the support vector regression model, output the predicted blood glucose data, and calculate the difference between the predicted blood glucose data and the output blood glucose training data. The first root mean square error; determine the kernel function and window value corresponding to the first root mean square error with the smallest value among the first root mean square errors, and determine the penalty factor kernel parameter and insensitivity factor corresponding to the kernel function All value combinations of the kernel parameters; calculate the second root mean square error between the output predicted blood sugar data of the adjusted support vector regression model and the output blood sugar training data under each value combination; The combination of values corresponding to the second root mean square error with the smallest value is used as the kernel parameter of the target support vector regression model to obtain the target support vector regression model, which further improves the accuracy of blood sugar prediction, and also increases blood sugar prediction. length of time.
在上述各实施例的基础上,进一步的,在基于目标窗口取值,对采用核函数的支持向量回归模型进行第二模型训练,以确定核函数中核参数的取值;将第二模型训练后得到的支持向量回归模型作为目标支持向量回归模型之后,还包括:On the basis of the above embodiments, further, based on the value of the target window, a second model training is performed on the support vector regression model using the kernel function to determine the value of the kernel parameter in the kernel function; after the second model is trained After the obtained support vector regression model is used as the target support vector regression model, it also includes:
基于目标患者的输入血糖测试数据、输出血糖测试数据和目标窗口取值,对目标支持向量回归模型进行测试,以确定目标支持向量回归模型的滚动预测效果。Based on the input blood glucose test data, output blood glucose test data and target window value of the target patient, the target support vector regression model is tested to determine the rolling prediction effect of the target support vector regression model.
其中,目标患者的原始连续血糖数据集可以划分四种数据:输入血糖训练数据、输出血糖训练数据、输入血糖测试数据、输出血糖测试数据。这四种数据由于滚动预测窗口取值的不同而有所不同,输入血糖训练数据与输入血糖测试数据的每一条记录的长度均等于滚动预测窗口取值,分别由输入血糖训练数据和输入血糖测试数据得到的输出血糖训练数据与输出血糖测试数据的每一条记录都是一个向量,特别的,当预测一个数据点时,输出血糖训练数据与输出血糖测试数据的每一条记录都是一个实数。Among them, the original continuous blood glucose data set of the target patient can be divided into four types of data: input blood glucose training data, output blood glucose training data, input blood glucose test data, and output blood glucose test data. These four kinds of data are different due to the different values of the rolling prediction window. The length of each record of the input blood glucose training data and the input blood glucose test data is equal to the value of the rolling prediction window. Each record of the output blood sugar training data and the output blood sugar test data obtained from the data is a vector. In particular, when predicting a data point, each record of the output blood sugar training data and the output blood sugar test data is a real number.
本实施例中,可以基于目标患者的输入血糖测试数据、输出血糖测试数据和目标窗口取值,对目标支持向量回归模型进行测试,以确定目标支持向量回归模型的滚动预测效果。具体的,在测试过程中,基于目标窗口取值,将目标患者相应的输入血糖数据输入已经训练好的目标支持向量回归模型中,通过比较目标支持向量回归模型的输出与目标患者的输出血糖测试数据的均方根误差的大小,来确定目标支持向量回归模型的优劣。In this embodiment, the target support vector regression model may be tested based on the target patient's input blood glucose test data, output blood glucose test data and target window values to determine the rolling prediction effect of the target support vector regression model. Specifically, in the testing process, based on the value of the target window, the input blood glucose data corresponding to the target patient is input into the trained target support vector regression model, and the output of the target support vector regression model is compared with the output blood glucose test of the target patient. The size of the root mean square error of the data is used to determine the pros and cons of the target support vector regression model.
在测试过程中,为了提高算法的公平性,优选可以在不同时间段上连续预测目标患者的血糖值。具体的:优选可以将用于预测的数据扩大至一天范围,即预留出480个数据点作为测试集,除此之外的血糖数据作为训练集。可以连续预测15分钟血糖值(五个数据点)、30分钟血糖值(10个数据点)、60分钟血糖值(20个数据点)、90分钟血糖值(30个数据点)和120分钟血糖值(40个数据点)等。In the testing process, in order to improve the fairness of the algorithm, it is preferable to continuously predict the blood glucose level of the target patient in different time periods. Specifically: preferably, the data used for prediction can be expanded to a range of one day, that is, 480 data points are reserved as a test set, and the other blood glucose data is used as a training set. Can continuously predict 15-minute blood glucose (five data points), 30-minute blood glucose (10 data points), 60-minute blood glucose (20 data points), 90-minute blood glucose (30 data points), and 120-minute blood glucose value (40 data points), etc.
在此需要说明的是,利用滚动预测算法进行滚动预测会产生误差,且误差会不断累积,因此在预测点与实际数据点之间的误差大于预设预测精度时需要停止预测。假设目标患者的每两个血糖数据之间的时间间隔为3分钟,可以使用基于滚动预测的支持向量回归模型去连续预测目标患者测试集中30分钟血糖值(10个数据点)、60分钟血糖值(20个数据点)、90分钟血糖值(30个数据点)、120分钟血糖值(40个数据点),则滚动预测效果图分别如图2b、2c、2d、2e所示,其中,图中的虚线表示输出血糖测试数据、图中的实线表示输出血糖预测数据。由上述图2b、2c、2d、2e可知,随时预测数据点的增多,滚动预测结果的误差也会随之增大。It should be noted here that the rolling prediction using the rolling prediction algorithm will generate errors, and the errors will continue to accumulate. Therefore, the prediction needs to be stopped when the error between the prediction point and the actual data point is greater than the preset prediction accuracy. Assuming that the time interval between each two blood glucose data of the target patient is 3 minutes, the support vector regression model based on rolling prediction can be used to continuously predict the 30-minute blood glucose value (10 data points) and 60-minute blood glucose value in the test set of the target patient. (20 data points), 90-minute blood glucose value (30 data points), and 120-minute blood glucose value (40 data points), the rolling prediction effect graphs are shown in Figures 2b, 2c, 2d, and 2e, respectively. The dotted line in the figure represents the output blood glucose test data, and the solid line in the figure represents the output blood glucose prediction data. As can be seen from the above Figures 2b, 2c, 2d, and 2e, as the number of predicted data points increases at any time, the error of the rolling prediction result will also increase accordingly.
实施例三Embodiment 3
图3为本发明实施例三提供的一种血糖预测装置的结构示意图。如图3所示,该装置包括:FIG. 3 is a schematic structural diagram of a blood glucose prediction device according to Embodiment 3 of the present invention. As shown in Figure 3, the device includes:
核函数与窗口取值确定模块310,用于基于目标患者的输入血糖训练数据和输出血糖训练数据,对初始化的支持向量回归模型进行第一模型训练,以确定支持向量回归模型所使用的核函数和支持向量回归模型进行滚动预测时采用的目标窗口取值;The kernel function and window
目标支持向量回归模型确定模块320,基于目标窗口取值,对采用核函数的支持向量回归模型进行第二模型训练,以确定核函数中核参数的取值,将第二模型训练后得到的支持向量回归模型作为目标支持向量回归模型;The target support vector regression
滚动预测模块330,用于利用目标支持向量回归模型和目标窗口取值,对目标患者的血糖进行滚动预测。The rolling
本实施例提供的血糖预测装置,通过基于目标患者的输入血糖训练数据和输出血糖训练数据,对初始化的支持向量回归模型进行第一模型训练,以确定支持向量回归模型所使用的核函数和支持向量回归模型进行滚动预测时采用的目标窗口取值;基于目标窗口取值,对采用核函数的支持向量回归模型进行第二模型训练,以确定核函数中核参数的取值;将第二模型训练后得到的支持向量回归模型作为目标支持向量回归模型;利用目标支持向量回归模型和目标窗口取值,对目标患者的血糖进行滚动预测,提高了血糖预测的准确性,同时还增加了血糖预测的时长。The blood glucose prediction device provided in this embodiment performs first model training on the initialized support vector regression model based on the input blood glucose training data and output blood glucose training data of the target patient, so as to determine the kernel function and the support vector used by the support vector regression model. The value of the target window used by the vector regression model for rolling prediction; based on the value of the target window, the second model training is performed on the support vector regression model using the kernel function to determine the value of the kernel parameter in the kernel function; the second model is trained The obtained support vector regression model is used as the target support vector regression model; using the target support vector regression model and the value of the target window, the blood glucose of the target patient is predicted in a rolling manner, which improves the accuracy of blood glucose prediction and also increases the accuracy of blood glucose prediction. duration.
在上述各实施例的基础上,进一步的,核函数与窗口取值确定模块310具体可以包括:On the basis of the foregoing embodiments, further, the kernel function and window
各支持向量回归模型获取单元,用于获取各支持向量回归模型,其中,各支持向量回归模型分别对应不同类型的核函数;Each support vector regression model obtaining unit is used to obtain each support vector regression model, wherein each support vector regression model corresponds to different types of kernel functions;
窗口取值遍历单元,用于针对每个支持向量回归模型:保持支持向量回归模型中的核参数不变,遍历预设数组中的窗口取值;The window value traversal unit is used for each support vector regression model: keep the kernel parameters in the support vector regression model unchanged, and traverse the window values in the preset array;
第一均方根误差计算单元,用于针对每个窗口取值,将与窗口取值对应数目的输入血糖训练数据输入至支持向量回归模型中,并输出预测血糖数据,计算预测血糖数据与输出血糖训练数据之间的第一均方根误差;The first root mean square error calculation unit is used to input the input blood glucose training data corresponding to the number of window values into the support vector regression model for each window value, and output the predicted blood glucose data, calculate the predicted blood glucose data and output first root mean square error between blood glucose training data;
核函数和窗口取值确定单元,用于确定各第一均方根误差中取值最小的第一均方根误差所对应的核函数和窗口取值。The kernel function and window value determination unit is used for determining the kernel function and the window value corresponding to the first root mean square error with the smallest value among the first root mean square errors.
进一步的,目标支持向量回归模型确定模块320具体可以包括:Further, the target support vector regression
核参数确定单元,用于确定与核函数对应的惩罚因子核参数和不敏感因子核参数的所有取值组合;The kernel parameter determination unit is used to determine all the value combinations of the penalty factor kernel parameter and the insensitive factor kernel parameter corresponding to the kernel function;
第二均方根误差计算单元,用于计算各取值组合下,调整后的支持向量回归模型的输出预测血糖数据与输出血糖训练数据之间的第二均方根误差;The second root mean square error calculation unit is used to calculate the second root mean square error between the output predicted blood sugar data of the adjusted support vector regression model and the output blood sugar training data under each combination of values;
目标支持向量回归模型获取单元,用于将各第二均方根误差中取值最小的第二均方根误差所对应的取值组合作为目标支持向量回归模型的核参数,以得到目标支持向量回归模型。The target support vector regression model acquisition unit is used to use the value combination corresponding to the second root mean square error with the smallest value among the second root mean square errors as the kernel parameter of the target support vector regression model, so as to obtain the target support vector regression model.
进一步的,血糖预测装置还可以包括:Further, the blood glucose prediction device may further include:
目标支持向量回归模型测试模块,用于在基于目标窗口取值,对采用核函数的支持向量回归模型进行第二模型训练,以确定核函数中核参数的取值;将第二模型训练后得到的支持向量回归模型作为目标支持向量回归模型之后,基于目标患者的输入血糖测试数据、输出血糖测试数据和目标窗口取值,对目标支持向量回归模型进行测试,以确定目标支持向量回归模型的滚动预测效果。The target support vector regression model testing module is used to perform the second model training on the support vector regression model using the kernel function based on the value of the target window, so as to determine the value of the kernel parameter in the kernel function; After the support vector regression model is used as the target support vector regression model, based on the input blood glucose test data of the target patient, the output blood glucose test data and the value of the target window, the target support vector regression model is tested to determine the rolling prediction of the target support vector regression model. Effect.
进一步的,血糖预测装置还可以包括:Further, the blood glucose prediction device may further include:
预处理模块,用于在基于目标患者的输入血糖训练数据和输出血糖训练数据,对初始化的支持向量回归模型进行第一模型训练,以确定支持向量回归模型所使用的核函数和支持向量回归模型进行滚动预测时采用的的目标窗口取值之前,对目标患者的原始血糖训练数据进行预处理,得到输入血糖训练数据和输出血糖训练数据,其中,预处理包括对原始血糖训练数据进行数据清洗处理和平滑去噪处理。The preprocessing module is used to perform first model training on the initialized support vector regression model based on the input blood glucose training data and output blood glucose training data of the target patient, so as to determine the kernel function and the support vector regression model used by the support vector regression model Before the value of the target window used in rolling prediction, the original blood glucose training data of the target patient is preprocessed to obtain input blood glucose training data and output blood glucose training data, wherein the preprocessing includes data cleaning processing on the original blood glucose training data and smooth denoising.
进一步的,预处理模块具体可以包括:Further, the preprocessing module may specifically include:
数据清洗处理单元,用于根据相邻两个原始血糖训练数据之间的时间差值是否为预设时间差,来确定原始血糖训练数据在时间上的连续性;若确定原始血糖训练数据在时间上不连续,则:The data cleaning processing unit is used to determine the continuity of the original blood glucose training data in time according to whether the time difference between two adjacent original blood glucose training data is a preset time difference; if it is determined that the original blood glucose training data is in time discontinuous, then:
若确定原始血糖训练数据在时间上遗漏的数据点的数目低于预设数目,则利用目标患者的常规信息推算出数据点;If it is determined that the number of data points missed in time in the original blood glucose training data is lower than the preset number, the data points are calculated using the routine information of the target patient;
若确定原始血糖训练数据在时间上遗漏的数据点的数目等于或高于预设数目,则以各中断处为节点,将原始血糖训练数据划分为多个在时间上连续的血糖训练数据。If it is determined that the number of missing data points in the original blood glucose training data is equal to or higher than the preset number, the original blood glucose training data is divided into a plurality of consecutive blood glucose training data with each interruption as a node.
进一步的,预处理模块具体还可以包括:Further, the preprocessing module may specifically include:
平滑去噪处理单元,用于对卡尔曼滤波算法中的调谐参数Q和调谐参数R进行初始化;A smoothing denoising processing unit, used to initialize the tuning parameter Q and the tuning parameter R in the Kalman filter algorithm;
调整调谐参数Q和调谐参数R,使得采用卡尔曼滤波算法平滑去噪后的血糖训练数据与原始血糖训练数据之间的均方根误差低于预设均方根误差,且采用卡尔曼滤波算法平滑去噪后的血糖训练数据相对于原始血糖训练数据滞后的点数低于预设滞后点数。Adjust the tuning parameter Q and the tuning parameter R so that the root mean square error between the blood sugar training data after smoothing and denoising using the Kalman filtering algorithm and the original blood sugar training data is lower than the preset root mean square error, and the Kalman filtering algorithm is used The lag points of the blood glucose training data after smoothing and denoising relative to the original blood glucose training data are lower than the preset lag points.
本发明实施例所提供的血糖预测装置可执行本发明任意实施例所提供的血糖预测方法,具备执行方法相应的功能模块和有益效果。The blood glucose prediction device provided by the embodiment of the present invention can execute the blood glucose prediction method provided by any embodiment of the present invention, and has functional modules and beneficial effects corresponding to the execution method.
实施例四Embodiment 4
图4为本发明实施例四提供的血糖预测终端的结构示意图。图4示出了适于用来实现本发明实施方式的示例性血糖预测终端412的框图。图4显示的血糖预测终端412仅仅是一个示例,不应对本发明实施例的功能和使用范围带来任何限制。FIG. 4 is a schematic structural diagram of a blood glucose prediction terminal according to Embodiment 4 of the present invention. 4 shows a block diagram of an exemplary blood
如图4所示,血糖预测终端412以通用计算设备的形式表现。血糖预测终端412的组件可以包括但不限于:一个或者多个处理器416,存储器428,连接不同系统组件(包括存储器428和处理器416)的总线418。As shown in FIG. 4, blood
总线418表示几类总线结构中的一种或多种,包括存储器总线或者存储器控制器,外围总线,图形加速端口,处理器或者使用多种总线结构中的任意总线结构的局域总线。举例来说,这些体系结构包括但不限于工业标准体系结构(ISA)总线,微通道体系结构(MAC)总线,增强型ISA总线、视频电子标准协会(VESA)局域总线以及外围组件互连(PCI)总线。
血糖预测终端412典型地包括多种计算机系统可读介质。这些介质可以是任何能够被血糖预测终端412访问的可用介质,包括易失性和非易失性介质,可移动的和不可移动的介质。Blood
存储器428可以包括易失性存储器形式的计算机系统可读介质,例如随机存取存储器(RAM)430和/或高速缓存存储器432。血糖预测终端412可以进一步包括其它可移动/不可移动的、易失性/非易失性计算机系统存储介质。仅作为举例,存储装置434可以用于读写不可移动的、非易失性磁介质(图4未显示,通常称为“硬盘驱动器”)。尽管图4中未示出,可以提供用于对可移动非易失性磁盘(例如“软盘”)读写的磁盘驱动器,以及对可移动非易失性光盘(例如CD-ROM,DVD-ROM或者其它光介质)读写的光盘驱动器。在这些情况下,每个驱动器可以通过一个或者多个数据介质接口与总线418相连。存储器428可以包括至少一个程序产品,该程序产品具有一组(例如至少一个)程序模块,这些程序模块被配置以执行本发明各实施例的功能。
具有一组(至少一个)程序模块442的程序/实用工具440,可以存储在例如存储器428中,这样的程序模块442包括但不限于操作系统、一个或者多个应用程序、其它程序模块以及程序数据,这些示例中的每一个或某种组合中可能包括网络环境的实现。程序模块442通常执行本发明所描述的实施例中的功能和/或方法。A program/
血糖预测终端412也可以与一个或多个外部设备414(例如键盘、指向设备、显示器424等,其中,显示器424可根据实际需要决定是否配置)通信,还可与一个或者多个使得用户能与该血糖预测终端412交互的设备通信,和/或与使得该血糖预测终端412能与一个或多个其它计算设备进行通信的任何设备(例如网卡,调制解调器等等)通信。这种通信可以通过输入/输出(I/O)接口422进行。并且,血糖预测终端412还可以通过网络适配器420与一个或者多个网络(例如局域网(LAN),广域网(WAN)和/或公共网络,例如因特网)通信。如图所示,网络适配器420通过总线418与血糖预测终端412的其它模块通信。应当明白,尽管图4中未示出,可以结合血糖预测终端412使用其它硬件和/或软件模块,包括但不限于:微代码、设备驱动器、冗余处理单元、外部磁盘驱动阵列、RAID系统、磁带驱动器以及数据备份存储装置等。The blood
处理器416通过运行存储在存储器428中的程序,从而执行各种功能应用以及数据处理,例如实现本发明实施例所提供的血糖预测方法。The
实施例五Embodiment 5
本发明实施例五提供了一种计算机可读存储介质,其上存储有计算机程序,该程序被处理器执行时实现如本发明实施例所提供的血糖预测方法,包括:Embodiment 5 of the present invention provides a computer-readable storage medium on which a computer program is stored, and when the program is executed by a processor, implements the blood glucose prediction method provided by the embodiment of the present invention, including:
基于目标患者的输入血糖训练数据和输出血糖训练数据,对初始化的支持向量回归模型进行第一模型训练,以确定支持向量回归模型所使用的核函数和支持向量回归模型进行滚动预测时采用的目标窗口取值;Based on the input blood glucose training data and output blood glucose training data of the target patient, perform the first model training on the initialized support vector regression model to determine the kernel function used by the support vector regression model and the target used in the rolling prediction of the support vector regression model window value;
基于目标窗口取值,对采用核函数的支持向量回归模型进行第二模型训练,以确定核函数中核参数的取值,将第二模型训练后得到的支持向量回归模型作为目标支持向量回归模型;Based on the value of the target window, perform second model training on the support vector regression model using the kernel function to determine the value of the kernel parameter in the kernel function, and use the support vector regression model obtained after the second model training as the target support vector regression model;
利用目标支持向量回归模型和目标窗口取值,对目标患者的血糖进行滚动预测。Using the target support vector regression model and the value of the target window, a rolling prediction of the blood glucose of the target patient is performed.
当然,本发明实施例所提供的计算机可读存储介质,其上存储的计算机程序不限于执行如上所述的方法操作,还可以执行本发明任意实施例所提供的基于血糖预测终端的血糖预测方法中的相关操作。Of course, the computer program stored on the computer-readable storage medium provided by the embodiment of the present invention is not limited to performing the above-mentioned method operations, and can also perform the blood glucose prediction method based on the blood glucose prediction terminal provided by any embodiment of the present invention. related operations in .
本发明实施例的计算机存储介质,可以采用一个或多个计算机可读的介质的任意组合。计算机可读介质可以是计算机可读信号介质或者计算机可读存储介质。计算机可读存储介质例如可以是——但不限于——电、磁、光、电磁、红外线、或半导体的系统、装置或器件,或者任意以上的组合。计算机可读存储介质的更具体的例子(非穷举的列表)包括:具有一个或多个导线的电连接、便携式计算机磁盘、硬盘、随机存取存储器(RAM)、只读存储器(ROM)、可擦式可编程只读存储器(EPROM或闪存)、光纤、便携式紧凑磁盘只读存储器(CD-ROM)、光存储器件、磁存储器件、或者上述的任意合适的组合。在本文件中,计算机可读存储介质可以是任何包含或存储程序的有形介质,该程序可以被指令执行系统、装置或者器件使用或者与其结合使用。The computer storage medium in the embodiments of the present invention may adopt any combination of one or more computer-readable mediums. The computer-readable medium may be a computer-readable signal medium or a computer-readable storage medium. The computer-readable storage medium can be, for example, but not limited to, an electrical, magnetic, optical, electromagnetic, infrared, or semiconductor system, apparatus or device, or a combination of any of the above. More specific examples (a non-exhaustive list) of computer readable storage media include: electrical connections having one or more wires, portable computer disks, hard disks, random access memory (RAM), read only memory (ROM), Erasable programmable read only memory (EPROM or flash memory), optical fiber, portable compact disk read only memory (CD-ROM), optical storage devices, magnetic storage devices, or any suitable combination of the above. In this document, a computer-readable storage medium can be any tangible medium that contains or stores a program that can be used by or in conjunction with an instruction execution system, apparatus, or device.
计算机可读的信号介质可以包括在基带中或者作为载波一部分传播的数据信号,其中承载了计算机可读的程序代码。这种传播的数据信号可以采用多种形式,包括但不限于电磁信号、光信号或上述的任意合适的组合。计算机可读的信号介质还可以是计算机可读存储介质以外的任何计算机可读介质,该计算机可读介质可以发送、传播或者传输用于由指令执行系统、装置或者器件使用或者与其结合使用的程序。A computer-readable signal medium may include a propagated data signal in baseband or as part of a carrier wave, with computer-readable program code embodied thereon. Such propagated data signals may take a variety of forms, including but not limited to electromagnetic signals, optical signals, or any suitable combination of the foregoing. A computer-readable signal medium can also be any computer-readable medium other than a computer-readable storage medium that can transmit, propagate, or transport the program for use by or in connection with the instruction execution system, apparatus, or device .
计算机可读介质上包含的程序代码可以用任何适当的介质传输,包括——但不限于无线、电线、光缆、RF等等,或者上述的任意合适的组合。Program code embodied on a computer readable medium may be transmitted using any suitable medium, including - but not limited to wireless, wireline, optical fiber cable, RF, etc., or any suitable combination of the foregoing.
可以以一种或多种程序设计语言或其组合来编写用于执行本发明操作的计算机程序代码,所述程序设计语言包括面向对象的程序设计语言—诸如Java、Smalltalk、C++,还包括常规的过程式程序设计语言—诸如”C”语言或类似的程序设计语言。程序代码可以完全地在用户计算机上执行、部分地在用户计算机上执行、作为一个独立的软件包执行、部分在用户计算机上部分在远程计算机上执行、或者完全在远程计算机或服务器上执行。在涉及远程计算机的情形中,远程计算机可以通过任意种类的网络——包括局域网(LAN)或广域网(WAN)—连接到用户计算机,或者,可以连接到外部计算机(例如利用因特网服务提供商来通过因特网连接)。Computer program code for carrying out operations of the present invention may be written in one or more programming languages, including object-oriented programming languages—such as Java, Smalltalk, C++, but also conventional Procedural programming language - such as "C" language or similar programming language. The program code may execute entirely on the user's computer, partly on the user's computer, as a stand-alone software package, partly on the user's computer and partly on a remote computer, or entirely on the remote computer or server. In the case of a remote computer, the remote computer may be connected to the user's computer through any kind of network, including a local area network (LAN) or a wide area network (WAN), or may be connected to an external computer (eg, using an Internet service provider through Internet connection).
注意,上述仅为本发明的较佳实施例及所运用技术原理。本领域技术人员会理解,本发明不限于这里所述的特定实施例,对本领域技术人员来说能够进行各种明显的变化、重新调整和替代而不会脱离本发明的保护范围。因此,虽然通过以上实施例对本发明进行了较为详细的说明,但是本发明不仅仅限于以上实施例,在不脱离本发明构思的情况下,还可以包括更多其他等效实施例,而本发明的范围由所附的权利要求范围决定。Note that the above are only preferred embodiments of the present invention and applied technical principles. Those skilled in the art will understand that the present invention is not limited to the specific embodiments described herein, and various obvious changes, readjustments and substitutions can be made by those skilled in the art without departing from the protection scope of the present invention. Therefore, although the present invention has been described in detail through the above embodiments, the present invention is not limited to the above embodiments, and can also include more other equivalent embodiments without departing from the concept of the present invention. The scope is determined by the scope of the appended claims.
| Application Number | Priority Date | Filing Date | Title |
|---|---|---|---|
| CN201810946653.7ACN109065176B (en) | 2018-08-20 | 2018-08-20 | A blood sugar prediction method, device, terminal and storage medium |
| Application Number | Priority Date | Filing Date | Title |
|---|---|---|---|
| CN201810946653.7ACN109065176B (en) | 2018-08-20 | 2018-08-20 | A blood sugar prediction method, device, terminal and storage medium |
| Publication Number | Publication Date |
|---|---|
| CN109065176A CN109065176A (en) | 2018-12-21 |
| CN109065176Btrue CN109065176B (en) | 2020-11-10 |
| Application Number | Title | Priority Date | Filing Date |
|---|---|---|---|
| CN201810946653.7AExpired - Fee RelatedCN109065176B (en) | 2018-08-20 | 2018-08-20 | A blood sugar prediction method, device, terminal and storage medium |
| Country | Link |
|---|---|
| CN (1) | CN109065176B (en) |
| Publication number | Priority date | Publication date | Assignee | Title |
|---|---|---|---|---|
| CN110176304A (en)* | 2019-04-19 | 2019-08-27 | 上海依智医疗技术有限公司 | A kind of method and device of determining fracture in patients with diabetes risk |
| CN112216394B (en)* | 2019-07-11 | 2024-11-15 | 浙江远图技术股份有限公司 | A blood sugar trend prediction system based on adaptive optimization model |
| CN110570948A (en)* | 2019-09-09 | 2019-12-13 | 深圳市伊欧乐科技有限公司 | User future weight prediction method, device, server and storage medium |
| CN113948207B (en)* | 2021-10-18 | 2024-08-16 | 东北大学 | Blood sugar data processing method for hypoglycemia early warning |
| CN117612737B (en)* | 2024-01-24 | 2024-05-03 | 胜利油田中心医院 | Intelligent optimization method for diabetes care data |
| Publication number | Priority date | Publication date | Assignee | Title |
|---|---|---|---|---|
| CN101494567A (en)* | 2008-08-29 | 2009-07-29 | 北京理工大学 | Detection method for distributed abnegation service aggression based on load prediction |
| CN101933809A (en)* | 2010-08-31 | 2011-01-05 | 天津大学 | Device and method for non-invasive measurement of blood components by multi-band reflectance spectroscopy |
| CN102334113A (en)* | 2009-02-25 | 2012-01-25 | 弗吉尼亚大学专利基金会 | CGM-based hypoglycemia prevention through hypoglycemic risk assessment and smooth-down insulin delivery |
| CN102520697A (en)* | 2011-12-16 | 2012-06-27 | 西安建筑科技大学 | Onsite information preprocessing method of remote cooperative diagnosis |
| CN103245705A (en)* | 2013-05-03 | 2013-08-14 | 哈尔滨工业大学深圳研究生院 | Detection system for expired gas |
| CN104665840A (en)* | 2015-03-02 | 2015-06-03 | 桂林麦迪胜电子科技有限公司 | Noninvasive blood glucose measuring method and finger tip measuring probe |
| CN103948393B (en)* | 2014-05-21 | 2016-01-20 | 华侨大学 | A kind of near infrared no-wound detection method of blood constituent content and device |
| CN105957356A (en)* | 2016-05-30 | 2016-09-21 | 曹莲英 | Traffic control system and method based on number of pedestrians |
| CN106326651A (en)* | 2011-08-26 | 2017-01-11 | 弗吉尼亚大学专利基金会 | Method and system for adaptive advisory control of diabetes |
| CN106980746A (en)* | 2016-12-16 | 2017-07-25 | 清华大学 | A kind of general Woundless blood sugar Forecasting Methodology based on Time-Series analysis |
| CN107174258A (en)* | 2017-06-02 | 2017-09-19 | 北京信息科技大学 | Blood sugar concentration Forecasting Methodology |
| CN107194068A (en)* | 2017-05-22 | 2017-09-22 | 中国石油大学(北京) | Shale gas fracturing process underground unusual service condition real-time estimate method for early warning and device |
| CN107203700A (en)* | 2017-07-14 | 2017-09-26 | 清华-伯克利深圳学院筹备办公室 | A kind of method and device monitored based on continuous blood sugar |
| EP3272280A1 (en)* | 2016-07-19 | 2018-01-24 | Samsung Electronics Co., Ltd. | Apparatus and method for estimating blood sugar based on heterogeneous spectrums |
| CN108231158A (en)* | 2016-12-14 | 2018-06-29 | 中国移动通信有限公司研究院 | A kind of information analysis method, electronic equipment and system |
| EP3035848B1 (en)* | 2013-08-23 | 2020-03-11 | Medicus Engineering ApS | Method and device for improving prediction of change in a physiological condition |
| Publication number | Priority date | Publication date | Assignee | Title |
|---|---|---|---|---|
| CN101494567A (en)* | 2008-08-29 | 2009-07-29 | 北京理工大学 | Detection method for distributed abnegation service aggression based on load prediction |
| CN102334113A (en)* | 2009-02-25 | 2012-01-25 | 弗吉尼亚大学专利基金会 | CGM-based hypoglycemia prevention through hypoglycemic risk assessment and smooth-down insulin delivery |
| CN101933809A (en)* | 2010-08-31 | 2011-01-05 | 天津大学 | Device and method for non-invasive measurement of blood components by multi-band reflectance spectroscopy |
| CN106326651A (en)* | 2011-08-26 | 2017-01-11 | 弗吉尼亚大学专利基金会 | Method and system for adaptive advisory control of diabetes |
| CN102520697A (en)* | 2011-12-16 | 2012-06-27 | 西安建筑科技大学 | Onsite information preprocessing method of remote cooperative diagnosis |
| CN103245705A (en)* | 2013-05-03 | 2013-08-14 | 哈尔滨工业大学深圳研究生院 | Detection system for expired gas |
| EP3035848B1 (en)* | 2013-08-23 | 2020-03-11 | Medicus Engineering ApS | Method and device for improving prediction of change in a physiological condition |
| CN103948393B (en)* | 2014-05-21 | 2016-01-20 | 华侨大学 | A kind of near infrared no-wound detection method of blood constituent content and device |
| CN104665840A (en)* | 2015-03-02 | 2015-06-03 | 桂林麦迪胜电子科技有限公司 | Noninvasive blood glucose measuring method and finger tip measuring probe |
| CN105957356A (en)* | 2016-05-30 | 2016-09-21 | 曹莲英 | Traffic control system and method based on number of pedestrians |
| EP3272280A1 (en)* | 2016-07-19 | 2018-01-24 | Samsung Electronics Co., Ltd. | Apparatus and method for estimating blood sugar based on heterogeneous spectrums |
| CN108231158A (en)* | 2016-12-14 | 2018-06-29 | 中国移动通信有限公司研究院 | A kind of information analysis method, electronic equipment and system |
| CN106980746A (en)* | 2016-12-16 | 2017-07-25 | 清华大学 | A kind of general Woundless blood sugar Forecasting Methodology based on Time-Series analysis |
| CN107194068A (en)* | 2017-05-22 | 2017-09-22 | 中国石油大学(北京) | Shale gas fracturing process underground unusual service condition real-time estimate method for early warning and device |
| CN107174258A (en)* | 2017-06-02 | 2017-09-19 | 北京信息科技大学 | Blood sugar concentration Forecasting Methodology |
| CN107203700A (en)* | 2017-07-14 | 2017-09-26 | 清华-伯克利深圳学院筹备办公室 | A kind of method and device monitored based on continuous blood sugar |
| Title |
|---|
| Accurate prediction of continuous blood...n and differential evolution algorithm;Takoua Hamdi等;《Biocybernetics and Biomedical Engineering》;20180223;第38卷(第2期);第362-372页* |
| Blood glucose level prediction based on support vector regression using mobile platforms;Maximilian P等;《2016 38th Annual International Conference of the IEEE-Engineering-in-Medicine-and-Biology-Society (EMBC) 会议》;20160820;第2990-2993页* |
| Blood Glucose Level Prediction Using Physiological Models and Support Vector Regression;Razvan Bunescu等;《2013 12th International Conference on Machine Learning and Applications》;20131207;第135-140页* |
| 基于支持向量机和自回归积分滑动平均模型组合的血糖值预测;余丽玲等;《中国医学物理学杂志》;20160430;第33卷(第4期);第381-384页* |
| Publication number | Publication date |
|---|---|
| CN109065176A (en) | 2018-12-21 |
| Publication | Publication Date | Title |
|---|---|---|
| CN109065176B (en) | A blood sugar prediction method, device, terminal and storage medium | |
| CN117520784B (en) | Groundwater level multi-step prediction method based on convolution attention long-short-term neural network | |
| CN110376457A (en) | Non-intrusion type load monitoring method and device based on semi-supervised learning algorithm | |
| CN113671917A (en) | Detection method, system and equipment for abnormal state of multi-modal industrial process | |
| CN115600044B (en) | River section flow calculation method, device, equipment and storage medium | |
| CN117892886B (en) | Very short-term probability prediction method and system for ship motion based on confidence interval | |
| CN117292243B (en) | Method, equipment and medium for predicting magnetocardiogram signal space-time image based on deep learning | |
| CN114691753A (en) | Matrix filling-based rapid multivariate time sequence anomaly detection method | |
| CN114498619A (en) | Method and device for forecasting wind power | |
| CN117189309A (en) | Noise reduction method and device for intelligent computation center diesel generator set | |
| CN110413657A (en) | Evaluation Method of Average Response Time for Seasonal Non-stationary Concurrency | |
| CN120067980A (en) | Multi-source big data intelligent analysis fusion processing method based on foundation detection equipment | |
| CN111598313A (en) | Wind power prediction method | |
| CN107977730A (en) | A kind of wind measurement method of multisensor Data Fusion technology | |
| CN113253142B (en) | Lithium battery pack consistency evaluation and diagnosis method and device based on wavelet transformation | |
| CN115687878A (en) | Photoelectric sensor precision control method, system and readable medium for industrial internet | |
| CN118505149B (en) | A construction project surveying and mapping data management system | |
| CN114528874A (en) | Fault diagnosis method and device of hydroelectric generating set and electronic equipment | |
| CN116068646A (en) | A core homing method, device and computing system | |
| CN112001738A (en) | Method for constructing multi-factor logistics product price model and application method thereof | |
| CN114840983A (en) | Power storage battery SOH calculation model construction method and calculation method | |
| CN114765065A (en) | Method, device, equipment and medium for determining oxygen content of flue gas of gas internal combustion engine | |
| CN117578428B (en) | Wind turbine power recursive prediction method, device, computer equipment and storage medium | |
| CN120031327B (en) | A method and device for aircraft electrical load statistics and power supply capacity analysis | |
| CN118916844B (en) | Pressure prediction method for joint OMEGA water stop of immersed tube tunnel |
| Date | Code | Title | Description |
|---|---|---|---|
| PB01 | Publication | ||
| PB01 | Publication | ||
| SE01 | Entry into force of request for substantive examination | ||
| SE01 | Entry into force of request for substantive examination | ||
| GR01 | Patent grant | ||
| GR01 | Patent grant | ||
| TR01 | Transfer of patent right | ||
| TR01 | Transfer of patent right | Effective date of registration:20221128 Address after:518000 2nd floor, building a, Tsinghua campus, Shenzhen University Town, Xili street, Nanshan District, Shenzhen City, Guangdong Province Patentee after:Tsinghua Shenzhen International Graduate School Patentee after:SHENZHEN WAVEGUIDER OPTICAL TELECOM TECHNOLOGY Inc. Address before:518055 Nanshan Zhiyuan 1001, Xue Yuan Avenue, Nanshan District, Shenzhen, Guangdong. Patentee before:TSINGHUA-BERKELEY SHENZHEN INSTITUTE Patentee before:SHENZHEN WAVEGUIDER OPTICAL TELECOM TECHNOLOGY Inc. | |
| CF01 | Termination of patent right due to non-payment of annual fee | ||
| CF01 | Termination of patent right due to non-payment of annual fee | Granted publication date:20201110 |